|
(21), (22) Заявка: 2004101639/04, 11.07.2002
(24) Дата начала отсчета срока действия патента:
11.07.2002
(30) Конвенционный приоритет:
14.07.2001 DE 10134327.2
(43) Дата публикации заявки: 27.06.2005
(46) Опубликовано: 10.10.2007
(15) Информация о коррекции:
Версия коррекции № 1 (
где n=1-5. Изобретение позволяет получить стабилизированную композицию к обесцвечиванию, термической и окислительной деструкции. 1 з.п. ф-лы, 2 табл.
Изобретение касается стерически затрудненных фенолов в качестве антиокислителей для полиамидов, а также составов, содержащих полиамид и стерически затрудненный фенол.
При переработке и изготовлении полуфабрикатов и конечных продуктов из термопластичных полиамидов путем экструдирования, литья под давлением и т.п. к полимерам нужно добавлять ингибитор старения для того, чтобы предотвратить появляющееся в результате процессов деструкции пожелтение полимеров и ухудшение их механических свойств, таких как ударная вязкость, сопротивление охрупчиванию, прочность в момент разрыва и т.д. Аналогичное справедливо также для хранения и применения конечных продуктов.
Механизм деструкции выяснен еще не окончательно, но можно предположить, что за счет подвода энергии и кислорода образуются радикалы, в частности пероксидные радикалы, которые продолжают радикальную деструкцию и окисление по соответствующим механизмам роста и разветвления цепи.
Чтобы это предотвратить, добавляются антиоксиданты, причем они делятся на две группы по принципу действия. Особенно важны акцепторы свободных радикалов, преимущественно стерически затрудненные фенолы, которые, с одной стороны, перехватывают радикалы за счет переноса водородного радикала, вследствие чего из фенола образуется стабильный фенольный радикал, и, с другой стороны, за счет присоединения этого образовавшегося стабильного фенольного радикала ко второму радикалу, вдобавок перехватывая и его. Эта группа называется первичными антиоксидантами.
Далее используются так называемые вторичные антиоксиданты, которые непосредственно разрушают гидропероксидные группы при восстановлении, не образуя при этом новых радикалов. К этой группе относятся в качестве типичных представителей фосфиты и органические сульфиды, в частности сложные тиоэфиры (Taschenbuch der Kunststoff-Additive, 3. Ausgabe, 1989/ Справочник по добавкам к полимерам, 3-е издание, 1989).
Вообще в систему вводятся различные стабилизаторы с целью достижения синергического эффекта, причем это не является необходимым. Применяемым чаще всего в настоящее время антиоксидантом для полиамида является не обесцвечивающий антиоксидант Ирганокс (Irganox) 1098 фирмы Сиба, димерный фенол общей формулы

Другим известным антиоксидантом для полиамида является Ирганокс 254:

Обзор различных антиоксидантов находится, например, в книге Гэхтер/Мюллер «Добавки к полимерам» (Gaechter/Mueller «Kunststoffadditive») 3-е издание, 1990, изд-во Ханзер, Мюнхен, Вена (Hanser Verlag Muenchen Wien).
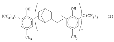
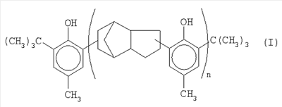
Применение стерически затрудненного фенола формулы (I)

в комбинации со сложными тиоэфирами и фосфитами в качестве ингибиторов старения для сополимеров и терполимеров стирола описано в DE 19750747.
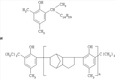
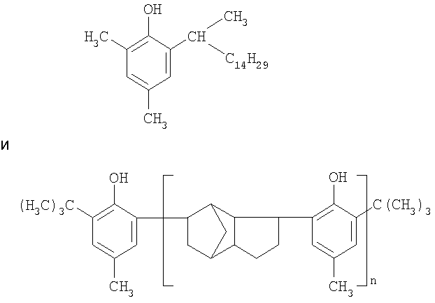
Из ЕР 669367 A1 известна смесь стабилизаторов из двух стерически затрудненных фенолов, которая также может применяться для полиамидов и сополиамидов. Отдельный пример относится к стабилизации акрилонитрил-бутадиен-стирольного терполимера смесью из

(средний молекулярный вес: 600-700).
Хотя для полиамидов известен целый ряд антиоксидантов, существует потребность в улучшенных, в частности в более эффективных и более благоприятных с точки зрения стоимости стабилизаторах. Задача данного изобретения заключается в том, чтобы найти улучшенную присадку.
Удивительным образом обнаружено, что стерически затрудненный фенол формулы (I)

с n=1-5 в качестве единственного первичного антиоксиданта для полиамида проявляет значительно более высокое антиокислительное действие по сравнению с обычными антиоксидантами.
Решение задачи состоит поэтому в антиокислителе для полиамида, который в качестве единственного первичного антиоксиданта содержит соединение вышеуказанной формулы (I), а также в составах, которые содержат полиамид и соединение, формулы (I) в качестве единственного первичного антиокислителя.
В общей сложности используется от 0,01 до 5 вес.%, преимущественно от 0,1 до 3 вес.% соединения в расчете на полимер.
Соединение формулы (I) известно под торговыми названиями RALOX® LC (Ралокс) фирмы Рашиг ГмбХ (Raschig GmbH) из Людвигсхавена RALOX® LC (CAS №68610-51-5 бутилированный продукт реакции из крезола и дициклопентадиена) получается реакцией Фриделя-Крафтса из п-крезола и трицикло-[5,2,1,0]-декадиена в мольном соотношении от 10:1 до 1:5 с последующим взаимодействием с изобутеном или трет-бутанолом или трет-бутилхлоридом.
Продукт является смесью олигомеров с n=1-5.
В зависимости от мольного соотношения исходных продуктов и соотношения компонентов смеси «n» соединения обладают температурой плавления от 70 до 140°С и средним молекулярным весом от 600 до 800 г/моль. Они отличаются малой летучестью, хорошей совместимостью, слабой миграцией и высокой устойчивостью к экстрагированию.
В качестве полиамидов согласно данному изобретению в расчет принимаются полиамиды и сополиамиды, которые являются производными диаминов и дикарбоновых кислот или соответствующих лактамов, такие как полиамид 4, полиамид 6, полиамид 6/6, полиамид 6/10, полиамид 6/8, полиамид 6/12, полиамид 4/6, полиамид 11, полиамид 12. Далее, ароматический полиамид на основе м-ксилола, диамина и адипиновой кислоты, полиамиды, полученные из гексаметилендиамина и изо- и/или терефталевой кислоты и в случае необходимости эластомера в качестве модификатора, например поли-2,4,4-триметилгексаметилентерефталамид, поли-м-фенилен-изофталамид, блок-сополимеры вышеназванных полиамидов с полиолефинами, сополимерами олефинов, иономерами или химически связанными или привитыми эластомерами, или с простыми полиэфирами, такими как, например, с полиэтиленгликолем, полипропиленгликолем или политетраметиленгликолем, далее полиамиды и сополиамиды, модифицированные СКЭПТ или АБС, а также конденсированные во время переработки полиамиды («полиамидные системы, полученные методом реакционно-литьевого формования» = RIM-Polyamidsysteme).
Согласно данному изобретению стабилизированные к обесцвечиванию, а также к термической и окислительной деструкции массы вышеназванных термопластов изготавливаются следующим образом.
Гранулят полимера и фенольный антиоксидант смешиваются друг с другом при комнатной температуре, например, в смесителе и экструдируются через равнонаправленный двухчервячный смеситель при температуре расплава полимера. Расплав после экструдирования охлаждается в водяной бане, гранулируется и сушится. Полученный таким образом промежуточный продукт может подвергаться дальнейшей переработке обычными способами без дополнительной стабилизации.
По желанию могут добавляться другие обычные добавки, такие как вторичные антиоксиданты, УФ-абсорбер и светостабилизатор, дезактиваторы, наполнители и армирующее средство, пластификатор, «внешняя смазка», эмульгаторы, пигменты, оптический осветлитель, антипирен, антистатики и/или вспениватель.
В качестве вторичных антиоксидантов применяются во внимание:
1.1 Алкилтиометилфенолы, например
– 2,4-диоктилтиометил-6-трет-бутилфенол
– 2,4-диоктилтиометил-6-метилфенол
– 2,4-диоктилтиометил-6-этилфенол
– 2,6-дидодецилтиометил-4-нонилфенол
1.2 Гидроксилированные тиодифениловые простые эфиры, например
– 2,2′-тио-бис-(6-трет-бутил-4-метилфенол)
– 2,2′-тио-бис-(4-октилфенол)
– 4,4′-тио-бис-(6-трет-бутил-3-метилфенол)
– 4,4′-тио-бис-(6-трет-бутил-2-метилфенол)
– 4,4′-тио-бис-(3,6-ди-втор-амилфенол)
– 4,4′-бис-(2,6-диметил-4-гидроксифенил)-дисульфид
1.3 Фосфиты и фосфониты, например
– трифенилфосфит
– дифенилалкилфосфиты
– фенилдиалкилфосфиты
– трис-(нонилфенил)-фосфит
– трилаурилфосфит
– триоктадецилфосфит
– дистеарил-пентаэритритдифосфит
– трис-(2,4-дитрет-бутилфенил)-фосфит
– диизодецилпентаэритрит-дифосфит
– бис-(2,4-дитрет-бутилфенил)-пентаэритритдифосфит
– бис-(2,6-дитрет-бутил-4-метилфенил)-пентаэритритдифосфит
– бис-изодецилокси- пентаэритритдифосфит
– бис-(2,4-дитрет-бутил-6-метилфенил)-пентаэритритдифосфит
– бис-(2,4,6-тритрет-бутилфенил)-пентаэритритдифосфит
– тристеарил-сорбит-трифосфит
– тетракис-(2,4-дитрет-бутилфенил)-4,4′-бифенилен-дифосфонит
– 6-изооктилокси-2,4,8,10-тетра-трет-бутил-12Н-дибенз[d,g]-1,3,2-диоксафосфоцин
– 6-фтор-2,4,8,10-тетра-трет-бутил-12-метил-дибенз[d,g]-1,3,2-диоксафосфоцин
– бис-(2,4-дитрет-бутил-6-метилфенил)-метилфосфит
– бис-(2,4-дитрет-бутил-6-метилфенил)-этилфосфит
1.4 Соединения, разрушающие пероксиды, например
– сложные эфиры -тиодипропионовой кислоты, например лауриловый, стеариловый, миристиловый или тридециловый сложные эфиры
– меркаптобензимидазол
– цинковая соль 2-меркаптобензимидазола
– цинк-дибутил-дитиокарбамат
– диоктадецилдисульфид
– пентаэритрит-тетракис-( -додецилмеркапто)-пропионат
1.5 Стабилизаторы полиамида, например
– соли меди в комбинации с иодидами и/или соединениями фосфора и соли двухвалентного марганца.
В нижеследующих примерах подтверждается преимущество антиоксидантов в соответствии с данным изобретением по сравнению с известными к настоящему времени средствами.
Пример 1
Стабилизация Полиамида 6
Антиокислительное действие определялось методом термического анализа с помощью динамической дифференциальной скэннинг-калориметрии (DSC). Метод описан, например, в книге Видманн/Ризен «Термоанализ» изд-во Хютиг Бух Ферлаг в Гейдельберге (Widmann/Riesen, «Thermoanalyse», Huetig Buch Verlag Heidelberg) 3-е издание, 1990, стр. 63. Применялся прибор Mettler DSC 20 с автоматической оценкой касательных. Скорость нагрева составляла 20°С в минуту, каждый образец имел вес около 10 мг. Результаты указаны в таблице 1. Все процентные данные относятся к весу.
| Таблица 1 |
| Текущий № |
Антиоксидант |
Формула |
Начальная температура |
| 1 |
отсутствует (контроль) |
|
293 |
| 2 |
1% Ралокс ВНТ |
 |
295 |
| 3 |
1% Ралокс 46 |
 |
297 |
| 4 |
1% Ралокс 530 |
 |
300 |
| 5 |
1% Ирганокс 1098 |
 |
301 |
| 6 |
1% Ирганокс 245 |
 |
301 |
| 7 |
1% Ралокс LC |
 |
307 |
Из измеренных данных, приведенных в таблице 1, видно, что антиоксидант Ралокс (Ralox® LC) согласно данному изобретению превосходит обычные антиоксиданты для полиамидов (Ирганокс 1098, Ирганокс 245…)
Пример 2
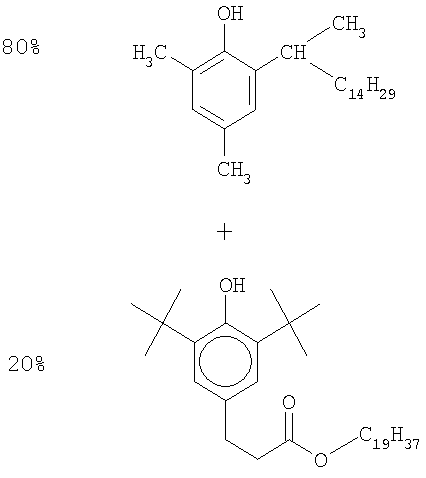
Для этого ряда измерений сравнивался эффект воздействия соединения согласно данному изобретению со стабилизаторами, известными из ЕР 699367. Так как чистый 2-(1-метилпентадецил)-4,6-диметилфенол коммерчески не доступен, использовалась поставляемая фирмой Сиба под названием Ирганокс 1141 для полимеров стирола смесь, состоящая из примерно 80% фенола и 20% 2,6-дитрет-бутил-4-октадецилпропионата.
Исследования осуществлялись таким же способом, как в примере 1. Результаты сведены в таблицу 2.
| Таблица 2 |
| Текущий № |
Антиоксидант |
Формула |
Начальная температура |
| 9 |
отсутствует (контроль) |
|
291 |
| 10 |
1% Ралокс LC |
 |
312 |
| 11 |
1% Ирганокс 1141 |
 |
309 |
| 12 |
0,5% Ралокс LC 0,5% Ирганокс 1141 |
|
302 |
Видно, что соединение согласно данному изобретению (№10) удивительным образом показывает значительно лучшее антиоксидантное воздействие как по сравнению с комбинацией, известной из ЕР 699367 A1 (№12), так и по сравнению с Ирганокс 1141 (№11). Комбинация проявляет для полиамида даже худшее антиоксидантное воздействие, чем Ирганокс 1141. Это особенно поразительно, так как часто для комбинации стабилизаторов появляется синергический эффект.
Формула изобретения
1. Формовочная композиция, содержащая полиамид и 0,01-5% антиоксиданта в расчете на общую массу полиамида, отличающаяся тем, что она содержит стерически затрудненный фенол формулы I

где n=1-5,
в качестве единственного первичного антиоксиданта.
2. Формовочная композиция по п.1, отличающаяся тем, что она содержит 0,1-3% антиоксиданта в расчете на общую массу полиамида.
TH4A – Переиздание описания изобретения к патенту Российской Федерации
Причина переиздания: Коррекция в тексте описания и формулы изобретения
Извещение опубликовано: 20.07.2008 БИ: 20/2008
PD4A – Изменение наименования обладателя патента СССР или патента Российской Федерации на изобретение
(73) Новое наименование патентообладателя:
Эвоник Дегусса ГмбХ (DE)
Адрес для переписки:
105064, Москва, а/я 88, ООО “Патентные поверенные Квашнин, Сапельников и партнеры”
Извещение опубликовано: 27.05.2009 БИ: 15/2009
PC4A – Регистрация договора об уступке патента СССР или патента Российской Федерации на изобретение
Прежний патентообладатель:
Эвоник Дегусса ГмбХ (DE)
(73) Патентообладатель:
Рашиг ГмбХ (DE)
Договор № РД0052297 зарегистрирован 08.07.2009
Извещение опубликовано: 20.08.2009 БИ: 23/2009
MM4A – Досрочное прекращение действия патента СССР или патента Российской Федерации на изобретение из-за неуплаты в установленный срок пошлины за поддержание патента в силе
Дата прекращения действия патента: 12.07.2009
Извещение опубликовано: 20.09.2010 БИ: 26/2010
|