|
|
(21), (22) Заявка: 2006102398/09, 27.01.2006
(24) Дата начала отсчета срока действия патента:
27.01.2006
(46) Опубликовано: 27.09.2007
(56) Список документов, цитированных в отчете о поиске:
ЛОКШИН Б.А. Цифровое вещание – от студии к телезрителю. – М.: Компания САЙРУС СИСТЕМС, 2001, с.287, рис.11.8. WO 2005/107408 A2, 17.11.2005. RU 2127960 C1, 20.03.1999. US 2006020962 A1, 26.01.2006.
Адрес для переписки:
105064, Москва, ул. Казакова, 16, НИИР Канцелярия “Патентные поверенные Квашнин, Сапельников и партнеры”, пат.пов. В.П.Квашнину
|
(72) Автор(ы):
Кривошеев Марк Иосифович (RU), Плотников Андрей Анатольевич (RU), Лопато Семен Исаакович (RU)
(73) Патентообладатель(и):
Федеральное государственное унитарное предприятие Ордена Трудового Красного Знамени научно-исследовательский институт радио (RU)
|
(54) УСТРОЙСТВО АБОНЕНТСКОГО ПРИЕМА СИГНАЛОВ ЦИФРОВОГО ИНТЕРАКТИВНОГО ТЕЛЕВИЗИОННОГО ВЕЩАНИЯ, ОБЕСПЕЧИВАЮЩЕЕ УПРАВЛЕНИЕ БЫТОВЫМИ ЭЛЕКТРОННЫМИ УСТРОЙСТВАМИ ПО ТЕХНОЛОГИИ “УМНОГО ДОМА”
(57) Реферат:
Изобретение относится к области телевидения (ТВ), в частности к устройствам абонентского приема сигналов цифрового интерактивного телевизионного вещания, и может найти применение при внедрении цифрового телевизионного вещания в России. Технический результат заключается в обеспечении возможности управления бытовыми электронными устройствами дома или офиса, то есть программирования указанных устройств с выдачей им программы и режима работы на любой промежуток времени с использованием технологии «умного дома». Устройство включает в себя центральный процессор, контроллер системной шины, системную шину, демультиплексор, декодер видео, декодер аудио, первый интерфейсный блок, процессор управления электронными бытовыми устройствами, блока формирования команд, первый блок памяти, второй интерфейсный блок, второй блок памяти, третий блок памяти, третий интерфейсный блок, четвертый интерфейсный блок, блок формирования команд, пятый интерфейсный блок и радиомодем. 1 ил.
Изобретение относится к области телевидения (ТВ), в частности к устройствам абонентского приема сигналов цифрового интерактивного телевизионного вещания, и может найти применение при внедрении цифрового ТВ вещания в России, так как применение данного изобретения позволит с помощью абонентских приемников цифрового интерактивного ТВ вещания, на основе пульта дистанционного управления и экранного пользовательского меню, осуществлять управление бытовыми электронными устройствами дома или офиса (домашние кинотеатры, музыкальные центры, кондиционеры, холодильники, микроволновые печи, кухонные комбайны, стиральные машины, посудомоечные машины и др.), программируя указанные устройства, т.е. задавая им программы и режимы работы на любой промежуток времени с использованием технологии «умного дома».
Данная функция, обеспечиваемая предлагаемым устройством, позволит реализовать дополнительные функции, привлекательные для пользователей, повысить спрос на абонентские приемники цифрового интерактивного ТВ вещания и тем самым ускорить процесс перехода на цифровое интерактивное ТВ вещание. При этом функция управления бытовыми электронными устройствами будет осуществляться без помощи персонального компьютера, на базе приемников цифрового интерактивного ТВ вещания, стоимость которых в 10-15 раз ниже стоимости персонального компьютера. Данное обстоятельство имеет жизненное значение для отечественного цифрового ТВ вещания, которое сможет стать массовым только в том случае, если предложит пользователям новые, привлекательные для них функции, не обеспечивавшиеся ранее аналоговым ТВ вещанием.
Известно устройство абонентского приема сигналов цифрового ТВ вещания, включающее центральный процессор, системную шину, контроллер шины, тюнер, демультиплексор, декодер видео и декодер звука.
Данные об указанном устройстве содержатся в книге: Б.А.Локшин. «Цифровое вещание – от студии к телезрителю». Москва, Издательство компании «Сайрус Системс», 2001, стр.287, рис.11.8.
В процессе приема сигналов цифрового ТВ вещания с помощью данного устройства принятый многопрограммный сигнал цифрового ТВ вещания с выхода тюнера поступает на демультиплексор, выделяющий из состава многопрограммного сигнала цифрового ТВ вещания выбранную абонентом ТВ программу. Выбранная ТВ программа декодируется декодером видео и декодером аудио, осуществляющими декомпрессию сигналов изображения и звукового сопровождения, компрессированных на передаче в соответствии со стандартом MPEG-2. Далее декомпрессированные цифровые сигналы видео и звука поступают на вход цифрового ТВ приемника, либо, после аналого-цифрового преобразования, на вход аналогового ТВ приемника. Все указанные блоки функционируют под управлением центрального процессора и обмениваются сигналами с центральным процессором посредством системной шины. Порядок обмена сигналами между блоками также определяется центральным процессором и осуществляется с помощью контроллера шины, работающего под управлением центрального процессора.
Недостатком известного устройства является то, что данное устройство не обеспечивает управления бытовыми электронными устройствами дома или офиса, т.е. программирования указанных устройств с выдачей им программы и режима работы на любой промежуток времени с использованием технологии «умного дома».
Наиболее близким по своей технической сущности к заявляемому техническому решению является устройство абонентского приема сигналов цифрового ТВ вещания, включающее центральный процессор, осуществляющий управление всеми блоками устройства, контроллер системной шины, осуществляющий преобразование команд управления, полученных от центрального процессора, в сигналы, передаваемые блокам устройства по системной шине, а также управляющий процедурами обмена сигналами по системной шине между блоками устройства, а также между центральным процессором и блоками устройства, вход которого соединен с выходом центрального процессора, демультиплексор, осуществляющий выделение из состава полученного с выхода тюнера многопрограммного сигнала цифрового ТВ вещания выбранную абонентом ТВ программу, декодер видео, осуществляющий декомпрессию сигналов изображения, компрессированных в соответствии со стандартом MPEG-2 на передаче, вход которого через системную шину соединен с выходом демультиплексора и с выходом контроллера системной шины, и декодер аудио, осуществляющий декомпрессию сигналов звукового сопровождения, компрессированных в соответствии со стандартом MPEG-2 на передаче, вход которого через системную шину также соединен с выходом демультиплексора и с выходом контроллера системной шины.
Недостатки данного устройства связаны с невозможностью управления бытовыми электронными устройствами дома или офиса, т.е. программирования указанных устройств с выдачей им программы и режима работы на любой промежуток времени с использованием технологии «умного дома».
Отсутствие в данном устройстве такой функции, не поддерживавшейся ранее приемными устройствами аналогового ТВ вещания, снижает его привлекательность для пользователей и, тем самым, замедляет переход на цифровое ТВ вещание.
В основу изобретения положена задача создать устройство абонентского приема сигналов цифрового ТВ вещания, дающее возможность управления бытовыми электронными устройствами дома или офиса, т.е. программирования указанных устройств с выдачей им программы и режима работы на любой промежуток времени с использованием технологии «умного дома».
Реализация данного изобретения позволить повысить привлекательность приемников цифрового интерактивного ТВ вещания для пользователей, повысить спрос на указанные приемники и, тем самым, ускорить переход на цифровое интерактивное ТВ вещание.
Данная задача решена с помощью устройства абонентского приема сигналов цифрового ТВ вещания, включающего центральный процессор, осуществляющий управление всеми блоками устройства, контроллер системной шины, осуществляющий преобразование команд управления, полученных от центрального процессора, в сигналы, передаваемые блокам устройства по системной шине, а также управляющий процедурами обмена сигналами по системной шине между блоками устройства, а также между центральным процессором и блоками устройства, вход которого соединен с выходом центрального процессора, демультиплексор, осуществляющий выделение из состава полученного с выхода тюнера многопрограммного сигнала цифрового ТВ вещания выбранную абонентом ТВ программу, декодер видео, осуществляющий декомпрессию сигналов изображения, компрессированных в соответствии со стандартом MPEG-2 на передаче, вход которого через системную шину соединен с выходом демультиплексора и с выходом контроллера системной шины, и декодер аудио, осуществляющий декомпрессию сигналов звукового сопровождения, компрессированных в соответствии со стандартом MPEG-2 на передаче, вход которого через системную шину также соединен с выходом демультиплексора и с выходом контроллера системной шины, причем в устройство дополнительно введены первый интерфейсный блок, обеспечивающий получение с системной шины данных о появлении на экране телевизионного приемника пользовательского меню управления бытовыми электронными устройствами, т.е. о начале осуществления абонентом программирования указанных устройств, вход которого через системную шину подключен к выходу центрального процессора, процессор управления электронными бытовыми устройствами, получающий данные о командах управления бытовыми электронными устройствами, реализуемых абонентом с помощью экранного меню, и формирующий команды программирования электронных бытовых устройств, первый вход которого через системную шину подключен к выходу первого интерфейсного блока, а второй вход – к выходу блока формирования команд, первый блок памяти, содержащий список типов программируемых бытовых электронных устройств, первый вход которого через системную шину подключен к выходу процессора управления электронными бытовыми устройствами, а второй вход – к выходу второго интерфейсного блока, с помощью которого осуществляется пополнение и изменение указанного списка типов программируемых электронных бытовых устройств, второй блок памяти, содержащий набор протоколов управления каждого из существующих электронных бытовых устройств (всех известных типов устройств всех известных производителей), первый вход которого через системную шину подключен к выходу процессора управления электронными бытовыми устройствами, а второй вход – к выходу третьего интерфейсного блока, с помощью которого осуществляется пополнение и изменение указанного набора протоколов управления электронными бытовыми устройствами, третий блок памяти, содержащий список режимов и частотных диапазонов радиосвязи с электронными бытовыми устройствами, первый вход которого через системную шину подключен к выходу процессора управления электронными бытовыми устройствами, а второй вход – к выходу четвертого интерфейсного блока, с помощью которого осуществляется пополнение и изменение указанного списка режимов и частотных диапазонов, блок формирования команд, формирующий команды управления электронными бытовыми устройствами, первый вход которого подключен к выходу первого блока памяти, второй вход – к выходу второго блока памяти, третий вход – к выходу третьего блока памяти, а выход – ко второму входу процессора управления электронными бытовыми устройствами, пятый интерфейсный блок, получающий от процессора управления электронными бытовыми устройствами команды управления указанными устройствами, вход которого через системную шину подключен к выходу процессор управления электронными бытовыми устройствами, и радиомодем, вход которого подключен к выходу пятого интерфейсного блока, а выход – к приемопередающей антенне.
Сущность работы предлагаемого устройства состоит в следующем.
Каждый раз, когда абонент с помощью пульта дистанционного управления и экранного меню вводит команду управления электронным бытовым устройством, данные реализуемой абонентом команды по системной шине поступают на первый интерфейсный блок 6 и далее по системной шине на первый вход процессора управления электронными бытовыми устройствами 7. Процессор управления электронными бытовыми устройствами 7 выделяет из состава принятых данных данные о типе электронного бытового устройства (домашний кинотеатр, холодильник, кухонный комбайн и др.) и по системной шине выдает эти данные на вход первого блока памяти 8, который сравнивает полученные данные с имеющимся у него списком электронных бытовых устройств и по совпадению выдает часть команды управления электронными бытовыми устройствами, содержащую информацию о типе устройства, на первый вход блока формирования команд 14. Одновременно процессор управления электронными бытовыми устройствами 7 по системной шине выдает данные о типе электронного бытового устройства на первый вход второго блока памяти 8, который активизирует ту часть памяти, в которой находятся протоколы управления каждым из электронных бытовых устройств данного типа, и начинает перебор указанных протоколов, по очереди выдавая каждый из них на второй вход блока формирования команд 14. Одновременно процессор управления электронными бытовыми устройствами 7 по системной шине выдает команду третьему блоку памяти 9 на начало процедуры перебора режимов и диапазонов частот радиосвязи с электронными бытовыми устройствами. Третий блок памяти 9 по очереди выдает данные каждого из режимов на третий вход блока формирования команд 14. Синхронизация режимов перебора, осуществляемых вторым и третьим блоками памяти, осуществляется процессором управления электронными бытовыми устройствами 7 с помощью команд, передаваемых по системной шине. Получая данные от первого, второго и третьего блоков памяти, блок формирования команд 14 на каждом шаге синхронизованного перебора формирует команду управления электронным бытовым устройством и выдает ее на второй вход процессора управления электронными бытовыми устройствами 7, который преобразует ее в вид, необходимый для выдачи на системную шину, и по системной шине выдает на вход пятого интерфейсного блока 15, который выдает указанную команду на вход радиомодема 16. Радиомодем 16 через приемопередающую антенну выдает сигнал управления в эфир. Вышеперечисленные процедуры выполняются на каждом шаге синхронизованного перебора до тех пор, пока тип электронного бытового устройства, протокол управления, режим и диапазон частот радиосвязи не совпадут с типом, протоколом управления, режимом и диапазоном частот радиосвязи, поддерживаемыми электронным бытовым устройством, находящимся в квартире или офисе. В этом случае указанное устройство выдает ответный сигнал, который принимается радиомодемом 16 и через интерфейсный блок по системной шине выдается на первый вход процессора управления электронными бытовыми устройствами 7. Таким образом устанавливается связь между абонентским приемником и электронным бытовым устройством, и далее абонентский приемник передает на электронное бытовое устройство данные управления, формируемые в соответствии с технологией «умного дома».
Все указанные блоки реализуются на базе программируемых промышленных модулей, серийно выпускаемых многими компаниями. Так, процессор и блок формирования команд могут быть реализованы на базе программируемых процессорных модулей AT90S8535-8PI, выпускаемого компанией Atmel, первый, второй, третий, четвертый и пятый интерфейсные блоки – на базе интерфейсных модулей ЕРМ7128АТС100-12, выпускаемых компанией Altera, блоки памяти – на базе модулей Flash – памяти Am29LV008B, выпускаемого компанией AMD, радиомодем – на базе процессора XS200, выпускаемого компанией SAGEM.
Все указанные блоки имеют собственное программное обеспечение, входящее в комплект поставки и способное в полном объеме выполнять набор функций, указанных выше для каждого из блоков.
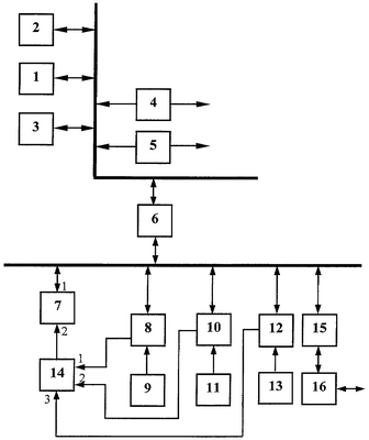
На чертеже изображена структурная схема устройства абонентского приема сигналов цифрового интерактивного ТВ вещания, обеспечивающее точное измерение зрительского рейтинга ТВ передач и программ.
Устройство, изображенное на чертеже, содержит центральный процессор 1, осуществляющий управление всеми блоками устройства, контроллер системной шины 2, осуществляющий преобразование команд управления, полученных от центрального процессора, в сигналы, передаваемые блокам устройства по системной шине, а также управляющий процедурами обмена сигналами по системной шине между блоками устройства, а также между центральным процессором и блоками устройства, демультиплексор 3, осуществляющий выделение из состава полученного с выхода тюнера многопрограммного сигнала цифрового ТВ вещания выбранную абонентом ТВ программу, декодер видео 4, осуществляющий декомпрессию сигналов изображения, компрессированных в соответствии со стандартом MPEG-2 на передаче, декодер аудио 5, осуществляющий декомпрессию сигналов звукового сопровождения, компрессированных в соответствии со стандартом MPEG-2 на передаче, первый интерфейсный блок 6, обеспечивающий получение с системной шины данных о появлении на экране телевизионного приемника пользовательского меню управления бытовыми электронными устройствами, т.е. о начале осуществления абонентом программирования указанных устройств, процессор управления электронными бытовыми устройствами 7, получающий данные о командах управления бытовыми электронными устройствами, реализуемых абонентом с помощью экранного меню, и формирующий команды программирования электронных бытовых устройств, первый блок памяти 8, содержащий список типов программируемых бытовых электронных устройств, второй интерфейсный блок 9, с помощью которого осуществляется пополнение и изменение указанного списка типов программируемых электронных бытовых устройств, второй блок памяти 10, содержащий набор протоколов управления каждого из существующих электронных бытовых устройств (всех известных типов устройств всех известных производителей), третий интерфейсный блок 11, с помощью которого осуществляется пополнение и изменение указанного набора протоколов управления электронными бытовыми устройствами, третий блок памяти 12, содержащий список режимов и частотных диапазонов радиосвязи с электронными бытовыми устройствами, четвертый интерфейсный блок 13, с помощью которого осуществляется пополнение и изменение указанного списка режимов и частотных диапазонов, блок формирования команд 14, формирующий команды управления электронными бытовыми устройствами, пятый интерфейсный блок 15, получающий от процессора управления электронными бытовыми устройствами команды управления указанными устройствами, и радиомодем 16.
Заявленное устройство создает возможность управления бытовыми электронными устройствами дома или офиса, т.е. программирования указанных устройств с выдачей им программы и режима работы на любой промежуток времени с использованием технологии «умного дома». Данная функция, обеспечиваемая предлагаемым устройством, позволит реализовать дополнительные функции, привлекательные для пользователей, повысить спрос на абонентские приемники цифрового интерактивного ТВ вещания и тем самым ускорить процесс перехода на цифровое интерактивное ТВ вещание.
Формула изобретения
Устройство абонентского приема сигналов цифрового телевизионного вещания, включающее центральный процессор, осуществляющий управление всеми блоками устройства, контроллер системной шины, осуществляющий преобразование команд управления, полученных от центрального процессора, в сигналы, передаваемые блокам устройства по системной шине, а также управляющий процедурами обмена сигналами по системной шине между блоками устройства, а также между центральным процессором и блоками устройства, вход которого соединен с выходом центрального процессора, демультиплексор, осуществляющий выделение из состава полученного с выхода тюнера многопрограммного сигнала цифрового телевизионного вещания выбранную абонентом ТВ программу, декодер видео, осуществляющий декомпрессию сигналов изображения, компрессированных в соответствии со стандартом MPEG-2 на передаче, вход которого через системную шину соединен с выходом демультиплексора и с выходом контроллера системной шины, и декодер аудио, осуществляющий декомпрессию сигналов звукового сопровождения, компрессированных в соответствии со стандартом MPEG-2 на передаче, вход которого через системную шину также соединен с выходом демультиплексора и с выходом контроллера системной шины, отличающееся тем, что в устройство дополнительно введены первый интерфейсный блок, обеспечивающий получение с системной шины данных о появлении на экране телевизионного приемника пользовательского меню управления бытовыми электронными устройствами, т.е. о начале осуществления абонентом программирования указанных устройств, вход которого через системную шину подключен к выходу центрального процессора, процессор управления электронными бытовыми устройствами, получающий данные о командах управления бытовыми электронными устройствами, реализуемых абонентом с помощью экранного меню, и формирующий команды программирования электронных бытовых устройств, первый вход которого через системную шину подключен к выходу первого интерфейсного блока, а второй вход – к выходу блока формирования команд, первый блок памяти, содержащий список типов программируемых бытовых электронных устройств, первый вход которого через системную шину подключен к выходу процессора управления электронными бытовыми устройствами, а второй вход – к выходу второго интерфейсного блока, с помощью которого осуществляется пополнение и изменение указанного списка типов программируемых электронных бытовых устройств, второй блок памяти, содержащий набор протоколов управления каждого из электронных бытовых устройств, первый вход которого через системную шину подключен к выходу процессора управления электронными бытовыми устройствами, а второй вход – к выходу третьего интерфейсного блока, с помощью которого осуществляется пополнение и изменение указанного набора протоколов управления электронными бытовыми устройствами, третий блок памяти, содержащий список режимов и частотных диапазонов радиосвязи с электронными бытовыми устройствами, первый вход которого через системную шину подключен к выходу процессора управления электронными бытовыми устройствами, а второй вход – к выходу четвертого интерфейсного блока, с помощью которого осуществляется пополнение и изменение указанного списка режимов и частотных диапазонов, блок формирования команд, формирующий команды управления электронными бытовыми устройствами, первый вход которого подключен к выходу первого блока памяти, второй вход – к выходу второго блока памяти, третий вход – к выходу третьего блока памяти, а выход – ко второму входу процессора управления электронными бытовыми устройствами, пятый интерфейсный блок, получающий от процессора управления электронными бытовыми устройствами команды управления указанными устройствами, вход которого через системную шину подключен к выходу процессора управления электронными бытовыми устройствами, и радиомодем, вход которого подключен к выходу пятого интерфейсного блока, а выход – к приемопередающей антенне.
РИСУНКИ
|
|