|
|
(21), (22) Заявка: 2006105183/28, 20.02.2006
(24) Дата начала отсчета срока действия патента:
20.02.2006
(46) Опубликовано: 27.09.2007
(56) Список документов, цитированных в отчете о поиске:
JP 60-028154, 13.02.1985. SU 693961 A1, 15.09.1994. RU 090017 C1, 10.09.1997. GB 977639, 09.12.1964.
Адрес для переписки:
125424, Москва, Волоколамское ш., 95, ФГУП “НПО Астрофизика”
|
(72) Автор(ы):
Барков Валерий Павлович (RU), Дикий Евгений Иванович (RU), Мурашев Владимир Михайлович (RU), Романенко Ольга Николаевна (RU), Свиридов Константин Николаевич (RU)
(73) Патентообладатель(и):
Федеральное государственное унитарное предприятие “НПО Астрофизика” (RU)
|
(54) УСТРОЙСТВО ДЛЯ ПИТАНИЯ ИМПУЛЬСНЫХ ЛАМП
(57) Реферат:
Изобретение относится к области импульсной техники и может быть использовано при создании источников питания импульсных ламп оптических квантовых генераторов. Устройство для питания импульсных ламп содержит источник питания, лампу импульсную и трансформатор поджига, а также первый, второй, третий и четвертый тиристоры, первый и второй дроссели, первый и второй конденсаторы. Последовательно соединенные первый дроссель, первый тиристор и первый конденсатор подключены параллельно источнику питания. Соединенные второй тиристор и второй конденсатор подключены параллельно первому тиристору и первому конденсатору. Последовательно соединенные третий тиристор и второй дроссель включены параллельно второму конденсатору. Четвертый тиристор и установленные последовательно с ним вторичная обмотка трансформатора поджига и импульсная лампа подключены параллельно первому конденсатору и второму дросселю. Технический результат – повышение эффективности использования устройства для питания импульсных ламп ОКГ. 2 з.п. ф-лы, 3 ил.
Изобретение относится к области импульсной техники и может быть использовано при создании источников питания импульсных ламп оптических квантовых генераторов.
Известно импульсное лазерное устройство, содержащее зарядные конденсаторы, соединенные с блоком для управления зарядом, разрядные лампы, которые соединены с конденсаторами и разряжаются накопленным на конденсаторах напряжением под действием тригерного сигнала, лазерный генератор, возбуждаемый световыми импульсами накачки от ламп, разрядную схему, которая соединена с конденсаторами и при разряде ламп разряжается напряжением, накопленным конденсаторами [Япония, заявка №58-45838, МКИ H01S 3/092, 1983 г.].
Известен источник питания для лазерного генератора, содержащий источник постоянного тока, который изменяет выходное напряжение путем управления фазой переменного тока, блок для заряда нескольких конденсаторов, соединенных параллельно с источником через соответствующие диоды, блок постоянного опорного напряжения, фиксирующий требуемое напряжение заряда каждого конденсатора, блоки, которые регистрируют и усиливают соответствующие разностные напряжения между опорным напряжением блока и напряжением на каждом конденсаторе, блок для модуляции полного сопротивления, соединенный параллельно с блоками, блок, формирующий импульсы регулировки фазы для управления фазой тиристоров по сигналу с блока [Япония, заявка №60-26316, МКИ Н01S 3/092, 1985 г.].
Недостатком известных устройств является их низкая эффективность из-за низкой частоты накачки импульсных ламп, что приводит к малой выходной мощности оптического квантового генератора.
Наиболее близким техническим решением (прототипом) к предлагаемому изобретению является лазерное генераторное устройство, содержащее лампу-вспышку, обеспечивающую световую накачку лазерного элемента; дополнительный источник питания с высоким выходным полным сопротивлением, который в обычном состоянии подает небольшой постоянный ток на лампу-вспышку; основной источник питания с низким выходным полным сопротивлением, который через коммутирующий блок соединен с лампой-вспышкой; блок, который при повторении световых импульсов увеличивает выходное напряжение основного источника питания в начальный момент излучения лампы-вспышки [Япония, заявка №60-28154, МКИ Н01S 3/092, Н03K 3/53, 1985 г.].
Недостатком известного устройства является невозможность получения высокой выходной мощности ОКГ из-за низкой частоты накачки импульсных ламп ОКГ.
С помощью предлагаемого технического решения достигается новый технический результат, заключающийся в повышении эффективности осуществления питания импульсных ламп за счет стабилизации напряжения на лампах при снижении напряжения источника питания.
В соответствии с предлагаемым изобретением технический результат достигается тем, что устройство для накачки ОКГ, содержащее источник питания, лампу импульсную и трансформатор поджига, дополнительно содержит первый, второй, третий и четвертый тиристоры, первый и второй дроссели, первый и второй конденсаторы, при этом последовательно соединенные первый дроссель, первый тиристор и первый конденсатор подключены параллельно источнику питания, соединенные второй тиристор и второй конденсатор подключены параллельно первому тиристору и первому конденсатору, последовательно соединенные третий тиристор и второй дроссель включены параллельно второму конденсатору, а четвертый тиристор и установленные последовательно с ним вторичная обмотка трансформатора поджига и импульсная лампа подключены параллельно первому конденсатору и второму дросселю.
Кроме того, источник питания выполнен в виде емкостного накопителя.
Кроме того, источник питания выполнен в виде аккумуляторной батареи.
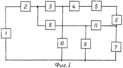
На фиг.1 представлена блок-схема предлагаемого устройства для питания импульсных ламп (на примере одной лампы ОКГ), на фиг.2 – электрическая схема устройства, на фиг.3 – временная диаграмма.
Устройство для питания импульсных ламп содержит источник питания 1, первый дроссель 2, первый тиристор 3, лампу импульсную 4, трансформатор поджига 5, четвертый тиристор 6 и второй дроссель 7, соединенные последовательно, образуя замкнутую цепь; второй тиристор 8 соединен со вторым конденсатором 9 и подключен параллельно первому тиристору 3 и первому конденсатору 10; третий тиристор 11 подключен параллельно второму конденсатору 9 и второму дросселю 7.
Устройство для питания импульсных ламп работает следующим образом. Открывается первый тиристор 3 и замыкает источник питания 1 через первый дроссель, величина которого выбирается из условия резонансного заряда, на первый конденсатор 10, который заряжается до заданного напряжения (Uзадрез). С помощью импульса, сформированного трансформатором поджига 5, импульсная лампа 4 приводится в проводящее состояние. После заряда первого конденсатора 10 до напряжения Uзад открывается второй тиристор 8, и второй конденсатор 9 заражается до Uзад, причем С2<С1. Включением четвертого тиристора 6 осуществляется процесс разряда первого и второго конденсаторов через второй дроссель 7 на импульсную лампу 4. По окончании оптической генерации импульсной лампы 4, не дожидаясь полного разряда первого конденсатора 10, осуществляется принудительное отключение импульсной лампы 4 путем включения третьего тиристора 11. Т.к. напряжение на втором конденсаторе 9 больше, чем напряжение на первом конденсаторе 10, то за счет напряжения на втором дросселе 7 четвертый тиристор 6 закрывается обратным напряжением, а второй конденсатор 9 разряжается до конца. При построении источника питания импульсных ламп предложенным образом разряд первого конденсатора 10 по окончании оптической генерации импульсной лампы 4 осуществляется не до нулевого значения, а прекращается принудительно при напряжении 0,5 Uзад, что позволяет значительно снизить время разряда конденсаторов на импульсную лампу и увеличить частоту повторения включения генерации лампы, что приводит к повышению выходной мощности ОКГ. Кроме того, осуществляя разряд первого конденсатора 10 не до нулевого значения, позволяет начинать его последующий заряд, экономя расход энергии источника питания 1. Для питания лампы ОКГ необходим источник питания мощностью в несколько мегаватт (в зависимости от типа лампы), который может быть построен на основе химических источников тока по комбинированной схеме с использованием в качестве обострителя мощности и источника высоковольтного напряжения батарей молекулярных конденсаторов, выполняющих функции буферного источника энергии для заряда молекулярных конденсаторов. Батареи молекулярных конденсаторов создаются на базе емкостных накопителей типа МНЭ – 3/60 или 24ПП – 30/0,003; аккумуляторные батареи – 10НКБ-90, как буферный источник энергии.
Трансформатор поджига 5 представляет собой импульсный трансформатор, на первичную обмотку которого подается импульс U1=4,5 кВ длительностью 3,4 мкс, а на вторичной обмотке формируется импульс поджига U2=30-35 кВ той же длительности. Защита схемы от высоковольтного импульса поджига осуществляется с помощью второго конденсатора 9, который может быть выполнен на основе конденсатора КВИ-4700 – 12 кВ. В качестве первого конденсатора 10 могут быть использованы конденсаторы типа К75-40.
Предложенная схема питания лампы ОКГ позволяет осуществлять работу импульсной лампы с частотой 25-30 Гц, в то время как известные схемы позволяют работать с частотой 2-3 Гц.
Из вышеприведенного следует, что предложенные технические решения имеют преимущества по сравнению с известными, а именно:
1. Обеспечение более высокочастотного режима работы ОКГ за счет уменьшения времени отключения лампы с увеличением частоты повторения оптической генерации импульсной лампы.
2. Увеличение выходной мощности ОКГ.
3. Экономное расходование энергии источника питания за счет неполного разряда емкостного накопителя.
Следовательно, предложенное устройство при использовании дает новый технический результат, заключающийся в повышении эффективности использования устройства для питания импульсных ламп ОКГ.
По материалам заявки в данное время на предприятии изготовлен макетный образец устройства, который при испытаниях подтвердил достижение вышеуказанного технического результата.
Формула изобретения
1. Устройство для питания импульсных ламп, содержащее источник питания, лампу импульсную и трансформатор поджига, отличающееся тем, что в нем дополнительно введены первый, второй, третий и четвертый тиристоры, первый и второй дроссели, первый и второй конденсаторы, при этом последовательно соединенные первый дроссель, первый тиристор и первый конденсатор подключены параллельно источнику питания, соединенные второй тиристор и второй конденсатор подключены параллельно первому тиристору и первому конденсатору, последовательно соединенные третий тиристор и второй дроссель включены параллельно второму конденсатору, а четвертый тиристор и установленные последовательно с ним вторичная обмотка трансформатора поджига и импульсная лампа подключены параллельно первому конденсатору и второму дросселю.
2. Устройство по п.1, отличающееся тем, что в нем источник питания выполнен в виде емкостного накопителя.
3. Устройство по п.1, отличающееся тем, что в нем источник питания выполнен в виде аккумуляторной батареи.
РИСУНКИ
|
|