|
|
(21), (22) Заявка: 2005130373/13, 29.09.2005
(24) Дата начала отсчета срока действия патента:
29.09.2005
(43) Дата публикации заявки: 10.04.2007
(46) Опубликовано: 27.09.2007
(56) Список документов, цитированных в отчете о поиске:
WO 9424168, 27.10.1994. US 5880154, 09.03.1999. KOLOCOURIS N. et al., “Synthesis and antiviral activity evaluation of some aminoadamantane derivatives”, J Med Chem. 1994 Sep 2; 37(18):2896-902.
Адрес для переписки:
630559, Новосибирская обл., Новосибирский р-н, пгт. Кольцово, ФГУН ГНЦ ВБ ” Вектор”, зав. патентным отделом Ю.Н. Мистюрину
|
(72) Автор(ы):
Тимофеев Игорь Васильевич (RU), Перминова Наталия Георгиевна (RU), Блинов Владимир Михайлович (RU), Карпышев Николай Николаевич (RU)
(73) Патентообладатель(и):
Федеральное государственное учреждение науки “Государственный научноый центр вирусологии и биотехнологии “Вектор” Федеральной службы по надзору в сфере защиты прав потребителей и благополучия человека (RU)
|
(54) КОМПЛЕКСНАЯ АУТОЛОГИЧНАЯ ВАКЦИНА ПРОТИВ ВИЧ-ИНФЕКЦИИ И СПИД
(57) Реферат:
Изобретение относится к медицине, фармакологии и иммунологии. Вакцина включает полианионную матрицу и химически с ней связанные пептид и фармакофор Норборнен. В качестве полимерной матрицы вакцина содержит полианионную матрицу, в качестве пептида – пептид-имитатор химерного домена, представляющий собой пептидный фрагмент структурного белка р17/18/55 ВИЧ-1/2 с клеточным рецептором CD4. Вакцина обладает противовирусным, иммуномодулирующим действием и обеспечивает адресную доставку комплексного вакцинного препарата к месту инфекции ВИЧ-1/2 и подавляет специфическую вирусную инфекцию. Изобретение может быть использовано для профилактики и лечения ВИЧ-инфекции и СПИД. 1 ил., 2 табл.
Изобретение относится к медицине, фармакологии, иммунологии и может быть использовано для профилактики и лечения ВИЧ-инфекции и СПИД, а также в исследовательской работе для конструирования новых комплексных препаратов, изучения многоточечного воздействия лекарственного средства на иммунокомпетентные клетки, формирование эффективного иммунного ответа в макроорганизме и его протективных особенностей.
Известен целый ряд профилактических антиВИЧ вакцин, сконструированных на основе основных антигенных детерминант структурных белков ВИЧ-1/2, получаемых генно-инженерным способом в бактериях продуцентах (патент РФ №2194075, МПК С12N 15/51, опубл. 10.12.2002; патент РФ №2223784, МПК А61К 39/385, опубл. 20.02.2004). Известны также вакцинные препараты, изготовленные на основе синтетических пептидов, имитирующих некоторые иммуногенные эпитопы ключевых протективных антигенов ВИЧ-1/2 (Патент РФ №2179980, МПК С07К 7/00, опубл. 27.02.2002).
Однако ни одна из выше описанных вакцин против ВИЧ/СПИД не имеет терапевтического действия и не обладает протективным эффектом против различных субтипов ВИЧ-1/2, а оказывает лишь профилактическое действие на ограниченное количество штаммов ВИЧ в пределах одного субтипа. Учитывая высокий потенциал мутационной изменчивости ВИЧ-1/2, появление “нового” варианта, устойчивого к вакцине штамма вируса, может возникать в течение первых трех месяцев после ее применения. Также вышеуказанные вакцины против ВИЧ/СПИД пригодны лишь для профилактического использования и не могут оказывать лечебный эффект на уже зараженных ВИЧ индивидуумах, что резко снижает их потенциальные возможности. Кроме того, ни одна из предложенных антиВИЧ вакцин не оказывает химиотерапевтического действия на течение ВИЧ-инфекции (тем более на резистентные к азидотимидину штаммы) и не обладает эффектом подавления репродукции вируса иммунодефицита в пермиссивных клетках и ингибирования экспрессии специфических белков ВИЧ-1/2 в случае инфицированности пациента.
Известен комплекс антиВИЧ соединений, включающий в свой состав полианионную матрицу и химически с ней связанный синтетический фармакофор модификатор, например Норборнен (Kolocouris N., Foscolos G.B., Kolocouris A. et al. – Synthesis and antiviral activity evaluation of some new aminoadamantane derivatives. J Med Chem 1994; 37: 2896-2902; Сербин А.В., Стойкая Л.Л., Кренцель Б.А. и др. Сополимеры на основе фурана и малеинового ангидрида и перспективы их использования в медицине. Сб. Полимеры медицинского назначения. М.: ИНХС 1988; 127-152; Тимофеев Д.И., Перминова Н.Г., Сербии А.В. и др. Мембранотропные соединения и препараты, воздействующие на ранние стадии ВИЧ-инфекции. Антибиотики и химиотерапия 2003; 48: 2: 29-41).
Известно другое комплексное анти-ВИЧ соединение, включающее в свой состав полианионную матрицу и химически с ней связанный псевдолиганд для gp120 ВИЧ-1/2. Псевдолиганд для gp120 ВИЧ-1/2 представляет собой синтетический фармакофор модификатор, например Адамантан (Патент США №5880154, МПК C08F 22/06, опубл. 09.03.1999).
Однако данные высокомолекулярные соединения оказывают только противовирусное действие и являются антиВИЧ соединениями, которые не обеспечивают стимуляции клеток киллеров, модуляции В-, Т- клеточного звеньев иммунитета и не оказывают стимулирующего действия на выработку антител, обладающих нейтрализующими свойствами в отношении вируса иммунодефицита человека.
Наиболее близким аналогом (прототипом) является другое комплексное соединение, включающее в свой состав полимерную матрицу, выполненную в виде наночастиц, на поверхности которых нанесены путем пассивной адсорбции пептиды, представляющие собой моноклональные антиСD4-антитела (Международная заявка (WO) 94/24168, МПК С07К 17/08, опубл. 27.10.1994). Указанное комплексное соединение может быть использовано для производства лекарственного средства с целью профилактики/лечения патологических состояний, связанных с ВИЧ-инфекцией.
Однако оно не может оказывать иммуномодулирующее воздействие на специфическое и неспецифическое звено иммунитета, вызывать протективный клеточный и/или гуморальный иммунный ответ и стимулировать образование нейтрализующих (защитных) антиВИЧ антител. Кроме того, недостатком вышеуказанных соединений-аналогов, в том числе и прототипа, является наличие только антиВИЧ активности и относительно узкий спектр потенциальных мишеней в многоэтапном процессе взаимодействия вируса ВИЧ-1/2 – чувствительная клетка. Взаимодействие препарата может происходить помимо целевых агентов с биологически важными соединениями и структурами, не задействованными в развитии ВИЧ инфекции и СПИДа. Кроме того, эти соединения за счет неспецифического связывания фармакофора с биологически активными веществами могут приводить к их инактивации и развитию за счет этого токсических проявлений. Таким образом, данные химические соединения не могут полноценно блокировать ВИЧ инфекцию в организме человека.
Техническим результатом предлагаемого изобретения является создание более эффективных и менее токсичных комплексных биохимических соединений, обладающих свойствами аутологичной терапевтической вакцины, индуцирующих образование специфического гуморального ответа со стимуляцией клеточного иммунитета и обеспечивающих адресную доставку комплексного препарата к месту репродукции ВИЧ-1/2 с подавлением специфической вирусной инфекции как на начальных ее этапах, так и в процессе ее развития, а также обеспечивающих стимуляцию продукции цитокинов лимфоидными клетками, их активацию (включая Т-хелперы, специфические цитотоксические лимфоциты и клетки-киллеры), и образование специфических антиВИЧ нейтрализующих антител.
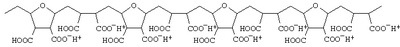
Указанный технический результат достигается тем, что в комплексной аутологичной вакцине против ВИЧ-инфекции и СПИД, включающей полимерную матрицу и химически с ней связанный пептид, согласно изобретения, она дополнительно содержит фармакофор Норборнен, химически связанный с полимерной матрицей, в качестве полимерной матрицы вакцина содержит полианионную матрицу, в качестве пептида – пептид-имитатор химерного домена, представляющий собой пептидный фрагмент структурного белка р17/18/5 5 ВИЧ-1/2 с клеточным рецептором CD4, а полианионная матрица и химически связанные с ней фармакофор Норборнен и пептидный фрагмент имеют следующую формулу:

Причем пептидный фрагмент химерного домена структурного белка р17/18/55 ВИЧ-1/2 с клеточным рецептором CD4 имеет следующую формулу аминокислотной последовательности:
KEAKDTKEALDKIEEEQNEQELLELDKWASLWN
Пептид-имитатор химерного домена можно получить как путем химического органического синтеза, так и путем химического и биохимического синтеза фрагмента кодирующей последовательности гена с последующим клонированном в составе векторной плазмиды и продукции в клетках про- и эукариот.
Таким образом, для получения заявляемой аутологичной вакцины выбирают и синтезируют адресные антиВИЧ соединения на основе пептида-имитатора химерного домена структурного белка р17/18/55 ВИЧ-1/2 с клеточным рецептором CD4, которые химически связаны с полианионной матрицей в комплексный препарат, обеспечивающий высокий уровень защиты ВИЧ-инфицированных клеток.
Пептиды-имитаторы химерного домена структурного белка р17/18/55 ВИЧ-1/2 с клеточным рецептором CD4 с заявляемой аминокислотной последовательностью KEAKDTKEALDKIEEEQNEQELLELDKWASLWN играют ключевую роль при индукции специфического ответа цитотоксических клеток и образовании нейтрализующих антител, которые способны оказывать ингибирующее действие на инфекцию ВИЧ-1/2.
Существенными отличительными признаками изобретения являются:
– дизайн и синтез фрагментов оригинальных пептидов-имитаторов химерного домена структурного белка р17/18/55 ВИЧ-1/2 с клеточным рецептором CD4;
использование в препарате полианионной матрицы молекулярной массой 23КД с целью повышения заряда и гидрофильности комплексного соединения.
– объединение в единый макромолекулярный комплекс пептидов-имитаторов химерного домена структурного белка р17/18/55 ВИЧ-1/2 и V1 клеточного рецептора CD4 и полианионной матрицы.
объединение в единый макромолекулярный комплекс фармакофора Норборнена и полианионной матрицы.
Данный комплекс химической и пространственной структуры макромолекулярного соединения неизвестен из доступных источников информации, что подтверждает соответствие технического решения критерию изобретатаельский уровень.
Пример 1. Синтез пептидных фрагментов
Синтез пептид-имитаторов химерного домена структурного белка р17/18/55 ВИЧ-1/2 с клеточным рецептором CD4 и полианионной матрицы осуществляют твердофазным методом на колонке с хлортритильным полимером с использованием щелочелабильной 2-(4-нитрофенилсульфонил) этоксикарбонильной (Nsc) группы для временной защиты N-конца (более подробно в: патент РФ №2079491, МПК С07С 317/48, опубл. 20.05.1997). Твердофазный синтез широко применяется для получения биологически активных пептидов, используемых в медицине, ветеринарии, биотехнологии и научных исследованиях. Сущность твердофазного синтеза пептидов состоит в ступенчатом наращивании пептидной цепи посредством повторяющихся циклов химических реакций, начиная с С-концевой аминокислоты, закрепленной на нерастворимом носителе. При этом целевые продукты всех реакций в процессе синтеза остаются связанными с носителем, а избыточные реагенты и побочные продукты удаляются фильтрованием и промыванием носителя.
Для проведения твердофазного синтеза пептида С-концевую аминокислоту целевой аминокислотной последовательности, защищенную по -аминогруппе, через -карбоксильную группу ковалентно связывают с нерастворимым полимерным носителем путем образования амидной или эфирной связи. Затем с полученного N -защищенного аминоацил-полимера отщепляют N -защитную группу и получают аминоацил-полимер со свободной -аминогруппой. Далее этот полимер ацилируют следующей аминокислотой, защищенной по -аминогруппе, и получают N -защищенный дипептидил-полимер. Синтетические циклы, состоящие из стадий отщепления N -защитной группы и ацилирования свободной аминогруппы пептидил-полимера последующей аминокислотой, защищенной по -аминогруппе, повторяют до тех пор, пока не будет собрана полная аминокислотная последовательность целевого пептида.
Так как в процессе твердофазного синтеза применяются большие молярные избытки ацилирующих реагентов (2-10-кратные по отношению к свободным аминогруппам), все реакционноспособные группы в боковых радикалах аминокислот, в частности амино-, карбокси-, гидрокси-, меркапто-, гуанидино-группы, должны быть блокированы защитными группами. Защитные группы для этой цели подбирают таким образом, чтобы, с одной стороны, обеспечить полную и постоянную защиту боковых радикалов аминокислот в условиях реакций ацилирования пептидил-полимера и отщепления временной N- защитной группы и, с другой стороны, иметь возможность количественно и без повреждения структуры синтезированного пептида отщепить эти защитные группы в одну или две стадии.
Очистку синтезированных пептидов осуществляют препаративной ВЭЖХ (Altex, USA) на колонке 10×250 мм с фазой SynChropak RPP 100, 10 мкм (Eichrom Ind., USA) при скорости потока 4 мл/мин в линейном градиенте элюэнтов от А до В за 2 ч (элюэнт А – 0.1% ТФУ в воде; элюэнт В – 0.1% ТФУ в 60% растворе ацетонитрила). На выходе получали пептиды с 90-98% чистоты по данным аналитической ВЭЖХ. С N-концевого фрагмента пептида вводят аминокислоту лизин, имеющую стерически доступную для химической модификации аминогруппу с целью осуществления последующего химического связывания пептидов с поликарбоксилатной матрицей.
Пример 2. Получение полимерной матрицы и аутологичной ВИЧ/СПИД вакцины
Этап 1. Для получения вакцины берут поликарбоксилатную матрицу следующей формулы:

сокращенная формула:

Для модификации матрицы используют ее ангидридную форму, реакционно активную в отношении синтетических пептидов. Суммарную степень модификации матрицы ограничивали пределом не более 20% для сохранения необходимого количества немодифицированных карбоксильных групп матрицы, ответственных за обеспечение отрицательного заряда и ее специфических адъювантных свойств.
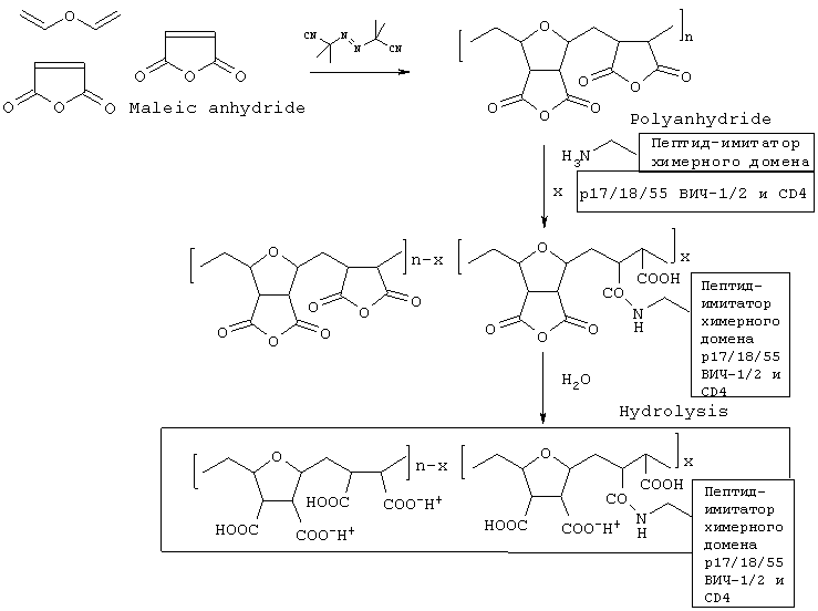
Ниже приведена схема трехстадийного синтеза поликарбоксилатной матрицы из малеинового ангидрида (более подробное описание синтеза в: Патент США №5880154, А. МПК C08F 22/06, опубл. 09.03.1999), а также схема ковалентного присоединения пептидного фрагмента

Указанные карбоксильные группы получали после предварительных стадий модификации пептидными фармакофорами по вышеприведенной схеме путем исчерпывающего гидролиза оставшихся немодифицированными ангидридных циклов матрицы. Продукты гидролиза очищали от остатков органических растворителей и непрореагировавших реагентов методом ультрафильтрации водных растворов с применением мембраны проницаемостью 3KD. Конечные продукты в форме натриевой полусоли выделяли лиофильной сушкой.
Этап 2. Далее приведена процедура (схема 1) синтеза аутологичной вакцины (химических конъюгатов аминопроизводных норборнена и реакционно активной ангидридной формой полианионной матрицы с конъюгированным пептидом-имитатором.
Суммарную степень модификации матрицы ограничивали пределом не более 20% для сохранения необходимого количества немодифицированных карбоксильных групп матрицы, ответственных за обеспечение отрицательного заряда и ее специфических адъювантных свойств. Указанные карбоксильные группы получали после предварительных стадий модификации пептидными и химическим фармакофором норборненом путем исчерпывающего гидролиза оставшихся немодифицированными ангидридных циклов матрицы. Продукты гидролиза очищали от остатков органических растворителей и непрореагировавших реагентов методом ультрафильтрации водных растворов с применением мембраны проницаемостью 3KD. Конечные продукты в форме натриевой полусоли выделяли лиофильной сушкой.
Пример 3. Исследование анти-ВИЧ активности заявляемой аутологичной ВИЧ/СПИД вакцины
Препараты. Для исследований были использованы препараты, синтезированные методами органического и полимерного синтеза. При подготовке к биологическим испытаниям препараты подвергали тщательной очистке от возможных низкомолекулярных примесей методом селективной ультрафильтрации: четырьмя циклами десятикратной промывки-концентрирования на ультрафильтрационных мембранах фирмы Sigma (США) проницаемостью до 1 или 3 KD (NMLW: 1,000 и 3,000 соответственно). Очищенные полимер-ассоциированные субстанции выделяли лиофильной сушкой в форме белых высокопористых порошков, растворимых в воде, диметилсульфоксиде и спирте.
Вирус. Для оценки эффективности антиВИЧ соединений в работе использовали макрофаготропный штамм ВИЧ-1EVK (ГКВ 4005), макрофаго-Т-лимфоцитотропный R4 синцитийобразующий штамм ВИЧ-1Z.
Клеточные линии. Высокочувствительная к инфекции ВИЧ-1/2 перевиваемая культура лимфобластоидных клеток человека МТ-4 и ФГА-стимулированные мононуклеарные клетки периферической крови (МКПК). Лимфобластоидные МТ-4 клетки культивировали в полной ростовой питательной среде RPMI-1640, содержащей 0,06% L-глутамина, 10% сыворотки эмбрионов коров, линкомицина (60 ед./мл) и гентамицина (100 мкг/мл) при температуре 37°С, 5% CO2 в течение 4 суток. Посевная концентрация клеток составляла 0,5×10 кл/мл. На 4 сутки культивирования учитывали количество клеток, разводили ростовой средой до посевной концентрации и культивировали вновь.
ФГА-стимулированные мононуклеарные клетки периферической крови (МКПК) человека. МКПК выделяли из венозной крови здорового донора по методике, описанной Fotino с соавт. (Kolocouris N., Foscolos G.B., Kolocouris A. et al. – Synthesis and antiviral activity evaluation of some new aminoadamantane derivatives. J Med Chem 1994; 37: 2896-2902). Культивирование первичных лимфоцитов осуществляли в среде RPMI-1640 с добавлением 10% сыворотки эмбрионов коров, 4 мкг/мл ФГА, 5 ед./мл ИЛ-2, 60 ед./мл линкомицина и 100 мкг/мл гентамицина в 50 мм3 пластиковых матрасах при 37°С с 5% СО2 в атмосфере. После 4 дней инкубации культуры в данных условиях производили замену питательной среды новой, аналогичной по составу, но уже не содержащую ФГА. Для этого клетки осаждали центрифугированием при 200g и разводили до посевной концентрации свежей питательной средой.
Анализ токсичности изучаемых соединений проводили на перевиваемой лимфобластоидной линии клеток человека МТ-4 или ФГА-стимулированных мононуклеарных клетках периферической крови человека (МКПК). О токсичности синтезированных препаратов судили по жизнеспособности клеток в присутствии тестируемых соединений в широком диапазоне концентраций, индексу пролиферации и по морфологии роста культуры. Схема эксперимента аналогична той, что приведена ниже для оценки антиВИЧ активности соединений, но без инфицирования клеток вирусом.
Исследование антиВИЧ активности вакцинных препаратов и их компонентов проводили по следующей схеме: раствор препарата в концентрациях от 0,1 до 200 мкг/мл (по три лунки на каждую концентрацию) вносили в клеточную культуру (МТ-4, МКПК), одновременно вносили вирус и инкубировали в течение 4-х суток. Множественность заражения составляла 0.2-1 инфекционных единицы на клетку. Культуры пермиссивных клеток инкубировали в течение 4 суток при температуре 37°С во влажной атмосфере 5% CO2. В качестве контролей служили ВИЧ-инфицированные клетки без добавления вакцинных препаратов и неинфицированные клетки.
АнтиВИЧ активность оценивали после окончании инкубации по снижению жизнеспособности культуры и по подавлению продукции вирусспецифического белка р24 ВИЧ-1. Долю жизнеспособных клеток учитывали методом исключения трипановым синим (Sigma, USA) или методом, основанном на редукции красителя МТТ (ICN, USA) с накоплением формазана в живых клетках. Количество вирусспецифического белка р24 в культуральной среде оценивали с помощью иммуноферментного анализа (тест-система “ВектоВИЧ-1 р24-антиген”, чувствительность 20×10-12 г/мл, производства ЗАО “Вектор-Бест”, Россия). На основе экспериментальных данных строили дозозависимые кривые и вычисляли концентрации препаратов, на 50% (ЕС50) и на 90% (ЕС90) защищающие инфицированные клетки от гибели; а также определяли концентрации препарата, на 50% (IC50) и на 90% (IC90) снижающие накопление вирусспецифического белка р24.
Для поиска ЕС50, ЕС90, IC50, IC90 строились графики зависимости доза-эффект, и по их линейным участкам вычислялись соответствующие концентрации и погрешности по формулам обратной регрессии (Н.Дрейпер, Г.Смит, “Прикладной регрессионный анализ”, М.: Финансы и статистика, 1986). Для каждого значения концентрации было проведено одновременно три различных измерения, нормальность распределения проверялась по критерию R/s, равенство дисперсий по критерию Кочрена. Сопоставление эффективности препаратов проводилось путем сравнения эффектов. При этом учитывалась ошибка воспроизводимости, оцененная по трем независимым повторам измерений.
Экспериментальные данные по антиВИЧ активности отдельных компонентов вакцинных препаратов на клетках МТ-4 со штаммом ВИЧ-1Z показали, что как пептидные фрагменты, так и полианионная матрица не оказывали существенного защитного действия на инфицированные ВИЧ-1 клетки. В то время как препарат аутологичной вакцины, в котором химерный пептид-имитатор ковалентно связан с матрицей, показал наибольшую антиВИЧ активность (как на штамме ВИЧ-1Z, так ВИЧ-1evk) среди сравниваемых соединений (полианионная матрица и смесь матрицы с химерным пептидом) во всем исследованном диапазоне концентраций.
В табл. 1 и 2 представлены результаты изучения противовирусной активности кандидатных соединений аутологичной вакцины с пептидом-имитатором химерного домена белка р17/18/55 ВИЧ-1/2 с белком клеточного рецептора CD4 и полианионной матрицей.
| Таблица 1 |
| Сравнительная антиВИЧ эффективность вакцины и ее компонентов на лимфоидных клетках МТ-4, инфицированных ВИЧ-1Z. |
| Препарат |
ЕС50, мкг/мл |
ЕС90, мкг/мл |
IC50, мкг/мл |
IC90, мкг/мл |
| Полианионная матрица |
50,0 |
70 |
60,0 |
100,0 |
| Матрица-норборнен |
2,9 |
8,1 |
3,8 |
9,5 |
| Матрица-химерный пептид |
1,8 |
7,1 |
1,6 |
12,0 |
| Матрица-норборнен-химерный пептид |
0,6 |
6,1 |
0,8 |
3,6 |
| Таблица 2 |
| Сравнительная антиВИЧ эффективность вакцины и ее компонентов на лимфоидных клетках МТ-4, инфицированных ВИЧ-1evk. |
| Препарат |
ЕС50, мкг/мл |
ЕС90, мкг/мл |
IC50, мкг/мл |
IC90, мкг/мл |
| Полианионная матрица |
8,0 |
70,0 |
70,0 |
>100 |
| Матрица-норборнен |
3,8 |
3,5 |
3,8 |
8,5 |
| Матрица-химерный пептид |
1,3 |
6,1 |
2,0 |
12,0 |
| Матрица-норборнен-химерный пептид |
1,2 |
2,5 |
0,8 |
7,8 |
Анализ антиВИЧ активности синтезированных комплексов (матрица-фармакофор; матрица-химерный пептид; матрица-фармакофор-химерный пептид), проведенный на клетках МТ-4, инфицированных ВИЧ-1Z, и ВИЧ-1evk показал их явное преимущество перед использованием монокомпонентной полианионной матрицы. Причем важно отметить, что антиВИЧ активность препарата матрица-норборнен (модификация матрицы фармакофором Норборненом) сразу же приводила к увеличению специфической антиВИЧ активности в несколько раз. Дополнительная модификация препарата матрицы химерным пептидом или их комплексом с Норборненом еще более повышала противовирусные потенции соединений (см. табл.1, 2). Причем активность комплексов возрастала по нарастающей в ряду: матрица-фармакофор, матрица-химерный пептид, матрица-фармакофор-химерный пептид.
Антителообразующую способность комплексного препарата аутологичной вакцины оценивали по способности индуцировать образование специфических антиВИЧ антител у беспородных белых мышей весом 20-22 г после трехкратного введения данного препарата в дозе 1 мг на 1 кг веса животного (подкожно во внутреннюю поверхность задней левой конечности) с двухнедельными интервалами после каждой инъекции. Кровь иммунизированных мышей получали по обычной методике из ретроорбитального синуса после легкого эфирного наркоза. При инкубации сыворотки в течение 10 мин при комнатной температуре, а затем 20 мин в холодильнике при температуре +4-8°С происходило образование сгустка, который отделяли от сыворотки крови, затем анализировали полученные образцы сыворотки в двукратных разведениях методом ИФА на наличие специфических антиВИЧ антител (тест-система “КомбиБест анти-ВИЧ-1,2 AT/AT”, ЗАО “Вектор-Бест”, Новосибирск). Разведение образца, в котором оптическая плотность (ОП) превышала значение ОП контроля в 2,1 раза, принимали за титр антител в данном образце. В результате исследований уровня специфических антител, индуцированного у экспериментальных животных, были получены данные с разбросом титров специфических антител, определенных в иммуноферментном анализе от 1:640 до 1:2560. Для оценки вируснейтрализующей активности образцы сывороток подвергали термоинактивации с целью удаления неспецифических ингибиторов при температуре 56°С в течение 60 мин, затем брали фиксированную дозу ВИЧ-1 и инкубировали с различными разведениями (от 1:10 до 1:80) образца сыворотки в течение 30 мин при комнатной температуре. Затем каждое разведение смеси опытных и контрольных образцов сыворотки, инкубированных с одинаковой аликвотой ВИЧ-1, вносили к пермиссивной культуре лимфобластоидных клеток МТ-4, рассеянных в пластиковые стерильные 96-луночные планшеты (Costar, Нидерланды) и инкубировали в течение последующих 4 суток при температуре 37°С во влажной атмосфере 5% СО2 с ежедневной микроскопией суспензии клеток под инвертированным микроскопом. После окончания срока инкубации оценивали жизнеспособность клеток по окраске клеток трипановым синим (общепринятой методикой) и наработку специфического р24 антигена ВИЧ-1 в культуральной среде методом ИФА. Результаты экспериментальной оценки полученных данных показали наличие вируснейтрализующей активности в опытных образцах сыворотки (разведения различных образцов от 1:20 до 1:80) и отсутствие в них вирусспецифического антигена р24 ВИЧ-1 и гибели клеток в процессе сокультивирования с клетками МТ-4, в то время как в контрольных образцах сыворотки мышей, нейтрализующей антиВИЧ активности выявлено не было. В то время как в культуральной среде сокультивата пермессивных клеток МТ-4 с контрольными сыворотками определялся антиген р24 ВИЧ-1 в ИФА и отмечалась прогрессивная гибель клеток от ВИЧ-инфекции, в процессе их сокультивирования с данными образцами.
Таким образом, индукция специфических антиВИЧ антител у экспериментальных животных при парентеральном введении комплексных препаратов аутологичной вакцины, наличие у этих антител вируснейтрализующей активности и наличие более выраженного антиВИЧ эффекта при применении комплексных препаратов с включением ковалентно связанных химерных пептидов в отношении исследованных штаммов ВИЧ-1 позволяет сделать следующий вывод: компоненты, представляющие собой основные иммуногенные эпитопы белков р17/18/55 ВИЧ-1/2 и V1 CD4, обеспечивают эффективное ингибирование репродукции ВИЧ-1 и подавление взаимодействия вируса с клеточными рецепторами при адсорбции, что обеспечивает химиотерапевтическую эффективность патентуемых препаратов аутологичной терапевтической ВИЧ/СПИД вакцины.
Преимущества предлагаемого способа по сравнению с известным заключаются в том, что комплексные соединения, включающие в свой состав полианионную матрицу, модификатор Норборнен/Норборнан и пептид-имитатор химерного домена белка р17/18/5 5 ВИЧ-1/2 с белком клеточного рецептора CD4, обеспечивают доставку комплексного вакцинного препарата к месту развития инфекции ВИЧ-1/2 и подавлению специфической ВИЧ-инфекции за счет включения в структуру препарата, фармакофора модификатора и химерных пептидов, которые в сравнении с прототипами вызывают модификацию основных протективных антигенов ВИЧ-1/2 и индукцию специфического иммунного ответа, а также воздействуют на репродукцию ВИЧ в пермессивных клетках и оказывают выраженный противовирусный эффект на более широкий круг вирусов-мишеней, причем включая азидотимидин резистентные штаммы ВИЧ. Данный препарат, помимо химиотерапевтического действия на течение ВИЧ-инфекции, обеспечивает стимуляцию продукции цитокинов и клеток киллеров с модуляцией В-, Т-клеточного звена иммунитета и стимуляцией выработки специфических антител, обладающих нейтрализующими свойствами в отношении вируса иммунодефицита человека.
Формула изобретения
Комплексная аутологичная вакцина против ВИЧ-инфекции и СПИД, включающая полимерную матрицу и химически с ней связанный пептид, отличающаяся тем, что она дополнительно содержит фармакофор Норборнен, химически связанный с полимерной матрицей, в качестве полимерной матрицы вакцина содержит полианионную матрицу, в качестве пептида – пептид-имитатор химерного домена, представляющий собой пептидный фрагмент структурного белка р17/18/5 5 ВИЧ-1/2 с клеточным рецептором CD4, а полианионная матрица и химически связанные с ней фармакофор Норборнен и пептидный фрагмент имеют следующую формулу:

причем пептидный фрагмент химерного домена структурного белка р17/18/5 5 ВИЧ-1/2 с клеточным рецептором CD4 имеет следующую формулу аминокислотной последовательности:
KEAKDTKEALDKIEEEQNEQELLELDKWASLWN.
РИСУНКИ
|
|