|
(21), (22) Заявка: 2005134997/28, 11.11.2005
(24) Дата начала отсчета срока действия патента:
11.11.2005
(46) Опубликовано: 20.09.2007
(56) Список документов, цитированных в отчете о поиске:
Проектирование зенитных управляемых ракет. Учебник. И.И.Архангельский, П.П.Афанасьев, Е.Г.Болотов и др. /Под ред. И.С.Голубева и В.Г.Светлова. – М.: Изд-во МАИ, 1999, 728 с. RU 2167794 С1 27.05.2001. RU 2135974 С1 27.08.1999. RU 93005762 А 27.11.1996. Основы физики. Учеб. для вузов, в 2 т. Н.П.Калашников, М.А.Смондырев, 2-е изд., перераб. – М.: Дрофа, 2003, т.1. 400 с.
Адрес для переписки:
109074, Москва, Китайгородский пр-д, 9/5, Военная академия Ракетных войск стратегического назначения им. Петра Великого
|
(72) Автор(ы):
Щепетильников Сергей Ростиславович (RU), Овчинников Максим Викторович (RU)
(73) Патентообладатель(и):
Военная академия Ракетных войск стратегического назначения им. Петра Великого (RU)
|
(54) СПОСОБ ФОРМИРОВАНИЯ СПИРАЛЕВИДНОГО ДВИЖЕНИЯ ПЛАНИРУЮЩЕГО ЛЕТАТЕЛЬНОГО АППАРАТА ОТНОСИТЕЛЬНО ОПОРНОЙ ТРАЕКТОРИИ
(57) Реферат:
Изобретение относится к управлению летательными аппаратами и может быть использовано для решения задач маневрирования на заданной траектории движения. Способ заключается в осуществлении маневра, включающего трехэтапные синусоидальные силовые воздействия на аппарат в вертикальной и горизонтальной плоскостях, с различием по фазе на /2. При этом на каждом этапе задается свое значение коэффициента передачи управляющего воздействия. Технический результат заключается в формировании маневра с возвратом на опорную траекторию после прекращения маневра. 2 ил.
Изобретение относится к управлению летательных аппаратов (ЛА) и может быть использовано для решения задач маневрирования, при этом не отклоняясь от опорной траектории. Этот способ реализует маневр типа пространственная бочка (далее для краткости «спираль»), при котором ЛА создает в вертикальной и горизонтальной плоскостях ускорения, меняющиеся по гармоническому закону и сдвинутые друг относительно друга на 90 градусов.
Известен способ формирования маневра [1], согласно которому ЛА на околозвуковой скорости способны выполнять «спираль» с перегрузками 5-6 единиц и периодом порядка 4 с, и более интенсивно – беспилотные ЛА, например противорадиолокационные ракеты, при числе Маха три выполняют «спираль» с перегрузками до 20 единиц и периодом 2…3 с.
Недостатком наиболее близкого по своей сущности способа формирования маневра является то, что его осуществление приводит к невыходу на опорную траекторию ЛА при прекращении маневрирования.
Требуемый технический результат – способ формирования маневра с заданными алгоритмом и периодом и возвращением на опорную траекторию при прекращении маневрирования.
Требуемый технический результат достигается осуществлением маневра за счет трехэтапных синусоидальных силовых воздействий на аппарат в вертикальной и горизонтальной плоскостях, причем на каждом из трех этапов задается свое значение коэффициента передачи управляющего воздействия. Значения коэффициентов передачи для каждого из этапов являются особенностью данного изобретения.
На Фигуре 1 представлена циклограмма формирования маневра типа змейка в вертикальном и горизонтальном каналах. На Фигуре 2 для произвольного варианта исходных данных изображен маневр «спираль» в поле скоростей и координат.
Рассмотрим модельную задачу, позволяющую выявить основные параметры маневра «спираль» и требуемый закон изменения управляющих сил. Пусть ЛА, схематизируемый материальной точкой постоянной массы, движется прямолинейно и равномерно. Управление движением по нормали к начальному направлению вектора скорости выполняется целенаправленно изменяемой подъемной силой, определяемой управляющими параметрами – пространственным углом атаки и углом скоростного крена. Пространственный угол атаки ограничен по модулю.
Рассмотрим плоский случай маневра, то есть маневр «змейка». Известно [2], что материальная точка, находившаяся в состоянии покоя или равномерного прямолинейного движения, под действием гармонической силы с постоянной амплитудой приобретает дополнительную скорость, состоящую из постоянной и синусоидальной составляющих. При соответствующем выборе момента прекращения действия силы синусоидальная составляющая обращается в ноль, а постоянная сохраняется на прежнем уровне.
Проанализируем возможности устранения и постоянной составляющей скорости маневра, для чего запишем динамическое уравнение маневрирования ЛА в виде:

где – скорость маневра ЛА по нормали к направлению первоначального движения,
– круговая частота маневра,
ам – нормальное ускорение для формирования маневра,
Ка – коэффициент передачи ускорения из диапазона [0…1] на участках входа
и выхода из маневра, 1 – на участке маневра.
Примем схему маневра, состоящую из трех участков, на которых независимая переменная = t изменяется в диапазонах:

где nц – количество циклов маневра (nц 1).
Из (1) следует:

откуда

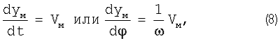
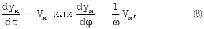
где , – скорость Vм в начале маневрирования и при = .
Скорость маневра на интервале < 2 ·nц, вычисленная в силу (4) при , содержит постоянную и синусоидальную составляющие:

Для устранения постоянной составляющей скорости следует положить на участке входа, то есть при 0   :

Теперь с учетом найденной величины Ка выражение (4) принимает вид:

Координата ум маневра «змейка» определяется из уравнения:

откуда с учетом (4):

Определив в силу (9) при величину и в силу (7) величину 
запишем:

Рассмотрим участок выхода из маневра «змейка». Проверим предположение, что выход, как и вход, выполняется при Ка=1/2, но на интервале 
где

В соответствии с (4) и (9) запишем:

где – скорость и координата маневра в момент начала выхода.
После преобразований (12) с учетом (7) и (10) получим:

Проверка показывает, что выражения (13) отвечают требуемым краевым условиям на левой и правой границах участка выхода из маневра:

и, следовательно, сделанное выше предположение о величине Ка при выходе из маневра верно.
Итак, проведенные выкладки показывают, что маневр «змейка» ЛА из состояния прямолинейного движения с возвращением на ту же траекторию после завершения маневра должен состоять из участков входа в маневр, маневра и выхода из маневра. Причем на участках входа и выхода движение должно выполняться с половинным уровнем нормального ускорения, действующего на участке маневра.
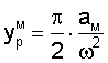
Представим в табл.1 выражения фазовых координат маневра в более удобной форме, для чего рассмотрим выражение (10):

из которого следует, что амплитуда синусоидальной составляющей маневра относительно его среднего положения есть

В связи с тем, что величина нормального ускорения ам ограничена, справедливо неравенство, связывающее амплитуду маневра, его круговую частоту и максимальное значение амах нормального ускорения:

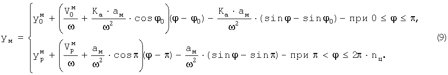
Теперь рассмотрим пространственный маневр ЛА, то есть маневр «спираль», реализуемый плоскими «змейками» в горизонтальной и в вертикальной плоскостях. Причем установим, что вертикальная «змейка» отстает от горизонтальной на угол /2. Кроме того, для возможности задания «спирали» эллипсоидальной формы нормальные ускорения в указанных плоскостях зададим различными, что приведет к различию амплитуд вертикальной и горизонтальной «змеек»:

где Мy,z – коэффициенты формы «спирали» (0 Мy,z 1).
Динамические уравнения «змеек» по обоим каналам аналогичны (1) и с учетом запаздывания «змейки» в вертикальном канале на /2 принимают вид:

где – коэффициенты передачи ускорения на участках маневра «спираль».
Из фиг.1 которой следует, что выделяются семь интервалов задания коэффициентов 
В табл.2 для каждого из семи интервалов приведены требуемые коэффициенты передачи ускорений и теоретические значения кинематических параметров маневра «спираль», формируемого относительно исходной траектории, в соответствии с аналитическими выражениями табл.2 построена фиг.2.
 
Итак, придавая ЛА дополнительное кажущееся ускорение, определяемое выражениями (19), и одновременно продолжая управление ЛА в соответствии с заданным маршрутом, реализуем пространственный маневр типа «спираль», что позволяет сохранить опорную траекторию ЛА в соответствии с требуемым техническим результатом.
Источники информации
1. Проектирование зенитных управляемых ракет: Учебник / И.И.Архангельский, П.П.Афанасьев, Е.Г.Болотов и др. Под ред. И.С.Голубева и В.Г.Светлова. М.: Изд-во МАИ, 1999, 728 с.
2. Основы физики: Учеб. для вузов: В 2 т. / Н.П.Калашников, М.А.Смондырев. – 2-е изд., перераб. – М.: Дрофа, 2003, т.1, 400 с.
Формула изобретения
Способ формирования планирующего спиралевидного движения летательного аппарата относительно опорной траектории, включающий трехэтапные синусоидальные силовые воздействия на аппарат в вертикальной и горизонтальной плоскостях с различием по фазе на /2, отличающийся тем, что на каждом этапе задается свое значение коэффициента передачи управляющего воздействия, при входе в маневр – 1/2, в процессе маневра – 1, при выходе из маневра – 1/2.
РИСУНКИ
MM4A – Досрочное прекращение действия патента СССР или патента Российской Федерации на изобретение из-за неуплаты в установленный срок пошлины за поддержание патента в силе
Дата прекращения действия патента: 12.11.2007
Извещение опубликовано: 10.07.2009 БИ: 19/2009
|