|
|
(21), (22) Заявка: 2006103462/09, 06.02.2006
(24) Дата начала отсчета срока действия патента:
06.02.2006
(46) Опубликовано: 20.09.2007
(56) Список документов, цитированных в отчете о поиске:
SU 1736928 A1, 30.05.1992. RU 2186021 С2, 27.07.2002. RU 2176149 C1, 27.11.2001. RU 2242040 C1, 10.12.2004. WO 91/08982 A1, 27.06.1991. US 5366711 А, 22.11.1994.
Адрес для переписки:
394000, г.Воронеж, пр. Революции, 19, ГОУВПО Воронежская государственная технологическая академия, отдел СМП
|
(72) Автор(ы):
Кудряшов Владимир Сергеевич (RU), Рязанцев Сергей Васильевич (RU), Иванов Андрей Валентинович (RU)
(73) Патентообладатель(и):
Государственное образовательное учреждение высшего профессионального образования Воронежская государственная технологическая академия (RU)
|
(54) ЦИФРОВАЯ МНОГОСВЯЗНАЯ СИСТЕМА УПРАВЛЕНИЯ ПРОЦЕССОМ СИНТЕЗА АММИАКА
(57) Реферат:
Изобретение относится к системам автоматического цифрового управления в производстве аммиака и может найти применение в химической, нефтехимической и других отраслях промышленности. Технический результат изобретения – улучшение качества цифрового управления температурой в слоях катализатора за счет повышения динамической точности и снижения времени установления управляемых величин путем применения принципов автономно-инвариантного управления при наличии внутренних перекрестных связей и возмущений, что повышает производительность колонны синтеза аммиака. Достигается это тем, что в цифровую многосвязную систему управления процессом синтеза аммиака, содержащую датчик концентрации водорода и азота в циркуляционном газе, датчики и регуляторы температуры в слоях катализатора, клапаны в линиях байпасных потоков, дополнительно введены датчики концентрации аммиака и инертных газов в циркуляционном газе, автономные компенсаторы перекрестных связей, соединенные своими входами с выходами регуляторов температуры в слоях катализатора, а выходами – через сумматоры с клапанами в линиях байпасных потоков, инвариантные компенсаторы возмущений, связанные своими входами с датчиками концентраций аммиака, инертных газов, водорода и азота в циркуляционном газе, а выходами – через сумматоры с клапанами в линиях байпасных потоков. 2 ил.
Изобретение относится к системам автоматического цифрового управления в производстве аммиака и может найти применение в химической, нефтехимической и других отраслях промышленности.
Наиболее близкой по технической сущности и достигаемому эффекту является система, реализующая способ автоматического регулирования температурного режима колонны синтеза аммиака, содержащая датчики расхода, давления, температуры и состава циркуляционного газа на входе колонны синтеза, датчики температуры в слоях катализатора, регуляторы степени открытия клапанов в линиях байпасных потоков, вычислительное устройство [А.С. СССР №1736928, М. кл3. С01С 1/04, G05D 27/00, 24.04.90]. В способе осуществляется регулирование температур в слоях катализатора путем изменения подачи циркуляционного газа и байпасных потоков в зависимости от расхода, давления, температуры и состава газа на входе в колонну синтеза, давления газа в испарителе, заданным и измеряемым значениям температур в слоях.
Недостатком известного способа является неудовлетворительное качество регулирования температуры в слоях катализатора, что снижает производительность колонны синтеза аммиака из-за отсутствия компенсации внутренних перекрестных связей по каналам “расход байпасного потока в 1, 2, 3 слоях – температура в последующих нижних 2, 3, 4 слоях” и компенсации внешних возмущений по концентрациям аммиака и инертных газов в циркуляционном газе.
Техническая задача предполагаемого изобретения – разработка цифровой системы управления температурой в слоях катализатора, учитывающей влияние внутренних перекрестных связей по каналам “расход байпасного потока в 1, 2, 3 слоях – температура в последующих нижних 2, 3, 4 слоях катализатора”, а также внешних возмущении по концентрациям аммиака и инертных газов в циркуляционном газе.
Поставленная задача достигается тем, что в цифровой многосвязной системе управления процессом синтеза аммиака, содержащей датчик концентрации водорода и азота в циркуляционном газе, четыре датчика и регулятора температуры в каждом из четырех слоев катализатора, четыре клапана на байпасных потоках, новым является то, что в нее дополнительно введены датчики концентраций аммиака и инертных газов в циркуляционном газе, десять автономных компенсаторов перекрестных связей, при этом первый-четвертый соединены своими входами с выходом регулятора температуры в первом слое катализатора, пятый, шестой и седьмой – с выходом регулятора температуры во втором слое катализатора, восьмой и девятый – с выходом регулятора температуры в третьем слое катализатора, десятый – с выходом регулятора температуры в четвертом слое катализатора, двенадцать инвариантных компенсаторов возмущений, при этом первый-четвертый соединены своими входами с датчиком концентрации аммиака в циркуляционном газе, пятый-восьмой – с датчиком концентрации инертных газов в циркуляционном газе, девятый-двенадцатый – с датчиком водорода и азота в циркуляционном газе, четыре сумматора, при этом первый сумматор своими входами соединен с выходами первого автономного компенсатора перекрестных связей, первого, пятого и девятого инвариантных компенсаторов возмущений, а выходом – с клапаном на байпасном потоке первого слоя катализатора, второй сумматор соединен с выходами второго и пятого автономных компенсаторов перекрестных связей, второго, шестого и десятого инвариантных компенсаторов возмущений, а выходом – с клапаном на байпасном потоке второго слоя катализатора, третий сумматор соединен с выходами третьего, шестого и восьмого автономных компенсаторов перекрестных связей, третьего, седьмого и одиннадцатого инвариантных компенсаторов возмущений, а выходом – с клапаном на байпасном потоке третьего слоя катализатора, четвертый сумматор соединен с выходами четвертого, седьмого, девятого и десятого автономных компенсаторов перекрестных связей, четвертого, восьмого и двенадцатого инвариантных компенсаторов возмущений, а выходом – с клапаном на байпасном потоке четвертого слоя катализатора.
Технический результат предлагаемого изобретения выражается в повышении качества управления температурой в слоях катализатора колонны синтеза аммиака при наличии внутренних перекрестных связей и возмущений, за счет повышения динамической точности и времени установления управляемых величин, что увеличивает производительность колонны синтеза аммиака.
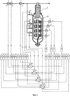
На чертежах показаны принципиальная структурно-функциональная схема для реализации предлагаемой системы (Фиг.1) и структурная схема многосвязного объекта управления (Фиг.2).
Схема (Фиг.1) состоит из теплообменника 1, колонны 2 синтеза, датчиков концентрации аммиака 3, инертных газов 4, водорода и азота 5 в циркуляционном газе на входе в колонну синтеза, датчиков 6-9 температуры в I-IV слоях катализатора соответственно, основных регуляторов 10-13, автономных компенсаторов 14-23 перекрестных связей, инвариантных компенсаторов 24-35 возмущений, сумматоров 36-39, клапанов 40-43 в линиях байпасных потоков (БП1-БП4).
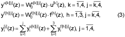
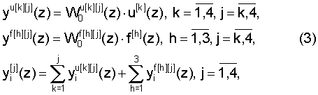
Колонна синтеза аммиака как объект управления является многосвязным объектом (Фиг.2), включающим в себя основные, перекрестные и возмущающие каналы, динамика которых в цифровом виде описывается разностными уравнениями:

где – температура по основному (k=j) или перекрестному (k j) каналу; – температура по каналу возмущения; k – номер входа (номер байпасного потока, нумерация сверху вниз); h – номер возмущения (концентрация аммиака, инертных газов, соотношение водорода и азота); j – номер выхода (температура в соответствующем слое катализатора, нумерация сверху вниз); au[k][j], bu[k][j], – параметры и число тактов запаздывания разностного уравнения основного или перекрестного канала; af[h][j], bf[h][j], – параметры и число тактов запаздывания разностного уравнения по каналу возмущения; k0, n0 – порядки полиномов; i – индекс такта квантования.
Температура, измеряемая датчиками в каждом слое катализатора (Фиг.2), определяется выходами соответствующих каналов управления и возмущения:

Применяя оператор сдвига z уравнения связи по каналам, описываются с использованием дискретных передаточных функций W(z):

где z – оператор сдвига; – дискретная передаточная функция по основному, (k=j) или перекрестному (k j) каналу, , ; – дискретная передаточная функция по каналу возмущения , .
Основные каналы:
, , , – расходы БП1-БП4 на первый-четвертый слои катализатора (u[1]-u[4]) – температура в соответствующем слое (уu[1][1]-y[4][4]).
Перекрестные каналы:
, , – расход БП1 (u[1]) – температура во 2-4 слоях (yu[1][2]-yu[1][4]);
, – расход БП2 (u[2]) – температура в 3-4 слоях (Уu[2][3]-yu[2][4]);
– расход БПЗ (u[3]) – температура в 4 слое (yu[3][4]).
Каналы возмущений:
, , , – концентрация аммиака в циркуляционном газе на входе в колонну (f[1]) – температура в соответствующем слое (yf[1][1]-yf[1][4]);
, , , – концентрация инертных газов на входе в колонну (f[2]) – температура в соответствующем слое (уf[2][1]-yf[2][4]);
, , , – соотношение концентраций водорода и азота на входе в колонну (f[3]) – температура в соответствующем слое (yf[3][1]-yf[3][4]).
Цифровая многосвязная система управления работает следующим образом.
По сигналам y[l]-y[4] от датчиков 6-9 температуры, основные регуляторы 10-13 вырабатывают управляющие сигналы uu[1]-uu[4], которые формируются в соответствии с алгоритмом цифрового управления:

где – настроечные параметры соответствующего цифрового регулятора; ku[j] – порядок цифрового алгоритма управления; е[j]=уз[j]-у[j] – рассогласование между заданным (yз[j]) и измеряемым (y[j]) значением температуры в каждом слое.
С целью компенсации перекрестного влияния расходов БП1-БП3 на температуры в нижних 2-4 слоях катализатора автономные компенсаторы 14-23 перекрестных связей по сигналам с выходов цифровых регуляторов uu вырабатывают компенсирующие сигналы по разностному уравнению:

где – выход автономного компенсатора, устраняющего перекрестное влияние h-го байпасного потока на температуру в j-ом слое катализатора; puk[h][j], quk[h][j], duk[h][j] – параметры и число тактов запаздывания разностного уравнения автономного компенсатора перекрестной связи; kuk, nuk – порядки полиномов.
Уравнение связи предлагаемой системы управления в векторно-матричной форме имеет вид [1]:

где y=[y[1], у[2], у[3], у[4]]Т – вектор выходов (температура в каждом слое катализатора); уЗ=[уЗ[1], уЗ[2], уЗ[3], уЗ[4]]T – вектор заданий по температурам; f=[f[1], f[2], f[3]]T – вектор возмущений; I – единичная матрица (4×4);
– диагональная матрица передаточных функций цифровых регуляторов.
Структуры и параметры разностных уравнений (5) автономных компенсаторов 14-23 перекрестных связей определяются из передаточных функций [1], полученных из условия автономности:

– матрица дискретных передаточных функций основных и перекрестных каналов объекта;
– диагональная матрица желаемых эквивалентных [1] дискретных передаточных функций каналов объекта;
– матрица дискретных передаточных функций компенсаторов перекрестных связей.
Используя обратное z-преобразование, осуществляется переход от дискретных передаточных функций к конечно-разностным уравнениям (5).
В качестве желаемых передаточных функций Wж[j], определяющих эквивалентные каналы, приняты передаточные функции основных каналов:

В этом случае после перемножения матриц в (6) следует, что:

При выполнении условия автономности оптимизация настроечных параметров цифровых регуляторов (4) осуществляется методом градиента по критерию – минимум интегральной квадратичной ошибки [2].
Компенсация возмущений f[1], f[2], f[3] по сигналам от датчиков концентрации аммиака 3, инертных газов 4, водорода и азота 5 в циркуляционном газе на входе в колонну синтеза, осуществляется инвариантными компенсаторами 24-35, вырабатывающими сигналы по разностному уравнению:

где – выход инвариантного компенсатора возмущения, компенсирующего влияние h-го возмущения на температуру в j-ом слое катализатора);
pfk[h][j], qfk[h][j], dfk[h][j] – параметры и число тактов запаздывания разностного уравнения инвариантного компенсатора; kfk, nfk – порядки полиномов.
Расчет дискретных передаточных функций инвариантных компенсаторов возмущений осуществляется исходя из матричного уравнения (6):

где – матрица передаточных функций цифровых компенсаторов возмущений;
– матрица дискретных передаточных функций объекта по каналам возмущений.
Используя обратное z-преобразование, осуществляется переход от дискретных передаточных функций инвариантных компенсаторов возмущений к конечно-разностным уравнениям (9).
Сигналы с выходов основных регуляторов 10-13, автономных 14-23 и инвариантных 24-35 компенсаторов поступают на входы соответствующих сумматоров 36-39, с выходов которых управляющий сигнал поступает на клапаны 40-43.
Оптимизация основных регуляторов, расчет дискретных передаточных функций автономных и инвариантных компенсаторов, а также реализация цифровой системы регулирования осуществляется на базе средств программируемого микропроцессорного контроллера и рабочей станции (ПЭВМ).
Использование предлагаемой системы позволяет существенно повысить качество управления процессом синтеза аммиака за счет повышения динамической точности и уменьшения времени установления управляемых параметров путем компенсации перекрестных связей и возмущений, а также использования прямого цифрового управления, что повышает точность поддержания температуры в слоях катализатора и в конечном итоге производительность колонны синтеза аммиака.
Источники информации
1. Синтез цифровых систем управления технологическими объектами [Текст]: учеб. пособие / B.C.Кудряшов, В.К.Битюков, М.В.Алексеев, С.В.Рязанцев. Воронеж, гос. технол. акад. Воронеж, 2005. – 336 с.
Формула изобретения
Цифровая многосвязная система управления процессом синтеза аммиака, содержащая датчик концентрации водорода и азота в циркуляционном газе, четыре датчика и регулятора температуры в каждом из четырех слоев катализатора, четыре клапана на байпасных потоках, отличающаяся тем, что в нее дополнительно введены датчики концентраций аммиака и инертных газов в циркуляционном газе, десять автономных компенсаторов перекрестных связей, при этом первый-четвертый соединены своими входами с выходом регулятора температуры в первом слое катализатора, пятый, шестой и седьмой – с выходом регулятора температуры во втором слое катализатора, восьмой и девятый – с выходом регулятора температуры в третьем слое катализатора, десятый – с выходом регулятора температуры в четвертом слое катализатора, двенадцать инвариантных компенсаторов возмущений, при этом первый-четвертый соединены своими входами с датчиком концентрации аммиака в циркуляционном газе, пятый-восьмой – с датчиком концентрации инертных газов в циркуляционном газе, девятый-двенадцатый – с датчиком водорода и азота в циркуляционном газе, четыре сумматора, при этом первый сумматор своими входами соединен с выходами первого автономного компенсатора перекрестных связей, первого, пятого и девятого инвариантных компенсаторов возмущений, а выходом – с клапаном на байпасном потоке первого слоя катализатора, второй сумматор соединен с выходами второго и пятого автономных компенсаторов перекрестных связей, второго, шестого и десятого инвариантных компенсаторов возмущений, а выходом – с клапаном на байпасном потоке второго слоя катализатора, третий сумматор соединен с выходами третьего, шестого и восьмого автономных компенсаторов перекрестных связей, третьего, седьмого и одиннадцатого инвариантных компенсаторов возмущений, а выходом – с клапаном на байпасном потоке третьего слоя катализатора, четвертый сумматор соединен с выходами четвертого, седьмого, девятого и десятого автономных компенсаторов перекрестных связей, четвертого, восьмого и двенадцатого инвариантных компенсаторов возмущений, а выходом – с клапаном на байпасном потоке четвертого слоя катализатора.
РИСУНКИ
MM4A – Досрочное прекращение действия патента СССР или патента Российской Федерации на изобретение из-за неуплаты в установленный срок пошлины за поддержание патента в силе
Дата прекращения действия патента: 07.02.2008
Извещение опубликовано: 27.09.2009 БИ: 27/2009
|
|