|
|
(21), (22) Заявка: 2006100554/28, 10.01.2006
(24) Дата начала отсчета срока действия патента:
10.01.2006
(46) Опубликовано: 27.09.2007
(56) Список документов, цитированных в отчете о поиске:
SU 1325372 А1, 13.11.1985. Зыкин Ф.А., Каханович B.C. Измерение и учет электрической энергии. Определение вторичных мощностей. – М.: Энергоиздат, 1982. Железко Ю.С., Копытов Ю.В., Стала В.В. Применение скидок и надбавок к тарифу за качество электроэнергии. Промышленная энергетика, 1984, №12, с.11-14. SU 1629866 А1, 23.02.1991. SU 665274 А1,
Адрес для переписки:
630092, г.Новосибирск, пр. К. Маркса, 20, НГТУ
|
(72) Автор(ы):
Алексеев Вадим Юрьевич (RU), Зиновьев Геннадий Степанович (RU), Попов Владимир Иванович (RU)
(73) Патентообладатель(и):
Новосибирский государственный технический университет (RU)
|
(54) СПОСОБ ОПРЕДЕЛЕНИЯ ДОЛЕВЫХ УЧАСТИЙ НАГРУЗКИ И ЭНЕРГОСИСТЕМЫ В ИЗМЕНЕНИИ КАЧЕСТВА НАПРЯЖЕНИЯ
(57) Реферат:
Изобретение относится к измерительной технике и может быть использовано в процессах определения количественного вклада каждого энергообъекта, подключенного к узлу энергосистемы, в изменение качества электроэнергии. Технический результат – повышение точности. Для достижения данного результата измеряют и определяют интегральные составляющие анормальных напряжений ветвей с ЭДС и анормальные составляющие токов ветвей нагрузки. На основе полученных измерений определяют долевые участия каждого энергообъекта в изменении качества напряжения в узле энергосистемы, а также результирующие долевые участия каждой ветви узла энергосистемы в изменении качества напряжения. 3 з.п. ф-лы, 2 ил.
(56) (продолжение):
CLASS=”b560m”30.05.1979. Жежеленко И.В. Показатели качества электроэнергии и их контроль на промышленных предприятиях. – 2-е изд., перераб. и доп. – М.: Энергоатомиздат, 1986, с. 168. US 4902877 А, 20.02.1990.
Изобретение относится к электроизмерениям и может быть использовано при контроле качества электроэнергии в энергосистемах.
Наибольшую трудность при контроле качества напряжения в узле энергосистемы представляет определение долевых вкладов искажения от отдельных нелинейных нагрузок, подключенных к узлу, в общее искажение напряжения в узле.
Известен способ определения долевого участия нагрузки в изменении качества напряжения в узле энергосистемы по активным и реактивным вторичным мощностям искажающих нагрузок, в котором долевое участие измеряют путем выделения анормальной составляющей напряжения, измерения активных и реактивных мощностей всех нагрузок, подключенных к узлу энергосистемы, и определения коэффициента долевого участия в соответствии с предлагаемой формулой по доле суммы активной и реактивной вторичных мощностей данной нагрузки от генерируемой всеми искажающими нагрузками (Ф.А. Зыкин. Способ определения долевого участия нагрузки в снижении качества электроэнергии. Авторское свидетельство №1769147 от 31.07.90. Бюл. №38, 1992).
Недостатком этого способа является погрешность определения долевых участий нагрузки и энергосистемы в изменении качества напряжения, связанная, во-первых, с тем, что в изменении качества электроэнергии в узле учтены не все факторы, вызывающие это изменение, так как в балансе полных вторичных мощностей учтены только активные и реактивные вторичные мощности и не учтены вторичные мощности искажений, обусловленные взаимодействием разноименных гармоник напряжения и тока, и, во-вторых, с тем, что изменение качества электроэнергии в узле энергосистемы в ГОСТ 13109-97 «Нормы качества электрической энергии в системах электроснабжения общего назначения» оценивается по показателям качества напряжения, а не мощностей, которые зависят не только от качества напряжения, но и от качества тока, что обуславливает наличие методической погрешности. Кроме того, при этом способе не учитывается долевое участие ЭДС энергосистемы в изменении качества электроэнергии в узле энергосистемы, то есть у этого способа ограниченные функциональные возможности измерения, так как он не позволяет определить долевое участие энергосистемы в изменении качества напряжения в узле.
Наиболее близким к изобретению является способ определения долевых участий нагрузки и энергосистемы в изменении качества напряжения (М.А. Гнатенко, Г.С. Зиновьев. Патент РФ №2191392 от 12.01.2000, Бюл. №29, 2002), взятый за прототип.
В этом способе снижена погрешность определения долевых участий нагрузки и энергосистемы в изменении качества напряжения в узле энергосистемы и расширены функциональные возможности способа.
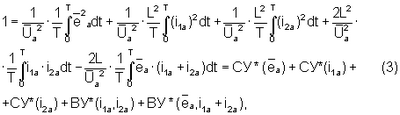
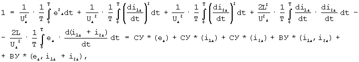
Это достигается тем, что выделяют анормальную составляющую напряжения узла энергосистемы, анормальную составляющую ЭДС энергосистемы, анормальные составляющие токов нагрузок и затем отдельно определяют собственные долевые участия в изменении качества напряжения: ветви с ЭДС энергосистемы путем усреднения за ее период квадрата анормальной составляющей напряжения, ветвей с источниками токов нагрузки путем усреднения за тот же период квадратов производных анормальных составляющих этих токов, отдельно определяют взаимное долевое участие в изменении качества напряжения в узле от взаимодействия двух ветвей с источниками токов нагрузок путем усреднения за тот же период произведения производных анормальных составляющих токов нагрузок, отдельно определяют взаимное долевое участие в изменении качества напряжения в узле от взаимодействия ветви с источником ЭДС с результирующим током ветвей нагрузки путем усреднения за тот же период произведения анормальной составляющей источника ЭДС с производной анормальной составляющей результирующего тока нагрузок, и затем определяют результирующее изменение качества напряжения в узле в соответствии со следующей формулой:

где ea, i1a, i2a – анормальные составляющие соответственно в ЭДС энергосистемы, токах ветвей нагрузок,
СУ(еа), СУ(i1a), СУ(i2a) – соответственно собственные долевые участия ветвей с ЭДС энергосистемы, источниками токов нагрузок;
ВУ(i1a, i2a), ВУ(еа, i1a+i2a) – соответственно взаимные долевые участия двух ветвей нагрузок и ветви с ЭДС энергосистемы с виртуальной ветвью результирующего тока ветвей нагрузки.
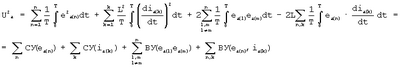
Также в способе определения долевых участий нагрузки и энергосистемы в изменении качества напряжения в узле энергосистемы определяются относительные значения собственных и взаимных долевых участий каждого энергообъекта узла энергосистемы в общее изменение качества напряжения в узле путем деления собственных и взаимных долевых участий каждого энергообъекта узла энергосистемы на усредненное за период значение квадрата анормальной составляющей напряжения узла энергосистемы, при этом все собственные и взаимные долевые участия в относительном виде связаны следующим уравнением:

где – квадрат действующего значения интеграла анормальной составляющей напряжения узла, СУ*( ), СУ*(i1a), СУ*(i2a) – соответственно относительные значения собственных долевых участий ветви с ЭДС энергосистемы, ветвей с источниками токов нагрузки, ВУ*(i1a, i2a), ВУ*(ea, i1a+i2a) – соответственно относительные значения взаимных долевых участий пар ветвей нагрузки и ветви с ЭДС энергосистемы с ветвью результирующего тока ветвей нагрузки.
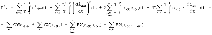
К тому же, способ определения долевых участий нагрузки и энергосистемы в изменении качества напряжения в узле энергосистемы применим и при нескольких ветвях с источниками ЭДС в энергосистеме со своими реактансами, подключенными к узлу, дополнительно определяют: собственные долевые участия в изменении качества напряжения в узле от всех ветвей с источниками ЭДС путем усреднения за период квадрата анормальной составляющей каждой ЭДС, взаимные долевые участия в изменении качества напряжения в узле от попарного взаимодействия ветвей с источниками ЭДС путем усреднения за период произведения анормальных составляющих ЭДС каждой ветви, взаимные долевые участия в изменении качества напряжения в узле от взаимодействия каждой ветви с источником ЭДС с каждой ветвью тока нагрузки путем усреднения за период произведения анормальной составляющей ЭДС ветви на производную анормальной составляющей тока ветви и затем определяют результирующее изменение качества напряжения в узле в соответствии со следующей формулой:
где n – число ветвей с источниками ЭДС, примыкающими к узлу,
k – число ветвей нагрузки, примыкающих к узлу.
Недостатком этого способа является то, что он измеряет коэффициент гармоник напряжения (коэффициент искажения синусоидальности, как он назван в ГОСТ 13109-97), который прямо не отражает ущерб от несинусоидальности напряжения. Основной ущерб от несинусоидальности напряжения связан с искажением кривой тока, характеризуемого коэффициентом гармоник тока. Именно этот коэффициент определяет дополнительные потери активной мощности в цепи, то есть основной ущерб от несинусоидальности напряжения. Как было показано (Зиновьев Г.С. Основы силовой электроники. Учебник. – Новосибирск: НГТУ, 3-изд., 2004, 672 с.), коэффициент гармоник тока в цепи потребителя, обладающего индуктивностью (что характерно для большинства основных потребителей электрической энергии, как то электродвигатели, трансформаторы, реакторы), равен интегральному коэффициенту гармоник напряжения. Знание именно интегрального коэффициента гармоник напряжения позволяет сразу, без расчета тока, определить его качество (коэффициент гармоник тока), а значит определить и основной ущерб от несинусоидальности напряжения сети, приводящий к дополнительным потерям активной мощности.
Задачей предлагаемого изобретения является создание способа определения долевых участий нагрузки и энергосистемы в изменении качества напряжения в узле энергосистемы, в котором повышена точность измерения.
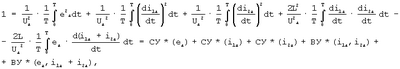
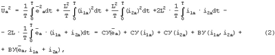
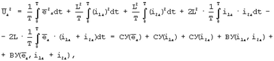
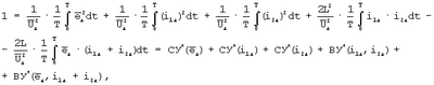
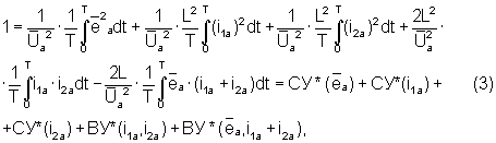
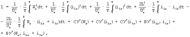
Это достигается тем, что выделяют анормальную составляющую напряжения ua узла энергосистемы, анормальную составляющую результирующей ЭДС энергосистемы еа, анормальные составляющие токов нагрузок i1a, i2a, определяют собственные долевые участия в изменении качества напряжения для ветви с результирующей ЭДС энергосистемы для ветвей с источниками токов нагрузки, также определяют взаимное долевое участие в изменении качества напряжения в узле от взаимодействия пар ветвей с источниками токов нагрузок, также определяют взаимное долевое участие в изменении качества напряжения в узле от взаимодействия ветви с источником ЭДС с результирующим током ветвей нагрузки и затем определяют результирующее изменение качества напряжения в узле в соответствии с формулой, причем собственные долевые участия в изменении качества напряжения узла энергосистемы для ветви с результирующей ЭДС энергосистемы определяют путем усреднения за ее период квадрата интеграла анормальной составляющей результирующей ЭДС, для ветвей с источниками токов нагрузки их собственные долевые участия определяют путем усреднения за тот же период квадратов анормальных составляющих этих токов, определение взаимного долевого участия в изменении качества напряжения в узле от взаимодействия пар ветвей с источниками токов нагрузки делают путем усреднения за тот же период произведения анормальных составляющих токов нагрузок, а определение взаимного долевого участия в изменении качества напряжения в узле от взаимодействия ветви с источником ЭДС с результирующим током ветвей нагрузки делают путем усреднения за тот же период произведения интеграла анормальной составляющей источника результирующей ЭДС с анормальной составляющей результирующего тока нагрузок и в конечном итоге определение результирующего изменения качества напряжения в узле в соответствии со следующей формулой

где , i1a, i2a – анормальные составляющие соответственно в интеграле ЭДС энергосистемы, токах ветвей нагрузок,
СУ( ), СУ(i1a), СУ(i2a) – соответственно собственные долевые участия ветвей с интегралом ЭДС энергосистемы, источниками токов нагрузок;
ВУ(i1a, i2a), ВУ( , i1a+i2a) – соответственно взаимные долевые участия двух ветвей нагрузок, ветви с интегралом ЭДС энергосистемы с виртуальной ветвью результирующего тока ветвей нагрузки.
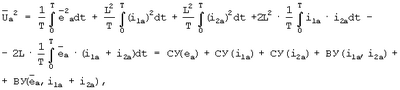
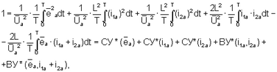
Также в способе определения долевых участий нагрузки и энергосистемы в изменении качества напряжения в узле энергосистемы могут быть определены относительные значения собственных и взаимных долевых участий каждого энергообъекта узла энергосистемы в общее изменение качества напряжения в узле путем деления собственных и взаимных долевых участий каждого энергообъекта узла энергосистемы на усредненное за период значение квадрата интеграла анормальной составляющей напряжения узла энергосистемы, при этом все собственные и взаимные долевые участия в относительном виде связаны следующим уравнением:

где – квадрат действующего значения интеграла анормальной составляющей напряжения узла,
СУ*( ), СУ*(i1a), СУ*(i2a) – соответственно относительные значения собственных долевых участий ветви с интегралом ЭДС энергосистемы, ветвей с источниками токов нагрузки,
ВУ*(i1a, i2a), ВУ*( , i1a+i2a) – соответственно относительные значения взаимных долевых участий пар ветвей нагрузки и ветви с интегралом ЭДС энергосистемы с ветвью результирующего тока ветвей нагрузки.
Кроме того, способ определения долевых участий нагрузки и энергосистемы в изменении качества напряжения в узле энергосистемы действителен и при нескольких ветвях с источниками ЭДС в энергосистеме со своими реактансами, подключенными к узлу, дополнительно определяют: собственные долевые участия в изменении качества напряжения в узле от всех ветвей с источниками ЭДС путем усреднения за период квадрата интеграла анормальной составляющей каждой ЭДС, взаимные долевые участия в изменении качества напряжения в узле от попарного взаимодействия ветвей с источниками ЭДС путем усреднения за период произведения интеграла анормальных составляющих ЭДС каждой ветви, взаимные долевые участия в изменении качества напряжения в узле от взаимодействия каждой ветви с источником ЭДС с каждой ветвью тока нагрузки путем усреднения за период произведения интеграла анормальной составляющей ЭДС ветви на анормальную составляющую тока ветви и затем определяют результирующее изменение качества напряжения в узле в соответствии со следующей формулой:

где n – число ветвей с источниками ЭДС, примыкающими к узлу,
k – число ветвей нагрузки, примыкающих к узлу.
Также, способ определения долевых участий нагрузки и энергосистемы в изменении качества напряжения в узле энергосистемы действителен и для определения результирующих долевых участий (с учетом собственных и взаимных участий) отдельных нагрузок K(i1a), K(i2a) и отдельно энергосистемы K(ea) в общем искажении напряжения по следующим формулам



На фиг.1 приведена схема узла энергосистемы с результирующим источником энергии, эквивалентирующим сложную энергосистему, для которого реализуется предлагаемый способ. На фиг.2 приведена схема узла энергосистемы с несколькими источниками электрической энергии.
Фиг.1 содержит источник результирующей ЭДС 1 (e1), являющийся эквивалентом сложной энергосистемы, сосредоточенный результирующий реактанс системы индуктивного типа 2 (L) ветви с этой ЭДС, примыкающей к узлу энергосистемы, токи источников токов 3 и 4 (i1 и i2), эквивалентирующих нелинейные нагрузки. При этом источник тока 3 (i1) может быть источником тока одной парциальной нагрузки, влияние которой на качество напряжения в узле энергосистемы и определяется. Тогда ток источника 4 (i2) может представлять источник суммарного тока всех остальных нагрузок узла.
Фиг.2 содержит источники ЭДС энергосистемы 5, 6, 7 (e1, e2,…en, в общем случае число источников равно n), эквивалентные индуктивности ветвей с источниками соответственно 8, 9, 10 (L1, L2, … Ln), источники тока 11, 12, 13 (i1, i2, … ik, в общем случае число парциальных источников узла равно k), эквивалентирующие k нелинейных нагрузок.
Искажения напряжения в узле энергосистемы обусловлены его анормальными составляющими, которые обусловлены наличием высших гармоник напряжения, обратной и нулевой последовательностей напряжения в многофазных системах напряжения. Любые анормальные составляющие будут обозначаться с индексом «а».
В соответствии с фиг.1 для анормальной составляющей напряжения в типовом узле энергосистемы, выделенной известными способами, можно записать следующее дифференциальное уравнение:

Преобразовав уравнение в интегральное, получим

Выполнив алгебраизацию интегрального уравнения для анормальных составляющих путем сначала возведения уравнения типа (1) в квадрат и затем интегрирования его за период в соответствии с методом АДУ2 (Зиновьев Г.С. Прямые методы расчета энергетических показателей вентильных преобразователей. Новосибирск: НГУ, 1990. – с.79-85), получим следующее алгебраическое уравнение относительно действующих значений интеграла анормальных (искажающих) составляющих напряжений и токов

здесь СУ – собственное долевое участие соответствующей ветви, примыкающей к узлу, в общее изменение качества напряжения в узле,
ВУ – взаимное долевое участие двух ветвей, примыкающих к узлу, в общее изменение качества напряжения в узле.
Физический смысл собственного долевого участия СУ конкретной ветви, примыкающей к узлу энергосистемы, состоит в определении того ухудшения качества напряжения в узле энергосистемы, которое возникло бы при отсутствии в других ветвях источников ухудшения качества напряжения (нелинейных нагрузок, источников ЭДС искаженной формы или источников ЭДС синусоидальной формы с различным напряжением в фазах многофазной системы).
Физический смысл взаимного долевого участия ВУ двух ветвей, примыкающих к узлу, состоит в определении того изменения качества (ухудшения или улучшения) напряжения в узле энергосистемы, которое обусловлено суммированием в узле анормальностей напряжения каждой ветви.
Выражение для относительных величин собственных СУ* и взаимных ВУ* долевых участий ветвей узла энергосистемы в результирующем изменении качества напряжения узла, принимаемое за единицу, можно получить, разделив левые и правые части уравнения (2) на , в результате получим:

Выражение для соответствующих коэффициентов, характеризующих отдельные виды анормальности, можно получить, если разделить уравнение (2) на действующее значение интеграла первой гармоники напряжения прямой последовательности. При этом, если анормальное напряжение есть интеграл напряжения высших гармоник, то получаются интегральные коэффициенты несинусоидальности (общий, собственные и взаимные) или интегральные коэффициенты гармоник, если анормальное напряжение есть интеграл напряжения обратной последовательности, то получаются интегральные коэффициенты обратной последовательности, если анормальное напряжение есть напряжение нулевой последовательности несимметричной трехфазной системы, то получаются интегральные коэффициенты нулевой последовательности.
В изображенном на фиг.2 общем случае узла энергосистемы с n ветвями, содержащих ЭДС, выражение для определения собственных и взаимных долевых участий ветвей узла в общее изменение качества напряжения в узле получается обобщением уравнения (2), принимающего следующий вид

Из уравнений (2)-(4) видно, что результирующие искажения качества напряжения в узле энергосистемы определяются не только собственными характеристиками (спектрами) всех примыкающих к узлу энергообъектов, но и взаимными попарными характеристиками энергообъектов. Именно взаимные характеристики энергообъектов и определяют, будет ли при подключении нового объекта ухудшение или улучшение качества электроэнергии в узле, так как коэффициенты взаимного участия могут иметь отрицательный или положительный знаки в отличие от коэффициентов собственного участия, которые всегда положительны.
Возможно определение результирующих (с учетом собственных и взаимных долевых участий) долевых участий отдельных нагрузок K(i1a), K(i2a) и энергосистемы К(еa) в изменении качества напряжения в узле энергосистемы в общем искажении напряжения по следующим формулам



При этом парциальные долевые участия всех элементов узла энергосистемы связаны общим уравнением

Это уравнение можно использовать для проверки расчетов и измерений.
Таким образом, предлагаемый способ определения долевых участий нагрузки и энергосистемы в изменении качества напряжения в узле системы снижает все погрешности способа определения, используемого в прототипе, так как предлагаемый способ измеряет новые показатели – интегральные коэффициенты гармоник напряжения, которые более точно характеризуют качество напряжения в узле, а значит точнее определяют ущерб от искажения напряжения.
Формула изобретения
1. Способ определения долевых участий нагрузки и энергосистемы в изменении качества напряжения в узле энергосистемы, включающий выделение анормальной составляющей напряжения ua узла энергосистемы, анормальной составляющей результирующей ЭДС энергосистемы ea, анормальных составляющих токов нагрузок i1a, i2a, определение собственных долевых участий в изменении качества напряжения для ветви с результирующей ЭДС энергосистемы для ветвей с источниками токов нагрузки, также определение взаимного долевого участия в изменении качества напряжения в узле от взаимодействия пар ветвей с источниками токов нагрузок, также определение взаимного долевого участия в изменении качества напряжения в узле от взаимодействия ветви с источником ЭДС с результирующим током ветвей нагрузки и затем определение результирующего изменения качества напряжения в узле в соответствии с формулой, отличающийся тем, что собственные долевые участия в изменении качества напряжения узла энергосистемы для ветви с результирующей ЭДС энергосистемы определяют путем усреднения за ее период квадрата интеграла анормальной составляющей результирующей ЭДС, для ветвей с источниками токов нагрузки определяют путем усреднения за тот же период квадратов анормальных составляющих этих токов, определение взаимного долевого участия в изменении качества напряжения в узле от взаимодействия пар ветвей с источниками токов нагрузки делают путем усреднения за тот же период произведения анормальных составляющих токов нагрузок, а определение взаимного долевого участия в изменении качества напряжения в узле от взаимодействия ветви с источником ЭДС с результирующим током ветвей нагрузки делают путем усреднения за тот же период произведения интеграла анормальной составляющей источника результирующей ЭДС с анормальной составляющей результирующего тока нагрузок и в конечном итоге определение результирующего изменения качества напряжения в узле в соответствии со следующей формулой

где , i1a, i2a – анормальные составляющие соответственно в интеграле ЭДС энергосистемы, токах ветвей нагрузок,
СУ( ), СУ(i1a), СУ(i2a) – соответственно собственные долевые участия ветвей с интегралом ЭДС энергосистемы, источниками токов нагрузок,
ВУ(i1a, i2a), ВУ( , i1a+i2a) – соответственно взаимные долевые участия двух ветвей нагрузок и ветви с интегралом ЭДС энергосистемы с виртуальной ветвью результирующего тока ветвей нагрузки.
2. Способ определения долевых участий нагрузки и энергосистемы в изменении качества напряжения в узле энергосистемы по п.1, отличающийся тем, что определяют относительные значения собственных и взаимных долевых участий каждого энергообъекта узла энергосистемы в общее изменение качества напряжения в узле путем деления на усредненное за период значение квадрата интеграла анормальной составляющей напряжения узла энергосистемы, при этом все собственные и взаимные долевые участия в относительном виде связаны следующим уравнением

где – квадрат действующего значения интеграла анормальной составляющей напряжения узла,
СУ* , СУ*(i1a), СУ*(i2a) – соответственно относительные значения собственных долевых участий ветви с результирующей ЭДС энергосистемы, ветвей с источниками токов нагрузки,
ВУ*(i1a, i2a), ВУ*( , i1a+i2a) – соответственно относительные значения взаимных долевых участий пар ветвей нагрузки, ветви с интегралом ЭДС энергосистемы с виртуальной ветвью результирующего тока ветвей нагрузки.
3. Способ определения долевых участий нагрузки и энергосистемы в изменении качества напряжения в узле энергосистемы по п.1, отличающийся тем, что при нескольких параллельных ветвях с источниками ЭДС в энергосистеме со своими реактансами, подключенными к узлу, дополнительно определяют: собственные долевые участия в изменении качества напряжения в узле от всех ветвей с источниками ЭДС путем усреднения за период квадрата интеграла анормальной составляющей каждой ЭДС, взаимные долевые участия в изменении качества напряжения в узле от попарного взаимодействия ветвей с источниками ЭДС путем усреднения за период произведения интеграла анормальных составляющих ЭДС каждой ветви, взаимные долевые участия в изменении качества напряжения в узле от взаимодействия каждой ветви с источником ЭДС с каждой ветвью тока нагрузки путем усреднения за период произведения интеграла анормальной составляющей ЭДС ветви на анормальную составляющую тока ветви и затем определяют результирующее изменение качества напряжения в узле в соответствии со следующей формулой

где n – число ветвей с источниками ЭДС, примыкающими к узлу, k – число ветвей нагрузки, примыкающих к узлу.
4. Способ определения долевых участий нагрузки и энергосистемы в изменении качества напряжения в узле энергосистемы по п.1, отличающийся тем, что определяют результирующие долевые участия отдельных нагрузок и энергосистемы в общем искажении напряжения по следующим формулам



РИСУНКИ
|
|