|
|
(21), (22) Заявка: 2005140833/28, 26.12.2005
(24) Дата начала отсчета срока действия патента:
26.12.2005
(46) Опубликовано: 27.09.2007
(56) Список документов, цитированных в отчете о поиске:
RU 2185596 С2, 20.07.2002. SU 1783283 A1, 23.12.1992. SU 1693361 A1, 23.11.1991. RU 2247936 C1, 10.03.2005.
Адрес для переписки:
443100, г.Самара, ул. Молодогвардейская, 244, Главный корпус СамГТУ, патентный отдел
|
(72) Автор(ы):
Нестеров Владимир Николаевич (RU), Жмуров Денис Борисович (RU), Мухин Василий Михайлович (RU)
(73) Патентообладатель(и):
Государственное образовательное учреждение высшего профессионального образования Самарский государственный технический университет (RU)
|
(54) ИНФОРМАЦИОННО-ИЗМЕРИТЕЛЬНАЯ СИСТЕМА ПЕРЕМЕЩЕНИЙ И ДЕФОРМАЦИЙ ОБЪЕКТА
(57) Реферат:
Изобретение относится к измерительной технике и может быть использовано для измерения перемещений, деформаций и поворотов многомерных объектов в результате, например, тепловых и упругих возмущений. Сущность: устройство содержит шесть датчиков линейных перемещений. Два датчика содержат по три ортогонально расположенных чувствительных элемента. Четыре датчика содержат по одному чувствительному элементу, которые ориентированы вдоль координатных осей. Блок обработки информации включает тридцать девять блоков умножения, одиннадцать блоков вычитания, девять блоков сложения, девять блоков деления и блок памяти. Технический результат: расширение функциональных возможностей и повышение точности измерения. 3 ил.
Изобретение относится к измерительной технике и может быть использовано для измерения перемещений, деформаций и поворотов многомерных объектов в результате, например, тепловых и упругих возмущений.
Известно множество измерительных устройств, реализующих алгоритмический способ измерения перемещений объектов, подверженных тепловым и упругим деформациям. Например, устройство [1], где в результате использования шести измерительных каналов получают величины, характеризующие линейные перемещения и деформации объекта вдоль одной координатной оси, а также поворот контролируемого объекта относительно другой оси.
Недостатком известного устройства является сложность и высокая методическая погрешность из-за большого количества измерительных каналов.
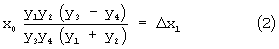
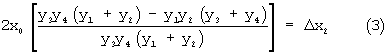
Наиболее близким аналогом заявленного устройства является информационно-измерительная система [2] перемещений и деформаций объекта, где в результате использования четырех измерительных каналов получают величины, характеризующие линейные перемещения и деформации объекта вдоль одной координатной оси, а также поворот контролируемого объекта относительно другой оси.
Действительно, если в соответствии с [2] выходные сигналы четырех измерительных каналов аппроксимируются системой уравнений:
 
где k – чувствительность измерительных каналов;
x0 – начальное расстояние от датчиков до контролируемого объекта, установленных дифференциально;
x1 – компонента, характеризующая линейное перемещение точки контролируемого объекта, принятой за полюс (в данном случае принят центр объекта);
x2 – компонента, характеризующая линейную деформацию контролируемого объекта между его крайними точками;
x3 – компонента, характеризующая поворот контролируемого объекта, то на выходе блока обработки получаем сигналы, характеризующие названные компоненты и инвариантные относительно возмущений со стороны контролируемого объекта:



К недостаткам известного устройства можно отнести ограниченные функциональные возможности из-за отсутствия измерения перемещений и деформаций объекта в направлении второй координатной оси декартовой системы координат.
Техническим результатом является расширение функциональных возможностей за счет увеличения количества измеряемых информативных составляющих и повышение точности измерения.
На фиг.1 представлены проекции расположения датчиков линейных перемещений 1-6 относительно контролируемого объекта.
На фиг.2 представлена схема соединения: проиндексированных выходов чувствительных элементов датчиков 1-6 с входами соответствующих измерительных преобразователей 7-16; выходов измерительных преобразователей 7-16 с поименованными входами блока 17 обработки информации. Стрелками, направленными от датчиков, показаны проиндексированные выходы чувствительных элементов, соединенных с входами соответствующих измерительных преобразователей 7-16.
На фиг.3 приведена схема блока 17 обработки информации с соответствующими поименованными входами и выходами.
Технический результат достигается тем, что в известное устройство, содержащее четыре датчика линейных перемещений, подключенных к соответствующим измерительным преобразователям, чувствительные элементы двух из которых ориентированы относительно контролируемого объекта дифференциально, коллинеарно первой из выбранных координатных осей, блок обработки информации, включающий в себя два блока сложения, четыре блока вычитания, три блока умножения, три блока деления и блок памяти, введены семь блоков сложения, семь блоков вычитания, тридцать шесть блоков умножения, шесть блоков деления, два датчика линейных перемещений, каждый из которых содержит по три ортогонально расположенных чувствительных элемента, причем первые четыре датчика имеют по одному чувствительному элементу, которые ориентированы вдоль координатных осей декартовой системы координат, пересекающихся в центре контролируемого объекта, называемом полюсом, по направлению к центру объекта, причем чувствительные элементы первого и второго датчиков, установленных вдоль третьей координатной оси, дифференциально по отношению друг к другу, чувствительный элемент третьего датчика ориентирован по направлению первой координатной оси, чувствительный элемент четвертого датчика ориентирован по направлению второй координатной оси, пятый и шестой датчики имеют по три чувствительных элемента, ориентированных во взаимно ортогональных направлениях, причем первый чувствительный элемент пятого датчика, установленного в плоскости, параллельной плоскости установки третьего датчика, ориентирован коллинеарно первой координатной оси, дифференциально направлению ориентации чувствительного элемента третьего датчика, второй чувствительный элемент пятого датчика ориентирован коллинеарно второй координатной оси в направлении, совпадающем с направлением ориентации чувствительного элемента четвертого датчика по направлению к плоскости установки опорного элемента, совпадающей с шестой плоскостью прямоугольного параллелепипеда, третий чувствительный элемент пятого датчика ориентирован коллинеарно третьей координатной оси в направлении, совпадающем с направлением ориентации чувствительного элемента второго датчика, встречно направлению ориентации чувствительного элемента первого датчика по направлению к плоскости опорного элемента пятого датчика, совпадающей с плоскостью, образованной первой и второй осями, первый чувствительный элемент шестого датчика, установленного в плоскости, параллельной плоскости установки четвертого датчика, ориентирован коллинеарно первой координатной оси по направлению к плоскости установки опорного элемента, совпадающей с третьей плоскостью прямоугольного параллелепипеда, второй чувствительный элемент шестого датчика ориентирован коллинеарно второй координатной оси, дифференциально направлению ориентации чувствительного элемента четвертого датчика, третий чувствительный элемент шестого датчика ориентирован коллинеарно третьей координатной оси в направлении, совпадающем с направлением ориентации чувствительного элемента первого датчика, встречно направлению ориентации чувствительного элемента второго датчика по направлению к плоскости опорного элемента пятого датчика, совпадающей с плоскостью, образованной первой и второй координатными осями, и блок обработки информации, включающий в себя тридцать девять блоков умножения, одиннадцать блоков вычитания, девять блоков сложения, девять блоков деления и блок памяти. Выход первого измерительного преобразователя, соединенного с чувствительным элементом первого датчика, подключен к одному из входов восьмого блока умножения, пятого блока сложения, инверсному входу четвертого блока вычитания; выход второго измерительного преобразователя, соединенного с чувствительным элементом второго датчика, подключен к одному из входов восьмого блока умножения, пятого блока сложения и к прямому входу четвертого блока вычитания; выход третьего измерительного преобразователя, соединенного с чувствительным элементом третьего датчика, подключен к одному из входов первого блока умножения, десятого блока умножения, тринадцатого блока умножения, второго блока сложения, седьмого блока умножения; выход четвертого измерительного преобразователя, соединенного с чувствительным элементом четвертого датчика, подключен к одному из входов пятого блока умножения, третьего блока сложения, шестого блока умножения, тридцать третьего блока умножения, четвертого блока сложения; выход пятого измерительного преобразователя, соединенного с чувствительным элементом пятого датчика, ориентированным коллинеарно первой координатной оси, подключен к одному из входов тринадцатого блока умножения, четвертого блока умножения, тридцать второго блока умножения, прямому входу первого блока вычитания; выход шестого измерительного преобразователя, соединенного с чувствительным элементом пятого датчика, ориентированным коллинеарно второй координатной оси, подключен к одному из входов третьего блока умножения, первого блока сложения, четвертого блока умножения, двадцать седьмого блока умножения, третьего блока сложения, шестого блока умножения и к инверсному входу второго блока вычитания; выход седьмого измерительного преобразователя, соединенного с чувствительным элементом пятого датчика, ориентированным коллинеарно третьей координатной оси, подключен к одному из входов девятого блока умножения, шестого блока умножения и к инверсному входу третьего блока вычитания; выход восьмого измерительного преобразователя, соединенного с чувствительным элементом шестого датчика, ориентированным коллинеарно первой координатной оси, подключен к одному из входов второго блока умножения, второго блока сложения, седьмого блока умножения, инверсному входу первого блока вычитания, прямому входу второго блока вычитания; выход девятого измерительного преобразователя, соединенного с чувствительным элементом шестого датчика, ориентированным коллинеарно второй координатной оси, подключен к одному из входов третьего блока умножения, первого блока сложения, тринадцатого блока умножения, пятого блока умножения, двадцать пятого блока умножения, четвертого блока сложения; выход десятого измерительного преобразователя, соединенного с чувствительным элементом шестого датчика, ориентированным коллинеарно третьей координатной оси, подключен к одному из входов девятого блока умножения, шестого блока сложения, прямому входу третьего блока вычитания; первый выход блока памяти соединен с одним из входов первого блока умножения и второго блока умножения; выход первого блока умножения соединен с одним из входов седьмого блока сложения; выход второго блока умножения соединен с одним из входов седьмого блока сложения; выход первого блока вычитания соединен с одним из входов десятого блока умножения; выход третьего блока умножения соединен с одним из входов десятого блока умножения, двадцать третьего блока умножения, одиннадцатого блока умножения, инверсным входом пятого блока вычитания, двадцать второго блока умножения; выход первого блока сложения соединен с одним из входов двенадцатого блока умножения, семнадцатого блока умножения; выход четвертого блока умножения соединен с прямым входом пятого блока вычитания; выход второго блока вычитания соединен с одним из входов тринадцатого блока умножения; выход второго блока сложения соединен с одним из входов одиннадцатого блока умножения, четырнадцатого блока умножения, шестнадцатого блока умножения; выход пятого блока умножения соединен с одним из входов четырнадцатого блока умножения; выход третьего блока сложения соединен с одним из входов пятнадцатого блока умножения; выход шестого блока умножения соединен с одним из входов шестнадцатого блока умножения; выход четвертого блока сложения соединен с одним из входов двадцать первого блока умножения; выход седьмого блока умножения соединен с одним из входов двенадцатого блока умножения, двадцатого блока умножения, пятнадцатого блока умножения, семнадцатого блока умножения, двадцать первого блока умножения, двадцать второго блока умножения; выход восьмого блока умножения соединен с одним из входов семнадцатого блока умножения, двадцать восьмого блока умножения, тридцать четвертого блока умножения, восемнадцатого блока умножения, тридцать шестого блока умножения; выход третьего блока вычитания соединен с одним из входов восемнадцатого блока умножения; выход пятого блока сложения соединен с одним из входов двадцать девятого блока умножения; выход четвертого блока вычитания соединен с одним из входов девятнадцатого блока умножения, тридцать пятого блока умножения; второй выход блока памяти соединен с одним из входов десятого блока умножения, двадцать четвертого блока умножения, двадцать седьмого блока умножения, тридцать восьмого блока умножения; третий выход блока памяти соединен с одним из входов двадцать шестого блока умножения, двадцать пятого блока умножения, тридцать пятого блока умножения, тринадцатого блока умножения, тридцать девятого блока умножения; выход девятого блока умножения соединен с одним из входов девятнадцатого блока умножения, тридцать шестого блока умножения, тридцать седьмого блока умножения; выход шестого блока сложения соединен с одним из входов тридцать первого блока умножения; выход седьмого блока сложения соединен с одним из входов двадцать третьего блока умножения; выход десятого блока умножения соединен с входом делимого первого блока деления; выход одиннадцатого блока умножения соединен с прямым входом шестого блока вычитания; выход двенадцатого блока умножения соединен с инверсным входом шестого блока вычитания, с инверсным входом девятого блока вычитания; выход пятого блока вычитания соединен с одним из входов двадцатого блока умножения; выход тринадцатого блока соединен с одним из входов девятого блока сложения; выход четырнадцатого блока умножения соединен с прямым входом восьмого блока вычитания; выход пятнадцатого блока умножения соединен с прямым входом седьмого блока вычитания; выход шестнадцатого блока умножения соединен с инверсным входом седьмого блока вычитания; выход семнадцатого блока умножения соединен с первым инверсным входом десятого блока вычитания; выход восемнадцатого блока умножения соединен с одним из входов блока сложения; выход девятнадцатого блока умножения соединен с одним из входов восьмого блока сложения; выход шестого блока вычитания соединен с одним из входов двадцать четвертого блока умножения; выход двадцатого блока умножения соединен с одним из входов девятого блока сложения; выход седьмого блока вычитания соединен с одним из входов двадцать пятого блока умножения; выход двадцать первого блока умножения соединен с инверсным входом восьмого блока вычитания; выход двадцать второго блока умножения соединен с одним из входов двадцать девятого блока умножения, тридцать пятого блока умножения, тридцатого блока умножения, тридцать первого блока умножения; выход восьмого блока сложения соединен с одним из входов тридцатого блока умножения; выход двадцать третьего блока умножения соединен с одним из входов двадцать восьмого блока умножения, прямым входом девятого блока вычитания; выход двадцать четвертого блока умножения соединен с входом делимого второго блока деления; выход девятого блока сложения соединен с одним из входов двадцать шестого блока умножения; выход восьмого блока вычитания соединен с одним из входов двадцать седьмого блока умножения; выход двадцать пятого блока умножения соединен с входом делимого пятого блока деления; выход девятого блока вычитания соединен с одним из входов тридцать второго блока умножения, тридцать третьего блока умножения, тридцать четвертого блока умножения, тридцать шестого блока умножения, тридцать седьмого блока умножения, входом делителя второго блока деления; выход двадцать шестого блока умножения соединен с входом делимого третьего блока деления; выход двадцать седьмого блока умножения соединен с входом делимого четвертого блока деления; выход двадцать восьмого блока умножения соединен с прямым входом десятого блока вычитания; выход двадцать девятого блока умножения соединен со вторым инверсным входом десятого блока вычитания; выход тридцатого блока умножения соединен с входом делимого восьмого блока деления; выход тридцать первого блока умножения соединен с прямым входом одиннадцатого блока вычитания; выход тридцать второго блока умножения соединен с входом делителя первого блока деления, с входом делителя третьего блока деления; выход тридцать третьего блока умножения соединен с входом делителя четвертого блока деления, с входом делителя пятого блока деления; выход десятого блока вычитания соединен с одним из входов тридцать восьмого блока умножения; выход тридцать четвертого блока умножения соединен с входом делителя шестого блока умножения, с входом делителя седьмого блока деления; выход тридцать пятого блока умножения соединен с входом делимого седьмого блока деления; выход тридцать шестого блока умножения соединен с входом делителя восьмого блока деления; выход тридцать седьмого блока умножения соединен с входом делителя девятого блока деления, инверсным входом одиннадцатого блока вычитания; выход тридцать восьмого блока умножения соединен с входом делимого шестого блока деления; выход одиннадцатого блока вычитания соединен с одним из входов тридцать девятого блока умножения; выход тридцать девятого блока умножения соединен с входом делимого девятого блока деления; выход первого блока деления является первым выходом системы; выход третьего блока деления является вторым выходом системы; выход четвертого блока деления является третьим выходом системы; выход пятого блока деления является четвертым выходом системы; выход шестого блока деления является пятым выходом системы; выход седьмого блока деления является шестым выходом системы; выход восьмого блока деления является седьмым выходом системы; выход девятого блока деления является восьмым выходом системы; выход второго блока деления является девятым выходом системы.
В результате расширяются функциональные возможности, повышается в определенном случае точность измерения.
Принцип работы датчиков 1-6 линейных перемещений описан в [3].
Устройство содержит шесть датчиков 1-6 линейных перемещений, подключенных к соответствующим измерительным преобразователям 7-16, причем первые четыре датчика 1-4 имеют по одному чувствительному элементу, которые ориентированы вдоль координатных осей декартовой системы координат, пересекающихся в центре контролируемого объекта, называемом полюсом, по направлению к центру объекта, причем чувствительные элементы первого и второго датчиков 1-2, установленных вдоль третьей координатной оси, дифференциально по отношению друг к другу, чувствительный элемент третьего датчика 3 ориентирован по направлению первой координатной оси, чувствительный элемент четвертого датчика 4 ориентирован по направлению второй координатной оси, пятый и шестой датчики 5-6 имеют по три чувствительных элемента, ориентированных во взаимно ортогональных направлениях, причем первый чувствительный элемент пятого датчика 5, установленного в плоскости, параллельной плоскости установки третьего датчика 3, ориентирован коллинеарно первой координатной оси, дифференциально направлению ориентации чувствительного элемента третьего датчика 3, второй чувствительный элемент пятого датчика 5 ориентирован коллинеарно второй координатной оси в направлении, совпадающем с направлением ориентации чувствительного элемента четвертого датчика 4 по направлению к плоскости установки опорного элемента, совпадающей с шестой плоскостью прямоугольного параллелепипеда, третий чувствительный элемент пятого датчика 5 ориентирован коллинеарно третьей координатной оси в направлении, совпадающем с направлением ориентации чувствительного элемента второго датчика 2, встречно направлению ориентации чувствительного элемента первого датчика 1 по направлению к плоскости опорного элемента пятого датчика 5, совпадающей с плоскостью, образованной первой и второй осями, первый чувствительный элемент шестого датчика 6, установленного в плоскости, параллельной плоскости установки четвертого датчика 4, ориентирован коллинеарно первой координатной оси по направлению к плоскости установки опорного элемента, совпадающей с третьей плоскостью прямоугольного параллелепипеда, второй чувствительный элемент шестого датчика 6 ориентирован коллинеарно второй координатной оси, дифференциально направлению ориентации чувствительного элемента четвертого датчика 4, третий чувствительный элемент шестого датчика 6 ориентирован коллинеарно третьей координатной оси в направлении, совпадающем с направлением ориентации чувствительного элемента первого датчика 1, встречно направлению ориентации чувствительного элемента второго датчика 2 по направлению к плоскости опорного элемента пятого датчика 5, совпадающей с плоскостью, образованной первой и второй координатными осями, и блок 17 обработки информации, включающий в себя тридцать девять блоков 18-56 умножения, одиннадцать блоков 57-67 вычитания, девять блоков 68-76 сложения, девять блоков 77-85 деления и блок 86 памяти. Выход первого 7 измерительного преобразователя, соединенного с чувствительным элементом первого датчика 1, подключен к одному из входов восьмого блока 25 умножения, пятого блока 72 сложения, инверсному входу четвертого блока 60 вычитания; выход второго измерительного преобразователя 8, соединенного с чувствительным элементом второго датчика 2, подключен к одному из входов восьмого блока 25 умножения, пятого блока 72 сложения и к прямому входу четвертого блока 60 вычитания; выход третьего измерительного преобразователя 9, соединенного с чувствительным элементом третьего датчика 3, подключен к одному из входов первого блока 18 умножения, десятого блока 27 умножения, тринадцатого блока 30 умножения, второго блока 69 сложения, седьмого блока 24 умножения; выход четвертого измерительного преобразователя 10, соединенного с чувствительным элементом четвертого датчика 4, подключен к одному из входов пятого блока 22 умножения, третьего блока 70 сложения, шестого блока 23 умножения, тридцать третьего блока 50 умножения, четвертого блока 71 сложения; выход пятого измерительного преобразователя 11, соединенного с чувствительным элементом пятого датчика 5,ориентированным коллинеарно первой координатной оси, подключен к одному из входов тринадцатого блока 30 умножения, четвертого блока 21 умножения, тридцать второго блока 49 умножения, прямому входу первого блока 57 вычитания; выход шестого измерительного преобразователя 12, соединенного с чувствительным элементом пятого датчика 5, ориентированным коллинеарно второй координатной оси, подключен к одному из входов третьего блока 20 умножения, первого блока 68 сложения, четвертого блока 21 умножения, двадцать седьмого блока 44 умножения, третьего блока 70 сложения, шестого блока 23 умножения и к инверсному входу второго блока 58 вычитания; выход седьмого измерительного преобразователя 13, соединенного с чувствительным элементом пятого датчика 5, ориентированным коллинеарно третьей координатной оси, подключен к одному из входов девятого блока 26 умножения, шестого блока 73 умножения и к инверсному входу третьего блока 59 вычитания; выход восьмого измерительного преобразователя 14, соединенного с чувствительным элементом шестого датчика 6, ориентированным коллинеарно первой координатной оси, подключен к одному из входов второго блока 19 умножения, второго блока 69 сложения, седьмого блока 24 умножения, инверсному входу первого блока 57 вычитания, прямому входу второго блока 58 вычитания; выход девятого измерительного преобразователя 15, соединенного с чувствительным элементом шестого датчика 6, ориентированным коллинеарно второй координатной оси, подключен к одному из входов третьего блока 20 умножения, первого блока 68 сложения, тринадцатого блока 30 умножения, пятого блока 22 умножения, двадцать пятого блока 42 умножения, четвертого блока 71 сложения; выход десятого измерительного преобразователя 16, соединенного с чувствительным элементом шестого датчика 6, ориентированным коллинеарно третьей координатной оси, подключен к одному из входов девятого блока 26 умножения, шестого блока 73 сложения, прямому входу третьего блока 59 вычитания. Первый выход блока 86 памяти соединен с одним из входов первого блока 18 умножения и второго блока 19 умножения; выход первого блока 18 умножения соединен с одним из входов седьмого блока 74 сложения; выход второго блока 19 умножения соединен с одним из входов седьмого блока 74 сложения; выход первого блока 57 вычитания соединен с одним из входов десятого блока 27 умножения; выход третьего блока 20 умножения соединен с одним из входов десятого блока 27 умножения, двадцать третьего блока 40 умножения, одиннадцатого блока 28 умножения, инверсным входом пятого блока 61 вычитания, двадцать второго блока 39 умножения; выход первого блока 68 сложения соединен с одним из входов двенадцатого блока 29 умножения, семнадцатого блока 34 умножения; выход четвертого блока 21 умножения соединен с прямым входом пятого блока 61 вычитания; выход второго блока 69 вычитания соединен с одним из входов тринадцатого блока 30 умножения; выход второго блока 69 сложения соединен с одним из входов одиннадцатого блока 28 умножения, четырнадцатого блока 31 умножения, шестнадцатого блока 33 умножения; выход пятого блока 22 умножения соединен с одним из входов четырнадцатого блока 31 умножения; выход третьего блока 70 сложения соединен с одним из входов пятнадцатого блока 32 умножения; выход шестого блока 23 умножения соединен с одним из входов шестнадцатого блока 33 умножения; выход четвертого блока 71 сложения соединен с одним из входов двадцать первого блока 38 умножения; выход седьмого блока 24 умножения соединен с одним из входов двенадцатого блока 29 умножения, двадцатого блока 37 умножения, пятнадцатого блока 32 умножения, семнадцатого блока 34 умножения, двадцать первого блока 38 умножения, двадцать второго блока 39 умножения; выход восьмого блока 25 умножения соединен с одним из входов семнадцатого блока 34 умножения, двадцать восьмого блока 45 умножения, тридцать четвертого блока 51 умножения, восемнадцатого блока 35 умножения, тридцать шестого блока 53 умножения; выход третьего блока вычитания соединен с одним из входов восемнадцатого блока 35 умножения; выход пятого блока 72 сложения соединен с одним из входов двадцать девятого блока 46 умножения; выход четвертого блока 60 вычитания соединен с одним из входов девятнадцатого блока 36 умножения, тридцать пятого блока 52 умножения. Второй выход блока 86 памяти соединен с одним из входов десятого блока 27 умножения, двадцать четвертого блока 41 умножения, двадцать седьмого блока 44 умножения, тридцать восьмого блока 55 умножения. Третий выход блока 86 памяти соединен с одним из входов двадцать шестого блока 43 умножения, двадцать пятого блока 42 умножения, тридцать пятого блока 52 умножения, тринадцатого блока 47 умножения, тридцать девятого блока 56 умножения; выход девятого блока 26 умножения соединен с одним из входов девятнадцатого блока 36 умножения, тридцать шестого блока 53 умножения, тридцать седьмого блока 54 умножения; выход шестого блока 73 сложения соединен с одним из входов тридцать первого блока 48 умножения; выход седьмого блока 74 сложения соединен с одним из входов двадцать третьего блока 40 умножения; выход десятого блока 27 умножения соединен с входом делимого первого блока 77 деления; выход одиннадцатого блока 28 умножения соединен с прямым входом шестого блока 62 вычитания; выход двенадцатого блока 29 умножения соединен с инверсным входом шестого блока 62 вычитания, с инверсным входом девятого блока 65 вычитания; выход пятого блока 61 вычитания соединен с одним из входов двадцатого блока 37 умножения; выход тринадцатого блока 30 соединен с одним из входов девятого блока 76 сложения; выход четырнадцатого блока 31 умножения соединен с прямым входом восьмого блока 64 вычитания; выход пятнадцатого блока 32 умножения соединен с прямым входом седьмого блока 63 вычитания; выход шестнадцатого блока 33 умножения соединен с инверсным входом седьмого блока 63 вычитания; выход семнадцатого блока 34 умножения соединен с первым инверсным входом десятого блока 66 вычитания; выход восемнадцатого блока 35 умножения соединен с одним из входов блока 75 сложения; выход девятнадцатого блока 36 умножения соединен с одним из входов восьмого блока 75 сложения; выход шестого блока 62 вычитания соединен с одним из входов двадцать четвертого блока 41 умножения; выход двадцатого блока 37 умножения соединен с одним из входов девятого блока 76 сложения; выход седьмого блока 63 вычитания соединен с одним из входов двадцать пятого блока 42 умножения; выход двадцать первого блока 38 умножения соединен с инверсным входом восьмого блока 64 вычитания; выход двадцать второго блока 39 умножения соединен с одним из входов двадцать девятого блока 46 умножения, тридцать пятого блока 52 умножения, тридцатого блока 47 умножения, тридцать первого блока 48 умножения; выход восьмого блока 75 сложения соединен с одним из входов тридцатого блока 47 умножения; выход двадцать третьего блока 40 умножения соединен с одним из входов двадцать восьмого блока 45 умножения, прямым входом девятого блока 65 вычитания; выход двадцать четвертого блока 41 умножения соединен с входом делимого второго блока 78 деления; выход девятого блока 76 сложения соединен с одним из входов двадцать шестого блока 43 умножения; выход восьмого блока 64 вычитания соединен с одним из входов двадцать седьмого блока 44 умножения; выход двадцать пятого блока 42 умножения соединен с входом делимого пятого блока 81 деления; выход девятого блока 65 вычитания соединен с одним из входов тридцать второго блока 49 умножения, тридцать третьего блока 50 умножения, тридцать четвертого блока 51 умножения, тридцать шестого блока 53 умножения, тридцать седьмого блока 54 умножения, входом делителя второго блока 78 деления; выход двадцать шестого блока 43 умножения соединен с входом делимого третьего блока 79 деления; выход двадцать седьмого блока 44 умножения соединен с входом делимого четвертого блока 80 деления; выход двадцать восьмого блока 45 умножения соединен с прямым входом десятого блока 66 вычитания; выход двадцать девятого блока 46 умножения соединен со вторым инверсным входом десятого блока 66 вычитания; выход тридцатого блока 47 умножения соединен с входом делимого восьмого блока 84 деления; выход тридцать первого блока 48 умножения соединен с прямым входом одиннадцатого блока 67 вычитания; выход тридцать второго блока 49 умножения соединен с входом делителя первого блока 77 деления, с входом делителя третьего блока 79 деления; выход тридцать третьего блока 50 умножения соединен с входом делителя четвертого блока 80 деления, с входом делителя пятого блока 81 деления; выход десятого блока 66 вычитания соединен с одним из входов тридцать восьмого блока 55 умножения; выход тридцать четвертого блока 51 умножения соединен с входом делителя шестого блока 82 умножения, с входом делителя седьмого блока 83 деления; выход тридцать пятого блока 52 умножения соединен с входом делимого седьмого блока 83 деления; выход тридцать шестого блока 53 умножения соединен с входом делителя восьмого блока 84 деления; выход тридцать седьмого блока 54 умножения соединен с входом делителя девятого блока 85 деления, инверсным входом одиннадцатого блока 67 вычитания; выход тридцать восьмого блока 55 умножения соединен с входом делимого шестого блока 82 деления; выход одиннадцатого блока 67 вычитания соединен с одним из входов тридцать девятого блока 56 умножения; выход тридцать девятого блока 56 умножения соединен с входом делимого девятого блока 85 деления; выход первого блока 77 деления является первым выходом системы; выход третьего блока 79 деления является вторым выходом системы; выход четвертого блока 80 деления является третьим выходом системы; выход пятого блока 81 деления является четвертым выходом системы; выход шестого блока 82 деления является пятым выходом системы; выход седьмого блока 83 деления является шестым выходом системы; выход восьмого блока 84 деления является седьмым выходом системы; выход девятого блока 85 деления является восьмым выходом системы; выход второго блока 78 деления является девятым выходом системы.
Устройство работает следующим образом.
При перемещении, деформации и повороте контролируемого объекта в направлениях, показанных на чертеже стрелками, на выходах измерительных преобразователей получают сигналы:










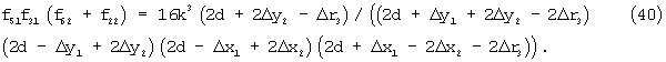
где k – чувствительность измерительных каналов, зависящая от внешних возмущений;
d – начальное расстояние от 1-го, 2-го, 3-го, 4-го, 5-го и 6-го датчиков до соответствующих поверхностей контролируемого объекта;
x1 – компонента, характеризующая линейную деформацию контролируемого объекта между его крайними точками, вдоль первой координатной оси;
x2 – компонента, характеризующая линейное перемещение точки контролируемого объекта, принятой за полюс (в данном случае принят центр объекта) вдоль первой координатной оси;
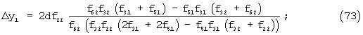
y1 – компонента, характеризующая линейную деформацию контролируемого объекта между его крайними точками, вдоль второй координатной оси;
y2 – компонента, характеризующая линейное перемещение точки контролируемого объекта, принятой за полюс, вдоль второй координатной оси;
z1 – компонента, характеризующая линейную деформацию контролируемого объекта между его крайними точками, вдоль третьей координатной оси;
z2 – компонента, характеризующая линейное перемещение точки контролируемого объекта, принятой за полюс, вдоль третьей координатной оси;
r1 – компонента, характеризующая поворот контролируемого объекта вокруг первой координатной оси, проходящей через точку, принятую за полюс;
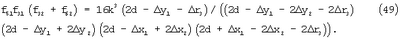
r2 – компонента, характеризующая поворот контролируемого объекта вокруг второй координатной оси, проходящей через точку, принятую за полюс;
r3 – компонента, характеризующая поворот контролируемого объекта вокруг третьей координатной оси, проходящей через точку, принятую за полюс.
Сигнал (13) с выхода третьего измерительного преобразователя 9, сигнал 2 с первого выхода блока 86 памяти поступают на входы первого блока 18 умножения, на выходе которого получаем сигнал:

Сигнал (9) с выхода восьмого измерительного преобразователя 14, сигнал 2 с первого выхода блока 86 памяти поступают на входы второго блока 19 умножения, на выходе которого получаем сигнал:

Сигнал (6) с выхода пятого измерительного преобразователя 11 поступает на прямой вход первого блока 57 вычитания, сигнал (9) с выхода восьмого измерительного преобразователя 14 поступает на инверсный вход первого блока 57 вычитания, на выходе которого получаем сигнал:

Сигнал (10) с выхода девятого измерительного преобразователя 15, сигнал (7) с выхода шестого измерительного преобразователя 12, поступают на входы третьего блока 20 умножения и первого блока 68 сложения, на выходе которых получаем сигналы:


Сигнал (6) с выхода пятого измерительного преобразователя 11, сигнал (7) с выхода шестого измерительного преобразователя 12, поступают на входы четвертого блока 21 умножения, на выходе которого получаем сигнал:

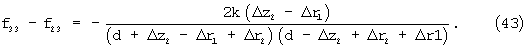
Сигнал (9) с выхода восьмого измерительного преобразователя 14 поступает на прямой вход второго блока вычитания, сигнал (7) с выхода шестого измерительного преобразователя 12 поступает на инверсный вход второго блока 58 вычитания, на выходе которого получаем сигнал:

Сигнал (9) с выхода восьмого измерительного преобразователя 14, сигнал (13) с выхода третьего измерительного преобразователя 9, поступают на входы второго блока 69 сложения и седьмого блока 24 умножения, на выходе которых получаем сигналы:


Сигналы (10) с выхода девятого измерительного преобразователя 15, сигнал (14) с выхода четвертого измерительного преобразователя 10, поступают на входы пятого блока 22 умножения и четвертого блока 71 сложения, на выходе которых получаем сигналы:


Сигнал (14) с выхода четвертого измерительного преобразователя 10, сигнал (7) с выхода шестого измерительного преобразователя 12, поступают на входы третьего блока 70 сложения и шестого блока 23 умножения, на выходе которых получаем сигналы:


Сигналы (5) с выхода второго измерительного преобразователя 8, сигнал (12) с выхода первого измерительного преобразователя 7, поступают на входы восьмого блока 25 умножения и пятого блока 72 сложения, на выходах которых получаем сигналы:


Сигнал (5) с выхода второго измерительного преобразователя 8 поступает на прямой вход четвертого блока 60 вычитания, сигнал (12) с выхода первого измерительного преобразователя 7 поступает на инверсный вход четвертого блока вычитания 60, на выходе которого получаем сигнал:

Сигналы (11) с выхода десятого измерительного преобразователя 16, сигнал (8) с выхода седьмого измерительного преобразователя 13, поступают на входы девятого блока 26 умножения и шестого блока 73 сложения, на выходах которых получаем сигналы:


Сигнал (15) с выхода первого блока 18 умножения, сигнал (16) с выхода второго блока 19 умножения поступают на входы седьмого блока 74 сложения, на выходе которого получаем сигнал:

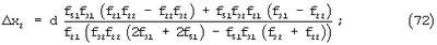
Сигнал (17) с выхода первого блока 57 вычитания, сигнал (13) с выхода третьего измерительного преобразователя 9, сигнал (18) с выхода третьего блока 20 умножения, сигнал 2d со второго выхода блока памяти поступают на входы десятого блока 27 умножения, на выходе которого получаем сигнал:

Сигнал (18) с выхода третьего блока 20 умножения, сигнал (22) с выхода второго блока 69 сложения поступают на входы одиннадцатого блока 28 умножения, на выходе которого получаем сигнал:

Сигнал (19) с выхода первого блока 68 сложения, сигнал (23) с выхода седьмого блока 24 умножения, поступают на входы двенадцатого блока 29 умножения, на выходе которого получаем сигнал:

Сигнал (20) с выхода четвертого блока 21 умножения поступает на прямой вход пятого блока 61 вычитания, сигнал (18) с выхода третьего блока 20 умножения поступает на инверсный вход пятого блока 61 вычитания, на выходе которого получаем сигнал:

Сигнал (6) с выхода пятого измерительного преобразователя 11, сигнал (13) с выхода третьего измерительного преобразователя 9, сигнал (10) с выхода девятого измерительного преобразователя 15, сигнал (21) с выхода второго блока 58 вычитания, поступают на входы тринадцатого блока 30 умножения, на выходе которого получаем сигнал:

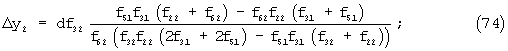
Сигнал (22) с выхода второго блока 69 сложения, сигнал (24) с выхода пятого блока 22 умножения, поступают на входы четырнадцатого блока 31 умножения, на выходе которого получаем сигнал:

Сигнал (26) с выхода третьего блока 70 сложения, сигнал (23) с выхода седьмого блока 24 умножения, поступают на входы пятнадцатого блока 32 умножения, на выходе которого получаем сигнал:

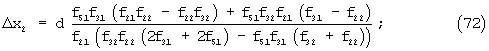
Сигнал (22) с выхода второго блока 69 сложения, сигнал (27) с выхода шестого блока 23 умножения, поступают на входы шестнадцатого блока 33 умножения, на выходе которого получаем сигнал:

Сигнал (23) с выхода седьмого блока 24 умножения, сигнал (19) с выхода первого блока 68 сложения, сигнал (28) с выхода восьмого блока 25 умножения, поступают на входы семнадцатого блока 34 умножения, на выходе которого получаем сигнал:

Сигнал (11) с выхода десятого измерительного преобразователя 15 поступает на прямой вход третьего блока вычитания 59, сигнал (8) с выхода седьмого измерительного преобразователя 13 поступает на инверсный вход третьего блока вычитания 59, на выходе которого получаем сигнал:

Сигнал (28) с выхода восьмого блока 25 умножения, сигнал (43) с выхода третьего блока 59 вычитания, поступают на входы восемнадцатого блока 35 умножения, на выходе которого получаем сигнал:

Сигнал (30) с выхода четвертого блока 60 вычитания, сигнал (31) с выхода девятого блока 26 умножения, поступают на входы девятнадцатого блока 36 умножения, на выходе которого получаем сигнал:

Сигнал (35) с выхода одиннадцатого блока 28 умножения поступает на прямой вход шестого блока 62 вычитания, сигнал (36) с выхода двенадцатого блока 29 умножения поступает на инверсный вход шестого блока 62 вычитания, на выходе которого получаем сигнал:

Сигнал (23) с выхода седьмого блока 24 умножения, сигнал (37) с выхода пятого блока 61 вычитания, поступают на входы двадцатого блока 37 умножения, на выходе которого получаем сигнал:

Сигнал (24) с выхода пятнадцатого блока 22 умножения поступает на прямой вход седьмого блока 63 вычитания, сигнал (41) с выхода шестнадцатого блока 33 умножения поступает на инверсный вход седьмого блока 63 вычитания, на выходе которого получаем сигнал:

Сигнал (25) с выхода четвертого блока 71 сложения, сигнал (23) с выхода седьмого блока 24 умножения, поступают на входы двадцать первого блока 38 умножения, на выходе которого получаем сигнал:

Сигнал (23) с выхода седьмого блока 24 умножения, сигнал (18) с выхода третьего блока 20 умножения, поступают на входы двадцать второго блока 39 умножения, на выходе которого получаем сигнал:

Сигнал (44) с выхода восемнадцатого блока 35 умножения, сигнал (45) с выхода девятнадцатого блока 36 умножения, поступают на входы восьмого блока 75 сложения, на выходе которого получаем сигнал:

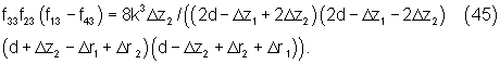
Сигнал (33) с выхода седьмого блока 74 сложения, сигнал (18) с выхода третьего блока 20 умножения, поступают на входы двадцать третьего блока 40 умножения, на выходе которого получаем сигнал:

Сигнал (46) с выхода шестого блока 62 вычитания, сигнал 2d со второго выхода блока 86 памяти, поступают на входы двадцать четвертого блока 41 умножения, на выходе которого получаем сигнал:

Сигнал (47) с выхода двадцатого блока 37 умножения, сигнал (38) с выхода тринадцатого блока 30 умножения, поступают на входы девятого блока 76 сложения, на выходе которого получаем сигнал:

Сигнал (39) с выхода четырнадцатого блока 31 умножения поступает на прямой вход восьмого блока 64 вычитания, сигнал (49) с выхода двадцать первого блока 38 умножения поступает на инверсный вход восьмого блока 64 вычитания, на выходе которого получаем сигнал:

Сигнал (10) с выхода девятого измерительного преобразователя 15, сигнал d с третьего выхода блока 86 памяти, сигнал (48) с выхода седьмого блока 63 вычитания, поступают на входы двадцать пятого блока 42 умножения, на выходе которого получаем сигнал:

Сигнал (52) с выхода двадцать третьего блока 40 умножения поступает на прямой вход девятого блока 65 вычитания, сигнал (36) с выхода двенадцатого блока 29 умножения поступает на инверсный вход девятого блока 65 вычитания, на выходе которого получаем сигнал:

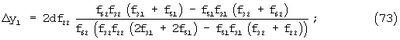
Сигнал (54) с выхода девятого блока 76 сложения, сигнал d с третьего выхода блока 86 памяти, поступают на входы двадцать шестого блока 43 умножения, на выходе которого получаем сигнал:

Сигнал (7) с выхода шестого измерительного преобразователя 12, сигнал 2d со второго выхода блока 86 памяти, сигнал (55) с выхода восьмого блока 64 вычитания, поступают на входы двадцать седьмого блока 44 умножения, на выходе которого получаем сигнал:

Сигнал (52) с выхода двадцать третьего блока 40 умножения, сигнал (28) с выхода восьмого блока 25 умножения, поступают на входы двадцать восьмого блока 45 умножения, на выходе которого получаем сигнал:

Сигнал (50) с выхода двадцать второго блока 39 умножения, сигнал (29) с выхода пятого блока 72 сложения, поступают на входы двадцать девятого блока 46 умножения, на выходе которого получаем сигнал:

Сигнал (50) с выхода двадцать второго блока 39 умножения, сигнал (51) с выхода восьмого блока 75 сложения, сигнал d с третьего выхода блока 86 памяти, поступают на входы тридцатого блока 47 умножения, на выходе которого получаем сигнал:

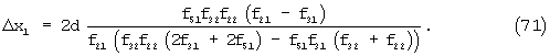
Сигнал (50) с выхода двадцать второго блока 39 умножения, сигнал (32) с выхода шестого блока 73 сложения, поступают на входы тридцать первого блока 48 умножения, на выходе которого получаем сигнал:

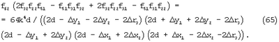
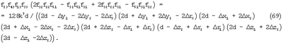
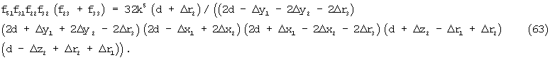
Сигнал (6) с выхода пятого измерительного преобразователя 11, сигнал (57) с выхода девятого блока 65 вычитания, поступают на входы тридцать второго блока 49 умножения, на выходе которого получаем сигнал:

Сигнал (14) с выхода четвертого измерительного преобразователя 10, сигнал (57) с выхода девятого блока 65 вычитания, поступают на входы тридцать третьего блока 50 умножения, на выходе которого получаем сигнал:

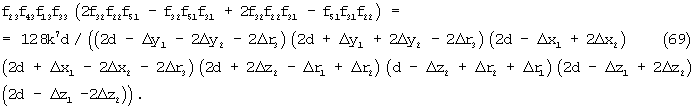
Сигнал (60) с выхода двадцать восьмого блока 45 умножения поступает на прямой вход десятого блока 66 вычитания, сигнал (42) с выхода семнадцатого блока 34 умножения поступает на первый инверсный вход десятого блока 66 вычитания, сигнал (54) с выхода двадцать девятого блока 46 умножения поступает на второй инверсный вход десятого блока 66 вычитания, на выходе которого получаем сигнал:

Сигнал (57) с выхода девятого блока 65 вычитания, сигнал (28) с выхода восьмого блока 25 умножения, поступают на входы тридцать четвертого блока 51 умножения, на выходе которого получаем сигнал:

Сигнал (50) с выхода двадцать второго блока 39 умножения, сигнал d с третьего выхода блока 86 памяти, сигнал (30) с выхода четвертого блока 60 вычитания, поступают на входы тридцать пятого блока 52 умножения, на выходе которого получаем сигнал:

Сигнал (57) с выхода девятого блока 65 вычитания, сигнал (28) с выхода восьмого блока 25 умножения, сигнал (31) с выхода девятого блока 26 умножения, поступают на входы тридцать шестого блока 53 умножения, на выходе которого получаем сигнал:

Сигнал (31) с выхода девятого блока 26 умножения, сигнал (57) с выхода девятого блока 65 вычитания, поступают на входы тридцать седьмого блока 54 умножения, на выходе которого получаем сигнал:

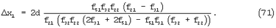
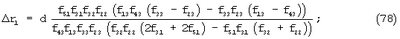
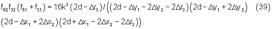
Сигнал (34) с выхода десятого блока 27 умножения поступает на вход делимого первого блока 77 деления, сигнал (64) с выхода тридцать второго блока 49 умножения поступает на вход делителя первого блока 77 деления, на выходе которого получаем сигнал:

Этот сигнал характеризует линейную деформацию объекта вдоль первой координатной оси, показанной на чертеже стрелкой.
Сигнал (58) с выхода двадцать шестого блока 43 умножения поступает на вход делимого третьего блока 79 деления, сигнал (64) с выхода тридцать второго блока 49 умножения поступает на вход делителя третьего блока 79 деления, на выходе которого получаем сигнал:

Этот сигнал характеризует линейное перемещение полюса (центра) “О” объекта вдоль первой координатной оси, показанной на чертеже стрелкой.
Сигнал (59) с выхода двадцать седьмого блока 44 умножения поступает на вход делимого четвертого блока 80 деления, сигнал (65) с выхода тридцать третьего блока 50 умножения поступает на вход делителя четвертого блока 80 деления, на выходе которого получаем сигнал:

Этот сигнал характеризует линейную деформацию объекта вдоль второй координатной оси, показанной на чертеже стрелкой.
Сигнал (56) с выхода двадцать пятого блока 42 умножения поступает на вход делимого пятого блока 81 деления, сигнал (65) с выхода тридцать третьего блока 50 умножения поступает на вход делителя пятого блока 81 деления, на выходе которого получаем сигнал:

Этот сигнал характеризует линейное перемещение полюса (центра) “О” объекта вдоль второй координатной оси, показанной на чертеже стрелкой.
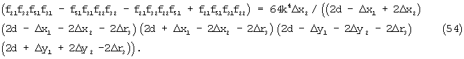
Сигнал (66) с выхода десятого блока 66 вычитания, сигнал 2d со второго выхода блока памяти 86, поступают на входы тридцать восьмого блока 55 умножения, на выходе которого получаем сигнал:

Сигнал (75) с выхода тридцать восьмого блока 55 умножения поступает на вход делимого шестого блока 82 деления, сигнал (67) с выхода тридцать четвертого блока 51 умножения поступает на вход делителя шестого блока 82 деления, на выходе которого получаем сигнал:

Этот сигнал характеризует линейную деформацию объекта вдоль третьей координатной оси, показанной на чертеже стрелкой.
Сигнал (68) с выхода тридцать пятого блока 52 умножения поступает на вход делимого седьмого блока 83 деления, сигнал (67) с выхода тридцать четвертого блока 51 умножения поступает на вход делителя седьмого блока 83 деления, на выходе которого получаем сигнал:

Этот сигнал характеризует линейное перемещение полюса (центра) “О” объекта вдоль третьей координатной оси, показанной на чертеже стрелкой.
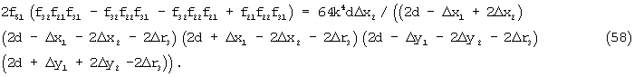
Сигнал (62) с выхода тридцатого блока 47 умножения поступает на вход делимого восьмого блока 84 деления, сигнал (69) с выхода тридцать шестого блока 53 умножения поступает на вход делителя восьмого блока 84 деления, на выходе которого получаем сигнал:

Этот сигнал характеризует поворот контролируемого объекта вокруг первой координатной оси, проходящей через точку, принятую за полюс.
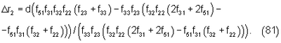
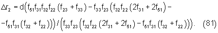
Сигнал (70) с выхода тридцать седьмого блока 54 умножения поступает на инверсный вход одиннадцатого блока 67 вычитания, сигнал (63) с выхода тридцать первого блока 48 умножения поступает на прямой вход одиннадцатого блока вычитания 67, на выходе которого получаем сигнал:

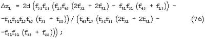
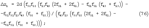
Сигнал (79) с выхода одиннадцатого блока 67 вычитания, сигнал d с третьего выхода блока 86 памяти, поступают на входы тридцать девятого блока 56 умножения, на выходе которого получаем сигнал:

Сигнал (80) с выхода тридцать девятого блока 56 умножения поступает на вход делимого девятого блока 85 деления, сигнал (70) с выхода тридцать седьмого блока 54 умножения поступает на вход делителя девятого блока 85 деления, на выходе которого получаем сигнал:

Этот сигнал характеризует поворот контролируемого объекта вокруг второй координатной оси, проходящей через точку, принятую за полюс.
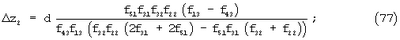
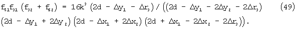
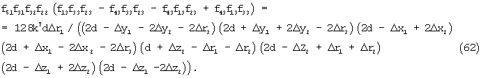
Сигнал (53) с выхода двадцать четвертого блока 41 умножения поступает на вход делимого второго блока 78 деления, сигнал (57) с выхода девятого блока 65 вычитания поступает на вход делителя второго блока 78 деления, на выходе которого получаем сигнал:

Этот сигнал характеризует поворот контролируемого объекта вокруг третьей координатной оси, проходящей через точку, принятую за полюс.
Источники информации
1. А.с. №1783283, кл. G01В 7/00, 1992 г., бюл. №47.
3. А.с. 1753247 А1 СССР, G01В 7/00. Трехкоординатный преобразователь относительного перемещения двух объектов / А.И.Меркулов, В.И.Католиков, А.Б.Евстигнеев, В.Н.Нестеров и B.C.Вонилин. – №1193442; Заявл. 26.07.89; Опубл. 07.08.92. Бюл. №29
Формула изобретения
Информационно-измерительная система для определения компонентов перемещения и деформации контролируемого объекта, содержащая датчики линейных перемещений, подключенные к измерительным преобразователям, и блок обработки информации, включающий блоки сложения, вычитания, умножения, деления и блок памяти, отличающаяся тем, что первые четыре датчика имеют по одному чувствительному элементу, которые ориентированы вдоль координатных осей декартовой системы координат, пересекающихся в центре контролируемого объекта, называемом полюсом, причем чувствительные элементы первого и второго датчиков установлены вдоль третьей координатной оси дифференциально по отношению друг к другу, чувствительный элемент третьего датчика ориентирован по направлению первой координатной оси, чувствительный элемент четвертого датчика ориентирован по направлению второй координатной оси, пятый и шестой датчики имеют по три чувствительных элемента, ориентированных во взаимно ортогональных направлениях, причем первый чувствительный элемент пятого датчика, установленного в плоскости, параллельной плоскости установки третьего датчика, ориентирован коллинеарно первой координатной оси дифференциально направлению ориентации чувствительного элемента третьего датчика, второй чувствительный элемент пятого датчика ориентирован коллинеарно второй координатной оси в направлении, совпадающем с направлением ориентации чувствительного элемента четвертого датчика по направлению к плоскости установки опорного элемента, третий чувствительный элемент пятого датчика ориентирован коллинеарно третьей координатной оси в направлении, совпадающем с направлением ориентации чувствительного элемента второго датчика, встречно направлению ориентации чувствительного элемента первого датчика по направлению к плоскости опорного элемента пятого датчика, совпадающей с плоскостью, образованной первой и второй осями, первый чувствительный элемент шестого датчика, установленного в плоскости, параллельной плоскости установки четвертого датчика, ориентирован коллинеарно первой координатной оси по направлению к плоскости установки опорного элемента, второй чувствительный элемент шестого датчика ориентирован коллинеарно второй координатной оси дифференциально направлению ориентации чувствительного элемента четвертого датчика, третий чувствительный элемент шестого датчика ориентирован коллинеарно третьей координатной оси в направлении, совпадающем с направлением ориентации чувствительного элемента первого датчика, встречно направлению ориентации чувствительного элемента второго датчика по направлению к плоскости опорного элемента пятого датчика, совпадающей с плоскостью, образованной первой и второй координатными осями, блок обработки информации включает в себя тридцать девять блоков умножения, одиннадцать блоков вычитания, девять блоков сложения, девять блоков деления и блок памяти, причем выход первого измерительного преобразователя, соединенного с чувствительным элементом первого датчика, подключен к одному из входов восьмого блока умножения, пятого блока сложения, инверсному входу четвертого блока вычитания; выход второго измерительного преобразователя, соединенного с чувствительным элементом второго датчика, подключен к одному из входов восьмого блока умножения, пятого блока сложения и к прямому входу четвертого блока вычитания; выход третьего измерительного преобразователя, соединенного с чувствительным элементом третьего датчика, подключен к одному из входов первого блока умножения, десятого блока умножения, тринадцатого блока умножения, второго блока сложения, седьмого блока умножения; выход четвертого измерительного преобразователя, соединенного с чувствительным элементом четвертого датчика, подключен к одному из входов пятого блока умножения, третьего блока сложения, шестого блока умножения, тридцать третьего блока умножения, четвертого блока сложения; выход пятого измерительного преобразователя, соединенного с чувствительным элементом пятого датчика, ориентированным коллинеарно первой координатной оси, подключен к одному из входов тринадцатого блока умножения, четвертого блока умножения, тридцать второго блока умножения, прямому входу первого блока вычитания; выход шестого измерительного преобразователя, соединенного с чувствительным элементом пятого датчика, ориентированным коллинеарно второй координатной оси, подключен к одному из входов третьего блока умножения, первого блока сложения, четвертого блока умножения, двадцать седьмого блока умножения, третьего блока сложения, шестого блока умножения и к инверсному входу второго блока вычитания; выход седьмого измерительного преобразователя, соединенного с чувствительным элементом пятого датчика, ориентированным коллинеарно третьей координатной оси, подключен к одному из входов девятого блока умножения, шестого блока умножения и к инверсному входу третьего блока вычитания; выход восьмого измерительного преобразователя, соединенного с чувствительным элементом шестого датчика, ориентированным коллинеарно первой координатной оси, подключен к одному из входов второго блока умножения, второго блока сложения, седьмого блока умножения, инверсному входу первого блока вычитания, прямому входу второго блока вычитания; выход девятого измерительного преобразователя, соединенного с чувствительным элементом шестого датчика, ориентированным коллинеарно второй координатной оси, подключен к одному из входов третьего блока умножения, первого блока сложения, тринадцатого блока умножения, пятого блока умножения, двадцать пятого блока умножения, четвертого блока сложения; выход десятого измерительного преобразователя, соединенного с чувствительным элементом шестого датчика, ориентированным коллинеарно третьей координатной оси, подключен к одному из входов девятого блока умножения, шестого блока сложения, прямому входу третьего блока вычитания; первый выход блока памяти соединен с одним из входов первого блока умножения и второго блока умножения; выход первого блока умножения соединен с одним из входов седьмого блока сложения; выход второго блока умножения соединен с одним из входов седьмого блока сложения; выход первого блока вычитания соединен с одним из входов десятого блока умножения; выход третьего блока умножения соединен с одним из входов десятого блока умножения, двадцать третьего блока умножения, одиннадцатого блока умножения, инверсным входом пятого блока вычитания, двадцать второго блока умножения; выход первого блока сложения соединен с одним из входов двенадцатого блока умножения, семнадцатого блока умножения; выход четвертого блока умножения соединен с прямым входом пятого блока вычитания; выход второго блока вычитания соединен с одним из входов тринадцатого блока умножения; выход второго блока сложения соединен с одним из входов одиннадцатого блока умножения, четырнадцатого блока умножения, шестнадцатого блока умножения; выход пятого блока умножения соединен с одним из входов четырнадцатого блока умножения; выход третьего блока сложения соединен с одним из входов пятнадцатого блока умножения; выход шестого блока умножения соединен с одним из входов шестнадцатого блока умножения; выход четвертого блока сложения соединен с одним из входов двадцать первого блока умножения; выход седьмого блока умножения соединен с одним из входов двенадцатого блока умножения, двадцатого блока умножения, пятнадцатого блока умножения, семнадцатого блока умножения, двадцать первого блока умножения, двадцать второго блока умножения; выход восьмого блока умножения соединен с одним из входов семнадцатого блока умножения, двадцать восьмого блока умножения, тридцать четвертого блока умножения, восемнадцатого блока умножения, тридцать шестого блока умножения; выход третьего блока вычитания соединен с одним из входов восемнадцатого блока умножения; выход пятого блока сложения соединен с одним из входов двадцать девятого блока умножения; выход четвертого блока вычитания соединен с одним из входов девятнадцатого блока умножения, тридцать пятого блока умножения; второй выход блока памяти соединен с одним из входов десятого блока умножения, двадцать четвертого блока умножения, двадцать седьмого блока умножения, тридцать восьмого блока умножения; третий выход блока памяти соединен с одним из входов двадцать шестого блока умножения, двадцать пятого блока умножения, тридцать пятого блока умножения, тринадцатого блока умножения, тридцать девятого блока умножения; выход девятого блока умножения соединен с одним из входов девятнадцатого блока умножения, тридцать шестого блока умножения, тридцать седьмого блока умножения; выход шестого блока сложения соединен с одним из входов тридцать первого блока умножения; выход седьмого блока сложения соединен с одним из входов двадцать третьего блока умножения; выход десятого блока умножения соединен с входом делимого первого блока деления; выход одиннадцатого блока умножения соединен с прямым входом шестого блока вычитания; выход двенадцатого блока умножения соединен с инверсным входом шестого блока вычитания, с инверсным входом девятого блока вычитания; выход пятого блока вычитания соединен с одним из входов двадцатого блока умножения; выход тринадцатого блока соединен с одним из входов девятого блока сложения; выход четырнадцатого блока умножения соединен с прямым входом восьмого блока вычитания; выход пятнадцатого блока умножения соединен с прямым входом седьмого блока вычитания; выход шестнадцатого блока умножения соединен с инверсным входом седьмого блока вычитания; выход семнадцатого блока умножения соединен с первым инверсным входом десятого блока вычитания; выход восемнадцатого блока умножения соединен с одним из входов блока сложения; выход девятнадцатого блока умножения соединен с одним из входов восьмого блока сложения; выход шестого блока вычитания соединен с одним из входов двадцать четвертого блока умножения; выход двадцатого блока умножения соединен с одним из входов девятого блока сложения; выход седьмого блока вычитания соединен с одним из входов двадцать пятого блока умножения; выход двадцать первого блока умножения соединен с инверсным входом восьмого блока вычитания; выход двадцать второго блока умножения соединен с одним из входов двадцать девятого блока умножения, тридцать пятого блока умножения, тридцатого блока умножения, тридцать первого блока умножения; выход восьмого блока сложения соединен с одним из входов тридцатого блока умножения; выход двадцать третьего блока умножения соединен с одним из входов двадцать восьмого блока умножения, прямым входом девятого блока вычитания; выход двадцать четвертого блока умножения соединен с входом делимого второго блока деления; выход девятого блока сложения соединен с одним из входов двадцать шестого блока умножения; выход восьмого блока вычитания соединен с одним из входов двадцать седьмого блока умножения; выход двадцать пятого блока умножения соединен с входом делимого пятого блока деления; выход девятого блока вычитания соединен с одним из входов тридцать второго блока умножения, тридцать третьего блока умножения, тридцать четвертого блока умножения, тридцать шестого блока умножения, тридцать седьмого блока умножения, входом делителя второго блока деления; выход двадцать шестого блока умножения соединен с входом делимого третьего блока деления; выход двадцать седьмого блока умножения соединен с входом делимого четвертого блока деления; выход двадцать восьмого блока умножения соединен с прямым входом десятого блока вычитания; выход двадцать девятого блока умножения соединен со вторым инверсным входом десятого блока вычитания; выход тридцатого блока умножения соединен с входом делимого восьмого блока деления; выход тридцать первого блока умножения соединен с прямым входом одиннадцатого блока вычитания; выход тридцать второго блока умножения соединен с входом делителя первого блока деления, с входом делителя третьего блока деления; выход тридцать третьего блока умножения соединен с входом делителя четвертого блока деления, с входом делителя пятого блока деления; выход десятого блока вычитания соединен с одним из входов тридцать восьмого блока умножения; выход тридцать четвертого блока умножения соединен с входом делителя шестого блока умножения, с входом делителя седьмого блока деления; выход тридцать пятого блока умножения соединен с входом делимого седьмого блока деления; выход тридцать шестого блока умножения соединен с входом делителя восьмого блока деления; выход тридцать седьмого блока умножения соединен с входом делителя девятого блока деления, инверсным входом одиннадцатого блока вычитания; выход тридцать восьмого блока умножения соединен с входом делимого шестого блока деления; выход одиннадцатого блока вычитания соединен с одним из входов тридцать девятого блока умножения; выход тридцать девятого блока умножения соединен с входом делимого девятого блока деления; выход первого блока деления является первым выходом системы; выход третьего блока деления является вторым выходом системы; выход четвертого блока деления является третьим выходом системы; выход пятого блока деления является четвертым выходом системы; выход шестого блока деления является пятым выходом системы; выход седьмого блока деления является шестым выходом системы; выход восьмого блока деления является седьмым выходом системы; выход девятого блока деления является восьмым выходом системы; выход второго блока деления является девятым выходом системы.
РИСУНКИ
MM4A – Досрочное прекращение действия патента СССР или патента Российской Федерации на изобретение из-за неуплаты в установленный срок пошлины за поддержание патента в силе
Дата прекращения действия патента: 27.12.2007
Извещение опубликовано: 20.05.2009 БИ: 14/2009
|
|