Патент на изобретение №2307135
|
||||||||||||||||||||||||||||||||||||||||||||||||||||||||||||||||||||||||||||||||||||||||||||||||||||||||||||||||||||||||||||||||||||||||||||||||||||||||||||||||||||||||||||||||||||||||||||||||||||||||||||||||||||||||||||||||||||||||||||||||||||||||||||||||||||||||||||||||||||||||||||||||||||||||||||||||||||||||||||||||||||||||||||||||||||||||||||||||||||||||||||||||||||||||||||||||||||||||||||||||||||||||
(54) СТАБИЛИЗАТОР ДЛЯ РЕЗИН НА ОСНОВЕ НЕНАСЫЩЕННЫХ КАУЧУКОВ
(57) Реферат:
Изобретение относится к области стабилизаторов для резин на основе ненасыщенных каучуков и может быть использовано в шинной и резинотехнической промышленности. Стабилизатор для резин по изобретению состоит из, мас.%: полимера 2,2,4-триметил-1,2-дигидрохинолина – 30-70 и феноламинной смолы – 30-70. Смола представляет собой продукт конденсации бутилированных фенолов состава, мас.%: 2,6-ди-трет-бутилфенол – 0,5-2,0, 2,4-ди-трет-бутилфенол – 22-75, 2,4,6-три-трет-бутилфенол-14-61, моно-, дизамещенные бутилфенолы – 10,5-15,0 с гексаметилентетрамином и 1,3,5-триметил-гекса-гидро-1,3,5-триазином в соотношении, мас.ч.: 100 : 1-8 : 1-8. Технический результат состоит в расширении арсенала стабилизаторов для резин с улучшенными эксплуатационными характеристиками.4 табл.
Изобретение относится к области стабилизаторов для резин на основе ненасыщенных каучуков, и может быть использовано в шинной и резинотехнической промышленности. Известен стабилизатор для резин на основе ненасыщенных каучуков, представляющий собой смесь полимера 2,2,4-триметил-1,2-дигидрохинолина с ди- и три- трет-бутилфенолами (патент Ru №2121485). Недостатком стабилизатора является недостаточно эффективная защита резин на основе ненасыщенных каучуков от теплового и озонного старения. Наиболее близким по технической сущности является стабилизатор для резин на основе ненасыщенных каучуков, содержащий полимер 2,2,4-триметил-1,2-дигидрохинолина и продукты взаимодействия смеси бутилфенолов в соотношении, мас.%:
С гексаметилентетрамином в соотношении, мас.%: 100:(2,0-8,5) соответственно, при этом компоненты стабилизатора взяты в следующем соотношении, мас.%:
(Патент RU 2161630, МПК 7 С08К 5/1311, С08К 5/13, C08L 9/00), 2001 г. Недостатком известного стабилизатора являются недостаточно высокие эксплуатационные характеристики, а именно низкая температура размягчения, что способствует слеживаемости стабилизатора в процессе хранения. Кроме того, известный стабилизатор недостаточно эффективен в защите резин от теплового старения. Задачей изобретения является расширение арсенала эффективных, с улучшенными эксплуатационными характеристиками, стабилизаторов для резин на основе ненасыщенных каучуков. Поставленная задача достигается тем, что стабилизатор для резин на основе ненасыщенных каучуков состоит из полимера 2,2,4-триметил-1,2-дигидрохинолина и дополнительно содержит феноламинную смолу, представляющую собой продукты конденсации бутилированных фенолов состава, мас.%:
с гексаметилентетрамином и 1,3,5-триметил-гекса-гидро-1,3,5-триазином в соотношении на 100 массовых частей бутилированных фенолов 1-9 частей гексаметилентетрамина и 1-8 частей 1,3,5-триметил-гексагидро 1,3,5-триазина, при этом компоненты стабилизатора взяты в соотношении, мас.%:
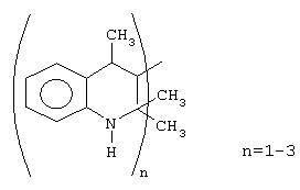
Решение поставленной задачи позволяет расширить арсенал эффективных, с улучшенными эксплуатационными характеристиками, стабилизаторов для защиты резин от теплового старения. Характеристика веществ, используемых в составе Полимер 2,2,4-триметил-1,2-дигидрохинолин выпускают под торговым названием “Ацетонанил Р” в виде гранул от светло-серого до темно-янтарного цвета. Температура плавления 70-85°С. ТУ 6-02-1116-“Ацетонанил Р”. Химическая формула мономера
Смесь указанных бутилфенолов является кубовым остатком ректификации 2,6-дитретбутилфенола. Состав кубового остатка производства 2,6-дитретбутилфенола установлен хромато-масс-спектрометрическим методом на приборе ITDS фирмы Финиган и представляет собой смесь следующего состава:
Гексаметилентетрамин выделенный по ГОСТ 1381-73. 1,3,5-триметилгексагидро-1,3,5-триазин выделяют методом ректификации из отходов производства Агидола-1 (2,6-ди-трет-бутил-4-метилфенола). Температура кипения выделяемого 1,3,5-триметилгексагидро-1,3,5-триазина 166-168°С
Состав 1,3,5-триметилгексагидро-1,3,5-триазин установлен хроматографически, масс-спектрометрически, а также элементарным анализом. Найдено: углерод 55,8% водород 11,6% азот 32,6% Вычислено: углерод 55,5% водород 12,0% азот 32,5% В таблице 1 приведены составы компонентов смеси бутилфенолов
Ниже приведены примеры, раскрывающие сущность заявленного изобретения. Пример 1. В автоклав загружают 1000 кг смеси бутилированных фенолов состава А. В расплавленную смесь добавляют 80 кг гексаметилентетрамина, 10 кг 1,3,5-триметил-гексагидро-1,3,5-триазина и перемешивают при температуре 120-125°С до образования феноламинной смолы с температурой каплепадения 85°С. После этого к 700 кг феноламинной смолы при перемешивании, порциями вводят 300 кг полимера 2,2,4-триметил-1,2-дигидрохинолина, перемешивание ведут при температуре 140-145°С до достижения температуры каплепадения 105-107°С и температуры размягчения 95-97°С. Полученный целевой продукт выливают на охлажденную поверхность и затем измельчают. Пример 2. В автоклав загружают 1000 кг смеси бутилированных фенолов состава Б. В расплавленную смесь добавляют 76 кг гексаметилентетрамина, 23 кг 1,3,5-триметил-гексагидро-1,3,5-триазина и перемешивают при температуре 125-130°С до образования феноламинной смолы с температурой каплепадения 85°С. После этого к 600 кг феноламинной смолы при перемешивании, порциями вводят 400 кг полимера 2,2,4-триметил-1,2-дигидрохинолина, перемешивание ведут при температуре 130-135°С до достижения температуры каплепадения 100-102°С и температуры размягчения 92-93°С. Полученный целевой продукт выливают на охлажденную поверхность и затем измельчают. Пример 3. В автоклав загружают 1000 кг смеси бутилированных фенолов состава В. В расплавленную смесь добавляют 50 кг гексаметилентетрамина, 50 кг 1,3,5-триметил-гексагидро-1,3,5-триазина и перемешивают при температуре 100-105°С до образования феноламинной смолы с температурой каплепадения 74°С. После этого к 500 кг феноламинной смолы при перемешивании, порциями вводят 500 кг полимера 2,2,4-триметил-1,2-дигидрохинолина, перемешивание ведут при температуре 150-155°С до достижения температуры каплепадения 95-97°С и температуры размягчения 85-87°С. Полученный целевой продукт выливают на охлажденную поверхность и затем измельчают. Пример 4. В автоклав загружают 1000 кг смеси бутилированных фенолов состава Д. В расплавленную смесь добавляют 60 кг гексаметилентетрамина, 40 кг 1,3,5-триметил-гексагидро-1,3,5-триазина и перемешивают при температуре 120-125°С до образования феноламинной смолы с температурой каплепадения 76°С. После этого к 650 кг феноламинной смолы при перемешивании, порциями вводят 350 кг полимера 2,2,4-триметил-1,2-дигидрохинолина, перемешивание ведут при температуре 150-155°С до достижения температуры каплепадения 103-105°С и температуры размягчения 93-95°С. Полученный целевой продукт выливают на охлажденную поверхность и затем измельчают. Пример 5. В автоклав загружают 1000 кг смеси бутилированных фенолов состава Б. В расплавленную смесь добавляют 20 кг гексаметилентетрамина, 80 кг 1,3,5-триметил-гексагидро-1,3,5-триазина и перемешивают при температуре 110-115°С до образования феноламинной смолы с температурой каплепадения 78°С. После этого к 400 кг феноламинной смолы при перемешивании, порциями вводят 600 кг полимера 2,2,4-триметил-1,2-дигидрохинолина, перемешивание ведут при температуре 130-135°С до достижения температуры каплепадения 102-104°С и температуры размягчения 92-93°С. Полученный целевой продукт выливают на охлажденную поверхность и затем измельчают. Пример 6. В автоклав загружают 1000 кг смеси бутилированных фенолов состава Д. В расплавленную смесь добавляют 10 кг гексаметилентетрамина, 80 кг 1,3,5-триметил-гексагидро-1,3,5-триазина и перемешивают при температуре 125-130°С до образования феноламинной смолы с температурой каплепадения 72°С. После этого к 300 кг феноламинной смолы при перемешивании, порциями вводят 700 кг полимера 2,2,4-триметил-1,2-дигидрохинолина, перемешивание ведут при температуре 140-145°С до достижения температуры каплепадения 96-97°С и температуры размягчения 86-87°С. Полученный целевой продукт выливают на охлажденную поверхность и затем измельчают. Пример 7. В автоклав загружают 1000 кг смеси бутилированных фенолов состава Г. В расплавленную смесь добавляют 30 кг гексаметилентетрамина, 70 кг 1,3,5-триметил-гексагидро-1,3,5-триазина и перемешивают при температуре 100-105°С до образования феноламинной смолы с температурой каплепадения 77°С. После этого к 700 кг феноламинной смолы при перемешивании, порциями вводят 300 кг полимера 2,2,4-триметил-1,2-дигидрохинолина, перемешивание ведут при температуре 140-145°С до достижения температуры каплепадения 100-102°С и температуры размягчения 90-92°С. Полученный целевой продукт выливают на охлажденную поверхность и затем измельчают. Полученные стабилизаторы по примерам 1-7 используют в качестве средств защиты от теплового старения в резинах на основе ненасыщенных каучуков – изопренового, бутадиенового. Данные по технологическим параметрам процесса получения, составу компонентов стабилизатора представлены в таблице 2. Температуру каплепадения определяют по ГОСТ 16388-70 “Метод определения температуры каплепадения”. Температуру размягчения по методу кольца и шара. Физико-механические испытания резин: – упруго-прочностные свойства резин при растяжении при нормальных условиях и при температуре 100°С (температуроустойчивость) и после теплового старения по ГОСТ 270-75; – коэффициенты сохранения прочности после теплового старения определяют как отношение прочности после старения и прочности резин до старения. Данные по свойствам резин на основе изопренового каучука СКИ-3 с использованием стабилизаторов по примерам 1-7 приведены в таблице 3. Резиновая смесь на основе изопренового каучука СКИ-3 имеет следующий состав, мас.ч. Каучук СКИ-3-100 Сера – 2,0 Оксид цинка – 4,0 Стеариновая кислота – 2,0 Сульфенамид М – 1,5 N-нитрозодифениламин – 0,7 Канифоль – 1,0 Инден-кумароновая смола – 2,0 Технологическое масло ПН-6Ш – 8,0 Технический углерод П-234 – 52,0 Стабилизатор – 2,0 Резиновые смеси изготавливают в резиносмесителе в одну стадию и вулканизируют в оптимуме 25 мин при 143°С. В таблице 4 приведены данные по свойствам резин на основе смеси бутадиенового и изопренового каучуков с использованием стабилизаторов по примерам 1-7. Резиновая смесь на основе изопренового и бутадиенового каучуков имеет следующий состав, мас.ч.: Каучук СКИ-3 – 50,0 Каучук СКД – 50,0 Сера – 1,5 Сульфенамид Ц – 0,7 Оксид цинка – 4,0 Стеариновая кислота – 2,0 Фталевый ангидрид – 0,5 Инден-стирольная смола – 3,0 Октофор N(А) – 1,0 Технологическое масло ПН-6Ш – 13,0 Технический углерод П-514 – 58,0 Микровоск – 3,0 Диафен – ФП – 2,0 Стабилизатор – 2,0 Резиновые смеси готовят в резиносмесителе в две стадии, вулканизируют в оптимуме 30 мин при 151°С. Таким образом, заявленный стабилизатор расширяет арсенал эффективных, с улучшенными эксплуатационными характеристиками, средств защиты резин от теплового старения. Заявленный стабилизатор, имея высокую температуру размягчения, не слеживается в процессе хранения. Кроме того, стабилизатор содержит побочные продукты производства ионола, что дополнительно снижает его себестоимость.
Формула изобретения
Стабилизатор для резин на основе ненасыщенных каучуков, содержащий полимер 2,2,4-триметил-1,2 дигидрохинолина, отличающийся тем, что он дополнительно содержит феноламинную смолу, полученную конденсацией смеси бутилированных фенолов в соотношении, мас.%:
с гексаметилентетрамином и 1,3,5-триметил-гексагидро-1,3,5-триазином в соотношении, мас.ч.: 100:1,0-8,0:1,0-8,0, соответственно, при этом компоненты стабилизатора взяты в следующем соотношении, мас.%:
PC4A – Регистрация договора об уступке патента СССР или патента Российской Федерации на изобретение
Прежний патентообладатель:
(73) Патентообладатель:
Договор № РД0057282 зарегистрирован 24.11.2009
Извещение опубликовано: 10.01.2010 БИ: 01/2010
QB4A – Регистрация лицензионного договора на использование изобретения
Лицензиар(ы): Закрытое акционерное общество “Управление активами”
Вид лицензии*: ИЛ
Лицензиат(ы): Открытое акционерное общество “Стерлитамакский нефтехимический завод”
Договор № РД0065165 зарегистрирован 01.06.2010
Извещение опубликовано: 10.07.2010 БИ: 19/2010
* ИЛ – исключительная лицензия НИЛ – неисключительная лицензия
|
||||||||||||||||||||||||||||||||||||||||||||||||||||||||||||||||||||||||||||||||||||||||||||||||||||||||||||||||||||||||||||||||||||||||||||||||||||||||||||||||||||||||||||||||||||||||||||||||||||||||||||||||||||||||||||||||||||||||||||||||||||||||||||||||||||||||||||||||||||||||||||||||||||||||||||||||||||||||||||||||||||||||||||||||||||||||||||||||||||||||||||||||||||||||||||||||||||||||||||||||||||||||


