Патент на изобретение №2158584
|
||||||||||||||||||||||||||
(54) КОМПОЗИЦИЯ ДЛЯ ОКИСЛИТЕЛЬНОЙ ОКРАСКИ КЕРАТИНОВЫХ ВОЛОКОН, СПОСОБ ИХ ОКРАСКИ, УПАКОВКА НАБОРА ДЛЯ ОКРАСКИ КЕРАТИНОВЫХ ВОЛОКОН
(57) Реферат: Изобретение относится к композиции для окислительной окраски кератиновых волокон, в частности волос, содержащей 2-хлор-6-метил-3-аминофенол в качестве краскообразующего вещества в сочетании с окисляемым основанием, а также к способу окраски волос и к упаковке набора для окраски кератиновых волокон. Композиция позволяет получить окраску волос, устойчивую к атмосферным факторам, к потению, мытью и перманентной завивкe. 3 с. и 15 з.п. ф-лы, 6 табл. Настоящее изобретение относится к составу для окислительной окраски кератиновых волокон, в частности кератиновых волокон человека, таких как волосы, содержащему 2-хлор-6-метил-3-аминофенол в качестве краскообразующего вещества в сочетании с, по меньшей мере, одним соответствующим образом выбранным окисляемым основанием, а также способ окраски с использованием этой композиции с окислителем. Известно как окрасить кератиновые волокна и, в частности, человеческие волосы при помощи красящих композиций, содержащих предшественники красителя, используемого для окислительной окраски, в частности о- или п-фенилендиамины, о- или п-аминофенолы или гетероциклические соединения, такие как производные пиримидина, называемые, обычно, окисляемыми основаниями. Предшественники красителей для окислительной окраски или окисляемые основания являются бесцветными или слабоокрашенными соединениями, которые при взаимодействии с окислителями в результате окислительной конденсации могут образовывать окрашенные соединения и красители. Равным образом известно, что можно изменять оттенки, получаемые при помощи окисляемых оснований, сочетая их с соответствующим образом выбранными краскообразующими веществами или модификаторами окраски, эти последние могут быть выбраны, в частности, среди ароматических м-диаминов, м-аминофенолов, м-дифенолов и некоторых гетероциклических соединений. Разнообразие молекул, используемых в качестве окисляемых оснований и краскообразующих веществ, позволяет получить богатую палитру цветов. Окраска, называемая “перманент”, получаемая благодаря этим красителям для окислительной окраски, должна в то же время удовлетворять определенному числу требований. Так, она должна быть лишена недостатков токсикологического плана, должна позволять получать оттенки желаемой интенсивности и иметь высокую устойчивость по отношению к внешним факторам (свет, непогода, мытье, перманентная завивка, потение, трение). Красители должны также покрывать седые волосы и быть, наконец, как можно менее избирательными, то есть позволять получать как можно более слабые различия в окраске по длине одного и того же кератинового волокна, которое может быть в разной степени сенсибилизировано (то есть разрушено) между концом и корнем. Уже были предложены, в частности, в германской заявке на патент 3016008 композиции для окислительной окраски кератиновых волокон, содержащие в качестве краскообразующего вещества 2-хлор-6-метил-3-аминофенол или 2-метил-5-хлор-3-аминофенол в сочетании с окисляемыми основаниями, обычно используемыми для окислительной окраски, такими как, например, некоторые п-фенилендиамины, п-аминофенол или тетрааминопиридин. Однако такие композиции не в полной мере удовлетворяют предъявляемым требованиям, в частности, с точки зрения устойчивости полученных окрасок по отношению к различным агрессивным воздействиям, которым могут подвергаться волосы и, в частности, по отношению к мытью шампунем и перманентной завивке. Также в международных заявках на патенты 96/15765 и 96/15766 были предложены композиции для окислительной окраски кератиновых волокон, содержащие специфическое сочетание 2-хлор-6-метил-3-аминофенола в качестве краскообразующего вещества и особенных окисляемых оснований, таких как 2- -гидроксиэтил-п-фенилендиамин или некоторые особенные п-аминофенолы, как, например, 3-метил-4-аминофенол, 2-аллил-4-аминофенол или 2-аминометил-4-аминофенол. Однако такие композиции тоже не полностью удовлетворяют требованиям, в частности, с точки зрения интенсивности получаемых окрасок.
Заявитель недавно обнаружил, что можно получать новые окраски, интенсивные и особенно устойчивые к различным агрессивным воздействиям, которым могут подвергаться волосы, сочетая 2-хлор-6- метил-3-аминофенол с по меньшей мере одним соответствующим образом выбранным окисляемым основанием.
Это открытие легло в основу настоящего изобретения.
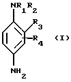
Итак, первым предметом изобретения является композиция для окислительной окраски кератиновых волокон и, в частности, кератиновых волокон человека, таких как волосы, отличающаяся тем, что она содержит в среде, приспособленной для осуществления окраски:– 2-хлор-6-метил-3-аминофенол и/или по меньшей мере одну из его солей присоединения с кислотой в качестве краскообразующего вещества, – и по меньшей мере одно окисляемое основание, выбираемое среди: (а) п-фенилендиаминов следующей формулы (I) и их солей присоединения с кислотой: ![]() в которой: – R1 обозначает атом водорода, (C1-C4)-алкил, (C1-C4)-моногидроксиалкил, (C2-C4)-полигидроксиалкил, (C1-C4)-алкокси (C1-C4)-алкил, (C1-C4)-алкил, замещенный азотсодержащей, фенильной или 4′-аминофенильной группой; – R2 обозначает атом водорода, (C1-C4)-алкил, (C1-C4)-моногидроксиалкил, (C2-C4)-полигидроксиалкил, (C1-C4)-алкокси (C1-C4)-алкил или (C1-C4)-алкил, замещенный азотсодержащей группой; – R3 обозначает атом водорода, (C1-C4) -алкил, (C1-C4)-моногидроксиалкоксильный радикал, (C1-C4)-мезиламиноалкоксильный радикал, (C1-C4)-ацетиламиноалкоксильный радикал, (C1-C4)-карбамиламиноалкоксильный радикал или (C1-C4)-алкил, замещенный азотсодержащей группой; – R4 обозначает атом водорода или (C1-C4)-алкил; при условии, что: – по меньшей мере один из радикалов R1, R2, R3 и R4 не является атомом водорода, – когда радикалы R1, R2 и R4 одновременно представляют собой атом водорода, тогда радикал R3 не является метильным радикалом, – когда радикалы R1, R2 и R3 одновременно представляют собой атом водорода и радикал R4 занимает положение 6, тогда радикал R4 не является метильным радикалом, – когда один из радикалов R1 и R2 обозначает (C1-C4)-алкил или (C1-C4)-моногидроксиалкил, а другой радикал R1 или R2 обозначает атом водорода, тогда по меньшей мере один из радикалов R3 и R4 не является атомом водорода; – когда R1 и R2 одновременно представляют собой (C1-C4)-моногидроксиалкильный радикал, тогда по меньшей мере один из радикалов R3 и R4 не является атомом водорода; б) двойных оснований следующей формулы (II) них солей присоединения с кислотой: ![]() в которой: – Z1 и Z2, одинаковые или разные, обозначают гидроксильный радикал или группу -NH2, которые могут быть замещены C1-C4-алкильным радикалом или мостиковой группой Y; – мостиковая группа Y обозначает алкиленовую цепочку, содержащую 1- 14 атомов углерода, линейную или разветвленную, которая может быть прервана одной или несколькими азотсодержащими группами и/или одним или несколькими гетероатомами, такими как атомы кислорода, серы или азота, и, в ряде случаев, замещенную одним или несколькими гидроксильными или (C1-C6)-алкоксильными радикалами; – R5 и R6 обозначают атом водорода или галогена, (C1-C4)-алкил, (C1-C4)-моногидроксиалкил, (C2-C4)-полигидроксиалкил, (C1-C4)-аминоалкил или мостиковую группу Y; – R7, R8, R9, R10, R11 и R12, одинаковые или разные, обозначают атом водорода, мостиковую группу Y или (C1-C4)-алкил; при условии, что соединения формулы (II) содержат только одну мостиковую группу Y в молекуле; в) пиразоло-[1,5-a] -пиримидинов следующей формулы (III), их солей присоединения с кислотой или с основанием и их таутомерных форм, когда существует таутомерное равновесие: ![]() в которой: – R13, R14, R15 и R16, одинаковые или разные, обозначают атом водорода, (C1-C4)-алкил, арил, (C1-C4)-гидроксиалкил, (C2-C4)-полигидроксиалкил, (C1-C4)-алкокси (C1-C4)-алкил, (C1-C4)-аминоалкил (амин может быть защищен ацетильным радикалом, уреидной или сульфонильной группой), (C1-C4)-алкиламино (C1-C4)-алкил, ди-[(C1-C4)алкил] амино (C1-C4)-алкил (диалкильные радикалы могут образовывать углеродный цикл или 5- или 6-членный гетероцикл), гидрокси (C1-C4) алкил-амино (C1-C4) алкил или ди-[гидрокси (C1-C4)алкил]-амино (C1-C4) алкил; – радикалы X, одинаковые или разные, обозначают атом водорода, (C1-C4)-алкил, арил, (C1-C4)-гидроксиалкил, (C2-C4)-полигидроксиалкил, амино (C1-C4)-алкил, (C1-C4)алкил-амино (C1-C4)алкил, ди-[(C1-C4)алкил] амино (C1-C4)алкил (диалкильные радикалы могут образовывать углеродный цикл или 5- или 6-членный гетероцикл), гидрокси (C1-C4)алкил или ди-[гидрокси (C1-C4) алкил] амино (C1-C4)алкил, аминогруппу, (C1-C4)алкиламиногруппу или ди-[(C1-C4 алкил] аминогруппу; атом галогена, остаток карбоновой кислоты, остаток сульфокислоты; – i принимает значения 0, 1, 2 или 3; – p принимает значения 0 или 1; – q принимает значения 0 или 1; – n принимает значения 0 или 1; при условии, что сумма p + q отлична от 0: – когда p + q равно 2, тогда n принимает значение 0 и группы NR13R14 и NR15R16 занимают положения (2, 3); (5, 6); (6, 7), (3, 5) или (3, 7); – когда p + q равно 1, тогда n принимает значение 1 и группы NR13R14 (или NR15R16) и группа ОН занимают положения (2, 3); (5, 6); (6, 7), (3, 5) или (3, 7); г) o-аминофенолов; д) диаминопиридинов; при этом указанная композиция не содержит дополнительного краскообразующего вещества, которое было бы выбрано среди 4-гидроксииндолина, 6-гидроксииндолина и их солей присоединения с кислотой. Композиция для окислительной окраски согласно изобретению позволяет получать интенсивные окраски различных оттенков, слабо избирательные и обладающие отличными свойствами, а именно устойчивостью одновременно по отношению к атмосферным факторам, таким как свет и непогода, и по отношению к потению и различным обработкам, которым могут подвергаться волосы (мытье шампунем, перманентная завивка). Эти свойства являются особенно заметными, в частности, в том, что касается устойчивости окрасок по отношению к мытью шампунем и перманентной завивке. В числе (C1-C4)-алкильных радикалов и (C1-C4)-алкоксильных радикалов формул (I), (II) и (III), приведенных выше, можно назвать, в частности, радикалы: метил, этил, пропил, метилокси и этилокси. Среди азотсодержащих групп формул (I) и (II), приведенных выше, можно назвать, в частности, аминогруппу, моно(C1-C4) алкиламиногруппу, ди(C1-C4) алкиламиногруппу, три(C1-C4) алкиламиногруппу, моногидрокси(C1-C4)алкиламиногруппу, имидазолиниевую группу и аммониевую группу. В числе n-фенилендиаминов формулы (1), приведенной выше, используемых в качестве окисляемого основания в красящих композициях по изобретению, можно особенно выделить 2,3-диметил-п-фенилендиамин, 2,6-диметил-п-фенилендиамин, 2,6-диэтил-п-фенилендиамин, 2,5-диметил- п-фенилендиамин, N,N-диметил-п-фенилендиамин, N, N-диэтил-п-фенилендиамин, N,N-дипропил-п-фенилендиамин, 4-амино-1-N,N-диэтиламино-3-метилбензол, 4-амино-1-N,N-бис-( -гидроксиэтил)амино-3-метилбензол, 2-изопропил-п-фенилендиамин, 2-н-пропил-п-фенилендиамин, 2- -гидроксиэтилокси-п-фенилендиамин, N,N-диметил-3-метил-п-фенилендиамин, N, N-(этил, -гидроксиэтил)-п-фенилендиамин, N-( , -дигидроксипропил)-п-фенилендиамин, N- ( -метоксиэтил)-амино-п-фенилендиамин, 2- -ацетиламино- этилокси-п-фенилендиамин и их соли присоединения с кислотой.
Из п-фенилендиаминов формулы (I), приведенной выше, особенно предпочтительны 2,6-диметил-п-фенилендиамин, 2-н-пропил-п-фенилендиамин, 2- -гилроксиэтилокси-п-фенилендиамин, N-( -метоксиэтил)амино-п-фенилендиамин, 2- – ацетил-аминоэтилокси-п-фенилендиамин и их соли присоединения с кислотой.
Среди двойных оснований формулы (II), приведенной выше, используемых в качестве окисляемого основания в красящих композициях согласно изобретению, можно, в частности, назвать N,N’-бис-( -гидроксиэтил)N,N’-бис-(4′-аминофенил)-1,3-диаминопропанол, N,N’/-бис- ( -гидроксиэтил)N,N’-бис-(4′-аминофенил)-этилендиамин, N, N’- бис-(4-аминофенил)-тетраметилендиамин, N,N’-бис-( -гидроксиэтил)N,N’-бис-(4-амино-фенил)-тетраметилендиамин, N,N’-бис-(4-метиламинофенил)тетраметилендиамин, N,N’-бис-(этил)N,N’-бис-(4-амино, 3′-метилфенил)этилендиамин и их соли присоединения с кислотой. Среди этих бис-фенилалкилендиаминов формулы (II), N, N’-бис-( -гидроксиэтил)-N, N’-бис- (4′-аминофенил)-1,3-диаминопропанол и его соли присоединения с кислотой являются особенно предпочтительными.
Когда пиразоло-[1,5-а]-пиримидины формулы (III), приведенной выше, содержат гидроксильную группу в одном из положений 2, 5 или 7 в -положении по отношению к атому азота существует таутомерное равновесие, представляемое, например, следующей схемой:![]() В числе пиразоло-[1,5-а]-пиримилинов формулы (III), используемых в качестве окисляемого основания в композициях согласно изобретению, можно, в частности, назвать: – пиразоло-[1,5-а]-пиримидин-3,7-диамин; – 2,5-диметилпиразоло-[1,5-а]-пиримидин-3,7-диамин; – пиразоло-[1,5-а]-пиримидин-3,5-диамин; – 2,7-диметилпиразоло-[1,5-а]-пиримидин-3,5-диамин; – 3-аминопиразоло-[1,5-а]-пиримидин-7-ол – 3-аминопиразоло-[1,5-а]-пиримидин-5-ол – 2-(3-аминопиразоло-[1,5-а]-пиримидин-7-иламино)-этанол – 2-(7-аминопиразоло-[1,5-а]-пиримидин-3-иламино)-этанол – 2-[(3-аминопиразоло-[1,5-а]-пиримидин-7-ил)-(2-гидрокси-этил)-амино]- этанол -2-[(7-аминопиразоло-[1,5-а] -пиримидин-3-ил)-(2-гидрокси-этил)-амино] – этанол – 5,6-диметилпиразоло-[1,5-а]-пиримидин-3,7-диамин; – 2,6-диметилпиразоло-[1,5-а]-пиримидин-3,7-диамин; – 2,5,N7,N7-тетраметилпиразоло-[1,5-а]-пиримидин-3,7-диамин; и их соли присоединения, и их таутомерные формы, когда существует таутомерное равновесие. Пиразоло-[1,5-а]-пиримидины формулы (III) согласно изобретению могут быть получены путем циклизации аминопиразола, согласно синтезам, описанным в следующих источниках: – ЕР 628559 BEIERSDORF-LILLY – R. Vishdu, Н. Navedul, Indian J.Chem., 34b (6), 514, 1995. – N.S. Ibrahim, K.U. Sadek, F.A. Abdel-Al, Arch. Pharm., 320, 240, 1987. – R.H. Springer, M.B. Scholten , D.E. O’Brien, Т. Novinson, J.P. Miller, R.K. Robins, J.Med. Chem., 25, 235, 1982. – Т. Novinson, R.K. Robins, T.R. Matthews, J.Med. Chem., 20, 296, 1977. – US 3907799 ICN PHARMACEUTICALS Равным образом, пиразоло-[1,5-a]-пиримидины формулы (III) согласно изобретению могут быть получены путем циклизации гидразина согласно синтезам, описанным в следующих источниках: – A. McKillop et R.J. Kobilecki, Heterocycles, 6(9), 1355, 1977. – E. Alcade, J. De Mendoza, J.M. Marcia-Marquina, C. Almera, J. Elguero, J. Heterocyclic Chem., 11(3), 423, 1974. – К. Saito, I. Hori, M. Higarashi, Н. Midorikawa, Bull. Chem. Soc. Japan, 47(2), 476, 1974. В числе o-аминофенолов, используемых в качестве окисляемого основания в красящих композициях согласно изобретению, можно, в частности, назвать 2-аминофенол, 2-амино-5-метилфенол, 2-амино-6-метилфенол, 5-ацетамидо-2-аминофенол и их соли присоединения с кислотой. В числе диаминопиридинов, используемых в качестве окисляемого основания в красящих композициях согласно изобретению, можно, в частности, назвать соединения, описанные, например, в британских патентах 1026978 и 1153196, такие как 2,5-диаминопиридин, 2-(4-метоксифенил)амино-3-аминопиридин, 2,3-диамино-6- метоксипиридин, 2-( -метоксиэтил)амино-3-амино-6-метокси-пиридин, 3,4-диаминопиридин и их соли присоединения с кислотой.
2-хлор-6-метил-3-аминофенол и/или его соль или соли присоединения с кислотой, составляют, предпочтительно, около 0,0001-5 мас.% от общей массы красящей композиции и, еще более предпочтительно, около 0,005-3 мас.% от этой массы.
Окисляемое основание или окисляемые основания согласно изобретению и/или их соли присоединения с кислотой составляют, предпочтительно, около 0,0005-12 мас. % от общей массы красящей композиции и, еще более предпочтительно, около 0,005-6 мас.% от этой массы. Красящие композиции по изобретению могут содержать другие краскообразующие вещества, отличные от 2-хлор-6-метил-3-аминофенола и/или прямые красители, в частности, для изменения оттенков или для дополнительного придания блеска.
Вообще, соли присоединения с кислотой, используемые в красящих композициях согласно изобретению (окисляемые основания и краскообразующие вещества), выбирают, в частности, среди хлоргидратов, бромгидратов, сульфатов и тартратов, лактатов и ацетатов. Соли присоединения с основанием, используемые в красящих композициях согласно изобретению (окисляемые основания), представляют собой, в частности, соли, полученные с гидроксидом натрия, гидроксидом калия, гидроксидом аммония или аминами.
Среда, приспособленная для осуществления окраски (или носитель), обычно представляет собой воду или смесь воды и по меньшей мере одного органического растворителя для растворения соединений недостаточно растворимых в воде. В качестве органического растворителя можно назвать, например, низшие насыщенные спирты, содержащие 1-4 атомов углерода, такие как этанол и изопропанол; глицерин; гликоли и простые эфиры гликолей, такие как 2-бутоксиэтанол, пропиленгликоль, простой монометиловый эфир пропиленгликоля, простой моноэтиловый эфир и простой монометиловый эфир диэтиленгликоля, а также ароматические спирты, такие как бензиловый спирт или феноксиэтанол, аналогичные продукты и их смеси.
Растворители могут присутствовать в количествах, составляющих, по преимуществу приблизительно, от 1 до 40 мас.% по отношению к общей массе красящей композиции и еще более предпочтительно, приблизительно, от 5 до 30 мас.%.
Величина pH красящей композиции согласно изобретению обычно составляет приблизительно от 3 до 12 и, еще более предпочтительно, приблизительно от 5 до 11. Она может быть доведена до нужной величины при помощи подкисляющих или подщелачивающих агентов, обычно используемых при окраске кератиновых волокон.
Из подкисляющих агентов в качестве примера можно назвать минеральные или органические кислоты, такие как соляная кислота, o-фосфорная кислота, карбоновые кислоты, такие как винная кислота, лимонная кислота, молочная кислота, сульфоновые кислоты.
Из подщелачивающих агентов в качестве примера можно назвать гидроксид аммония, карбонаты щелочных металлов, алканоламины, такие как моно-, ди- и триэтаноламины, а также их производные, гидроксиды натрия или калия и соединения следующей формулы (IV):![]() в которой R обозначает пропиленовый радикал в ряде случаев замещенный гидроксильной группой или алкильным радикалом, содержащим 1-4 атома углерода; R17, R18, R19 и R20, одинаковые или разные, обозначают атом водорода, (C1-C4)-алкил или (C1-C4)-гидроксиалкил. Красящая композиция по изобретению может также содержать различные добавки, обычно используемые в композициях для окраски волос, такие как анионные, катионные, неионные, амфотерные, цвиттерионные поверхностно-активные вещества или их смеси, анионные, катионные, неионные, амфотерные, цвиттерионные полимеры или их смеси, минеральные или органические загустители, антиоксиданты, катализаторы окраски, комплексообразователи, отдушки, буферные системы, диспергаторы, компоненты с кондиционирующим действием, такие как, например, летучие или нелетучие, модифицированные или немодифицированные кремнийорганические соединения, пленкообразующие агенты, керамиды, консерванты, замутняющие агенты. Разумеется, специалист должен выбирать это или эти возможные дополнительные соединения таким образом, чтобы полезные свойства, присущие сочетанию согласно изобретению, не были бы или не были бы в значительной степени изменены предполагаемой добавкой или предполагаемыми добавками. Красящая композиция согласно изобретению может находиться в различных формах, таких как жидкости, кремы, гели, или в любой другой форме, приспособленной для осуществления окраски кератиновых волокон и, особенно, человеческих волос. Предметом изобретения также является способ окраски кератиновых волокон и, в частности кератиновых волокон человека, таких как волосы, с использованием красящей композиции, как она описана выше. Согласно этому способу на волосы наносят красящую композицию, как она описана выше, при этом цвет проявляется при кислом, нейтральном или щелочном pH при помощи окислителя, который добавляют к красящей композиции непосредственно в момент применения или который присутствует в отдельной окисляющей композиции, наносимой одновременно с красящей или после нее. Согласно особенно предпочтительной форме осуществления способа окраски согласно изобретению в момент применения красящую композицию, описанную выше, смешивают с окисляющей композицией, содержащей в среде, приспособленной для окраски, по меньшей мере один окислитель, присутствующий в количестве, достаточном для проявления окраски. Затем полученную смесь наносят на кератиновые волокна и оставляют, приблизительно, на 3-50 минут, предпочтительно, приблизительно на 5-30 минут, после чего ополаскивают, моют шампунем, вновь ополаскивают и сушат. Окислитель, присутствующий в окисляющей композиции, такой как описано выше, может быть выбран среди окислителей, обычно используемых для окислительной окраски кератиновых волокон, и среди которых можно назвать перекись водорода, перекись мочевины, броматы щелочных металлов, персоли, такие как пербораты и персульфаты, перкислоты. Перекись водорода является особенно предпочтительной. Величина pH окисляющей композиции, содержащей окислитель, такой как описанный выше, такова, что после смешивания с красящей композицией pH полученной композиции, наносимой на кератиновые волокна, составляет по преимуществу, приблизительно от 3 до 12 и, еще более предпочтительно, от 5 до 11. Величину pH доводят до желаемого значения при помощи подкисляющих или подщелачивающих агентов, обычно используемых при окраске кератиновых волокон и таких, которые описаны перед этим. Окисляющая композиция, как она описана выше, может также содержать различные добавки, обычно используемые в композициях для окраски волос, и такие, как описано выше. Композиция, которую в конечном итоге наносят на кератиновые волокна, может находиться в различных формах, таких как жидкости, кремы, гели, или в любой другой форме, приспособленной для осуществления окраски кератиновых волокон и, особенно, человеческих волос. Другим предметом изобретения является устройство с несколькими отделениями, или “набор” для окраски, или любая другая система упаковки с несколькими отделениями, в которых первое отделение содержит красящую композицию, такую как описано выше, а второе отделение содержит окисляющую композицию, такую как описано выше. Эти устройства могут быть снабжены приспособлением, позволяющим наносить на волосы желаемую смесь, таким как устройства, описанные во французском патенте 2586913 на имя заявителя. Примеры, следующие ниже, предназначены для иллюстрации изобретения, тем не менее, без ограничения объема испрашиваемой патентной охраны. Примеры Сравнительные примеры окраски 1 и 2 Готовят красящие композиции согласно изобретению (количества в граммах) (см. табл. 1). Важно отметить, что каждая красящая композиция, указанная выше, содержит одно и то же молярное количество окисляемого основания, а именно 1,5 10-3 моль.
В момент применения каждую из вышеуказанных красящих композиций смешивают с равным по массе количеством окисляющей композиции, представляющей собой раствор перекиси водорода 1:20 по объему (6 мас.%).
Каждую полученную композицию наносят на 30 минут на пряди естественных седых волос с 90% седины. Затем пряди волос ополаскивают, моют стандартным шампунем и сушат.
Затем окрашенные пряди волос подвергают испытанию на устойчивость к мытью шампунем.
Цвет прядей волос, окрашенных композициями 1 и 2, перед испытанием на устойчивость к мытью шампунем оценивают в системе MUNSELL при помощи колориметра СМ 2002 MINOLTA .
Согласно обозначениям MUNSELL цвет определяется выражением HV/C, в котором три параметра обозначают соответственно окраску или цвет (H), интенсивность или величину (V) и чистоту или хроматичность (C), наклонная черта в этом выражении является просто условностью и не обозначает отношения.
Затем окрашенные пряди волос подвергают испытанию на устойчивость к шестикратному мытью шампунем (машина Ahiba-Texomat).
Для этого пряди волос помещают в корзину, которую погружают в раствор стандартного шампуня при 37oC. Корзину приводят в возвратно-поступательное движение в вертикальном направлении с переменной частотой, а также во вращательное движение, которое воспроизводит воздействие ручного трения, что приводит к образованию пены.
После 3 минут испытания пряди извлекают, ополаскивают и затем сушат.
Окрашенные пряди подвергают 6 последовательным испытаниям путем мытья шампунем.
Затем вновь оценивают цвет прядей в системе MUNSELL при помощи колориметра СМ 2002 MINOLTA .
Разность между цветом пряди перед мытьем шампунем и цветом пряди после многократного мытья шампунем вычисляют, используя формулу Никерсона: E = 0,4C8dH + 6dV + 3dCтакую, которая описана, например, в “Couleur, Industrie et Technique”, страницы 14-17, том N 5, 1978. В этой формуле E обозначает разницу в цвете между двумя прядями, H, V и C обозначают изменение абсолютной величины параметров H, V и C и Co обозначает цветность пряди, по отношению к которой желают оценивать различие в цвете.
Ослабление окраски тем сильнее, чем больше величина E.
Результаты приведены в следующей таблице 2.
Эти результаты показывают, что окраска, полученная с использованием красящей композиции по изобретению из примера 1, то есть содержащей специфическое сочетание 2-хлор-6-метил-3-аминофенола и пиразоло-[1,5-а]-пиримидин-3,7-диамина, является заметно более устойчивой, чем окраска, полученная с использованием композиции из примера 2, не входящей в изобретение, так как она содержит сочетание 2-хлор-6-метил-3-аминофенола и тетрааминопиримидина, который является окисляемым основанием, не входящим в изобретение, и использование которого с 2-хлор-6-метил-3-аминофенолом описано в германской заявке на патент 3016008.
Сравнительные примеры окраски 3 и 4Готовят красящие композиции согласно изобретению (количества в граммах) (см. табл. 3). В момент применения каждую из вышеуказанных красящих композиций смешивают с равным по массе количеством окисляющей композиции, представляющей собой раствор перекиси водорода 1:20 по объему (6 мас. %). Каждую полученную композицию наносят на 30 минут на пряди завитых седых волос с 90% седины. Затем пряди волос ополаскивают, моют стандартным шампунем и потом сушат. Пряди, окрашенные таким образом, подвергают затем испытанию на устойчивость к завивке. Для этого пряди погружают в восстановительный раствор для завивки, содержащий 9 мас.% тиогликолевой кислоты, на 15 минут; пряди ополаскивают; затем пряди волос опускают в фиксирующий раствор (раствор перекиси водорода 1: 8 по объему) на 5 минут. Затем пряди ополаскивают водой, моют стандартным шампунем, ополаскивают водой и сушат. Затем вновь оценивают цвет прядей в системе MUNSELL при помощи колориметра СМ 2002 MINOLTA , чтобы определить ослабление окраски в результате завивки.
Разность между цветом пряди перед завивкой и цветом пряди после завивки вычисляют, используя формулу Никерсона: E = 0,4C0dH + 6dV + 3dCтакую, которая описана, например, в “Couleur, Industrie et Technique, страницы 14-17, том N 5, 1978. Ослабление окраски тем сильнее, чем больше величина E.
Результаты представлены в следующей табл. 4.
Эти результаты показывают, что окраска, полученная с использованием красящей композиции из примера 3 согласно изобретению, то есть, содержащей специфическое сочетание 2-хлор-6-метил-3-аминофенола и 2- -гидроксиэтилокси-п- фенилендиамина, значительно более устойчива к воздействию завивки, чем окраска, полученная с использованием композиции из примера 4, не входящей в изобретение, так как она содержит сочетание 2-хлор-6-метил-3-аминофенола и 2- -гидроксиэтил-п- фенилендиамина, который является окисляемым основанием, не входящим в изобретение, и использование которого с 2-хлор-6-метил-3-аминофенолом описано в международной заявке на патент 96/15765.
Примеры окраски 5-10Готовят следующие красящие композиции согласно изобретению (количества в граммах) (см. табл. 5). В момент применения каждую вышеуказанную красящую композицию смешивают с равным по массе количеством окисляющей композиции, представляющей собой раствор перекиси водорода 1:20 по объему (6 мас.%) Каждую полученную композицию наносят на 30 минут на пряди естественных седых волос с 90% седины. Затем пряди волос ополаскивают, моют стандартным шампунем и сушат. Полученные оттенки представлены в табл. 6. Формула изобретения
![]() в которой R1 обозначает атом водорода, (C1 – C4)-алкил, (C1 – C4)-моногидроксиалкил, (C2 – C4)-полигидроксилалкил, (C1 – C4)-алкокси(C1 – C4)-алкил, (C1 – C4)-алкил, замещенный азотсодержащей, фенильной или 4′-аминофенильной группой; R2 обозначает атом водорода, (C1 – C4)-алкил, (C1 – C4)-моногидроксиалкил, (C2 – C4)-полигидроксиалкил, (C1 – C4)-алкокси(C1 – C4)-алкил или (C1 – C4)-алкил, замещенный азотсодержащей группой; R3 обозначает атом водорода, (C1 – C4)-алкил, (C1 – C4)-моногидроксиалкоксильный радикал, (C1 – C4)-мезиламиноалкоксильный радикал, (C1 – C4)-ацетиламиноалкоксильный радикал, (C1 – C4)-карбамиламиноалкоксильный радикал или (C1 – C4)-алкил, замещенный азотсодержащей группой; R4 обозначает атом водорода или (C1 – C4)-алкил; при условии, что по меньшей мере один из радикалов R1, R2, R3 и R4 не является атомом водорода, когда радикалы R1, R2 и R4 одновременно представляют собой атом водорода, тогда радикал R3 не является метильным радикалом, когда радикал R1, R2 и R3 одновременно представляют собой атом водорода и радикал R4 занимает положение 6, тогда радикал R4 не является метильным радикалом, когда один из радикалов R1 и R2 обозначает (C1 – C4)-алкил или (C1 – C4)-моногидроксиалкил, а другой радикал R1 или R2 обозначает атом водорода, тогда по меньшей мере один из радикалов R3 и R4 не является атомом водорода; когда R1 и R2 одновременно представляют собой (C1 – C4)-моногидроксиалкильный радикал, тогда по меньшей мере один из радикалов R3 и R4 не является атомом водорода; б) двойных оснований следующей формулы II и их солей присоединения с кислотой: ![]() в которой Z1 и Z2, одинаковые или разные, обозначают гидроксильный радикал или группу – NH2, которые могут быть замещены (C1 – C4)-алкильным радикалом или мостиковой группой Y; мостиковая группа Y обозначает алкиленовую цепочку, содержащую 1 – 14 атомов углерода, линейную или разветвленную, которая может быть прервана одной или несколькими азотсодержащими группами и/или одним или несколькими гетероатомами, такими, как атомы кислорода, серы или азота, и, в ряде случаев, замещенную одним или несколькими гидроксильными или (C1 – C6)-алкоксильными радикалами; R5 и R6 обозначают атом водорода или галогена, (C1 – C4)-алкил, (C1 – C4)-моногидроксиалкил, (C2 – C4)-полигидроксиалкил или (C1 – C4)-аминоалкил или мостиковую группу Y; R7, R8, R9, R10, R11 и R12, одинаковые или разные, обозначают атом водорода, мостиковую группу Y или (C1 – C4)-алкил; при условии, что соединения формулы (II) содержат только одну мостиковую группу Y в молекуле; в) пиразоло-[1,5-a] -пиримидинов следующей формулы III, их солей присоединения с кислотой или с основанием и их таутомерных форм, когда существует таутомерное равновесие: ![]() в которой R13, R14, R15 и R16, одинаковые или разные, обозначают атом водорода, (C1 – C4)-алкил, арил, (C1 – C4)-гидроксиалкил, (C2 – C4)-полигидроксиалкил, (C1 – C4)-алкокси (C1 – C4)-алкил, (C1 – C4)-аминоалкил (амин может быть защищен ацетильным радикалом, уреидной или сульфонильной группой), (C1 – C4)-алкиламино(C1 – C4)-алкил, ди-[(C1 – C4)-алкил] амино (C1 – C4)-алкил (диалкильные радикалы могут образовывать углеродный цикл или 5-ти или 6-членный гетероцикл), гидрокси (C1 – C4)-алкил-амино(C1 – C4)-алкил или ди-[гидрокси(C1 – C4)-алкил]-амино (C1 – C4)-алкил; радикалы X, одинаковые или разные, обозначают атом водорода, (C1 – C4)-алкил, арил, (C1 – C4)-гидроксиалкил, (C2 – C4)-полигидроксиалкил, амино(C1 – C4)-алкил, (C1 – C4)-алкил-амино(C1 – C4)-алкил, ди-[(C1 – C4)-алкил] амино (C1 – C4)-алкил (диалкильные радикалы могут образовывать углеродный цикл или 5-или 6-членный гетероцикл), гидрокси (C1 – C4)-алкил или ди-[гидрокси(C1 – C4)-алкил]амино (C1 – C4)-алкил, аминогруппу, (C1 – C4)-алкиламиногруппу или ди-[(C1 – C4)-алкил]-аминогруппу; атом галогена, остаток карбоновой кислоты, остаток сульфокислоты; i принимает значения 0, 1, 2 или 3; p принимает значения 0 или 1; q принимает значения 0 или 1; n принимает значения 0 или 1; при условии, что сумма p + q отлична от 0; когда p + q равна 2, тогда n принимает значение 0 и группы NR13R14 и NR15R16 занимают положения (2, 3); (5, 6); (6, 7), (3, 5) или (3, 7); когда p + q равно 1, тогда n принимает значение 1 и группы NR13R14 (или NR15R16) и группа OH занимают положение (2, 3); (5, 6); (6, 7), (3, 5) или (3, 7); г) 0-аминофенолов; д) диаминопиридинов; кроме дополнительного краскообразующего вещества, выбранного из 4-гидроксииндолина, 6-гидроксииндолина и их солей присоединения с кислотой. 2. Композиция по п.1, отличающаяся тем, что п-фенилендиамины формулы I выбирают среди 2,3-диметил-п-фенилендиамина, 2,6-диметил-п-фенилендиамина, 2,6-диэтил-фенилендиамина, 2,5-диметил-п-фенилендиамина, N,N-диметил-п-фенилендиамина, N, N-диэтил-п-фенилендиамина, N,N-дипропил-п-фенилендиамина, 4-амино-1-N,N-диэтиламино-3-метилбензола, 4-амино-1-N,N-бис-( -гидроксиэтил)амино-3-метилбензола, 2-изопропил-п-фенилендиамина, 2-н-пропил-п-фенилендиамина, 2- -гидроксиэтилокси-п-фенилендиамина, N,N-диметил-3-метил-п-фенилендиамина, N, N-(этил, -гидроксиэтил)-п-фенилендиамина, N-( , -дигидроксипропил)-п-фенилендиамина, N-( -метоксиэтил)амино-п-фенилендиамина, 2- -ацетиламиноэтилокси-п-фенилендиамина и их солей присоединения с кислотой.
3. Композиция по п.2, отличающаяся тем, что п-фенилендиамины формулы I выбирают среди 2,6-диметил-п-фенилендиамина, 2-н-пропил-п-фенилендиамина, 2- -гидроксиэтилокси-п-фенилендиамина, N-( -метоксиэтил)амино-п-фенилендиамина, 2- -ацетиламиноэтилокси-п-фенилендиамина и их солей присоединения с кислотой.
4. Композиция по п.1, отличающаяся тем, что двойные основания формулы II выбирают среди N,N’-бис-( -гидроксиэтил) N,N’-бис-(4′-аминофенил)-1,3-диамино-пропанола, N, N’-бис-( -гидроксиэтил)N,N’-бис-(4′-аминофенил)-этилендиамина, N,N’-бис(4-аминофенил)-тетраметилендиамина, N,N’-бис-( -гидроксиэтил) N,N’-бис-(4-аминофенил)-тетраметилендиамина, N,N’-бис-(4-метиламинофенил)тетраметилендиамена, N, N’-бис-(этил)N,N’-бис-(4′-амино3-метилфенил) этилендиамина и их солей присоединения с кислотой.
5. Композиция по п.1, отличающаяся тем, что пиразоло-(1,5-а)-пиримидины формулы III выбирают среди пиразоло-[1,5-а]-пиримидин-3,7-диамина; 2,5-диметилпиразоло-[1,5-а] -пиримидина-3,7-диамина; пиразоло-[1,5-а]-пиримидин-3,5-диамина; 2,7-диметилпиразоло-[1,5-а]-пиримидин-3,5-диамина; 3-аминопиразоло-[1,5-а] -пиримидин-7-ола; 3-аминопиразоло-[1,5-а] -пиримидин-5-ола; 2-(3-аминопиразоло-[1,5-а] -пиримидин-7-иламино)-этанола; 2-(7-аминопиразоло-[1,5-а] -пиримидин-3-иламино)-этанола; 2-[(3-аминопиразоло-[1,5-а]-пиримидин-7-ил)-(2-гидрокси-этил)-амино] -этанола; 2-[(7-аминопиразоло-[1,5-а]-пиримидин-3-ил)-(2-гидрокси-этил)-амино] -этанола; 5,6-диметилпиразоло-[1,5-а] -пиримидин-3,7-диамина; 2,6-диметилпиразоло-[1,5-а]-пиримидин-3,7-диамина; 2,5, N7, N7-тетраметилпиразоло-[1,5-а] -пиримидин-3,7-диамина и их солей присоединения и их таутомерных форм, когда существует таутомерноре равновесие.
6. Композиция по п.1, отличающаяся тем, что о-аминофенолы выбирают среди 2-аминофенола, 2-амино-5-метилфенола, 2-амино-6-метилфенола, 5-ацетамидо-2-аминофенола и их солей присоединения с кислотой.
7. Композиция по п. 1, отличающаяся тем, что диаминопиридины выбирают среди 2,5-диаминопиридина, 2-(4-метоксифенил)амино-3-аминопиридина, 2,3-диамино-6-метоксипиридина, 2-( -метоксиэтил)амино-3-амино-6-метоксипиридина, 3,4-диаминопиридина и их солей присоединения с кислотой.
8. Композиция по п.1, отличающаяся тем, что 2-хлор-6-метил-3-аминофенол, и/или его соль, или соли присоединения с кислотой составляют 0,0001 – 5 мас. % от общей массы красящей композиции.
9. Композиция по п.8, отличающаяся тем, что 2-хлор-6-метил-3-аминофенол, и/или его соль, или соли присоединения с кислотой составляют 0,005 – 3 мас.% от общей массы красящей композиции.
10. Композиция по п.1, отличающаяся тем, что окисляемое основание или окисляемые основания составляют 0,0005 – 12 мас.% от общей массы красящей композиции.
11. Композиция по п.10, отличающаяся тем, что окисляемое основание или окисляемые основания составляют 0,005 – 6 мас.% от общей массы красящей композиции.
12. Композиция по п.1, отличающаяся тем, что соли присоединения с кислотой выбирают среди хлоргидратов, бромгидратов, сульфатов и тартратов, лактатов и ацетатов и что соли присоединения с основанием, представляют собой соли, полученные с гидроксидом натрия, гидроксидом калия, гидроксидом аммония или аминами.
13. Композиция по п.1, отличающаяся тем, что среда, приспособленная для осуществления окраски (или носитель), представляет собой воду или смесь воды и по меньшей мере одного органического растворителя, выбираемого среди низших насыщенных спиртов, содержащих 1 – 4 атома углерода, глицерина, гликолей и простых эфиров гликолей, ароматических спиртов, аналогичных продуктов и их смесей.
14. Композиция по п.1, отличающаяся тем, что ее pН составляет от 3 до 12.
15. Композиция по п.1, отличающаяся тем, что она находится в форме жидкостей, кремов, гелей или в любой другой форме, приспособленной для осуществления окраски кератиновых волокон и особенно человеческих волос.
16. Способ окраски кератиновых волокон и, в особенности, кератиновых волокон человека, таких, как волосы, отличающийся тем, что на волокна наносят по меньшей мере одну красящую композицию по пп.1 – 15 и добавляют окислитель к красящей композиции, непосредственно в момент использования, одновременно с красящей композицией или после.
17. Способ по п.16, отличающийся тем, что окислитель, присутствующий в окисляющей композиции, выбирают среди перекиси водорода, перекиси мочевины, броматов щелочных металлов, персолей, таких, как пербораты и персульфаты, перкислот.
18. Упаковка набора для окраски кератиновых волокон с отделениями под красящую композицию по пп.1 – 15 и окисляющую композицию.
РИСУНКИ
MM4A – Досрочное прекращение действия патента СССР или патента Российской Федерации на изобретение из-за неуплаты в установленный срок пошлины за поддержание патента в силе
Дата прекращения действия патента: 17.07.2008
Извещение опубликовано: 20.07.2010 БИ: 20/2010
|
||||||||||||||||||||||||||

-гидроксиэтил-п-фенилендиамин или некоторые особенные п-аминофенолы, как, например, 3-метил-4-аминофенол, 2-аллил-4-аминофенол или 2-аминометил-4-аминофенол. Однако такие композиции тоже не полностью удовлетворяют требованиям, в частности, с точки зрения интенсивности получаемых окрасок.
Заявитель недавно обнаружил, что можно получать новые окраски, интенсивные и особенно устойчивые к различным агрессивным воздействиям, которым могут подвергаться волосы, сочетая 2-хлор-6- метил-3-аминофенол с по меньшей мере одним соответствующим образом выбранным окисляемым основанием.
Это открытие легло в основу настоящего изобретения.
Итак, первым предметом изобретения является композиция для окислительной окраски кератиновых волокон и, в частности, кератиновых волокон человека, таких как волосы, отличающаяся тем, что она содержит в среде, приспособленной для осуществления окраски:


-дигидроксипропил)-п-фенилендиамин, N- (
-положении по отношению к атому азота существует таутомерное равновесие, представляемое, например, следующей схемой:

10-3 моль.
В момент применения каждую из вышеуказанных красящих композиций смешивают с равным по массе количеством окисляющей композиции, представляющей собой раствор перекиси водорода 1:20 по объему (6 мас.%).
Каждую полученную композицию наносят на 30 минут на пряди естественных седых волос с 90% седины. Затем пряди волос ополаскивают, моют стандартным шампунем и сушат.
Затем окрашенные пряди волос подвергают испытанию на устойчивость к мытью шампунем.
Цвет прядей волос, окрашенных композициями 1 и 2, перед испытанием на устойчивость к мытью шампунем оценивают в системе MUNSELL при помощи колориметра СМ 2002 MINOLTA
.
Согласно обозначениям MUNSELL цвет определяется выражением HV/C, в котором три параметра обозначают соответственно окраску или цвет (H), интенсивность или величину (V) и чистоту или хроматичность (C), наклонная черта в этом выражении является просто условностью и не обозначает отношения.
Затем окрашенные пряди волос подвергают испытанию на устойчивость к шестикратному мытью шампунем (машина Ahiba-Texomat).
Для этого пряди волос помещают в корзину, которую погружают в раствор стандартного шампуня при 37oC. Корзину приводят в возвратно-поступательное движение в вертикальном направлении с переменной частотой, а также во вращательное движение, которое воспроизводит воздействие ручного трения, что приводит к образованию пены.
После 3 минут испытания пряди извлекают, ополаскивают и затем сушат.
Окрашенные пряди подвергают 6 последовательным испытаниям путем мытья шампунем.
Затем вновь оценивают цвет прядей в системе MUNSELL при помощи колориметра СМ 2002 MINOLTA
E = 0,4C8dH + 6dV + 3dC

