Патент на изобретение №2307233
|
||||||||||||||||||||||||||||
(54) СПОСОБ ВОЗБУЖДЕНИЯ НЕФТЯНОГО МЕСТОРОЖДЕНИЯ, ВКЛЮЧАЮЩИЙ ИСПОЛЬЗОВАНИЕ РАЗЛИЧНЫХ ИНГИБИТОРОВ ОБРАЗОВАНИЯ ОТЛОЖЕНИЙ
(57) Реферат:
Изобретение относится к способу возбуждения нефтяного месторождения, включающему использование ингибитора образования отложений. Технический результат – улучшение качества ингибирования образования отложений за счет контроля процесса ингибирования. В способе возбуждения нефтяного месторождения путем закачки подаваемого потока флюида в нефтяную эксплуатационную скважину, связанную с нефтяным месторождением, вытеснения нефти и добычи вытекающего потока флюида, содержащего нефть, по меньшей мере два потока закачивают по меньшей мере в две эксплуатационные зоны нефтяной скважины или закачивают по меньшей мере в две различные нефтяные эксплуатационные скважины. По меньшей мере два вытекающих потока из двух зон или скважин объединяют перед добычей. Вводят в нефтяное месторождение или месторождения и/или во флюиды два различных ингибитора образования отложений для двух зон или скважин, причем указанные различные ингибиторы образования отложений содержат различные обнаруживаемые составляющие, которые могут быть определены аналитически. Изобретение развито в зависимых пунктах. 10 з.п. ф-лы, 1 табл.
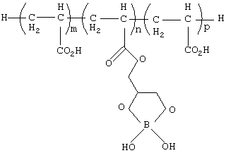
Уровень техники изобретения Изобретение относится к способу возбуждения нефтяного месторождения, включающему использование ингибитора образования отложений. При добыче нефти и, что более важно, при вторичной добыче нефти (где флюид, предпочтительно флюид на водной основе, закачивают в нефтяную скважину для того, чтобы вытеснять сырую нефть) образование отложений может вызвать блокирование трубопровода и пор в нефтеносных отложениях, таким образом уменьшая или даже препятствуя потоку нефти. Таким образом, отложения понижают выход добываемой нефти. Для решения проблемы образования отложений известны полимеры, ингибирующие образование отложений. Концентрации для обработки вплоть до нескольких сотен частей на миллион обычно являются эффективными. Полимер, ингибирующий образование отложений, обычно добавляют во флюид, подлежащий обработке, или может быть введен в нефтеносные пласты посредством «обработки прокачкой под давлением». Обработка прокачкой под давлением включает закачивание ингибитора отложений в нефтяную эксплуатационную скважину, так что ингибитор входит в пласт горной породы и удерживается там. Когда скважина вводится вновь в эксплуатацию, добываемые флюиды обрабатываются ингибитором образования отложений, который вымывается из пласта горной породы. Таким образом, ингибитор образования отложений высвобождается во флюид. Ингибитор образования отложений может быть введен в водную или неводную среду. Задачей является предотвращение или контроль образования отложений в системах, в которых используется флюид. Образование отложений контролируется только, если полимер, ингибирующий образование отложений, присутствует в концентрации для обработки в пределах диапазона эффективного определения продукта, например, при минимальной концентрации ингибитора (MIC) в определенной системе (вода + ингибитор образования отложений). В течение добычи, когда ингибитор высвобожден, например, посредством расходования, имеется потребность в повторной прокачке под давлением. При обработке прокачкой под давлением концентрация ингибитора образования отложений в добытых флюидах будет уменьшаться со временем до тех пор, пока не будет необходимо повторение работы по «повторной прокачке под давлением». Также ингибитор образования отложений может быть утрачен посредством, например, адсорбции или разложения. Следовательно, имеется потребность компенсировать ингибитор образования отложений, чтобы заменить его потерю. Последствия образования отложений часто являются катастрофическими в этом применении, и поэтому наиболее важно избежать образования отложений. В целом, можно увидеть, что концентрация ингибитора образования отложений в обрабатываемых флюидах является жизненно важной, и химический анализ полимеров для контроля образования отложений всегда труден при концентрациях типа частей на миллион. Проблема анализа в последнее время стала более трудной в подводных нефтяных месторождениях, потому что подводные скважины, законченные бурением, где несколько отдельных скважин являются совместными на дне моря, и объединенные флюиды закачиваются на ближайшую эксплуатационную платформу, которая может быть на расстоянии в несколько десятков миль. В этой компоновке, если добыча нефти уменьшается в добытом объединенном флюиде, невозможно определить конкретную скважину, в которой имеется слишком большое образование отложений, и/или определить скважину, в которую должен быть добавлен ингибитор образования отложений. Поэтому иногда необходимо остановить добычу во всех скважинах или добавить слишком много ингибитора образования отложений (например, посредством добавки слишком большого количества ингибитора образования отложений в скважину, в которой требуется меньшее количество). Это уменьшает общую добычу и/или не является эффективным по затратам. Краткая сущность изобретения Изобретение направлено на решение упомянутых выше проблем. Таким образом, изобретение относится к способу возбуждения нефтяного месторождения посредством закачки подаваемого потока флюида в нефтяную эксплуатационную скважину, связанную с нефтяным месторождением, вытеснения нефти и добычи вытекающего потока флюида, содержащего нефть, в котором по меньшей мере два потока закачивают по меньшей мере в две эксплуатационные зоны нефтяной скважины или закачивают по меньшей мере в две различные нефтяные эксплуатационные скважины, из которых по меньшей мере два вытекающих потока из двух зон или скважин объединяют перед добычей, причем ингибитор образования отложений, имеющий обнаруживаемые составляющие, вводят в нефтяное месторождение(я) и/или во флюиды, отличающийся тем, что используют два различных ингибитора образования отложений, предназначенных для двух зон или скважин, причем указанные различные ингибиторы образования отложений имеют различные обнаруживаемые составляющие, которые могут различаться посредством анализа. Эти операции также упоминаются как способ добычи. Обычно способ дополнительно включает измерение количества различных ингибиторов образования отложений в добытом флюиде или во флюиде, производном от него, и если количество ингибитора образования отложений ниже, чем заданная величина, типично минимальная концентрация ингибитора, принимаются за решение проблемы образования отложений, которая возникает в зоне или скважине, для которых предназначен ингибитор образования отложений. Изобретение также относится к новым различным полимерам, ингибирующим образование отложений, эффективным при осуществлении вышеупомянутого способа. Подробное описание изобретения Определения Под полимером подразумевается макромолекулярная цепь, содержащая повторяющиеся звенья. Под сополимером подразумеваются полимеры, содержащие повторяющиеся звенья и имеющие по меньшей мере два различных звена. Сополимеры включают полимеры, имеющие два различных повторяющихся звена, три различных повторяющихся звена (иногда упоминаемые как тройные сополимеры) или более. «MIC» относится к минимальной концентрации ингибитора. MIC может быть оценена в соответствии со статическим испытанием в камере, как описано в NACS Стандарте TM 0197-97, Laboratory Screening test to Determine the Ability of Scale Inhibitors to prevent the precipitation of barium Sulfate and/or Strontium from Solution (for Oil and Gas Production Systems), Item No. 21228, NASE International, 1997. Способ анализа ICP относится к способу анализа Индуктивно Связанной Плазмы. Этот способ анализа известен специалисту в области техники обнаружения, идентификации и/или определения количества отдельных химических элементов. Процесс добычи нефти и использование ингибиторов образования отложений Способ возбуждения нефтяного месторождения посредством закачки флюида известен специалисту в этой области техники. Способ охватывает способ, известный как «заводнение», но не ограничивается этим. Заводнение является обычно используемой технологией при работах по добыче нефти. Вода закачивается под давлением в водоносный пласт формации через скважины для закачки; в этом процессе нефть вытесняется через минеральные отложения и пласты горной породы в эксплуатационные скважины. Вытесненная нефть затем добывается в вытекающем потоке, содержащем воду и нефть. Морская вода, легко доступная в работах при морской добыче и типично используемая для закачки воды при работе по заводнению, содержит большие количества растворенных солей, таких как сульфат. Взаимодействие закачиваемой воды (при отсутствии эффективных ингибиторов образования отложений) с водой пласта в нефтеносном пласте будет производить нежелательные неорганические отложения (главным образом образующие отложения соли сульфата кальция, сульфата бария и сульфата стронция), которые в конечном счете блокируют трубопровод, клапаны и насосы оборудования для процесса добычи нефти. Дополнительные условия, которые ухудшают отложение образующих отложения солей, включают давление, высокие температуры и высокие концентрации ионов бария, стронция, кальция или железа, которые встречаются в типичных работах по добыче нефти. Для того чтобы решить проблему образования отложений, может быть использован процесс «прокачки под давлением». В общем, скважина в начале предварительно промывается морской водой, возможно обрабатывается предварительно закачиваемой жидкостью, такой как поверхностно-активное вещество для кондиционирования горных пород, затем выполняют стадию закачки ингибитора образования отложений; затем следует подача дополнительной морской воды (стадия чрезмерной промывки), чтобы распределить ингибитор образования отложений дополнительно в нефтеносный пласт, чтобы он адсорбировался внутри минеральных отложений и пластов горной породы (материнской породы подземного нефтеносного пласта). В продолжение обработки прокачкой под давлением работы по добыче нефти прекращаются. Когда работы по добыче нефти возобновляются, адсорбированный ингибитор образования отложений будет медленно высвобождаться (путем десорбции или растворения) из материнской породы пласта и предотвратит осаждение образующих отложения солей в продолжение последующих работ по добыче нефти. Для нефтяных месторождений, характеризующихся «жесткими» условиями (такими, как высокие концентрации бария или низкое pH), типичные периоды времени, которые требуются перед дополнительной обработкой прокачкой под давлением (долговечность действия прокачки под давлением), составляют от 1 до 6 месяцев; желательно от 6 до 24 месяцев, предпочтительно от 12 до 24 месяцев или дольше. Чем более жесткими являются условия, тем больше тенденция образования отложения сульфатов металлов с последующим закупориванием и засорением материнской породы нефтяного месторождения и оборудования для добычи нефти. Для решения проблемы образования отложений также возможно добавлять ингибитор образования отложений непосредственно в закачиваемый флюид (обычно флюид на водной основе, предпочтительно флюид на основе морской воды). Эффективные технологии также включают развертывание посредством колонн труб малого диаметра или помещение в боковой ствол скважины. Если используется обработка прокачкой под давлением, под флюидом, содержащим полимер, ингибирующий образование отложений, подразумевается либо флюид, используемый для нагнетания полимера, ингибирующего образование отложений в скважину или пласт горной породы, либо флюид, в который указанный полимер, ингибирующий образование отложений, был высвобожден. Внутрискважинная химическая обработка повседневно и эффективно осуществляется посредством обработок прокачкой под давлением, которые защищают как ствол эксплуатационной скважины, так и пласт вблизи ствола скважины в радиусе примерно 20 футов. Эта периодическая технология включает задержку добычи нефти, в то время как химический реагент накачивается в эксплуатационную скважину и в пласт, закрытие скважины, чтобы дать возможность химическому реагенту взаимодействовать с горной породой пласта, затем вновь начинается добыча. Химический реагент медленно высвобождается из горной породы, возвращаясь на поверхность в добытых флюидах. Защита от образования отложений требует, чтобы концентрации ингибитора в добытых флюидах были выше MIC. При высокой адсорбции ингибитора к пласту медленные возвраты видны при более низких концентрациях (адсорбция может быть оптимизирована, создавая требуемый MIC). Эти возвраты защищают большие объемы добытых флюидов, продлевая долговечность действия прокачки под давлением. Прокачка под давлением повторяется, когда концентрации ингибитора в добытых флюидах достигают MIC. Основной целью «меченого» полимерного ингибитора является страховка от образования отложений при больших капиталовложениях при разработке месторождений морского подводного комплекса. Однако затраты на обработки прокачкой под давлением в этих скважинах огромны, главным образом в связи с затратами на задержанную нефть и доступ к ней. Посредством сравнения с химическим ингибирующим агентом затраты являются меньшими. Поэтому любое уменьшение интервалов прокачки под давлением в эти скважины в связи с лучшими анализами ингибитора из различных скважин было бы явной экономией затрат. Кроме того, несколько функциональных групп стимулируют адсорбцию в пласт горной породы, и предполагается, что дополнительным последствием включения гидрофобной «метки» в полимеры может быть увеличенная адсорбция ингибитора в пласт. Основные стадии работ по прокачке под давлением могут включать следующие: (i) предварительную промывку: Она состоит в разбавлении раствора ингибитора морской водой, часто содержащей поверхностно-активное вещество или деэмульгатор. Она предназначена для охлаждения пласта для того, чтобы понизить адсорбцию вблизи ствола скважины, внедрить ингибитор дальше в пласт. Равную важность имеет вытеснение воды пласта и создание буферной зоны, чтобы избежать любой несовместимости с высокими концентрациями закачанного ингибитора, особенно когда включаются воды с высокой минерализацией /с высоким образованием ионов кальция. Предварительная промывка может также удалить остающуюся поверхностную нефть, чтобы увеличить гидрофильность. (ii) закачку ингибитора: Основной обработкой ингибитора типично является 5-10% активного ингибитора в морской воде. Моделирование как максимальной адсорбции ингибитора (по изотерме, полученной либо из заводнения керна, либо более точно из исторического согласования), так и площади поверхности, доступной для адсорбции, показывает оптимальные концентрации ингибитора и объемы для того, чтобы привести к максимуму долговечность действия прокачки под давлением без закачки остатка химического реагента. (iii) чрезмерную промывку: большая часть объема флюида закачивается на этой стадии. Флюид предназначен, чтобы промывать скопление ингибитора дальше в пласт на расстояние по радиусу от 8 до 15 футов. Это увеличивает площадь поверхности горной породы, с которой встречается ингибитор, и увеличивает концентрации для адсорбции. Она также вытесняет ингибитор из охлажденных окрестностей ствола скважины в более горячий пласт, где имеет место большая адсорбция. Моделирование закачанного объема уравновешивает повышенную долговечность действия прокачки под давлением с растущими потребностями начинающейся вновь добычи и потенциалом изменения смачиваемости пласта. Также имеется риск того, что ингибитор будет возвращаться при концентрациях ниже MIC, если он закачан слишком далеко в пласт. (iv) «остановку»: скважину оставляют, чтобы дать возможность ингибитору адсорбироваться в горную породу. Время остановки типично составляет от 6 до 12 часов в зависимости от продолжительности времени, необходимого для того, чтобы адсорбция ингибитора достигла равновесия. При более высокой температуре скорость адсорбции повышается, и периоды остановки могут быть уменьшены. Моделирование уравновешивает концентрацию адсорбированного ингибитора и стоимость задержанной нефти. (iv) начинающуюся вновь добычу: Добыча начинается вновь в первоначальном направлении потока. Ингибитор десорбируется из пласта горной породы и возвращается на поверхность в добытых флюидах. В способе в соответствии с изобретением имеется по меньшей мере две эксплутационные зоны или по меньшей мере две нефтяные скважины, которые моделируются или используются одновременно. Таким образом, по меньшей мере два потока флюида закачивают в эксплутационные зоны или закачивают в нефтяные эксплуатационные скважины. Получаются два вытекающих потока, содержащих нефть. Два потока объединяют, чтобы получить один добытый поток флюида, содержащий нефть. Сочетание вытекающих потоков обычно осуществляется на морском дне, и один добытый поток обычно транспортируется по трубопроводу к производственному оборудованию, такому как нефтепромысловая эксплуатационная платформа. Эта компоновка, в которой объединяются вытекающие потоки, упрощает операции и/или дает возможность эффективного возбуждения такого большого числа скважин или зон, которое является практичным и/или эффективным по затратам. Ингибитор образования отложений используется, как упомянуто выше, либо в соответствии с обработкой прокачкой под давлением посредством закачки для введения указанного ингибитора в нефтяную скважину (в различных эксплуатационных зонах или скважинах), перед возбуждением или посредством добавления прямо во флюид(ы). В соответствии с изобретением используются различные ингибиторы образования отложений, причем указанные различные ингибиторы образования отложений предназначены для различных зон или скважин. Различные ингибиторы образования отложений имеют различные обнаруживаемые составляющие, которые могут различаться посредством анализа. Различные составляющие также упоминаются как метки. Ингибиторы образования отложений являются различными в зависимости от различных составляющих. Другие группы, составляющие или звенья могут быть идентичными в различных ингибиторах образования отложений. Другими словами, разница между различными ингибиторами образования отложений может состоять только из определяемых составляющих или меток. Использование различных ингибиторов образования отложений, имеющих различные обнаруживаемые составляющие, дает возможность производить анализ количества указанных ингибиторов образования отложений в объединенном добытом флюиде и, таким образом, когда ингибиторы образования отложений предназначены для зоны или скважины, определить конкретную зону или скважину, в которой имеется слишком много отложений, и/или определить зону или скважину, в которую должен быть введен ингибитор образования отложений. Это введение ингибитора образования отложений может быть осуществлено посредством добавки ингибитора образования отложений в конкретный флюид или посредством прокачки под давлением или повторной прокачки под давлением зоны или скважины. Это предотвращает добавку ингибиторов образования отложений в зону или скважины, в которых он не требуется, и/или одновременную остановку добычи во всех зонах или скважинах для повторной прокачки под давлением всех зон или скважин. Таким образом, способ в соответствии с изобретением обычно включает измерения количества различных ингибиторов образования отложений в добытом флюиде или во флюиде, производном от нее, и если количество ингибитора образования отложений ниже заданной величины, например, MIC, принимаются за решение проблемы образования отложений, которая встречается в зоне или скважине, для которой предназначен ингибитор образования отложений. Короче, проблему образования отложений решают посредством введения предназначенного ингибитора образования отложений во флюид для конкретной зоны или скважины, имеющих проблему образования отложений, или посредством введения большего количества предназначенного ингибитора образования отложений в указанный флюид, или посредством введения предназначенного ингибитора образования отложений в конкретное нефтяное месторождение, имеющее проблему образования отложений в соответствии с обработкой прокачкой под давлением. Введение предназначенных ингибиторов образования отложений предпочтительно осуществляется без остановки добычи в других зонах или скважинах. Например, ингибитор образования отложений вводится во флюид на водной основе, или большее количество ингибитора образования отложений вводится во флюид, или ингибитор образования отложений вводится в нефтяное месторождение в соответствии с обработкой прокачкой под давлением. В соответствии с первым вариантом осуществления изобретения ингибиторы образования отложений вводятся во флюид, например, периодически, длительно, непрерывно или когда требуется в соответствии с анализом. Более точно, ингибитор образования отложений вводится во флюид для зоны или скважины, для которой он предназначен. Количество и частота могут изменяться в соответствии с анализом, произведенным на объединенном добытом флюиде. В соответствии со вторым вариантом осуществления изобретения различные ингибиторы образования отложений вводятся в нефтяное месторождение перед возбуждением (т.е. перед эффективным вытеснением сырой нефти) посредством нагнетания различных указанных ингибиторов в нефтяное месторождение (в различные зоны или через различные скважины) в соответствии с обработкой прокачкой под давлением. Более точно, ингибитор образования отложений нагнетается (или прокачивается под давлением) в различные зоны или через различные скважины, для тех зон или скважин, для которых он предназначен. Частота работ по прокачке под давлением (или повторной прокачке под давлением) для различных зон или скважин может изменяться в соответствии с анализом, произведенным на объединенном добытом флюиде. Процесс прокачки под давлением может, конечно, содержать любую другую стадию, эффективную в таком процессе, такую как предварительная промывка зоны морской водой. Работы по прокачке под давлением и рецептуры известны специалисту в области добычи нефти. Анализ или измерение количеств различных ингибиторов образования отложений в добытом флюиде могут быть выполнены любым способом, подходящим для определения различных составляющих или меток. В предпочтительном варианте осуществления все ингибиторы образования отложений могут быть определены посредством одного способа анализа. В соответствии с этим вариантом осуществления стадия измерения количеств различных ингибиторов образования отложений осуществляется с использованием одного устройства. Способ(ы) анализа зависят от обнаруживаемых составляющих. Подходящие способы анализа включают Индуктивно Связанную Плазму, флуорометрию и колориметрию. Некоторые предпочтительные способы описаны ниже для некоторых предпочтительных составляющих и ингибиторов образования отложений. Ингибиторы образования отложений Различные ингибиторы образования отложений представляют собой химические соединения, имеющие различные обнаруживаемые составляющие (метки) и по выбору идентичные или различные другие группы, составляющие или звенья. Предпочтительные ингибиторы образования отложений представляют собой меченые полимеры, ингибирующие образование отложений, содержащие звенья, ингибирующие образование отложений, и меченые звенья. Пример предпочтительных различных обнаруживаемых составляющих включает составляющие, выбранные из группы, состоящей из: а) составляющих с меченым атомом, содержащих по меньшей мере один атом, выбранный из группы, состоящей из бора, кремния и германия, b) составляющих, производных от ацетоксистирола, предпочтительно 4-ацетоксистирола, или от ортоаллилфенола, с) составляющих, производных от мономера, имеющего следующую формулу: X2C=CYY’, в которой: – X, который является идентичным или различным, представляет собой атом водорода или алкильную группу С1-С4, – Y представляет собой атом водорода или алкильную группу С1-С4, – Y’ представляет собой группу, имеющую формулу -L-Arom, в которой – L представляет собой ковалентную связь или двухвалентную органическую связывающую группу, возможно содержащую гетероатомы, и – Arom представляет собой группу, содержащую по меньшей мере два сопряженных ароматических кольца, предпочтительно по меньшей мере три, причем указанные кольца содержат сопряженные атомы углерода и возможно атомы азота или кислорода, и связанные с указанными атомами углерода атомы водорода или заместители, d) составляющих, полученных взаимодействием, после полимеризации, звеньев, производных от винилбензилхлорида, с – 8-аминопирен-1,3,6-трисульфоновой кислотой, или – 9-(2-(этоксикарбонил)фенил)-3,6-бис(этиламино)-2,7-диметилксантилиумхлоридом(Родамином 6G), или – CellTracker Blue CMAC, или их солями, е) составляющих, производных от мономера, полученного взаимодействием винилбензилхлорида с 8-аминопирен-1,3,6-трисульфоновой кислотой или ее солями, f) составляющих, содержащих по меньшей мере одну фосфатную или фосфонатную группу, g) составляющих, содержащих по меньшей мере одну сульфонатную или сульфоновую кислотную группу. Более подробно эти составляющие рассмотрены ниже как составляющие звеньев полимера. Примеры различных ингибиторов образования отложений, которые могут быть использованы, включают ингибиторы образования отложений, описанные в следующих документах, которые включены сюда посредством ссылки: GB 2152937; WO 2001007430; WO 98/02492; US 5808103; US 6312644; US 5171450; US 5043406; US 4999456; US 4813973; WO 2001081654; US 5986030; WO 2001007430; US 4194877; EP 647598; US 5378784; US 6077461; WO 00/53235; US 6218491; US 5171450; US 5260386; US 5216086; US 5128419; US 4813973; EP 657474; US 6040406; WO 9735192; EP 0613863; US 5389548; US 4894346; EP 861846. Используемые полимеры, ингибирующие образование отложений, также включают полимеры на основе фосфора с блокированными концевыми группами, полимеры полиаспартата, полимеры или сополимеры поливинилсульфонатов, полимеры на основе полиакриловой кислоты. Другие примеры ингибиторов образования отложений, которые могут быть использованы, включают ингибиторы образования отложений, описанные в документе WO 03/029153, который включен сюда посредством ссылки. Эти ингибиторы образования отложений содержат фосфатную составляющую, которая обнаруживается посредством I.C.P. Таким образом, одним из различных ингибиторов образования отложений может быть полимер, имеющий по меньшей мере фосфатную составляющую, образованную из мономеров, выбранных из группы, состоящей из по меньшей мере одного этиленового ненасыщенного мономера (ди)карбоновой кислоты, по меньшей мере одного этиленового ненасыщенного мономера винилсульфоната и их смесей. Меченый сополимер, ингибирующий образование отложений Различные ингибиторы образования отложений, все или некоторые их них, представляют преимущественно меченые полимеры, ингибирующие образование отложений, содержащие по меньшей мере два различных звена: звено, ингибирующее образование отложений, и меченые звенья. Поскольку полимер содержит по меньшей мере эти два различные звена, полимер может также упоминаться как сополимер. Звенья, ингибирующие образование отложений, предотвращают образование отложений. Меченые звенья обнаруживаются аналитическими методами. Не исключено, что меченые звенья также предотвращают образование отложений. Не исключено, что звенья, ингибирующие образование отложений, являются обнаруживаемыми. Полимеры получаются посредством полимеризации мономеров и затем возможным дополнительным взаимодействием полученного полимера с соединением для того, чтобы химически модифицировать по меньшей мере ряд меченых звеньев, объединенных по их потенциалу для образования ковалентных связей с введенным соединением. Дополнительная реакция далее упоминается как реакция постполимеризации. Реакция постполимеризации обычно осуществляется с целью модификации звеньев полимеров, которые будут образовывать меченые звенья. Любой способ полимеризации может быть использован для получения полимеров. Предпочтительными являются способы радикальной полимеризации. Подходящие способы включают полимеризацию в водной массе/дисперсии, полимеризацию в растворе или эмульсионную полимеризацию. Предпочтительный процесс полимеризации представляет собой полимеризацию в растворе. В соответствии с таким процессом вода заливается в реакционный сосуд, снабженный механической мешалкой и водным конденсатором, и нагревается до 90°С. Туда могут быть добавлены инициаторы полимеризации, или они могут быть поданы позже. «Меченый» мономер может также быть добавлен в эту загрузку, добавлен в подачу полимера или подан отдельно. Загрузка(и) мономера, загрузка растворяемого инициатора и возможно загрузка реагента передачи цепи добавляются в сосуд на 6 часов. Нейтрализация постполимеризации до требуемой концентрации осуществляется с соответствующей солью. Эти процессы и способы известны специалисту в этой области техники. Новые полимеры, ингибирующие образование отложений Новые полимеры, ингибирующие образование отложений, эффективные при осуществлении способа, представляют собой полимеры, ингибирующие образование отложений, содержащие звенья, ингибирующие образование отложений, и меченые звенья, в которых меченые звенья выбраны из группы, состоящей из: а) звеньев с меченым атомом, содержащих по меньшей мере один атом, выбранный из группы, состоящей из бора, кремния и германия, b) звеньев, производных от ацетоксистирола, предпочтительно 4-ацетоксистирола, или от ортоаллилфенола, с) звеньев, производных от мономера, имеющего следующую формулу: X2C=CYY’, в которой: – X, который является идентичным или различным, представляет собой атом водорода или алкильную группу С1-С4, – Y представляет собой атом водорода или алкильную группу С1-С4, – Y’ представляет собой группу, имеющую формулу -L-Arom, в которой – L представляет собой ковалентную связь или двухвалентную органическую связывающую группу, возможно содержащую гетероатомы, и – Arom представляет собой группу, содержащую по меньшей мере два сопряженных ароматических кольца, предпочтительно по меньшей мере три, причем указанные кольца содержат сопряженные атомы углерода и возможно атомы азота или кислорода, и связанные с указанными атомами углерода, атомы водорода или заместители, d) звеньев, полученных взаимодействием, после полимеризации, звеньев, производных от винилбензилхлорида с – 8-аминопирен-1,3,6-трисульфоновой кислотой, – 9-(2-(этоксикарбонил)фенил)-3,6-бис(этиламино)-2,7-диметилксантилиумхлоридом (Родамином 6G), или – CellTracker Blue CMAC, или их солями, и е) звеньев, производных от мономера, полученного взаимодействием винилбензилхлорида с 8-аминопирен-1,3,6-трисульфоновой кислотой или ее солями. а) в варианте осуществления меченые звенья сополимера представляют собой звенья с меченым атомом, содержащие по меньшей мере один атом, выбранный из группы, состоящей из бора, кремния и германия. Эти звенья могут быть обнаружены любым способом, подходящим для обнаружения атома бора, кремния или германия, таким как ICP. Бор также может быть обнаружен (0-14 мг/л) посредством его реакции с карминовой кислотой и обнаружен фотометрическим способом. Низкие концентрации кремния (0-1,6 мг/л) могут также быть обнаружены таким же образом, как фосфор, с использованием его реакции с молибдатом аквамарином, чтобы получить кремнемолибденовую кислоту, которая может быть восстановлена аминокислотой, чтобы получить интенсивный синий цвет, пропорциональный концентрации кремнезема. Ссылка на обе эти аналитические технологии имеется в HACH Water Analysis Handbook. Любое звено, содержащее вышеупомянутые атомы, может быть использовано как меченое звено. Эти звенья могут быть производными от мономеров, содержащих указанный атом перед полимеризацией. Звенья могут быть также получены в соответствии со схемой постполимеризации посредством реакции предшествующих звеньев с соединением, содержащим атом. а1) Примеры звеньев с меченым атомом, включая звенья, содержащие боронатную или борную группу, такие как: а1.1) звенья, производные от 4-винилбензилбороновой кислоты или 4-винилбензилборонобороната (VBB), акрилоилбензолбороновой кислоты или акрилоилбензолбороната, метакрилоилбензолбороновой кислоты или метакрилоилбензолбороната, 3-аклиламодиофенилборной кислоты или 3-аклиламодифенилбороната, 3-метаклиламодифенилборной кислоты или 3-метаклиламодифенилбороната,
а1.2) звенья, полученные взаимодействием, после полимеризации, причем звенья содержат триметилсилановую группу и ВВ3, и возможно затем взаимодействуют со спиртом. а2) Примеры звеньев с меченым атомом также включают звенья, полученные взаимодействием после полимеризации, причем звенья являются производными от глицеринмонометилакрилата и содержат соединение бора, такое как борная кислота, бороновая кислота (реакция гидроборирования)
глицеринмонометакрилат (GMMA)
а3) Примеры звеньев с меченым атомом также включают аллилтриэтилгерманий
а4) Примеры звеньев с меченым атомом также включают винилтриалкилсилан, такой как винилтриметилсилан.
b) в другом варианте осуществления меченые звенья сополимера представляют собой звенья, производные от ацетоксистирола, предпочтительно гидролизованного 4-ацетоксистирола, или от ортоаллилфенола (он представляет собой спирт, который взаимодействует с диазонием). Эти звенья могут быть обнаружены посредством любого подходящего способа, такого как колориметрический способ, после воздействия реагента для обнаружения, такого как соль диазония. Интенсивность цвета, создаваемая продуктом реакции, может быть измерена при помощи УФ-видимого спектрофотометра. Подходящая соль диазония представляет собой п-нитробензолдиазонийгексафторфосфат. Считается, что интенсивность цвета связана с концентрацией продукта реакции (которая эквивалентна концентрации полимера) по закону Бера-Ламберта. Концентрации полимера определяются путем сравнения интенсивности цвета образца полимера с калибровочной кривой, полученной для образцов полимера с известной концентрацией. Для осуществления реакции 4-ацетоксистирол должен иметь свою группу сложного эфира, гидрированного спиртом посредством кипячения раствора. Поглощение может быть измерено при 500 нм. Следующая схема представляет собой пример с ортоаллилфенолом: с) В другом варианте осуществления меченые звенья сополимера представляют собой звенья, производные от мономера, имеющего следующую формулу: X2C=CYY’, в которой: – X, который является идентичным или различным, представляет собой атом водорода или алкильную группу С1-С4, – Y представляет собой атом водорода или алкильную группу С1-С4, – Y’ представляет собой группу, имеющую формулу -L-Arom, в которой – L представляет собой ковалентную связь или двухвалентную органическую связывающую группу, возможно содержащую гетероатомы, и – Arom представляет собой группу, содержащую по меньшей мере два сопряженных ароматических кольца, предпочтительно по меньшей мере три, причем указанные кольца содержат сопряженные атомы углерода и возможно атомы азота или кислорода, и связанные с указанными атомами углерода, атомы водорода или заместители. Arom предпочтительно представляет собой группу, имеющую по меньшей мере 10 сопряженных атомов углерода, предпочтительно по меньшей мере 14 атомов углерода в по меньшей мере трех сопряженных ароматических кольцах. Сопряженные ароматические кольца предпочтительно представляют собой кольца С5 или С6. Arom преимущественно представляет собой группу, имеющую составляющую нафталина, антрацена, пирена или фенантрена, причем указанная составляющая может иметь заместители. L предпочтительно представляет собой ковалентную связь или двухвалентную алкильную группу С1-С12, или группу, имеющую формулу -О-, -СО-О-, СО-NH- или -О-СО-. Особенно предпочтительными мечеными звеньями являются звенья, производные от винилантрацена, предпочтительно от 9-винилантрацена.
Предпочтительно по меньшей мере один из различных ингибиторов образования отложений представляет собой меченый полимер, ингибирующий образование отложений, содержащий меченые звенья, производные от 9-винилантрацена. Другие звенья включают звенья, производные от Эти звенья могут быть обнаружены посредством любого подходящего способа, такого как флуорометрия, например, используя флуорометр с фиксированной длиной волны. Обычно обнаружение полимера происходит при максимумах возбуждения (ex) и испускания (em). Это может быть определено с использованием сканирующего флуорометра в режиме сканирования. Считается, что величина флуоресценции определяется посредством закона Бера-Ламберта. Концентрации полимера, таким образом, определяется в результате сравнения интенсивности образца полимера с калибровочной кривой, полученной для образцов полимера известной концентрации. d) В другом варианте осуществления меченые звенья представляют собой звенья, полученные взаимодействием, после полимеризации, причем звенья являются производными от винилбензилхлорида с: – 8-аминопирен-1,3,6-трисульфоновой кислотой, или -9-(2-(этоксикарбонил)фенил)-3,6-бис(этиламино)-2,7-диметилксантилиумхлоридом (Родамином 6G), или – CellTracker Blue CMAC, или их солями.
Эти звенья могут быть определены с использованием сканирующего флуорометра в режиме сканирования. Считается, что величина флуоресценции определяется по закону Бера-Ламберта. Концентрации полимера, таким образом, определяются посредством сравнения интенсивности эмиссии образца полимера с калибровочной кривой, полученной из образцов полимера известной концентрации. Примеры величин приведены ниже без намерения ограничить объем изобретения (см. таблицу).
f) В другом варианте осуществления меченые звенья представляют собой звенья, содержащие по меньшей мере одну фосфатную или фосфонатную группу, такие как звенья, производные от фосфата(мет)акрилата и (мет)аллилгидроксифосфатов. Эти звенья могут быть обнаружены посредством любого подходящего способа, такого как ICP. g) В другом варианте осуществления меченые звенья представляют собой звенья, содержащие по меньшей мере одну сульфонатную или сульфоновую кислотную группу, такую как стиролсульфонат и стиролсульфоновая кислота. Эти звенья могут быть обнаружены посредством любого подходящего способа, такого как колориметрический способ, например, путем УФ-видимой спектроскопии при максимальной спектральной поглощательной способности. Считается, что интенсивность цвета связана концентрацией полимера по закону Бера-Ламберта. Концентрации полимера определяются путем сравнения интенсивности цвета образца полимера с калибровочной кривой, полученной для образцов полимера известной концентрации. Этот тип анализа известен специалисту в этой области техники.
Звенья ингибитора образования отложений Звенья ингибитора образования отложений предпочтительно выбираются из группы, состоящей из: – винилсульфокислоты, или солей винилсульфонатов, – винилфосфоновой кислоты или солей винилфосфонатов, – винилидендифосфоновой кислоты и ее солей, – акриловой кислоты, – метакриловой кислоты, – винилацетата, – винилового спирта, – ненасыщенных моно или дикарбоновых кислот, или различных ангидридов, таких как малеиновый ангидрид, малеиновая кислота, фумаровая кислота, итаконовая кислота, аконитовая кислота, мезаконовая кислота, цитраконовая кислота, кротоновая кислота, изокротоновая кислота, ангеликовая кислота, тиглиновая кислота, – винилхлорида, – стирол-п-сульфоновой кислоты или солей стиролсульфонатов, – акриламидо-2-метилпропансульфоновой кислоты (AMPS), – гидроксифосфоноуксусной кислоты (HPA), – гипофосфорных кислот, таких как H3PO3, дающих звенья формулы -PO(OH)-, – акриламидов, – пропаргилового спирта, имеющего формулу HC – бутир-1,4-диола, и – их смесей. Отмечено, что мономеры, включающие гидроксильную группу (например, HPA или виниловый спирт), могут способствовать адсорбции кристаллами сульфата бария, причем спиртовая группа дает хорошую адсорбцию на участки активного роста кристаллов, эффективно блокируя их, что эффективно для рассолов с высоким содержанием Ca, которые инактивируют другие кислотные функциональные группы. Мономеры, включающие аминогруппу, могут способствовать адсорбции кристаллами карбоната кальция. Другие сульфированные мономеры (например, AMPS или винилсульфоновая кислота, или соли сульфонатов) могут способствовать смешиваемости рассола. Другие звенья (другие функции) В то время как вышеупомянутые звенья обычно содержатся в основной цепи полимера, отмечено, что сополимер может содержать другие звенья и/или другие группы. Другие группы включают группы, которые связаны по меньшей мере с одной концевой группой полимера. Эти группы могут образовываться из инициатора полимеризации или могут быть блокированными концевыми группами. Они могут не иметь конкретной функции или могут составлять группы, ингибирующие образование отложений, меченые группы или группы, способствующие получению ингибитора, или другие. Таким образом, другие группы или звенья включают группы или звенья, имеющие формулу X”2O3P-CHY”CZ”2PO2X”-, в которой X” представляет собой водород, щелочной металл, щелочноземельный или другой поливалентный металл, аммоний или группу органического основания, Y” и каждая Z”, которые могут быть такими же или отличными, представляют собой каждая водород, PO3X2, SO3X или CO2X, или алкильный или арильный остаток. Примерами являются звенья, производные от продукта присоединения винилфосфоновой кислоты (VPA) или винилиден-1,1-дифосфоновой кислоты (VDPA) и гипофосфорной кислоты или ее солей. Такие группы или звенья описаны в документе ЕР 861846. Другие возможные группы или звенья описаны в GB 1458235. Эти другие группы или звенья могут помочь в обнаружении полимера, и/или в получении эффекта, ингибирующего образование отложений. Стиролсульфоновая кислота, стиролсульфонаты, 4-винилбензолсульфоновая кислота или 4-винилбензолсульфонаты могут способствовать в регулировании десорбции полимера, ингибирующего образование отложений, в так называемых обработках прокачкой под давлением, в частности, при высокой температуре и/или высоком давлении. Данные по молекулярному весу и другие параметры Полимер в соответствии с изобретением имеет предпочтительно средний молекулярный вес от 500 до 20000 г/моль и более предпочтительно от 1000 до 8000 г/моль. Средний молекулярный вес полимера или сополимера может быть измерен вытеснительной хроматографией/гельпроникающей хроматографией (GPC). Вытеснительная хроматография по размеру требует прохода полимера вниз по GPC хроматографической колонке с набивкой. Размер пор в колонке приспособлен для специального диапазона молекулярной массы полимера. Когда полимер проявляется в колонке, самая маленькая полимерная цепь проходит через поры и, следовательно, самые большие полимерные цепи проявляются первыми. Проявленный полимер может быть обнаружен в диапазоне детекторов, включающих: дифференциальный показатель преломления, ультрафиолетовое, инфракрасное и световое рассеяние. Анализ дает распределение молекулярной массы в образце полимера. Средние величины специфической статистической молекулярной массы (Mw, Mn, Mz) получаются посредством сравнения времени элюирования со специальными стандартными полимерами с низким распределением молекулярной массы и известной молекулярной массой. Когда звенья, ингибирующие образование отложений, представляют собой звенья полиакриловой кислоты, средний молекулярный вес составляет предпочтительно от 2000 до 7000 г/моль. Дополнительно упоминается, что сополимер в соответствии с изобретением может быть в кислотной форме или нейтрализованный, чтобы создать (частично) нейтрализованную соль. Установление рН определяется рядом факторов, включая минералогию формации, для прокачки под давлением химического реагента. Количество меченых звеньев в полимере Полимер в соответствии с изобретением содержит эффективно обнаруживаемое количество меченых звеньев. Например, для меченых звеньев сополимер может иметь мольное количество меченых звеньев вплоть до 5%, но преимущественно от 0,01 до 0,2%. Ингибитор образования отложений обычно вводится в состав, например, флюида либо как подаваемый поток, либо как состав для прокачки под давлением, например, флюид для прокачки под давлением. Флюиды представляют собой предпочтительно флюиды на водной основе, обычно флюиды на основе морской воды, но другие флюиды не исключаются. Например, растворители на основе гликоля или простого эфира гликоля могут быть использованы. Некоторые эффективные рецептуры флюидов для обработки прокачкой под давлением предусмотрены в документе WO 98/30783, который включен сюда посредством ссылки. Ингибитор образования отложений в соответствии с изобретением может быть использован в сочетании один с другим, и/или в сопряжении с другими веществами для обработки воды, включающими: поверхностно-активные вещества, такие как анионные поверхностно-активные вещества (например, С10-20 алкилбензилсульфонаты, С10-20 олефинсульфонаты, С10-20 алкилсульфаты, С10-20 алкил от 1 до 25 мол. эфирсульфаты, С10-20 парафинсульфонаты, С10-20 мыла, С10-20 алкилфенолсульфаты, сульфосукцинаты, сульфосукцинаматы, лигнинсульфонаты, жирные эфирсульфонаты, С10-20 алкилфенилэфирсульфаты, С10-20 алкилэтаноламидсульфаты, С10-20 соли жирных альфасульфокислот, С10-20 ацилсаркозинаты, изэтионаты, С10-20 ацилтауриды, С10-20 алкилгидрогенфосфаты), неионные поверхностно-активные вещества (например, этоксилированные и/или пропоксилированные С10-20 спирты, этоксилированные и/или пропоксилированные С10-20 карбоновые кислоты, алканоламиды, оксиды амина, и/или С10-20 ацилсорбитан и/или глицеринэтоксилаты), амфотерные поверхностно-активные вещества (например, бетаины, сульфобетаины, и/или кватернизованные имидозолины) и/или катионные поверхностно-активные вещества (например, соли бензалькония, С10-20 соли алкилтриметиламмония, и/или С10-20 соли алкилтриметил или трис(гидроксиметил)фосфония); комплексообразующие (изолирующие), хелатирующие агенты, ингибиторы коррозии и/или другие пороговые вещества (например, триполифосфат натрия, этилендиаминтетрацетат натрия, нитрилтриацетат натрия, тетрапирофосфат калия, ацетодифосфоновая кислота и ее соли, аммонийтрисметиленфосфоновая кислота и ее соли, этилендиаминтетракис(метиленфосфоновая) кислота и ее соли, диэтилентриаминпентакис (метиленфосфоновая) кислота и ее соли); толилтриазол и смеси нитрата, бензоата, HHP и/или PTSB), биоциды (например, соли тетракис(гидроксиметил)фосфония, формальдегид, глутаральдегид); окисляющие биоциды и/или отбеливатели (например, хлор, диоксид хлора, пероксид водорода, перборат натрия); регуляторы пенообразования, такие как кремниевые пеногасители; поглотители кислорода, такие как гидразины и/или гидроксиламины; вещества, регулирующие рН и/или буферные агенты, такие как амины, бораты, цитраты и/или ацетаты; соли хрома; соли цинка; и/или другие вещества для обработки воды, такие как полимерные диспергаторы и коагулянты, включая полималеиновую, полиакриловую и поливинилсульфоновую кислоты и их соли, крахмалы и/или карбоскиметилцеллюлозу и/или молибдаты. Изобретение предусматривает композиции, содержащие эффективное количество продукта по изобретению, как упомянуто выше, и любое из вышеупомянутых известных веществ для обработки воды. Такие композиции могут, например, содержать от 5 до 95% по весу продукта по изобретению и от 5 до 90% по весу одного или большего числа любых вышеупомянутых веществ для обработки воды. Более конкретно, флюид может дополнительно содержать добавки, выбранные из следующего: – ингибиторы коррозии (имидазолин и четвертичные соли аммония), – ингибиторы гидрирования (такие как метанол) и кинетические ингибиторы, такие как антиагломерирующие вещества, – ингибиторы образования асфальтена, – ингибиторы образования парафина, – биоциды (такие как THPS, например, продаваемые Rhodia под маркой Tolcide®(PS), – деэмульгаторы, – поверхностно-активные вещества, – другие ингибиторы образования отложений. Водный раствор ингибитора образования отложений может быть использован на стадии закачки (обработка прокачкой под давлением); типично концентрация ингибитора образования отложений составляет от 0,5 до 20%, и предпочтительно от 2 до 10% по весу водного раствора. Когда попутная вода (водоприток) из нефтяной скважины начинает показывать пониженные концентрации ингибитора образования отложений, потребуется дополнительная обработка прокачкой под давлением. В общем эффективное ингибирование образования отложений будет поддерживаться при концентрациях ингибитора выше примерно 25 частей на миллион (в попутной воде или в воде пласта). Чем более эффективен контроль количества полимера, ингибирующего образование отложений, тем ниже может быть концентрация ингибитора образования отложений в попутной воде перед требующейся дополнительной обработкой. Повторная обработка включает закачку дополнительного водного раствора водорастворимого полимера в подземные нефтеносные пласты во время интервалов, выбранных для обеспечения количеств водорастворимого полимера, эффективных для того, чтобы поддержать ингибирование образования отложений. Для осуществления обработки прокачкой под давлением флюид может быть использован в сопряжении с передовыми химическими реагентами, особенно поверхностно-активными веществами и/или эмульгаторами. Эти химические реагенты обычно применяются перед ингибитором образования отложений для того, чтобы ускорить адсорбцию на горную породу и чтобы свести к минимуму проблемы эмульгирования. Эффективные композиции и способы можно узнать из документа WO 98/30783. Дополнительно отмечено, что попутная вода флюида для добычи нефти может содержать следы сырой нефти или неорганические остатки, которые не были полностью отделены от полученных флюидов. Количества (ингибитора образования отложений) Количество использованного полимера обычно зависит от применения. Для применений, связанных с обработкой прокачкой под давлением, сополимер типично будет применяться в стволе скважины как концентрированный раствор в подходящем текучем носителе. Типичные концентрации ингибитора составят 1-50%, более предпочтительно 5-20%. Жидким носителем может быть морская вода, попутная вода, вода водоносного пласта, вода, обработанная посредством мембраны, например, десульфированная вода или смеси вышеупомянутых. Альтернативно, текучий носитель может быть на основе совместимого растворителя, например, гликолей или простых эфиров гликоля. Минимальная концентрация ингибитора (MIC) обычно изменяется с химией воды, но будет типично находиться в диапазоне 1-500 частей на миллион, причем более высокие значения относятся к более жесткой окружающей среде образования отложений.
Формула изобретения
1. Способ возбуждения нефтяного месторождения путем закачки подаваемого потока флюида в нефтяную эксплуатационную скважину, связанную с нефтяным месторождением, вытеснения нефти и добычи вытекающего потока флюида, содержащего нефть, в котором по меньшей мере два потока закачивают по меньшей мере в две эксплуатационные зоны нефтяной скважины или закачивают по меньшей мере в две различные нефтяные эксплуатационные скважины, из которых по меньшей мере два вытекающих потока из двух зон или скважин объединяют перед добычей, причем ингибитор образования отложений, содержащий обнаруживаемые составляющие, вводят в нефтяное месторождение или месторождения и/или во флюиды, отличающийся тем, что используют два различных ингибитора образования отложений, предназначенные для двух зон или скважин, причем указанные различные ингибиторы образования отложений содержат различные обнаруживаемые составляющие, которые могут быть определены аналитически. 2. Способ по п.1, отличающийся тем, что различные ингибиторы образования отложений вводят во флюид. 3. Способ по п.1, отличающийся тем, что различные ингибиторы образования отложений вводят в нефтяное месторождение перед возбуждением путем нагнетания указанных различных ингибиторов образования отложений в различные нефтяные месторождения, в соответствии с обработкой прокачкой под давлением, причем ингибиторы образования отложений высвобождают в вытекающие потоки. 4. Способ по любому из пп.1-3, отличающийся тем, что различные обнаруживаемые составляющие выбирают из группы, состоящей из a) составляющих с меченым атомом, содержащих по меньшей мере один атом, выбранный из группы, состоящей из бора, кремния и германия, b) составляющих, производных от ацетоксистирола, предпочтительно 4-ацетоксистирола, или от ортоаллилфенола. c) составляющих, производных от мономера, имеющего следующую формулу: X2C=CYY X, который является идентичным или различным, представляет собой атом водорода или алкильную группу С1-С4; Y представляет собой атом водорода или алкильную группу С1-С4; Y L представляет собой ковалентную связь или двухвалентную органическую связывающую группу, возможно содержащую гетероатомы; и Arom представляет собой группу, содержащую по меньшей мере два сопряженных ароматических кольца, предпочтительно по меньшей мере три, причем указанные кольца содержат сопряженные атомы углерода и возможно азота или кислорода, и связанные с указанными атомами углерода, атомы водорода или заместители, d) составляющих, полученных взаимодействием, после полимеризации, звеньев, производных от винилбензилхлорида с 8-аминопирен-1,3,6-трисульфоновой кислотой, или 9-(2-(этоксикарбонил)фенил)-3,6-бис(этиламино)-2,7-диметилксантилиумхлоридом(Родамином 6G), или CellTracker Blue CMAC, или их солями, e) составляющих, производных мономера, полученного взаимодействием винилбензилхлорида с 8-аминопирен-1,3,6-трисульфоновой кислотой или ее солями, f) составляющих, содержащих по меньшей мере одну фосфатную или фосфонатную группу, g) составляющих, содержащих по меньшей мере одну сульфонатную или сульфоновую кислотную группу. 5. Способ по любому из пп.1-3, в котором различные ингибиторы образования отложений, имеющие различные обнаруживаемые составляющие, представляют собой полимеры, ингибирующие образование отложений, содержащие звенья, ингибирующие образование отложений, и различные меченые звенья, имеющие различные составляющие, в которых меченые звенья выбирают из группы, состоящей из a) звеньев с меченым атомом, содержащих по меньшей мере один атом, выбранный из группы, состоящей из бора, кремния и германия, b) звеньев, производных ацетоксистирола, предпочтительно 4-ацетоксистирола, или от ортоаллилфенола, c) звеньев, производных мономера, имеющего следующую формулу: X2=CYY Х является идентичным или различным, представляет собой атом водорода или алкильную группу С1-С4; Y представляет собой атом водорода или алкильную группу С1-С4; Y L представляет собой ковалентную связь или двухвалентную органическую связывающую группу, возможно содержащую гетероатомы; и Arom представляет собой группу, содержащую по меньшей мере два сопряженных ароматических кольца, предпочтительно по меньшей мере три, причем указанные кольца содержат сопряженные атомы углерода и возможно атомы азота или кислорода, и связанные с указанными атомами углерода, атомы водорода или их заместители, d) звеньев, полученных взаимодействием, после полимеризации, звеньев, производных винилбензилхлорида, с 8-аминопирен-1,3,6-трисульфоновой кислотой, 9-(2-(этоксикарбонил)фенил)-3,6-бис(этиламино)-2,7-диметилксантилиумхлоридом (Родамином 6G), или CellTracker Blue CMAC, или их солями, и e) звеньев, производных от мономера, полученного посредством реакции винилбензилхлорида с 8-аминопирен-1,3,6-трисульфоновой кислотой или ее солями. 6. Способ по п.5, отличающийся тем, что по меньшей мере один из различных ингибиторов образования отложений представляет собой меченый полимер, ингибирующий образование отложений, содержащий меченые звенья, производные от 9-винилантрацена. 7. Способ по п.5, в котором звенья, ингибирующие образование отложений, производят от мономеров, выбранных из группы, состоящей из винилсульфокислоты, или солей винилсульфонатов, винилфосфоновой кислоты или солей винилфосфонатов, акриловой кислоты, метакриловой кислоты, малеинового ангидрида, малеиновой кислоты, стирол-п-сульфоновой кислоты или солей стиролсульфонатов, акриламидо-2-метилпропансульфоновой кислоты (AMPS), и их смесей. 8. Способ по любому из пп.1-3, включающий измерение количества различных ингибиторов образования отложений в добытом флюиде, или во флюиде, производном от нее, и если количество ингибитора образования отложений ниже, чем заданная величина, принимаются за решение проблемы образования отложений, которая возникает в зоне или скважине, для которых предназначен ингибитор образования отложений. 9. Способ по п.8, отличающийся тем, что ингибитор образования отложений вводят во флюид на водной основе, или большее количество ингибитора образования отложений вводят во флюид, или ингибитор образования отложений вводят в нефтяное месторождение в соответствии с обработкой прокачкой под давлением. 10. Способ по одному из пп.1-3, отличающийся тем, что ингибиторы образования отложений определяют одним методом анализа. 11. Способ по п.10, в котором один метод анализа представляет собой флуорометрический метод.
|
||||||||||||||||||||||||||||








-винилнафталина, 1-винилпирена, 4-винил-9,10-дифенилантрацена, 3-винилфенантрена, 9-винилакридина.



CH2-OH,
в которой