|
|
(21), (22) Заявка: 2006118937/09, 31.05.2006
(24) Дата начала отсчета срока действия патента:
31.05.2006
(46) Опубликовано: 20.09.2007
(56) Список документов, цитированных в отчете о поиске:
RU 2178943 C1, 27.01.2002. SU 201501 A1, 03.11.1967. GB 2109960 A, 08.06.1983.
Адрес для переписки:
300034, г.Тула, ул. Революции, 35, кв.130, пат.пов. Г.М.Колебошину, рег.№ 855
|
(72) Автор(ы):
Тупиков Николай Григорьевич (RU), Тупиков Владимир Николаевич (RU), Разаренов Юрий Григорьевич (RU)
(73) Патентообладатель(и):
Общество с ограниченной ответственностью “Электроспецприбор” (RU)
|
(54) СТАБИЛИЗАТОР ПЕРЕМЕННОГО НАПРЯЖЕНИЯ
(57) Реферат:
Изобретение относится к области электротехники и может быть использовано для регулирования напряжения, в частности в точных, быстродействующих стабилизаторах переменного напряжения. Стабилизатор переменного напряжения включает входные и выходные выводы, трансформаторно-ключевой регулирующий орган, входы которого подключены к входным выводам, аналого-цифровой преобразователь, измерительный орган, вход которого подключен к выходным выводам, цифроаналоговый преобразователь и импульсный модулятор, включенный между выходами трансформаторно-ключевого регулирующего органа и выходными выводами, вход управления импульсного модулятора подключен к выходу цифроаналогового преобразователя, входы которого подключены к выходам второй группы выходов аналого-цифрового преобразователя, выходы первой группы выходов которого подключены к входам управления трансформаторно-ключевого регулирующего органа, вход аналого-цифрового преобразователя подключен к выходу измерительного органа. Технический результат – повышение точности. 4 з.п. ф-лы, 3 ил.
Изобретение относится к области электротехники и может быть использовано для регулирования напряжения, в частности в точных, быстродействующих стабилизаторах переменного напряжения.
Известен стабилизатор переменного напряжения, включающий входные и выходные выводы, трансформаторно-ключевой регулирующий орган, включенный между входными и выходными выводами, реверсивный счетчик, входы прямого и обратного счета которого подключены к соответствующим выходам формирователя сигналов рассогласования, вход которого подключен к выходному выводу, и дешифратор, выходы которого подключены к управляющим входам трансформаторно-ключевого регулирующего органа, а входы первой группы входов подключены к соответствующим выходам реверсивного счетчика, аналого-цифровой преобразователь, входы которого подключены к входным выводам стабилизатора, а выходы – к соответствующим входам второй группы входов дешифратора (свидетельство на полезную модель №15058, МПК Н02М 5/22, опубл. 10.09.2000 г., бюл. №25). Известный стабилизатор позволяет осуществлять стабилизацию напряжения в заданных пределах, работая в режиме переключения.
Однако регулирование напряжений с высокой точностью, то есть с малым шагом, сопровождается переключением соответствующих ключей с частотой, сравнимой с частотой регулируемого напряжения. Особенно это касается ключей, подключенных к младшим (низковольтным) выводам или отпайкам трансформатора, так как они, в основном, обеспечивают изменения напряжений малых величин. Близость частоты работы ключей к частоте регулируемого переменного напряжения снижает точность регулирования и может привести к положительной обратной связи в контуре регулирования и самовозбуждению, что ухудшает качество регулирования и стабилизации напряжения в целом.
Кроме того, для того чтобы уменьшить величину шага регулирования выходного напряжения необходимо ввести количество ключей и отводов, по меньшей мере, 2n, где n – относительная величина требуемого уменьшения шага регулирования. Увеличение количества ключей связано с возрастанием массогабаритных параметров стабилизатора в целом.
Задачей изобретения является повышение качества стабилизации напряжения за счет более плавного регулирования малых изменений выходного напряжения.
Техническим результатом является обеспечение регулирования малых изменений выходного напряжения на частоте, превышающей частоту стабилизируемого напряжения, а также повышение точности стабилизации без ухудшения массогабаритных параметров.
Указанный результат достигается тем, что в стабилизатор переменного напряжения, включающий входные и выходные выводы, трансформаторно-ключевой регулирующий орган, входы которого подключены к входным выводам, аналого-цифровой преобразователь, измерительный орган, входы которого подключены к выходным выводам, введены цифроаналоговый преобразователь и импульсный модулятор, включенный между выходами трансформаторно-ключевого регулирующего органа и выходными выводами, вход управления импульсного модулятора подключен к выходу цифроаналогового преобразователя, входы которого подключены к выходам второй группы выходов аналого-цифрового преобразователя, выходы первой группы выходов которого подключены к входам управления трансформаторно-ключевого регулирующего органа, вход аналого-цифрового преобразователя подключен к выходу измерительного органа.
Кроме того,
– трансформаторно-ключевой регулирующий орган включает трансформатор, первичная обмотка которого подключена к входам трансформаторно-ключевого регулирующего органа, а выводы вторичной, секционированной обмотки подключены к входным выводам соответствующих ключей коммутатора, выходные выводы которых объединены и подключены к соответствующему выходу трансформаторно-ключевого органа, при этом входы управления ключей являются входами управления трансформаторно-ключевого регулирующего органа,
– трансформатор трансформаторно-ключевого регулирующего органа выполнен в виде автотрансформатора,
– измерительный орган включает датчик напряжения, входы которого являются входами измерительного органа, а выход подключен к второму входу сумматора, первый вход которого подключен к источнику эталонного напряжения, выход сумматора является выходом измерительного органа,
– импульсный модулятор содержит задающий генератор, выход которого соединен с входами управления первого и второго ключей и через инвертор со входами управления третьего и четвертого ключей, при этом первый, второй, третий и четвертый ключи соединены по схеме моста, одной диагональю включенного между входами импульсного модулятора, а второй диагональю – к выводам первичной обмотки трансформатора импульсного модулятора, пятый, шестой, седьмой и восьмой ключи, соединенные по схеме моста, одной диагональю включенного между соответствующими входным и выходным выводами импульсного модулятора, а второй диагональю к выводам вторичной обмотки трансформатора импульсного модулятора, два управляемых фазовращателя входы которых подключены к второму и третьему выходам задающего генератора, соответственно, а выходы первого и второго управляемых фазовращателей подключены к входам управления пятого, шестого и седьмого, восьмого ключей, соответственно, входы управления управляемых фозовращателей объединены и подключены к входу управления импульсного модулятора.
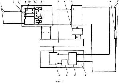
Изобретение поясняется с помощью чертежей, где на Фиг.1 показана структурная схема стабилизатора, на Фиг.2 – структурная схема импульсного модулятора, на Фиг.3 – эпюры напряжений, поясняющие работу импульсного модулятора.
Стабилизатор переменного напряжения включает входные 1 и выходные 2 выводы, трансформаторно-ключевой регулирующий орган 3, входы которого подключены к входным выводам стабилизатора, аналого-цифровой преобразователь 4, измерительный орган 5, входы которого подключены к выходным выводам стабилизатора, цифроаналоговый преобразователь 6 и импульсный модулятор 7, включенный между выходами трансформаторно-ключевого регулирующего органа и выходными выводами стабилизатора, вход управления импульсного модулятора подключен к выходу цифроаналогового преобразователя, входы которого подключены к входам второй группы выходов аналого-цифрового преобразователя, выходы первой группы выходов которого подключены к входам управления трансформаторно-ключевого регулирующего органа, вход аналого-цифрового преобразователя подключен к выходу измерительного органа.
Трансформаторно-ключевой регулирующий орган 3 включает трансформатор 8, выполненный в виде автотрансформатора, первичная 9 обмотка которого подключена к входам трансформаторно-ключевого регулирующего органа, а выводы 10 вторичной, секционированной обмотки подключены к входным выводам соответствующих ключей 11 коммутатора 12, выходные выводы которых подключены к соответствующему выходу трансформаторно-ключевого органа, при этом входы управления ключей являются входами управления трансформаторно-ключевого регулирующего органа.
Измерительный орган 5 включает датчик 13 напряжения, входы которого являются входами измерительного органа, а выход подключен к второму входу сумматора 14, первый вход которого подключен к источнику 15 эталонного напряжения, выход сумматора является выходом измерительного органа.
Импульсный модулятор 7 содержит задающий импульсный генератор 16, выход которого соединен с входами управления первого 17 и второго 18 ключей и через инвертор 19 – со входами управления третьего 20 и четвертого 21 ключей, при этом первый, 4 второй, третий и четвертый ключи соединены по схеме моста, одной диагональю включенного между входами импульсного модулятора, а вторым плечом – к выводам первичной обмотки трансформатора 22, пятый 23, шестой 24, седьмой 25 и восьмой 26 ключи, включенные по схеме моста, одной диагональю включенного между входным и выходным выводами импульсного модулятора, а второй диагональю – к выводам вторичной обмотки трансформатора 22. Два 27 и 28 управляемых фазовращателя, входы которых подключены к второму и третьему выходам задающего генератора, соответственно, а выходы первого и второго управляемых фазовращателей подключены к входам управления пятого, шестого и седьмого, восьмого ключей, соответственно, входы управления управляемых фазовращателей объединены и подключены к входу управления импульсного модулятора. На втором и третьем выходах задающего генератора формируются инверсные друг относительно друга сигналы, задержанные относительно сигнала на первом выходе задающего генератора на величину /2 (четверть периода импульсного сигнала задающего генератора).
Между выходными выводами подключена нагрузка 29.
Стабилизатор переменного напряжения работает следующим образом.
Входное переменное напряжение прикладывается между входными 1 выводами стабилизатора. Приложенное напряжение через трансформатор трансформаторно-ключевого регулирующего органа подается на ключи коммутатора. Управление ключами организовано так, что в любой момент времени открытым является только один ключ, а остальные ключи остаются закрытыми. Таким образом, на выход регулирующего органа подается напряжение с одного отвода секционированной вторичной обмотки трансформатора трансформаторно-ключевого регулирующего органа.
Сигнал рассогласования на выходе измерительного органа формируется на основании измерения выходного напряжения с помощью датчика и последующего суммирования с эталонным напряжением. На выходе сумматора формируется напряжение рассогласования между выходным напряжением на нагрузке и эталонным напряжением, к которому должно стремиться выходное напряжение.
В устоявшемся режиме, когда на выходе стабилизатора присутствует номинальное (заданное источником эталонного напряжения) напряжение, цифровой код, формируемый на выходе аналого-цифрового преобразователя, обеспечивает состояние ключевых элементов коммутатора, соответствующее номинальному напряжению на выходе стабилизатора.
При изменении выходного напряжения, например вследствие изменения сопротивления нагрузки, его значение сразу же определяется измерительным органом, в результате изменяется цифровой сигнал на выходах аналого-цифрового преобразователя, старшие разряды которого обеспечивают управление трансформаторно-ключевого регулирующего органа, а младшие – более точную регулировку посредством импульсного модулятора.
Грубая стабилизация в трансформаторно-ключевом регулирующем органе осуществляется путем подключения соответствующего отвода (отпайки) вторичной обмотки трансформатора с выходом трансформаторно-ключевого регулирующего органа.
Выходы младших разрядов аналого-цифрового преобразователя подключены через цифроаналоговый преобразователь к входам управления фазовращателей импульсного модулятора. Напряжение с выходов трансформаторно-ключевого регулирующего органа подается на входы импульсного модулятора и преобразуется в нем в напряжение более высокой частоты с помощью первого, второго, третьего и четвертого ключей, включенных мостовой схемой и выполняющих функцию перемножителя. При этом входное напряжение перемножается на импульсный сигнал, близкий к меандру с выхода задающего генератора Uy, определяющего значение частоты преобразования. Импульсный сигнал с выхода задающего генератора поступает на ключи первого моста и определяет цикл замыкания его ключей. Цикл замыкания ключей повторяется на любом периоде повышенной частоты преобразования и может быть условно представлен через порядковые номера соответствующих ключей следующим образом: 2,3-1,4. Первый, второй, третий и четвертый ключи попеременно соединяют с входами импульсного модулятора первичную обмотку трансформатора 22 в прямом и обратном направлениях, преобразуя тем самым входное напряжение Uc в напряжение повышенной частоты UT.
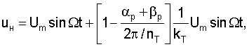
Второй мост, состоящий из пятого, шестого, седьмого и восьмого ключей, обеспечивает полупериодное выпрямление напряжения, и суммирование его с входным напряжением. При отсутствии входного напряжения форма выходного напряжения имеет вид эпюры Uмод. Напряжение на нагрузке будет зависеть от фазы импульсного сигнала с выходов управляемых фазовращателей Uфв1 и Uфв2. Так, например, режим максимальной добавки напряжения осуществляется при максимальном входном сигнале управления, когда разность фаз между импульсным сигналом задающего генератора и сигналов на выходах управляемых фазовращателей р=0 и р=0. При этом ключи второго моста замыкаются по циклу 5,8-6,7, а напряжение вторичной обмотки трансформатора все время включается согласно с входным напряжением, обеспечивая на нагрузке неискаженное напряжение

где kT= 1/ 2 – коэффициент трансформации трансформатора 22,
– частота стабилизируемого напряжения,
Um – амплитуда стабилизируемого напряжения.
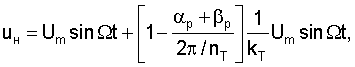
Режим регулируемой добавки обеспечивается таким изменением управляющего сигнала от максимального значения и ниже, когда углы регулирования p1 и p1 изменяются в пределах от 0 до четверти периода импульсного сигнала задающего генератора. В этом режиме ключи второго моста замыкаются по циклу 6,8-8,5-5,7-7,6-6,8, а на нагрузке формируется напряжение

где n= / – кратность дискретизации.
Режим неискаженной (прямой) передачи на нагрузку напряжения сети обеспечивается при углах регулирования p2 и p2, равных четверти периода напряжения частоты преобразования, при этом ключи второго моста замыкаются по циклу 6,8-5,7-6,8. Трансформатор в этом режиме работает на холостом ходу, так как его вторичная обмотка все время разомкнута, на нагрузке действует неискаженное напряжение uн2, равное напряжению с выхода трансформаторно-ключевого регулирующего органа:
u=Umsin t.
Дальнейшее уменьшение управляющего сигнала обеспечивает режим регулируемого уменьшения напряжения, углы регулирования p3 и p3 становятся больше четверти периода напряжения частоты преобразования, а ключи второго моста замыкаются по циклу 8,6-6,7-7,5-5,8-8,6. На нагрузке при этом формируется напряжение.

где n= / – кратность дискретизации.
При управляющем сигнале, имеющем некоторое минимальное значение, углы регулирования p и p равны 180°, ключи второго моста замыкаются по циклу 7,6-5,8 и напряжение вторичной обмотки трансформатора все время включается встречно с напряжением сети, а на нагрузке действует напряжение, равное их разности:

Импульсный модулятор обеспечивает две зоны регулирования, причем полный цикл регулирования в каждой зоне и переход из зоны в зону осуществляются плавно, без каких-либо логических операций, а однозначным изменением сигнала управления. Импульсный модулятор может быть использован в качестве ячейки для построения сложных структур.
Все узлы и элементы стабилизатора могут быть выполнены на стандартной элементной базе с использованием ИМС различных серий.
Учитывая, что наиболее частые изменения выходного напряжения стабилизатора, представляющие собой небольшие изменения напряжения, регулируются на частоте, значительно превышающей частоту стабилизируемого напряжения, а более крупные изменения, необходимость которых возникает значительно реже, осуществляются с помощью ключей коммутатора, предлагаемый стабилизатор переменного напряжения обеспечивает уменьшение влияния частоты изменения напряжения на качество стабилизации.
Таким образом, предлагаемый стабилизатор переменного напряжения имеет более высокое качество стабилизации напряжения за счет более плавного регулирования малых изменений выходного напряжения, так как обеспечивает регулирование малых изменений выходного напряжения на частоте, превышающей частоту стабилизируемого напряжения, а также обеспечивает повышение точности стабилизации без ухудшения массогабаритных параметров.
Формула изобретения
1. Стабилизатор переменного напряжения, включающий входные и выходные выводы, трансформаторно-ключевой регулирующий орган, входы которого подключены к входным выводам, аналого-цифровой преобразователь, измерительный орган, вход которого подключен к выходным выводам, отличающийся тем, что в него введены цифроаналоговый преобразователь и импульсный модулятор, включенный между выходами трансформаторно-ключевого регулирующего органа и выходными выводами, вход управления импульсного модулятора подключен к выходу цифроаналогового преобразователя, входы которого подключены к выходам второй группы выходов аналого-цифрового преобразователя, выходы первой группы выходов которого подключены к входам управления трансформаторно-ключевого регулирующего органа, а вход аналого-цифрового преобразователя подключен к выходу измерительного органа.
2. Стабилизатор переменного напряжения по п.1, отличающийся тем, что трансформаторно-ключевой регулирующий орган включает трансформатор, первичная обмотка которого подключена к входам трансформаторно-ключевого регулирующего органа, а выводы вторичной, секционированной обмотки подключены к входным выводам соответствующих ключей коммутатора, выходные выводы которых объединены и подключены к соответствующему выходу трансформаторно-ключевого органа, при этом входы управления ключей являются входами управления трансформаторно-ключевого регулирующего органа.
3. Стабилизатор переменного напряжения по п.2, отличающийся тем, что трансформатор трансформаторно-ключевого регулирующего органа выполнен в виде автотрансформатора.
4. Стабилизатор переменного напряжения по п.1, отличающийся тем, что измерительный орган включает датчик напряжения, входы которого являются входами измерительного органа, а выход подключен к второму входу сумматора, первый вход которого подключен к источнику эталонного напряжения, выход сумматора является выходом измерительного органа.
5. Стабилизатор переменного напряжения по п.1, отличающийся тем, что импульсный модулятор содержит задающий генератор, первый выход которого соединен с входами управления первого и второго ключей и через инвертор – с входами управления третьего и четвертого ключей, при этом первый, второй, третий и четвертый ключи соединены по схеме моста, одной диагональю включенного между входами импульсного модулятора, а второй диагональю – к выводам первичной обмотки трансформатора импульсного модулятора, пятый, шестой, седьмой и восьмой ключи, соединенные по схеме моста, одной диагональю включенного между соответствующими входным и выходным выводами импульсного модулятора, а второй диагональю – к выводам вторичной обмотки трансформатора импульсного модулятора, два управляемых фазовращателя, входы которых подключены к второму и третьему выходам задающего генератора соответственно, а выходы первого и второго управляемых фазовращателей подключены к входам управления пятого, шестого и седьмого, восьмого ключей соответственно, входы управления управляемых фозовращателей объединены и подключены к входу управления импульсного модулятора.
РИСУНКИ
MM4A – Досрочное прекращение действия патента СССР или патента Российской Федерации на изобретение из-за неуплаты в установленный срок пошлины за поддержание патента в силе
Дата прекращения действия патента: 01.06.2008
Извещение опубликовано: 20.06.2010 БИ: 17/2010
|
|