Патент на изобретение №2306848
|
|||||||||||||||||||||||||||||||||||||||||||||||||||||||||||||||||||||||||||||||||||||||||||||||||||||||||||||||||||||||
(54) СПОСОБ ОПРЕДЕЛЕНИЯ ВЕРОЯТНОСТИ ФОРМИРОВАНИЯ ЭССЕНЦИАЛЬНОЙ АРТЕРИАЛЬНОЙ ГИПЕРТЕНЗИИ У ПОДРОСТКОВ
(57) Реферат:
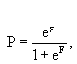
Изобретение относится к медицине и может быть использовано в педиатрии и кардиоревматологии. Определяют уровень триглицеридов (ТГ), уровень фактора Виллебранда (ФВ), вариабельность систолического артериального давления за сутки (STD САД), суточный индекс систолического артериального давления (СИ САД). Рассчитывают вероятность формирования артериальной гипертензии по формуле:
(56) (продолжение): CLASS=”b560m”эссенциальной артериальной гипертензии в детском возрасте. Бюллетень СО РАМН, №2 (108), 2003. JOLDA-MYDLOWSKA В et al. [Pulse pressure as a prognostic indicator of organ damage in patients with essential hypertension]. Pol Arch Med Wewn. 2004 May; 111(5):527-35, (реферат), [он-лайн], [найдено 31.10.2006], найдено из базы данных PubMed.
Изобретение относится к медицине и может быть использовано в педиатрии и кардиоревматологии. Известен способ прогнозирования возникновения эссенциальной артериальной гипертензии [1, 2], заключающийся в анализе частоты встречаемости маркеров неблагоприятного течения эссенциальной артериальной гипертензии в детском возрасте: отягощенная наследственность по гипертонической болезни, величина артериального давления в дебюте заболевания, гиперурикемия, недостаточное (избыточное) вегетативное обеспечение с гипердиастолическим вариантом. Недостатком данного способа является то, что он не позволяет спрогнозировать последствия повышенного артериального давления у подростков и своевременно применить гипотензивную терапию. Адекватного прототипа не обнаружено. Из данных литературы [1, 3, 4, 5,] и наших наблюдений известна группа показателей, которые достоверно влияют на формирование эссенциальной артериальной гипертензии и возникновение поражения органов-мишеней. Цель – повышение чувствительности и специфичности способа. Поставленная цель достигается техническим решением, представляющем собой способ определения вероятности формирования эссенциальной артериальной гипертензии у подростков путем анализа наиболее значимых факторов неблагоприятного течения эссенциальной артериальной гипертензии: уровня триглицеридов (ТГ), уровня фактора Виллебранда (ФВ), вариабельность систолического артериального давления (САД) за сутки по данным его стандартного отклонения (STD), суточный индекс (СИ) систолического артериального давления и определение вероятности формирования эссенциальной артериальной гипертензии по формуле
где р – вероятность формирования эссенциальной артериальной гипертензии; е – (основание натурального логарифма) = 2,718; F – разделяющая функция, которую определяют по формуле: F=-8,3565+(2,4617*ТГ)+(0,0210*ФВ)+(0,4824*STD САД)+(-0,2762*СИ САД), где ТГ – уровень триглицеридов, ФВ – уровень фактора Виллебранда, STD САД – стандартное отклонение систолического артериального давления за сутки, СИ САД – суточный индекс систолического артериального давления. При р более 0,5 вероятность развития эссенциальной артериальной гипертензии считают высокой, а при р менее или равно 0,5 вероятность развития эссенциальной артериальной гипертензии считают низкой. Новым в предлагаемом изобретении является анализ наиболее значимых факторов, влияющих на возникновение эссенциальной артериальной гипертензии, определение вероятности формирования эссенциальной артериальной гипертензии у подростков по формуле
и значения: р более 0,5, вероятность развития эссенциальной артериальной гипертензии высокая; р менее или равно 0,5 вероятность развития эссенциальной артериальной гипертензии низкая. Сведения о распространенности повышенного артериального давления у детей и подростков весьма разноречивы и колеблются от 4,8 до 14,3%, причем половина детей имеет бессимптомное течение. Большинство исследователей признают наличие так называемого трекинга артериального давления, то есть сохранение его уровня в последующие годы. В 33-42% случаев артериальное давление остается на прежнем уровне, а в 17-26% артериальная гипертензия носит прогрессирующий характер. Таким образом, у каждого третьего ребенка, имеющего подъем артериального давления, в последующем возможно формирование гипертонической болезни. Эти наблюдения могут служить достаточным обоснованием к ранней диагностике и проведению профилактики эссенциальной артериальной гипертензии посредством вмешательства в раннем возрасте. Отсутствие четких диагностических критериев, позволяющих обнаружить эссенциальную артериальную гипертензию у подростков, сложность дифференциальной диагностики нейроциркуляторной дистонии по гипертоническому типу с эссенциальной артериальной гипертензией, которой часто сопутствует вегетативная дисфункция, показывают насколько важно выделить в группе подростков и лиц молодого возраста с повышенным артериальным давлением тех, у кого в дальнейшем возможно развитие эссенциальной артериальной гипертензии. Одним из важных вопросов, возникающих у практического врача, является вопрос о прогнозе течения эссенциальной артериальной гипертензии у подростков и риске развития гипертонической болезни. Прежде всего, на этот вопрос необходимо ответить с целью определения необходимости использования гипотензивных препаратов у того или иного пациента. Для идентификации группы пациентов с риском развития первичной гипертензии была сделана попытка выявить прогностические факторы. Для выявления значимых факторов неблагоприятного течения эссенциальной артериальной гипертензии на фоне немедикаментозной терапии нами был использован метод пошаговой логистической регрессии, который позволил выявить факторы, сопутствующие неблагоприятному течению эссенциальной артериальной гипертензии и рассчитать соотношение шагов для каждого из этих факторов. Исходно для создания модели была взята группа показателей, которые по данным наших наблюдений и данным литературы достоверно влияют на течение эссенциальной артериальной гипертензии и возникновение поражений органов-мишеней. Нами были выбраны следующие показатели: 1. Наследственная отягощенность по гипертонической болезни в семье пробанда. 2. Вариабельность систолического артериального давления. 3. Утренний подъем систолического артериального давления. 4. Суточный индекс систолического артериального давления. 5. Масса миокарда левого желудочка и индекс массы миокарда левого желудочка. 6. Уровень кортизола в сыворотки крови. 7. Уровень мочевой кислоты в сыворотке крови. 8. Показатели липидного спектра: уровень общего холестерина и триглицеридов. 9. Тип гемодинамики. 10. Катехоламины мочи. 11. Фактор Виллебранда. 12. Толерантность к физической нагрузке В ходе динамического наблюдения на фоне терапии без использования гипотензивных препаратов пациенты были разделены на группы. В качестве критерия разделения использовался признак регрессивного или прогрессивного течения заболевания. Обучающая выборка представлена: 1 группа – подростки с неблагоприятным, прогрессирующим течением нейроциркуляторной дистонии по гипертоническому типу, у которых через 6 месяцев применения немедикаментозных методов развилась эссенциальная артериальная гипертензия (27 человек). 2 группа – лица с нормализацией артериального давления на фоне шестимесячной немедикаментозной терапии (26 человек). Группа 2 выбрана в качестве референтной. Результаты логистической регрессии представлены в табл.1.
В результате проведенного анализа была определена разделяющая функция. В нее вошло 4 показателя: уровень триглицеридов, фактора Виллебранда, вариабельность систолического артериального давления за сутки, которая определялась по стандартному отклонению, и величина суточного индекса систолического артериального давления. Параметры разделяющей функции представлены в табл.2.
Таблица 2.1
При повышении уровня триглицеридов на 1 ммоль/л риск развития эссенциальной артериальной гипертензии увеличивается в 11,7 раза (табл.2.1 и 2.2). Повышение содержания фактора Виллебранда на 1% влечет повышение риска развития эссенциальной артериальной гипертензии на 2%, учитывая широкий диапазон этого фактора (50-100%), повышение даже на 10% увеличивает риск заболевания на 20%. Повышенная вариабельность систолического артериального давления является независимым фактором риска поражения органов мишеней. Согласно нашей модели повышение вариабельности систолического артериального давления за сутки на 1 мм рт. ст. увеличивает риск неблагоприятного течения эссенциальной артериальной гипертензии на 62%. В свою очередь, снижение суточного индекса систолического артериального давления на 1% влечет за собой увеличение риска на 76%. Для прогнозирования формирования заболевания, учитывая все факторы риска, была сделана попытка построить модель прогноза течения эссенциальной артериальной гипертензии у подростков на фоне использования только немедикаментозных методов коррекции. Формула F=-8,3565+(2,4617*ТГ)+(0,0210*ФВ)+(0,4824*STD САД)+(-0,2762*СИ САД) Тогда вероятность формирования эссенциальной артериальной гипертензии на фоне немедикаментозных методов коррекции будет равна
то есть если р более 0,5, велика вероятность развития эссенциальной артериальной гипертензии, и наоборот, если р менее или равно 0,5, вероятность развития эссенциальной артериальной гипертензии невелика, вероятно эссенциальная артериальная гипертензия будет носить регрессирующий характер. Чувствительность метода составила 92,3% а специфичность 82,3%. Заявляемые существенные признаки проявили в совокупности новые свойства, не являющиеся очевидными для специалиста и не вытекающие явным образом из уровня техники в данной области. Идентичной совокупности признаков не обнаружено при исследовании уровня техники по патентной и научно-медицинской литературе. Предлагаемое изобретение может быть широко использовано в практическом здравоохранении. Исходя из вышеизложенного, следует считать заявленное техническое решение соответствующим критериям: «Новизна», «Изобретательский уровень», «Промышленная применимость». Изобретение будет понятно из следующего описания примеров: Пример №1 Больной Л. Артем, 17 лет, поступил с жалобами на периодические подъемы артериального давления, головные боли на фоне физической нагрузки. После проведения комплексного обследования поставлен диагноз: Нейроциркуляторная астения Лабильная артериальная гипертензия. ТГ – 1,26 ммоль/л ФВ – 144% STD САД 12,1 мм рт. ст. СИ САД 10,6% Прогнозирование течения заболевания F=-8,3565+(2,4617*1,26)+(0,0210*144)+(0,4824*12,1)+(-0,2762*10,6)=0,6785
P=0,66 – вероятность развития эссенциальной артериальной гипертензии высокая. Через 6 месяцев проведения немедикаментозной терапии при комплексном обследовании пациента, включая суточное мониторирование артериального давления, была диагностирована эссенциальная артериальная гипертензия и назначена гипотензивная терапия. Пример №2 Больной Т. Стас., 13 лет, поступил с жалобами на периодические подъемы артериального давления, сопровождающиеся слабостью, головокружением. После проведения комплексного обследования поставлен диагноз: Нейроциркуляторная астения. Лабильная артериальная гипертензия. ТГ – 1,3 ммоль/л ФВ – 62% STD САД 13,1 мм рт. ст. СИ САД 12,1% Прогнозирование течения заболевания: F=-8,3565+(2,4617*1,3)+(0,0210*62)+(0,4824*13,1)+(-0,2762*12,1)=-0,6844
Р=0,33 – вероятность развития эссенциальной артериальной гипертензии низкая. Через 6 месяцев проведения немедикаментозной терапии при комплексном обследовании пациента, включая суточное мониторирование артериального давления, было отмечено снижение средних цифр артериального давления в течение суток и снижение нагрузки систолическим артериальным давлением до допустимых значений (менее 25%). Пациенту была продолжена немедикаментозная терапия. Предлагаемый способ проверен на 30 больных, ранее не включенных в исследование. Взаимоотношения между результатами прогностического теста и реальным прогрессирующим или регрессирующим развитием артериальной гипертензии продемонстрированы в табл.3.
Таким образом, чувствительность метода составила 92,3,% а специфичность 82,3%. Предлагаемый способ позволяет повысить точность постановки диагноза эссенциальной артериальной гипертензии и своевременно назначить адекватную профилактическую терапию. Список литературы 1. Ровда Ю.И. Факторы риска и их значимость в развитии артериальной гипертензии у детей: Автореф. дисс…. д-ра мед. наук. – Кемерово, 1995. – 48 с. 2. Ровда Ю.И. Факторы риска и их значимость в развитии артериальной гипертензии у подростков (наблюдение в катамнезе) / Сибирский медицинский журнал. – 2005. – Т.20. – №4. – С.61-67. Формула изобретения
Способ определения вероятности формирования эссенциальной артериальной гипертензии у подростков, характеризующийся тем, что определяют уровень триглицеридов (ТГ), уровень фактора Виллебранда (ФВ), вариабельность систолического артериального давления за сутки (STD САД), суточный индекс систолического артериального давления (СИ САД) и рассчитывают вероятность формирования артериальной гипертензии по формуле
где р – вероятность формирования эссенциальной артериальной гипертензии, е – (основание натурального логарифма) = 2,718, F – разделяющая функция, которую определяют по формуле F=-8,3565+(2,4617·ТГ)+(0,0210·ФВ)+(0,4824·STD САД)+(-0,2762·СИ САД) и при р более 0,5 вероятность развития эссенциальной артериальной гипертензии считают высокой, а при р менее или равно 0,5 вероятность развития эссенциальной артериальной гипертензии считают низкой.
MM4A – Досрочное прекращение действия патента СССР или патента Российской Федерации на изобретение из-за неуплаты в установленный срок пошлины за поддержание патента в силе
Дата прекращения действия патента: 01.11.2007
Извещение опубликовано: 27.07.2009 БИ: 21/2009
|
|||||||||||||||||||||||||||||||||||||||||||||||||||||||||||||||||||||||||||||||||||||||||||||||||||||||||||||||||||||||

где р – вероятность формирования эссенциальной артериальной гипертензии, е (основание натурального логарифма) = 2,718, F – разделяющая функция. Разделяющую функцию определяют по формуле F=-8,3565+(2,4617*ТГ)+(0,0210*ФВ)+(0,4824*STD САД)+(-0,2762*СИ САД). При р более 0,5 вероятность развития эссенциальной артериальной гипертензии считают высокой, а при р менее или равно 0,5 вероятность развития эссенциальной артериальной гипертензии считают низкой. Способ позволяет повысить точность постановки диагноза эссенциальной артериальной гипертензии и своевременно назначить адекватную профилактическую терапию. 3 табл.
2
