|
(21), (22) Заявка: 2005138800/09, 14.12.2005
(24) Дата начала отсчета срока действия патента:
14.12.2005
(46) Опубликовано: 27.08.2007
(56) Список документов, цитированных в отчете о поиске:
RU 2195080 С2, 20.12.2002. US 5107492 А, 21.04.1992. WO 9921331 А1, 29.04.1999. WO 9714238 А1, 17.04.1997.
Адрес для переписки:
355017, г.Ставрополь, ул. Артема, 2, СВИС РВ, НИО
|
(72) Автор(ы):
Фомин Лев Андреевич (RU), Будко Павел Александрович (RU), Гайчук Дмитрий Викторович (RU), Калашников Сергей Васильевич (RU), Корягин Алексей Александрович (RU)
(73) Патентообладатель(и):
Ставропольский военный институт связи ракетных войск (RU)
|
(54) СПОСОБ ГИБРИДНОЙ КОММУТАЦИИ И АДАПТИВНОЙ МАРШРУТИЗАЦИИ И УСТРОЙСТВО ДЛЯ ЕГО ОСУЩЕСТВЛЕНИЯ
(57) Реферат:
Изобретение относится к области информационно-вычислительных сетей. Технический результат заключается в увеличении эффективности использования ресурсов сети и улучшении вероятностно-временных характеристик информационного обмена. В фазе установленного соединения сообщение записывают в общую память, измеряют длину сообщения и сравнивают с пороговым значением. Если длина сообщения превышает пороговое значение, то сообщение передают в режиме коммутации каналов, в противном случае сообщение разбивают на пакеты, переписывают в буферную память и передают в режиме коммутации пакетов по каналам с максимальной пропускной способностью согласно маршрутной таблице. Способ осуществлен на элементах вычислительной техники, схеме сравнения, управляющем триггере и электронных ключах, информационные входы которых соединены с общей памятью, а управляющие входы – с выходами триггера. В исходном состоянии используется режим коммутации пакетов, а смена режима осуществляется переводом триггера во второе устойчивое состояние с выхода схемы сравнения. 2 н.п. ф-лы, 2 ил.
Область техники, к которой относится изобретение
Изобретение относится к области информационно-вычислительных сетей, в частности к способу гибридной коммутации и адаптивной маршрутизации, и может быть использовано при проектировании цифровых сетей интегрального обслуживания.
Уровень техники
Известен способ гибридной коммутации, основанный на интеграции коммутационного оборудования, необходимого для реализации каждого метода коммутации: каналов и пакетов. Особенностью данного способа является то, что перераспределение ресурсов между режимами коммутации осуществляется центральным процессором (см. Jenny Christian J. Kummerle Karl, Burge Helmut. Network node With integrated circuit / Pachet Switching capabilities. “Communes, – Network Eur. Comput. Conf., London, 1975.”Oxbridge 1975, 207-228).
Однако при установлении режима коммутации каналов поток информации управляется без участия центрального процессора. Это означает, что переход от одного режима коммутации к другому происходит без учета текущего состояния сети, что может приводить к ее блокировкам, либо к неоправданным отказам в обслуживании, либо к неэффективному использованию ресурсов сети при передаче длинных сообщений. Кроме того, передача длинных сообщений в режиме коммутации пакетов неизбежно приведет к нарушению масштаба времени.
Известен способ гибридной коммутации, позволяющий коммутировать каналы в режиме синхронной цепи (коммутации каналов) и в режиме синхронного и асинхронного пакета (коммутация пакетов). Данный способ основан на использовании режима разделения времени между абонентами, причем временной интервал доступа присваивается различным абонентам в режиме коммутации пакета, что ограничивает требуемую оперативную память центров коммутации (см. Патент ЕПВ (ЕР) А1, №0403911, кл. H04L 12/64, 1991 г.).
Однако данный способ не обеспечивает эффективного использования каналов связи, так как при подобном управлении возникают паузы между моментом отправки сообщения и моментом выдачи отправителем очередного сообщения.
Наиболее близким по технической сущности способом, выбранным в качестве прототипа, является способ адаптивной коммутации, основанный на организации на сети соединений в режиме коммутации каналов с одновременной передачей сообщений в режиме коммутации пакетов. При данном способе осуществляется перераспределение пропускной способности трактов сети между потоками сообщений, передаваемых в обоих режимах. В алгоритмах предусмотрена возможность загрузки пауз, которые возникают при использовании режима коммутации каналов. Сообщения записываются в общую память и передаются последовательными блоками фиксированной длины (кадрами), причем время передачи кадров во всех трактах имеет одинаковую величину независимо от имеющейся в наличии пропускной способности, что приводит к неэффективному использованию каналов связи.
Процессор обработки пакетов анализирует сформированные в памяти пакеты и определяет их дальнейший маршрут согласно маршрутным таблицам.
Недостатком данного устройства является низкая эффективность использования пропускной способности выходных трактов.
Раскрытие изобретения
Задачей изобретения является разработка способа гибридной коммутации и адаптивной маршрутизации и устройства для его осуществления, повышающие эффективность использования выходных трактов и улучшающие вероятностно-временные характеристики информационного обмена.
Технический результат, который может быть достигнут с помощью предлагаемого изобретения, сводится к повышению эффективности использования выходных трактов и улучшению вероятностно-временных характеристик информационного обмена.
Технический результат достигается с помощью способа гибридной коммутации и адаптивной маршрутизации, при котором в фазе установления соединения принимают информацию об адресе вызываемого сообщения и сообщение записывают в общую память, при этом измеряют длину сообщения L и сравнивают с порогом Lп, причем если длина сообщения превышает пороговое значение L>Lп, то устанавливается физическое соединение и передачу осуществляют в режиме коммутации каналов, а при длине сообщения Lп сообщение разбивают на пакеты, переписывают в буферную память и передают в режиме коммутации пакетов по каналам с максимальной пропускной способностью в соответствии с маршрутной таблицей.
Поскольку в данном способе критичной является длина сообщения, а объем буфера строго дозирован и выбирается по условиям решения задачи оптимизации сети по минимальному среднему времени задержки, то сообщения, длина которых превышает некоторую величину Lп, нецелесообразно разбивать на пакеты, поскольку это приведет к ухудшению вероятностно-временных характеристик информационного обмена. Отправка пакетов по маршрутам, имеющим максимальную пропускную способность, будет приводить к быстрому освобождению буферов.
Технический результат достигается с помощью устройства гибридной коммутации и адаптивной маршрутизации, содержащего процессор взаимодействия с абонентами и процессор управления, связанные с общей памятью, а также выходной процессор, при этом в него введены вычислительное устройство, схема сравнения, управляющий триггер и первый и второй электронные ключи, управляющие входы которых связаны с инверсным и прямым выходами управляющего триггера, вход установки в единицу которого соединен с выходом схемы сравнения, а вход установки в ноль подсоединен к первому выходу процессора управления, второй выход процессора управления через вычислительное устройство соединен с одним входом схемы сравнения, другой вход которого подключен к третьему выходу процессора управления и третий выход которого подключен к управляющему входу выходного процессора, при этом выход общей памяти соединен с информационными входами ключей, выходы которых подсоединены к информационным входам выходного процессора, соединенного выходами с выходными трактами.
Благодаря указанным особенностям в устройстве осуществляется запоминание сообщения, измерение его длины в процессоре управления и сравнение с критической длиной, вырабатываемой вычислительным устройством, и в дальнейшем переключение режимов коммутации с помощью, например, управляющего триггера.
Краткое описание чертежей
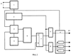
На фиг.1 показана структурная схема устройства для осуществления предлагаемого способа.
На фиг.2 показаны графики, поясняющие алгоритм осуществления способа.
Осуществление изобретения
Устройство содержит процессор взаимодействия с абонентами 1 и процессор управления 2, связанные с общей памятью 3, а также выходной процессор 4, соединенный управляющим входом с первым выходом процессора управления 2, вычислительное устройство 5, соединенное входом с вторым выходом процессора управления 2, а выходом – с одним из входов схемы сравнения 6, другой вход которой соединен с третьим выходом процессора управления 2, управляющий триггер 7, вход установки в единицу которого соединен с выходом схемы сравнения 6, а вход установки в ноль соединен с четвертым выходом процессора управления 2. Прямой и инверсный выходы управляющего триггера 7 соединены с управляющим входом первого и второго электронных ключей 8 и 9 соответственно, а информационные входы подключены к выходу общей памяти 3. Выходы электронных ключей 8 и 9 подсоединены через выходной процессор 4 к выходным трактам 10.
В данном устройстве процессор взаимодействия с абонентами 1 является частью системы, осуществляющей процедуру доступа абонентских комплексов к базовой сети обмена данными, определяемых протоколами работы по тракту передачи данных. Процессор управления 2 управляет процессами записи (считывания) информации в память, регистрирует адрес и длину сообщения, определяет направление передачи сообщения, а также располагает информацией о состоянии буферов и выходных трактов. Выходной процессор 4 решает задачи адресации и маршрутизации сообщений. Процессор управления 2 и выходной процессор 4 могут взаимодействовать по сети с соседними узлами коммутации либо с общим центром маршрутизации при реализации централизованной адаптивной маршрутизации. Вычислительное устройство 5 решает задачу вычисления порога Lп на основании данных, полученных от процессора управления.
Примеры конкретного осуществления способа гибридной коммутации и адаптивной маршрутизации
Пример. В примере реализации схемы вычислительное устройство 5 представляет собой блок идентификации, пороговое значение Lп может быть рассчитано по формуле

где Lкр – критическая длина сообщения, задаваемая для конкретной сети в результате решения задачи оптимизации;
m – общий объем памяти буфера;
m3(t) – текущее значение занятого объема памяти буфера;
– производная по времени от занятого объема памяти;
– коэффициент пропорциональности.
В этом случае используется только информация о состоянии данного узла (занятый объем буферной памяти). Производная по времени от занятого объема буферной памяти учитывает тенденцию изменения буферной памяти и зависит от изменения графика.
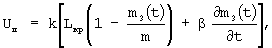
Если истинная длина сообщения выражена в единицах напряжения U, то она подается на один из входов схемы сравнения (компаратора) 5, на другой вход которого подается величина

где k – коэффициент, преобразующий пороговую длину сообщения в напряжение. Если длина сообщения Lп выражена в битах, то k по размерности представляет собой величину [вольт/бит].
Схема сравнения 6 переходит во второе устойчивое состояние, если U>Uп. Высокий потенциал, появившийся на выходе схемы сравнения, переведет триггер 7 во второе длительное устойчивое состояние, при этом на его прямом выходе потенциал станет высоким, что приведет к открыванию второго ключа 9. В результате этого будет осуществлен режим коммутации каналов.
Триггер 7 возвращается в исходное состояние по команде процессора управления 2 путем подачи единичного импульса на вход установки в ноль. В дальнейшем будет осуществляться режим коммутации пакетов до тех пор, пока напряжение U на выходе процессора управления 2 не превысит порогового значения Uп, формируемого на выходе вычислительного устройства 5.
В устройстве реализована локальная адаптивная маршрутизация. Информация, необходимая для принятия решения о направлении передачи, представляет собой:
1. Заранее загруженные таблицы маршрутизации.
2. Сведения о текущем состоянии выходных трактов.
3. Данные очередей пакетов, ожидающих передачи по каждому из каналов.
Информация о состоянии других компонентов сети узлом не используется.
Выходное устройство 4 вычисляет текущий вес ветви
VTi=Vi+mбi,
а затем определяет вероятность Pi, с которой связной процессор 9 должен открывать пакеты в i-м направлении

где n – количество ветвей, в которые может быть направлено сообщение;
Vi – назначенный априорно вес ветви, например в единицах пропускной способности;
mбi – объем свободной памяти буфера (измеряется в количестве пакетов, которые еще могут быть сохранены в буфере).
Целесообразно направить пакеты в i-ю ветвь, для которой

Для избежания скачков триггера связной процессор (выходной процессор 4) может распределять пакеты по ветвям в соответствии с вычисленными значениями вероятности. В первом случае реализуется передача пакетов по виртуальному каналу, во втором – используется дейтаграммный метод.
Применение локальной информации о состоянии узла коммутации оправдано тем, что результат оптимизации на сетевом уровне позволяет определить значения потоков информации Fij пропускных способностей каналов Vij, общее число каналов ni и объем буфера для каждого узла mi

где вид функции определяется соотношением

Оптимизация по ij позволяет варьировать величинами Vij и nij в зависимости от класса графика (Fij), выбирая любую совокупность каналов с переменной шириной битовых скоростей передачи, формируя каждый раз виртуальный канал с переменной пропускной способностью и поддерживая значения вероятностно-временных характеристик (минимальное среднее время задержки сообщения и вероятность отказа в обслуживании по причине отсутствия свободных мест в буфере) на заданном уровне.
Пример числового расчета реализации способа гибридной коммутации и адаптивной маршрутизации и устройства для его осуществления. Преимущества предлагаемого изобретение по сравнению с прототипом и другими известными техническими решениями можно определить из диаграмм, изображенных на фиг.2 Здесь представлены совмещенные графики зависимостей


которые представляют собой номограммы для графического решения сетевых задач и могут быть использованы для количественной оценки преимуществ предлагаемого способа гибридной коммутации.
Анализ показывает, что основные качественные показатели сети в оптимальном случае зависят от числа каналов n в выбранном направлении передачи и числа буферов m на входе в каждый канал, причем для осуществления оптимальности значения n, m должны быть строго дозированы и выдаваться программно. Например, при числе каналов n=4 и m=15 (см. 3-й квадрант) оптимальное значение коэффициента загрузки канала =0,55.
Это означает, что передаваемый по сети поток достигает значения F12=20 Мбит при пропускной способности V=36 Мбит. Если необходимо передать сообщение длиной L=795 байт, то объем буфера т=15 оказывается достаточным, чтобы разбить сообщение на 15 частей и поместить их в буферную память (одна ячейка АТМ равна 53 байта), не нарушив оптимальности.
Если передаваемое сообщение окажется большей длины, например L=1166 байт, то потребуется 22 буфера для их записи, что приведет к уменьшению коэффициента загрузки канала =0,43, и, следовательно, эффективность использования ресурсов уменьшится на 22%.
Попытка сохранить коэффициент загрузки канала на прежнем уровне приведет к увеличению среднего времени задержки (кривая А в первом квадранте). В точке минимума время задержки Т=10 мс, в то время как при смещении по кривой вверх дает время задержки Т=13 мс, что приводит к увеличению времени задержки на 30%.
Таким образом, сформулированная цель изобретения – повышение эффективности использования выходных трактов и улучшение вероятностно-временных характеристик информационного обмена – достигнута применением заявляемого способа.
Предлагаемое изобретение по сравнению с прототипом и другими известными техническими решениями имеет следующие преимущества:
– повышение эффективности использования каналов на сети;
– повышение эффективности использования буферов памяти в узлах коммутации сети;
– снижение временной задержки пакетов на сети;
– определение оптимального режима коммутации на сети;
– варьирование пропускной способностью, каналами и числом буферов в зависимости от класса графика, выбирая любую совокупность каналов с переменной шириной битовых скоростей передачи, формируя каждый раз виртуальный канал с переменной пропускной способностью и поддерживая значения вероятностно-временных характеристик на заданном уровне.
Формула изобретения
1. Способ гибридной коммутации и адаптивной маршрутизации, включающий фазу установления соединения с приемом информации об адресе вызываемого сообщения и записью сообщения в общую память, отличающийся тем, что измеряется длина сообщения L и сравнивается с порогом Ln, причем если длина сообщения превышает пороговое значение L>Ln, то устанавливается физическое соединение и передача осуществляется в режиме коммутации каналов, а при длине сообщения Ln – сообщение разбивается на пакеты, переписывается в буферную память и передается в режиме коммутации пакетов по каналам с максимальной пропускной способностью в соответствии с маршрутной таблицей.
2. Устройство гибридной коммутации и адаптивной маршрутизации, содержащее процессор взаимодействия с абонентами, осуществляющий процедуру доступа абонентских комплексов к базовой сети обмена данными, процессор управления для управления памятью, регистрации адреса и длины сообщения, определения направления передачи сообщения, располагающий информацией о состоянии буферов и выходных трактов, связанные с общей памятью, а также выходной процессор для адресации и маршрутизации сообщений, соединенный управляющим входом с первым выходом процессора управления, отличающееся тем, что в него введены вычислительное устройство для вычисления порога Ln, соединенное входом с вторым входом процессора управления, а выходом – с одним из входов схемы сравнения, другой вход которой соединен с третьим выходом процессора управления, управляющий триггер, вход установки в единицу которого соединен с выходом схемы сравнения, а вход установки в ноль соединен с четвертым выходом процессора управления, первый и второй электронные ключи, управляющие входы которых связаны с инверсным и прямым выходами управляющего триггера соответственно, при этом выход общей памяти соединен с информационными входами ключей, выходы которых подсоединены к информационным входам выходного процессора, соединенного выходами с выходными трактами.
РИСУНКИ
|