Патент на изобретение №2158585
|
||||||||||||||||||||||||||
(54) КОМПОЗИЦИЯ ДЛЯ ОБРАБОТКИ КЕРАТИНОВЫХ ВОЛОКОН, В ЧАСТНОСТИ ВОЛОС ЧЕЛОВЕКА, СПОСОБ ИХ ОКРАШИВАНИЯ, УПАКОВКА НАБОРА ДЛЯ ОКРАШИВАНИЯ КЕРАТИНОВЫХ ВОЛОКОН, В ЧАСТНОСТИ ВОЛОС ЧЕЛОВЕКА
(57) Реферат: Изобретение относится к косметическим композициям для обработки волос, содержащим в приемлемом носителе фермент типа двухэлектронной оксидоредуктазы в присутствии донора для этого фермента и неионный жирный сахарамид, к способу окрашивания, перманентной обработки и обесцвечиванию волос с использованием предложенной композиции, а также к упаковке набора для окрашивания волос. Изобретение обеспечивает равномерную окраску с малой избирательностью и надежной устойчивостью к атмосферным воздействиям. 5 с. и 25 з.п. ф-лы. Изобретение относится к окислительной композиции, предназначенной для обработки кератиновых волокон, которая содержит по меньшей мере один фермент типа двухэлектронной оксидоредуктазы в присутствии по меньшей мере одного донора для этого фермента и по меньшей мере одного неионного жирного сахарамида, а также к применению этой композиции для окраски, перманентной обработки или обесцвечивания кератиновых волокон, в частности волос человека. Известны способы окраски кератиновых волокон и, в частности, волос человека красящими композициями, содержащими предшественники окислительных красителей, в частности п-фенилендиамины, о- и п- аминофенолы, гетероциклические основания, обычно называемые окисляемыми основаниями. Предшественники окислительных красителей, или окисляемые основания, являются бесцветными или слабоокрашенными соединениями, которые, соединяясь с окислительными соединениями, могут в результате окислительной конденсации дать окрашенные продукты и красители. Известно также, что можно варьировать цветовые оттенки, получаемые с этими окисляемыми основаниями, соединяя их с краскообразующими веществами и модификаторами окрашивания, которые, в частности, выбирают из числа ароматических м-диаминов, м-аминофенолов, м-дифенолов и некоторых гетероциклических соединений. Разнообразие применяемых окисляемых оснований и краскообразующих веществ дает возможность получения богатой палитры цветов. Называемое “перманентным” окрашивание, получаемое благодаря окислительным красителям, должно вместе с тем удовлетворять определенному числу требований. Более конкретно, оно не должно иметь недостатков в плане токсикологии, должно обеспечивать получение оттенков желаемой интенсивности и быть устойчивым к внешним агентам (свету, непогоде, мытью, перманентной завивке, потению и воздействиям, связанным с трением). Красители должны также позволять покрытие седых волос и, наконец, быть как можно менее избирательными, т. е. обеспечивать наименьшую возможную разницу в окраске по длине одного и того же кератинового волокна, которое в действительности может быть в различной степени сенсибилизированным (т.е. поврежденным) на протяжении между его концом и корнем. Окислительная окраска кератиновых волокон, как правило, производится в щелочной среде в присутствии перекиси водорода. Однако использование щелочных сред в присутствии перекиси водорода обладает тем недостатком, что оно может привести к существенному разрушению волокон, а также к значительному обесцвечиванию кератиновых волокон, что не всегда является желательным. Окислительная окраска кератиновых волокон может также производиться с помощью окислительных систем, отличных от перекиси водорода, например ферментных систем. Так, уже предлагалось (в частности, в заявке на патент EP-A-0310675) окрашивать кератиновые волокна композициями, содержащими предшественник окислительного красителя в комбинации с ферментами, такими как пиранозоксидаза, глюкозоксидаза или уриказа, в присутствии донора для названных ферментов. Эти красящие составы, несмотря на то, что их применяют в условиях, не приводящих к разрушению кератиновых волокон, сравнимому с тем, которое имеет место при окраске, производимой в присутствии перекиси водорода, все же не дают удовлетворительных окрасок как в отношении равномерности распределения цвета вдоль волокна (“унисон”), так и в отношении хроматичности (блеска), силы окраски и ее устойчивости в отношении различных агрессивных воздействий, которым могут быть подвержены волосы. Известно, что наиболее общеупотребительный способ получения перманентной деформации волос состоит в том, чтобы сначала раскрыть в кератине (цистине) дисульфидные связи S-S с помощью композиции, содержащей подходящий восстанавливающий агент (стадия восстановления), и затем, после ополаскивания обработанных таким образом волос, вновь образовать дисульфидные связи путем воздействия на предварительно натянутые (с помощью бигуди и проч.) волосы окислительной композицией (стадия окисления, называемая также стадией фиксации), придавая в конечном итоге волосам желаемую форму. Таким образом, этот способ делает возможным быстро произвести либо завивку волос, либо их распрямление. Новая форма, придаваемая волосам названной выше химической обработкой, исключительно долговечна и устойчива, в частности, в отношении мытья водой или шампунями, что отличает эту обработку от простых классических способов деформирования волос, например с использованием плиссировки. Восстановительные композиции, используемые для реализации первой стадии перманента, обычно содержат в качестве восстанавливающих агентов сульфиты, бисульфиты, алкилфосфины или, преимущественно, тиолы. Из числа последних наиболее часто используют цистеин и его различные производные, цистеамин и его производные, тиомолочную или тиогликолевую кислоту, их соли, а также их сложные эфиры, в частности тиогликолят глицерина. Что же касается окислительных композиций, необходимых для осуществления стадии фиксации, чаще всего на практике прибегают к композициям на основе перекиси водорода, бромата натрия или перекисных солей, таких как перборат натрия, недостатками которых является их способность разрушать волосы. Проблема известных до сегодняшнего дня способов создания перманента состоит в том, что воздействие на волосы приводит к длительному ухудшению их качества. Главными причинами ухудшения качества волос являются ухудшение их косметических свойств, таких как блеск, восприятие на ощупь и нарушение их механических свойств, более конкретно, нарушение их механической стойкости, обусловленное набуханием кератиновых волокон при ополаскивании между стадиями восстановления и окисления, что может также проявиться в увеличении их пористости. Волосы ослабляются и могут стать ломкими при последующих воздействиях на них, например при временной завивке. Та же самая проблема ухудшения кератинового волокна возникает и в процессе обесцвечивания волос. Известно, что перманентную обработку или обесцвечивание кератиновых волокон можно также осуществить в более мягких условиях с помощью окислительных систем, отличных от перекиси водорода, таких как ферментные системы. Так, уже предлагались способы перманентной обработки или обесцвечивания кератиновых волокон, в частности в заявке на патент EP-A-0310675, с использованием композиций, содержащих такие ферменты как пиранозоксидаза, глюкозоксидаза или уриказа, в присутствии донора для этих ферментов. Эти окислительные составы, несмотря на то, что их применяют в условиях, не приводящих к разрушению кератиновых волокон, подобному тому, которое имеет место в классических способах создания перманента или обесцвечивания, все же дают результаты, не являющиеся удовлетворительными как в отношении долговечности завивки, так и в отношении возможности последующей обработки “перманентных” или обесцвеченных волос в отношении снижения ухудшения механических свойств “перманентных” волос, а именно снижения пористости волос, в отношении таких косметических свойств как восприятие на ощупь, а также в отношении равномерности обесцвечивания по длине кератиновых волокон. Целью настоящего изобретения является решение названных выше проблем. Заявитель пришел к неожиданному открытию новых композиций, содержащих в качестве окислительной системы по меньшей мере один фермент типа двухэлектронной оксидоредуктазы в присутствии по меньшей мере одного донора для этого фермента и по меньшей мере один неионный жирный сахарамид, которые могут в присутствии предшественников окислительного красителя и, возможно, краскообразующих веществ, образовывать готовые к употреблению красящие составы, дающие более равномерные, более сильные и более хроматичные окраски, не приводя к значительному разрушению, причем эти окраски обладают малой избирательностью и устойчивостью к различным агрессивным воздействиям, которым могут быть подвержены волосы. Заявитель также неожиданным образом обнаружил, что использование в способе перманентной обработки кератиновых волокон окислительной композиции, содержащей в качестве окислительной системы по меньшей мере один фермент типа двухэлектронной оксидоредуктазы в присутствии по меньшей мере одного донора для этого фермента и по меньшей мере один неионный жирный сахарамид, обеспечивает решение названных выше технических проблем. В частности такой тип окислительной композиции помогает улучшить долговечность полученной завивки, значительно уменьшить пористость “перманентных” волос и обеспечить возможность последующей обработки “перманентных” волос. Заявитель также обнаружил, что использование в способе обесцвечивания кератиновых волокон окислительной композиции, содержащей по меньшей мере один фермент типа двухэлектронной оксидоредуктазы, в качестве окислительной системы, в присутствии по меньшей мере одного донора для указанного фермента, и по меньшей мере один неионный жирный сахарамид, позволяет разрешить указанные технические проблемы, в частности обеспечить возможность последующей обработки обесцвеченных волос. Этот тип окислительной композиции позволяет обеспечить более однородное обесцвечивание волос и улучшить их косметические свойства, такие как восприятие на ощупь. Сделанные открытия лежат в основе настоящего изобретения. Таким образом, первым предметом настоящего изобретения являются косметические и/или дерматологические композиции, предназначенные для обработки кератиновых волокон, в частности кератиновых волокон человека, и, более конкретно, человеческих волос, которые содержат в подходящем для кератиновых волокон носителе: а) по меньшей мере один фермент типа двухэлектронной оксидоредуктазы в присутствии по меньшей мере одного донора для этого фермента и б) по меньшей мере один неионный жирный сахарамид. Используемая в окислительных композициях настоящего изобретения двухэлектронная оксидоредуктаза или оксидоредуктазы могут быть, в частности, выбраны из группы, включающей пиранозоксидазы, глюкозоксидазы, глицериноксидазы, лактатоксидазы, пируватоксидазы и уриказы. Согласно изобретению двухэлектронную оксидоредуктазу преимущественно выбирают из числа уриказ животного, микробиологического и биотехнологического происхождения. В качестве примера, в частности, могут быть названы уриказа, выделенная из печени кабана, уриказа Artrobacter globiformus, а также уриказа Aspergillus flavus. Двухэлектронная оксидоредуктаза или оксидоредуктазы могут использоваться в чистой кристаллической форме или будучи разбавленными в инертном для этой двухэлектронной оксидоредуктазы разбавителе. Соответствующая настоящему изобретению двухэлектронная оксидоредуктаза или оксидоредуктазы преимущественно составляют приблизительно от 0,01 до 20% и, более предпочтительно, приблизительно от 0,1 до 5% от общей массы композиции. Под донором, в соответствии с изобретением, подразумеваются различные субстраты, также необходимые для названной или названных двухэлектронных оксидоредуктаз. Природа донора (или субстрата) для названного фермента зависит от природы используемой двухэлектронной оксидоредуктазы. Например донорами для пиранозоксидаз могут быть D-глюкоза, L-сорбоза и D-ксилоза; донором для глюкозоксидаз – D-глюкоза; донорами для глицериноксидаз – глицерин и дигидроксиацетон; донорами для лактатоксидаз – молочная кислота и ее соли; донорами для пируватоксидаз – пировиноградная кислота и ее соли; и, наконец, донорами для уриказ – мочевая кислота и ее соли. Используемый в соответствии с изобретением донор или доноры (субстраты) преимущественно составляют приблизительно от 0,01 до 20% и, более предпочтительно, приблизительно от 0,1 до 5% от общей массы композиции по изобретению. Под жирными сахарамидами, в соответствии с изобретением, подразумевают соединения, содержащие по меньшей мере одну амидную функцию и включающие по меньшей мере один фрагмент сахарида и по меньшей мере одну жирную цепочку. Такого рода соединения могут быть, например, получены при действии жирных кислот или производных жирных кислот на сахариды, содержащие карбоксильную функцию (свободную или в форме лактона), или функцию карбоксильного производного, или же карбонильную функцию, в присутствии, при необходимости, дополнительных участников реакции. Неионные жирные сахарамиды, соответствующие настоящему изобретению, выбирают преимущественно из числа N-замещенных амидов альдоновых кислот и амидов жирных полигидроксикислот или их смесей. Используемые в соответствии с изобретением N-замещенные альдонамиды могут быть выбраны из числа тех, которые описаны в заявке на патент EP-A-550106, содержание которой является составной частью настоящего описания. Из этих соединений могут быть названы N-замещенные лактобионамиды, N-замещенные мальтобионамиды, N-замещенные целлобионамиды, N-замещенные меллибионамиды и N-замещенные гентиобионамиды, такие как: (i) N-алкиллактобионамиды, N-алкилмальтобионамиды, N-алкилцеллобионамиды, N-алкилмеллибионамиды или N-алкилгентиобионамиды, моно- или дизамещенные насыщенной или ненасыщенной, нормальной или разветвленной алифатической углеводородной группой, которая может содержать гетероатомы и имеет преимущественно до 36, более предпочтительно, до 24 и, как правило, от 8 до 18 атомов углерода (примеры: метил, этил, амил, гексил, гептил, нонил, децил, ундецил, додецил, тридецил, тетрадецил, пентадецил, гексадецил, гептадецил, октадецил; аллил, ундеценил, олеил, линолеил, пропенил, гептенил), ароматической группой (примеры: бензил, анилин, замещенный бензил, фенилэтил, феноксиэтил, винилбензил) или циклоалифатическими группами (например, циклопентилом и циклогексилом); (ii) сложные эфиры N-лактобиониламинокислоты, где аминокислотой может, в частности, быть аланин, валин, глицин, лизин, лейцин, аргинин, аспарагиновая кислота, глутаминовая кислота, треонин, серии, цистеин, гистилин, тирозин, метионин или аминокислоту выбирают из группы, включающей бета-аланин, саркозин, гаммааминомасляную кислоту, орнитин, цитруллин или эквивалентные им соединения; причем названные сложные эфиры N-лактобиониламинокислот замещены группой формулы : ![]() где R обозначает алифатическую углеводородную группу, которая может содержать до 36 атомов углерода, n является целым числом больше 1; а также соответствующих сложных эфиров N-мальтобиониламинокислоты, сложных эфиров M-меллибиониламинокислоты, сложных эфиров N-целлобиониламинокислоты и N-гентобиониламинокислот, (iii) N-(алкоксиалкил)лактобионамиды, моно- и дизамещенные группой -(CH2)nOR’, в которой R’ обозначает алифатическую, ароматическую или циклоалифатическую углеводородную группу, определенную в параграфе (i), (iv) N-(полиалкоксиалкил)лактобионамиды, N-(полиалкоксиалкил) мальтобионамиды, N-(полиалкоксиалкил)целлобионамиды, N-(полиалкоксиалкил) меллиобионамиды или N-(полиалкоксиалкил)гентиобионамиды, моно- или дизамещенные группой R1-(OR1)nR1R2, в которой R1 обозначает алкиленовую группу: этилен, пропилен или их смеси, n является целым числом больше 1 и R2 обозначает лактобионамидную, мальтобионамидную, целлобионамидную, меллиобионамидную или гентиобионамидную группу. Соответствующие настоящему изобретению полигидроксильные жирные амиды преимущественно выбирают из числа описанных в патенте EP-B-550656, содержание которого является составной частью настоящего описания, и соответствующих следующей формуле: ![]() где B обозначает водород, C1-C4-углеводородный радикал, 2-гидроксиэтил, 2-гидроксипропил или их смеси и, преимущественно, C1-C4-алкил, такой как метил, этил, пропил, изопропил, н-бутил, предпочтительно, метил; A обозначает C6-C31-углеводородную группу, преимущественно нормальную C7-C17-алкильную, или алкенильную цепочку, или их смеси; Z обозначает полигидроксиуглеводородную группу, имеющую нормальную углеводородную цепь с непосредственно связанными с ней по меньшей мере 3 гидроксильными группами или алкокси (преимущественно, этокси или пропокси) производное этой группы. Z является преимущественно производным сахарида-восстановителя, полученным реакцией восстановительного аминирования, и, более предпочтительно, глицитильной группой. Из числа сахаридов-восстановителей могут быть названы глюкоза, мальтоза, лактоза, галактоза, манноза и ксилоза. Еще более предпочтителен выбор Z из групп, имеющих следующие формулы -CH2-(CHOH)n-CH2OH, -CH-(CH2OH)-(CHOH)n-1-CH2OH, -CH2-(CHOH)2(CHOR’)(CHOH)-CH2OH, где n есть целое число от 3 до 5, R’ обозначает водород или циклический или алифатический моносахарид и одно из его алкоксильных производных, из которых более предпочтительной является глицитильная группа, в которой n = 4, в частности группа -CH2-(CHOH)n-CH2OH. Группа A-CON = может, например, быть амидом кислот кокосового масла, стеариновой, олеиновой, лауриновой, миристиновой, каприновой, пальмитиновой кислот и амид жира. Композиции по настоящему изобретению содержат определенные выше неионные жирные сахарамиды в весовой концентрации от 0,05 до 20%, преимущественно от 0,1 до 10% и, еще более предпочтительно, от 0,2 до 8% от общей массы композиции. Предметом настоящего изобретения является также готовая к употреблению композиция для окислительной окраски кератиновых волокон, в частности кератиновых волокон человека, таких как волосы, содержащая в подходящей для окраски среде по меньшей мере одно основание и, в некоторых случаях, одно или несколько краскообразующих веществ и отличающаяся тем, что она содержит: a) по меньшей мере один фермент двухэлектронного оксидоредуктазного типа в присутствии по меньшей мере одного донора для этого фермента и b) по меньшей мере один неионный жирный сахарамид. Природа окисляемого основания или оснований, используемых в готовой к употреблению красящей композиции, не имеет принципиального значения. Они, в частности, могут быть выбраны из n-фенилендиаминов, двойных оснований, n-аминофенолов, o-аминофенолов и гетероциклических окисляемых оснований. Из числа n-фенилендиаминов, пригодных для использования в качестве окисляемых оснований в красящих композициях по изобретению, следует, в частности, назвать соединения приведенной ниже формулы I и их солевые аддукты с кислотами: ![]() в которой R1 обозначает атом водорода, C1-C4-алкил, моногидрокси-C1-C4-алкил, полигидрокси-C2-C4-алкил, C1-C4-аккокси-C1-C4-алкил, C1-C4-алкил, замещенный азотсодержащей группой, фенилом или 4′-аминофенилом; R2 обозначает атом водорода, C1-C4-алкил, моногидрокси-C1-C4-алкил, полигидрокси-C2-C4-алкил, C1-C4-алкокси-C1-C4-алкил или C1-C4-алкил, замещенный азотсодержащей группой; R3 обозначает атом водорода, атом галогена: хлор, бром, йод или фтор, C1-C4-алкил, моногидрокси-C1-C4-алкил, гидрокси-C1-C4-алкокси, ацетиламино-C1-C4-алкокси, мезиламино-C1-C4-алкокси или карбамиламино-C1-C4-алкокси; и R4 обозначает атом водорода, атом галогена или C1-C4-алкил. Из числа азотсодержащих групп в приведенной выше формуле I следует, в частности, назвать группы амино, моно-C1-C4-алкиламино, ди-C1-C4-алкиламино, три-C1-C4-алкиламино, моногидрокси-C1-C4– алкиламино, имидазолиниевую и аммониевую. Из числа n-фенилендиаминов приведенной выше формулы I следует особенно выделить n-фенилендиамин, n-толуилендиамин, 2-хлор-n-фенилендиамин, 2,3-диметил-n-фенилендиамин, 2,6-диметил-n-фенилендиамин, 2,6-диэтил-n-фенилендиамин, 2,5-диметил-n-фенилендиамин, N, N-диметил-n-фенилендиамин, N,N-диэтил-n- фенилендиамин, N,N-дипропил-n-фенилендиамин, 4-амино-N,N-диэтил-3-метиланилин, N,N-бис ( -гидроксиэтил)- n-фенилендиамин, 4-N,N-биc( -гидpoкcиэтил)амино-2-метиланилин, 4-N,N-бис( -гидроксиэтил)амино-2-хлоранилин, 2-( -гидроксиэтил)-n-фенилендиамин, 2-фтор-n-фенилендиамин, 2-изопропил-n-фенилендиамин, N-( -гидроксипропил)-n-фенилендиамин, 2-гидроксиметил-n-фенилендиамин, N, N-диметил-3-метил-n-фенилендиамин, N-этил-N-( -гидроксиэтил)-n-фенилендиамин, N-( , -дигидроксипропил)-n-фенилендиамин, N-(4′-аминофенил)-n-фенилендиамин, N-фенил-n-фенилендиамин, 2-( -гидроксиэтокси)-n-фенилендиамин, 2-( -ацетиламиноэтокси)-n-фенилендиамин, N-( -метоксиэтил)-n-фенилендиамин и их солевые аддукты с кислотами.
Наиболее предпочтительными из приведенных выше n-фенилендиаминов формулы I являются n-фенилендиамин, n-толуилендиамин, 2-изопропил-n-фенилендиамин, 2-( -гидpoкcиэтил)-n-фенилендиамин, 2-( -гидроксиэтокси)-n-фенилендиамин, 2,6-диметил-n-фенилендиамин, 2,6-диэтил-n-фенилендиамин, 2,3-диметил-n-фенилендиамин, N, N-бис ( -гидроксиэтил)-n-фенилендиамин, 2-хлор-n-фенилендиамин, 2-( -ацетиламиноэтокси)-n-фенилендиамин и их солевые аддукты с кислотами.
Согласно изобретению под двойными основаниями подразумевают соединения, содержащие по меньшей мере два ароматических ядра, замещенные амино и/или гидроксильной группами.
Из двойных оснований, пригодных для использования в качестве окисляемых оснований в красящих композициях по изобретению, могут быть, в частности, названы соединения, соответствующие приведенной ниже формуле II, и их солевые аддукты c кислотами:![]() в которой Z1 и Z2, одинаковые или разные, обозначают радикал гидроксил или -NH2, которые могут быть замещены C1-C4-алкилом или связкой Y; связка Y обозначает линейную или разветвленную алкиленовую цепь с 1-14 атомами углерода, которая может быть прервана или завершена одной или несколькими азотсодержащими группами и/или одним или несколькими гетероатомами, такими как кислород, сера или азот, и в ряде случаев замещена одним или несколькими гидроксильными или C1-C6-алкокси-группами; R5 и R6 обозначают атом водорода или галогена, C1-C4-алкил, моногидрокси-C1-C4-алкил, полигидрокси-C2-C4-алкил, амино-C1-C4– алкил или связку Y; R7, R8, R9, R10, R11 и R12, одинаковые или разные, обозначают атом водорода, связку Y или C1-C4-алкил; при условии, что соединения формулы II содержат только одну связку Y на молекулу. Из азотсодержащих групп в приведенной выше формуле II могут быть, в частности, названы группы амино, моно-C1-C4-алкиламино, ди-C1-C4-алкиламино, три-C1-C4-алкиламино, моно-гидрокси-C1-C4-алкиламино, имидазолиниевая и аммониевая. Из двойных оснований приведенной выше формулы II можно, в частности, выделить N,N’-бис( -гидроксиэтил)-N,N’-бис(4′-аминофенил)-1,3-диаминопропанол, N, N-бис ( -гидроксиэтил)-N,N’-бис-(4′-аминофенил)этилендиамин, N,N’-бис(4-аминофенил)тетраметилендиамин, N, N’-бис ( -гидроксиэтил)-N,N’-бис(4-аминофенил)тетраметилендиамин, N, N’-бис-(4-метиламинофенил)тетраметилендиамин, -N, N’-бис(этил)-N,N’-бис(4′-амино-3′-метилфенил)этилендиамин, 1,8-бис(2,5-диаминофенокси)-3,5-диоксаоктан и их солевые аддукты с кислотами. Из этих двойных оснований формулы II особенно предпочтительны N,N-бис ( -гидроксиэтил)-N, N’-бис(4′-аминофенил)-1,3-диаминопропанол, 1,8-бис(2,5-диаминофенокси)-3,5-диоксаоктан и их солевые аддукты с кислотами.
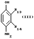
Из n-аминофенолов, пригодных в качестве окисляемых оснований в красящих композициях по изобретению, могут быть, в частности, названы соединения, соответствующие приведенной ниже формуле III, и их солевые аддукты с кислотами:![]() в которой R13 обозначает атом водорода или галогена, C1-C4-алкил, моногидрокси-C1-C4-алкил, C1-C4-алкокси-C1-C4-алкил, амино-C1-C4-алкил или гидрокси-C1-C4-алкиламино-C1-C4-алкил, R14 обозначает атом водорода или галогена, C1-C4-алкил, моногидрокси-C1-C4-алкил, полигидрокси-C2-C4-алкил, амино-C1-C4-алкил, циано-C1-C4-алкил или C1-C4-алкокси-C1-C4-алкил, при условии, что по меньшей мере один из радикалов R13 или R14 является атомом водорода. Из n-аминофенолов приведенной выше формулы III следует особенно выделить n-аминофенол, 4-амино-3-метилфенол, 4-амино-3-фторфенол, 4-амино-3-гидроксиметилфенол, 4-амино-2-метилфенол, 4-амино-2-гидроксиметилфенол, 4-амино-2-метоксиметилфенол, 4-амино-2-аминометилфенол, 4-амино-2-( -гидроксиэтиламинометил) фенол, 4-амино-2-фторфенол и их солевые аддукты с кислотами.
Из o-аминофенолов, пригодных в качестве окисляемых оснований в красящих композициях по изобретению, могут быть, в частности, названы 2-аминофенол, 2-амино-5-метилфенол, 2-амино-6-метилфенол, 5-ацетамидо-2-аминофенол и их солевые аддукты с кислотами.
Из гетероциклических оснований, пригодных в качестве окисляемых оснований в красящих композициях по изобретению, могут быть, в частности, названы пиридиновые производные, пиримидиновые производные, производные пиразола, пиразолопиримидиновые производные и их солевые аддукты с кислотами.
Из пирилиновых производных могут быть, в частности, названы соединения, описанные, например, в патентах GB 1026978 и GB 1153196, такие как 2,5-диаминопиридин, 2-(4-метоксифенил)амино-3-аминопиридин, 2,3-диамино-6-метоксипиридин, 2-( -метоксиэтил)амино-3-амино-6-метоксипиридин, 3,4-диаминопиридин и их солевые аддукты с кислотами.
Из пиримидиновых производных могут быть, в частности, названы соединения, описанные, например, в германском патенте DE 2359399, или японском патенте JP 88-169571, или в заявке на патент WO 96/15765, такие как 2,4,5,6-тетрааминопиримидин, 4-гидрокси- 2,5,6-триаминопиримидин, 2-гидрокси-4,5,6-триаминопиримидин, 2,4-дигидрокси-5,6-диаминопиримидин, 2,5,6-триаминопиримидин и их солевые аддукты с кислотами.
Из производных пиразола могут быть, в частности, названы соединения, описанные, например, в патентах DE 3843892 и DE 4133957 и в заявке на патент WO 94/08969, WO 94/08970, FR-A- 2733749 и DE 19543988, такие как 4,5-диамино-1-метилпиразол, 3,4-диаминопиразол, 4,5-диамино-1-(4′-хлорбензил) пиразол, 4,5-диамино-1,3-диметилпиразол, 4,5 -диамино-3-метил-1-фенилпиразол, 4,5-диамино-1-метил-3-фенилпиразол, 4-амино-1,3-диметил-5-гидразинопиразол, 1-бензил-4,5-диамино-3-метилпиразол, 4,5-диамино-3-трет-бутил-1-метилпиразол, 4,5-диамино-1-трет-бутил-3-метилпиразол, 4, 5-диамино-1-( -гидроксиэтил)-3-метилпиразол, 4,5-диамино-1-этил-3-метилпиразол, 4,5-диамино-1-этил-3-(4′-метоксифенил)пиразол, 4,5-диамино-1-этил-3-гидроксиметилпиразол, 4,5-диамино-3-гидроксиметил-1-метилпиразол, 4,5-диамино-3-гидроксиметил-1-изопропилпиразол, 4,5-диамино-3-метил-1-изопропилпиразол, 4-амино-5-(2′-аминоэтил)амино-1,3-диметилпиразол, 3,4,5-триаминопиразол, 1-метил-3,4,5-триаминопиразол, 3,5-диамино-1-метил-4-метиламинопиразол, 3,5-диамино-4-( -гилроксиэтил)амино-1-метилпиразол и их солевые аддукты с кислотами.
Из пиразоло-пиримидиновых производных могут быть, в частности, названы пиразоло[1,5-а] пиримидины приведенной ниже формулы IV, их солевые аддукты с кислотами или основаниями и их таутомерные формы в том случае, когда существует таутомерное равновесие:![]() в которой R15, R16, R17 и R18 одинаковые или разные, обозначают атом водорода, C1-C4-алкил, радикал арил, гидрокси-C1-C4-алкил, полигидрокси-C2-C4-алкил, C1-C4-алкокси-C1-C4-алкил, амино-C1-C4-алкил (аминогруппа может быть защищена ацетильным, уреидо- или сульфонильным радикалом), C1-C4-алкиламино-C1-C4-алкил, ди(C1-C4-алкил)амино-C1-C4-алкил (диалкильные радикалы могут образовывать углеродный цикл или 5- или 6-членный гетероцикл), гидрокси-C1-C4-алкил- или ди(гидрокси-C1-C4-алкил) амино-C1-C4-алкил; радикалы X, одинаковые или разные, обозначают атом водорода, C1-C4-алкил, радикал арил, гидрокси-C1-C4-алкил, полигидрокси-C2-C4-алкил, амино-C1-C4-алкил, C1-C4-алкил-амино-C1-C4-алкил, ди(C1-C4-алкил)амино-C1-C4-алкил(диалкильные радикалы могут образовывать углеродный цикл или 5- или 6-членный гетероцикл), гидрокси-C1-C4-алкил- или ди(гидрокси-C1-C4-алкил)амино-C1-C4-алкил, аминогруппу, C1-C4-алкил- или ди(C1-C4– алкил)амино-группу, атом галогена, карбоксильную или сульфонильную группу; i равно 0, 1, 2 или 3; p равно 0 или 1; q равно 0 или 1; n равно 0 или 1; при условии, что: сумма p + q отлична от 0; когда p + q равно 2, тогда n равно 0, а группы NR15R16 и NR17R18 занимают положения (2, 3), (5, 6), (6, 7), (3, 5) или (3, 7); когда p + q равно 1, тогда n равно 1, а группа NR15R16 (NR17R18) и группа ОН занимают положения (2, 3), (5, 6), (6, 7), (3, 5) или (3, 7). Когда пиразоло[1,5-а]пиримидины приведенной выше формулы IV содержат гидроксильную группу в одном из положений 2, 5 или 7 (в -положении к атому азота), существует таутомерное равновесие, иллюстрируемое в качестве примера следующей схемой:![]() Из пиразоло[1,5-a]пиримидинов приведенной выше формулы IV могут быть, в частности, названы: 3,7-диаминопиразоло[1,5-а]пиримидин; 3,7-диамино-2,5-диметилпиразоло[1,5-а]пиримидин; 3,5-диаминопиразоло[1,5-а]пиримидин; 3,5-диамино-2,7-диметилпиразоло[1,5-а]пиримидин; 3-аминопиразоло[1,5-а]пиримидин-7-ол; 3-аминопиразоло[1,5-а]пиримидин-5-ол; 2-(3-аминопиразоло[1,5-а]пиримидин-7-иламино)этанол; 2-(7-аминопиразоло[1,5-а]пиримидин-3-иламино)этанол; 2-[(3-аминопиразоло[1,5-а]пиримидин-7-ил)-(2-гидроксиэтил)амино]этанол; 2-[(7-аминопиразоло[1,5-а]пиримидин-3-ил)-(2-гидроксиэтил)амино]этанол; 3,7-диамино-5,6-диметилпиразоло[1,5-а]пиримидин; 3,7-диамино-2,6-диметилпиразоло[1,5-а]пиримидин; 3,7-диамино-2,5,N7,N7-тетраметилпиразоло[1,5-а]пиримидин; их солевые аддукты и их таутомерные формы в том случае, когда существует таутомерное равновесие. Пиразоло[1,5-а] пиримидины приведенной выше формулы IV могут быть получены циклизацией аминопиразолов по методам, описанным в следующих источниках: EP 628559 BEIESRDORF-LILLY. R.Vishdu, H.Havedul, Indian J.Chem., 34b (6), 514, 1995. N.S. Ibrahim, K.U. Sadek, F.A. Abdel – Al, Arch. Pharm., 320, 240, 1987. R.H. Springer, M.B. Scholten, D.E. O’Brien, T. Novinson, J.P. Miller, R. K. Robins, J. Med. Chem., 25, 235, 1982. T. Novinson, R.K. Robins, T.R. Matthews, J. Med. Chem., 20, 296, 1977. US 3907799 ICN PARMACEUTICALS. Пиразоло[1,5-а] пиримидины приведенной выше формулы IV могут быть также получены циклизацией гидразина по методам, описанным в следующих источниках: A. McKillop и R.J. Kobilecki, Heterocycles 6(9), 1355, 1977. E. Alcade, J. De Mendoza, J.M. Marcia-Marquina, C. Almera, J. Elguero, J. Heterocyclic Chem., 11(3), 423, 1974. K. Saito, I. Hori, M. Higarashi, H. Midorikawa, Bull. Chem. Soc. Japan, 47(2), 476, 1974. Окисляемые основания по изобретению преимущественно составляют, приблизительно от 0,0005 до 12%, более предпочтительно приблизительно от 0,005 до 6% от общей массы готовой к применению красящей композиции. Пригодные для использования краскообразующие вещества являются соединениями, традиционно используемыми в окислительных красящих композициях – это м-фенилендиамины, м-аминофенолы и м-дифенолы, моно- и полигидроксильные производные нафталина, сесамол (3,4-метилендиоксифенол) и его производные и гетероциклические соединения, такие, например, как индольные производные, индолиновые производные, производные бензимидазола, бензоморфолина, сесамола, пиразоло-азольные производные, пирроло-азольные производные, имидазолоазольные производные, производные пиразолопиримидина, пиразолин-3,5-диона, пирроло[3,2-d] оксазола, пиразоло[3,4-d] тиазола, S-оксид-тиазоло-азольные производные, S,S-диоксидтиазоло-азольные производные и их солевые аддукты с кислотами. Эти краскообразующие вещества могут быть, в частности, выбраны из следующих соединений: 2-метил-5-аминофенол, 5-N-( -гидроксиэтил)амино-2-метилфенол, 3-аминофенол, 1,3-дигидроксибензол, 1,3-дигидрокси-2-метилбензол, 4-хлор-1,3-дигидроксибензол, 2,4-диaминo- 1-( -гидpoкcиэтoкcи)бензол, 2-амино-4-( -гидроксэтиламино)-1-метоксибензол, 1,3-диаминобензол, 1,3-бис(2,4-диаминофенокси)пропан, сесамол, -нафтол, 6-гидроксииндол, 4-гидроксииндол, 4-гидрокси-N-метилиндол, 6-гидроксииндолин, 2,6-дигидрокси-4-метилпиридин, 1-H-3-метилпиразол-5-он, 1-фенил-3-метилпиразол-5-он и их солевые аддукты с кислотами.
В том случае, когда они присутствуют, краскообразующие вещества преимущественно составляют, приблизительно, от 0,0001 до 10% и, более предпочтительно, приблизительно от 0,005 до 5% от общей массы готовой к употреблению красящей композиции.
Как правило, солевые аддукты с кислотами, пригодные для использования в красящих композициях по изобретению (окисляемые основания и краскообразующие вещества), выбирают, в частности, из гидрохлоридов, гидробромидов, сульфатов, тартратов, лактатов и ацетатов.
Красящая композиция по изобретению наряду с определенными выше предшественниками окислительных красителей и соответствующими им возможными краскообразующими веществами может также содержать прямые красители с целью придания оттенкам блеска. Такие прямые красители могут быть, в частности, выбраны из нитросодержащих, азо- и антрахиноновых красителей.
Предметом изобретения является также способ окрашивания кератиновых волокон и, в частности, кератиновых волокон человека, таких как волосы, с использованием определенной выше готовой к употреблению красящей композиции.
Согласно этому способу на волокна наносят по меньшей мере одну определенную выше готовую к употреблению красящую композицию на время, достаточное для проявления желаемой окраски, после чего волокна ополаскивают, в некоторых случаях моют шампунем, вновь ополаскивают и сушат.
Необходимое для проявления на кератиновых волокнах окраски время обычно составляют от 3 до 60 мин, точнее от 5 до 40 мин.
В соответствии с особым вариантом осуществления изобретения способ включает предварительную стадию раздельного хранения, с одной стороны, композиции А, содержащей в приемлемой для окрашивания среде по меньшей мере одно определенное выше окисляемое основание и, возможно, по меньшей мере одно определенное выше краскообразующее вещество, и, с другой стороны, композиции В, содержащей в приемлемой для кератиновых волокон среде по меньшей мере один определенный выше фермент типа двухэлектронной оксидоредуктазы в присутствии по меньшей мере одного определенного выше донора для этого фермента, и по меньшей мере один неионный жирный сахарамид, вслед за чем производится смешение обеих композиций перед нанесением полученной смеси на кератиновые волокна.
Согласно еще одному варианту осуществления изобретения неионный жирный сахарамид вводится в композицию A.
Согласно другому особому варианту осуществления изобретения, по отдельности хранят, с одной стороны, композицию A, содержащую в приемлемой для окрашивания среде по меньшей мере одно определенное выше окисляемое основание и, возможно, по меньшей мере одно определенное выше краскообразующее вещество и, с другой стороны, композицию B, содержащую в приемлемой для кератиновых волокон среде по меньшей мере один определенный выше фермент, вслед за чем производится смешение обеих композиций и нанесение полученной смеси на кератиновые волокна, причем определенный выше неионный жирный сахарамид содержится либо в композиции A, либо в композиции B.
Еще одним предметом изобретения является устройство для окраски с несколькими отделениями, или “набор”, или любая другая система упаковки с несколькими отделениями, из которых первое отделение содержит определенную выше композицию А и второе отделение содержит определенную выше композицию В. Устройства могут быть дополнены приспособлением, позволяющим нанесение на волосы желаемой смеси. Такие устройства описаны в патенте FR-2586913, выданном на имя заявителя.
Предметом настоящего изобретения является также новый способ обработки кератиновых материалов, в частности волос, с целью получения перманентной деформации последних, в частности в виде “перманентных” волос. Этот способ состоит из следующих стадий: (i) наносят восстановительную композицию на обрабатываемый кератиновый материал, который подвергается механическому натяжению до, во время или после названного воздействия; (ii) в ряде случаев кератиновый материал ополаскивают; (iii) на кератиновый материал после возможного ополаскивания наносят определенную выше окислительную композицию; (iv) в ряде случаев кератиновый материал вновь ополаскивают.
Первая стадия (i) способа состоит в нанесении на волосы восстановительной композиции. Ее наносят либо поочередно на каждую прядь, либо на все волосы сразу.
Восстановительная композиция содержит, например, по меньшей мере один восстановительный агент, который может быть, в частности, выбран из следующих соединений: тиогликолевая кислота, цистеин, цистеамин, тиогликолят глицерина, тиомолочная кислота или соли тиомолочной или тиогликолевой кислот.
Обычная стадия создания натяжения на волосах, находящихся в форме, соответствующей желаемой конечной форме волос (например, завиткам), может быть осуществлена с помощью любого подходящего известного средства, в частности механического, для поддержания натяжения на волосах – например, такого как валики, бигуди и т.п.
Придавать форму волосам можно также не прибегая к дополнительным средствам, пользуясь только пальцами.
Перед следующей необязательной стадией ополаскивания (ii), следуя общепринятой практике, нанесенную восстановительную композицию нужно оставить на волосах в течение нескольких минут, обычно от 5 мин до 1 часа или, предпочтительнее, от 10 до 30 мин, с целью дать время восстановителю оказать должное воздействие на волосы. Эта фаза задержки производится обычно при температуре от 35 до 45oC, при этом волосы целесообразно защищать колпаком.
Во время второй, необязательной, стадии (стадии (ii)), волосы, пропитанные восстановительной композицией, тщательно ополаскивают водным составом.
Далее, в третьей стадии (iii), на ополоснутые таким образом волосы наносят окислительную композицию по изобретению с целью фиксации новой формы, которая придана волосам.
Так же, как и в случае нанесения восстановительной композиции, нанесенную окислительную композицию, следуя общепринятой практике, оставляют на волосах (фаза отдыха или задержки), на несколько минут, обычно от 3 до 30 мин, предпочтительно от 5 до 15 мин.
Если волосы подвергаются натяжению с помощью дополнительных средств, последние (валики, бигуди и им подобные) могут быть удалены с волос как перед стадией фиксации, так и после нее.
Наконец, в последней стадии способа изобретения (стадия iv), которая также является необязательной, волосы, пропитанные окислительной композицией, тщательно ополаскивают, обычно используя для этого воду.
В конечном итоге получают мягкую прическу, которая легко распутывается. Волосы вьются.
Окислительная композиция по настоящему изобретению может быть также использована для обесцвечивания кератиновых волокон, в частности волос.
Согласно изобретению способ обесцвечивания включает стадию нанесения на кератиновые волокна окислительной композицией по изобретению в присутствии или в отсутствие вспомогательного окислителя. Второй стадией способа обесцвечивания настоящего изобретения является традиционное ополаскивание кератиновых волокон.
Подходящая среда (носитель) для готовых к употреблению красящих композиций, используемых для окрашивания кератиновых волокон, и окислительных композиций, используемых для перманентной обработки или обесцвечивания кератиновых волокон в соответствии с изобретением, обычно состоит из воды или смеси воды с по меньшей мере одним органическим растворителем, служащим для солюбилизации соединений, которые не достаточно хорошо растворимы в воде. Из числа органических растворителей можно, например, назвать C1-C4-алканолы, такие как этанол и изопропиловый спирт; глицерин, гликоли и простые эфиры гликолей, такие как 2-бутоксиэтанол, пропиленгликоль, монометиловый эфир пропиленгликоля, моноэтиловый и монометиловый эфир диэтиленгликоля; а также ароматические спирты, такие как бензиловый спирт или феноксиэтанол; а также аналогичные продукты и их смеси.
Растворители могут присутствовать в количествах, преимущественно составляющих, приблизительно, от 1 до 40% и, более предпочтительно, приблизительно от 5 до 30% от общей массы красящей композиции.
Величину pH готовых к употреблению красящих композиций и окислительных композиций, используемых для перманентной обработки или обесцвечивания кератиновых волокон в соответствии с изобретением, подбирают таким образом, чтобы ферментативная активность двухэлектронной оксидоредуктазы не была снижена. Обычно величина pH составляет приблизительно от 5 до 11 и, предпочтительно, приблизительно от 6,5 до 10%. Она может быть доведена до желаемого значения с помощью подкисляющих или подщелачивающих агентов, обычно применяемых при окраске кератиновых волокон.
Из подкисляющих агентов в качестве примера могут быть названы такие минеральные или органические кислоты как соляная, ортофосфорная, серная кислота и карбоновые кислоты: уксусная, винная, лимонная, молочная, а также сульфоновые кислоты.
Из числа подщелачивающих агентов в качестве примера могут быть названы аммиак, карбонаты щелочных металлов, алканоламины, такие как моно-, ди- и триэтаноламины, 2-метил-2-аминопропанол, а также их производные, гидроксиды натрия и калия и соединения приведенной ниже формулы V:![]() в которой W обозначает пропилен, который может быть замегидроксилом или C1-C4-алкилом, а (R13, R14, R15 и R16, одинаковые или различные, обозначают атом водорода, C1-C4-алкил или гидрокси-C1-C4-алкил. Готовые к употреблению красящие композиции и окислительные композиции для перманентной обработки или обесцвечивания кератиновых волокон в соответствии с изобретением могут также содержать различные вспомогательные добавки, обычно используемые в композициях для окраски, перманентной обработки или обесцвечивания волос, такие как анионные, катионные, неионные, амфотерные и цвитерионные поверхностно-активные вещества или их смеси; анионные, катионные, неионные, амфотерные и цвитерионные полимеры или их смеси; минеральные или органические загустители; антиоксиданты, ферменты, отличные от используемых в соответствии с изобретением двухэлектронных оксидоредуктаз, такие, например, как пероксидазы; пропиточные агенты, комплексообразующие агенты, отдушки, буферы, диспергенты, кондиционирующие агенты, пленкообразующие агенты, консерванты и корректоры тона. Само собой разумеется, что специалист должен предусмотреть, чтобы выбранные им дополнительные соединения не изменили или изменили лишь в незначительной степени полезные свойства, присущие композициям по изобретению. Готовые к употреблению красящие композиции и окислительные композиции для перманентной обработки или обесцвечивания кератиновых волокон в соответствии с изобретением могут быть представлены в различном виде: в виде жидкостей, кремов, гелей, возможно в герметизированном состоянии или в любом другом виде, позволяющем производить окраску, перманентную обработку или обесцвечивание кератиновых волокон, в частности человеческих волос. В случае готовых к употреблению красящих композиций окислительные краситель или красители и двухэлектронная оксидоредуктаза или оксидоредуктазы находятся в составе этой композиции, которая не должна содержать газообразный кислород во избежание преждевременного окисления окислительных красителей. Далее приведены конкретные примеры, иллюстрирующие изобретение. В последующем и предыдущем тексте, если не оговорено особо, концентрации компонентов приведены в весовых процентах. Следующие примеры иллюстрируют изобретение, не ограничивая его объема. Примеры 1 и 2: Композиции для окраски Приготовляют следующие готовые к употреблению красящие композиции (содержание в граммах): Пример 1 Уриказа бактерий Arthrobacter globiformis с активностью 20 межд.ед./мг, поставляемая фирмой Sigma 1,5 Мочевая кислота 1,5 г Этанол 20,0 г Гидроксиэтилцеллюлоза, поставляемая под названием NATROSOL 250 HHR фирмой AQUALON 1,0 г N-коколактобионамид 5 г n-Фенилендиамин 0,324 г Резорцин 0,33 г Деминерализованная вода в количестве, необходимом для общей массы композиции 100 г Пример 2 Уриказа бактерий Arthrobacter globiformis с активностью 20 межд.ед./мг, поставляемая фирмой Sigma 1,5 г Мочевая кислота 1,5 г Этанол 20,0 г Гидроксиэтилцеллюлоза, поставляемая под названием NATROSOL 250 HHR фирмой AQUALON 1,0 г N-деканоил-N-метилглюкамин [амид жирной полигидроксильной кислоты формулы C9H19-CO-N(CH3)-CH2-(CHOH)4– CH2OH] 5 г n-Фенилендиамин 0,324 г Резорцин 0,33 г Деминерализованная вода в количестве, необходимом для общей массы композиции 100 г Каждая из описанных выше готовых к употреблению красящих композиций была нанесена на пряди натуральных седых волос с 90% седины на 30 мин. Волосы были затем ополосканы, промыты стандартным шампунем и высушены. С каждой из красящих композиций были получены пряди волос, окрашенные в матовый темно-русый оттенок. Пример 3. Окислительная композиция для перманента или обесцвечивания Уриказа бактерий Arthrobacter globiformis с активностью 20 межд.ед./мг, поставляемая фирмой Sigma 1,8 г Мочевая кислота 1,65 г Этанол 20,0 г N-октаноил-N-метилглюкамин [амид жирной полигидроксильной кислоты формулы C7H15-CO-N(CH3)-CH2-(CHOH)4-CH2OH] 5 г 2-Амино-2-метилпропанол-1 в нобходимом количестве до pH 9,5 Дистиллированная вода в количестве, необходимом до общей массы композиции 100 г. Формула изобретения
![]() где R обозначает алифатическую углеводородную группу, которая может содержать до 36 атомов углерода; n является целым числом больше 1, а также соответствующих сложных эфиров N-мальтобиониламинокислоты, сложных эфиров N-меллибиониламинокислоты, сложных эфиров N-целлобиониламинокислоты и N-гентобиониламинокислот; (iii) N-(алкоксиалкил)лактобионамидов, моно- или дизамещенных группой -(CH2)nOR’, в которой R’ обозначает алифатическую, ароматическую или циклоалифатическую углеводородную группу, определенную в параграфе (i); (iv) N-(полиалкоксиалкил)лактобионамидов, N-(полиалкоксиалкил)мальтобионамидов, N-(полиалкоксиалки)целлобионамидов, N-(полиалкоксиалкил)меллиобионамидов или N-(полиалкоксиалкил) гентиобионамидов, моно- или дизамещенных группой, R1 – (OR1)n R1R2, в которой R1 обозначает алкиленовую группу; этилен, пропилен или их смеси; n является целым числом больше I и R2 обозначает лактобионамидную, мальтобионамидную, целлобионамидную, меллиобионамидную, или гентиобионамидную группу. 10. Композиция по п.8, в которой жирные полигидроксильные амиды соответствуют формуле ![]() где B обозначает водород, C1 – C4-углеводородный радикал, 2-гидроксиэтил, 2-гидроксипропил или их смеси и, преимущественно, C1 – C4-алкил, предпочтительно метил; A обозначает C5 – C31-углеводородную группу, преимущественно нормальную C7 – C15-алкильную или алкенильную цепочку или их смеси; Z обозначает полигидроксиуглеводородную группу, имеющую нормальную углеводородную цепь с непосредственно связанными с ней по меньшей мере 3 гидроксильными группами или алкоксипроизводное этой группы. 11. Композиция по п.10, в которой Z обозначает восстановительный сахарид, полученный реакцией восстановительного аминирования, и преимущественно глицитильную группу. 12. Композиция по п.10 или 11, в которой Z выбирают из групп, имеющих следующие формулы: -CH2-(CHOH)n-CH2OH, -CH2-(CH2OH)-(CHOH)n-1-CH2OH, -CH2-(CHOH)2(CHOR’)(CHOH)-CH2OH, где n есть целое число от 3 до 5; R’ обозначает водород или циклический или алифатический моносахарид и одно из его алкоксильных производных и, преимущественно, Z обозначает группу -CH2-(CHOH)4-CH2OH. 13. Композиция по любому из пп.10 – 12, где группа A – CON = выбрана из амидов кислот кокосового масла, стеариновой, олеиновой, лауриновой, миристиновой, каприновой, пальмитиновой кислот и амида жира. 14. Композиция по п.1, отличающаяся тем, что концентрация неионного жирного сахарамида составляет от 0,05 до 20%, преимущественно от 0,1 до 10% от общей массы композиции. 15. Композиция по п.1 для окислительной окраски кератиновых волокон, в частности кератиновых волокон человека, таких, как волосы, которая дополнительно содержит в приемлемой для керативновых волокон среде по меньшей мере одно окисляемое основание и, возможно, одно или несколько краскообразующих веществ. 16. Композиция по п.15, отличающаяся тем, что окисляемые основания выбирают из n-фенилендиаминов, двойных оснований, о- и n-аминофенолов и гетероциклических оснований, а также солевых аддуктов этих соединений с кислотами. 17. Композиция по п.15 или 16, отличающаяся тем, что окисляемые основания содержатся в концентрациях от 0,0005 до 12% от общей массы композиции. 18. Композиция по любому из пп.15 – 17, отличающаяся тем, что краскообразующие вещества выбирают из м-фенилендиаминов, м-аминофенолов, м-дифенолов, гетероциклических краскообразующих веществ и солевых аддуктов этих соединений с кислотами. 19. Композиция по любому из пп.15 – 18, отличающаяся тем, что краскообразующие вещества содержатся в концентрациях от 0,0001 до 10% от общей массы композиции. 20. Композиция по любому из пп.15 – 19, отличающаяся тем, что солевые кислотные аддукты окисляемых оснований и краскообразующих веществ выбирают из гидрохлоридов, гидробромидов, сульфатов, тартратов, лактатов и ацетатов. 21. Композиция по любому из пп.15 – 20, отличающаяся тем, что она дополнительно содержит прямые красители. 22. Композиция по любому из пп.1 – 21, отличающаяся тем, что подходящая для кератиновых волокон среда (носитель) состоит из воды или смеси воды с по меньшей мере одним органическим растворителем. 23. Композиция по п.22, отличающаяся тем, что органические растворители могут содержаться в количествах преимущественно от 1 до 40 и более предпочтительно от 5 до 30% от общей массы композиции. 24. Композиция по любому из пп.1 – 23, отличающаяся тем, что величина pH составляет от 5 до 11 и преимущественно от 6,5 до 10. 25. Композиция по любому из пп.1 – 24, отличающаяся тем, что она дополнительно содержит по меньшей мере одну косметическую добавку, обычно используемую в композициях для окраски, перманентной обработки или обесцвечивания волос, выбранную из следующей группы: анионные, катионные, неионные, амфотерные и цвитерионные поверхностно-активные вещества или их смеси; анионные, катионные, неионные, амфотерные и цвитерионные полимеры или их смеси; минеральные или органические загустители; антиоксиданты; ферменты, отличные от двухэлектронных оксидоредуктаз; пропиточные агенты, комплексообразующие агенты, отдушки, буферы, диспергенты, кондиционирующие агенты, пленкообразующие агенты, консерванты и корректоры тона. 26. Способ окрашивания кератиновых волокон, в частности кератиновых волокон человека, таких, как волосы, отличающийся тем, что на названные волокна наносят красящую композицию по любому из пп.1 – 25 на время, достаточное для проявления желаемой окраски. 27. Способ по п. 26, отличающийся тем, что композицию A, содержащую в приемлемой для окрашивания среде по меньшей мере одно окисляемое основание и, возможно, по меньшей мере одно определенное в любом из пп.15 – 21 краскообразующее вещество смешивают перед нанесением на кератиновые волокна с композицией B, содержащей в приемлемой для кератиновых волокон среде по меньшей мере один фермент типа двухэлектронной оксидоредуктазы в присутствии по меньшей мере одного донора для этого фермента, при содержании неионного жирного сахарамида либо в композиции A, либо в композиции B. 28. Упаковка набора для окрашивания кератиновых волокон, в частности волос человека, отличающаяся тем, что она включает первое отделение под композицию A по п.27 и отделение под композицию B по п.27. 29. Способ обработки кератиновых волокон, в частности волос человека, для их перманентной деформации, включающий стадии: (i) на обрабатываемые волокна наносят восстановительную композицию, причем они подвергают механическому натяжению до, во время или после нанесения; (ii) в ряде случаев кератиновые волокна ополаскивают; (iii) на кератиновые волокна после возможного ополаскивания наносят окислительную композицию по пп.1 – 14 и 22 – 25; (iv) в ряде случаев кератиновые волокна вновь ополаскивают. 30. Способ обработки кератиновых волокон, в частности волос, с целью их обесцвечивания, состоящий в нанесении окислительной композиции по любому из пп. 1 – 14 и 22 – 25, которая может содержать вспомогательный окислительный агент, с последующим на второй стадии ополаскиванием кератиновых волокон. MM4A Досрочное прекращение действия патента Российской Федерации на изобретение из-за неуплаты в установленный срок пошлины за поддержание патента в силе
Дата прекращения действия патента: 23.09.2004
Извещение опубликовано: 20.04.2006 БИ: 11/2006
|
||||||||||||||||||||||||||




-гидроксиэтил)- n-фенилендиамин, 4-N,N-биc(
-дигидроксипропил)-n-фенилендиамин, N-(4′-аминофенил)-n-фенилендиамин, N-фенил-n-фенилендиамин, 2-(


-положении к атому азота), существует таутомерное равновесие, иллюстрируемое в качестве примера следующей схемой:


