|
|
(21), (22) Заявка: 2005134300/09, 07.11.2005
(24) Дата начала отсчета срока действия патента:
07.11.2005
(43) Дата публикации заявки: 20.05.2007
(46) Опубликовано: 27.09.2007
(56) Список документов, цитированных в отчете о поиске:
SU 800579 A1, 07.03.1993. SU 1665493 A1, 23.07.1991. US 4355289 A, 19.10.1982. GB 1258778 A, 30.12.1971.
Адрес для переписки:
394064, г.Воронеж, ул. Старых Большевиков, 54а, ГОУ ВПО Воронежское ВВАИУ, научно-исследовательский отдел
|
(72) Автор(ы):
Головков Александр Афанасьевич (RU), Минаков Валерий Григорьевич (RU)
(73) Патентообладатель(и):
Государственное образовательное учреждение высшего профессионального образования Военный институт радиоэлектроники (RU)
|
(54) УСТРОЙСТВО МОДУЛЯЦИИ АМПЛИТУДЫ И ФАЗЫ МНОГОЧАСТОТНЫХ СИГНАЛОВ
(57) Реферат:
Изобретение относится к радиосвязи и может быть использовано для формирования фазоманипулированных, амплитудно-манипулированных, а также амплитудно-фазоманипулированных сигналов. Устройство содержит источник многочастотных сигналов, реактивный четырехполюсник, полупроводниковый диод и источник низкочастотного управляющего напряжения. Четырехполюсник выполнен в виде произвольного соединения двух реактивных двухполюсников. Полупроводниковый диод включен в поперечную цепь между источником несущего сигнала и входом четырехполюсника, параллельно диоду подключен источник низкочастотного управляющего сигнала. Сопротивление источника многочастотных сигналов выбрано произвольным, к выходу четырехполюсника подключена нагрузка для проходных многочастотных сигналов с произвольными сопротивлениями на заданном количестве частот интерполяции требуемых частотных характеристик. Двухполюсники выполнены из произвольным образом соединенных между собой реактивных элементов, количество которых выбрано не меньшим количества заданных частот интерполяции требуемых амплитудно-частотных и фазочастотных характеристик, а параметры реактивных элементов выбраны из условия одновременного обеспечения требуемых отношений модулей и разностей фаз коэффициента передачи на заданном количестве частот в двух состояниях полупроводникового диода, определяемых двумя крайними уровнями управляющего сигнала. Техническим результатом является одновременное обеспечение требуемых разных законов изменения амплитуды и фазы проходных сигналов с предельными характеристиками на заданном количестве фиксированных частот при включении манипулятора между произвольными сопротивлениями. 6 ил.
Изобретение относится к радиосвязи и может быть использовано для формирования фазоманипулированных, амплитудно-манипулированных, а также амплитудно-фазоманипулированных сигналов.
Известно устройство модуляции амплитуды и фазы, состоящее из циркулятора, первый вход которого подключен к источнику сигнала, третий вход подключен к нагрузке, а второй подключен к отрезку разомкнутой линии передачи длиной /4, в начале которой включен p-i-n диод [Радиопередающие устройства. / Под редакцией О.А.Челнокова. – М.: Радио и связь, 1982, стр.152-156]. Если диод закрыт, то от сечения, в котором он включен, происходит отражение, отраженная волна попадает в нагрузку с сопротивлением 50 Ом. Если диод открыт, то отражение происходит от конца линии. Фаза отраженного сигнала в одном состоянии диода отличается от фазы отраженного сигнала в другом состоянии диода на . При необходимости изменения разности фаз длина отрезка линии передачи изменяется соответствующим образом.
Недостатком этого устройства модуляции является то, что в двух состояниях диода изменяется только фаза отраженного сигнала, причем заданные значения разности фаз отраженного сигнала в двух состояниях диода обеспечиваются только на одной фиксированной частоте. Другим недостатком является постоянство амплитуды отраженного сигнала в двух состояниях диода, то есть отсутствие манипуляции амплитуды, что сужает функциональные возможности. Например, это не позволяет обеспечить два канала радиосвязи на одной несущей частоте (один канал можно образовать с помощью манипуляции амплитуды, а другой с помощью манипуляции фазы; или не позволяет обеспечить кодировку передаваемой информации). Третьим недостатком следует считать большие массы и габариты, связанные с необходимостью использования отрезков линии передачи. Четвертым недостатком является то, что устройство манипуляции, состоящее из управляемой и неуправляемой частей, включается между источником сигнала и нагрузкой, которые имеют определенные значения сопротивлений. Источник сигнала имеет чисто действительное сопротивление (второй вход). Нагрузка для отраженного сигнала (третий вход) имеет также действительное сопротивление. Манипулятор подключен к разомкнутой (бесконечное сопротивление) или замкнутой к (нулевое сопротивление) линии передачи. Следующим важным недостатком является то, что данное устройство не обеспечивает манипуляцию амплитуды и фазы проходного сигнала.
Известно устройство модуляции, состоящее из определенного количества реактивных элементов типа L, C, параметры которых выбраны из условия обеспечения требуемой произвольной разности фаз коэффициента отражения [В.Г.Соколинский, В.Г.Шейнкман. Частотные и фазовые модуляторы и манипуляторы. – М.: Радио и связь, 1983, стр.146-158].
По сравнению с предыдущими устройством данное устройство не требуют использования полупроводниковых диодов только в открытом и только закрытом состояниях. При любых состояниях диодов, определяемых двумя уровнями низкочастотного управляющего воздействия, при определенных значениях параметров типа L, C может быть обеспечено заданное значение разности фаз отраженного сигнала на фиксированной частоте. Если амплитуда управляющего низкочастотного сигнала между указанными двумя уровнями изменяется непрерывно, то обеспечивается модуляция.
Основными недостатками устройства являются отсутствие возможности обеспечения требуемых значений разности фаз и отношения модулей коэффициентов отражения в двух состояниях управляемого элемента на двух и более частотах. Другим недостатком является то что, как и первое устройство манипулятор может быть включен только между определенными сопротивлениями. Следующим важным недостатком является то, что данное устройство не обеспечивают манипуляцию амплитуды и фазы проходного сигнала.
Известно устройство (прототип) [Головков А.А. Устройство для модуляции отраженного сигнала. Авт. св-во №1800579 от 09.10.1992], содержащее циркулятор, первое и третье плечи которого являются СВЧ-входом и выходом, а во второе плечо включены реактивный четырехполюсник и полупроводниковый диод, подключенный к источнику низкочастотного управляющего воздействия, при этом четырехполюсник выполнен в виде Т-образного соединения двухполюсников со значениями реактивных сопротивлений, которые выбраны из условия обеспечения требуемых одинаковых законов двухуровневого изменения амплитуды и фазы отраженного сигнала на двух заданных частотах. Так же как и в предыдущем устройстве возможна модуляция фазы и амплитуды, если управляющий сигнал изменяется непрерывно. При этом амплитуда и фаза проходного сигнала изменяется по неизвестному закону или совсем не изменяется.
К основным недостаткам данного устройства относятся отсутствие возможности реализации разных заданных законов изменения амплитуды и фазы отраженного сигнала на двух и более заданных значениях частот, что уменьшает функциональные возможности и объем передаваемой информации. Другим недостатком является то, что, как и в первых двух устройствах, манипулятор может быть включен только между определенными сопротивлениями. Следующим важным недостатком является то, что и данное устройство не обеспечивают заданные законы манипуляции амплитуды и фазы проходного сигнала.
На рассмотрении экспертизы находятся заявленные устройства модуляции для случая включения управляемого элемента в продольную цепь между реактивным четырехполюсником и источником модулирующего сигнала. Место включения источника модулирующего сигнала значения не имеет. Однако место включения управляемого элемента имеет большое значение. В общем случае для заданной конкретной нагрузки существует вполне определенное место включенного управляемого элемента, при котором достигаются наибольшие глубина амплитудной модуляции, девиация фазы и широкополосность.
В данной заявке на изобретение авторы показывают возможность достижения предельных характеристик при включении управляемого элемента в поперечную цепь между источником несущего сигнала и четырехполюсником.
Техническим результатом изобретения является одновременное обеспечение требуемых разных законов изменения амплитуды и фазы проходного сигналов с предельными характеристиками на заданном количестве фиксированных частот при включении манипулятора между произвольными сопротивлениями и включении управляемого элемента в поперечную цепь между источником несущего сигнала и четырехполюсником.
Указанный результат достигается тем, что в устройстве модуляции амплитуды и фазы многочастотных сигналов, содержащем источник несущих сигналов, реактивный четырехполюсник, полупроводниковый диод и источник низкочастотного управляющего напряжения, дополнительно четырехполюсник выполнен в виде произвольного соединения двух реактивных двухполюсников, полупроводниковый диод включен в поперечную цепь между источником несущего сигнала и входом четырехполюсника, параллельно диоду подключен источник низкочастотного управляющего сигнала, сопротивление источника сигналов выбрано произвольным, к выходу четырехполюсника включена нагрузка для проходного СВЧ сигнала с произвольными сопротивлениями на заданном количестве частот интерполяции требуемых частотных характеристик, двухполюсники выполнены из произвольным образом соединенных между собой реактивных элементов, количество которых выбрано не меньшим количества заданных частот интерполяции требуемых амплитудно-частотных и фазочастотных характеристик, а параметры реактивных элементов выбраны из условия одновременного обеспечения требуемых отношений модулей и разностей фаз коэффициента передачи на заданном количестве частот в двух состояниях полупроводникового диода, определяемых двумя крайними уровнями управляющего сигнала.
На фиг.1 показана схема устройства-прототипа модуляции амплитуды и фазы сигналов.
На фиг.2 приведена схема предлагаемого устройства.
На фиг.3 приведена схема первого варианта реализации предлагаемого устройства модуляции амплитуды и фазы проходного многочастотного сигнала, для случая n=1, 2 (n – количество частот интерполяции).
На фиг.4 изображена схема второго варианта реализации предлагаемого устройства модуляции амплитуды и фазы проходного многочастотного сигнала, для случая n=1, 2.
На фиг.5 представлена схема третьего варианта реализации предлагаемого устройства модуляции амплитуды и фазы проходного многочастотного сигнала, для случая n=1, 2, 3.
На фиг.6 сформирована схема четвертого варианта реализации предлагаемого устройства модуляции амплитуды и фазы проходного многочастотного сигнала, для случая n=1, 2, 3.
Устройство-прототип содержит циркулятор 1 с входным 2, нагрузочным 3 и выходным 4 плечами, три двухполюсника 5, 6, 7 с реактивными сопротивлениями x1, x2, x3, соединенных между собой по Т-схеме, а также полупроводниковый диод 8, подключенный параллельно к источнику сигнала модуляции 9 двухполюсник 7 подключен к диоду 8, двухполюсник 5 – к нагрузочному плечу 3 циркулятора 1.
Принцип действия устройства манипуляции параметров сигнала, реализующего устройство-прототип, состоит в следующем.
Сигнал от задающего генератора (на фиг.1 не показан) через входное плечо 2 циркулятора 1 поступает в нагрузочное плечо 3. В результате взаимодействия пришедшего сигнала с реактивными элементами и диодом и благодаря специальному выбору значений реактивных элементов двухполюсников значения фаз и амплитуд отраженных сигналов на двух частотах оказываются такими, что в результате их интерференции на выходное плечо 4 циркулятора 1 поступают сигналы, амплитуда и фаза которых в одном состоянии диода 8, определяемом одним крайним значением сигнала модуляции источника 9, отличаются от амплитуды и фазы этих сигналов в другом состоянии диода 8 на одинаковые заданные величины на соответствующих двух частотах. Максимальная девиация фазы может составлять 360°, минимальная – ноль, максимальное отношение амплитуд равно .
Предлагаемое устройство и четыре варианта его реализации (фиг.3-6) содержат источник несущего сигнала 3 с произвольным сопротивлением Z0=r0+jx0, четырехполюсник и два двухполюсника 5, 6 с реактивными сопротивлениями x1n, x2n соединенных между собой по или – схеме, а также полупроводниковый диод 7, включенный в поперечную цепь между источником несущего сигнала 3 с сопротивлением Z0 и четырехполюсником, и подключенный параллельно к источнику сигнала модуляции 8, двухполюсник 6-к нагрузке 9 для проходного сигнала. Нагрузкой может является например, антенна.
Эти устройства функционируют следующим образом. Благодаря специальному выбору количества реактивных элементов двухполюсников, схемы их соединений и значений их параметров при переключении управляющего (модулирующего) сигнала на диоде будет одновременно происходить манипуляция амплитуды и фазы проходного сигнала на заданном количестве частот в общем случае различными законами двухуровневого изменения амплитуды и фазы на каждой из частот. При непрерывном изменении амплитуды управляющего сигнала будет реализована модуляция амплитуды и фазы проходного сигнала по амплитуде и фазе в общем случае по произвольным заданным законам.
Докажем возможность реализации указанных свойств.
Пусть на фиксированной частоте известны сопротивления источника сигнала Z0=r0+jX0 и антенны ZH=rH+jXH, а также проводимость управляемого элемента y1,2=g1,2+jb1,2 в первом и втором состоянии определяемых уровнями управляющего низкочастотного сигнала (тока или напряжения). Управляемый элемент включен в поперечную цепь между источником сигнала и СФУ.
Как и в работе [Головков А.А., Минаков В.Г. Алгоритмы синтеза согласующе-фильтрующих устройств многоуровневых амплитудно-фазовых манипуляторов на основе использования матрицы сопротивления. Телекоммуникации, 2004, №8 с.29-32.] требуется определить структуру схемы СФУ, минимальное количество реактивных элементов и значения их параметров, при которых переключение состояний управляемого элемента приводило бы к изменениям модуля и фазы коэффициентов передачи и отражения по следующим законам:

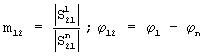
где – требуемые отношения модулей и разности фаз коэффициентов передачи S1 21, S2 21 в первом и втором состоянии управляемого элемента.
Проводя соответствующие математические операции [Головков А.А., Минаков В.Г. Алгоритмы синтеза согласующе-фильтрующих устройств многоуровневых амплитудно-фазовых манипуляторов на основе использования матрицы сопротивления. Телекоммуникации, 2004, №8 с.29-32], получим выражения для нормированных матриц передачи всего устройства в каждом из состояний

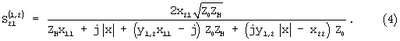
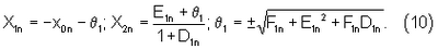
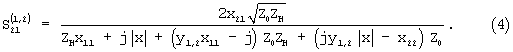
где – определитель матрицы сопротивлений СФУ; x11, x21, х12 – элементы матрицы сопротивлений:

Используя известные взаимосвязи между элементами матриц передачи и рассеяния [Сазонов Д.М. Антенны и устройства СВЧ. – М.: Высшая школа. 1988], получим выражения для коэффициента передачи

Для получения исходных для синтеза СФУ взаимосвязей между элементами матрицы сопротивлений (3), оптимальных по критерию обеспечения требуемого закона изменения амплитуды и фазы приходного сигнала, подставим (4) в (1). Получим систему двух уравнений в виде соответствующих равенств действительных и мнимых составляющих левой и правой частей (1), которые запишем в следующем виде:


где


Решение системы (5) имеет вид следующих взаимосвязей:

где



Полученные взаимосвязи (соотношения)(6) между элементами матрицы сопротивлений СФУ являются исходными для параметрического синтеза. Для определения значений параметров, оптимальных по критерию обеспечения требуемых величин m12 и 12, необходимо взять пробную схему, найти элементы ее матрицы сопротивлений, выраженные через параметры этой схемы, и подставим их в (6). Сформированную таким образом систему двух уравнений надо решить относительно двух выбранных параметров. Остальные параметры могут быть отнесены к управляемой части, а их значения выбраны произвольно или исходя из увеличения диапазона изменения величин m12, 12, в пределах которых схема СФУ является физически реализуемой.
Поскольку то подкоренное выражение в (6) положительно при D1<0, из этого неравенства следует условие физической реализуемости в виде ограничения на 12

где 
а также ограничения на m2 12, вытекающего из неравенства Q2 1>0:
или 
где – мера различия суммарной проводимости параллельно соединенных управляемой части манипулятора и источника сигнала – названная качеством [Головков А.А., Минаков В.Г. Алгоритмы синтеза согласующе-фильтрующих устройств многоуровневых амплитудно-фазовых манипуляторов на основе использования матрицы сопротивления. Телекоммуникации, 2004, №8 с.29-32].
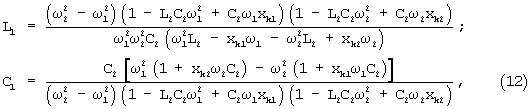
В соответствии с разработанными алгоритмами синтезированы простейшие схемы в виде -образного и -образного соединений двух двухполюсников.
Для -образного соединения

Для -образного соединения

Структура схем определяется следующим образом. Если в формулах (9)-(10) Xkn>0 (k=1, 2, 3), то это индуктивность Lkn=Xkn/ n, ( n=2 fn). Если Хkn<0, то это емкость (k – номер двухполюсника).
Реализация требуемых частотных характеристик в двух состояниях легко может быть осуществлена путем интерполяции на двух, трех и т.д. частотах. Для этого необходимо каждый из двухполюсников, входящих в схему СФУ (фиг.3-6), сформировать из элементов L, С таким образом, чтобы он обеспечивал на заданных частотах требуемые значения сопротивлений, рассчитанные по формулам (9)-(10) для этих же частот. При этом коэффициенты D, Е, F также рассчитываются для соответствующей частоты, что учитывается ее номером n. Здесь приводятся два решения таких задач. Для двух заданных частот предлагается сформировать двухполюсники из последовательно соединенных между собой параллельного и последовательного колебательных контуров. Сопротивления такого двухполюсника на двух частотах определяются выражениями

Решение системы двух уравнений (11) определяет параметры L1, C1 параллельного контура

где k=1, 2 – номер двухполюсника; n=1, 2 – номер частоты. В выражениях (12) параметры L, C могут быть выбраны произвольно исходя из каких либо физических соображений, например из условия обеспечения минимума отклонений заданных характеристик в заданной полосе частот или исходя из условия физической реализуемости схем.
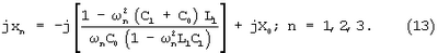
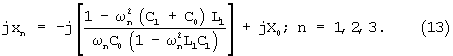
Для трех заданных частот предлагается формировать двухполюсники из последовательно соединенных емкости С0, параллельного контура L1, С1 и реактивного двухполюсника с сопротивлением jx0. При этом параметры определяются из решения системы трех уравнений

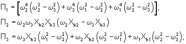
Решение имеет вид:



где

Xk1=xk1-X0( 1); Xk2=xk2-X0( 2); Xk3=xk3-X0( 3); Xk1, Xk2, Xk3 – реактивные сопротивления последовательно соединенных емкости С0 и параллельного колебательного контура с параметрами L1, C1; xk1, xk2, xk3 – реактивные сопротивления последовательно соединенных емкости С0, параллельного контура с параметрами L1, C1 и двухполюсника с реактивным сопротивлением х0 на трех заданных частотах, при этом двухполюсник с реактивным сопротивлением x0 формируется из произвольного количества соединенных любым образом реактивных элементов с произвольными значениями параметров L, С; 1, 2, 3 – заданные фиксированные частоты.
Реактивное сопротивление jx0 двухполюсника формируется произвольным образом или исходя из каких либо физических соображений, например, исходя из условия обеспечения минимума отклонений характеристик в полосе частот.
Полученные решения (11) и (14) для двух и трех заданных частот могут быть использованы как в – образной схеме соединения двух двухполюсников, так и в – образной. Поэтому вариантов реализации предлагаемого устройства в настоящее время модуляции амплитуды и фазы многочастотных проходных сигналов могут быть всего четыре.
Предлагаемые технические решения являются новыми, поскольку из общедоступных сведений неизвестно устройство манипуляции параметров многочастотных проходных сигналов на заданном количестве частот, состоящее из определенным образом соединенных определенного количества реактивных элементов L, C с определенными по соответствующим математическим выражениям параметрами.
Предлагаемые технические решения имеют изобретательский уровень, поскольку из опубликованных научных данных и известных технических решений явным образом не следует, что заявленные последовательности выполнения устройства (формирование неуправляемой части определенным образом соединенных между собой двухполюсников из условия обеспечения двухуровневого изменения амплитуды и фазы проходного сигналов на заданном количестве частот при изменении состояния управляемого элемента, включенного в поперечную цепь при произвольных значениях сопротивлений источника сигнала и нагрузок), а также варианты реализации в виде схем соединений элементов L, C, формирующих двухполюсник, и математические выражения для определения их параметров одновременно обеспечивают реализацию требуемых разных законов изменения амплитуды и фазы проходного сигналов на заданном количестве фиксированных частот при включении модулятора между произвольными сопротивлениями.
Предлагаемые технические решения практически применимы, так как для их реализации могут быть использованы полупроводниковые диоды, например p-i-n диоды, варикапы и т.д., серийно выпускаемые промышленностью индуктивности и емкости, сформированные в вариантах реализации схемы двухполюсников -образных соединений. Значения параметров емкостей и индуктивностей однозначно могут быть определены с помощью математических выражений, приведенных в описании изобретения.
Технико-экономическая эффективность предложенного устройства заключается в одновременной реализации требуемых разных законов изменения амплитуды и фазы проходного сигналов на заданном количестве фиксированных частот интерполяции при включении модулятора между произвольными сопротивлениями.
Формула изобретения
Устройство модуляции амплитуды и фазы многочастотных сигналов, содержащее источник многочастотных сигналов, реактивный четырехполюсник, состоящий из двухполюсников, выполненных из реактивных элементов, полупроводниковый диод и параллельно подключенный к нему источник низкочастотного управляющего сигнала, причем параметры реактивных элементов выбраны из условия одновременного обеспечения требуемых отношения модулей и разностей фаз коэффициентов передачи на заданном количестве частот в двух состояниях полупроводникового диода, определяемых двумя крайними уровнями низкочастотного управляющего сигнала, отличающееся тем, что четырехполюсник выполнен в виде произвольного соединения двух реактивных двухполюсников, полупроводниковый диод включен в поперечную цепь между источником многочастотных сигналов и входом четырехполюсника, сопротивление источника многочастотных сигналов выбрано произвольным, к выходу четырехполюсника подключена нагрузка для проходных многочастотных сигналов с произвольными сопротивлениями на заданном количестве частот интерполяции требуемых частотных характеристик, параметры реактивных элементов выбраны из условия одновременного обеспечения произвольных, в общем случае различных, требуемых отношений модулей и различных разностей фаз коэффициентов передачи на заданном количестве частот в двух состояниях полупроводникового диода.
РИСУНКИ
MM4A – Досрочное прекращение действия патента СССР или патента Российской Федерации на изобретение из-за неуплаты в установленный срок пошлины за поддержание патента в силе
Дата прекращения действия патента: 08.11.2007
Извещение опубликовано: 10.05.2009 БИ: 13/2009
|
|