|
|
(21), (22) Заявка: 2006118817/11, 31.05.2006
(24) Дата начала отсчета срока действия патента:
31.05.2006
(46) Опубликовано: 10.10.2007
(56) Список документов, цитированных в отчете о поиске:
US 3402555 A, 24.09.1968. US 789641 A, 09.05.1905.
Адрес для переписки:
125368, Москва, а/я 84, пат.пов. А.А.Щитову, рег.№ 721
|
(72) Автор(ы):
Муравин Вячеслав Семенович (RU)
(73) Патентообладатель(и):
Бухаров Петр Леонидович (RU), Муравин Вячеслав Семенович (RU)
|
(54) СУДОВОЙ ДВИЖИТЕЛЬ
(57) Реферат:
Изобретение относится к судостроению и касается создания реактивных паровых движителей и рулевых устройств. Судовой движитель имеет паровой котел. Движитель дополнительно содержит распределитель пара и, по меньшей мере, одну трубу создания реактивного движения, вход которой по ходу движения закрыт решеткой. Первым выходом по пару паровой котел подсоединен посредством крана к распределителю паровых потоков, выходы которого введены в трубы создания реактивного движения со стороны направления движения. Второй выход по пару парового котла подключен к входам перфорированных труб, введенных в трубы создания реактивного движения со стороны направления движения. Движитель может иметь паровую турбину, подключенную посредством крана между вторым выходом по пару парового котла и входами перфорированных труб. Движитель может содержать две трубы создания реактивного движения. Движитель может выполняться с дополнительным выходом распределителя и с дополнительным выходом парового котла, которые для создания обратного хода могут быть введены через краны в трубы создания реактивного движения со стороны, противоположной решетке. Движитель может быть выполнен с трубами регулирования направления движения, с дополнительным выходом распределителя и с дополнительным выходом парового котла, которые через краны могут быть введены в эти трубы регулирования направления движения. Движитель может иметь емкость с водой, подключенную через кран к паровому котлу. Движитель дополнительно может содержать опреснитель, подключенный через кран к паровому котлу. Изобретение позволяет повысить экономичность работы движителя. 6 з.п. ф-лы, 1 ил.
Изобретение относится к области средств организации движения водных средств транспорта, в частности к области реактивных движителей, и может быть использовано для организации движения водных средств транспорта как в прямом, так и в обратном направлении, а также для изменения направления движения водного средства транспорта за счет использования реактивной силы струи пара.
Известен (RU, патент 2082825) тепловой двигатель, содержащий паровой котел, внешний источник тепла, расширительную машину, холодильник-конденсатор, подкачивающий жидкостный насос и систему тепловых генераторов. Расширительная машина имеет цилиндропоршневую конструкцию, выполненную с возможностью подвода тепла в цилиндр от внешнего источника, паровой котел выполнен в виде ресивера пара, а система тепловых регенераторов состоит из двух частей основного регенератора, включенного между цилиндром и котлом через впускной клапан, и дополнительного регенератора с двумя проточными контурами, один из которых включен между основным регенератором и холодильником-конденсатором через выпускной клапан, а второй – между холодильником-конденсатором и котлом через подкачивающий жидкостной насос.
Недостатком известного двигателя следует признать его сложность.
Наиболее близким аналогом заявленного технического решения можно признать (RU, патент 2257512) средство создания движения, содержащее емкость для питательной воды с температурой до 100°С и паровой котел. Емкость состоит из теплоизолирующих стенок, патрубка для подачи питательной воды с крышкой и патрубка для вывода питательной воды. Паровой котел состоит, по крайней мере, из топки, парообразующих поверхностей нагрева, имеющих водный коллектор, связанный с патрубком вывода питательной воды из емкости, пароперегревателя, имеющего паровой коллектор, вход которого связан с выходом пароводяного коллектора парообразующих поверхностей нагрева, а выход которого – с потребителем полученного пара под давлением, например паровой турбиной. Паровая турбина может быть связана через редуктор непосредственно с движителем транспортного средства или может быть связана с электрогенератором, расположенным на транспортном средстве, вырабатываемая которым электроэнергия может питать электродвигатели транспортного средства. Полученный пар под давлением может быть использован также в качестве реактивной тяги на транспортных средствах, например на ракетах.
Недостатком известного устройства можно признать его низкую эффективность.
Техническая задача, решаемая посредством предлагаемого технического решения, состоит в создании реактивного движителя водных средств транспорта.
Технический результат, получаемый при реализации предлагаемого технического решения, состоит в повышении экономичности работы движителя. Для достижения указанного технического результата предложено использовать судовой движитель, содержащий паровой котел, предпочтительно, подключенный первым выходом по пару к паровой турбине. Кроме того, он дополнительно содержит распределитель пара и, по меньшей мере, одну трубу создания реактивной тяги, причем вторым выходом по пару паровой котел подсоединен посредством крана к распределителю паровых потоков. Выходы распределителя введены в трубы создания реактивного движения со стороны направления движения, при этом вход труб по ходу движения закрыт решеткой, а второй выход по пару парового котла, предпочтительно, через паровую турбину, подключен к входам в виде перфорированных труб, введенных в трубы создания реактивной тяги со стороны направления движения. Перфорированные трубы введены в трубы создания реактивного движения на расстояние до половины длины трубы создания реактивного движения. Предпочтительно паровой котел соединен с паровой турбиной посредством крана или управляемого клапана. В зависимости от размеров средства водного транспорта, на котором установлен предлагаемый судовой движитель, количество труб, создающих реактивное движение, может отличаться. Предпочтительно используют, по меньшей мере, две трубы создания реактивного движения, установленные параллельно. Для создания реверсивной реактивной тяги движитель может быть выполнен с дополнительным выходом распределителя и с дополнительным выходом парового котла, которые для создания обратного хода введены через краны в трубы создания реактивно движения со стороны, противоположной решетке. Движитель может быть также выполнен с трубами регулирования направления движения, с дополнительным выходом распределителя и с дополнительным выходом парового котла, которые через краны введены в эти трубы регулирования направления. Для увеличения ресурса работы движителя к паровому котлу могут быть подключены емкость с питательной водой или опреснитель.
Любой используемый в предлагаемой конструкции паровой котел содержит емкость с нагреваемой водой, средство нагрева воды и средство повышения температуры пара. Паровая турбина предназначена для выработки электрической энергии, необходимой для нужд водного транспортного средства. Распределитель пара представляет собой многоходовое устройство (кран), в корпусе которого выполнены один штуцер входа пара и множество штуцеров выхода пара, коммутируемых между собой путем перемещения (кругового или линейного) подвижной части распределителя.
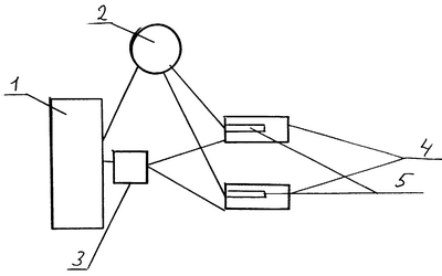
На чертеже схематично приведен вид предлагаемого движителя в базовом варианте реализации, при этом использованы следующие обозначения: паровой котел 1, паровая турбина 2, распределитель 3 паровых потоков, трубы 4 создания реактивного движения, перфорированные трубы 5.
Предлагаемый движитель в базовом варианте работает следующим образом.
Из нагретого парового котла 1 пар через второй выход по пару поступает на вход паровой турбины 2, ротор которой соединен с валом генератора электрического тока, вырабатывающего электрическую энергии для нужд средства водного транспорта, в частности, эта электрическая энергии может быть использована для управления распределителем 3 паровых потоков, а также обслуживания парового котла. Одновременно через первый выход по пару парового котла пар поступает в распределитель 3, в качестве которого может быть использован многоходовой кран. Через распределитель 3 и трубопроводы пар в заранее заданной последовательности поступает в трубы 4 создания реактивного движения. Выход паровой турбины 2 по пару соединен посредством трубопроводов с перфорированными трубами 5, введенными до половины длины в трубы 4 создания реактивно движения. Пар, поступающий посредством перфорированных труб 5 в трубы 4 создания реактивного движения, предотвращает разрыв указанных труб 4 создания реактивного движения. Водное транспортное средство начинает перемещаться в противоположную сторону относительно направления подачи пара в трубы создания реактивного движения.
При необходимости создания обратного хода пар подают с противоположной стороны труб 4 создания реактивного движения.
Для управления направлением движения водного транспортного средства может быть использованы (в случае использования двух и более труб 4 создания реактивного движения) как подача пара только в часть труб 4 создания реактивного движения или подача пара в противоположном направлении (аналог работы машинами водного транспортного средства в разных направления – одна в прямом направлении, другая – в обратном или отключена). Кроме того, возможно использование дополнительных труб создания реактивного движения (и, соответственно, дополнительных кранов и трубопроводов), ориентированных не параллельно относительно труб создания реактивного движения, используемых по прямому назначению.
При реализации предлагаемого движителя на яхте класса «Звездный» используют две трубы создания реактивного движения, установленных под днищем яхты по обе стороны от киля. Объем парового котла 1 составляет 20 дм3, в качестве распределителя 3 паровых потоков использован двухходовой кран. Также в качестве распределителя 3 паровых потоков может быть использован двухходовой клапан. Используемая паровая турбина 2 не имеет каких-либо ограничений, кроме ее физических размеров. Диаметр труб 4 создания реактивного движения составляет 0,4 м, диаметр перфорированных труб 5 – 0,1 м. К входу по воде в паровой котел 1 подключен выход емкости с питающей водой. Возможно подключение электрического опреснителя.
Использование движителя предлагаемой конструкции обеспечивает повышение экономичности его работы за счет упрощения как самой конструкции, так и сервисного обслуживания.
Формула изобретения
1. Судовой движитель, содержащий паровой котел, отличающийся тем, что он дополнительно содержит распределитель пара и, по меньшей мере, одну трубу создания реактивного движения, вход которой по ходу движения закрыт решеткой, причем первым выходом по пару паровой котел подсоединен посредством крана к распределителю паровых потоков, выходы которого введены в трубы создания реактивного движения со стороны направления движения, при этом второй выход по пару парового котла подключен к входам перфорированных труб, введенных в трубы создания реактивного движения со стороны направления движения.
2. Движитель по п.1, отличающийся тем, что он дополнительно содержит паровую турбину, подключенную посредством крана между вторым выходом по пару парового котла и входами перфорированных труб.
3. Движитель по п.1, отличающийся тем, что он содержит две трубы создания реактивного движения.
4. Движитель по п.1, отличающийся тем, что он выполнен с дополнительным выходом распределителя и с дополнительным выходом парового котла, которые для создания обратного хода введены через краны в трубы создания реактивного движения со стороны, противоположной решетке.
5. Движитель по п.1, отличающийся тем, что он выполнен с трубами регулирования направления движения, с дополнительным выходом распределителя и с дополнительным выходом парового котла, которые через краны введены в эти трубы регулирования направления движения.
6. Движитель по п.1, отличающийся тем, что он дополнительно содержит емкость с водой, подключенную через кран к паровому котлу.
7. Движитель по п.1, отличающийся тем, что он дополнительно содержит опреснитель, подключенный через кран к паровому котлу.
РИСУНКИ
MM4A – Досрочное прекращение действия патента СССР или патента Российской Федерации на изобретение из-за неуплаты в установленный срок пошлины за поддержание патента в силе
Дата прекращения действия патента: 01.06.2008
Извещение опубликовано: 20.06.2010 БИ: 17/2010
|
|