Патент на изобретение №2307129
|
|||||||||||||||||||||||||||||||||||||||||||||||||||||||||||||||||||||||||||||||||||||||||||||||||||||||||||||||||||||||||||||||||||||||||||||||||||||||||||||||||||||||||||||||||||||||||||||||||||||||||||||||||||||||||||||||||||||||||||
(54) СПОСОБ ПОЛУЧЕНИЯ УРАЛКИДНОЙ СМОЛЫ
(57) Реферат:
Изобретение относится к получению уралкидной смолы, используемой в качестве основы для изготовления лакокрасочных материалов. Проводят синтез алкидной смолы на основе жирных кислот таллового масла, пентаэритрита, фталевого ангидрида и бензойной кислоты в соотношении компонентов (только алкидной части), мас.%: 35-42:17-20:18-21:10-12, далее реакционную смесь нагревают до 240°С до получения смолы с вязкостью 60% раствора 60 с и кислотным числом 15 мг КОН/г, затем реакционную массу охлаждают до 190°С и проводят взаимодействие с диуретаном определенной структуры, взятым в количестве 5-20 мас.%, далее синтез ведут при температуре 200-210°С до полной отгонки бутилового спирта и получения уралкидной смолы с вязкостью 60% раствора 80 с и кислотным числом 6-10 мг КОН/г. Покрытия на основе полученных безизоцианатным способом смол имеют повышенную атмосферостойкость и светостойкость. 3 табл.
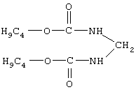
Изобретение относится к технологии получения алкидных смол, используемых в качестве основы для получения лакокрасочных материалов (ЛКМ). Широко известны ЛКМ на основе алкидных смол, модифицированных растительными маслами, жирными кислотами растительных масел. Покрытия на основе этих смол имеют хорошие физико-механические свойства, однако недостаточную атмосферостойкость, прочность при ударе. Для повышения указанных свойств покрытий алкидные смолы модифицируют силиконами, уретанами. Однако дефицит и высокая стоимость указанных модификаторов сдерживает их широкое использование. Использование изоцианатов в качестве модификатора для получения уралкидных смол сдерживается еще и экологической опасностью в технологии изготовления таких смол. Поэтому встал вопрос о создании безизоцианатных способов введения уретановых групп в структуру пленкообразующего. С этой целью был разработан целый ряд новых соединений – олигоциклокарбонатов, таких как Лапролат 301, Лапролат 803, Лапроксид 503М и другие. Имея концевые циклокарбонатные группы, эти соединения отверждаются по реакции уретанообразования с аминами, образуя гидроксиуретановую структуру. Указанные модификаторы используют для создания эпоксиуретановых ЛКМ (SU 1754748, 1992, SU 2263126, 2005 г.) В указанной ниже работе предлагается использовать дешевое сырье для получения диуретанов, которые используют в качестве отвердителей порошковых эпоксидных красок (Лакокрасочные материалы и их применение. 7-8, 2002). Технологической задачей являлось создание уралкидных смол безизоцианатным способом для получения быстросохнущих эмалей различных цветов, предназначенных для окраски техники, оборудования, металлических конструкций, подвергающихся атмосферному воздействию в условиях открытой промышленной атмосферы умеренного и холодного климата. Задачей изобретения являлось создание уралкидной смолы повышенной атмосферостойкости и светостойкости и покрытий на ее основе. Известен уралкидный паркетный лак АУ-271 («Полиур»), получаемый реакцией алкидной смолы на основе жирных кислот таллового масла, пентаэритрита и фталевого ангидрида в соотношении 66:25:1 соответственно и толуилендиизоцианата. Однако лак имеет очень узкое применение. Разработан лак полуфабрикатный уралкидный «Уралак» ТУ 2311-002-59344679-2005 на основе алкидной смолы и толуилендиизоцианата, лак использован в качестве прототипа изобретения. Покрытия на основе этого лака имеют невысокую атмосферостойкость и светостойкость (эмали светлых тонов желтеют). Технологическая задача решается тем, что в способе получения уралкидной смолы при нагревании в среде растворителя путем взаимодействия алкидной смолы на основе жирных кислот таллового масла, пентаэритрита, фталевого ангидрида с изоцианатным компонентом при нагревании в среде растворителя сначала проводят синтез алкидной смолы на основе жирных кислот талового масла, пентаэритрита, фталевого ангидрида и дополнительно бензойной кислоты в соотношении, мас.% 35-42:17-20:18-21:10-12 (только алкидной части) при температуре 240°С до получения смолы с вязкостью 60% раствора в ксилоле 60 с и кислотным числом до 15 мг КОН/г, затем реакционную массу охлаждают до 190°С и проводят взаимодействие с изоцианатным компонентом, в качестве которого используют диуретан структуры:
в количестве 5-20 мас.%, далее синтез ведут при температуре 200-210°С до полной отгонки бутилового спирта и получения уралкидной смолы с вязкостью 60% раствора 80 с и кислотным числом 6-10 мг КОН/г. Общая рецептура смолы мас.%:
Технология получения диуретана состоит из стадии получения моноуретана и стадии получения диуретана. Моноуретан получают следующим образом: загружают 180,15 г мочевины и 266,7 г бутилового спирта, добавляют 4,5 г (1%) катализатора ZnCl2, нагревают до 120°С в течение 4 часов, при этом выделяется аммиак. Температуру медленно повышают до 130°С и через 10 часов останавливают нагрев, проба показывает отсутствие мочевины. Получают моноуретан структуры:
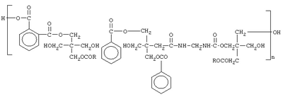
Далее к 115,2 г моноуретана добавляют 39,9 г формалина и 3-4 г концентрированной ортофосфорной кислоты. Смесь нагревают до 90°С и выдерживают 10 часов до поной отгонки воды. Получают 111,8 г диуретана приведенной ниже структуры и 34 мл воды: Температура плавления 95-97°С. (Вирпша З., Бжезинский А. Аминопласты. М.: Химия, 1973. 343 с.) Пример получения уралкидной смолы. Загружают 40 г жирных кислот таллового масла, 19 г пентаэритрита, 20 г фталевого ангидрида, 11 г бензойной кислоты и 4% от массы ксилола. Синтез алкидной смолы проводят при 240°С до вязкости 60 с по вискозиметру ВЗ-246 60% раствора в ксилоле и кислотного числа 12,7 мг КОН/г. Затем массу охлаждают до 190°С и добавляют 10 г диуретана приведенной выше структуры. Синтез продолжают при 200-210°С с отгонкой бутанола до прекращения отгонки и до достижения вязкости смолы 80 с (60% раствор с ксилоле) и кислотного числа 6-10 мг КОН/г. Получают уралкидную смолу структуры: Структура полученных соединений была подтверждена методом ИК-спектроскопии. Рецептура уралкидной смолы, особенно ее алкидной части (определенные соотношения компонентов, табл.1) была подобрана таким образом, что при введении диуретана менее 5 мас.% не был достигнут положительный эффект, а при введении более 20% диуретана происходит желирование реакционной массы. Показатели свойств лаков на основе уралкидных смол и их покрытий приведены в табл.2. С целью проведения сравнительных испытаний покрытий на основе предлагаемой уралкидной смолы и прототипа были изготовлены образцы эмали по следующей рецептуре, мас.%
Испытания проводились с целью сравнения декоративных защитных свойств покрытий в условиях открытой промышленной атмосферы умеренного и холодного климата (УХЛ 1) по ГОСТ 9.401-91 метод 6. Объектами исследований служили следующие системы покрытий: 1 слой грунтовки ГФ-021 и 2 слоя эмали указанной рецептуры при толщине комплексного покрытия 75-85 мкм. Покрытия прошли испытания 35 циклов по методу 6. Защитные свойства были оценены как защитные А 31 и декоративные АД 2. В условиях умеренного и холодного климата гарантийный срок эксплуатации 4 года. У прототипа соответственно – А 32 и АД 3. Оценку изменения цвета покрытия определяли согласно существующим нормативным документам: «Материалы лакокрасочные. Метод определения условной светостойкости ГОСТ 2193», изменение цвета определяли по ЕСЗКС – «Покрытия лакокрасочные. Метод определения внешнего вида по ГОСТ 9.407». Испытания образцов проводили под лампой ДРТ-400 (метод 1) в течение 10 и 15 часов. Изменения цвета определены в баллах (пятибалльная система) и отражены в табл.3.
Формула изобретения
Способ получения уралкидной смолы путем взаимодействия алкидной смолы на основе жирных кислот таллового масла, пентаэритрита, и фталевого ангидрида с изоцианатным компонентом при нагревании, в среде растворителя, отличающийся тем, что сначала проводят синтез алкидной смолы на основе жирных кислот таллового масла, пентаэритрита, фталевого ангидрида и дополнительно бензойной кислоты в соотношении компонентов (только алкидной части), мас.% 35-42:17-20:18-21:10-12, далее реакционную смесь нагревают до 240°С до получения смолы с вязкостью 60% раствора 60 с и кислотным числом 15 мг КОН/г, затем реакционную массу охлаждают до 190°С и проводят взаимодействие с изоцианатным компонентом, в качестве которого используют диуретан структуры
в количестве 5-20 мас.%, далее синтез ведут при температуре 200-210°С до полной отгонки бутилового спирта и получения уралкидной смолы с вязкостью 60% раствора 80 с и кислотным числом 6-10 мг КОН/г.
PC4A – Регистрация договора об уступке патента СССР или патента Российской Федерации на изобретение
Прежний патентообладатель:
(73) Патентообладатель:
Договор № РД0034686 зарегистрирован 03.04.2008
Извещение опубликовано: 10.05.2008 БИ: 13/2008
|
|||||||||||||||||||||||||||||||||||||||||||||||||||||||||||||||||||||||||||||||||||||||||||||||||||||||||||||||||||||||||||||||||||||||||||||||||||||||||||||||||||||||||||||||||||||||||||||||||||||||||||||||||||||||||||||||||||||||||||





