|
|
(21), (22) Заявка: 2005134804/28, 09.11.2005
(24) Дата начала отсчета срока действия патента:
09.11.2005
(46) Опубликовано: 27.08.2007
(56) Список документов, цитированных в отчете о поиске:
SU 1592721 A1, 15.09.1990. СЛАВНОВ С.Г. Определение угла расходимости излучения ОКГ и метод его контроля. – Измерительная техника, 1976, № 4, с.45-46. RU 2086945 C1, 10.08.1997. SU 1784842 A1, 30.12.1992. JP 10047938 A, 20.02.1998.
Адрес для переписки:
199034, Санкт-Петербург, Биржевая линия, 12, “ГОИ им. Вавилова”, патентный отдел
|
(72) Автор(ы):
Славнов Сергей Гаврилович (RU), Жевлаков Александр Павлович (RU), Пелипенко Владимир Иванович (RU), Славнов Сергей Сергеевич (RU), Славнов Дмитрий Сергеевич (RU)
(73) Патентообладатель(и):
ФГУП “НПК” ГОИ им. С.И. Вавилова” (RU)
|
(54) СПОСОБ ИЗМЕРЕНИЯ УГЛА РАСХОДИМОСТИ СВЕТОВОГО ПУЧКА
(57) Реферат:
Изобретение относится к измерительной технике и предназначено для контроля угла расходимости светового пучка. Световой пучок, угол расходимости которого определяется, фокусируется в фокальной плоскости, где располагаются два оптических клина, разводящих в противоположных направлениях световые полупятна, которые изображаются проекционным объективом в плоскости регистрации. Часть пучка отклоняют в плоскость изображения источника, которую располагают на расстоянии 2f’ от фокусирующей системы, в которой определяют размер d2 изображения источника, а сам источник устанавливают перед фокусирующей системой на расстоянии 2f’, где f’ – фокусное расстояние фокусирующей системы, после чего измеряют размер d1 отклоненных полупятен и рассчитывают угол расходимости из соотношения: где знак “+” берется в случае предфокального пересечения лучей, а знак “-” в случае зафокального. Техническим результатом является повышение точности определения. 4 ил.
Изобретение относится к измерительной технике, а именно – для контроля угла расходимости светового пучка.
Известны способы измерения угла расходимости. Один из способов [1] состоит в том, что излучение формирует в фокальной плоскости длиннофокусного объектива изображение поля излучения в пределах некоторого диаметра d. Угол расходимости, пропорциональный изменению диаметра d, определяется из соотношения =d/f’,где f’ – фокусное расстояние объектива. Недостаток способа состоит в том, что для измерения угла необходимо производить анализ изображения поля излучения. Поскольку для анализа поля обычно используется фотографирование пятна с последующим исследованием его структуры, этот процесс достаточно сложен технически и требует длительного времени.
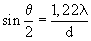
Наиболее близким к заявленному является способ измерения угла [2], по которому световой пучок с помощью фокусирующей системы (цилиндрического объектива) собирается в фокальной плоскости в виде светового пятна (световой линии). В этой плоскости располагаются два оптических клина. После прохождения клиньев световое пятно делится на две части, которые отклоняются в противоположные направления. Далее полупятна с помощью проекционного объектива, оптически связанного с клиньями, направляются в плоскость регистрации. По размеру световых полупятен рассчитывают угол расходимости. Недостаток способа состоит в том, что он не позволяет учитывать размер источника излучения при измерении предельно малых – дифракционных углов в соответствии с соотношением [3]: , где d – размер диафрагмы источника излучения, – длина волны. Отсутствие учета этого факта ведет к снижению точности измерений, поскольку в измеренную величину угла входит составляющая, соответствующая размеру источника и не учитываемая в результате измерений. В итоге величина измеренного угла становится завышенной.
Отличительной особенностью заявленного способа является то, что часть пучка отклоняют в плоскость изображения источника, которую располагают на расстоянии 2f’ от фокусирующей системы, в которой определяют размер d2 изображения источника, а сам источник устанавливают перед фокусирующей системой на расстоянии -2f’, где f’ – фокусное расстояние фокусирующей системы, после чего рассчитывают угол расходимости из соотношения: где знак “+” берется в случае предфокального пересечения лучей, а знак “-” в случае зафокального.
На чертежах представлены:
Фиг.1 Оптическая схема прототипа.
Фиг.2 Оптическая схема заявленного способа.
Фиг.3 Вид изображения полупятен в плоскости регистрации 5.
Фиг.4 Вид изображения предмета, установленного на расстоянии 2f’ от фокусирующей системы.
На фиг.1 устройство прототипа содержит источник излучения, ограниченный диафрагмой 1 размером d, фокусирующую систему 2, оптический элемент 3 в виде клиньев, расположенных в фокальной плоскости фокусирующей системы 2, проекционный объектив 4, плоскость регистрации 5. Работа устройства состоит в следующем. Световой пучок, угол расходимости 9 которого следует определить, пройдя диафрагму 1, собирается фокусирующей системой 2 в фокальной плоскости в виде светового пятна на расстоянии f’ за фокусирующей системой 2, где f’ – фокусное расстояние.
После прохождения через оптический элемент 3 световое пятно делится на два полупятна, которые отклоняются в противоположные направления. Далее полупятна с помощью проекционного объектива 4 изображаются в плоскости регистрации 5, где измеряют размер полупятен и по размеру полупятен рассчитывают угол расходимости.
На фиг.2 изображена оптическая схема заявленного способа. Световой пучок, ограниченный диафрагмой 1 и имеющий размер d, проходит через фокусирующую систему 2, светоделитель 7, собирается на расстоянии f’ за ней в виде светового пятна. На расстоянии f’ располагается оптический элемент 3 в виде клиньев. После прохождения клиньев световое пятно делится на два полупятна, отклоняющиеся в противоположные стороны. Далее полупятна изображаются проекционным объективом 4 в плоскости регистрации 5. Если пучок лучей параллелен ( =0), то лучи соберутся в виде светового пятна в фокальной плоскости фокусирующий системы 2. Далее после прохождения оптического элемента 3 и проекционного объектива 4 лучи соберутся в плоскости регистрации 5, где изобразится картина, показанная на фиг.3, случай ‘=0, где ‘ – величина смещения точки пересечения лучей относительно фокуса фокусирующей системы 2. Если пучок станет непараллельным ( 0), то лучи соберутся за фокусирующей системой 2 на некотором расстоянии + ‘, соответствующему предфокальному пересечению лучей, либо – ‘ – в случае зафокального пересечения лучей. После прохождения оптического элемента 3 и проекционного объектива 4 лучи соберутся в плоскости регистрации 5 в виде полупятен размером d1. Вид полупятен показан на фиг.3 для случаев + ‘ и – ‘. Часть светового пучка, прошедшая через фокусирующую систему 2, отклоняется светоделителем 7 в плоскость изображения источника 6, расположенную по коду лучей на расстоянии 2f’ за фокусирующей системой, где изменяют размер d2 изображения источника. При этом источник, ограниченный диафрагмой 1, устанавливается на расстоянии -2f’ перед фокусирующей системой 2. Это делается для того, чтобы применить известное свойство фокусирующей системы: предмет (источник), установленный в пространстве предметов на расстоянии -2f’ от фокусирующей системы, изобразится в том же масштабе на расстоянии 2f’ в пространстве изображения [4]. Это свойство фокусирующей системы изображено на фиг.4. По измеренным d1 и d2 рассчитывают угол расходимости из соотношения: где знак “+” берется в случае предфокального пересечения лучей, а знак “-” в случае зафокального.
Будем считать, что минимальный диаметр светового пятна d1, который может быть оценен с помощью приемника, установленного в плоскости регистрации 5, составляет 20 мкм, фокусное расстояние фокусирующей системы f’=300 мм, диаметр диафрагмы источника d=40 мм равен диаметру его изображения. Тогда из формулы для угла в случае предфокального пересечения лучей имеем: . Если оценить полученную величину относительно предельного дифракционного угла (для =0,5 мкм и d=40 мм), получаем , соизмеримый с углом .
Сравнивая предложенный способ с прототипом, следует отметить его преимущество, заключающееся в том, что способ позволяет повысить точность измерения угла благодаря учету размера источника. Другое преимущество состоит в том, что, как следует из формулы для угла , – он является отношением величин d1 и d2, что исключает влияние формы распределения энергии по сечению пучка, а результат получается непосредственно либо в угловой мере, либо радианах.
Источники информации
1. Иващенко П.А. Калинин Ю.А. Морозов Б.Н. Измерение параметров лазеров. М., Изд. стандартов, 1982, с.167.
2. Славнов С.Г. Определение угла расходимости излучения ОКГ и метод его контроля, журнал “Измерительная техника”,1976, №4, с.46-46.
3. Кругер М.Я. и др. Справочник конструктора оптико-механических приборов. Л. Изд. “Машиностроение”, 1968, с.35.
4. Апенко М.И., Дубовик А.С. Прикладная оптика, Изд. “Наука”, М., 1971, с.68.
Формула изобретения
Способ измерения угла расходимости светового пучка, заключающийся в том, что световой пучок фокусируется в фокальной плоскости, где располагаются два оптических клина, разводящих в противоположных направлениях световые полупятна, которые изображаются проекционным объективом в плоскости регистрации, и определяют размер изображения полупятен d1, отличающийся тем, что часть пучка отклоняют в плоскость изображения источника, которую располагают на расстояние 2f’ от фокусирующей системы, в которой определяют размер d2 изображения источника, а сам источник устанавливают перед фокусирующей системой на расстоянии 2f’, где f’ – фокусное расстояние фокусирующей системы, после чего рассчитывают угол расходимости из соотношения

где знак + берется в случае предфокального пересечения лучей, а знак “-” в случае зафокального.
РИСУНКИ
MM4A – Досрочное прекращение действия патента СССР или патента Российской Федерации на изобретение из-за неуплаты в установленный срок пошлины за поддержание патента в силе
Дата прекращения действия патента: 10.11.2007
Извещение опубликовано: 10.07.2009 БИ: 19/2009
|
|