Патент на изобретение №2158586
|
||||||||||||||||||||||||||
(54) КОСМЕТИЧЕСКАЯ КОМПОЗИЦИЯ ДЛЯ ФОТОЗАЩИТЫ КОЖИ И/ИЛИ ВОЛОС И СПОСОБ КОСМЕТИЧЕСКОЙ ОБРАБОТКИ КОЖИ И/ИЛИ ВОЛОС
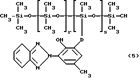
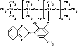
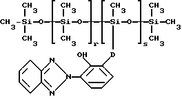
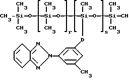
(57) Реферат: Изобретение относится к области косметической промышленности и касается солнцезащитных композиций. Косметическая композиция содержит в косметически приемлемом носителе, особенно типа масло-в-воде бензол-1,4-ди(3-метилиден-10 камфоросульфоновую) кислоту в качестве первого фильтра, в качестве второго фильтра надлежащим образом выбранный бензотриазолсиликон, а также способ косметической обработки кожи и/или волос, заключающийся в нанесении на них эффективного количества композиции. Композиция имеет улучшенные индексы защиты от солнечного излучения. 2 с. и 22 з.п. ф-лы, 1 табл. Изобретение относится к новым косметическим композициям для топического применения, предназначенных, в частности, для фотозащиты кожи и/или волос от воздействия ультрафиолетового излучения (композиции, называемые далее более просто солнцезащитными композициями), а так же как их использованию для вышеупомянутого косметического применения. Более конкретно изобретение касается солнцезащитных композиций, содержащих в косметически приемлемом носителе комбинацию первого особого фильтра, а именно бензол-1,4-ди(3-метилиден-10-камфоросульфоновой кислоты, по крайней мере с одним вторым особым фильтром, надлежащим образом выбранным среди бензотриазолсиликонов. Известно, что световые излучения с длинами волн в диапазоне 280-400 нм вызывают потемнение человеческой эпидермы, а лучи с длинами волн в диапазоне 280-320 нм, известные под названием УФ-В, провоцируют эритемы и ожоги кожи, которые могут наносить вред проявлению (естественного) загара; следовательно, это УФ-В излучение должно быть отфильтровано. Известно также, что лучи УФ-А с длинами волн в диапазоне 320-400 нм, которые вызывают потемнение кожи, способны индуцировать ее старение, особенно в случае чувствительной кожи или кожи, постоянно подвергающейся воздействию солнечного излучения. УФ-А лучи вызывают, в частности, потерю эластичности кожи и появление морщин, приводящих к преждевременному старению. Они способствуют возникновению эритематозной реакции или усиливают эту реакцию у некоторых субъектов и даже могут быть первопричиной фототоксических или фотоаллергических реакций. Следовательно, УФ-А излучение также желательно отфильтровать. К настоящему времени предложены многочисленные косметические композиции, предназначенные для защиты кожи от солнечных лучей (УФ-А и/или УФ-В). Эти солнцезащитные композиции достаточно часто представляют собой эмульсию типа масло-в-воде (то есть косметически приемлемый носитель, состоящий из непрерывной диспергирующей водной фазы и прерывистой дисперсной маслянистой фазы), которая содержит в различных концентрациях один или несколько классических органических фильтров, липофильных и/или гидрофильных, способных селективно поглощать вредоносные УФ-излучения. Эти фильтра (и их количества) выбирают в зависимости от искомого индекса защиты от солнечного излучения (индекс защиты от солнечного излучения (SPF) математически выражается отношением времени облучения, необходимого для достижения эритематогенного порога с УФ-фильтром, ко времени, необходимому ля достижения эритематогенного порога без УФ-фильтра). В результате значительного количества исследований, выполненных в области фотозащиты, упомянутой выше, заявитель неожиданно обнаружил, что комбинация двух, уже известных в уровне техники, особых солнечных фильтров вследствие синергического эффекта позволяет получать солнцезащитные композиции, обладающие отчетливо улучшенными индексами защиты от солнечного излучения. Это открытие лежит в основе настоящего изобретения. Таким образом, в соответствии с одним из предметов настоящего изобретения, теперь предлагаются новые косметические композиции, в частности солнцезащитные, которые по существу отличаются тем, что они содержат в косметически приемлемом носителе (i) бензол-1,4-ди-(3-метилиден-10-камфоросульфоновую) кислоту, возможно в частично или полностью нейтрализованной форме, в качестве первого фильтра и (ii) в качестве второго фильтра бензотриазолсиликатом, выбираемый среди бензотриазолсиликонов, отвечающих одной из следующих формул (1) и (2): ![]() или ![]() в которых: R, одинаковые или разные, выбирают среди C1-C10-алкильных радикалов, фенильного или 3,3,3-трифторпропильного радикалов, причем по крайней мере 80% от общего числа радикалов R составляют метильные радикалы; – r обозначает целое число между 0 и 50 включительно, и s обозначает целое число между 1 и 20 включительно; – u обозначает целое число между 1 и 6 включительно; – t обозначает целое число между 0 и 10 включительно, при условии, что (t+u) 3;– символ A обозначает одновалентный радикал, непосредственно связанный с атомом кремния, который отвечает следующей формуле (3): ![]() d которой Y, одинаковые или разные, выбирают среди C1-C8-алкильных радикалов, галогенов или алкоксильных радикалов, содержащих 1-4 атома углерода, причем в этом последнем случае два смежных радикала Y одного и того же автоматического ядра вместе могут образовывать диоксиалкилиденовую группу, в которой алкилиденовая группа содержит 1-2 атома углерода, – X – обозначает O или NH, – Z обозначает водород или C1-C4-алкил, – n обозначает целое число между 0 и 3 включительно, – m равно 0 или 1, – p обозначает целое число между 1 и 10 включительно. Предметом настоящего изобретения является также использование таких композиций в качестве или для приготовления косметических композиций, предназначенных для защиты кожи и/или волос от воздействия ультрафиолетового излучения, в частности солнечного излучения. Другим предметом настоящего изобретения является способ косметической обработки кожи и/или волос с целью их защиты от действия ультрафиолетового излучения, в частности солнечного излучения, заключающийся по существу в нанесении на них эффективного количества композиции согласно изобретению. Другие характеристики, аспекты и преимущества настоящего изобретения станут ясны при чтении подробного описания, которое следует ниже. Бензол-1,4-ди(3-метилиден-10-камфоросульфоновая) кислота и ее различные соли (соединение (I)), описанные оcобенно во французских заявках на патенты FR-A-2 528 420 и FR-A-2 639 347, представляют собой уже известные фильтры (так называемые фильтры с широким диапазоном действия), в самом деле способные поглощать ультрафиолетовое излучение с длинами волн в диапазоне 280-400 нм, с максимумом поглощения при 320-400 нм, в особенности около 345 нм. Эти фильтры отвечают следующей общей формуле (4): ![]() в которой B обозначает атом водорода, щелочной металл или радикал NH(R)3+, в котором радикалы R, которые могут быть одинаковыми или разными, представляют собой атом водорода, алкильный или гидроксиалкильный радикал, содержащий 1-4 атома углерода, или еще группу Mn+/n, где Mn+ обозначает катион поливалентного металла, в котором n равно 2 или 3 или 4, причем предпочтительно Mn+ обозначает катион металла, выбираемый среди Ca2+, Zn2+, Mg2+, Ba2+, Al3+ и Zr4+. Разумеется, что соединения формулы (4), приведенной выше, могут образовывать “цис-транс” изомеры около одной или нескольких двойных связей, и что все изомеры входят в рамки настоящего изобретения. Бензотриазолсиликоны, используемые в рамках настоящего изобретения (соединение II)), принадлежат к общему семейству бензотриазолсиликонов, которое описано, в частности, во французской заявке на патент FR-A-2 642968. Как было указано выше, бензотриазолсиликоны, выбранные согласно изобретению, отвечают следующим формулам (I): ![]() или (2), ![]() в которых R, одинаковые или разные, выбирают среди C1-C10-алкильных радикалов, фенильного или 3,3,3-трифторпропильного радикалов, причем по крайней мере 80% от общего числа радикалов R составляют метильные радикалы: – r обозначает целое число между 0 или 59 включительно, – s обозначают целое число между 1 и 20 включительно; u – обозначает целое число между 1 и 6 включительно, – t обозначает целое число между 0 и 10 включительно, при условии, что (t+u) > 3; – символ A обозначает одновалентный радикал, непосредственно связанный с атомом кремния, который отвечает следующей формуле (3): ![]() в которой Y, одинаковые или разные, выбирают среди C1-C8-алкильных радикалов, галогенов или алкоксильных радикалов, содержащих 1-4 атома углерода, причем в этом последнем случае два смежных радикала Y одного и того же ароматического ядра вместе могут образовывать диоксиалкилиденовую группу, в которой алкилиденовая группа содержит 1-2 атома углерода, – X – обозначает O или NH, – Z – обозначает водород или C1C4-алкил, – n – обозначает целое число между 0 и 3 включительно, – m равно 0 или 1, – p обозначает целое число между 1 и 10 включительно. Как это следует из формулы (3), приведенной выше, присоединение звена -(X)m-(CH2)p-CH(Z)-CH2 – к бензотриазольному фрагменту, которое таким образом обеспечивает соединение бензотриазольного фрагмента с атомами кремния силиконовой цепи, согласно настоящему изобретению, может осуществляться в любых свободных положениях, имеющих в двух ароматических ядрах бензотриазола: ![]() Предпочтительно, это присоединение осуществляется в положениях 3, 4, 5 (ароматическое ядро, несущее гидроксильную группу) или 4′ (бензольное кольцо, смежное с триазольным циклом) и еще более предпочтительно в положениях 3, 4 или 5. В предпочтительной форме реализации изобретения присоединение осуществляется в положении 3. Также присоединение замещающего звена Y может осуществляться в любых других свободных положениях бензотриазола. Тем не менее предпочтительно это присоединение осуществляется в положениях 3, 4, 4′, 5 и/или 6. В предпочтительной форме реализации изобретения присоединение осуществляется в положении 5. В формулах (1) и (2), приведенных выше, алкильные радикалы могут быть линейными или разветвленными и выбираются особенно среди следующих радикалов: метил, этил, н-пропил, изопропил, н-бутил, изобутил, трет.-бутил, н-амил, изоамил, неопентил, н-гексил, н-гептил, н-октил, 2-этилгексил, трет.-октил. Согласно изобретению, предпочтительными алкильными радикалами R являются: метил, этил, пропил, н-бутил, н-октил и 2-этилгексил. Еще более предпочтительно все радикалы R являются метильными радикалами. Из соединений формул (1) и (2), приведенных выше, предпочтительно используют соединения, отвечающие формуле (1), то есть диорганосилоксаны с короткой линейной цепью. Среди линейных диорганосилоксанов, входящих в рамки настоящего изобретения, в особенности предпочтительны статистические производные или хорошо определенные блок-производные, обладающие по крайней мере одной и еще более предпочтительно совокупностью следующих характеристик: – R обозначает алкил и еще более предпочтительно метил, – r находится в диапазоне от 0 до 15 включительно; – s находится в диапазоне от 1 до 5 включительно, – n не равно нулю и предпочтительно равно 1; и тогда Y выбирают среди метила, трет.-бутила или C1-C4-алкоксигруппы; – Z обозначает водород или метил; – m = 0, или [m = 1 и X = 0]; – p равно 1. Особенно подходящим согласно изобретению является семейство соединений, определяемое следующей общей формулой (5): – ![]() 0 r 15, предпочтительно 0 r 101 s 5, предпочтительно 1 s 3и где D представляет собой двухвалентный радикал: ![]() или ![]() В особенно предпочтительной форме реализации изобретения бензотриазолсиликон отвечает общей формуле (5), в которой: r = 0 s = 1 ![]() В другой особенно предпочтительной форме реализации изобретения бензотриазолсиликон отвечает общей формуле (5), в которой: r = 0 s = 1 ![]() Для получения силиконовых фильтров формул (1) и (2) можно поступить классически, осуществляя реакцию гидроrсилирования (а именно и исходя из соответствующего силикона, в котором, например, все радикалы A представляют собой атомы водорода. Этот исходный силикон впоследствии называется “SiH-производное”. Эти SiH-производные представляют собой продукты, хорошо известные в промышленности по производству силиконов, и обычно имеются в продаже. Например, они описаны в американских заявках на патенты 3 220 972, 3 697 473 и 4 340 709. Это SiH-производное, следовательно, может быть представлено либо следующей формулой (1 бис):![]() в которой R, r и s имеют значение, данное выше для формулы (1), либо следующей формулой (2 бис): ![]() в которой R, t и u имеют значение, данное выше для формулы (2). Итак, SiH-производное формул (1 бис) или (2 бис) и органическое производное бензотриазола следующей формулы (3 бис): ![]() в которой Y, X, Z, n, m и p имеют значение, данное выше для формулы (3), вводят в классическую реакцию гидросилирования, которую проводят в присутствии каталитически эффективного количества катализатора на основе платины. Способы, пригодные для получения продуктов, отвечающих вышеприведенной формуле (3 бис), описаны, в частности, в патентах США 4 316 033 и 4 328 346. Кроме того, подробности экспериментальных условий, которые необходимо соблюдать при проведении реакции гидросилирования между соединениями формулы (1 бис) или ( 2 бис), приведенными выше, и соединением формулы (3 бис), приведенной выше, представлены в европейкой заявке на патент 0 392 883, инструкции которой в этом отношении полностью включены в качестве ссылки в настоящее описание. Соединение (I) может присутствовать в композициях согласно изобретению в концентрации 0,1 – 10%, предпочтительно 0,2 – 8 мас.% по отношению к общей массе композиции, а что касается соединения (II), то оно может присутствовать в концентрации 0,1 – 10%, предпочтительно 0,2 – 8 мас.%, всегда по отношению к общей массе композиции, предпочтительно общее процентное содержание смеси соединения (I) и соединения (II) не превышает 15% от общей массы целевой композиции. С практической точки зрения два вышеупомянутых соединения (I) (II), разумеется, предпочтительно оба присутствуют в целевой композиции в соответствующих пропорциях, выбранных таким образом, чтобы синергический эффект на уровне индекса защиты от солнечного излучения, возникающий за счет результирующего сочетания, был оптимальным. Точный диапазон массовых отношений [соединение (I)/соединение (II)], в котором на деле достигается этот оптимальный синергический эффект, можно легко изменять в зависимости от используемого общего количества фильтров (I) и (II). Кроме того, нужно заметить, что концентрации и соотношения количеств соединений (I) и (II) выбирают таким образом, чтобы индекс защиты от солнечного излучения конечной композиции предпочтительно составлял по крайней мере 2. Наконец всегда в соответствии с предпочтительным способом реализации настоящего изобретения косметически приемлемый носитель, в котором содержатся различные соединения (I) и (II), представляет собой эмульсию типа масло-в-воде. Солнцезащитные косметические средства согласно изобретению могут, разумеется, содержать один или несколько дополнительных солнечных фильтров, активных в УФ-A и/или УФ-B областях спектра (абсорберы), гидрофильных или липофильных, других, чем два вышеупомянутых фильтра. Эти дополнительные фильтры могут быть особенно выбраны среди производных коричной кислоты, производных салициловой кислоты, производных камфоры, производных триазина, производных бензофенона, производных дибензоилметана, производных , -дифенилакрилата, производных п-аминобензойной кислоты, полимерных фильтров и силиконовых фильтров, описанных в международной заявке 93/04665. Другие примеры органических фильтров даны в европейской заявке на патент 0 487 404.
Композиции согласно изобретению могут также содержать агенты, способствующие появлению искусственного загара и/или искусственного потемнения кожи (агенты, вызывающие искусственный загар), такие, как, например, дигидроксиацетон (ДГА).
Косметические композиции согласно изобретению могут еще содержать пигменты или еще лучше нанопигменты (средний размер первичных частиц: обычно между 5 нм и 100 нм, предпочтительно между 10 нм и 50 нм) на основе оксидов металлов, покрытых защитной оболочкой или нет, как, например, нанопигменты на основе оксида титана (аморфного или кристаллизованного в форме рутила и/или анатаза), железа, цинка, циркония или церия, которые все сами по себе являются хорошо известными фотозащитными средствами. Классическими агентами, используемыми для получения защитных оболочек, являются, кроме того, оксид алюминия и/или стеарат алюминия. Такие нанопигменты на основе оксидов металлов, с защитной оболочкой или без нее, описаны, в частности, в европейских заявках на патенты 0 518 772 и 0 518 773.
Композиции согласно изобретению могут, кроме того, содержать классические косметические добавки, особенно выбираемые среди жиров, органических растворителей, ионных или неионных сгустителей, смягчающих средств, антиоксидантов, глушителей, стабилизаторов, пластификаторов, силиконов, -гидроксикислот, агентов, препятствующих вспениванию, гидратирующих агентов, витаминов, отдушек, консервантов, поверхностно-активных веществ, наполнителей, комплексообразователей, полимеров, выталкивающих агентов, подщелачивающих или подкисляющих агентов, красителей, или любой другой компонент, обычно используемый в косметике, в частности, для приготовления солнцезащитных композиций в форме эмульсий.
Жиры могут представлять собой масло или воск, или их смеси, и они также включают жирные кислоты, жирные спирты и эфиры жирных кислот. Масла могут быть выбраны среди животных, растительных, минеральных или синтетических масел, и особенно среди вазелинового масла, парафинового масла, летучих или нелетучих силиконовых масел, изопарафинов, поли- -олефинов, фторированных и перфторированных масел. Воски также могут быть выбраны среди само по себе известных растительных, животных, ископаемых, минеральных или синтетических восков.
Из органических растворителей можно упомянуть спирты и низшие многоатомные спирты.
Сгустители могут быть выбраны особенно среди сшитых полиакриловых кислот, смолы рожкового дерева и модифицированной или немодифицированной целлюлозы, таких как гидроксипропилированная смола рожкового дерева, метилгидроксиэтилцеллюлоза, гидроксипропилметилцеллюлоза или еще гидроксиэтилцеллюлоза.
Разумеется, специалист должен выбрать это или эти возможные дополнительные соединения и/или их количества таким образом, чтобы полезные свойства, в частности синергический эффект, тесно связанные с бинарным сочетанием согласно изобретению, не ухудшались или существенным образом не ухудшались при введении предусматриваемой или предусматриваемых добавок.
Композиции согласно изобретению могут быть получены способами, хорошо известными специалисту, в частности способами, предназначенными для получения эмульсий типа масло-в-воде или вода-в-масле.
Эта композиция может находиться, в частности, в форме простой ил сложной эмульсии (М/В, В/М, М/В/М или В/М/В), такой, как крем, молочко, гель или гелеобразный крем; в форме пудры, твердой палочки и, возможно, может находиться в аэрозольной упаковке и может представлять собой пену или аэрозоль.
Когда речь идет об эмульсии, ее водная фаза может содержать неионную везикулярную дисперсию, получаемую известными способами (Bangham, Standish and Watkins. J. Mol. Biol. 13.238 (1965), патенты Франции 2315991 и 2416008).
Косметическая композиция согласно изобретению может быть использована в качестве средства для защиты человеческой эпидермы или волос от воздействия ультрафиолетового излучения, в качестве солнцезащитной композиции или в качестве продукта для макияжа.
Когда косметическая композиция согласно изобретению используется для защиты человеческой эпидермы от воздействия УФ-излучения или в качестве солнцезащитной композиции, она может находиться в форме суспензии или дисперсии в растворителях или жирах, в форме неионной везикулярной дисперсии или еще в форме эмульсии, предпочтительно типа масло-в-воде, такой, как крем или молочко, в форме мази, геля, гелеобразного крема, твердой палочки, стека, аэрозольной пены или пульверизуемого препарата.
Когда косметическая композиция согласно изобретению используется для защиты волос, она может находиться в форме шампуня, лосьона, геля, эмульсии, неионной везикулярной дисперсии, лака для волос и представлять собой, например, средство для ополаскивания, которое применяют до или после шампуня, до или после окрашивания или обесцвечивания, до, во время или после перманента или распрямления, лосьон или гель для причесывания или лечения, лосьон или гель для причесывания или укладки волос, состав для перманента или распрямления, окраски или обесцвечивания волос.
Когда композицию используют в качестве продукта для макияжа ресниц, бровей или кожи, такого, как крем для обработки эпидермы, жидкая пудра, губная помада, тени для век, румяна для щек, тушь для ресниц и бровей или карандаш для подрисовывания, называемый еще “визуальная подводка”, она может находиться в твердой или пастообразной форме, безводной или водной, как эмульсии масло-в-воде или вода-в-масле, неионные везикулярные дисперсии или еще суспензии.
Для сведения в солнцезащитных составах, согласно изобретению, имеющих основу типа эмульсии масло-в-воде, водная фаза (содержащая особенно гидрофильные фильтры) составляет обычно 50-95 вес.%, предпочтительно 70-90 вес.% по отношению к общей массе состава, масляная фаза (содержащая особенно липофильные фильтры) составляет 5-50 вес.%, предпочтительно 10-30 вес.% по отношению к общей массе состава, и эмульгатор (соэмульгатор) или эмульгаторы (соэмульгаторы) составляют 0,5-20 вес.%, предпочтительно 2-10 вес.% по отношению к общему весу композиции.
Как было указано в начале описания, другим предметом настоящего изобретения является способ косметической обработки кожи или волос, предназначенный для их защиты от воздействия УФ-излучения, заключающийся в нанесении на них эффективного количества косметической композиции, такой, как описанная выше.
Ниже приводятся конкретные примеры, иллюстрирующие изобретение, но не ограничивающие его объема охраны.
Пример 1Готовят различные солнцезащитные составы, представляющие собой эмульсию типа масло-в-воде и содержащие (количества выражены в вес.% по отношению к общему весу композиции): Фаза А: а) фильтр (II), представляющий собой бензотриазолсиликон(*), в количестве – Y % б) Смесь глицерилстеарата и ПЭГ-100-стеарата, продаваемая под названием “Arlacel 165” фирмой ИСИ (эмульгатор) – 1,5% в) Стеариновая кислота, продаваемая под названием “Stearine TP” фирмой Стеаринери Дюбуа – 2,75% г) Цетиловый спирт, продаваемый под названием “Lorol C16” фирмой Хенкель (соэмульгатор) – 0,5% д) Полидиметилсилоксан, продаваемый под названием “Silbione 70047 V 300” фирмой Рон-Пуленк – 0,5% е) Алкилбензоат, содержащий 12-15 атомов углерода, продаваемый под названием “Finsolv TN” фирмой Финетекс – 13% Фаза Б: ж) фильтр (I), представляющий собой бензо-1,4-ди(3-метилиден-10-камфоросульфоновую) кислоту, в количестве – X% з) Глицерин чистый фирмы Кодекс – 4% и) Цетилфосфат калия, продаваемый под названием “Amphisol K” фирмой Givaudan-Roure – 1% к) Сшитая полиакриловая кислота, продаваемая под названием “Carbopol 980” фирмой Гудрич (Goodrich) – 0,3% л) Триэтаноламин – достаточное количество до pH 6,5-7 м) Вода – достаточное количество до 100% Фаза В: н) Циклопентадиметилсилоксан, продаваемый под названием “DC 245 Fluid” фирмой Доу Корнинг – 5% о) Консерванты – достаточное количество (*) бензотриазолсиликон формулы: ![]() где r = 0 s = 1 и ![]() Каждую из этих эмульсий получают следующим способом: фазы А и Б предварительно нагревают и гомогенизируют при 80oC. Затем фазу А при быстром перемешивании диспергируют в фазе Б. Смесь оставляют охлаждаться при медленном перемешивании. При 40oC добавляют фазу В. Для каждого из полученных таким образом составов затем определяют присущий ему индекс защиты от солнечного излучения (SPF). Измерение индекса защиты от солнечного излучения осуществляют следующим способом (ин виво): эти составы наносят из расчета по 2 мг продукта/см2 кожи на спину 10 испытуемых субъектов, после чего защищенные участки кожи и незащищенные участки кожи одновременно подвергают воздействию имитатора солнечного излучения, выпускаемого под названием “Ксенон Мультипорт WG 320-UG 11” (Xenon Multiport WG 320-UG 11); индекс защиты от солнечного излучения (SPF) вычисляют математически, как отношение времени облучения, которое необходимо для достижения эритематогенного порога с УФ-фильтром (защищенная зона), ко времени, которое необходимо для достижения эритематогенного порога без фильтра (незащищенная зона). Составы различных исследованных препаративных форм и полученные значения среднего индекса защиты от солнечного излучения (среднее из 10 моделей) представлены в таблице в конце описания. Эти результаты ясно показывают синергический эффект, полученный композицией 3 в соответствии с изобретением. Присущий ей индекс защиты от солнечного излучения значительно больше простой арифметической суммы индексов защиты от солнечного излучения соответствующих сравниваемых композиций, содержащих только один фильтр. Пример 2 Ниже приводится конкретный пример солнцезащитной композиции согласно изобретению, представляющей собой эмульсию типа масло-в-воде: количества компонентов выражены в мас.% по отношению к общей массе композиции: Бензол-1,4-ди(3-метилиден-10-камфоросульфоновая) кислота – 1% Бензотриазолсиликон(*) – 3% Смесь цетилстеарилового спирта и оксиэтилеированного цетилстеарилового спирта, содержащего 33 моля оксиэтиленовых групп (80/20), продаваемая под названием “Sinnovax AO” фирмой Хенкель – 7% Моностеарат глицерина, продаваемый под коммерческим названием “Geleol Copeaux” фирмой Гаттефоссе – 2% Цетиловый спирт, продаваемый под названием “Lorol C16” фирмой Хенкель – 1,5% Вазелиновое масло – 15% Полидиметилсилоксан, продаваемый под названием “Silbione 70 047 V 300” фирмой Рон-Пуленк – 1,5% Глицерин – 20% Триэтаноламин – достаточное количество до pH 6,5 Консерванты – достаточное количество Вода – достаточное количество до 100% (*) бензотриазолсиликон формулы: ![]() где r = 0 s = 1 и п
Формула изобретения
![]() или 2 ![]() в которых R, одинаковые или разные, выбирают из C1-C10-алкильных радикалов, фенильного или 3,3,3-трифторпропильного радикалов, причем по крайней мере 80% от общего числа радикалов R составляют метильные радикалы; r – целое число между 0 и 50 включительно; S – целое число между 1 и 20 включительно; u – целое число между 1 и 6 включительно; t – целое число между 0 и 10 включительно, при условии, что (t + u) равно или больше 3; символ A обозначает одновалентный радикал, непосредственно связанный с атомом кремния, который отвечает формуле 3 ![]() в которой Y, одинаковые или разные, выбирают из C1-C8-алкильных радикалов, галогенов или алкоксильных радикалов, содержащих 1-4 атома углерода, причем в этом последнем случае два смежных радикала Y, связанных с одним и тем же ароматическим ядром, вместе могут образовывать диоксиалкилиденовую группу, в которой алкилиденовая группа содержит 1-2 атома углерода, X обозначает 0 или NH; Z обозначает водород или C1-C4-алкил; n обозначает целое число между 0 и 3 включительно; m равно нулю или 1; p обозначает целое число между 1 и 10 включительно. 2. Композиция по п. 1, отличающаяся тем, что первый и второй фильтры присутствуют в композиции в пропорции, создающей синергическую активность. 3. Композиция по п.1 или 2, отличающаяся тем, что бензотриазолсиликон выбирают среди соединений общей формулы 1, обладающих по крайней мере одной из следующих характеристик: R представляет собой алкил, предпочтительно, метил; r находится между 0 и 15 включительно; S находится между 1 и 5 включительно, n не равно нулю и предпочтительно равно 1 и тогда Y выбирают из метила, трет. -бутила или C1-C4-адкоксигруппы; Z обозначает водород или метил; m = 0 или [m = 1 и X = 0]; p равно 1. 4. Композиция по п.3, отличающаяся тем, что соединение общей формулы 1 обладает совокупностью вышеупомянутых характеристик. 5. Композиция по п.4, отличающаяся тем, что бензотриазолсиликон выбирают среди соединений общей формулы 5 ![]() где 0 r 15; 1 S 5; D представляет собой двухвалентный радикал:![]() или ![]() 6. Композиция по п.5, отличающаяся тем, что второй фильтр представляет собой бензотриазолсиликон, отвечающий общей формуле 5, в которой r = 0; S = 1; ![]() 7. Композиция по п.5, отличающаяся тем, что второй фильтр представляет собой бензотриазолсиликон, отвечающий общей формуле 5, в которой r = 0; S = 1 ![]() 8. Композиция по любому из предыдущих пунктов, отличающаяся тем, что первый фильтр отвечает формуле 4 ![]() в которой B обозначает атом водорода, щелочной металл или радикал NH(R)3+, в котором радикалы R, которые могут быть одинаковыми или разными, представляют собой атом водорода, C1-C4-алкильный радикал или C1-C4-гидроксиалкильный радикал или группу Mn+/n, в которой Mn+ обозначает катион поливалентного металла, в котором n равно 2 или 3 или 4, причем Mn+ предпочтительно обозначает катион металла, выбираемый из Ca2+, Zn2+, Mg2+, Ba2+, Al3+, Zr4+. 9. Композиция по любому из предыдущих пунктов, отличающаяся тем, что концентрация первого фильтра составляет 0,1-10 вес.% по отношению к общему весу композиции. 10. Композиция по п.9, отличающаяся тем, что вышеупомянутая концентрация составляет 0,2-8 вес.% по отношению к общему весу композиции. 11. Композиция по любому из предыдущих пунктов, отличающаяся тем, что концентрация второго фильтра составляет 0,1-10 вес.% по отношению к общему весу композиции. 12. Композиция по п. 11, отличающаяся тем, что концентрация второго фильтра составляет 0,2-8 вес.% по отношению к общему весу композиции. 13. Композиция по любому из предыдущих пунктов, отличающаяся тем, что косметически приемлемый носитель представляет собой эмульсию типа масло-в- воде. 14. Композиция по любому из предыдущих пунктов, отличающаяся тем, что она дополнительно содержит один или несколько дополнительных органических фильтров, активных в УФ-А и/или УФ-В областях спектра, гидрофильных или липофильных, отличающихся от вышеупомянутых первого и второго фильтров. 15. Композиция по п. 14, отличающаяся тем, что дополнительные органические фильтры выбирают среди производных коричной кислоты, производных салициловой кислоты, производных камфоры, производных триазина, производных бензофенона, производных дибензоилметана, производных , -дифенилакрилата, производных п-аминобензойной кислоты, полимерных фильтров и силиконовых фильтров.
16. Композиция по любому из предыдущих пунктов, отличающаяся тем, что она дополнительно содержит, в качестве дополнительных УФ-активных фотозащитных средств, пигменты или нанопигменты на основе оксидов металлов с защитной оболочкой или без нее.
17. Композиция по п.16, отличающаяся тем, что пигменты или нанопигменты выбирают среди оксидов титана, цинка, железа, циркония, церия и их смесей, покрытых защитной оболочкой или без нее.
18. Композиция по любому из предыдущих пунктов, отличающаяся тем, что она дополнительно содержит по крайней мере один агент, способствующий появлению искусственного загара и/или искусственного потемнения кожи.
19. Композиция по любому из предыдущих пунктов, отличающаяся тем, что она дополнительно содержит по крайней мере одну добавку, выбираемую среди жиров, органических растворителей, ионных или неионных загустителей, смягчающих средств, антиоксидантов, матирующих агентов, стабилизаторов, пластификаторов, силиконов, -гидроксикислот, агентов, препятствующих вспениванию, гидратирующих агентов, витаминов, отдушек, консервантов, поверхностно-активных веществ, наполнителей, комплексообразователей, полимеров, пропеллентов, подщелачивающих или подкисляющих агентов, красителей.
20. Композиция по любому из предыдущих пунктов, отличающаяся тем, что она представляет собой композицию для защиты человеческой эпидермы или солнцезащитную композицию в виде неионной везикулярной дисперсии, эмульсии, в частности, эмульсии типа масло-в-воде, крема, молочка, геля, гелеобразного крема, суспензии, дисперсии, твердой палочки, пены или аэрозоля.
21. Композиция по любому из пп.1 – 19, отличающаяся тем, что представляет собой композицию для подкрашивания ресниц, бровей или кожи, причем она находится в твердой или пастообразной форме, безводной или водной, в форме эмульсии, суспензии или дисперсии.
22. Композиция по любому из пп.1 – 19, отличающаяся тем, что она представляет собой композицию для защиты волос от воздействия ультрафиолетового излучения в форме шампуня, лосьона, геля, эмульсии, неионной везикулярной дисперсии или лака для волос.
23. Композиция по любому из предыдущих пунктов, отличающаяся тем, что она имеет индекс защиты от солнечного излучения для кожи по крайней мере, равный 2.
24. Способ косметической обработки с целью защиты кожи и/или волос от воздействия ультрафиолетового излучения, в частности солнечного излучения, заключающийся в нанесении на них эффективного количества композиции по любому из пп.1 – 23.
РИСУНКИ
MM4A Досрочное прекращение действия патента Российской Федерации на изобретение из-за неуплаты в установленный срок пошлины за поддержание патента в силе
Дата прекращения действия патента: 24.04.2005
Извещение опубликовано: 27.12.2006 БИ: 36/2006
|
||||||||||||||||||||||||||



3;






r 



и исходя из соответствующего силикона, в котором, например, все радикалы A представляют собой атомы водорода. Этот исходный силикон впоследствии называется “SiH-производное”. Эти SiH-производные представляют собой продукты, хорошо известные в промышленности по производству силиконов, и обычно имеются в продаже. Например, они описаны в американских заявках на патенты 3 220 972, 3 697 473 и 4 340 709. Это SiH-производное, следовательно, может быть представлено либо следующей формулой (1 бис):


,
-гидроксикислот, агентов, препятствующих вспениванию, гидратирующих агентов, витаминов, отдушек, консервантов, поверхностно-активных веществ, наполнителей, комплексообразователей, полимеров, выталкивающих агентов, подщелачивающих или подкисляющих агентов, красителей, или любой другой компонент, обычно используемый в косметике, в частности, для приготовления солнцезащитных композиций в форме эмульсий.
Жиры могут представлять собой масло или воск, или их смеси, и они также включают жирные кислоты, жирные спирты и эфиры жирных кислот. Масла могут быть выбраны среди животных, растительных, минеральных или синтетических масел, и особенно среди вазелинового масла, парафинового масла, летучих или нелетучих силиконовых масел, изопарафинов, поли- 


п








