|
(21), (22) Заявка: 2006102824/09, 31.01.2006
(24) Дата начала отсчета срока действия патента:
31.01.2006
(46) Опубликовано: 20.09.2007
(56) Список документов, цитированных в отчете о поиске:
ПАВЛЮКОВ В.М., ЗАХАРОВ В.И. Индукторный тяговый электродвигатель для электропоезда. Параметры, особенности конструкции. Известия вузов. Электромеханика, 2000, №3, с.59. SU 425266 А, 27.09.1974. SU 743119 А, 25.06.1980. SU 547923 А, 03.06.1977. SU 1390711 А1, 23.04.1988. SU 1831749 A3, 30.07.1993. US 4782579 А, 08.11.1988. WO 2005022721 А1,
Адрес для переписки:
346413, Ростовская обл., г. Новочеркасск, ул. Машиностроителей, 3, ОАО ВЭлНИИ
|
(72) Автор(ы):
Долгошеев Эдуард Антонович (RU), Кравченко Александр Игнатьевич (RU), Федоренко Римма Ивановна (RU)
(73) Патентообладатель(и):
Открытое акционерное общество “Всероссийский научно-исследовательский и проектно-конструкторский институт электровозостроения” (ОАО “ВЭлНИИ”) (RU)
|
(54) КАТУШКА МАГНИТНОЙ СИСТЕМЫ СТАТОРА ЯВНОПОЛЮСНОЙ ЭЛЕКТРИЧЕСКОЙ МАШИНЫ
(57) Реферат:
Изобретение относится к области электротехники и электромашиностроения и касается особенностей конструктивного выполнения катушек явных полюсов прямоугольной формы статоров явнополюсной электрической машины. Сущность данного изобретения состоит в том, что в катушке магнитной системы статора явнополюсной электрической машины с полюсами прямоугольной формы, выполненной намоткой плоской шины прямоугольного сечения на узкое ребро и содержащей элементы корпусной и витковой изоляции с монолитным исполнением рабочей части катушки, согласно изобретению на лобовых частях катушки предусмотрены воздушные зазора между витками, клиновидно расширяющиеся в осевом направлении от торца магнитопровода полюса, в зазорах между витками в продольной плоскости симметрии катушки установлены дистанционные прокладки из твердого изолирующего материала с формой и размерами, соответствующими зазорам между витками в этой плоскости, и шириной значительно меньше ширины полюса, соединенные склеиванием с поверхностями смежных витков, пакет конструктивных элементов, состоящий из лобовых частей витков катушки и дистанционных прокладок между ними, скреплен в продольной плоскости симметрии катушки бандажом из прочного на растяжение неэлектропроводного материала, указанные прокладки выполнены ортогонально симметричной Н-образной формы с высотой перекладины, равной ширине шины, и с общей высотой, больше нее на удвоенный размер толщины бандажа, размещенного между образованными указанным способом выступами. Благодаря такой общей отличительной особенности все четыре стороны прямоугольного сечения каждого проводника в пределах лобовой части катушки образуют поверхности, непосредственно охлаждаемые продувочным воздухом или жидкостью, что соответствует схеме теоретически предельного использования наружной поверхности проводников для их охлаждения. Технический результат, достигаемый настоящим изобретением, состоит в повышении КПД электрической машины, в обеспечении увеличения плотности тока в обмотках, что ведет к улучшению массогабаритных характеристик электрической машины, в уменьшении температуры обмоток и тем самым увеличении срока службы изоляции, что позволяет применить изоляцию менее теплостойкую и поэтому более дешевую или технологически доступную. 7 з.п. ф-лы, 10 ил.
(56) (продолжение):
CLASS=”b560m”10.03.2005. АЛЕКСЕЕВ А.Е. Конструкция электрических машин. – М.-Л.: Госэнергоиздат, 1958, с.181, рис.5-36, с.341, рис.10-7, с.343, рис.10-10. АЛЕКСЕЕВ А.Е. Тяговые электродвигатели. – М.: Трансжелдориздат, 1951, с.232, фиг.3.85, б.
Изобретение относится к электромашиностроению и касается конструкции катушек полюсов прямоугольной формы статора явнополюсных электрических машин.
Данная разработка относится к конструкции полюсных катушек, выполненных намоткой плоской шины прямоугольного сечения на узкое ребро.
Известны катушки магнитной системы статора явнополюсной электрической машины с полюсами прямоугольной формы, выполненные беззазорной намоткой плоской шины прямоугольного сечения на узкое ребро. Применяются они широко. В частности, обширная область их применения – катушки полюсов магнитных систем статора коллекторных тяговых двигателей постоянного тока. Для их дополнительных полюсов такая конструкция катушек в течение многих десятилетий применяется практически всегда (Алексеев А.Е. Тяговые электродвигатели. М., Трансжелдориздат, 1951. Стр.232, фиг.3.85, б).
Главное достоинство катушек с намоткой из плоской шины на узкое ребро – теплотехническое: практически одинаковые условия охлаждения всех витков, вне зависимости от их количества, соотношения размеров сечения полюса и схемы охлаждения. Лишь у крайних витков теплоотвод несколько увеличен.
Конструкция таких катушек проста. Для узких длинных полюсов она имеет явные и крупные компоновочные и энергетические (в частности, по потерям при пульсации полей рассеяния) преимущества в сравнении с катушками, выполненными намоткой плоской шины на широкое ребро. Этим определяется массовое их применение на дополнительных полюсах тяговых двигателей: в настоящее время в моторах постоянного тока систем тягового электропривода электровозов и тепловозов работают сотни тысяч таких катушек.
Однако катушки, выполняемые беззазорной намоткой плоской шины прямоугольного сечения на узкое ребро, имеют важный конструктивно-технологический недостаток. При нестесненном изгибе шины ее толщина увеличивается с внутренней стороны витка на всей длине изгиба и уменьшается с наружной стороны. Из-за этого для обеспечения компактности катушки приходится принимать специальные меры (см., например, в указанной выше книге А.Е.Алексеева, стр.232), чтобы образующееся при гибке трапецеивидное сечение шин витков лобовой части катушки преобразовать по крайней мере в утолщенной части сечения до размера по толщине, равного таковому негнутой шины рабочей части витков. Это удорожает изделие. Не обеспечивается точное восстановление геометрии сечения шины по плоскостям соприкосновения витков, что ухудшает условия работы межвитковой изоляции. Но и при стесненном изгибе сохранить сечение изогнутого витка таким же, как у прямой шины, пока не удается.
Известны монолитные катушки рассматриваемого типа, в которых некоторое увеличение общего теплоотвода от катушки достигается за счет развития поверхности ее лобовых частей путем выполнения их в виде полуторов прямоугольного радиального сечения (см., например: Алексеев А.Е. Конструкция электрических машин. М.-Л., Госэнергоиздат, 1953. Стр.343, рис.10-10). Однако это увеличение теплоотвода не пропорционально соответствующему увеличению количества меди в катушке, так как при монолитной лобовой части соотношение тепловыделяющего объема и непосредственно охлаждаемой поверхности его элементов здесь изменяется только за счет появляющейся при этом открытой внутренней поверхности полутора.
В то же время полуторовое конструктивное исполнение лобовых частей монолитных катушек, намотанных плоской шиной с изгибом на узкое ребро, имеет две лишь ценные особенности:
а) наибольший из возможных для заданного тангенциального габарита катушки радиус гибки шины и соответственно наименьшее искажение профиля шины в изогнутой части;
б) благодаря отсутствию на лобовой части прямого участка контура витков значительно упрощается технология гибки (ср., например, с конструкцией полюса по рис.10.7 в указанной книге А.Е.Алексеева “Конструкция …”, стр.341).
Это стимулирует поиски путей улучшения теплотехнических качеств такой формы лобовых частей.
В частности, известно предложение увеличить непосредственно охлаждаемую поверхность полуторовой лобовой части катушки рассматриваемого типа выполнением чередующегося ряда ее витков выступающими в осевом направлении машины (Алексеев А.Е. Конструкция … (см. выше). Стр.181, рис.5-36). Усложнение технологии изготовления таких катушек нельзя оправдать конструктивно ограниченным (по условию сохранения монолитности) и поэтому незначительным увеличением поверхности охлаждения. Из-за этого указанный вариант развития охлаждаемой поверхности лобовых частей полуторового типа широкого применения не нашел. Катушки с полуторовыми лобовыми частями по-прежнему применяются преимущественно в их простейшем варианте – с монолитным гладким прямоугольным сечением тора.
Пример новейшего применения катушек с лобовыми частями простого полуторового типа (со всеми присущими им недостатками – см. выше) – в двигателе НТИ-350 системы РИД (Щербаков В.Г., Павлюков В.М., Захаров В.И. Индукторный тяговый электродвигатель для электропоезда. Параметры, особенности конструкции. Изв. вузов. Электромеханика, 2000, №3. Стр.58). Конструкция электромагнитной системы этого мотора тщательно отработана и может быть признана лучшей из аналогичных известных. Это, а также высокая оценка двигателя, данная в указанной работе, позволяет принять катушку его полюсов статора в качестве конструктивного прототипа заявляемого устройства.
Задача изобретения – обеспечение резкого увеличения теплоотвода от лобовых частей полуторового типа катушки полюса прямоугольной формы статора явнополюсного электрической машины, выполненной намоткой шины прямоугольного сечения на узкое ребро, путем развития простыми конструктивно-технологическими мерами их охлаждаемой поверхности. Одновременно благодаря высокой теплопроводности меди обеспечивается увеличение теплоотвода от проводников не только лобовой части катушки, но и ее рабочей части, т.е. в машине в целом.
Это позволяет (совместно или альтернативно):
а) увеличить плотность тока в обмотках и тем самым улучшить массогабаритные характеристики машины;
б) уменьшить температуру обмоток и тем самым
– увеличить срок службы изоляции,
– применить изоляцию менее теплостойкую и поэтому более дешевую или технологически доступную,
– повысить КПД машины.
Решение задачи изобретения достигается выполнением лобовой части полуторового типа катушки с зазорами между всеми витками, клиновидно расходящимися в осевом направлении от торца полюса магнитопровода, с обеспечением при необходимости стабильной формы лобовой части катушки дистанционными прокладками между витками, установленными в продольной плоскости симметрии катушки.
Благодаря такой общей отличительной особенности все четыре стороны прямоугольного сечения каждого проводника в пределах лобовой части катушки образуют непосредственно охлаждаемые продувочным воздухом или жидкостью поверхности, что соответствует схеме теоретически предельного использования наружной поверхности проводников для их охлаждения.
В соответствии с принятым в данной разработке и указанным выше общим принципом увеличения теплоотводящей поверхности лобовой части полуторового типа катушки магнитной системы статора явнополюсной электрической машины с полюсами прямоугольной формы, выполненной намоткой плоской шины прямоугольного сечения на узкое ребро, содержащей элементы корпусной и витковой изоляции с монолитным исполнением рабочей части катушки, поставленная задача практически решается тем, что:
а) на лобовых частях катушки предусмотрены воздушные зазоры между витками, клиновидно расширяющиеся в осевом направлении от торца магнитопровода полюса;
б) в зазорах между витками в продольной плоскости симметрии катушки установлены дистанционные прокладки из твердого изолирующего материала с формой и размерами, соответствующими зазорам между витками в этой плоскости, и шириной значительно меньше ширины полюса, соединенные склеиванием с поверхностями смежных витков;
в) пакет конструктивных элементов, состоящих из лобовых частей витков катушки и дистанционных прокладок между ними, скреплен в продольной плоскости симметрии катушки бандажом из прочного на растяжение неэлектропроводного материала;
г) указанные прокладки выполнены ортогонально симметричной Н-образной формы с высотой перекладины, равной ширине шины, и с общей высотой больше ее на удвоенный размер толщины бандажа, размещенного между образованными указанным способом выступами.
Приведенное общее определение заявляемого устройства допускает ряд полезных частных вариантов. Основные из них можно объединить в следующие группы:
а) по форме витков лобовых частей и скрепляющих витки дистанционных прокладок:
– витки лобовых частой выполнены плоскими, а дистанционные прокладки между ними имеют клиновидную форму;
– участки плоских витков лобовых частей, наиболее удаленные от магнитопровода, выполнены с отгибом относительно линий изгиба, перпендикулярных продольной плоскости симметрии катушки и пересекающих ее на расстояниях от наиболее удаленных от магнитопровода точек витков, не меньших ширины шины, и с углами изгиба, обеспечивающими взаимную параллельность всех образованных таким путем поверхностей указанных участков смежных витков, между которыми установлены плоские дистанционные прокладки;
б) по применению на шинах покрытии различного типа:
– катушка выполнена из неизолированной (голой или с неизоляционным защитным покрытием) шины с витковой изоляцией пластинками из изолирующего материала, размещенными между витками на длине их соприкосновения и соединенными с ними склеиванием;
– открытые поверхности голой шины после полной сборки катушки покрыты изоляционным или неизоляционным защитным покрытием (например, методом окунания);
– катушка выполнена из изолированной шины, изоляция которой на сторону при соединении с таковой смежного витка по электрической прочности в сумме эквивалентна витковой, с соединением витков между собой на длине их соприкосновения склеиванием;
в) по использованию внутримашинного пространства для применения согласно данной разработке предлагаемого расслоения лобовых частей катушки в двух базовых по компоновке вариантах:
– при одинаковом исполнении обеих лобовых частей катушки: с ограничением объемами кольцевых пространств, имеющих наружный диаметр поверхности спинки ярма магнитопровода статора и внутренний диаметр его поверхности расточки;
– при неодинаковом исполнении лобовых частей катушки: с ограничением объемами кольцевых пространств, имеющих у обеих лобовых частей одинаковый наружный диаметр поверхности спинки ярма магнитопровода статора, а внутренний диаметр указанных кольцевых пространств у лобовых частей различный: у одной из лобовых частей он равен диаметру расточки магнитопровода статора, у второй меньше наружного диаметра магнитопровода ротора.
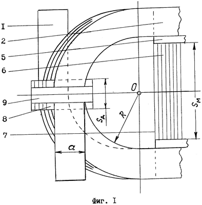
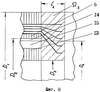
На фиг.1 показан общий вид лобовой части предлагаемой катушки в плане – вариант с отдельными конструктивными элементами витковой изоляции и скреплением плоских витков лобовых частей катушки бандажом с клиновидными дистанционными прокладками между витками;
на фиг.2 – то же, что на фиг.1, продольный разрез (условно – только по шинам);
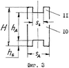
на фиг.3 – дистанционная прокладка между смежными витками в лобовых частях катушки (вид в плане);
на фиг.4 – то же, что на фиг.3, дистанционная прокладка клиновидная, вид в профиль;
на фиг.5 – продольный разрез (условно – только по шинам) лобовой части катушки, вариант с отдельными конструктивными элементами витковой изоляции и скреплением имеющих отгиб витков лобовых частей катушки бандажом с плоскими дистанционными прокладками между витками;
на фиг.6 – вид в плане лобовой части катушки, выполненной по фиг.5 в варианте с использованием внутреннего пространства полуторов лобовых частей для дополнительного увеличения сечения полюса ступенчатыми наращениями;
на фиг.7 – геометрические условия размещения катушки в машине с выполнением одной из лобовых частей при внутреннем габаритном ограничении по диаметру расточки магнитопровода статора, а второй – по диаметру меньше наружного диаметра магнитопровода ротора и радиально-симметричном расслоении; стрелкой V показано направление движения охлаждающего воздуха в межполюсных пазах реактивного ротора;
на фиг.8 – геометрические условия размещения лобовой части катушки при внутреннем габаритном ограничении по диаметру меньше наружного диаметра магнитопровода ротора и радиально-несимметричном расслоении (конструктивное исполнение с плоским наружным витком);
на фиг.9 – участки потери поверхности непосредственного охлаждения витков лобовой части катушки в зоне основного изгиба;
на фиг.10 – геометрические характеристики приближенного учета потерь поверхности непосредственного охлаждения.
Предлагаемая катушка выполнена в виде винтовой спирали, образованной непрерывной намоткой шины 1 прямоугольного сечения на узкое ребро (фиг.1) с зазорами между витками на прямолинейной рабочей части 2 катушки, монолитно заполненными витковой изоляцией 3, с клиновидно расширяющимися зазорами в лобовой части, образующими аксиально-тангенциальные каналы 4 для прохода охлаждающего воздуха, и с корпусной изоляцией 5 рабочей части 2 катушки (фиг.2). Показан компоновочный вариант, наиболее рациональный при большом (более 2) соотношении осевого и тангенциального размеров сечения полюса 6 магнитопровода статора, характерном для полюсов явнополюсных электрических машин с полюсами прямоугольной формы самого массового применения – тяговых электродвигателей (см. выше): с конструкцией лобовой части полуторового типа и с расположением центров О кривизны изгиба витков в непосредственной близости от торца 7 полюса 6.
Для обеспечения стабильности формы лобовой части катушки как пространственной механической системы,
а) в зазорах между витками в продольной плоскости симметрии катушки установлены дистанционные прокладки 8 (фиг.3 и 4) из твердого изолирующего материала (например, стеклотекстолита) с формой и размерами профиля, соответствующими зазорам между витками в этой плоскости, и шириной Sд значительно меньше ширины Sм полюса 6 магнитопровода статора (фиг.1), причем указанные дистанционные прокладки 8 соединены склеиванием с поверхностями смежных витков;
б) пакет конструктивных элементов, состоящий из лобовых частей витков катушки к дистанционных прокладок 8 между ними, дополнительно скреплен в продольной плоскости симметрии катушки бандажом 9 из прочного на растяжение неэлектропроводного материала, например, типа СВАМ (стекловолокнистый анизотропный материал);
в) указанные прокладки 8 выполнены ортогонально симметричной Н-образной в плане формы с высотой hд перекладины 10, равной ширине а шины 1, и с общей высотой Н больше ширины а шины 1 на удвоенный размер толщины hБ бандажа 9, размещенного между образованными указанным путем выступами 11; при этом для катушек с плоскими витками расслоенной лобовой части (фиг.1 и 2) прокладки 8 выполняются клиновидными (фиг.4) с углом клиновидности , равным углу расслоения p1 (фиг.2); при отгибе концевых частей витков (фиг.5) дистанционные прокладки 8 плоские ( =0).
В последнем случае наиболее удаленные от торца 7 полюса 6 магнитопровода статора участки плоских витков лобовых частей выполнены с отгибом относительно линий изгиба, перпендикулярных продольной плоскости симметрии катушки и пересекающих ее на расстояниях от наиболее удаленных от магнитопровода точек витков, не меньших ширины а шины 1, и с углами изгиба, обеспечивающими взаимную параллельность всех образованных таким путем поверхностей указанных участков смежных витков, что и создает возможность применения в этом узле плоских дистанционных прокладок 8.
Крупное и бесспорное преимущество такого конструктивного решения (в сравнении с вариантам при плоских витках лобовых частей катушки – фиг.1 и 2) в предельной простоте технологии получения здесь монолита, обусловленной ортогональным сопряжением входящих в узел деталей, особенно в случае, когда сопрягаемые поверхности витков параллельны плоскости катушки (фиг.5). Это гарантирует высокое качество изготовления узла и его надежность.
Кроме этого в сопоставимых условиях (в частности, при одинаковой радиальной габаритной толщине узла) угол расслоения здесь больше, чем аналогичный угол p1 в варианте с плоскими витками и угловыми прокладками 8. Соответственно увеличивается сечение межвитковых каналов 4 для прохода охлаждающего воздуха и теплоотвод в них от меди на воздух, что особенно ценно при многовитковых катушках.
Наконец, при необходимости максимального заполнения железом полюса, 6 внутреннего контура катушки это обычно достигается дополнением прямоугольного сечения полюса 6 в виде ступенчатых наращений 12, размещаемых во внутреннем пространстве полуторов лобовых частей (фиг.6). В этом случае выполнение лобовых частей катушки по фиг.5 обеспечивает наилучшее по использованию объема общее компоновочное решение лобовой части полюса 6 в целом.
Эти особенности могут оказаться важнее усложнения в этом случае технологии изготовления проводниковой части катушки: намотки с прогрессивно неодинаковым вылетом одинаковых лобовых частей витков и последующим также неодинаковым их дополнительным изгибом. Однако спец. оборудование для выполнения этих операций известно и несложно. Увеличение расхода меди (в сравнении с минимальным конструктивно необходимым при плоских витках) незначительно и теплотехнически небесполезно, так как при этом увеличивается в той же мере поверхность непосредственного охлаждения проводников лобовой части катушки.
Возможны, конечно, и конструктивные инверсии вариантов фиг.2 и фиг.5 продольного профиля лобовой части катушек предлагаемого типа, а именно:
а) с постоянным – при намотке – вылетом витков лобовой части (как в схеме фиг.2), но с отгибом аналогично исполнению фиг.5 и сборкой блока дистанционных прокладок 8 на плоских прокладках;
б) с переменным – при намотке – вылетом плоских витков лобовой части (как в схеме фиг.5), обеспечивающим постоянство расстояния от внутренней поверхности витков до торца полюса магнитопровода, но без последующего отгиба витков и сборкой блока дистанционных прокладок 3 на клиновидных прокладках (как в схеме фиг.2).
Поэтому обоснованный выбор формы расслоения лобовых частей катушек рассматриваемого типа может быть сделан лишь сравнительным анализом указанных вариантов при рабочем проектировании машины.
Расслоение лобовых частей полуторового типа катушек, выполненных намоткой полюсной шины на узкое ребро, может быть реализовано во внутримашинном пространстве при использовании его имеющих осевой размер l1 (фиг.7 и 8) торцевых составляющих – кольцевых пространств двух типов:
а) с наружным диаметром D1 поверхности спинки ярма магнитопровода статора и внутренним диаметром D2 его поверхности расточки (пространство 1);
б) с наружным диаметром D1 и внутренним диаметром D3 меньше наружного диаметра D4 магнитопровода ротора (пространство 2, фиг.7 и 3, фиг.8).
При этом очевидно, что по условиям установки ротора в машине пространство второго типа (D34) может служить ограничением для размещений в нем расслоенной лобовой части катушки только на одном торце машины и при длине активной части (магнитопровода) ротора l3 не более осевого размера l2 магнитопровода статора. Как правило, это реактивные машины.
В кольцевых пространствах указанного второго типа расслоение лобовых частей катушек может иметь две основные формы:
а) радиально-симметричную (пространство 2, фиг.7);
б) радиально-несимметричную (пространство 3, фиг.8).
В первом случае ограничением для симметричного развития расслоения является толщина спинки ярма магнитопровода статора (поверхность с диаметром D1 и соответствующая ей внутренняя – с диаметром D3). Во втором случае технически наиболее целесообразно выполнение с плоским, параллельным плоскости катушки, крайним с внешней стороны магнитопровода витком лобовой части и развитием расслоения только в сторону ротора, что ограничивается габаритной поверхностью конструкции этой части ротора на длине l1 (например, диаметром внутренней поверхности магнитопровода 13 ротора, как это показано на фиг.8).
Наиболее распространенная система воздушного охлаждения электрических машин обычного типа односторонним продувом имеет, как известно, крупный недостаток: это значительная разница температур лобовых частей катушек противоположных сторон статора. Со стороны выхода воздуха из активной части машины она в отдельных случаях может быть выше на десятки градусов.
Устранить эту разницу при только осевом общем движении охлаждающего воздуха через машину нельзя. Лимитирует же срок службы изоляции обмотки в целом по тепловому старению ее наиболее нагретая область (в данном случае лобовая часть обмотки статора со стороны выхода охлаждающего воздуха из машины или примыкающий к ней участок пазовой части), что и обусловливает большое недоиспользование работоспособности изоляции всей остальной части обмотки (включая пазовую зону) со стороны входа охлаждающего воздуха в машину.
При использовании кольцевых пространств второго типа в обеих рассматриваемых формах – 2 и 3 – воздух, проходящий в зазоре по расточке 14 и, главное, в межполюсных пазах 15 реактивного ротора (фиг.8) интенсивно обдувает лобовые части катушек на выходе. Этим создается практическая возможность снижения их температуры вплоть до выравнивания с температурой в аналогичных точках витков лобовых частей со стороны входа охлаждающего воздуха. При этом в недлинных машинах за счет большой теплопроводности меди температура катушек в их рабочей части также существенно снижается.
Полезность применения конструкции катушки согласно изобретению обеспечивается ее теплотехнической эффективностью и надежностью в работе как механической системы.
Работа катушки предлагаемой конструкции как теплотехнической системы определяется режимом токовой нагрузки и условиями охлаждения. Анализ показывает, что в катушках рассматриваемого типа замена монолитных лобовых частей расслоенными снижает температуру обмотки при любом режиме нагрузки и любых условиях охлаждения. Применение таких катушек особенно полезно, когда в топологии аэродинамической системы машины предусмотрены специальные элементы рационального обдува лобовых частей катушек. Примером могут служить реактивные машины с явнополюсным безобмоточным ротором. Но и в машинах других типов при их проектировании полезный эффект изобретения можно и необходимо использовать.
Определим критерии для оценки теплотехнической эффективности предлагаемого устройства и дадим ему оценку.
В расчетах нагревания катушек электрических машин давно и широко применяется оценка по удельной поверхности охлаждения

где A – общая расчетная поверхность охлаждения катушки, см2;
Po – мощность потерь в обмотке от рабочего тока, Вт;
Pд – дополнительные потери в проводниках катушки, Вт,
т.е. – охлаждающая поверхность в см2 на 1 Вт потерь (Курбатов С.И. Электрические машины постоянного тока. M.-Л., Гос. изд., 1928. Стр.406).
Однако критерий (1) содержит не только один из параметров конструкции катушки как теплотехнического объекта, но и энергетические параметры ее токовой нагрузки. Поэтому для оценки теплотехнических свойств собственно катушки как устройства он представляется несовершенным.
Более целесообразно, по-видимому, общую приближенную оценку теплотехнических свойств катушек электрических машин выполнять с использованием геометрического критерия по соотношению

где W – суммарный объем тепловыделяющих элементов катушки, см3.
При постоянной по контуру полюса площади сечения проводниковой группы катушки (или его участка) оценка, аналогичная критерию (2) (и численно одинаковая с ней – см. далее), может быть сделана по соотношению

где S – суммарный периметр поперечного сечения непосредственно охлаждаемых проводников или их монолитной группы;
F – их суммарная площадь поперечного сечения.
Сравним по этим критериям теплотехнические свойства предлагаемой катушки и прототипа.
Допустим, что монолитная катушка-прототип выполнена из шины прямоугольного сечения шириной а и толщиной b, намотана с радиусом R на узкое ребро (см. фиг.1 и 2) и содержат n витков.
Поверхность полутора лобовой части катушки
Aп= (a+2R)(a+h),
где h=bn – высота поперечного сечения проводниковой группы катушки;
(индексом “п” будем отмечать прототип, индексом “и” предлагаемую катушку);
объем лобовой части

критерий (2)

критерий (3)
п= п.
У предлагаемой согласно изобретению катушки
Aи = (a+2R)(a+b)n,

критерий (2)

критерий (3) (как и у прототипа)
и= и.
Это абсолютные оценки. Как это следует из выражений (4) и (6), они по физическому смыслу представляют собой отношения периметров сечений к их площадям:
для прототипа – отношение периметра общего монолитного сечения проводниковой группы катушки к его площади (ф-ла (4));
для предлагаемого конструктивного решения – отношение периметра сечения отдельного проводника (шины) к его площади (ф-ла (6)).
Одинаковые формулы для расчета по суммарной площади сечения проводниковой группа лобовой части катушки (ф-ла (2)) и ее тепловыделяющему объему (ф-ла (3)) указывают на возможность условно считать сухарную площадь токопроводящего сечения катушки оценочным эквивалентом ее тепловыделяющего объема.
Для сопоставления теплотехнической эффективности предлагаемой катушки и прототипа введем сравнительную оценку

и предварительно исследуем ее информативность как функции вида E(n). При этом отметим: в обоих сравниваемых вариантах катушек прототипа и предлагаемой (“расслоенного” прототипа) – объем тепло выделяющих элементов одинаков (Vи=Vп – см. выше). Поэтому указанное сравнение можно вести непосредственно по соотношению поверхностей охлаждения Aи и Aп, что определяет тот же критерий (7).
Заметим, прежде всего, что элементы дроби (7) – это полусумма периметров шин проводниковой группы и полупериметр монолитного сечения. При одинаковом суммарном сечении проводников сравниваемых групп соотношение (7) имеет ясный физический смысл: с увеличением числа витков в катушке n теплотехническая эффективность рассматриваемой лобовой части катушки, выполненной согласно изобретению, возрастает:
при n=1 сравниваемые технические решения равноценны,

при n>1 оценка Е(n)>1.
Этот же вывод дает и формальный анализ зависимости (7):

так как все величины входящие в эту формулу, не отрицательны. Однако интенсивность этой зависимости

с ростом n угасает, а функция (7) асимптотически приближается к предельному значению

В известных конструкциях электрических машин 5 n 25. Как показывают расчеты, при этих значениях n предлагаемое техническое решение полезно всегда.
Приведем числовые примеры.
1. а=3,0 см; b=0,5 см; n=9 (реальная конструкция катушки с “толстой” – а/b=6<10 – шиной). По формуле (7)

асимптотическое значение функции Е(n) для указанных размеров сечения шины (ф-ла (8))

т.е. в данной катушке возможности увеличения теплоотвода при увеличении числа витков использованы немногим более чем наполовину: коэффициент использования асимптотического предела

2. а=2,2 см; b=0,2 см; (шина “тонкая”: а/b=11>10); n=23 (катушка статора тягового двигателя-прототипа).

асимптота функции (6)

коэффициент использования асимптотического предела

Примечательно, что все полученные заключительные результаты этой части анализа не зависят от радиуса гибки шин на ребро R. Этот неожиданный, на первый взгляд, факт содержит в себе широкие возможности для конструктивно-технологического совершенствования предложенным путем катушек электрических машин рассматриваемого типа.
Но приведенные оценки неточны. Они получены без учета потерь поверхности непосредственного охлаждения в предлагаемой конструкции катушки, обусловленных применением блока дистанционных прокладок и соприкосновением витков в зоне изгиба у основания – главной конструктивной меры получения расслоенной лобовой части катушки.
Рассмотрим влияние указанных факторов.
А. Потери в блоке дистанционных прокладок складывается из потерь на каждом из крайних витков
Bк=a(SБ+Sд)+2bSБ,
а на каждом из средних
Bс=2aSд+bSБ;
это определяет общие потери в блоке
Вд=2Вк+(n-2)Вс
или в развернутом виде
Вд=2[(a+nb)SБ+a(n-1)Sд].
При больших n вычисление Вд может быть значительно упрощено применением формулы
Вд=2n(aSд+bSБ)
с абсолютной ошибкой
Вд=2a(Sд+SБ),
т.е., как показывают расчеты, весьма точно.
Рассмотрим функцию Вд(n) в удобной для анализа форме

где – относительный размер ширины канала в дистанционной прокладке под бандаж (фиг.3):

Соотношение

указывает на линейную зависимость потерь Вд от количества витков в катушке и определяет физический смысл граничных частных случаев:
=0; это – безбандажный блок дистанционных прокладок в катушке, выполняемый только склеиванием,

=1; конструктивный вариант с бандажом, размещаемым на наружной поверхности прокладок, не имеющих канала для боковой фиксации бандажа (hБ=0, фиг.3):

Оба указанных варианта по практически осуществимы в такой же степени, как и в общем случае 0< <1. Их выбор зависит от уровня совершенства имеющейся в производстве технологии монолита металло-полимерных конструкций.
Оценим потери Вд в катушке предлагаемого типа на базе параметров катушки-прототипа (см. выше числовой пример 2) и примем =0,6; Sд=2,0 см; R=4,0 см (это “крутая” катушка: =R/а<2; при больших относительные потери непосредственно охлаждаемой поверхности в зоне блока дистанционных прокладок значительно меньше).
По формуле (9)
Вд=2·2,0[2,2(23-1)+0,6(2,2+23·0,2)]=210 см2.
Поверхность расслоенного полутора лобовой части катушки (формула (5))
Аи= (2,2+2·4,0)(2,2+0,2)23=1770 см2.
Коэффициент потерь в блоке дистанционных прокладок

Б. Потери поверхности непосредственного охлаждения в зоне изгиба витков лобовой части катушки у их основания рассмотрим на основе примера – схемы фиг.9.
Это вариант использования внутримашинного пространства по схемам 1 (фиг.7) и 3 (фиг.8). Здесь принято: n=6; общий угол расслоения = /4; радиус изгиба опорной шины при расслоении минимальный: r=bг – как обычно для пластичных металлов; от этой же шины поведем и их координатный счет i в пакете, так что iмакс=n. Примем также, что здесь bг – это расчетная габаритная толщина шины, что соответствует толщине изолированной шины или голой, но с учетом выхода виткой изоляции в пространство лобовой части. Расслоение будем считать равномерным: межвитковые углы расслоения

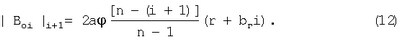
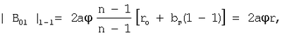
Выявленная на основе схемы фиг.9 общая закономерность распределения по виткам потери площади непосредственно охлаждаемой поверхности определяется для каждого витка Boi суммой площадей |Boi| зон его соприкосновения со смежными витками:

где |Вoi|i-1 – площадь соприкосновения i-витка с (i-1)-витком:

|Вoi|i+1 – то же, с (i+1)-витком:

Это определяет развернутую

или компактную, удобную для анализа и расчетов форму зависимости (10)

где b1 и b2 – не зависящие от номера витка i константы данной катушки:

Общие потери площади непосредственно охлаждаемой поверхности в рассматриваемой заявке

т.е., в частности, пропорциональны общему углу расслоения . Однако несмотря на уменьшение при этом общей поверхности непосредственного охлаждения лобовой части катушки – увеличение , как показывают расчеты, обусловливает рост теплоотдачи в ней в несравнимо большей мере, чем уменьшение теплоотвода указанным ростом потерь охлаждаемой поверхности в зоне основного изгиба витков. Поэтому при выборе угла потери Bo служить ограничением практически не могут.
При r=bг (см. выше принятые допущения) формула (14) окончательно упрощается:

где . В этом наиболее часто встречающемся случае

т.е. общие потери пропорциональны не только углу , но и расчетной толщине шины bг, что в сочетании с тривиальной пропорциональностью ширине шины a определяет указанную зависимость от площади расчетного сечения шины (a·bг) в целом.
Специфическая особенность рекуррентной связи (10) обусловливает фиктивное существование нулевого (i=0) витка с параметрами, аналогичными для реальных (i 1) витков: bго=r и ro=0. Такой виток определяет первое слагаемое формулы (10) для первого витка в виде нулевой составляющей (формула (11))

Это правильный, но искусственно полученный результат.
В общей структуре алгоритма (10)-(12) нулевой виток является симметричным логическим аналогом (n-1)-витка: это граничные элементы i-последовательности, за пределами которых исследуемое явление исчезает. Как следствие, подобны их вычислительные определения. Так, у первого витка

у предпоследнего (перед прямым), i=n-1,

т.е. при r=bг эти результаты тождественны:

В действительности таких потерь на первом витке нет. Однако, как показывают расчеты, вносимая этим погрешность при вычислении общих потерь здесь по формулам (15)-(17) невелика, а для многовитковых катушек – ничтожна (см. ниже) и ее можно не учитывать.
Дадим количественную оценку рассмотренных потерь в заделке шин полутора лобовой части на примере катушки-прототипа. Как и прежде, будем считать расслоение равномерным. Примем для расчета габаритную толщину шины bг=0,25 см > b=0,2 см (т.е. с учетом витковой изоляции – см. выше) и = /4 как в схеме фиг.9.
Расчет по формуле (17) определяет 
Общая площадь поверхности непосредственного охлаждения расслоенной катушки-прототипа без учета потерь Аи=1770 см2 (формула (5) и приведенный выше расчет по ней потерь Вд).
Коэффициент потерь в зоне изгиба витков полутора лобовой части катушки у их основания

Фиктивные потери на первом витке со стороны нулевого (формула (11) с поправкой на общее условие расчета r=bг)

что в сопоставлений с определяет относительную погрешность вычисления потерь в этой зоне по принятой методике

т.е. действительно ничтожную (см. выше).
Проверка на рассматриваемом числовом примере соотношения (18)

подтверждает его правильность.
Виток iм наибольшей потерей охлаждаемой поверхности B’ом определяется решением уравнения

откуда iм=11, и по формуле (16), для которой в данном случае


получаем:

Среднее значение потерь по виткам

В. Суммарные потери площади непосредственно охлаждаемой поверхности лобовой части катушки

их общая относительная величина

т.е. 20%. С учетом этих потерь теплотехническая эффективность расслоения лобовой части катушки-прототипа, оцениваемая критерием (7) и предварительно 9 в числовом примере 2, определяется соотношением

Этот результат, полученный подробным анализом геометрических характеристик охлаждаемых поверхностей лобовых частей полуторового типа катушки, выполненной намоткой шины прямоугольного сечения на узкое ребро, показывает: задача изобретения – обеспечение резкого увеличения теплоотвода здесь в предлагаемой катушке решена, и это решение достигнуто путем развития простыми конструктивно-технологическими мерами непосредственно охлаждаемой поверхности: угловым расслоением лобовых частей.
В ориентировочных практических расчетах результаты учета потерь В, близкие и точным, можно получить, вычисляя коэффициент общих потерь , (формула (20)) его приближенной формуле (числовые примеры далее на прежних данных)

где L – расчетная полная длина дуги плоской поверхности витков (фиг.10):

Lв – расчетная длина дуги общих потерь В:
Lв=Sд+2Sо=2,0+2·0,69=3,38,
So – длина дуги эквивалентного объема полутора лобовой части катушки, выключенного из непосредственного охлаждения у основания витков:

Без вычисления размер So можно определять по приближенной электрической формуле

где большие значения коэффициента ks следует брать для маловитковых (n<10) катушек. Так в для рассмотренного ранее числового примера с расслоенной катушкой-прототипом
(ср.: So=0,69 см);
для геометрической схемы фиг.9 (где bг=1,0 см)

(точное значение 0,86).
Приведенные примеры и другие расчеты показывают: ошибки

вычислений длины дуги So потерь В по формуле (23) несущественны.
Примечательно: все виды потерь В (формулы (11)-(17)) пропорциональны ширине шины а, однако So – одна из практически важных характеристик потерь В от а не зависит. Покажем это.
В принятом определении Sо (22) среднее значение потерь по виткам (формула (19))

где

(см. формулу (17). Но там

поэтому по формуле (22)

а функция в(i;n) величину а не содержит. Следовательно, So от а не зависит.
Высокая теплотехническая эффективность предлагаемой катушки, показанная приведенным выше теоретическим анализом, может быть практически полезной при условии ее гарантированно высокой надежности, как жесткой и прочной механической системы. Взятое само по себе расслоение лобовых частей полуторового типа катушки, намотанной на узкое ребро, это качество в сравнении с прототипом ухудшает. Поэтому рассмотрим работу такой системы более подробно.
Специфическую особенность работы лобовой части катушки как механической системы определяют два основных режима нагружения:
а) инерционными силами, порождаемыми вибрацией машины в целом;
б) внутренними электродинамическими силами взаимодействия витков, возникающими при действии в катушке установившихся и в особенности ударных токов переходных процессов КЗ в цепи катушки.
Лобовая часть предлагаемой катушки, как объект строительной механики – это регулярная серия свободных плоских арочных элементов, выполненных из стержня одинакового прямоугольного сечения, который по оси изгиба имеет ширину до 10 раз меньше его толщины. Геометрические характеристики сопротивляемости деформации изгиба по главным ортогональным осям такого сечения резко различны: по моментам сопротивления различие пропорционально отношению сторон, по моментам инерции – его квадрату. Так, для типичной шины 50×50 эти соотношения 10 и 100.
Минимальная жесткость элементов обмотки лобовой части катушки при деформации в плоскости симметрии обусловливает низкую частоту их свободных изгибных колебаний в ней, что порождает легко возбуждаемые резонансные явления при действии соответствующих составляющих инерционных сил. Это – известный источник усталостного разрушения консольных элементов обмоток в лобовых частях электрических машин.
Электродинамические межвитковые силы действуют здесь также в плоскости симметрии катушки. Они могут быть очень большими (см., например, Рюденберг Р. Переходные процессы в электроэнергетических системах, М., “Иностранная литература”, 1955, стр.150-159, 167-177) и вызывать остаточные деформации элементов обмотки (обычно выполняемых из пластичных материалов) до их соприкосновения, т.е. с образованием (при голой шине) вторичных очагов КЗ – уже в самой машине.
Наконец, у катушки с лобовыми частями полуторового типа, намотанной на узкое ребро из шины прямоугольного сечения (особенно “тонкой” – см. выше), освобожденные расслоением крайние в пакете витки могут быть деформированы при небрежном отношении к катушке в производстве, при хранении и ремонте.
Блок дистанционных прокладок, установленный в меридиональной плоскости симметрии предлагаемой катушки выполняет важнейшую функцию – обеспечение жесткости и прочности лобовой части катушки, расслоенной согласно изобретению на отдельные шины-проводники.
Связь дистанционными прокладками и бандажом всех шин-проводников лобовой части катушки в монолитный жесткий центральный узел коренным образом изменяет ее силовую схему, что резко улучшает частотные характеристики системы по механическим колебаниям и повышает ее несущую способность. Это определяет узел как неотделимый элемент заявляемого устройства, обеспечивающий его практическую работоспособность и надежность.
Формула изобретения
1. Катушка магнитной системы статора явнополюсной электрической машины с полюсами прямоугольной формы, выполненная намоткой плоской шины прямоугольного сечения на узкое ребро с конструкцией лобовых частей полуторового типа, содержащая элементы корпусной и витковой изоляции с монолитным исполнением рабочей части катушки, отличающаяся тем, что на лобовых частях имеет воздушные зазоры между витками, клиновидно расширяющиеся в осевом направлении от торца магнитопровода полюса, в зазорах между витками в продольной плоскости симметрии катушки установлены дистанционные прокладки из твердого изолирующего материала с формой и размерами профиля, соответствующими зазорам между витками в этой плоскости, и шириной значительно меньше ширины полюса, соединенные склеиванием с поверхностями смежных витков, пакет конструктивных элементов, состоящий из лобовых частей витков катушки и дистанционных прокладок между ними, скреплен в продольной плоскости симметрии катушки бандажом из прочного на растяжение неэлектропроводного материала, указанные прокладки выполнены ортогонально симметричной Н-образной в плане формы с высотой перекладины, равной ширине шины, и с общей высотой больше ее на удвоенный размер толщины бандажа, размещенного между образованными указанным способом выступами.
2. Катушка по п.1, отличающаяся тем, что витки лобовых частей выполнены плоскими, а дистанционные прокладки между ними имеют клиновидную форму.
3. Катушка по п.1, отличающаяся тем, что наиболее удаленные от торца полюса магнитопровода участки плоских витков лобовых частей выполнены с отгибом относительно линий изгиба, перпендикулярных продольной плоскости симметрии катушки и пересекающих ее на расстояниях от наиболее удаленных от магнитопровода точек витков, не меньших ширины шины, и с углами изгиба, обеспечивающими взаимную параллельность всех образованных таким путем поверхностей указанных участков смежных витков, между которыми установлены плоские дистанционные прокладки.
4. Катушка по п.1, отличающаяся тем, что выполнена из неизолированной (голой или с неизоляционным защитным покрытием) шины с витковой изоляцией пластинками из изолирующего материала, размещенными между витками на длине их соприкосновения и соединенными с ними склеиванием.
5. Катушка по п.4, отличающаяся тем, что открытые поверхности голой шины после полной сборки катушки покрыты изоляционным или неизоляционным защитным покрытием.
6. Катушка по п.1, отличающаяся тем, что выполнена из изолированной шины, изоляция которой на сторону при соединении с таковой смежного витка по электрической прочности в сумме эквивалентна витковой, с соединением витков между собой на длине их соприкосновения склеиванием.
7. Катушка по п.1, отличающаяся тем, что расслоение ее лобовых частей выполнено с ограничением объемами кольцевых пространств, имеющих наружный диаметр поверхности спинки ярма магнитопровода статора и внутренний диаметр его поверхности расточки.
8. Катушка по п.1, отличающаяся тем, что расслоение ее лобовых частей выполнено с ограничением объемами кольцевых пространств, имеющих у обеих лобовых частей наружный диаметр поверхности спинки ярма магнитопровода статора, а внутренний диаметр указанных кольцевых пространств у одной из лобовых частей равен диаметру расточки магнитопровода статора, у второй меньше наружного диаметра магнитопровода ротора.
РИСУНКИ
MM4A – Досрочное прекращение действия патента СССР или патента Российской Федерации на изобретение из-за неуплаты в установленный срок пошлины за поддержание патента в силе
Дата прекращения действия патента: 01.02.2008
Извещение опубликовано: 20.10.2009 БИ: 29/2009
|