|
|
(21), (22) Заявка: 2003102437/15, 29.06.2001
(24) Дата начала отсчета срока действия патента:
29.06.2001
(30) Конвенционный приоритет:
29.06.2000 GB 0016022.6
(43) Дата публикации заявки: 27.01.2005
(46) Опубликовано: 10.10.2007
(56) Список документов, цитированных в отчете о поиске:
WO 99/52532 A1, 21.10.1999. RU 97102699 А, 27.02.1999. RU 1623655 A1, 30.01.1991. WO 97/37664 А2, 16.10.1997. Реферат из базы данных STN: Gustafsson J.A. Steroids in germfree and conventional rats. VIII. Studies on urinary С1 and C21 steroids. Arkiv foer Kemi (1968), 29(46), 535-42. Реферат из базы данных Entrez PubMed: M.Wagner et al. Distribution
(85) Дата перевода заявки PCT на национальную фазу:
29.01.2003
(86) Заявка PCT:
GB 01/02937 (29.06.2001)
(87) Публикация PCT:
WO 02/00225 (03.01.2002)
Адрес для переписки:
129010, Москва, ул. Б.Спасская, 25, стр.3, ООО “Юридическая фирма Городисский и Партнеры”, пат.пов. Е.Е.Назиной, рег. № 517
|
(72) Автор(ы):
ПРИНГЛ Эшли Кер (GB), САНДСТРОМ Ларс Эрик (GB), ВЮЛФЕРТ Эрнст (BE)
(73) Патентообладатель(и):
ХАНТЭР-ФЛЕМИНГ ЛИМИТЕД (GB)
|
(54) 7-ГИДРОКСИЭПИАНДРОСТЕРОН, ОБЛАДАЮЩИЙ НЕЙРОПРОТЕКТИВНОЙ АКТИВНОСТЬЮ
(57) Реферат:
Предложено применение 7-гидроксиэпиандростерона в качестве активного агента для защиты от острого или хронического нейронного повреждения, вызванного гипоксией, ишемией, инсультом, травмой мозга, болезнью Альцгеймера, болезнью Паркинсона или повреждением спинного мозга. 7-Гидроксиэпиандростерон повышает число выживших после ишемии или после гипоксии пирамидальных клеток. 5 з.п. ф-лы, 3 ил., 2 табл.
(56) (продолжение):
CLASS=”b560m”and regulation of 5 alpha-androstane-3 beta, 17 beta-diol hydroxylase in the rat central nervous system. Endocrinology. 1989 Jun; 124(6):2699-706. Реферат из базы данных Entrez PubMed: Akwa Y. et al. Neurosteroid metabolism. 7 alpha-Hydroxylation of dehydroepiandrosterone and pregnenolone by rat brain microsomes. Biochem. J. 1992 Dec 15; 288 (Pt 3): 959-64. Реферат из базы данных Entrez PubMed: Guiraud J.M et al. Pituitary metabolism of 5alpha-androstane-3beta-17beta-diol: intense and rapid conversion into 5alpha-androstane-3beta,6alpha,17beta-triol and 5alpha-androstane-3beta,7alpha,17beta-triol. Steroids. 1979 Sep; 34(3): 241-8.
Данное изобретение относится к использованию некоторых 7-гидроксистероидных соединений для защиты от гибели нейронных клеток, которые, таким образом, пригодны для лечения и профилактики таких патологических состояний или последствий таких патологических состояний, как болезнь Альцгеймера, болезнь Паркинсона, когнитивное нарушение без деменции, (CIND)инсульт, травма головного мозга, повреждение спинного мозга и повреждение периферических нервов; они также пригодны для повышения познавательной функции.
Продукция 7 -гидроксилированных метаболитов дегидроэпиандростерона (ДГЭА) in vivo была известна с 1959 года по определению 7 -гидрокси-ДГЭА в моче [J.j.Schneider, M.L.Lewbart, Recent Progr. Horm. Res. 15(1959)201-230; L.Starka et al., Clin. Chim. Acta 7 (1961) 309-316]. С тех пор сообщалось об интенсивном 7 -гидроксилировании 3 -гидроксистероидных субстратов (включая ДГЕА и эпиандростерон – ЭПИА) в препаратах тканей из многих человеческих органов, включая печень взрослых и плода, яички, придаток яичка, кожу, ткань молочных желез, простату, клетки стромы жировой ткани и миндалины. Гидроксилирование ДГЕА в 7-положении было также продемонстрировано в печени крыс и во многих тканях и органах мышей. Во всех этих исследованиях 7 -гидрокси-ДГЭА был большей частью основным продуцируемым метаболитом. Действительно, Doostzadeh et al. [Steroids, 63 (1998) 608-614] сообщили, что степень продукции 7 -гидрокси-ДГЭА микросомами печени мышей была более чем в пятнадцать раз выше степени продукции 7 -гидрокси-ДГЭА.
ЭПИА, ДГЭА и прегненолон, как было показано, быстро и интенсивно трансформируются в их соответствующие 7 -гидрокси-метаболиты в головном мозге крыс [J.M.Guiraud et al., Steroids 34 (1979) 241-248; M.Warner et al., Endocrinology 124 (1989} 2699-2706; Y. Akwa et al., Biochem. J. 288 (1992) 959-964].
В WO 97/37664 раскрыто использование некоторых специфических соединений, включающих 7 -гидроксизамещенные стероиды, для лечения нейропсихиатрических, иммунных и эндокринных заболеваний. Среди заболеваний, описанных в WO 97/37664, для лечения которых могут применяться эти соединения, включена и болезнь Альцгеймера. Однако механизм, предполагаемый для этого действия, основан на гипотезе о том, что данное заболевание является результатом дефицита 7 -гидроксизамещенных стероидов в головном мозге, и лечение, предложенное в WO 97/37664, таким образом исправляет этот дефицит путем введения 7 -гидроксизамещенного стероида для замещения отсутствующего соединения. Процедура, описанная в WO 97/37664, таким образом, скорее обеспечивает лечение существующего патологического состояния, а не профилактику патологического состояния или профилактику ухудшения патологического состояния путем предотвращения дальнейшего нейронного повреждения. Поэтому в WO 97/37664 не описан нейропротективный эффект. В нем также не предполагается, что соединения могут использоваться для предотвращения повреждения, вызванного неожиданным и травмирующим событиями, такого как инсульт.
Неожиданно обнаружено, что 7-гидроксиэпиандростерон, один из , или смесь, может использоваться для защиты от острого и хронического нейронного повреждения, вызванного такими явлениями, как инсульт, травма головного мозга и церебральная ишемия, такого, которое может быть вызвано субарахноидальным кровоизлиянием или которое происходит во время хирургической операции шунтирования на сердце.
При таких явлениях, как продолжительная гипоксия и ишемия, которые могут ассоциироваться или не ассоциироваться с гипогликемией, происходит повреждение нейронов разной степени.
Ишемия обычно развивается во время сердечных приступов, но повреждение, происходящее в это время, по существу ограничено тканями сердца, и было разработано определенное лечение. Что касается настоящего изобретения, оно относится к эффектам более долговременной ишемии на головной мозг, такой, которая происходит у пациентов с инсультом или в результате травмы головы. Тяжесть ишемии зависит от природы инсульта или травмы, но неизменно присутствует повреждение головного мозга, и это – как раз то, к чему относится настоящее изобретение.
Специалистам известны различные нейропротективные средства, с помощью которых пытаются облегчить проблему повреждения головного мозга, но все из тех, которые известны в настоящее время, обладают свойством быть связанными с неблагоприятными побочными эффектами. Например, МК801 (дизосилпина малеат) имеет довольно простую молекулу, и как известно, дает некоторый уровень нейронозащиты у пациентов с ишемией. Однако МК801 связан также с «психотропными эффектами тревоги» (Martindale), a также неблагоприятными моторными эффектами. Нейропротективные эффекты детализированы в Brain Research, 755 (1997) 36-46 (Pringle, А.К., et al.), включенной сюда в виде ссылки. Эти же авторы описывают также нейропротективные эффекты конотоксина в более ранней статье, но несмотря на нейропротективные эффекты данного соединения, наблюдаются неблагоприятные побочные эффекты in vivo.
Таким образом, данное изобретение состоит в использовании для производства лекарственного препарата для защиты от острого и хронического повреждения нейронов 7-гидроксиэпиандростерона (7-гидрокси-ЭПИА).
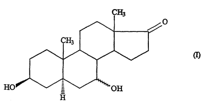
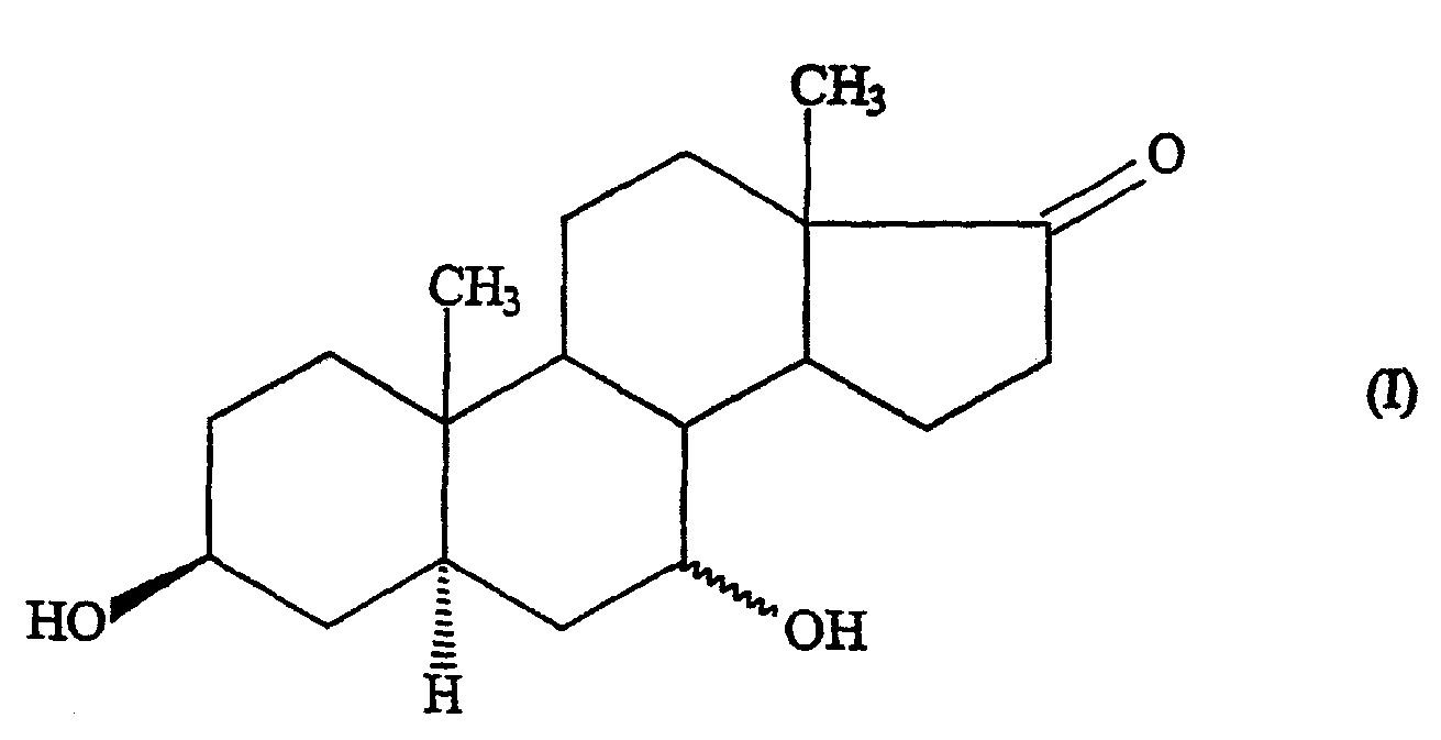
Это соединение может быть представлено формулой (I):

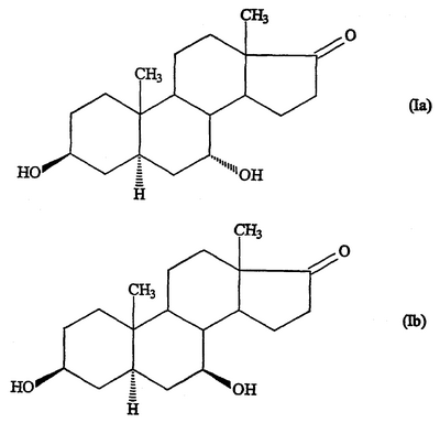
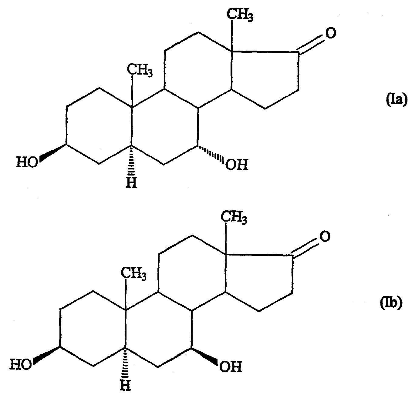
и 7 – и 7 -изомеры представляют, соответственно:

Данное изобретение также включает использование предшественников данных соединений и соединений, которые in vivo метаболизируются с получением данных соединений.
Изомеры и могут использоваться отдельно или в смеси и, если в смеси, то могут присутствовать в любых пропорциях. Однако 7 -изомер, по-видимому, проявляет большую активность и поэтому в настоящее время предпочтительнее.
Соединения настоящего изобретения могут быть получены с помощью ряда процессов, хорошо известных сами по себе, исходя из родственных стероидов. Например, они могут быть получены методами, описанными в литературе, на которую ссылались выше, которые должны дать смесь 7 и соответствующего 7 соединений, которые затем можно разделить хорошо известными методами.
В качестве примера, 7 – и/или 7 -гидрокси-ЭПИА могут быть получены из ДГЭА аллильным окислением после защиты 3 -гидроксигруппы и 17-кетоновой группы с использованием общепринятых методов. Данный продукт затем восстанавливают с помощью растворимого каталитического соединения металла (такого, как гидрид натрия) и у 3 -гидрокси и 17-кетоновой групп удаляют защиту. 7 -Гидрокси и 7 -гидрокси эпимеры можно затем, если желательно, разделить обычными средствами, например колоночной хроматографией и 7 и 7 -гидрокси-ЭПИА могут быть кристаллизованы до чистоты.
Альтернативно, 7 – и 7 -гидрокси-ЭПИА могут быть получены, как проиллюстрировано следующей схемой реакций:
 
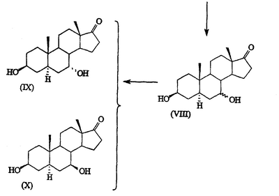
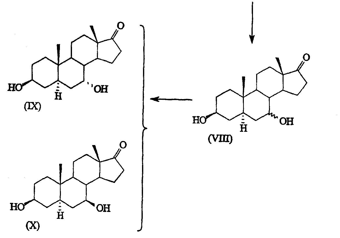
На этой схеме реакций ДГЭА (II) ацетилируют с получением соответствующего ацетата формулы (III), который затем приводят во взаимодействие с этиленгликолем с получением кеталя формулы (IV). Кеталь (IV) затем окисляют, как описано в примере 3, получая соответствующее 7-кетосоединение (V), которое затем дезацетилируют с получением соединения формулы (VI). Это соединение восстанавливают с получением 7-гидрокси-17-кеталь-ЭПИА формулы (VII), которое затем обрабатывают кислотой для удаления группы кеталя и получают 7-гидрокси-ЭПИА, которое в конце разделяют на 7 – и 7 -изомеры хроматографией с получением 7 -гидрокси-ЭПИА (IX) и 7 -гидрокси-ЭПИА (X).
Соединения данного изобретения могут применяться у пациента, если предполагается, что ему грозит опасность ишемического явления в результате, главным образом, инсульта или травмы головы или, если у них предполагают развитие хронического нейродегенеративного заболевания, такого как болезнь Альцгеймера или CIND, которому может способствовать хроническая подпороговая ишемия мозга или сниженная выработка энергии нейронами, такая, которая часто наблюдаются в стареющем головном мозге. Такое профилактическое применение может быть чрезвычайно полезным. Однако было также продемонстрировано, что соединения данного изобретения обладают полезной активностью, даже если применяются после ишемического явления, но будет понятно, что предпочтительно вводить соединения как можно скорее, чтобы как можно больше избежать дегенерации нейронов. При некоторых обстоятельствах может быть желательно вводить повторные дозы, особенно когда у пациента остается угроза ишемического явления.
Подходящими методами введения в основном являются инъекции, чтобы достичь желаемого результата как можно скорее. Так, внутривенная инъекция является особенно предпочтительной, но при некоторых обстоятельствах может быть предпочтительно вводить соединение непосредственно в спинно-мозговую жидкость.
Доза соединения данного изобретения будет меняться в зависимости от многих факторов, включая возраст, вес тела и общее состояние пациента, а также способ, частоту и путь введения. Однако в основном рекомендуется доза от 0,01 до 50 мг/кг веса тела, причем доза от 0,05 до 20 мг/кг веса тела более предпочтительна. Это количество можно вводить в виде одной дозы или в дробных дозах.
Данное изобретение далее иллюстрируется следующими не ограничивающими примерами, из которых примеры с 1 по 20 иллюстрируют получение соединений данного изобретения, а примеры 21 и 22 иллюстрируют их активность. В примерах с 1 по 20 римские цифры относятся к формулам на схемах реакций, представленных выше.
ПРИМЕР 1
ДГЕА-3-ацетат (III)
Раствор 50 мл пиридина и 50 мл уксусного ангидрида, содержащий 10 г ДГЭА (II) (34,72 ммоль), нагревали с обратным холодильником в течение 4 часов. Реакционную среду охлаждали, выливали в воду и экстрагировали этилацетатом. Органическую фазу сушили над безводным сульфатом натрия и выпаривали до сухости. Получали 11,0 г ДГЭА-3-ацетата (III) (33,33 ммоль, 96%), который перекристаллизовывали из этанола.
ПРИМЕР 2
17-Кеталь-ДГЭА-3-ацетат (IV)
Раствор из 100 мл толуола, содержащего 5 г ДГЭА-3-ацетата (III) (15,15 ммоль), 5 мл этиленгликоля и каталитическое количество п-толуолсульфоновой кислоты, нагревали с обратным холодильником с паровой дистилляцией, используя аппарат Дина-Старка (Dean-Stark), в течение 24 часов. Реакционную среду выливали в 100 мл 10% вес/объем водного раствора карбоната калия. Органическую фазу декантировали. Водную фазу экстрагировали этилацетатом. Органические фазы объединяли и выпаривали до сухости. Получали 5,10 г 17-кеталь-3-ДГЭА-ацетата (IV) (13,64 ммоль, 90%), который перекристаллизовывали из этанола.
Пример 3
7-Кето-17-кеталь-ДГЭА-3-ацетат (V)
Раствор из 70 мл пиридина, содержащий 5 г 17-кеталь-ДГЭА-3-ацетата (IV) (13,37 ммоль) и каталитическое количество бенгальского розового (Bengal Rose) облучали, используя ртутную лампу среднего давления при барботаже кислородом. Через 24 часа к реакционной среде добавляли каталитическое количество ацетата меди. Реакционную среду через 24 часа выпаривали до сухости. Остаток очищали флэш-хроматографией (SiO2/этилацетат:циклогексан 3/7). Получали 3,11 г 7-кето-17-кеталь-ДГЭА-3-ацетата (V) (8,02 ммоль, 60%).
ПРИМЕР 4
7-Кето-17-кеталь-ДГЭА (VI)
Раствор из 50 мл метанола, содержащий 1% гидроксида калия и 1 г 7-кето-17-кеталь-ДГЭА-3-ацетата (V) (2,58 ммоль), нагревали с обратным холодильником в течение 2 часов. Реакционную среду затем охлаждали, нейтрализовали и затем экстрагировали этилацетатом. Органическую фазу сушили над безводным сульфатом натрия и затем выпаривали до сухости. Получали 802 мг 7-кето-17-кеталь-ДГЭА 5 (2,32 ммоль, 90%), который перекристаллизовывали из метанола.
ПРИМЕР 5
7-Гидрокси-17-кеталь-ЭПИА (VII)
10 г 7-кето-17-кеталь-ДГЭА (VI) (28/90 ммоль) добавляли к раствору жидкого аммиака при -33°С, содержащему 2,65 г натрия. После 4 часов добавляли хлорид аммония до тех пор, пока не исчезал синий цвет. Затем добавляли 2,65 г натрия. После 4 часов снова добавляли хлорид аммония до тех пор, пока не исчезал синий цвет. Добавляли воду и аммиаку давали испариться. Реакционную среду экстрагировали этилацетатом. Органическую фазу сушили над безводным сульфатом натрия и выпаривали до сухости. Получали 6,07 г 7-гидрокси-17-кеталь-ЭПИА (VII) (17,34 ммоль, 60%).
ПРИМЕР 6
7-Гидрокси-ЭПИА (VIII)
Раствор из 100 мл ацетона, содержащий 5 мл воды, 10 г 7-гидрокси-17-кеталь-ЭПИА (VII) (28,57 ммоль, 50%) и каталитическое количество п-толуолсульфоновой кислоты, нагревали с обратным холодильником в течение 4 часов. Реакционную среду охлаждали, выливали в 100 мл 10% вес/объем водного раствора карбоната натрия и затем экстрагировали этилацетатом. Органическую фазу сушили над безводным сульфатом натрия и затем выпаривали до сухости. Остаток очищали флэш-хроматографией (SiO2/этилацетат). Получали 5,24 г 7-гидрокси-ЭПИА (VIII) (17,14 ммоль, 60%).
ПРИМЕР 7
7 -Гидрокси-ЭПИА (IX) и 7 -гидрокси-ЭПИА (X)
7-гидрокси-ЭПИА (VIII) (5 г), содержащий 7 и 7 эпимеры в соотношении 65/35, очищали флэш-хроматографией (Al2O3/CHCl3). Первым получали 7 -гидрокси-ЭПИД (X) (2,5 г) перед 7 -гидрокси-ЭПИА (IX) (1,34 г). 7 -Гидрокси-ЭПИА (X) и 7 -гидрокси-ЭПИА (IX) перекристаллизовывали из этилацетата.
ПРИМЕР 8
Методика изучения гипоксического нейронного повреждения
Органотипические культуры срезов гиппокампа получали, используя базисный метод Pringle et al (1996, 1997), модифицированный следующим образом.
Крысят линии Wistar (8-11-дневного возраста) декапитировали и гиппокамп быстро иссекали и помещали в ледяной сбалансированный солевой раствор Гея (Gey), дополненный 4,5 мг/мл глюкозы. Срезы отделяли и помещали на культуральные вставки Millicell СМ (4 на ячейку) и выдерживали при 37°С/5% СО2 в течение 14 дней. Поддерживающая среда состояла из 25% инактивированной прогреванием лошадиной сыворотки, 25% сбалансированного солевого раствора Хенкса (HBSS = ССРХ) и 50% основной минимальной среды, с добавлением солей Ирла (Earle’s) (MEM), дополненной 1 мМ глютамина и 4,5 мг/мл глюкозы. Среду заменяли через каждые 3-4 дня.
Экспериментальную гипоксию производили, как описано ранее (Pringle et al., 1996; 1997). В кратком изложении, культуры переносили в бессывороточную среду (SFM = БСС -75% MEM, 25% ССРХ, дополненных 1 мМ глютамина и 4,5 мг/мл глюкозы), содержащую 5 мкг/мл флуоресцентного красителя исключения пропидия йодида (PI). Культурам давали уравновеситься в БСС в течение 60 минут перед получением изображения. Флуоресценцию PI регистрировали, используя инвертированный микроскоп Leica, снабженный набором родаминовых фильтров. Любые культуры, в которых на этой стадии регистрировалась PI флуоресценция, исключали из дальнейшего исследования. Гипоксию вызывали перенесением культур в БСС (+PI), которая была насыщена 95%N2/5%CO2. Планшеты с культурой (без крышек) затем герметично закрывали в непроницаемую для воздуха камеру, в которой атмосферу насыщали 95%N2/5%CO2 путем продолжительного продувания газом при 10 л/мин перед тем, как герметично закрыть, и помещали в термостат на 170 мин (общее время гипоксии составляло поэтому 180 мин). В конце периода гипоксии культуры возвращали в нормально снабжаемую кислородом БСС, содержащую PI, и снова помещали в термостат на 24 часа.
Повреждение нейронов оценивали, как описано ранее (Pringle et al., 1996; 1997), используя или программу NIH Image 1.60 на компьютере Apple IIsi или программу OpenLab 2.1 (Improvision) на Macintosh G4/400. Изображения фиксировали, используя монохроматическую камеру, и сохраняли на оптическом диске для автономного анализа. Изображения в проходящем свете фиксировали перед добавлением лекарственных средств, а изображения флуоресценции PI регистрировали в конце 24-часового периода восстановления после гипоксии. Площадь СА1 клеточного слоя определяли по изображению в проходящем свете. Площадь PI флуоресценции в СА1 измеряли, используя функцию плотности среза в NIH Image или Openlab, и повреждение нейронов выражали как процент СА1, в которых обнаруживалась PI флуоресценция выше фоновой.
Стероидные соединения подготавливали путем изготовления исходного раствора 1 мг/мл в этаноле и последующим разбавлением в БСС. Соединения добавляли к культурам на 45 минут перед гипоксией, во время гипоксического эпизода и во время постгипоксического периода восстановления. Контрольные эксперименты состояли из культур, обработанных только носителем.
РЕЗУЛЬТАТЫ
Эксперимент 1
Начальный эксперимент выполняли для определения того, являются ли 7 ОН-ЭПИА и 7 ОН-ЭПИА нейропротективными при высокой концентрации 100 нМ. Гипоксия вызывала поражение у 25,5±6,4% СА1. Это повреждение значительно снижалось как 7 ОН-ЭПИА, так и 7 ОН-ЭПИА, когда они присутствовали до, во время и после гипоксии, как показано в таблице 1.
| Таблица 1 |
| Соединение |
N |
% повреждения в СА1 |
| Контроль гипоксии |
17 |
25,5±6,4% |
Гипоксия + 100 нМ 7 ОН-ЭПИА |
16 |
4,0±2,9 |
Гипоксия + 100 нМ 7 ОН-ЭПИА |
16 |
9,0±4,7 |
Эксперимент 2
После определения того, что – и -изомеры 7ОН-ЭПИА являются нейропротективными, оценивали зависимость этого эффекта от концентрации. Гипоксия в контроле давала в результате нейронное повреждение до 31,9±4,7% СА1. 7 ОН-ЭПИА был значительно защитным при 100 нМ. Небольшое, но статистически незначимое снижение нейронного повреждения наблюдалось при 10 нМ, и не было эффекта при 1 нМ. По контрасту, 7 ОН-ЭПИА был значительно нейропротективным при 10нМ и 100 нМ, но активность терялась, если концентрация снижалась до 1 нМ (См. таблицу 2).
| Таблица 2 |
| Соединение |
N |
% повреждения в СА1 |
| Контроль гипоксии |
29 |
31,9±4,7 |
Гипоксия + 1 нМ 7 ОН-ЭПИА |
14 |
28,8±5,8 |
Гипоксия + 10 нМ 7 ОН-ЭПИА |
15 |
21,9±8,1 |
Гипоксия + 100 нМ 7 ОН-ЭПИА |
16 |
11,8±2,8 |
Гипоксия + 1 нМ 7 ОН-ЭПИА |
15 |
20,6±7,2 |
Гипоксия +10 нМ 7 ОН-ЭПИА |
12 |
11,9±4,7 |
Гипоксия + 100 нМ 7 ОН-ЭПИА |
13 |
14,3±5,0 |
ПРИМЕР 8
Общая церебральная ишемия у крыс (окклюзия 4 сосудов)
Церебральную ишемию вызывали окклюзией четырех сосудов (4СО) у самцов крыс Wistar (250-280 г). Производили окклюзию обеих позвоночных артерий путем электрокоагуляции при анестезии пентобарбиталом (60 мг/кг в/б). Животным давали восстановиться в течение 24 часов при свободном доступе к воде, но без пищи. На следующий день сонные артерии подвергали анестезии 2% галотаном в смеси 30% кислорода/70% оксида азота и производили окклюзию в течение 10 минут, используя микрососудистые зажимы. Затем оба зажима удаляли и обе артерии обследовали на немедленное восстановление кровотока. Во время операции и последующих 3 часов нормотермию животных (37,5±0,5°С) поддерживали путем использования термостатически регулируемого нагревающего одеяла, соединенного с ректальным термометром. Для контроля у имитационно оперированных животных обе вертебральные артерии коагулировали при анестезии пентобарбиталом и обе сонные артерии выделяли, но не пережимали при анестезии 2% галотаном в 30% кислороде/70% закиси азота на следующий день. Рану обрабатывали лидокаиновым гелем и затем накладывали швы. Животных содержали под согревающей лампой при температуре окружающей среды 30°С до тех пор, пока они не приходили в сознание.
Исследовали семь групп животных:
1) (n=8) стероидное соединение, 7 ОН-ЭПИА (0,1 мг/кг, в/в, в хвостовую вену, три инъекции: за 15 минут перед созданием ишемии и через 5 минут после восстановления кровотока);
2) (n=8) стероидное соединение, 7 ОН-ЭПИА (0,3 мг/кг, в/в, три инъекции, как описано в 1));
3) (n=8) стероидное соединение, 7 ОН-ЭПИА (1 мг/кг, в/в, три инъекции, как описано в 1));
4) (n=8) NBQX (динатриевая соль, так как лучше растворима в воде) как вещество для сравнения и положительный контроль (TOCRIS, Germany, 30 мг/кг, в/в, три инъекции, как описано в 1));
5) (n=8) получали носитель (0,9% NaCl, содержащий 100 мкл этанола) три инъекции, как описано в 1));
6) (n=8) только ишемия;
7) (n=8) имитационно оперированные контроли; NBQX представляет собой 2,3-дигидрокси-6-нитро-7-сульфамоилбензо(F)хиноксалин и, как известно, обладает нейропротективной активностью [Gill, R., Nordholm, L., Lodge D.: The neuroprotective action of 2,3-dihidroxy-6-nitro-7-sulfamoyl-benzo(F)quinoxaline (NBQX) in a rat focal ishemia model. Brain Res. 580, 35-43, 1992].
7 ОН-ЭПИА является 7 -гидроксиэпиандростероном – соединением данного изобретения.
Вещества растворяли в 100 мкл этанола и в конце разбавляли 0,9% NaCl.
После времени выживания, равного 7 дням после ишемии, всех животных фиксировали перфузией, транскардиально, 4% параформальдегида. Мозг затем осторожно удаляли и затем фиксировали тем же фиксативом в течение 2 часов. После криозащиты в 30% сахарозе мозг быстро замораживали в изопентане и хранили при -80°С. Двадцатимикрометровые криостатные срезы, содержащие гиппокампное образование, окрашивали по Nissl толуидиновым синим или с помощью флуоресценции NeuroTrace.
Данные анализа
Тяжесть нейронного повреждения в гиппокампной области СА1 после ишемии оценивали по числу выживших нейронов, используя окрашивание Nissl. Среднее число морфологически интактных нейронов на 400 мкм длины рассчитывали в СА1 области для каждой группы. Подсчет клеток выполняли в сериях из 3-5 срезов на животное и 6 раз по 400 мкм СА1 области на срез, используя световой микроскоп, снабженный объективом 20 х. Данные статистически анализировали с помощью двустороннего критерия Стъюдента. Данные представлены как среднее арифметическое ± СКО.
Результаты и обсуждение
Результаты представлены на фиг. 1А-1С.
Морфологически интактные нейроны гиппокампа СА1 оценивали путем Nissl окрашивания (толуидиновый синий и NeuroTrace, фиг. 1В) с помощью следующих критериев: четкой формы нейронного перикария, большого ядра с положительно помеченным ядрышком, небольшой зоной цитоплазмы вокруг ядра с положительным окрашиванием по Nissl, указывающим на интактный крупнозернистый эндоплазматический ретикулум с рибосомами и поэтому интактный механизм синтеза белков.
10 минут общей ишемии (умеренная ишемия) и время выживания, равное 7 дням, приводило к нейродегенерации пирамидальных клеток селективно в области гиппокампа СА1 (фиг. 1А-1С). Среднее число пирамидальных клеток в СА1 имитационно оперированных животных составляло 121,5±4,3 (взятого за 100%). Следовательно, 60% нейронов СА1 погибало после 10 минут общей ишемии (фиг. 1В). Число нейронов в группе животных с ишемией и в/в введением носителя (NaCl плюс 100 мкл этанола), примененных как описано в эксперименте, было сравнимо с числом в группе только с ишемией (фиг. 1А, 1В). NBQX (30 мг/кг, в/в, три инъекции, как описано в эксперименте) продемонстрировал значительную (р=0,03) нейропротекцию у СА1 пирамидальных клеток при сравнении с группой только с ишемией. По сравнению только с ишемией NBQX приводит к 47,5% нейропротекции, тогда как при сравнении с имитационно оперированными животными защитный эффект составлял 68,5%. Нейропротекция, вызванная NBQX, находилась в согласии с Gill et al., 1992 и Gill 1994, показывающих надежность модели общей ишемии, которую использовали в экспериментах. 7 ОН-ЭПИА приводит к зависимой от концентрации нейропротекции пирамидальных клеток СА1 гиппокампа после 10 минут общей ишемии и времени выживания, равного 7 дням (фиг. 1А). Т-анализ выявил высоко значимый нейропротективный эффект 7 ОН-ЭПИА при концентрациях 0,1 мг/кг (р=0,01) и 0,3 мг/кг (р=0,0008). При сравнении с имитационно оперированной группой 7 ОН-ЭПИА показал 74,8% (0,1 мг/кг) и 83,9% (0,3 мг/кг) нейропротективный эффект на СА1 пирамидальных клетках, соответственно (фиг. 1C). 7 ОН-ЭПИА в концентрации 1,0 мг/кг показал только тенденцию к нейрозащите, но эффект незначителен.
Во всех экспериментах с 7 ОН-ЭПИА, вводимым в/в перед, во время и после ишемии, не наблюдалось каких-либо поведенческих аномалий у животных.
Объяснения чертежей
Число морфологически интактных СА1 пирамидальных клеток гиппокампа у крыс через 7 дней после общей церебральной ишемии у крыс и под влиянием различных соединений.
Данные представлены как среднее арифметическое число ± СКО интактных нейронов на 400 мкм длины области СА1.
Данные выражали как процент интактных нейронов на 400 мкм длины СА1 области при сравнении с данными для имитационно оперированных животных, взятых за 100%.
Данные представлены как абсолютный процент нейропротекции, когда число выживших нейронов в группе с ишемией было принято за ноль, а их число в имитационно оперированной группе было принято за 100%.
Формула изобретения
1. Применение 7-гидроксиэпиандростерона в качестве активного агента для защиты от острого или хронического нейронного повреждения, вызванного гипоксией, ишемией, инсультом, травмой мозга, болезнью Альцгеймера, болезнью Паркинсона или повреждением спинного мозга.
2. Применение по п.1, при котором 7-гидрокси-эпиандростерон является 7 -гидроксиэпиандростероном.
3. Применение по п.1, при котором 7-гидрокси-эпиандростерон является 7 -гидроксиэпиандростероном.
4. Применение по п.1, при котором 7-гидрокси-эпиандростерон является смесью 7 -гидроксиэпиандростерона и 7 -гидроксиэпиандростерона.
5. Применение по любому из предшествующих пунктов, при котором нейронное повреждение вызвано инсультом или травмой головного мозга.
6. Применение по любому предшествующему пункту, при котором нейронное повреждение вызвано болезнью Альцгеймера, болезнью Паркинсона, или повреждением спинного мозга.
РИСУНКИ
|
|