|
|
(21), (22) Заявка: 2002124584/15, 05.02.2001
(24) Дата начала отсчета срока действия патента:
05.02.2001
(30) Конвенционный приоритет:
16.02.2000 (пп.1-41) US 09/504,741
(43) Дата публикации заявки: 10.03.2004
(46) Опубликовано: 27.08.2007
(56) Список документов, цитированных в отчете о поиске:
US 5122377 A, 16.06.1992. US 5708017 A, 13.01.1998. EP 0181525 A2, 21.05.1986. МАШКОВСКИЙ М.Д. Лекарственные средства (в 2-х т.). 14-е изд., перераб. Издательство “Новая Волна”.
(85) Дата перевода заявки PCT на национальную фазу:
16.09.2002
(86) Заявка PCT:
EP 01/01155 (05.02.2001)
(87) Публикация PCT:
WO 01/60409 (23.08.2001)
Адрес для переписки:
103735, Москва, ул. Ильинка, 5/2, ООО “Союзпатент”, Н.Н.Высоцкой
|
(72) Автор(ы):
ДЗУН Чен (US)
(73) Патентообладатель(и):
МЕРИАЛ ЛИМИТЕД (GB)
|
(54) ФАРМАЦЕВТИЧЕСКИЕ И ВЕТЕРИНАРНЫЕ ПАСТООБРАЗНЫЕ КОМПОЗИЦИИ
(57) Реферат:
Настоящее изобретение относится к области лекарственных средств, в частности к способу получения фармацевтической или ветеринарной пастообразной композиции, содержащей эффективное количество терапевтически активного средства; коллоидный диоксид кремния; модификатор вязкости; гидрофильный носитель; необязательно абсорбент; необязательно краситель, стабилизатор, поверхностно-активное вещество или консервант. Кроме того, изобретение относится к применению фармацевтической композиции, включающей 3-(циклопропилметокси)-5,5-диметил-4-(4-метилсульфонил)фенил)-5Н-фуран-2-он или 3-(циклопропилэтокси)-5,5-диметил-4-(4-метилсульфонил)фенил)-5Н-фуран-2-он для лечения различных патологических состояний. 9 н. и 32 з.п. ф-лы, 7 ил.
ОБЛАСТЬ ТЕХНИКИ, К КОТОРОЙ ОТНОСИТСЯ ИЗОБРЕТЕНИЕ
Данное изобретение относится к области медицины и ветеринарии и касается пастообразных композиций для фармацевтического и ветеринарного применения, а также способов лечения различных патологических состояний с использованием предложенных композиций. Данное изобретение также предлагает улучшенный способ изготовления пастообразных композиций.
УРОВЕНЬ ТЕХНИКИ
Терапевтически активные средства можно вводить животным и человеку различными способами. Данные способы включают, например, пероральное, местное или парентеральное введение. Конкретный способ, выбираемый практикующим врачом, зависит от таких факторов, как физико-химические свойства терапевтически активного средства, состояние реципиента и экономические факторы.
Одним из способов, обеспечивающих пероральное, местное, кожное или подкожное введение, заключающимся в приготовлении терапевтически активного средства, является приготовление композиций в виде пасты. Пасты обладают преимуществом относительной легкости использования. Недостаток, связанный с их использованием, заключается в том, что пасты не обладают химической и физической стабильностью при хранении. Таким образом, существует потребность в разработке улучшенных пастообразных композиций, которые не обладали бы данными нежелательными свойствами.
Одна из причин указанных выше недостатков заключается во включении коллоидного диоксида кремния в качестве добавки, регулирующей вязкость. Коллоидный диоксид кремния коммерчески доступен и продается, например, под торговыми названиями CAB-O-SIL (Cabot, TD11) и AEROSIL (Degussa, Technical Bulletin Pigments, No. 11 и No.49). Коллоидный диоксид кремния представляет собой чрезвычайно легкий материал (плотность 0,04 г/мл), что делает трудным обращение с ним и его обработку. Кроме того, вследствие своей малой плотности коллоидный диоксид кремния при смешивании с наполнителем вводит в продукт значительное количество воздуха. Это происходит даже и при относительно небольших количествах (от 6 до 8%), обычно используемых для получения паст (от 6 до 8%). Оказалось, что если пасту не получают под вакуумом или если на конечной стадии получения пасты не включена стадия удаления воздуха, то такие большие количества воздушных пузырьков удалить из пасты невозможно.
Для того чтобы продемонстрировать проблемы, связанные с использованием коллоидного диоксида кремния, такого как CAB-O-SIL, измеряли вязкость пасты в зависимости от содержания CAB-O-SIL. Фигура 1 демонстрирует изменение вязкости пасты без добавления модификатора вязкости. В данном исследовании в качестве наполнителя использовали триацетин. При концентрации CAB-O-SIL меньше 5%, паста оставалась жидкой, подобной свободно текущей жидкости, и захваченный воздух мог легко улетучиваться. При концентрации больше 5% вязкость резко увеличивалась, и дополнительный воздух, введенный в пасту вместе с CAB-O-SIL, не мог улетучиваться и оставался в пасте. При концентрации CAB-O-SIL приблизительно 7% величина пенетрации для пасты составляла 35 мм. Такое значение сопоставимо со значением пенетрации для других коммерчески известных паст, таких как GASTROGARD (20-40 мм). Таким образом, в отсутствие модификатора вязкости для получения паст с требуемой вязкостью необходимо не менее 7% CAB-O-SIL. Вследствие низкой плотности CAB-O-SIL (0,04 г/мл) захваченный воздух составляет значительное количество. Таким образом, если пасту не получают под вакуумом или если в конце не включена стадия удаления воздуха, удалить такие большие количества воздуха из пасты невозможно, так же как и обеспечить точность дозировки при лечении.
Модификаторы вязкости включают соединения, которые имеют две или более функциональные группы, которые способны образовывать водородные связи с силанолами на поверхности частиц коллоидного диоксида кремния. Соединения, которые выступают в роли модификатора вязкости, включают, например, полиэтиленгликоли (ПЭГ). Данные соединения представляют собой жидкие и твердые полимеры, которые соответствуют общей формуле Н(ОСН2СН2)nOH, где n больше или равно 4, и они описаны в работе “The Merck Index”, 10th ed., M. Windholz and S. Budavari eds., p.1092, Merck (Co., Inc., Rahway, NJ (1983).
He вдаваясь в подробности, следует отметить, что для понимания механизма действия модификаторов вязкости, необходимо объяснить, как CAB-O-SIL загущает композицию. Эффект загущения обеспечивают водородные связи между силанольными группами на поверхности частиц CAB-O-SIL. Водородные связи соединяют частицы CAB-O-SIL с образованием трехмерной сетки. Модификаторы вязкости имеют две или более функциональные группы (например, -ОН или -NH2). Данные группы образуют на поверхности частиц CAB-O-SIL водородные связи с силанолами. Данные модификаторы вязкости действуют в качестве сшивателей, распространяющих структуру сетки далее и также увеличивающих плотность сшивок. Именно поэтому добавление небольшого количества модификаторов вязкости значительно увеличивает вязкость паст.
Для того чтобы это продемонстрировать, получали пасты плацебо, содержащие 4% CAB-O-SIL и 0,1-3,0% полиэтиленгликоля ПЭГ 300 в триацетине, вязкость полученных паст измеряли с помощью пенетрометра (фигура 2). Перед добавлением ПЭГ 300 вязкость паст оказалась слишком низкой для того, чтобы ее можно было определить с помощью пенетрометра (>65 мм). После добавления 0,1% ПЭГ 300 вязкость резко увеличилась. При добавлении большего количества ПЭГ 300 наблюдалось дальнейшее увеличение вязкости. При концентрации ПЭГ более 0,5% значение вязкости выходило на плато. В диапазоне концентраций ПЭГ 300 0,5-3,0% вязкость оставалась приблизительно постоянной, хотя при добавлении более 2% ПЭГ наблюдалось даже незначительное уменьшение вязкости.
На фигуре 3 показан возможный молекулярный механизм. На фигуре 3 показана конкуренция на молекулярном уровне между избыточными молекулами ПЭГ и сшивающими молекулами ПЭГ. Из фигуры 3 следует, что силанольные группы на поверхности частиц CAB-O-SIL насыщаются при добавлении более чем 0,5% ПЭГ. Дополнительные молекулы ПЭГ больше не могут увеличивать вязкость, им не удается найти две свободные силанольные группы на двух различных частицах. Наоборот, свободные молекулы ПЭГ фактически конкурируют со связанными молекулами ПЭГ, которые сшивают две частицы (фигура 3). В результате некоторые из сшивок диссоциируют и вязкость незначительно уменьшается. Исходя из результатов, показанных на фигуре 2, оптимальным диапазоном ПЭГ 300 является для этой конкретной пасты диапазон приблизительно от 0,2 до 1,5%.
Таким образом, как показано на фигуре 1, для получения требуемой вязкости в пастах предшествующего уровня техники используются относительно большие концентрации коллоидного диоксида кремния. Следствием этого является захват пастами большого количества воздуха, что влечет за собой, например, неточность дозирования при лечении, усадку, разделение жидкостей (разделение фаз) и изменение окраски пасты. Кроме этого, терапевтическое средство также может окислиться. Также большое количество коллоидного диоксида кремния в пасте для перорального приема создает во рту ощущение присутствия песка, что делает продукт менее приятным. Кроме того, весьма значительны производственные затраты получения паст, поскольку процесс необходимо проводить под вакуумом, или же по завершении процесса необходима дополнительная стадия удаления воздуха. Дополнительные производственные затраты связаны с тем, что коллоидный диоксид кремния относительно дорог, и с ним достаточно трудно обращаться из-за его чрезвычайно низкой плотности. Настоящее изобретение преодолевает вышеуказанные, а также другие недостатки.
СУЩНОСТЬ ИЗОБРЕТЕНИЯ
Настоящее изобретение предлагает стабильную пастообразную композицию для широкого ассортимента ветеринарных и фармацевтических продуктов. Настоящее изобретение также предлагает способ получения пастообразных продуктов настоящего изобретения. Композиции настоящего изобретения обладают хорошей химической и физической стабильностью при хранении и сохраняют целостность химической структуры, строение, консистенцию и вязкость в широком температурном диапазоне. Способ получения настоящего изобретения представляет собой простой, быстрый и экономичный способ получения пастообразных композиций, который не предусматривает нагревания и охлаждения во время получения и предотвращает захват воздуха – общую проблему при изготовлении лекарственных форм в виде паст.
Данные и другие варианты реализации описываются и содержатся в последующем подробном описании, или же они становятся очевидными после его прочтения.
КРАТКОЕ ОПИСАНИЕ ЧЕРТЕЖЕЙ.
На фигуре 1 показана зависимость вязкости от концентрации CAB-O-SIL без модификатора вязкости.
На фигуре 2 показано влияние модификатора вязкости ПЭГ 300 на вязкость пасты после получения и после хранения в течение 6 дней при 60°С.
На фигуре 3 показана схема конкуренции избыточных молекул ПЭГ со сшивающими молекулами ПЭГ.
На фигуре 4 показаны результаты определения чувствительности к сдвигу для промежуточного продукта при низких величинах сдвига.
На фигуре 5 показаны результаты определения чувствительности к сдвигу для конечного продукта при высоких величинах сдвига.
На фигуре 6 показана порошковая рентгенограмма (XRPD) для формы А.
На фигуре 7 показана порошковая рентгенограмма для формы В.
ПОДРОБНОЕ ОПИСАНИЕ ИЗОБРЕТЕНИЯ
Настоящее изобретение предлагает фармацевтическую или ветеринарную пастообразную композицию, содержащую:
(a) эффективное количество терапевтически активного средства;
(b) коллоидный диоксид кремния;
(c) модификатор вязкости;
(d) носитель;
(e) необязательно абсорбент; и
(f) необязательно краситель, стабилизатор, поверхностно-активное вещество или консервант.
Данное изобретение также предлагает способ получения пастообразной композиции, включающий стадии:
(а) растворения или диспергирования терапевтически активного средства в носителе в результате перемешивания;
(b) добавления коллоидного диоксида кремния к носителю, содержащему растворенное терапевтически активное средство, и перемешивания до тех пор, пока диоксид кремния не будет диспергирован в носителе;
(c) выдерживания промежуточного продукта, полученного на стадии (b), для отстаивания на время, достаточное для того, чтобы дать возможность воздуху, захваченному во время стадии (b), улетучиться; и
(d) добавления модификатора вязкости к промежуточному продукту при перемешивании до получения однородной пасты.
Стадии являются иллюстративными, а не ограничивающими. Например, стадия (а) может быть выполнена в последнюю очередь.
Более предпочтительны фармацевтические и ветеринарные пасты, содержащие:
(a) терапевтически активное средство, выбираемое из группы, состоящей из инсектицидов, акарицидов, паразитицидов, стимуляторов роста, маслорастворимых NSAID или ингибитора протонового насоса;
(b) коллоидный диоксид кремния;
(c) модификатор вязкости;
(d) абсорбент;
(e) краситель; и
(f) носитель, которым является триацетин, моноглицерид, диглицерид или триглицерид.
Также предпочтительны пасты, содержащие:
(а) терапевтически активное средство, выбираемое из группы, состоящей из авермектинов, мильбемицинов, нодулиспоровой кислоты и ее производных, эстрогенов, прогестинов, андрогенов, замещенных пиридилметильных производных, фенилпиразолов, ингибиторов СОХ-2 (циклооксигеназы-2) или производных 2-(2-бензимидазолил)-пиримидина;
(b) коллоидный диоксид кремния;
(c) модификатор вязкости;
(d) абсорбент;
(e) краситель; и
(f) гидрофильный носитель, которым является триацетин, моноглицерид, диглицерид или триглицерид.
Приведенные выше композиции, в которых в качестве модификатора вязкости используют ПЭГ 200, ПЭГ 300, ПЭГ 400, ПЭГ 600, моноэтаноламин, триэтаноламин, глицерин, пропиленгликоль, полиоксиэтилен (20) сорбитанмоноолеат (Polysorbate 80 или Tween 80), полиоксамеры (например, Pluronic L 81); в качестве абсорбента используют карбонат магния, карбонат кальция, крахмал или целлюлозу и ее производные; а в качестве красителя используют диоксид титана, оксид железа или алюминиевый лак FD&C Blue #1, являются наиболее предпочтительными.
Терапевтически активные средства, которые можно использовать в композициях настоящего изобретения, представляют собой такие вещества, хорошо известные практикующему врачу, которые могут быть приготовлены в виде паст. Терапевтически активные средства, которые можно использовать в композициях настоящего изобретения, включают инсектициды, акарициды, паразитициды, стимуляторы роста, маслорастворимые, нестероидные противовоспалительные лекарственные препараты (NSAID), ингибиторы протонового насоса и соединения с противомикробным действием. Конкретные соединения, которые попадают в данные классы, включают, например, авермектины, мильбемицины, нодулиспоровую кислоту и ее производные, эстрогены, прогестины, андрогены, замещенные пиридилметильные производные, фенилпиразолы, ингибиторы для СОХ-2, производные 2-(2-бензимидазолил)-пиримидинов и макролидные антибиотики.
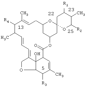
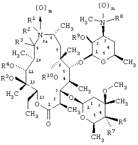
Авермектиновая и мильбемициновая серии соединений являются потенциальными противоглистными и противопаразитными соединениями, оказывающими действие на широкий спектр внутренних и наружных паразитов. Соединения, которые относятся к данным сериям, представляют собой либо природные продукты, либо их полусинтетические производные. Структуры данных двух серий соединений очень близки, и они обе имеют сложное 16-членное макроциклическое лактоновое кольцо; однако мильбемицин не содержит агликоновый заместитель в 13 положении лактонового кольца. Природные продукты авермектины описываются в US 4310519 авторов Albers-Schonberg, et al., а производные 22,23-дигидроавермектина описываются у авторов Chabala, et al. в US 4199569. За информацией об общем рассмотрении авермектинов, которое включает рассмотрение их использования для людей и животных, обратитесь к работе “Ivermectin and Abamectin,” W. С.Campbell, ed. Springer – Verlag, New York (1989). Встречающиеся в природе мильбемицины описываются у авторов Aoki, et al. в US 3950360, а также в различных ссылках, приведенных в работе “The Merck Index” 12th ed., S. Budavari, Ed., Merck & Co., Inc. Whitehouse Station, New Jersey (1996). Полусинтетические производные данных классов соединений на современном уровне техники хорошо известны, и они описываются, например, в US 5077308, US 4859657, US 4963582, US 4855317, US 4871719, US 4874749, US 4427663, US 4310519, US 4199569, US 5055596, US 4973711, US 4978677 и US 4920148.
Авермектины и мильбемицины имеют одно и то же общее 16-членное макроциклическое лактоновое кольцо; однако мильбемицины не содержат дисахаридный заместитель в 13-ом положении лактонового кольца.
Авермектиновые соединения имеют следующую общую структурную формулу:

где пунктирная линия указывает на наличие одинарной или двойной связи в 22,23-положениях;
R1 представляет собой водород или гидрокси при том условии, что R1 присутствует только тогда, когда пунктирная линия будет указывать на наличие одинарной связи;
R2 представляет собой алкил, содержащий от 1 до 6 углеродных атомов, или алкенил, содержащий от 3 до 6 углеродных атомов, или циклоалкил, содержащий от 3 до 8 углеродных атомов;
R3 представляет собой гидрокси, метокси или =NOR5, где R5 представляет собой водород или низший алкил; и
R4 представляет собой водород, гидрокси или

где R6 представляет собой гидрокси, амино, моно- или ди-(низший алкил)амино или (низший алканоил)амино.
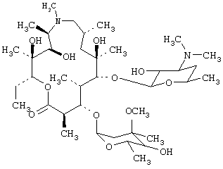
Предпочтительными соединениями являются авермектин Bla/Blb (абамектин), 22, 23-дигидроавермектин Bla/BIb (ивермектин) и 4″-ацетиламино-5-кетоксимино-производное авермектина Bla/Blb. Как абамектин, так и ивермектин разрешены к применению в качестве противопаразитных соединений широкого спектра действия. Абамектин и ивермектин имеют следующую структурную формулу:

где для абамектина пунктирная линия означает двойную связь, a R1 отсутствует, а для ивермектина пунктирная линия означает одинарную связь, a R1 представляет собой водород; и
R2 представляет собой изопропил или втор-бутил.
4″-ацетиламино-5-кетоксимино-производное авермектина Bla/Blb имеет следующую структурную формулу:

где R2 представляет собой изопропил или втор-бутил.
Авермектиновые продукты в общем случае получают в виде смеси, по меньшей мере, 80% соединения, в котором R2 представляет собой втор-бутил, и не менее чем 20% соединения, в котором R3 представляет собой изопропил.
Другие предпочтительные авермектины включают эмемектин, эпиномектин и дорамектин. Дорамектин описан в US 5089490 и в ЕР 214738. Данное соединение имеет следующую структурную формулу:

В настоящих композициях ивермектин в особенности предпочтителен.
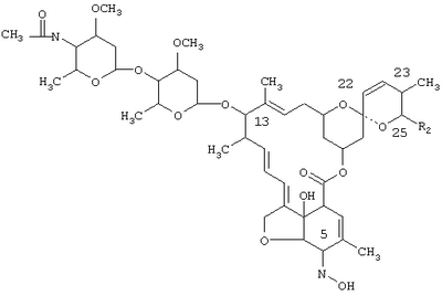
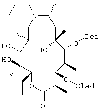
Представительной структурой для мильбемицина является структура мильбемицина 1:

В особенности предпочтительным мильбемицином является моксидектин, который имеет следующую структурную формулу:

Данное соединение описано в US №5089490.
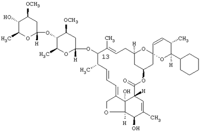
Моносахаридные производные авермектина также предпочтительны, в особенности тогда, когда в 5-ом положении лактонового кольца присутствует оксимное замещение. Такие соединения описаны, например, в ЕР 667054. Селамектин представляет собой в особенности предпочтительное соединение данного класса производных.
Нодулиспоровая кислота и ее производные представляют собой класс акарицидных, противопаразитных, инсектицидных и противоглистных соединений, хорошо известных врачу, практикующему на современном уровне техники. Данные соединения используются для лечения или профилактики заражения у людей и животных. Данные соединения описаны, например, в US 5399582 и в WO 96/29073. Кроме того, данные соединения могут приниматься в комбинации с другими инсектицидами, паразитицидами и акарицидами, такими как противоглистные соединения, рассмотренные выше, которые включают ивермектин, авермектин и эмамектин, а также другие соединения, такие как тиабендазол, фебантел или морантел; фенилпиразолы, такие как фипронил; и регуляторы роста насекомых, такие как луфенурон. Такие комбинации также предполагаются в настоящем изобретении.
В общем случае в данном изобретении предлагаются все классы инсектицидов. Один пример данного класса включает замещенные пиридилметильные производные, такие как имидаклоприд. Соединения данного класса описываются, например, в US 4742060 или в ЕР 892060. Принятие решения о том, какое конкретное соединение может быть использовано в композиции настоящего изобретения для лечения конкретного заражения насекомым, будет вполне соответствовать уровню знаний в соответствующей области у практикующего врача.
Фенилпиразолы представляют собой еще один класс инсектицидов, который обладает превосходным инсектицидным действием в отношении всех насекомых-паразитов животных и человека, в том числе кровососущих паразитов, таких как клещи, блохи и тому подобное. Данный класс соединений убивает насекомых в результате воздействия на рецептор гамма-масляной кислоты беспозвоночных. Такие соединения описаны, например, в US №5567429, US №5122530 и ЕР 295117. В особенности предпочтительным фенилпиразолом является фипронил (химическим названием 5-амино-3-циано-1-(2,6-дихлор-4-трифторметилфенил)-4-трифторметилпиразол). Фипронил хорошо известен на современном уровне техники в качестве соединения для борьбы с блохами и клещами. Принятие решения о том, какие конкретные соединения могут быть использованы в композициях настоящего изобретения, будет вполне соответствовать уровню знаний в соответствующей области у практикующего врача.
Регуляторы роста насекомых представляют собой еще один класс инсектицидов или акарицидов, который также можно использовать в композициях настоящего изобретения. Соединения, принадлежащие к данной группе, хорошо известны практикующему врачу, и они относятся к широкому спектру различных классов химических соединений. Все данные соединения оказывают действие в результате влияния на развитие или рост насекомых-паразитов. Регуляторы роста насекомых описаны, например, в US 3748356; US 3818047; US 4225598; US 4798837; и US 4751225, а также в ЕР 179022 или UК 2140010. Наиболее предпочтительные регуляторы роста насекомых включают дифлубензурон, луфенурон, метопрен, феноксикарб, пирипроксифен и циромазин. Опять-таки, принятие решения о том, какие конкретные соединения могут быть использованы в композициях настоящего изобретения, будет вполне соответствовать уровню знаний в соответствующей области у практикующего врача.
Эстрогены, прогестины и андрогены относятся к тем классам химических соединений, которые также хорошо известны врачу, практикующему на современном уровне техники, и которые используются, например, для регулирования фертильности у человека и животных. Собственно говоря, эстрогены и прогестины входят в число наиболее широко выписываемых лекарственных препаратов, и они используются, например, индивидуально или в комбинации для контрацепции или заместительной гормональной терапии у женщин в постклимактерический период. Эстрогены и прогестины встречаются в природе, или их получают синтетическим путем. Данный класс соединений также включает вещества-антагонисты для рецептора эстрогенов или прогестерона. Антиэстрогены, такие как тамоксифен и кломифен, используются для лечения рака груди и бесплодия. Антипрогестины используются в качестве контрацептивов и противораковых лекарственных препаратов, а также для вызова родов или прекращения беременности.
Структура андрогенов и антиандрогенов родственна структурам эстрогенов и прогестинов, поскольку они также образуются путем биосинтеза из холестерина. Основой данных соединений является тестостерон. Андрогены используют в случае гипогонадизма и для стимулирования мышечного развития. Антиандрогены используют, например, при лечении гиперплазии и карциномы предстательной железы, угрей и характерного для мужчин облысения, а также для подавления полового влечения у мужчин-насильников. Эстроген, прогестины и андрогены описаны, например, в “Goodman & Oilman’s The Pharmacological Basis of Therapeutics,” 9th ed., J. G. Handman and L. Elimbird. eds., Ch. 57 to 60, pp.1411 – 485, McGraw Hill, New York (1996) или в “Principles of Medicinal Chemistry”, 2nd ed., W.O. Foye, ed., Ch. 21, pp.495-599, Lea & Febiger, Philadelphia (1981).
Эстрогены, прогестины и андрогены также используются в животноводстве в качестве стимуляторов роста для животных, употребляемых в пищу. На современном уровне техники известно, что соединения данных классов действуют в качестве стимулирующих рост стероидов для таких животных, как крупный рогатый скот, овцы, свиньи, домашняя птица, кролики и тому подобное. Системы доставки препарата для стимулирования роста животных описаны, например, в US 5401507, US 5288469, US 4758435, US 4686092, US 5072716 и US 5419910.
Практикующему врачу хорошо известны конкретные производные эстрогена, прогестина и андрогена. Наиболее предпочтительные соединения, относящиеся к данному классу, включают прогестерон, эстрадиолбензоат и тренболонацетат.
На современном уровне техники хорошо известны NSAID. Классы соединений, которые относятся к данной группе, включают производные салициловой кислоты, производные пара-аминофенола, индол- и инденуксусные кислоты, гетероарилуксусные кислоты, арилпропионовые кислоты, антраниловые кислоты (фенаматы), еноловые кислоты и алканоны. NSAID влияют на биосинтез простагландина путем необратимого или обратимого ингибирования циклооксигеназы. Соединения данной группы обладают болеутоляющими, жаропонижающими и нестероидными противовоспалительными свойствами. Соединения, принадлежащие к данным классам, описаны, например, в главе 27 у Гудмана и Гилмана (Goodman and Gilman) на с. 617 – 658 или в главе 22 у Фойе (Foye) на страницах 561 – 590, а также в US 3896145; US 3337570; US 3904682; US 4009197; US 4223299; и US 2562830, а конкретные соединения также перечислены в работе “The Merck Index”. Данное изобретение предусматривает использование тех данных соединений, которые являются маслорастворимыми.
Маслорастворимые NSAID также хорошо известны практикующему врачу. Классами NSAID, которые будут предпочтительны, являются индол- и индеценуксусные кислоты и гетероарилуксусные кислоты. В особенности предпочтительные соединения включают индометацин, кеторолак, капрофен, флуниксин, кетопрофен, мелоксикам, напроксен и фенилбутазон.
Ингибиторы СОХ-2 представляют собой в особенности предпочтительный класс NSAID. Как и в случае других NSAID, ингибиторы СОХ-2 эффективны при лечении заболеваний, зависимых от циклооксигеназы, таких как воспаление, анальгезия и лихорадка. Данные соединения в особенности эффективны при лечении рака, ревматоидного артрита и остеоартрита. Данные соединения обладают преимуществом, которое заключается в том, что они не оказывают воздействия на целостность желудочно-кишечного тракта и на кровоток в почках. Примеры данных соединений включают производные (метилсульфонил)фенил-2-5(Н)-фуранона. Данные производные описаны, например, в совместно находящейся на рассмотрении заявке USSN 09/097537, в настоящее время принятой, которая, в свою очередь, представляет собой частичное продолжение заявки USN 08/728512, представленной 9 октября 1996 года, которая, в свою очередь, основывается на предварительных заявках №№60/005371 и 06/011673. В особенности предпочтительные ингибиторы СОХ-2 включают 3-(циклопропилметокси)-5,5-диметил-4-(4-метилсульфонил)фенил)-5Н-фуран-2-он или 3-(циклопропилэтокси)-5,5-диметил-4-(4-метилсульфонил)фенил)-5Н-фуран-2-он или фармацевтически приемлемые соли или гидраты данных соединений. В особенности предпочтительным ингибитором СОХ-2 является полиморфная форма В для 3-(циклопропилметокси)-4-[4-(метилсульфонил)фенил]-5,5-диметил-5Н-фуран-2-она.
Полиморфная модификация В может быть охарактеризована с использованием следующих параметров:
| кристаллическая система |
тригональная |
| пространственная группа |
R-3 |
| описание |
гексагональная |
| постоянные решетки |
|
| а (Å) |
18,183 |
| b (Å) |
18,183 |
| с (Å) |
26,950 |
(°) |
90 |
(°) |
90 |
(°) |
120 |
| объем элементарной ячейки (Å3) |
7716,5 |
| число молекул на одну элементарную ячейку Z |
18 |
| температура проведения измерений (К) |
293 |
| рассчитанная относительная плотность |
1,303 |
| массовый коэффициент поглощения (см-1) |
2,11 |
Полиморфная модификация В может быть дополнительно охарактеризована при помощи следующих данных по дифракции рентгеновских лучей, рассчитанных для кристаллической структуры.
| Таблица 1 |
| Данные по порошковой дифракции рентгеновских лучей, рассчитанные для кристаллической структуры |
| d (ангстрем) |
Интенсивность |
|
d (ангстрем) |
Интенсивность |
| 13,596 |
слабая |
3,209 |
очень слабая |
| 10,238 |
слабая |
3,195 |
слабая |
| 9,092 |
сильная |
3,195 |
очень слабая |
| 8,983 |
средняя |
3,184 |
средняя |
| 7,558 |
очень слабая |
3,184 |
очень слабая |
| 6,798 |
очень слабая |
3,179 |
очень слабая |
| 6,39 |
средняя |
3,128 |
очень слабая |
| 6,39 |
очень слабая |
3,067 |
очень слабая |
| 6,194 |
очень слабая |
3,031 |
очень слабая |
| 5,812 |
средняя |
3,001 |
очень слабая |
| 5,812 |
слабая |
3,001 |
очень слабая |
| 5,444 |
слабая |
2,994 |
очень слабая |
| 5,444 |
очень слабая |
2,958 |
очень слабая |
| 5,249 |
сильная |
2,958 |
очень слабая |
| 5,119 |
сильная |
2,932 |
очень слабая |
| 5,1 |
очень слабая |
2,906 |
очень слабая |
| 4,546 |
очень слабая |
2,906 |
очень слабая |
| 4,532 |
сильная |
2,888 |
очень слабая |
| 4,532 |
сильная |
2,853 |
очень слабая |
| 4,492 |
средняя |
2,844 |
очень слабая |
| 4,461 |
средняя |
2,813 |
очень слабая |
| 4,448 |
слабая |
2,768 |
очень слабая |
| 4,311 |
очень слабая |
2,753 |
очень слабая |
| 4,311 |
очень слабая |
2,729 |
очень слабая |
| 4,155 |
сильная |
|
2,729 |
очень слабая |
| 4,155 |
средняя |
2,722 |
очень слабая |
| 4,056 |
очень слабая |
2,722 |
очень слабая |
| 4,056 |
очень слабая |
2,719 |
очень слабая |
| 4,027 |
очень слабая |
2,667 |
слабая |
| 4,027 |
очень слабая |
2,667 |
очень слабая |
| 3,995 |
средняя |
2,634 |
очень слабая |
| 3,995 |
слабая |
2,624 |
очень слабая |
| 3,895 |
слабая |
2,608 |
очень слабая |
| 3,74 |
очень слабая |
2,522 |
очень слабая |
| 3,665 |
очень слабая |
2,519 |
очень слабая |
| 3,665 |
очень слабая |
2,519 |
очень слабая |
| 3,581 |
средняя |
2,512 |
очень слабая |
| 3,489 |
очень слабая |
2,504 |
очень слабая |
| 3,489 |
очень слабая |
2,504 |
очень слабая |
| 3,459 |
очень слабая |
2,501 |
очень слабая |
| 3,436 |
очень слабая |
2,464 |
очень слабая |
| 3,436 |
очень слабая |
2,464 |
очень слабая |
| 3,413 |
слабая |
2,455 |
очень слабая |
| 3,413 |
очень слабая |
2,438 |
очень слабая |
| 3,399 |
очень слабая |
2,428 |
очень слабая |
| 3,393 |
средняя |
2,428 |
очень слабая |
| 3,393 |
очень слабая |
2,417 |
очень слабая |
| 3,233 |
очень слабая |
2,364 |
очень слабая |
| 3,209 |
слабая |
2,339 |
очень слабая |
| |
2,301 |
очень слабая |
В порядке сопоставления здесь ниже приводятся параметры и данные по дифракции рентгеновских лучей, рассчитанные для кристаллической структуры полиморфной модификации А:
| ТАБЛИЦА 2 |
| Данные по порошковой дифракции рентгеновских лучей для монокристалла полиморфной модификации А. |
| d(Å) |
Интенсивность |
|
d(Å) |
Интенсивность |
| 14,20 |
средняя |
3,72 |
средняя |
| 10,09 |
сильная |
3,72 |
средняя |
| 9,88 |
сильная |
3,70 |
слабая |
| 6,97 |
очень слабая |
3,70 |
слабая |
| 5,33 |
средняя |
3,67 |
слабая |
| 5,09 |
слабая |
3,67 |
слабая |
| 5,09 |
очень слабая |
3,60 |
слабая |
| 5,08 |
средняя |
3,58 |
слабая |
| 4,94 |
средняя |
3,58 |
слабая |
| 4,78 |
слабая |
3,55 |
слабая |
| 4,78 |
средняя |
3,51 |
слабая |
| 4,78 |
средняя |
3,49 |
очень слабая |
| 4,73 |
средняя |
3,39 |
средняя |
| 4,45 |
средняя |
3,39 |
средняя |
| 4,33 |
средняя |
3,32 |
очень слабая |
| 4,33 |
средняя |
3,29 |
слабая |
| 4,33 |
средняя |
3,13 |
очень слабая |
| 4,32 |
средняя |
3,11 |
слабая |
| 4,20 |
очень слабая |
2,94 |
очень слабая |
| 4,20 |
слабая |
|
2,86 |
очень слабая |
| 4,04 |
слабая |
2,86 |
очень слабая |
| 3,81 |
слабая |
2,85 |
слабая |
| 3,81 |
очень слабая |
2,82 |
очень слабая |
| 3,79 |
очень слабая |
2,63 |
слабая |
| 3,75 |
слабая |
2,31 |
очень слабая |
Порошковые рентгенограммы для полиморфных модификаций А и В представлены на фигурах 6 и 7 соответственно.
Соединения, которые подавляют секрецию желудочного сока или действуют в качестве ингибиторов протонового насоса, хорошо известны практикующему врачу, и их также можно использовать в композициях настоящего изобретения. Данные соединения включают 2-(2-бензимидазолилпиридины) и их соли. Такие соединения описаны, например, в ЕР 005129, US 4255431, а также в US 5629305. Известно, что данные соединения также можно использовать при лечении инфекций микроорганизмами Helicobacter, US 5093342 и они действуют в качестве синергистов при комбинировании их с разлагаемым кислотой антибиотиком, смотрите, например, US 5629305. Композиции данных синергетических комбинаций также могут быть приготовлены в виде паст настоящего изобретения. Омепразол или его соли являются в особенности предпочтительными соединениями.
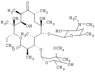
Макролидные антибиотики также являются предпочтительными терапевтически активными средствами. Макролиды как класс включают эритромицин и его производные, а также другие производные, такие как азалиды. Эритромицин (ММ 733,94 дальтона) является общим названием макролидного антибиотика, полученного в результате культивирования штамма Streptomyces erythreous. Это смесь трех эритромицинов А, В и С, содержащая в основном эритромицин А, имеющий следующую структурную формулу:

Его химическим названием является (3R*,4S*,5S*,6R*,7R*,9R*,11R*,12R*,13S*,14R*)-4-[(2,6-дидеокси-3-С-метил-3-О-метил- -L-рибо-гексопиранозил)-окси]-14-этил-7,12,13-тригидрокси-3,5,7,9,11,13-гексаметил-6-[[3,4,6-тридеокси-3-(диметиламино)- -D-ксилогексапиранозил]окси]оксациклотетрадекан-2,10-дион, (С37Н67NO13).
Эритромицин отличается широким спектром действия и по существу бактериостатического действия в отношении многих грамположительных и некоторых грамотрицательных бактерий, а также других организмов, в том числе микоплазм, спирохет, хламид и риккетсий. У человека он находит применение при лечении широкого ассортимента заболеваний, вызванных инфекциями. Он находит широкое применение в ветеринарной практике при лечении инфекционных заболеваний, таких как пневмония, мастит, метрит, ринит и бронхит, например, у крупного рогатого скота, свиней и овец.
Другие производные эритромицинов включают карбомицин, кларитромицин, джозамицин, лейкомицины, мидекамицины, микамицин, миокамицин, олеандомицин, пристинамицин, рокитамицин, розарамицин, рокситромицин, спирамицин, тилозин, тролеандомицин и вирджиниамицин. Как и в случае эритромицина, многие из данных производных существуют в виде смеси из нескольких компонентов. Например, карбомицин представляет собой смесь карбомицина А и карбомицина В. Лейкомицин существует в виде смеси компонентов A1, А2, А3, А9, B1-B4, U и V в различных соотношениях. Компонент А3 также известен как джозамицин, а лейкомицин V также известен как миокомицин. Основным компонентом мидекамицинов является мидекамицин А, а неосновными компонентами являются мидекамицины А2, А3 и А4. Подобным же образом микамицин представляет собой смесь нескольких компонентов – микамицина А и В. Микамицин А также известен как вирджиниамицин M1. Пристинамицин состоит из пристинамицинов Ia, IB и IC, которые идентичны вирджиниамицинам В2, В13 и В2 соответственно, и пристинамицинов IIA и IIB, которые идентичны вирджиниамицину M1 и 26,27-дигидровирджиниамицину M1. Спирамицин состоит из трех компонентов – спиромицина I, II и III. Вирджиниамицин состоит из вирджиниамицина S1 и вирджиниамицина M1. Все данные компоненты могут быть использованы в данном соединении. Источники данных макролидов хорошо известны практикующему врачу и описаны в литературе в ссылках, таких, как “The Merck Index”, 12th ed., S. Budarari, ed., Merck & Co., Inc., Whitehouse Station, NJ (1996).
Азалиды представляют собой полусинтетические макролидные антибиотики, родственные эритромицину А и они обнаруживают подобные характеристики в отношении растворимости. Данный класс включает соединения, описываемые общей структурной формулой:

и их фармацевтически приемлемые соли и сложные эфиры и их фармацевтически приемлемые комплексы металлов, где:
R1 представляет собой водород;
гидрокси;
C1-4-алкокси;
формил;
C1-10-алкилкарбонил,
С1-10-алкоксикарбонил, арилоксикарбонил, С1-10-аралкоксикарбонил, C1-10-алкилсульфонил или арилсульфонил, где С1-10-алкильная группа или арильная группа незамещена или замещена 1 -3 группами галогена (F, Cl, Br), гидрокси, амино, C1-5-ациламино или C1-4-алкила; или
незамещенный или замещенный C1-10-алкил, С2-10-алкенил или С2-10-алкинил, где заместители независимо представляют собой 1-3 группы из
(a) арила или гетероарила, необязательно замещенного 1-3 галогенами (F, Cl, Br, I), С1-4-алкилами, С1-3-алкокси, амино, С1-4-алкиламино, ди(С1-4-алкил)амино или гидрокси,
(b) гетероциклила, необязательно замещенного гидрокси, амино, С1-4-алкиламино, ди(С1-4-алкил)амино, С1-4-алкилкарбонилокси или С1-4-алкилкарбониламино,
(c) галогена (F, Cl, Br или I),
(d) гидрокси, необязательно ацилированного группой

где
Rа представляет собой водород, C1-6-алкил, арил, гетероарил, аралкил или гетероаралкил,
а Rа представляет собой C1-6-алкил или арил,
(e) C1-10-алкокси,
(f) арилокси или гетероарилокси, необязательно замещенного 1-3 группами галогена, гидрокси, амино или C1-4-алкила,
(g) амино или С1-10-алкиламино, необязательно ацилированного группой

или RbSO2, где:
Ra и Rb определены выше,
(g) ди (С1-10-алкил)амино,
(h) ариламино, гетероариламино, аралкиламино или гетероарилалкиламино, где арильная или гетероарильная группа необязательно замещена 1-3 группами галогена, гидрокси, амино или C1-4-алкила,
(i) меркапто,
(j) С1-10-алкилтио, алкилсульфинила или алкилсульфонила, арилтио, арилсульфинила или арилсульфонила, где арильная группа необязательно замещена 1-3 группами галогена, гидрокси, амино или C1-4-алкила,
(k) формила,
(l) C1-10-алкилкарбонила,
(m) арилкарбонила, гетероарилкарбонила, аралкилкарбонила или гетероарилалкилкарбонила, где арильная или гетероарильная группы необязательно замещены 1-3 группами галогена, гидрокси, амино или С1-4-алкила,
(n) карбокси,
(о) C1-10-алкоксикарбонила,
(р) арилоксикарбонила, гетероарилоксикарбонила, аралкоксикарбонила или гетероарилалкоксикарбонила, где арильная или гетероарильная группы необязательно замещены 1-3 группами галогена, гидрокси, амино или С1-4-алкила,
(q) карбамоила или сульфамоила, где N-атом необязательно замещен 1-2 C1-6-алкильными группами или С4-6-алкиленовой цепочкой,
(r) циано,
(s) изонитрило,
(t) нитро,
(u) азидо,
(v) иминометила, необязательно замещенного по азоту или углероду С1-10-алкилом,
(w) оксо, или
(х) тионо;
где алкильная цепочка, если ее длина составляет более двух углеродных атомов, необязательно может быть прервана 1-2 группами окса, тиа или аза (-NR-, где R представляет собой водород или C1-3-алкил).
R10 представляет собой водород, или
R1 и R10 вместе образуют C1-С3-алкилен, необязательно замещенный группой оксо;
R1 и R4 вместе образуют C1-С3-алкилен, необязательно замещенный группой оксо;
R2 и R3 представляют собой водород, С1-10-алкил, арил;
R2 и R3 вместе представляют собой оксо и тионо;
R4 и R5 независимо представляют собой водород и алкилкарбонил;
R4 и R5 вместе представляют собой карбонил;
R6 и R7 оба представляют собой водород, или же один из R6 и R7 представляет собой водород, а другой представляет собой гидрокси, ацилокси-производное, выбираемое из группы, состоящей из формилокси, С1-10-алкилкарбонилокси, арилкарбонилокси и аралкилкарбонилокси, или
-NHR12, где R12 представляет собой водород, арилсульфонил или гетероарилсульфонил, необязательно замещенный 1-3 группами галогена или C1-3-алкила, алкилсульфонил, или

где
Х представляет собой соединяющую связь, О или NH,
А представляет собой соединяющую связь или C1-3-алкилен,
R13 представляет собой водород, C1-С10-алкил, арил, аралкил, гетероарил, гетероциклил или С3-С7-циклоалкил, причем любая из групп R13, отличная от водорода, может быть замещена одним или несколькими галогенами, гидроксилами, C1-С3-алкокси, циано, изонитрило, нитро, амино, моно- или ди-(C1-С3)алкиламино, меркапто, C1-С3-алкилтио, C1-С3-алкилсульфинилами, C1-С3-алкилсульфонилами, арилтио, арилсульфинилами, сульфамоилами, арилсульфонилами, карбокси, карбамоилами, C1-С3-алкилкарбонилами или C1-С3-алкоксикарбонилами;
R6 и R7 вместе представляют собой оксо, гидроксиимино, алкоксиимино, аралкоксиимино или аминоимино;
R8 представляет собой метил, аралкоксикарбонил и арилсульфонил;
R9 представляет собой водород, формил, C1-10-алкилкарбонил, С1-10-алкоксикарбонил и арилалкоксикарбонил;
m и n независимо представляют собой целые числа, равные нулю или единице; а комплекс металла выбирают из группы, состоящей из меди, цинка, кобальта, никеля и кадмия.
Данные соединения описаны в ЕР 568699, включенном в настоящий документ в качестве ссылки. Азалиды как класс компонентов хорошо известны на современном уровне техники, и дополнительно их производные описаны, например, в US 5869629; US 5629296; US 5434140; US 5332807; US 5250518; US 5215890; и US 5210235, из включенных в настоящий документ в качестве ссылки.
В особенности предпочтителен азитромицин. Структура азитромицина представляет собой:

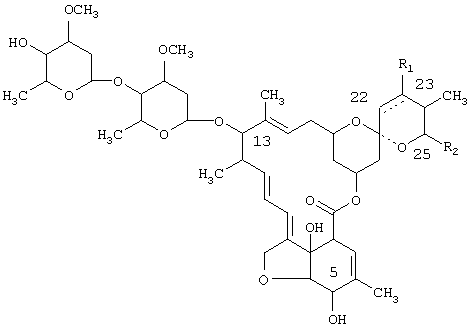
Соединения, обозначенные здесь I и II, имеют следующие структурные формулы:

где Des представляет собой дезозомин, a Clad представляет собой кладинозу (I) и

(II). Соединение, описываемое формулой II, также известно как 8а-азалид. Данные соединения описаны в ЕР 508699, включенном в настоящий документ в качестве ссылки. Также предполагаются для использования и соответствующие соли, получаемые присоединением основания и кислоты, и сложноэфирные производные макролидов, в том числе производные азалидов. Данные соли образуются из соответствующих органических или неорганических кислот или оснований. Данные производные включают обычные соли гидрохлорид и фосфат, а также такие сложные эфиры, как ацетат, пропионат и бутират. Данные производные могут иметь различные названия. Например, соль – фосфат олеандомицина является матромицином, а триацетильное производное представляет собой тролеандомицин. Рокитамицин представляет собой 4-В-бутаноат, 3 В-пропионат лейкомицина V.
Термин «терапевтически активное средство» также включает соли, приемлемые с точки зрения фармацевтики или ветеринарии, полученные из кислот или оснований и данных соединений там, где это возможно. Термин «кислота» подразумевает все неорганические или органические кислоты, приемлемые с точки зрения фармацевтики или ветеринарии. Неорганические кислоты включают минеральные кислоты, такие как галоидоводородные кислоты, такие как бромистоводородная и хлористоводородная кислоты, серная кислота, фосфорная кислота и азотная кислота. Органические кислоты включают все приемлемые с точки зрения фармацевтики или ветеринарии алифатические, алициклические и ароматические карбоновые кислоты, двухосновные карбоновые кислоты, трехосновные карбоновые кислоты и жирные кислоты. Предпочтительные кислоты являются линейными или разветвленными, насыщенными или ненасыщенными алифатическими карбоновыми С1-С20-кислотами, которые необязательно замещены группами галогена или гидроксила, или ароматическими карбоновыми С6-С12-кислотами. Примерами таких кислот являются угольная кислота, муравьиная кислота, фумаровая кислота, уксусная кислота, пропионовая кислота, изопропионовая кислота, валериановая кислота, -гидрокси-кислоты, такие как гликолевая кислота и молочная кислота, хлоруксусная кислота, бензойная кислота, метансульфоновая кислота и салициловая кислота. Примеры двухосновных карбоновых кислот включают щавелевую кислоту, яблочную кислоту, янтарную кислоту, винную кислоту и малеиновую кислоту. Примером трехосновной карбоновой кислоты является лимонная кислота. Жирные кислоты включают все приемлемые с точки зрения фармацевтики или ветеринарии насыщенные или ненасыщенные алифатические или ароматические карбоновые кислоты с числом углеродных атомов от 4 до 24. Примеры включают масляную кислоту, изомасляную кислоту, втор-масляную кислоту, лауриновую кислоту, пальмитиновую кислоту, стеариновую кислоту, олеиновую кислоту, линолевую кислоту, линоленовую кислоту и фенилстеариновую кислоту. Другие кислоты включают глюконовую кислоту, гликогептоновую кислоту и лактобионовую кислоту.
Термин «основание» подразумевает все неорганические или органические основания, приемлемые с точки зрения фармацевтики или ветеринарии. Такие основания включают, например, соли щелочных металлов и щелочноземельных металлов, такие как соли лития, натрия, калия, магния или кальция. Органические основания включают обычные соли гидрокарбильных и гетероциклических аминов, которые включают, например, соли морфолина и пиперидина.
Также предполагаются для использования и сложноэфирные и амидные производные данных соединений там, где это возможно. Конкретные соединения, которые относятся к данным классам веществ с терапевтическим действием, хорошо известны врачу, практикующему на современном уровне техники.
Важным признаком настоящего изобретения является введение в композицию модификатора вязкости. Добавление модификатора вязкости приводит к получению пастообразной композиции, которая содержит меньше коллоидного диоксида кремния по сравнению с количеством, которое обычно используется в типичной пасте. Композиция настоящего изобретения дает возможность всему воздуху, который будет введен в композицию вместе с коллоидным диоксидом кремния, улетучиться тогда, когда вязкость будет мала. После этого добавляют модификатор вязкости для приведения вязкости пасты к желательному уровню без введения дополнительного количества воздуха в конечный продукт. Не вдаваясь в теорию, следует отметить, что за счет взаимодействия их функциональных групп модификаторы вязкости выступают в роли сшивателей, распространяя далее трехмерную сетку, образованную в результате взаимодействия диоксида кремния и гидрофобного носителя. Модификаторы вязкости также увеличивают в композиции плотность сшивок.
В особенности предпочтительные гидроксисодержащие модификаторы вязкости включают ПЭГ 200, ПЭГ 300, ПЭГ 400 и ПЭГ 600. Другие гидроксисодержащие модификаторы вязкости включают блок-сополимерные смеси полиоксиалкиленовых соединений, то есть полиоксамеров, в том числе смеси этиленоксидных и пропиленоксидных полиоксамеров, такие как описанные в US 4343785; US 4465663; US 4511563; и US 4476107, описания которых, таким образом, включаются в настоящий документ в качестве ссылки. Коммерческие варианты данных поверхностно-активных веществ – неионных полиоксамеров могут быть приобретены у компании BASF – Wyandotte Co., Wyandotte, Mich., и они включают различные Pluronics, такие как Pluronic L81, Pluronic F108 и F127 и те Pluronics, которые описаны в “Pluronic & Tetronic Surfactants”, BASF Corp., 1987, а также в “The Merck Index”, 10th ed., на странице 1090 и в Remington Pharmaceutical Science. Другие подходящие модификаторы вязкости, подходящие для настоящего изобретения, включают: полиоксиэтиленсорбитанмоноолеат (Polysorbate 80); полиэтиленгликоли (Pluracols); нонилфенолэтоксилаты (Surfbnics); и простые полиэтиленгликольпараизооктифениловые эфиры этоксилатов линейных спиртов (Triton’s).
В композициях настоящего изобретения также можно использовать и сложные эфиры, получаемые из пропиленгликоля и одноосновных и двухосновных жирных кислот.Данные сложные эфиры включают, например, пропиленгликольдикаприлат; пропиленгликольдилаурат, пропиленгликольгидроксистеарат, пропиленгликольизостеарат, пропиленгликольлаурат, пропиленгликольрицинолеат и пропиленгликольстеарат, причем наиболее предпочтителен сложный диэфир, полученный из пропиленгликоля и каприловой – каприновой кислот, который может быть приобретен под торговым названием MIGLYOL 840.
Другими соединениями, которые действуют в качестве модификаторов вязкости, являются соединения, которые содержат как гидроксильные, так и аминовые функциональные группы. Такие соединения включают, например, моноэтаноламин, диэтаноламин и триэтаноламин. Данные соединения, а также их использование хорошо известны врачу, практикующему на современном уровне техники в фармацевтике и ветеринарии.
Количество модификатора вязкости меняется от композиции к композиции, и определение необходимого количества вполне соответствует рамкам рутинных практических навыков врача, практикующего на современном уровне техники в области составления композиций. Предпочтителен диапазон приблизительно от 0,01 до 20% модификатора вязкости в расчете на полную массу композиции, более предпочтительно – приблизительно от 0,05 до 5%, наиболее предпочтительно приблизительно от 0,1 до 2%.
Коллоидный диоксид кремния используют в качестве загустителя. В пастах согласно данному изобретению количество коллоидного диоксида кремния очень низко. Это обеспечивает получение промежуточного продукта с низкой вязкостью, что, в свою очередь, позволяет добиться быстрого улетучивания воздуха под действием выталкивающей силы. После отстаивания в течение приблизительно 10 минут в промежуточном продукте воздух не обнаруживался. Предпочтительные пасты содержат приблизительно от 1 до 20% коллоидного диоксида кремния, в расчете на полную массу раствора, более предпочтительно приблизительно от 1 до 6%. Также предпочтительны количества и приблизительно от 0,02 до 20%, приблизительно от 1 до 6,5% или приблизительно от 1 до 4% или 5%. Наиболее предпочтительна паста, в которой количество диоксида кремния составляет приблизительно 4,25%.
Носитель является еще одним существенным компонентом композиции. Он представляет собой жидкую фазу, которая растворяет активный лекарственный препарат для обеспечения однородности и биологической доступности содержимого. Соединения, которые можно использовать в качестве носителей, включают растворители, которые пригодны для фармацевтических приложений, такие как триацетин, моно, ди- или триглицериды с длиной цепи от короткой до средней, глицерин, вода, пропиленгликоль, N-метилпирролидинон, глицеринформаль, полиэтиленгликоль, полиэтиленгликоль-полипропиленгликоль-полиэтиленгликолевые трехблочные сополимеры, растительное масло, сезамовое масло, соевое масло, кукурузное масло, минеральное масло, арахисовое масло, касторовое масло, хлопковое масло, транскутол, бензиловый спирт, N,N-диметилформамид, диметилсульфоксид и тому подобное. Данные соединения могут быть использованы индивидуально или в виде смесей. Триацетин в особенности предпочтителен, поскольку он обладает некоторой растворимостью в воде, что обеспечивает легкую чистку производственного оборудования. В отличие от некоторых паст на водной основе триацетин не способствует росту микроорганизмов, что устраняет необходимость присутствия консерванта. Смеси других носителей с триацетином также предпочтительны. Выбор количества и типа гидрофобного носителя для конкретной композиции вполне соответствует уровню знаний практикующего врача.
Композиции по изобретению также могут включать любой из обычных красителей фармацевтического или ветеринарного назначения. Такие красители включают, например, краски, алюминиевые лаки, красители на основе оксида железа, карамельный краситель или комбинации различных красителей. Краситель предпочтительно может присутствовать в количестве приблизительно до 20%, в расчете на общую массу композиции, более предпочтительно приблизительно от 0,001 или 0,01% до 10% и приблизительно от 0,001 до 4%.
В пастообразную композицию также могут быть включены и абсорбенты. Такие соединения, а также их использование в пастах хорошо известны врачу, практикующему на современном уровне техники. Данные соединения эффективно предотвращают фазовое разделение продукта во время хранения или препятствуют его протеканию. Предпочтительные абсорбенты включают карбонат магния, карбонат кальция, крахмал, целлюлозу и ее производные или смеси абсорбентов при том, что карбонат магния в особенности предпочтителен. Включение данных соединений необязательно, при этом предпочтительны количества приблизительно от 0 до 30%, приблизительно от 0 до 15% или приблизительно от 1 до 15% или приблизительно от 1 до 10% в расчете на полную массу композиции.
В дополнение к терапевтически активному средству модификатору вязкости и носителю композиция может включать и другие инертные ингредиенты, такие как антиоксиданты, консерванты, стабилизаторы или поверхностно-активные вещества. Данные соединения хорошо известны на современном уровне техники получения композиций. Композиции согласно изобретению могут включать антиоксидант, такой как альфа-токоферол, аскорбиновая кислота, аскорбилпальмитат, фумеровая кислота, яблочная кислота, аскорбат натрия, метабисульфат натрия, н-пропилгаллат, ВНА (бутилированный гидроксианизол), ВНТ (бутилированный гидрокситолуол), монотиоглицерин и тому подобное. Антиоксиданты в общем случае добавляют в композицию в количествах приблизительно от 0,01 до 2,0% в расчете на общую массу композиции. Композиции согласно изобретению могут включать консерванты, такие как парабены (метилпарабен и/или пропилпарабен), в количествах приблизительно от 0,01 до 2,0%. Другие консерванты включают хлорид бензалкония, хлорид бензетония, бензойную кислоту, бензиловый спирт, бронопол, бутилпарабен, цетримид, хлоргексидин, хлорбутанол, хлоркрезол, крезол, этилпарабен, имидомочевину, метилпарабен, фенол, феноксиэтанол, фенилэтиловый спирт, ацетат фенилртути(II), борат фенилртути(II), нитрат фенилртути(II), сорбат калия, бензоат натрия, пропионат натрия, сорбиновую кислоту, тимерозаль и тому подобное.
Композиции согласно изобретению могут также включать поверхностно-активные вещества, облегчающие солюбилизацию активного лекарственного препарата и предотвращающие кристаллизацию и фазовое разделение. Некоторыми примерами поверхностно-активных веществ являются: глицерилмоноолеат, сложные эфиры, полученные из полиоксиэтиленсорбитана и жирных кислот, сложные эфиры сорбитана, поливиниловый спирт, Pluronics, лаурилсульфат натрия и тому подобное. Опять-таки, данные соединения, а также их количества хорошо известны на современном уровне техники.
Настоящая композиция в равной степени может быть использована и для других соединений, применяемых в виде паст, до тех пор, пока такие соединения будут оставаться растворимыми в носителе. Дополнительными соединениями, которые могут быть использованы в данной композиции, являются другие противопаразитные соединения и антибиотики, витамины терапевтического действия и минеральные добавки и другие соединения, терапевтическому действию которых способствует наличие стабильности в течение продолжительного периода времени. Такие соединения будут хорошо известны практикующему врачу.
Пасты назначают теплокровным животным, таким как человек, крупный рогатый скот, овцы, свиньи, кошки, собаки, лошади и тому подобное, их прием проводят путем перорального, местного, кожного и подкожного введения. Пасты настоящего изобретения также могут быть назначены и человеку. Количество терапевтически активного средства зависит от вида терапевтически активного средства, от вида животного, которое лечат, от вида патологического состояния и серьезности патологического состояния. Оценка данных факторов вполне соответствует уровню знаний практикующего врача, как правило, такая композиция содержит приблизительно от 0,0005 до 50% терапевтически активного средства в расчете на общую массу композиции. Предпочтительно композиции содержат приблизительно от 0,01 до 10% терапевтически активного средства, более предпочтительно приблизительно от 2,5 до 5%. Другие предпочтительные количества включают приблизительно от 0,1-0,01% до 50% или приблизительно от 10-0,5 до 3%. Для авермектинов и мильбемицинов композиции в общем случае будут получать для введения приблизительно от 0,1 до 2 мг/кг, предпочтительно приблизительно от 0,4 до 0,85 мг/кг, а наиболее предпочтительно приблизительно от 0,6 до 0,7 мг/кг активного ингредиента. При предпочтительном объеме дозировки, равном приблизительно 1 мл в расчете на лечение животного с массой тела 50 кг, композиция содержит приблизительно от 5 до 50 мг активного вещества на один мл раствора или приблизительно от 0,5 до 10%, предпочтительно приблизительно от 2,5 до 5% (мас./об.). Однако в зависимости от активности соединения и от вида животного, которое лечат, могут быть использованы дозировки приблизительно вплоть до 0,3% активного ингредиента. Для нодулиспоровой кислоты и ее производных предпочтительна композиция, содержащая приблизительно от 0,0005 до 5% активного соединения.
Настоящее изобретение также предлагает способ получения пастообразных композиций, который более прост и относительно недорог. Поскольку коллоидный диоксид кремния представляет собой материал, который относительно дорог и с которым трудно обращаться, использование модификатора плотности уменьшает совокупные затраты на получение продукта и сводит к минимуму проблему работы с материалом. Способ получения паст заключается в следующем:
1. В надлежащий смеситель загружают весь носитель или его часть. Добавляют активный лекарственный препарат и перемешивают до растворения лекарственного препарата.
2. При необходимости добавляют краситель и карбонат магния и перемешивают до однородного диспергирования диоксида титана и карбоната магния.
3. Добавляют в смеситель коллоидный диоксид кремния однократно и несколькими порциями и перемешивают до однородного диспергирования коллоидного диоксида кремния.
4. Добавляют в смеситель оставшуюся часть триацетина и перемешивают до получения однородного промежуточного продукта.
5. Промежуточный продукт отстаивают в течение времени, необходимого для улетучивания воздуха, захваченного во время добавления коллоидного диоксида кремния.
6. Добавляют модификатор вязкости и перемешивают до получения однородного пастообразного продукта.
В порядке сопоставления со способом получения пастообразных продуктов предшествующего уровня техники, таких как паста EQVALAN и паста GASTROGARD, которые получают с использованием других композиций и способов, можно сказать, что данное изобретение обладает следующим преимуществом. Во-первых, предложенный способ значительно проще. Партию в 300 кг можно получить менее чем за 2 часа, в то время как для получения паст EQVALAN и GASTROGARD требуется 5 часов или более. Во-вторых, способ согласно изобретению не требует нагревания или охлаждения, что уменьшает потребность в оборудовании и затраты на него. Для многих других пастообразных продуктов будут необходимы нагревание и/или охлаждение. В-третьих, композиции согласно изобретению не обладают высокой чувствительностью к сдвигу. Оказалось, что перемешивание паст настоящего изобретения при получении оказывает незначительное воздействие на конечную консистенцию продукта. Устойчивость к сдвигу позволяет менее требовательно относиться к выдерживанию параметров при получении паст. Многие пастообразные продукты обладают чувствительностью к сдвигу, и для обеспечения качества продукта необходимо тщательно выдерживать параметры производственного процесса. В-четвертых, пасты настоящего изобретения обнаруживают невысокую чувствительность к действию температуры. Продолжительное хранение в модельных ускоренных условиях хранения не привело к значительным физическим или химическим изменениям. В то время как у многих других пастообразных продуктов изменялась вязкость, и/или они высыхали и/или в значительной мере разделялись при хранении в условиях высокой (например, 60°С) или низкой (например, -20°С) температуры.
Пастообразные композиции настоящего изобретения могут быть использованы для лечения ряда патологических состояний путем приема реципиентом, которому это необходимо, эффективного количества пасты, содержащей терапевтически активное средство. Определение процедуры лечения для конкретного показания вполне соответствует уровню знаний врача, практикующего на современном уровне техники в области фармацевтики или ветеринарии. Лечение патологических состояний, которые могут быть вылечены с использованием композиций настоящего изобретения, включает, например, лечение воспаления, лечение остеоартрита и ревматоидного артрита, боли или лихорадки, лечение или профилактика заражения насекомыми или паразитами, лечение или профилактика бактериальных инфекций; или подавление избыточной секреции желудочного сока при лечении язв желудка. В круг реципиентов включаются все животные, например кошки, собаки, крупный рогатый скот, овцы, лошади, свиньи и человек.
Сведения, подтверждающие возможность осуществления изобретения
Лучшее понимание настоящего изобретения и его многочисленных преимуществ будет достигнуто при рассмотрении следующих далее примеров, приведенных в качестве иллюстрации.
Пример 1
Величину пенетрации для паст плацебо определяли для того, чтобы продемонстрировать способность модификатора вязкости увеличивать вязкость пасты при низких концентрациях коллоидного диоксида кремния. В опытах использовали пасты, содержащие 4% CAB-O-SIL и от 0,25 до 2% модификатора вязкости в смешанном наполнителе (триацетин: miglyol 840). Величины пенетрации приведены ниже.
| Таблица 4 |
| Величина пенетрации для пасты плацебо (мм) |
| Модификатор вязкости |
После получения |
После 10 дней при 50°С |
После 1 месяца при 50°С |
| МЭА 0,25% |
23,4 |
22,7 |
23,7 |
| МЭА 0,5% |
25,2 |
25,8 |
25,3 |
| МЭА 1,0% |
24,3 |
22,7 |
21,9 |
| МЭА 1,5% |
28,1 |
23,8 |
26,2 |
| ТЭА 0,5% |
25,6 |
21,9 |
20,7 |
| Tween 80 1% |
32,0 |
20,5 |
21,2 |
| ПЭГ 300 1% |
33,4 |
26,6 |
26,5 |
| ПЭГ 300 2% |
38,4 |
26,1 |
29,1 |
| Pluronic L81 1% |
43,9 |
27,0 |
27,0 |
| Отсутствует |
Вязкость слишком низкая для тестирования (>65) |
38,9 |
42,2 |
После двух месяцев хранения при комнатной температуре пасты изменили окраску, став бледно-желтыми, в случае добавления МЭА. Степень пожелтения: МЭА 1,5%>МЭА 1,0%>МЭА 0,5%>МЭА 0,25%. Никакого значительного изменения окраски не зафиксировано для паст с другими добавками. Кроме этого, пасты, содержащие МЭА, имели запах кислоты, в то время как другие пасты его не имели.
В таблице МЭА представляет собой сокращение от моноэтаноламина, а ТЭА представляет собой сокращение от триэтаноламина. Результаты демонстрируют то, что модификаторы вязкости обладают способностью значительно увеличивать вязкость пасты плацебо при низких концентрациях CAB-O-SIL. Результаты в таблице 6 также демонстрируют то, что вязкость у всех паст несколько увеличивается с течением времени. Данный результат согласуется с данными, представленными на фигуре 2, которые демонстрируют то, что после хранения в течение 6 дней при 60°С вязкость несколько увеличивается. Исходя из этих данных можно предполагать, что данное увеличение прекратится по истечении нескольких дней.
Пример 2
Определяли физическую стабильность трех паст согласно настоящему изобретению, которые для этого помещали в белый шприц объемом 6,1 мл. Состав композиций приведен в таблице 5.
| Таблица 5 |
| Пастообразная композиция, содержащая ингибитор СОХ-2 (композиция III) |
| |
Композиция А |
Композиция В |
Композиция С |
| Ингибитор Cox-2а |
1,16% |
1,16% |
1,16% |
| CAB-O-SIL |
3,5% |
4,0% |
4,0% |
| ПЭГ 300 |
—- |
1,0% |
1,0% |
| Моноэтаноламин |
0,2% |
—- |
—- |
| Диоксид титана |
—- |
2,0% |
—- |
| Триацетин |
Достаточное количество |
Достаточное количество |
Достаточное количество |
| a 3-(циклопропилметокси)-5,5-диметил-4-(4-метилсульфонил)фенил)-5Н-фуран-2-ОН. |
а. Химическая стабильность.
Химическую стабильность композиций определяли в ускоренных условиях хранения. Результаты приведены ниже в таблице 6.
| Таблица 6 |
| Химическая стабильность пастообразной композиции, содержащей ингибитор СОХ-2 (3-(пиклопропилметокси)-5,5-диметил-4-(4-метилсульфонил)-фенил)-5Н-фуран-2-ОН) |
| |
% от исходного количества после 10 дней при 60°С |
% от исходного количества после 4 недель при 60°С |
% от исходного количества после 4 недель при 40°С |
% от исходного количества после 4 недель при 40°С и относительной влажности 75% |
| Композиция А |
99,3% |
101% |
|
|
| Композиция В |
98,3% |
99,4% |
99,0% |
99,0% |
| Композиция С |
99,4% |
99,4% |
|
|
Из приведенных результатов следует, что композиции настоящего изобретения будут сохранять стабильность в течение срока годности при хранении в течение двух лет.
b. Вязкость.
Большинство полутвердых продуктов изменяет свою вязкость с течением времени. В течение срока годности продукта при хранении должна выдерживаться подходящая вязкость продукта для того, чтобы обеспечить переносимость для животного и легкость использования. Поскольку вязкость обычно изменяется в большей степени и быстрее при высокой температуре, изменение вязкости композиций А и В исследовали при 60°С (таблица 7).
| Таблица 7 |
| Изменение вязкости у композиций А и В, в ускоренных условиях хранения |
| |
Сначала |
После 1 недели при 60°С |
После 4 недель при 60°С |
После 4 недель при 40°С |
После 4 недель при 40°С и относительной влажности 75% |
| Композиция А |
22,8 |
22,9 |
22,9 |
|
|
| Композиция В |
23,7 |
17,7 |
15,2 |
18,5 |
18,7 |
Вязкость композиции А, в которой в качестве модификатора вязкости был использован МЭА, практически не изменилась после 4 недель хранения при 60°С. Вязкость композиции В, в которой в качестве модификатора вязкости был использован ПЭГ 300, изменялась незначительно после 4 недель хранения при 60°С. Предположительно при более продолжительном хранении дальнейшего изменения вязкости не происходит. Изменения вязкости при 40°С и относительной влажности 75% были аналогичны изменениям при 40°С, что свидетельствует о том, что относительная влажность не оказывает влияния на вязкость пасты. В противоположность пастам Eqvalan или Gastrogard, в которых в качестве загустителя использовали Thixcin R, вязкость которых увеличивалась от 20-40 до 6 мм после 4 недель хранения при 60°С, увеличение вязкости у композиций согласно изобретению незначительно.
Вязкость данных паст при предельной температуре использования не измеряли. Но, основываясь на визуальных наблюдениях, можно сказать, что данные пасты имеют хорошую консистенцию в широком температурном диапазоне.
с. Разделение фаз.
Незначительное фазовое разделение, сопоставимое с присущим GASTROGARD, было обнаружено у всех трех композиций, при этом у композиции В было обнаружено несколько меньшее разделение.
d. Усадка и изменение окраски.
В ходе тестирования изменения окраски у паст не было обнаружено за исключением паст, в которых в качестве модификатора вязкости был использован МЭА. Окраска композиции А (содержащей 0,20% МЭА) изменилась, став слегка желтой, но композиция все еще оставалась прозрачной. Данное незначительное изменение окраски для МЭА известно, и оно не оказывает никакого влияния на эффективность лекарственного препарата.
Для всех трех композиций усадка обнаружена не была.
е. Захватывание воздуха.
У всех трех паст никакого захватывания воздуха обнаружено не было.
Пример 3
В таблице 8 приведен состав паст плацебо, использованных для исследования разделение фаз.
| Таблица 8 |
| Состав паст плацебо |
| Композиция D |
Композиция Е |
Композиция F |
| 4% CAB-О-SIL |
4,5% CAB-O-SIL |
5% CAB-O-SIL |
| 1% ПЭГ 300 |
1% ПЭГ 300 |
1% ПЭГ |
| 1% MgCO3 |
— |
— |
| 94% триацетина |
94,5% триацетина |
94% триацетина |
Разделение фаз (фазовое разделение) для всех данных паст было снижено, при том что расхождение фаз было почти незаметно для композиции D.
Пример 4
Результаты изменения вязкости двух паст в ускоренных условиях показаны в таблице 9.
| Таблица 9 |
| Изменение вязкости для паст плацебо, содержащих 1% ПЭГ 300 и различные количества CAB-O-SIL, в ускоренных условиях хранения |
| Композиция |
Содержание CAB-О-SIL |
После получения (мм) |
После 6 дней при 60°С (мм) |
После 14 дней при 60°С (мм) |
| D |
4,0% |
34,2 |
27,4 |
—- |
| Е |
4,5% |
23,9 |
18,4 |
18,8 |
| F |
5,0% |
21,1 |
13,0 |
11,9 |
Композиция F, содержащая 5% CAB-O-SIL, оказалась излишне загущенной. Композиция Е, содержащая 4,5% CAB-O-SIL, была лучше сбалансирована в отношении вязкости и расхождения фаз. Более того, композиция Е отличалась наилучшей вязкостью в течение периода хранения.
Пример 5
Следующую пасту получили в соответствии со способом настоящего изобретения.
| Таблица 10 |
| Композиция, содержащая ингибитор СОХ-2 |
| Ингредиент |
Концентрация |
| Ингибитор СОХ-2a |
0,82% |
| Диоксид титана |
0,2% |
| Карбонат магния |
2% |
| Коллоидный диоксид кремния |
4,25% |
| Полиэтиленгликоль (ПЭГ) 300 |
0,4% |
| Триацетин |
Достаточное количество |
| a 3-(циклопропилметокси)-5,5-диметил-4-(4-метилсульфонил)фенил)-5Н-фуран-2-ОН. |
В смеситель помещали часть триацетина, после чего добавляли ингибитор СОХ-2. Смесь перемешивали до тех пор, пока весь лекарственный препарат не растворился. После этого добавляли диоксид титана и карбонат магния. Смесь перемешивали до получения однородной дисперсии диоксида титана и карбоната магния. После этого в смеситель добавляли коллоидный диоксид кремния и перемешивание продолжали до получения однородной дисперсии коллоидного диоксида кремния. В смеситель добавляли оставшееся количество триацетина. Перемешивание продолжали до получения однородного промежуточного продукта. Промежуточный продукт оставляли отстаиваться в течение 10 минут до улетучивания воздуха, захваченного во время добавления коллоидного диоксида кремния. Добавляли ПЭГ и перемешивание проводили до получения однородного пастообразного продукта.
Пример 6
Следующую пасту получили с использованием способа, аналогичного способу примера 5. Была получена однородная паста.
| Таблица 11 |
| Композиция, содержащая ингибитор СОХ-2 |
| Ингредиент |
Концентрация |
| Ингибитор СОХ-2a |
1,64% |
| FD&C Blue #1, алюминиевый лак |
0,005% |
| Карбонат магния |
2% |
| Коллоидный диоксид кремния |
4,25% |
| Полиэтиленгликоль (ПЭГ) 300 |
0,4% |
| Триацетин |
Достаточное количество |
| a 3-(циклопропилметокси)-5,5-диметил-4-(4-метилсульфонил)фенил)-5Н-фуран-2-ОН. |
Пример 7
Следующую пасту получали с использованием способа, аналогичного способу примера 6. Была получена однородная паста.
| Таблица 12 |
| Композиция, содержащая ингибитор СОХ-2 |
| Ингредиент |
Концентрация |
| Ингибитор COX-2a |
2,5% |
| Диоксид титана |
1% |
| Коллоидный диоксид кремния |
4% |
| Моноэтаноламин |
1,0% |
| Триацетин |
50% |
| Miglyol 840 |
Достаточное количество |
| а 3-(циклопропилметокси)-5,5-диметил-4-(4-метилсульфонил)фенил)-5Н-фуран-2-ОН. |
Пример 8
Для тестирования стабильности пасты, полученной по способу настоящего изобретения, получали пасту плацебо следующим образом:
1. Загрузите триацетин. Включите смесительный шнек и дробилку, они должны работать до тех пор, пока лекарственный препарат не растворится полностью.
2. Прервите работу смесителя, добавьте диоксид титана и включите дробилку для диспергирования.
3. Прервите работу смесителя, добавьте в смеситель CAB-O-SIL несколькими порциями. После добавления каждой порции включайте смеситель для смачивания порошка.
4. После того как весь CAB-О-SIL будет добавлен, проводите перемешивание до достижения однородности.
5. Прервите работу смесителя и выждите 10 минут для того, чтобы дать воздуху возможность улетучиться.
6. Добавьте карбонат магния. Добавьте в смеситель оставшийся триацетин и ПЭГ 300. Включите смесительный шнек для перемешивания до достижения однородности,
Для того чтобы определить стабильность пасты, полученной по способу настоящего изобретения, образец промежуточного продукта (4% CAB-O-SIL в триацетате) на стадии 5 протестировали при помощи вискозиметра Брукфильда (фигура 4). По-видимому, его вязкость не очень чувствительна к условиям испытаний при низких значениях сдвига. Как показано на фигуре 4, в емкости для испытаний вязкость оставалась почти неизменной в ходе измерения в течение 5 минут. Для оценки чувствительности к сдвигу у конечного продукта конечную пасту на стадии 6 подвергали воздействию высоких значений сдвига, используя гомогенизатор при 2500 оборотах в минуту. Образцы отбирали через различные промежутки времени и тестировали при помощи вискозиметра Брукфильда и пенетрометра (фигура 5). Как испытание на вискозиметре Брукфильда, так и испытание на пенетрометре для исходного конечного продукта и для конечного продукта, выдержанного при 60°С, продемонстрировали то, что паста на стадии 6 отличалась только незначительной чувствительностью к сдвигу. Исходя из этих данных заявители пришли к выводу, что чрезмерное перемешивание во время изготовления не должно оказывать значительного влияния на вязкость пасты.
Пример 9
Превращение полиморфной модификации А в полиморфную модификацию В, в результате перемешивания в метаноле без внесения затравки
В колбу объемом 5 мл добавляли 1 г метанола и 1,5 г полиморфной модификации А.
Перемешивание проводили при комнатной температуре в течение 50 минут. Вся полиморфная модификация А превратилась в полиморфную модификацию В по истечении данного промежутка времени. Результаты в отношении полиморфной формы подтвердили с помощью метода дифракции рентгеновских лучей.
Композиция с полиморфной формой В может быть получена так, как описано в примерах 5-7.
Предполагается, что приведенное выше описание данного изобретения является иллюстративным, а не ограничивающим. Для специалиста в соответствующей области могут существовать различные вариации или модификации описанного варианта реализации. Они могут быть созданы без отклонения от объема и сущности данного изобретения.
Формула изобретения
1. Способ получения фармацевтической или ветеринарной пастообразной композиции, обеспечивающей местное введение терапевтически активных средств, включающий стадии:
a) растворения или диспергирования терапевтически активного средства в гидрофобном носителе путем перемешивания;
b) добавления коллоидного диоксида кремния к гидрофобному носителю, содержащему растворенное или диспергированное терапевтически активное средство и перемешивания до диспергирования диоксида кремния в носителе;
c) отстаивание промежуточного продукта, полученного на стадии (b), в течение времени, достаточного для улетучивания воздуха, захваченного на стадии (b); и
d) добавления модификатора вязкости к промежуточному продукту при перемешивании для получения однородной пасты.
2. Фармацевтическая или ветеринарная композиция, обеспечивающая местное введение терапевтически активных средств, полученная способом по п.1, включающая:
a) по меньшей мере одно терапевтически активное средство в эффективном количестве;
b) коллоидный диоксид кремния;
c) модификатор вязкости;
d) носитель.
3. Пастообразная композиция по п.2, в которой модификатор вязкости представляет собой ПЭГ 200, ПЭГ 300, ПЭГ 400, ПЭГ 600, моноэтаноламин, триэтаноламин, глицерин, пропиленгликоль, моноолеат полиоксиэтиленсорбитана или полиоксамеры, дополнительно содержащая абсорбент, представляющий собой карбонат магния, карбонат кальция, крахмал или целлюлозу и ее производные, и красящее вещество, представляющее собой диоксид титана, краситель, красочный лак или красящее вещество на основе оксида железа, карамели или комбинаций разных красящих веществ.
4. Пастообразная композиция по п.2, включающая:
a) эффективное количество терапевтически активного средства, представляющего собой 3-(циклопропилметокси)-5,5-диметил-4-(4-метилсульфонил)фенил)-5Н-фуран-2-он или 3-(циклопропилэтокси)-5,5-диметил-4-(4-метилсульфонил)фенил)-5Н-фуран-2-он или фармацевтически приемлемые соли или гидраты данных соединений;
b) коллоидный диоксид кремния;
c) модификатор вязкости;
d) абсорбент;
e) красящее вещество; и
f) носитель, представляющий собой триацетин, моноглицерид, диглицерид, триглицерид, глицерин, воду, пропиленгликоль, N-метилпирролидон, формаль глицерина, полиэтиленгликоль, три-блок-сополимеры полиэтиленгликоль/полипропиленгликоль/полиэтиленгликоль, растительное масло, кунжутное масло, соевое масло, кукурузное масло, минеральное масло, арахисовое масло, касторовое масло, хлопковое масло, этоксидигликоль, бензиловый спирт, N,N-диметилформамид или диметилсульфоксид.
5. Пастообразная композиция по п.4, в которой модификатор вязкости представляет собой ПЭГ 200, ПЭГ 300, ПЭГ 400, ПЭГ 600, моноэтаноламин, триэтаноламин, глицерин, пропиленгликоль, моноолеат полиоксиэтиленсорбитана или полиоксамеры, абсорбент, представляющий собой карбонат магния, карбонат кальция, крахмал или целлюлозу и ее производные, и красящее вещество, представляющее собой диоксид титана, краситель, красочный лак или красящее вещество на основе оксида железа, карамели или комбинаций разных красящих веществ.
6. Пастообразная композиция по п.2, которая содержит в расчете на общую массу композиции:
a) от 0,01 до 50% 3-(циклопропилметокси)-5,5-диметил-4-(4-метилсульфонил)фенил)-5Н-фуран-2-она или 3-(циклопропилэтокси)-5,5-диметил-4-(4-метилсульфонил)фенил)-5Н-фуран-2-она или фармацевтически приемлемых солей или гидратов данных соединений;
b) от 0,02 до 20% коллоидного диоксида кремния;
c) от 0,01% до 20% модификатора вязкости;
d) от 0% до 30% абсорбента;
e) от 0% до 20% красящего вещества; и
f) носитель до 100%.
7. Пастообразная композиция по п.2, которая содержит в расчете на общую массу композиции:
a) от 0,01 до 50% 3-(циклопропилметокси)-5,5-диметил-4-(4-метилсульфонил)фенил)-5Н-фуран-2-она или 3-(циклопропилэтокси)-5,5-диметил-4-(4-метилсульфонил)фенил)-5Н-фуран-2-она или фармацевтически приемлемых солей или гидратов данных соединений;
b) от 1 до 6,5% коллоидного диоксида кремния;
c) от 0,05 до 5% модификатора вязкости;
d) от 1 до 10% абсорбента;
e) от 0,01 до 10% красящего вещества; и
f) носитель до 100%.
8. Пастообразная композиция по п.4, которая содержит в расчете на общую массу композиции:
a) 2,5% 3-(циклопропилметокси)-5,5-диметил-4-(4-метилсульфонил)фенил)-5Н-фуран-2-она или 3-(циклопропилэтокси)-5,5-диметил-4-(4-метилсульфонил)фенил)-5Н-фуран-2-она или фармацевтически приемлемых солей или гидратов данных соединений;
b) 4% коллоидного диоксида кремния;
c) 1% моноэтаноламина;
d) 1,0% диоксида титана;
e) 50% триацетина;
f) 41,5% диэфира пропиленгликоля и каприновой кислоты (840).
9. Пастообразная композиция по п.4, которая содержит в расчете на общую массу композиции:
a) 0,82% 3-(циклопропилметокси)-5,5-диметил-4-(4-метилсульфонил)фенил)-5Н-фуран-2-она или 3-(циклопропилэтокси)-5,5-диметил-4-(4-метилсульфонил)фенил)-5Н-фуран-2-она или фармацевтически приемлемых солей или гидратов данных соединений;
b) 4,25% коллоидного диоксида кремния;
c) 2,0% карбоната магния;
d) 0,2% диоксида титана;
e) 0,4% полиэтиленгликоля 300; и
f) 92,33% триацетина.
10. Пастообразная композиция по п.2, которая предназначена для перорального введения.
11. Пастообразная композиция по п.2, которая предназначена для местного внутрикожного или чрезкожного введения.
12. Пастообразная композиция по п.2, отличающаяся тем, что она дополнительно включает антиоксидант, выбираемый из группы, состоящей из альфа-токоферола, аскорбиновой кислоты, аскорбилпальмитата, фумаровой кислоты, яблочной кислоты, аскорбата натрия, метабисульфата натрия, н-пропилгаллата, бутилированного гидроксианизола, бутилированного гидрокситолуола и монотиоглицерина.
13. Пастообразная композиция по п.2, отличающаяся тем, что она дополнительно включает консервант, выбираемый из группы, состоящей из парабенов, хлорида алкилдиметилбензиламмония, хлорида бензетония, бензойной кислоты, бронопола, цетримида, хлоргексидина, хлорбутанола, хлоркрезола, крезола, имидомочевины, фенола, феноксиэтанола, фенилэтилового спирта, фенилмеркурацетата, фенилмеркурбората, фенилмеркурнитрата, сорбата калия, бензоата натрия, пропионата натрия, сорбиновой кислоты и тимерозаля.
14. Способ лечения воспаления, боли или лихорадки, который включает введение реципиенту эффективного количества пастообразной композиции по п.2.
15. Способ по п.14, в котором реципиентом является лошадь, крупный рогатый скот, свинья или человек.
16. Способ лечения воспаления, боли или лихорадки, ревматоидного артрита или остеоартрита, который включает введение реципиенту эффективного количества пастообразной композиции по п.2.
17. Способ по п.16, в котором реципиентом является лошадь, крупный рогатый скот, свинья или человек.
18. Пастообразная композиция по п.3, в которой терапевтически активное средство дополнительно включает антибиотик.
19. Пастообразная композиция по п.18, в которой антибиотиком является 8а-азалид, азитромицин или эритромицин.
20. Способ лечения бактериальной инфекции, который включает введение реципиенту эффективного количества пастообразной композиции по п.19.
21. Фармацевтическая или ветеринарная пастообразная композиция для лечения воспаления, боли или лихорадки, ревматоидного артрита или остеартрита, включающая:
а) эффективное количество терапевтически активного средства, представляющего собой 3-(циклопропилметокси)-5,5-диметил-4-(4-метилсульфонил)фенил)-5Н-фуран-2-она или 3-(циклопропилэтокси)-5,5-диметил-4-(4-метилсульфонил)фенил)-5Н-фуран-2-она или фармацевтически приемлемые соли или гидраты этих соединений;
b) коллоидный оксид кремния;
c) модификатор вязкости;
d) носитель;
e) необязательно абсорбент;
f) необязательно краситель, стабилизатор или консервант.
22. Пастообразная композиция по п.21, которая включает терапевтически активное средство, представляющее собой полиморфную В-форму 3-(циклопропилметокси)-5,5-диметил-4-(4-метилсульфонил)фенил)-5Н-фуран-2-она.
23. Пастообразная композиция по п.21, в которой модификатор вязкости представляет собой ПЭГ 200, ПЭГ 300, ПЭГ 400, ПЭГ 600, моноэтаноламин, триэтаноламин, глицерин, пропиленгликоль, моноолеат полиоксиленсорбитана или полиоксамеры, дополнительно содержащая абсорбент, представляющий собой карбонат магния, карбонат кальция, крахмал или целлюлозу и ее производные, и красящее вещество, представляющее собой диоксид титана, краситель или красочный лак, или красящее вещество на основе оксида железа, карамели или комбинаций разных красящих веществ.
24. Пастообразная композиция по п.21, в которой носитель представляет собой триацетин, моноглицерид, диглицерид, триглицерид, глицерин, воду, пропиленгликоль, N-метилпирролидон, формаль глицерина, полиэтиленгликоль, три-блок-сополимеры полиэтиленгликоль/полипропиленгликоль/полиэтиленгликоль, растительное масло, кунжутное масло, соевое масло, кукурузное масло, минеральное масло, арахисовое масло, касторовое масло, хлопковое масло, этоксидигликоль, бензиловый спирт, N,N-диметилформамид или диметилсульфоксид.
25. Пастообразная композиция по п.24, в которой модификатор вязкости представляет собой ПЭГ 200, ПЭГ 300, ПЭГ 400, ПЭГ 600, моноэтаноламин, триэтаноламин, глицерин, пропиленгликоль, моноолеат полиоксиленсорбитана или полиоксамеры, абсорбент, представляющий собой карбонат магния, карбонат кальция, крахмал или целлюлозу и ее производные, и красящее вещество, представляющее собой диоксид титана, краситель, красочный лак или красящее вещество на основе оксида железа, карамели или комбинаций разных красящих веществ.
26. Пастообразная композиция по п.21, которая содержит в расчете на общую массу композиции:
a) от 0,01 до 50% 3-(циклопропилметокси)-5,5-диметил-4-(4-метилсульфонил)фенил)-5Н-фуран-2-она или 3-(циклопропилэтокси)-5,5-диметил-4-(4-метилсульфонил)фенил)-5Н-фуран-2-она или фармацевтически приемлемых солей или гидратов этих соединений;
b) от 0,02 до 20% коллоидного диоксида кремния;
c) от 0,01 до 20% модификатора вязкости;
d) от 0 до 30% адсорбента;
e) от 0 до 20% красящего вещества; и
f) носитель до 100%.
27. Пастообразная композиция по п.21, которая содержит в расчете на общую массу композиции:
a) от 0,01 до 50% 3-(циклопропилметокси)-5,5-диметил-4-(4-метилсульфонил)фенил)-5Н-фуран-2-она или 3-(циклопропилэтокси)-5,5-диметил-4-(4-метилсульфонил)фенил)-5Н-фуран-2-она или фармацевтически приемлемых солей или гидратов этих соединений;
b) от 1 до 6,5% коллоидного диоксида кремния;
c) от 0,05 до 5% модификатора вязкости;
d) от 1 до 10% адсорбента;
e) от 0,01 до 10% красящего вещества; и
f) носитель до 100%.
28. Пастообразная композиция по п.24, которая содержит в расчете на общую массу композиции:
a) 2,5% 3-(циклопропилметокси)-5,5-диметил-4-(4-метилсульфонил)фенил)-5Н-фуран-2-она или 3-(циклопропилэтокси)-5,5-диметил-4-(4-метилсульфонил)фенил)-5Н-фуран-2-она или фармацевтически приемлемых солей или гидратов этих соединений;
b) 4,0% коллоидного диоксида кремния;
c) 1,0% моноэтаноламина;
d) 1,0% диоксида титана;
e) 50% триацетина;
f) 41,5% диэфира пропиленгликоля и каприновой кислоты (840).
29. Пастообразная композиция по п.24, которая содержит в расчете на общую массу композиции:
a) 0,82% 3-(циклопропилметокси)-5,5-диметил-4-(4-метилсульфонил)фенил)-5Н-фуран-2-она или 3-(циклопропилэтокси)-5,5-диметил-4-(4-метилсульфонил)фенил)-5Н-фуран-2-она или фармацевтически приемлемых солей или гидратов этих соединений;
b) 4,25% коллоидного диоксида кремния;
c) 2,0% карбоната магния;
d) 0,2% диоксида титана;
e) 0,4% полиэтиленгликоля 300; и
f) 92,33% триацетина.
30. Пастообразная композиция по п.21, которая предназначена для перорального введения.
31. Пастообразная композиция по п.21, которая предназначена для местного внутрикожного или чрезкожного введения.
32. Пастообразная композиция по п.21, отличающаяся тем, что она дополнительно включает антиоксидант, выбираемый из группы, состоящей из альфа-токоферола, аскорбиновой кислоты, аскорбилпальмитата, фумаровой кислоты, яблочной кислоты, аскорбата натрия, метабисульфата натрия, н-пропилгаллата, бутилированного гидроксианизола, бутилированного гидрокситолуола и монотиоглицерина.
33. Пастообразная композиция по п.21, отличающаяся тем, что она дополнительно включает консервант, выбираемый из группы, состоящей из парабенов, хлорида алкилдиметилбензиламмония, хлорида бензетония, бензойной кислоты, бронопола, цетримида, хлоргексидина, хлорбутанола, хлоркрезола, крезола, имидомочевины, фенола, феноксиэтанола, фенилэтилового спирта, фенилмеркурацетата, фенилмеркурбората, фенилмеркурнитрата, сорбата калия, бензоата натрия, пропионата натрия, сорбиновой кислоты и тимерозаля.
34. Способ лечения воспаления, боли или лихорадки, который включает введение реципиенту эффективного количества пастообразной композиции по п.21.
35. Способ по п.34, в котором реципиентом является лошадь, крупный рогатый скот, свинья или человек.
36. Способ лечения воспаления, боли или лихорадки, ревматоидного артрита или остеоартрита, который включает введение реципиенту эффективного количества пастообразной композиции по п.21.
37. Способ по п.36, в котором реципиентом является лошадь, крупный рогатый скот, свинья или человек.
38. Пастообразная композиция по п.22, в которой терапевтически активное средство дополнительно включает антибиотик.
39. Пастообразная композиция по п.38, в которой антибиотиком является 8а-азалид, азитромицин или эритромицин.
40. Способ лечения бактериальной инфекции, который включает введение реципиенту эффективного количества пастообразной композиции по п.39.
41. Пастообразная композиция по п.2, включающая эффективное количество полиморфной В-формы 3-(циклопропилметокси)-4-(4-метилсульфонил)фенил)-5,5-диметил-5Н-фуран-2-она или фармацевтически приемлемых солей или гидратов этого соединения.
РИСУНКИ
|
|