|
|
(21), (22) Заявка: 2006101367/28, 17.01.2006
(24) Дата начала отсчета срока действия патента:
17.01.2006
(46) Опубликовано: 20.09.2007
(56) Список документов, цитированных в отчете о поиске:
RU 95106337 A1, 27.04.1997. RU 2273839 C2, 10.04.2006. RU 2247967 C2, 10.03.2005. RU 2249178 C2, 27.03.2005. RU 2202804 C2, 20.04.2003. DE 19724687 C1, 24.09.1998. US 4996490 A, 26.02.1991. US 5049823 A, 17.09.1991. US 2005179443 A1, 18.08.2005.
Адрес для переписки:
392006, г.Тамбов-6, Тамбовское высшее военное авиационное инженерное училище радиоэлектроники (военный институт), научно-исследовательский отдел
|
(72) Автор(ы):
Федюнин Павел Александрович (RU), Дмитриев Дмитрий Александрович (RU), Лобанов Алексей Александрович (RU)
(73) Патентообладатель(и):
ГОУ ВПО Тамбовское высшее военное авиационное инженерное училище радиоэлектроники (военный институт) (RU)
|
(54) СВЧ СПОСОБ БЕСКОНТАКТНОГО ОПРЕДЕЛЕНИЯ ДИЭЛЕКТРИЧЕСКОЙ ПРОНИЦАЕМОСТИ ЖИДКИХ СРЕД И КОНТРОЛЯ ПРОЦЕССА ОСАЖДЕНИЯ ДИЭЛЕКТРИЧЕСКИХ ЧАСТИЦ
(57) Реферат:
Способ предназначен для анализа свойств диэлектрических частиц в жидких средах. Сущность способа состоит в том, что вдоль вертикально расположенного волновода поверхностных волн в виде диэлектрического трубопровода, заполненного исследуемой жидкостью с диэлектрической проницаемостью и магнитной проницаемостью =1, конической рупорной антенной возбуждают поле поверхностной медленной волны типа НЕ11 и устанавливают режим бегущих волн. Приемные вибраторы расположены спирально и диаметрально противоположно вдоль диэлектрического трубопровода. Вибраторы измеряют напряженность электрического поля в нормальной, относительно направления волны, плоскости. Рассчитывают коэффициент недиссипативного затухания r и определяют . По распределению локальных значений вдоль трубопровода судят о процессе осаждения диэлектрических частиц. Технический результат: повышение точности определения за счет отсутствия гальванического контакта с измеряемой средой, отсутствия механического перемещения вибраторов вдоль оси трубопровода, деформации поля и возможность оперативного контроля распределения по высоте столба в текущем процессе осаждения. 1 ил.
Изобретение относится к способам измерения электрофизических параметров и контроля процесса осаждения диэлектрических частиц гетерогенных жидких сред. Изобретение может быть использовано для контроля и регулирования распределения электрофизических параметров гетерогенных диэлектрических жидких сред по толщине слоя, например при моделировании экспоненциальных поглощающих и неотражающих покрытий в процессе производства в авиационной, химической и других областях промышленности.
Известен способ определения диэлектрической проницаемости для исследования жидкостей с большим поглощением /W.A.Heston, E.J.Henellv, C.P.Smyth, Абсорбция СВЧ и молекулярная структура жидкостей, Journ. Amer. Chem. Soc., 1948, 70, N12, 4093-4097/, включающий помещение жидкости в секцию волновода, отделенную от воздушной части измерительной установки тонкой слюдяной пластинкой. В жидкость помещен свободно перемещающийся поршень, которым устанавливают высоту столба жидкости. В непосредственной близости к слюдяной перегородке расположен направленный ответвитель, регистрирующий отраженную волну. Путем перемещения поршня от слюдяной пластинки вверх индикатором регистрируют минимумы и максимумы отраженной волны. Максимальные показания соответствуют толщине слоя жидкости, когда отраженные волны от верхней и нижней его поверхности совпадают по фазе. Далее регистрируют высоту столба жидкости, когда амплитуда осцилляции отраженной волны пропадает, стремясь к некоторому постоянному значению, и определяют величину диэлектрической проницаемости.
Недостатками метода является непосредственное помещение жидкости в полость волновода (гальванический контакт), малая точность и технологические трудности измерения величины диэлектрической проницаемости, невозможность исследования жидкостей с малыми потерями, а также отсутствие возможности наблюдения процесса осаждения частиц в непрозрачных жидких средах.
Известен также способ измерения величины диэлектрической проницаемости , связанный с распространением волны вдоль диэлектрического стержня /С.М.Mckinney, D.M.Duff, Метод измерения диэлектрической постоянной твердых тел на СВЧ, Rev. Sci. Instr., 1954, 25, N96 925-926/. В диэлектрическом стержне, на конце которого расположен металлический экран, возбуждается медленная поверхностная волна. Устанавливается режим стоячих волн и индикатором вдоль диэлектрического волновода определяется длина волны в нем. По соотношению длин волн генератора и диэлектрического волновода определяется величина диэлектрической проницаемости жидкости.
Недостатками метода является высокая погрешность измерений из-за трудноучитываемого излучения, отсутствие возможности измерения диэлектрической проницаемости жидких сред, а также не учитываются потери при измерении величины .
За прототип принят СВЧ способ бесконтактного определения диэлектрической проницаемости и удельной электропроводности жидких сред /Патент РФ №2194270, М Кл6 G01N 22/04, опубл. 10.12.02., бюл №34/, заключающийся в создании режима бегущих волн вдоль волновода поверхностных волн в виде круглого диэлектрического трубопровода, заполненного исследуемой проточной немагнитной жидкостью, обладающей диэлектрической проницаемостью и удельной проводимостью , измеряют затухание поля поверхностной медленной волны в нормальной и горизонтальной плоскостях относительно направления ее распространения и по рассчитанным значениям коэффициентов затухания поля в нормальной плоскости судят о величине диэлектрической проницаемости , а по коэффициенту затухания поля вдоль направления распространения волны судят о величине удельной проводимости .
Недостатками данного способа является невозможность определения распределения по высоте столба жидкости и невозможность исследования процессов осаждения частиц в непрозрачных жидких средах, при котором диэлектрическая проницаемость изменяется по высоте столба пропорционально концентрации диэлектрических частиц.
Техническим результатом предлагаемого изобретения является повышение точности измерения диэлектрической проницаемости диэлектрических гетерогенных жидких сред за счет отсутствия гальванического контакта с измеряемой средой; отсутствия механического перемещения приемных вибраторов по высоте трубопровода и отсутствия деформации поля от влияния близкорасположенных вибраторов, минимизации габаритов и массы измерителя, а также возможность оперативного контроля распределения диэлектрической проницаемости по высоте столба в текущем процессе осаждения.
Сущность СВЧ способа бесконтактного определения диэлектрической проницаемости жидких сред и контроля процесса осаждения диэлектрических частиц состоит в том, что вдоль вертикально расположенного волновода поверхностных волн в виде диэлектрического трубопровода, заполненного исследуемой жидкостью с диэлектрической проницаемостью и магнитной проницаемостью =1, конической рупорной антенной возбуждают поле поверхностной медленной волны типа НЕ11 и устанавливают режим бегущих волн; с помощью системы спирально расположенных диаметрально противоположных приемных вибраторов измеряют напряженность электрического поля над диэлектрическим трубопроводом в нормальной, относительно направления распространения поверхностной медленной волны, плоскости; рассчитывают коэффициент недиссипативного затухания r и судят о локальной величине диэлектрической проницаемости жидкости; по распределению локальных значений диэлектрической проницаемости вдоль трубопровода судят о процессе осаждения диэлектрических частиц.
Сущность СВЧ способа бесконтактного определения диэлектрической проницаемости жидких сред и контроля процесса осаждения диэлектрических частиц поясняется следующим.
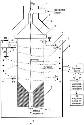
На чертеже показана схема реализации предложенного СВЧ метода определения диэлектрической проницаемости и наблюдения процесса осаждения диэлектрических частиц. Схема состоит из конической рупорной антенны 1, круглого диэлектрического трубопровода 2, дозатора 3, устройства ввода-вывода жидкости 4, спирали приемных вибраторов В1…BN, расположенных на расстоянии d1 от поверхности трубопровода 5, спирали приемных вибраторов В1’…BN’, расположенных на расстоянии d2 от поверхности трубопровода 6, устройства согласования 7, адресной шины 8, мультиплексора 9, микропроцессорного устройства 10 и устройства вывода информации 11.
Способ осуществляется следующим образом. С помощью устройства возбуждения медленных поверхностных волн – конической рупорной антенны 1 в круглом диэлектрическом волноводе поверхностных волн, конструктивно представляющем собой круглый диэлектрический трубопровод 2, заполненный жидкостью с диэлектрическими частицами, возбуждается медленная поверхностная волна НЕ11. С помощью устройства согласования 7, представляющего собой совокупность сухого материала, осаждение которого исследуется, и графитового поглотителя, устанавливается режим бегущих волн (КБВ 0,85).
Радиус трубопровода а и толщина стенок трубопровода имеют постоянные значения по длине трубопровода. Толщина стенок диэлектрического трубопровода значительно меньше его радиуса <а, тогда становится практически не существенным отношение величины диэлектрической проницаемости жидкости к диэлектрической проницаемости диэлектрического материала д, из которого изготовлен трубопровод, / д или трубопровод изготавливается из радиопрозрачного материала ( д 1), поэтому влиянием трубопровода на параметры волновода поверхностных волн как замедляющей структуры (ЗС) можно пренебречь. Величина диэлектрической проницаемости жидкости практически лежит в пределах 2…15 для разных случаев.
Пространство вне трубопровода имеет следующие параметры: диэлектрическую проницаемость , магнитную проницаемость =1 и проводимость =0.
Жидкость в трубопровод вводится с помощью устройств ввода-вывода жидкости 4. С помощью дозатора, например, с ирисовой диафрагмой 3 устанавливается режим непрерывного или дискретного дозирования исследуемой жидкости.
Из теории СВЧ линий передач известно, что волноводам поверхностных волн в диапазоне СВЧ присущ главный эффект – зависимость величины коэффициента замедления 3 от электрофизических и геометрических параметров специально организованной замедляющей структуры (ЗС). В данном случае такой ЗС является волновод поверхностных волн, вдоль которого распространяется медленная электромагнитная волна. Эта волна носит поверхностный характер и обладает затуханием амплитуды поля в направлении ее распространения вдоль ЗС и в нормальном по отношению к вектору Пойнтинга направлении над ЗС. Причем затухание волны определяется потерями в среде и величиной 3 соответственно.
Вдоль диэлектрического волновода может распространяться большое, но конечное число типов волн, причем для них существуют две волны, с наибольшей критической длиной волны кр, которые всегда могут распространяться вдоль диэлектрического волновода. Однако реально, степень концентрации энергии волны у поверхности диэлектрического волновода поверхностных волн (ВВПВ) и его канализирующие свойства зависят от частоты и ниже некоторого ее значения (реальная критическая частота) применение такого волновода неоправданно. В таком волноводе могут существовать раздельно симметричные волны E0n и Н0n. Из несимметричных волн могут существовать только гибридные волны НЕmn и EHmn. Если величина 2а<0, 63 Г ( Г – длина волны генератора), то симметричные и не симметричные волны высших порядков возникать не будут.
Из осесимметричных волн наибольший интерес представляют волны Е01 и H01, а из несимметричных волн наиболее удобной с практической точки зрения является линейно поляризованная волна НЕ11. Все эти типы волн при соответствующей системе возбуждения могут быть возбуждены в диэлектрическом волноводе коническим рупором. При возбуждении волны в рупоре типа Н11, а соответственно в волноводе поверхностных волн НЕ11 возникновение симметричных волн невозможно, и поэтому радиус диэлектрического волновода выбирают из условия одномодовости режима волны НЕ11:

где – коэффициент затухания поля над диэлектрическим трубопроводом;
в – верхнее значение диапазона измерений диэлектрической проницаемости.
Условия одномодового режима волн E01 и H01 имеет вид:
для волны E01:

для волны H01:

здесь н – нижнее значение диапазона измеряемых величин .
Из условий одномодовости (1)-(3) следует, что:
1) волна НЕ11 может применяться для измерения с в широком (на порядок) изменении ;
2) отношение величины ( в-1)/( н-1) для H01<3.42, а для E01<5.36, что позволяет измерять величину диэлектрической проводимости в узком диапазоне.
Напряженность поля |Е| над ЗС при фиксированной величине Z зависит от величины коэффициента затухания поля r над ЗС в нормальной плоскости относительно направления распространения волны, функционально связанного с 3=f1( ).
Измеряемым параметром будет отношение напряженностей поля E1 и E2, измеряемых в нормальной плоскости относительно вектора Пойнтинга (направления распространения волны вдоль диэлектрического волновода) на разных расстояниях d1 и d2 от поверхности трубопровода

Измерение напряженности поля поверхностной медленной волны над диэлектрическим волноводом (ДВВ) производится двумя радиальными противофазными вибраторами В1 и В1′ (чертеж). Расстояние от вибратора В1 до поверхности ДВВ – d1, а от В1′ – d2, (d1>d2). Вибраторы расположены попарно по спирали, причем вибраторы В1…BN, расположенные на расстоянии d1 от поверхности ДВВ, образуют спираль 5 (чертеж), а вибраторы В1’…BN’, расположенные на расстоянии d2, – спираль 6. База d=d1-d2 между двумя радиальными диаметрально противоположными вибраторами постоянна. Необходимый шаг h между спиралями выбирается из условия точности локальных измерений диэлектрической проницаемости. Двухспиральное расположение вибраторов позволяет при постоянной базе d и оптимальном шаге h, который определяется наклоном витка спирали (может быть сколь угодно малым) и фиксируется за счет электронной коммутации вибраторов, отказаться от механического перемещения вибраторов в пользу электронной коммутации. Электронная коммутация приемных пар вибраторов осуществляется микропроцессорным устройством 10 через мультиплексор 9 и адресную шину 8.
Диаметрально противоположное расположение парных вибраторов выбрано с целью обеспечения отсутствия деформации поля от влияния близкорасположенных вибраторов (соседние вибраторы разнесены по углу ), а вибраторы при определенном находятся на расстоянии d, но в «противофазном» расположении.
Натуральный логарифм отношения измеренных напряженностей поля медленной поверхностной волны пропорционален величине коэффициента затухания r, характеризующего диэлектрическую проницаемость жидкости:

где коэффициента 3:

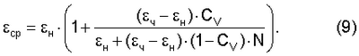
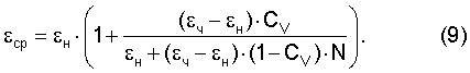
здесь Xmn (Ymn) – характеристические числа, для НЕ11 – 1,84, H01, E01 – 2,405; CV – концентрация частиц наполнителя в жидкости.
Средняя диэлектрическая проницаемость жидкости cp зависит от диэлектрических проницаемостей жидкости-носителя н и наполнителя (частиц) ч, концентрации частиц наполнителя в жидкости CV, а также коэффициента деполяризации N, характеризующего дисперсионный состав и определяется по формуле Лоренца-Лорентца /Приборы для неразрушающего контроля материалов и изделий. Справочник под ред. В.В.Клюева – 2-е издание, переработанное и дополненное – М.: Машиностроение, 1986 с.174./:

При осаждении частиц в трубопроводе, изменяется их концентрация CV по высоте столба жидкости, а также диэлектрическая проницаемость жидкости, следовательно, по распределению локальных значений диэлектрической проницаемости вдоль трубопровода можно судить об осаждении диэлектрических частиц.
Разработанный способ позволяет также рассчитывать соотношение объемов жидких и твердых фаз по столбу жидкости.
Предложенный способ позволяет повысить точность измерений диэлектрической проницаемости диэлектрических гетерогенных жидких сред за счет отсутствия гальванического контакта с измеряемой средой, отсутствия механического перемещения приемных вибраторов по высоте трубопровода и отсутствия деформации поля от влияния близкорасположенных вибраторов, уменьшить габариты и массу измерителя, а также дает возможность оперативного контроля распределения диэлектрической проницаемости по высоте столба в текущем процессе осаждения. Способ может быть осуществлен техническими средствами.
Формула изобретения
СВЧ способ бесконтактного определения диэлектрической проницаемости жидких сред и контроля процесса осаждения диэлектрических частиц состоит в том, что вдоль вертикально расположенного волновода поверхностных волн в виде диэлектрического трубопровода, заполненного исследуемой жидкостью с диэлектрической проницаемостью и магнитной проницаемостью =1, конической рупорной антенной возбуждают поле поверхностной медленной волны типа НЕ11 и устанавливают режим бегущих волн, с помощью системы спирально расположенных диаметрально противоположных приемных вибраторов измеряют напряженность электрического поля над диэлектрическим трубопроводом в нормальной относительно направления распространения поверхностной медленной волны плоскости рассчитывают коэффициент недиссипативного затухания r и судят о локальной величине диэлектрической проницаемости жидкости, по распределению локальных значений диэлектрической проницаемости вдоль трубопровода судят о процессе осаждения диэлектрических частиц.
РИСУНКИ
MM4A – Досрочное прекращение действия патента СССР или патента Российской Федерации на изобретение из-за неуплаты в установленный срок пошлины за поддержание патента в силе
Дата прекращения действия патента: 18.01.2008
Извещение опубликовано: 10.11.2009 БИ: 31/2009
|
|