|
(21), (22) Заявка: 2006118480/09, 29.05.2006
(24) Дата начала отсчета срока действия патента:
29.05.2006
(46) Опубликовано: 20.09.2007
(56) Список документов, цитированных в отчете о поиске:
Рентгенотехника. Справочник / Под ред. В.В.Клюева, кн. 2. – М.: Машиностроение, 1992. US 20040062429 A1, 01.04.2004. RU 2234859 C2, 27.08.2004. EP 0383269 A2, 22.08.1990.
Адрес для переписки:
197376, Санкт-Петербург, ул. Проф. Попова, 5, СПбГЭТУ, патентный отдел, Е.А. Ивановой
|
(72) Автор(ы):
Потрахов Николай Николаевич (RU), Грязнов Артем Юрьевич (RU)
(73) Патентообладатель(и):
Государственное образовательное учреждение высшего профессионального образования “Санкт-Петербургский государственный электротехнический университет “ЛЭТИ” им. В.И. Ульянова (Ленина)” (RU)
|
(54) СПОСОБ ОЦЕНКИ ИНФОРМАТИВНОСТИ РЕНТГЕНОВСКОГО СНИМКА
(57) Реферат:
Изобретение относится к рентгенотехнике и может быть использовано при оценке качества информативности рентгеновских снимков, получаемых, например, в медицинской диагностике. Технический результат заключается в повышении оценки информативности рентгеновского снимка. Способ основан на определении для исследуемой рентгенограммы характеризующего ее информационного индекса, показывающего количество содержащейся в ней информации, причем рентгеновский снимок оцифровывается путем разбиения его на элементарные участки – пиксели, и для каждого пикселя определяется значение, соответствующее его плотности почернения, а характеризующий рентгеновское изображение информационный индекс определяется по формуле:

где xmax и уmax – число пикселей в строках и столбцах соответственно, Iх,у – показатель плотности почернения пикселя с координатами х и у, а Смин – пороговое значение контраста, причем в случае выполнения условия неравенства для двух соседних пикселей на величину, превышающую Смин, к общему информационному индексу Q прибавляется единица, в противном случае – ноль. 4 ил.
Заявляемое изобретение относится к рентгенотехнике и может быть использовано при оценке качества и информативности рентгеновских снимков, получаемых, например, в медицинской диагностике.
Однако единственным требованием, предъявляемым к рентгеновскому снимку, является его информативность, под которой понимают количество полезной информации, полученной рентгенологом при анализе данного снимка. Информативность рентгенограммы может быть оценена при помощи субъективных (визуальных) и объективных (физических) характеристик.
К субъективной оценке, являющейся наиболее распространенным способом оценки качества рентгенограммы, относятся визуально определяемая полнота воспроизведения в изображении заданного набора деталей объекта исследования. Однако такой способ весьма зависим от особенностей восприятия наблюдателя, условий просмотра снимков и т.д., что является его существенным недостатком.
Объективная оценка производится или по пограничной кривой (распределению оптической плотности на границе изображения) или по частотно-контрастной характеристике системы преобразования изображения.
К настоящему времени известны способы оценки информативности снимка, цель которых – возможность охарактеризовать качество рентгеновского снимка одним числом, неким информационным индексом.
Суть указанного способа заключается в том, что если разрешающая способность фотоматериала, на котором зафиксирована рентгенограмма представлена числом N одинаковых ячеек, расположенных на единице площади рентгеновской пленки, а М – число различаемых системой регистрации уровней плотностей почернения или соответствующих им уровней яркостей, то количество информации, которое можно получить с единицы площади фотоматериала, или его информационная емкость определяется выражением (1)

Число различаемых уровней регистрации М обычно определяется линейным участком характеристической кривой, спроектированной на ось плотности почернения.
Согласно указанному способу в зависимости от типа рентгеновской пленки ее информационная емкость изменяется от 105 до 107 бит/см2. Информационная емкость рентгеновских пленок, находящихся в контакте с усиливающими экранами, обычно не превышает 103 бит/см2.
Поскольку указанный параметр, рассчитываемый с помощью способа-прототипа (информационная емкость) является, главным образом, характеристикой пленки, он не учитывает особенности съемки (контактная или с прямым увеличением), тип источника (микрофокусный или с протяженным фокусным пятном), характеристики объекта и пр. Иными словами, способ-прототип определяет потенциальное количество информации, которое может содержаться в снимке, но не позволяет определить, какое количество информации в нем реально содержится.
Техническим результатом, достигаемым при использовании заявляемого изобретения, является определение точного количества информации, находящейся в рентгеновском снимке.
Данный технический результат достигается за счет того, что в способе оценки информативности рентгеновского снимка, основанного на определении информационного индекса, рентгеновский снимок оцифровывается путем разбиения его на элементарные участки – пиксели, причем для каждого пикселя определяется значение, соответствующее его плотности почернения, а информационный индекс определяется по формуле

где xmax и ymax – число пикселей в строках и столбцах соответственно, Ix,y – показатель плотности почернения пикселя с координатами x и y, а Смин – пороговое значение контраста, причем в случае выполнения условия неравенства для двух соседних пикселей на величину, превышающую Смин, к общему информационному индексу Q прибавляется единица, в противном случае – ноль.
В основу способа положено понятие информативного участка визуализированного рентгеновского снимка, под которым подразумевается малый участок рентгенограммы, несущий информацию о структуре объекта исследования.
Предлагаемый способ оценки информативности рентгеновского снимка позволяет корректно и объективно сравнить рентгеновские снимки, полученные на разных аппаратах, и отличается от описанного прототипа тем, что определяемый информационный индекс (число) характеризует не потенциальное количество информации, содержащейся в снимке, а реально присутствующее количество информации.
Сущность заявляемого способа поясняется следующими фигурами:
на фиг.1 – визуализированный рентгеновский снимок (а)
и его «рельеф яркости» (б);
на фиг.2 – схема преобразования оптической плотности почернения;
на фиг.3 – панорамный дентальный рентгеновский снимок, полученный на ортопантомографе «ORTORALIX»
на фиг.4 – панорамный дентальный рентгеновский снимок, полученный на прицельно-панорамном аппарате «ПАРДУС»
Заявляемый способ реализуется следующим образом.
Анализируемый снимок разбивается на элементарные участки определенной формы, например квадратные. Размер стороны такого участка равен числу пикселей, приходящихся на размер самой малой детали объекта.
Для каждого участка можно определить его среднюю яркость, тогда визуализированный снимок может быть представлен в виде некоего «рельефа яркости» (фиг.1), соответствующего распределению интенсивности рентгеновского излучения (несущего информацию об объекте) в плоскости входного окна системы визуализации.
Схематично процесс преобразования оптической плотности почернения снимка в матрицу числовых значений представлен на фиг.2. При сканировании в соответствии с динамическим диапазоном сканера определяется самая светлая – «белая» и самая темная – «черная» точки изображения. Если диапазон оптических плотностей почернения оригинала превышает динамический диапазон сканера, то оптические плотности, выходящие за пределы динамического диапазона сканера, будут «отсечены» (области 1 и 2 на фиг.2). Весь интервал оптических плотностей сканера разбивается на элементарные ячейки в соответствии с оптическим разрешением сканера. Для каждой ячейки определяется значение оптической плотности, соответствующее одному из 256 градаций (для 8-битного сканера). Очевидно, что чем шире динамический диапазон и чем выше битовая разрядность представления сканера, тем более тонкие контрастные переходы в изображении сможет распознать сканер, хотя с учетом того, что на реальных рентгенограммах человеческий глаз в состоянии различать не менее чем 3-5% перепад контраста, 256 градаций 8-битного сканера обычно оказывается вполне достаточно.
При сканировании двух рентгенограмм для целей сравнительного анализа необходимо в обоих случаях использовать максимально возможные установки оптического разрешения и битовой глубины оцифровки. Для достижения идентичности сканирования необходимо производить оцифровку обеих рентгенограмм на одном и том же устройстве, в одних и тех же условиях.
Важно подготавливать оригиналы для сканирования таким образом, чтобы они не содержали артефактов и повреждений, в виде царапин, например, которые могут быть восприняты сканером как «белая точка», в результате чего разбиение на градации серого будет произведено не в соответствии с реальным диапазоном оптических плотностей снимка, а с учетом артефакта.
Для систем, позволяющих сразу получать оцифрованное рентгеновское изображение (рентгеновидиконов, рентгеночувствительных ПЗС-матриц и т.п.), разрешающая способность будет определяться числом пикселей на миллиметр изображения. Поскольку при анализе оцифрованного изображения (на мониторе) имеется возможность увеличивать его до любого размера (вплоть до того, что становятся видны границы отдельных пикселей) целесообразно считать размер единичного информативного участка равным одному пикселю.
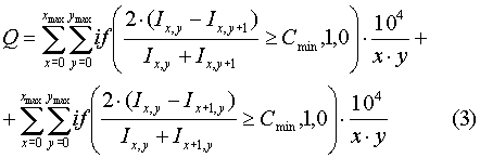
Суть заявляемого изобретения заключается в следующем. Яркость каждого участка сравнивается с яркостью соседнего участка по горизонтали и по вертикали. Если имеется два соседних информативных участка изображения (пикселя), удовлетворяющих условию

где I1 и I2 – соответственно плотности почернения (в диапазоне от 0 до 255 для 8-битного изображения), a Cmin – минимально воспринимаемый контраст (0.03 для реальных медицинских рентгенограмм), то информативность рентгенограммы повышается на условную единицу.
Сравнивая все соседние пиксели попарно между собой по вертикали и горизонтали, можно определить индекс, характеризующий данную рентгенограмму. Поскольку рентгенограммы (ввиду их размеров) могут иметь различное число пикселей, то целесообразно для сравнения различных рентгенограмм использовать приведенное значение индекса, например «число условных единиц на 104 пикселей (в квадрате 100×100 пикселей)».
Представленная формула (3) показывает реализацию описанных выше условий.

Здесь xmax и ymax – число пикселей в строке и столбце соответственно, Ix,y – плотность почернения пикселя с координатами x и y. При выполнении условия неравенства для двух соседних пикселей к общему информационному индексу Q прибавляется единица, в противном случае – ноль. Множитель , определяющий, сколько квадратов размером 100×100 пикселей содержится в анализируемой рентгенограмме, позволяет нормировать информационный индекс вне зависимости от размера рентгенограммы. Первое слагаемое формулы позволяет произвести сравнение соседних пикселей по горизонтали, второе – по вертикали.
Таким образом, заявленный способ позволяет оценить каждую рентгенограмму неким индексом, однозначно характеризующим число информативных (различимых) участков на ней, что в отличие от известных способов позволяет объективно сравнивать рентгеновские снимки объектов, полученные на различных аппаратах при реализации различных рентгенооптических схем и режимов съемки без использования каких-либо специальных тест-объектов.
Пример реализации предлагаемого способа представлен ниже.
На фиг.3 и фиг.4 представлены два снимка – полученный на аппарате с протяженным фокусным пятном (0.7 мм в диаметре, фиг.3) и полученный на микрофокусном аппарате (менее 0.1 мм в диаметре, фиг.4).
Снимки отсканированы таким образом, что их разрешение составляет 1500×1000 пикселей притом, что исходный размер составлял 300 на 200 мм. Ввиду примерной одинаковости видимых размеров деталей на снимках возможно их корректное сравнение.
Проведенный по формуле (3) анализ дал следующие результаты: Q для снимка с протяженным фокусным пятном составляет 15, а Q для снимка на микрофокусном источнике составляет 530.
В соответствии с заявляемым способом было проведено сравнение 8 снимков, полученных на аппарате с протяженным фокусным пятном, и 7 – на микрофокусном источнике. Среднее значение Q для традиционных снимков составило 12,5 при разбросе значений от 9 до 26, среднее значение для микрофокусных снимков составило 462,4 при разбросе значений от 380 до 625.
Таким образом, практическая ценность предлагаемого способа заключается в том, что он позволяет объективно сравнивать медицинские рентгенограммы, полученные на различных аппаратах и по различным рентгенооптическим схемам, без применения каких-либо тест-объектов.
Формула изобретения
Способ оценки информативности рентгеновского снимка, основанный на определении для исследуемой рентгенограммы характеризующего ее информационного индекса, показывающего количество содержащейся в ней информации, отличающийся тем, что рентгеновский снимок оцифровывается путем разбиения его на элементарные участки – пиксели, причем для каждого пикселя определяется значение, соответствующее его плотности почернения, а характеризующий рентгеновское изображение информационный индекс определяется по формуле

где xmax и ymax – число пикселей в строках и столбцах соответственно, Iх,у – показатель плотности почернения пикселя с координатами х и у, а Сmin – пороговое значение контраста, причем в случае выполнения условия неравенства для двух соседних пикселей на величину, превышающую Сmin, к общему информационному индексу Q прибавляется единица, в противном случае – ноль.
РИСУНКИ
QB4A – Регистрация лицензионного договора на использование изобретения
Лицензиар(ы): Государственное образовательное учреждение высшего профессионального образования “Санкт-Петербургский государственный электротехнический университет “ЛЭТИ” им. В.И. Ульянова (Ленина)”
Вид лицензии*: ИЛ
Лицензиат(ы): Закрытое акционерное общество “ЭЛТЕХ-мед”
Договор № РД0044363 зарегистрирован 09.12.2008
Извещение опубликовано: 20.01.2009 БИ: 02/2009
* ИЛ – исключительная лицензия НИЛ – неисключительная лицензия
|