Патент на изобретение №2158510
|
||||||||||||||||||||||||||
(54) КОМПОЗИЦИЯ ДЛЯ ПОВЫШЕНИЯ УСТОЙЧИВОСТИ РАСТЕНИЙ К БОЛЕЗНЯМ (ВАРИАНТЫ)
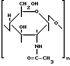
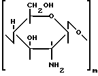
(57) Реферат: Изобретение относится к области защиты растений от возбудителей болезней путем предпосевной обработки семян и посадочного материала, обработки вегетирующих растений или внесения в почву композиций на основе водных растворов хитозана, содержащих различные органические кислоты и биологически активные вещества. Разработаны композиции на основе водных растворов хитозана, содержащие органическую кислоту или смесь кислот и регулятор роста. Из органических кислот они содержат янтарную, молочную, глутаминовую. В качестве регулятора роста композиция содержит гетероауксин или фторсодержащее соединение. Композиция может содержать и другие вещества, такие как катапол, натрий фосфористокислый орто, однoзaмeщенный 2,5-водный или их смесь. Композиции позволяют повысить устойчивость растений к болезням и получить экологически чистую сельскохозяйственную продукцию. 5 с. и 5 з.п. ф-лы, 7 табл. Изобретение относится к области сельского хозяйства, точнее к защите растений от возбудителей болезней с помощью биологически активных веществ, а именно с использованием композиций на основе водных растворов природного полисахарида хитозана, включающих также органические кислоты и содержащих для усиления своего действия различные биологически активные вещества. Изобретение может найти широкое использование для предпосевной обработки семян и посадочного материала, для обработки вегетирующих растений, для внесения в почву перед посевом (посадкой) сельскохозяйственных культур в качестве средства биологической защиты их от болезней, существенно превосходящих по экологической чистоте применяемые в настоящее время ядохимикаты (пестициды) и не уступающего последним по эффективности против патогенов. Используемые в настоящем описании термины и их расшифровка: Хитозан – природный полисахарид – поли- -(1 —> 4)-2-ацетамидо-2-дезокси-D-глюкопиронозид со структурой полимерного звена [1]![]() ![]() где n + m = 100 мол.%; m = 65 – 97 мол.%, ММ от 800 до 150000 Д. Янтарная кислота – природная органическая кислота с формулой HOOC-(CH2)2-COOH [2]. Глутаминовая кислота – природная аминокислота с формулой NH2CH2CH2CH2COOH [2]. Молочная кислота – ( -оксипропионовая кислота) – природная органическая кислота с формулойCH3-CHOH-COOH [2]. Природные гормоны растений, например: Гетероауксин – (3-индолилуксусуная кислота, ИУК) – вещество с формулой [2] ![]() Это природный фитогормон, обладающий ростстимулирующей активностью. Ароматические оксикарбоновые фенольные кислоты, например: Салициловая кислота – (о-оксибензойная кислота) – природная органическая кислота с формулой [2] ![]() Катапол – комплекс сополимера N-винилпирролидона и кротоновой кислоты с алкилдиметилбензиламмонием общей формулы ![]() где m = 80-85 мол.%, k = 15-20 мол.%, R = CnH2n+1 при n = 10-18, с ММ от 12000 до 400000 D [3], в концентрации 0,1- 0,5 мас.% обладает антисептическим и антимикробным действием, в концентрации 0,5 – 1,0 мас.% проявляет альгицидную активность [4]. Ненасыщенные природные жирные кислоты и их синтетические производные, например: Метиловый эфир 12-окси-цис-9-октадеценовой кислоты синтеза УрО РАН с формулой ![]() Синтетические вещества с гормональной активностью, например, ФФ-806 – синтетическое фторсодержащее соединение синтеза ИЭНОС РАН с формулой ![]() обладающее рострегуляторной активностью [5]. Ортофосфористая кислота и ее соли, например натрий фосфористокислый орто, однозамещенный 2,5-водный (натрий дигидроортофосфит) – неорганическая соль с формулой [2] NaH2PO3 2,5 H2O. Известны композиции на основе хитозана, используемые в растениеводстве в качестве регулятора роста растений [6]. Известные композиции содержат в об.%: хитозан 0,1 – 10, предпочтительно 2, глутаминовую кислоту 0,1 – 10, предпочтительно 2, при массовом соотношении хитозан : кислота 1:1. Основным недостатком известных композиций на основе хитозана является их узкая функциональность – наличие только функции регулятора роста растений. Авторами разработаны и заявлены (заявка N 97101133/13 001162) композиции на основе водных растворов хитозана и органических кислот из ряда, включающего янтарную и молочную кислоту или смесь одной из них с глутаминовой кислотой, обладающие биологической активностью против фитопатогенов. Усиление указанной биологической активности заявленных композиций достигается введением в их состав определенных биологически активных веществ, что и является предметом настоящей заявки. Задачей предлагаемого изобретения являлось усиление защитного эффекта от воздействия комплекса возбудителей болезней – фитопатогенов на растения по сравнению с ранее заявленными нами композициями. Эта задача была решена композициями на основе хитозана, содержащими в мас.%: хитозан 0,004 – 0,5, органическую кислоту из ряда, содержащего янтарную и молочную кислоту или их смесь с глутаминовой кислотой 0,004 – 0,5, биологически активное вещество из ряда, включающего гетероауксин, ФФ-806, метиловый эфир 12-окси-цис-9-октадеценовой кислоты, салициловую кислоту, катапол, однозамещенный ортофосфористокислый натрий или смесь одного – трех из перечисленных веществ при массовом отношении к хитозану 0,0002 – 2: 1, вода – остальное до 100, pH раствора 5,6 – 6,0, массовое отношение кислота или смесь кислот : хитозан 1:1. Анализ известного уровня техники не позволил обнаружить какие-либо источники информации, где были бы описаны композиции, идентичные заявленным по всей совокупности существенных признаков. Это подтверждает соответствие заявленного решения условию охраноспособностии “новизна”. Анализ известного уровня техники показал, что для хитозана и органических кислот, а также для всех биологически активных веществ (кроме катапола, салициловой кислоты и однозамещенного ортофосфористокислого натрия), входящих в состав заявленной композиции, ранее была известна только рострегулирующая активность. Для катапола ранее была известна только антимикробная и альгицидная активность. Салициловая кислота использовалась в качестве антимикробного средства и для терапии ревматоидных заболеваний. Для однозамещенного ортофосфористокислого натрия была известна способность предохранять семена злаковых и других культурных растений от грибковых заболеваний. Найденная впервые авторами настоящего изобретения активность заявленных композиций в качестве экологически чистого средства защиты растений от широкого ассортимента возбудителей заболеваний на различных стадиях развития растений не вытекает с очевидностью из структуры и известных свойств каждого из компонентов этих композиций и из состава в целом. Действие заявленных композиций, как можно предполагать, основано на неизвестной ранее способности хитозана – экологически безопасного биологически активного вещества – в совокупности с остальными ингредиентами композиции выступать в качестве фитоактиватора болезнеустойчивости к комплексу вредных организмов через измененный обмен веществ фитопатогена и растения. Только специфические сочетания хитозана со строго определенными органическими кислотами и некоторыми другими из заявленных нами соединений обладают указанной активностью. Это связано с тем, что композиция индуцирует болезнеустойчивость растений двумя способами: – повышением окислительного потенциала клетки, который усиливается природными жирными кислотами с непредельными (двойными) связями (олеиновой, линолевой, линоленовой, арахидоновой) или их непредельными аналогами (локальная устойчивость); – активацией деятельности генов защиты растений за счет включений в состав композиции определенных природных или синтетических гормонов (например, ИУК, ФФ-806), фенольных кислот (например, салициловой) и минеральных солей (например, NaH2PO3), что приводит к возникновению системной болезнеустойчивости в тканях растений. Таким образом, заявленные биологически активные вещества и их композиции обеспечивают получение одного и того же технического результата (повышение болезнеустойчивости растений) принципиально одним и тем же путем. Все вышеперечисленные доводы подтверждают наличие функциональной зависимости, ранее неизвестной, “состав – свойства”. Это определяет соответствие заявленного решения такому условию патентоспособности как “изобретательский уровень”. Заявляемая композиция водорастворима и обладает хорошей пленкообразующей и проникающей способностью, высокой адгезией к растительному материалу, активна и устойчива в водных растворах при pH, близких к нейтральным, равным 5,6 – 6,0 (при необходимости pH регулируется добавкой углекислого натрия), не обладает фитотоксичностью в диапазоне рабочих концентраций. Заявленные композиции получают путем растворения хитозана в водных растворах янтарной, молочной кислоты или их смеси с глутаминовой кислотой при массовом соотношении хитозан : органические кислоты 1:1. Затем в раствор вводят другие заявленные биологически активные добавки в виде водного раствора, а при необходимости (например, в случае ИУК и ФФ-806) – с использованием для растворения небольших количеств диметилсульфоксида (0,05 – 0,1% в конечной концентрации композиции). Для доказательства соответствия предложенного решения условию “промышленная применимость”, а также для лучшего понимания сущности изобретения приводим примеры конкретной реализации, которые не могут исчерпать сущность заявленного изобретения. Примеры 1 – 9 характеризуют функции отдельных биологически активных веществ в проявлении эффекта заявленных композиций на основе водных растворов хитозана как при обработке семян, так и при комплексной обработке семян и вегетирующих растений ячменя с целью защиты его от комплекса болезней. Растения ярового ячменя (сорт Абава) по примерам 1 – 9 выращивали в одинаковых условиях полевых экспериментов на опытном поле ТОО “Тверские семена” (Тверская обл.) с дерново-подзолистой легкосуглинистой почвой, осушенной закрытым дренажем, на естественном инфекционном фоне. Размер опытной делянки 30 кв. м в 3-кратном повторении. Фитопатологический учет и анализ структуры урожая проводили по общепринятым методикам [7]. Данные по примерам 1 – 9 приведены в таблицах 1 и 2 и являются сопоставительными. В таблице 1 (примеры 1 – 5) представлены данные, полученные при использовании композиции заявленного состава для предпосевной обработки семян. В таблице 2 (примеры 1, 6 – 9) представлены результаты комплексной обработки, которая включает как предпосевную обработку семян, так и двукратную обработку вегетирующих растений в фазы кущения и колошения. Данные о пораженности болезнями и продуктивности контрольных (необработанных) растений представлены в примере 1 таблиц 1 и 2. Для сравнения с заявленными композициями использованы широко применяемые фунгициды Байтан У (фирма “Байер”, ФРГ), 2 кг/т [8] – для обработки семян (примеры 5, 9) и фоликур БТ (фирма “Байер”, ФРГ), 1 л/га [8] – для обработки растений (пример 9). Корневые гнили в примерах 1 – 9 представлены возбудителями Helminthosporium sativum Pamm. King et Bakke и Fusarium sp., а гельминтоспориозные пятнистости листьев представлены возбудителями Helminthosporium sativum Pamm. King et Bakke и Drechslera teres Ito. Для обработки семян использованы композиции, в мас.%, следующего состава: Пример 2. Хитозан – 0,3 [3], янтарная кислота – 0,20, глутаминовая кислота – 0,1 [3], вода – до 100. Пример 3. Хитозан – 0,3 [3], янтарная кислота – 0,20, глутаминовая кислота – 0,1 [3], гетероауксин – 0,006 [6], вода – до 100. Пример 4. Хитозан – 0,3 [3], янтарная кислота – 0,20, глутаминовая кислота – 0,1 [3], ФФ-806 – 0,016 [6], вода – до 100. Расход композиций для обработки семян – 30 л/т. Все данные по примерам 1 – 5 представлены в таблице 1. В примерах 6, 7, 8 композиции для обработки семян те же, что и в примерах 2, 3, 4 соответственно. Для опрыскивания растений в фазы кущения и колошения использованы композиции, в мас.%, следующего состава: Пример 6. Хитозан – 0,05, янтарная кислота – 0,03, глутаминовая кислота – 0,02, вода – до 100. Пример 7. Хитозан – 0,05, янтарная кислота – 0,03, глутаминовая кислота – 0,02, гетероауксин – 0,05, вода – до 100. Пример 8. Хитозан – 0,05, янтарная кислота – 0,03, глутаминовая кислота – 0,02, ФФ-806 – 0,05, вода – до 100. Расход композиций составил 200 л/га. Все данные по примерам 1, 6 – 9 приведены в таблице 2. Примеры 10 – 14 подтверждают эффективность действия композиции, содержащей хитозан, молочную кислоту и дополнительный компонент – метиловый эфир 12-окси-цис-9-октадеценовой кислоты. Эффективность изучают на примере защиты картофеля от поражения возбудителем фитофтороза (Phytophtora intestans [Mont.] de Bary). Примеры выполняют в сопоставимых условиях: проводят искусственное заражение (инокуляцию) ломтиков картофеля (сорт Гатчинский) суспензий конидий гриба (200000 конидий/мл) через 5 часов после нанесения композиции. Учет развития болезни проводят на 5-е сутки после инокуляции по 5-балльной шкале. Все данные представлены в таблице 3. Примеры 15 – 31 подтверждают высокую биологическую эффективность заявленной композиции при обработке семян пшеницы против поражения возбудителем корневой гнили зерновых культур (Helninthosporium sativum Pamm. King et Bakke). Примеры выполнены на растениях пшеницы (сорт Ленинградка) при использовании искусственного фона H.sativum. Обработку семян пшеницы проводили путем замачивания в растворах композиции в течение 18 часов. Затем осуществляли инокуляцию проросших семян путем замачивания в суспензии спор H.sativum (80000 спор/мл) в течение суток. Растения выращивали методом рулонной культуры при искусственном освещении. Композиции имели pH 6,0. Учет развития болезни проводили на 12-дневных растениях по 4-балльной шкале. Все данные приведены в таблице 4. Примеры 32 – 36 показывают эффективность действия композиции в защите проростков томатов (сорт Волгоградский 5/95) от поражения возбудителей бактериальной гнили (Erwinia Carotovora (Jones) – Holl.). Примеры выполнены в сопоставительных условиях. Семена томатов замачивают в течение 4-х часов в 0,5% по хитозану растворе заявленной композиции (1 г семян на 1 мл раствора) и через 18 – 24 часа создают инфекционный фон путем аналогичного замачивания семян в жидкой культуре бактерии (1-3 млн. бактерий/мл) и выращивают в чашках Петри. Учет пораженности растений болезнью проводят в фазе 10-дневных проростов по стандартной методике. Все данные представлены в таблице 5. Для сравнения в примере 6 используют рекомендованный для этих целей протравливатель семян ТМТД, 80% с.п. Примеры 37 – 42 подтверждают эффективность композиции заявленного состава в защите растений пшеницы от поражения возбудителем мучнистой росы (Erysiphe graminis DC.f.sp. tritici March.). Примеры выполнены в сопоставимых условиях. Растения пшеницы (сорт Харьковская 46) опрыскивают композицией в фазу 2-х листьев в концентрации 0,1 мас.% по хитозану и через 24 часа проводят инокуляцию конидиями патогена. Развитие мучнистой росы учитывают через 7 и 11 дней после заражения. Для сравнения в примере 42 используют фунгицидное средство ВТН в концентрации 0,0001 мас.% по Д.В. [9]. Все данные представлены в таблице 6. Примеры 43 – 46 подтверждают высокую эффективность заявленных композиций, содержащих хитозан, ИУК, катапол и салициловую кислоту против комплекса болезней ячменя. Испытание заявленных композиций проводили на яровом ячмене (сорт Зазерский) на стационаре опытного поля ВНИИМЗ (г. Тверь). Почва опытного участка дерново-подзолистая, осушаемая закрытым дренажем. Заявленные композиции испытывали в условиях биологизированной системы земледелия (пример 44). Эталоном служила химическая система защиты с применением фунгицидов Байтан У, тилт (пример 46). Контрольный вариант – без применения средств защиты от болезней – в каждой системе земледелия (примеры 43 и 45). Площадь опытной и контрольной делянок по 0,1 га в 3-кратном повторении. Размещение делянок одноярусное, систематическое. Семена обрабатывали заявленной композицией в дозе 0,1 кг/т по хитозану и Байтаном У в дозе 2 кг/т на протравочной машине ПСШ-5, а опрыскивание растений – тракторным опрыскивателем ОП-2000 (заявленная композиция – в дозе 0,1 кг/га по хитозану, тилт [8] – 0,5 кг/га). Посев семян проводили сеялкой СЗ-3,6. Фитопатологические учеты проводили по общепринятым методикам [7] в фазы кущения, колошения и молочно-восковой спелости перед очередным опрыскиванием посевов. Анализ структуры урожая и учет биологического урожая проводили на учетных метровых площадках. Естественный инфекционный фон заболеваний в контрольных вариантах без применения средств защиты (примеры 43 и 45) в обоих системах земледелия был практически одинаковым и имел нарастающий характер в процессе вегетации ячменя. В целом, естественный инфекционный фон был достаточен для оценки биологической эффективности заявленных композиций. Корневые гнили в примерах 43 – 46 представлены возбудителями Helminthosporium sativum Pamm. King et Bakke и Fusarium sp.; гельминтоспориозные пятнистости листьев – возбудителями Helminthosporium sativum Pamm. King et Bakke (темно-бурая пятнистость), Drechslera teres Ito (сетчатая пятнистость), Drechslera graminea Ito (полосатая пятнистость). Возбудитель ринхоспориоза – Rhynchosporium graminicola Heins., возбудитель септориоза – Septoria nodurum Berk. Состав композиции, в мас.%, для обработки семян: хитозан – 0,3 [3], янтарная кислота – 0,2 [6], глутаминовая кислота – 0,06 [6], гетероауксин – 0,006 [6], салициловая кислота – 0,06 [6], катапол – 0,3 [3], вода – до 100. Расход композиции – 30 л/т. Состав композиции, в мас.%, для опрыскивания растений: хитозан – 0,05, янтарная кислота – 0,05, салициловая кислота – 0,05, вода – до 100. Расход композиции – 200 л/га. Данные по примерам 43 – 46 представлены в таблице 7 и являются взаимосопоставимыми. Заявленное изобретение позволяет получать близкий к фунгицидам эффект по биологической защите растений от болезней и урожаю при небольших количествах добавленных к хитозану биологически активных веществ: а) для обработки 1 тонны семян используют растворы композиций, содержащие 0,005 – 0,5 кг/т хитозана с янтарной или смесью янтарной и глутаминовой кислот при соотношении хитозан : органическая кислота 1:1, в которые добавлены 1-3 следующих ингредиента – гетероауксин (0,001 – 0,002 кг/т), ФФ-806 (0,002 – 0,005 кг/т), салициловая кислота (0,005 – 0,01 кг/т), катапол (по Д.В. 0,005 – 1,0 кг/т); б) для опрыскивания вегетирующих растений используют водные растворы композиций, содержащие 0,05 – 0,5% хитозана с янтарной, смесью янтарной и глутаминовой или молочной кислотой при соотношении хитозан : органическая кислота 1:1, в которые добавлены 1 – 2 следующих ингредиента – гетероауксин (0,001 – 0,005%), ФФ-806 (0,01 – 0,05%), салициловая кислота (0,01 – 0,05%), метиловый эфир 12-окси-цис-9-октадеценовой кислоты (0,01 – 0,05%), натрий ортофосфористокислый, однозамещенный 2,5-водный (0,001 – 0,01%) при расходе рабочей жидкости 200 л/га. Использование заявленных композиций вместо фунгицидов улучшает экологические условия труда, предохраняет окружающую среду от загрязнения (остатками пестицидов) и позволяет получить экологически чистую сельскохозяйственную продукцию без потерь от болезней. Перечень источников информации 1. Yabuku M. Story of Chitin and Chitosan (Gihodo Shuppan Co., Ltd: Tokyo, Japan), 1992, 140 pp. 2. Каталог химических реактивов и высокочистых химических веществ. – М.: Химия, 1971. 3. Пат. РФ 15117173, приоритет от 05.08.1986. 4. Пат. РФ 1702613, приоритет от 26.01.1989, патент действует с 20.09.1993. 5. Коломиец А. Ф. Создать комплекс химических средств для экологизации защиты растений (информационный отчет). – М., ИНЭОС АН СССР, 1991. 6. Пат. США 4812159, заявл. 13.03.1987, опубликован 14.03.89. 7. Методические указания по государственным испытаниям фунгицидов, антибиотиков и протравителей семян сельскохозяйственных культур. – М., 1985, 130 с. 8. Список химических и биологических средств борьбы с вредителями, болезнями и сорняками, регуляторов роста и феромонов, разрешенных для применения в сельском хозяйстве на 1992 – 1996 годы. – М.: Колос, 1994. 9. 50 Deutsche Pflanzenschutztagung in Munster 23 – 26 September 1996. Biologische Bundesanstalt fur Land – und Forstwirtschaft, Berlin-Dahlem, Helt 321, Berlin 1993. S. 259. Формула изобретения
Хитозан – 0,05 – 0,3 Янтарная кислота – 0,03 – 0,2 Глутаминовая кислота – 0,02 – 0,1 Регулятор роста – 0,006 – 0,05 2. Композиция по п.1, отличающаяся тем, что в качестве регулятора роста она содержит гетероауксин в количестве 0,006 – 0,05 мас.%. 3. Композиция по п.1, отличающаяся тем, что в качестве регулятора роста содержит фторсодержащее соединение формулы ![]() в количестве 0,016 – 0,05 мас.%. 4. Композиция для повышения устойчивости растений к болезням, содержащая хитозан и органическую кислоту, отличающаяся тем, что она дополнительно содержит метиловый эфир 12-окси-цис-9-октадеценовой кислоты, из органических кислот – молочную кислоту, а хитозан с молекулярной массой 800 – 150000 и степенью дезацетилирования 65 – 97% при следующем соотношении компонентов, мас.%: Хитозан – 0,01 – 0,5 Молочная кислота – 0,1 – 0,5 Метиловый эфир 12-окси-цис-9-октадеценовой кислоты – 0,01 5. Композиция для повышения устойчивости растений к болезням, содержащая хитозан и органическую кислоту, отличающаяся тем, что она дополнительно содержит катапол, из органических кислот – янтарную кислоту, а хитозан с молекулярной массой 800 – 150000 и степенью дезацетилирования 65 – 97%, при следующем соотношении компонентов, мас.%: Хитозан – 0,005 – 0,5 Янтарная кислота – 0,005 – 0,5 Катапол – 0,005 – 0,5 6. Композиция для повышения устойчивости растений к болезням, содержащая хитозан и органическую кислоту, отличающаяся тем, что она дополнительно содержит натрий ортофосфористокислый, из органических кислот – смесь молочной и салициловой кислот, а хитозан с молекулярной массой 800 – 150000 и степенью дезацетилирования 65 – 97%. 7. Композиция по п.6, отличающаяся тем, что она содержит, мас.%: Хитозан – 0,01 Молочная кислота – 0,1 Салициловая кислота – 0,05 Натрий ортофосфористокислый – 0,02 – 0,5 8. Композиция для повышения устойчивости растений к болезням, содержащая хитозан и органическую кислоту, отличающаяся тем, что она дополнительно содержит гетероауксин, синтетическое фторсодержащее соединение формулы ![]() и катапол, а хитозан – с молекулярной массой 800 – 150000 и степенью дезацетилирования 65 – 97% при следующем соотношении компонентов, мас.%: Хитозан – 0,005 – 0,5 Органическая кислота – 0,01 – 0,5 Гетероауксин – 0,001 – 0,005 Фторсодержащее соединение формулы (I) – 0,002 – 0,05 Катапол – 0,005 – 1 9. Композиция по п.8, отличающаяся тем, что из органических кислот она содержит смесь янтарной и салициловой кислот или смесь янтарной, глутаминовой и салициловой кислот. 10. Композиция по п.8, отличающаяся тем, что она дополнительно содержит метиловый эфир 12-окси-цис-9-октадеценовой кислоты и натрий ортофосфористокислый в количестве 0,01 – 0,05 мас.% и 0,001 – 0,01 мас.% соответственно. РИСУНКИ
|
||||||||||||||||||||||||||

-(1 —> 4)-2-ацетамидо-2-дезокси-D-глюкопиронозид со структурой полимерного звена [1]

-оксипропионовая кислота) – природная органическая кислота с формулой





