|
(21), (22) Заявка: 2005117325/28, 06.06.2005
(24) Дата начала отсчета срока действия патента:
06.06.2005
(43) Дата публикации заявки: 20.12.2006
(46) Опубликовано: 27.07.2007
(56) Список документов, цитированных в отчете о поиске:
RU 2125258 C1, 20.01.1999. RU 2096770 С1, 20.11.1997. RU 2027172 C1, 20.01.1995. DE 2363112 A1, 11.07.1974.
Адрес для переписки:
141070, Московская обл., г. Королев, ул. Ленина, 4а, ОАО “РКК “Энергия” им. С.П. Королева”, отдел интеллектуальной собственности
|
(72) Автор(ы):
Обухов Владимир Васильевич (RU), Ищук Игорь Николаевич (RU), Фесенко Александр Иванович (RU), Собко Александр Павлович (RU), Антонов Борис Игоревич (RU)
(73) Патентообладатель(и):
Открытое акционерное общество “Ракетно-космическая корпорация “Энергия” им. С.П. Королева” (RU)
|
(54) СПОСОБ ИДЕНТИФИКАЦИИ КОМПЛЕКСА ТЕПЛОФИЗИЧЕСКИХ СВОЙСТВ ТВЕРДЫХ МАТЕРИАЛОВ
(57) Реферат:
Изобретение относится к теплофизическим измерениям. Способ включает тепловое импульсное воздействие от линейного источника нагрева на плоскую поверхность исследуемого и эталонного образцов, измерение избыточной температуры на плоской поверхности образцов на фиксированном расстоянии от линии нагрева с момента подачи теплового импульса. Тепловое импульсное воздействие и измерение избыточной температуры осуществляют в плоскости контакта исследуемого и эталонного образцов, а измерение избыточной температуры производят в одной точке в заданном интервале времени, используя математическую модель прямой задачи теплопроводности на основе метода конечных разностей. Технический результат – повышение точности идентификации комплекса теплофизических свойств твердых материалов и уменьшение времени измерений. 4 ил., 1 табл.
Предлагаемое изобретение относится к теплофизическим измерениям. Область применения – определение теплофизических характеристик материалов и изделий неразрушающим методом.
Известен способ идентификации теплофизических свойств (ТФС) материалов, основанный на сравнении исследуемой термограммы с совокупностью нормированных термограмм исследуемого и эталонного материалов (Патент РФ №2018117, кл. G01N 25/18, 1994). При идентификации решается оптимизационная задача, для которой существует минимальная погрешность между разностью отклика исследуемого материала и совокупностью откликов нормированных характеристик эталонов.
Недостатком этого способа является необходимость сбора большого числа экспериментальных данных, формируемых в течение длительного времени проведения опытов.
Известен также способ идентификации комплекса теплофизических свойств твердых материалов, включающий воздействие тепловыми импульсами от линейного источника на плоскую поверхность исследуемого и эталонного образцов, измерение избыточных температур в момент подачи тепловых импульсов в точках, расположенных на фиксированных расстояниях от линии нагрева на поверхности образцов, по идентифицированным параметрам теплофизических свойств образцов и действительным значениям теплофизических свойств эталона находят искомый комплекс теплофизических свойств (патент РФ №2125258, МПК-7: G01N 25/18, 1999). Под избыточной температурой понимается температура, отсчитываемая от начальной температуры, при которой находился образец в момент подачи первого теплового импульса. Под эталонным образцом понимается образец материала с известными теплофизическими свойствами.
Недостатком способа является низкая точность измерений и длительное время проведения измерений.
Техническим результатом предлагаемого изобретения является повышение точности идентификации комплекса теплофизических свойств твердых материалов и уменьшение времени измерений.
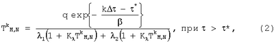
Технический результат достигается тем, что в способе идентификации комплекса теплофизических свойств твердых материалов, заключающемся в тепловом импульсном воздействии от линейного источника нагрева на плоскую поверхность исследуемого и эталонного образцов, измерении избыточной температуры на плоской поверхности образцов на фиксированном расстоянии от линии нагрева в заданном интервале времени, при этом тепловое импульсное воздействие и измерение избыточной температуры осуществляют в плоскости контакта исследуемого и эталонного образцов, а измерение избыточной температуры производят в одной точке, используя математическую модель прямой задачи теплопроводности на основе метода конечных разностей:
применяют промежуточную сеточную функцию источника нагрева


сеточную функцию на к+1 временном слое

при ;

при  
сеточную функцию в плоскости контакта

при 
решают обратную коэффициентную задачу теплопроводности вариационным методом на интервале наблюдения избыточной температуры [ 1, 2] при выборе параметра регуляризации по невязке:

искомые теплофизические свойства а1, 1 находят из минимума функции
J(a1, 1),
где – сеточная функция;

T – температура;
m – номер отсчета по координате в плоскости контакта;
М – координата источника тепла в плоскости контакта;
n – номер отсчета по координате, перпендикулярной плоскости контакта;
N – координата источника тепла в плоскости, перпендикулярной плоскости контакта;
k – номер отсчета по времени;
h – шаг сетки по расстоянию;
 – шаг сетки по времени;
q – количество тепла;
– коэффициент математической модели;
a1 – температуропроводность исследуемого материала;
1 – теплопроводность исследуемого материала;
а2 – температуропроводность эталона;
2 – теплопроводность эталона;
Ka – линейный коэффициент зависимости температуропроводности от температуры;
К – линейный коэффициент зависимости теплопроводности от температуры;
– текущее время, отсчитываемое от момента подачи импульса;
* – длительность теплового импульса;
– контактная термическая проводимость;
J – функционал невязки;

– значение избыточной температуры реального испытания в момент времени 
– значение избыточной температуры, рассчитанное математической моделью для момента времени 
i – номер отсчета.
Сущность изобретения поясняется чертежами.
На фиг.1 представлена двумерная сетка (n, m) математической модели в плоскости (r, z), перпендикулярной линии нагрева и плоскости контакта исследуемого материала и эталонного образца.
На фиг.2 представлены в виде точек графики изменения избыточной температуры, полученные экспериментально, и в виде непрерывной линии графики изменения избыточной температуры, рассчитанные с помощью двумерной сеточной модели при исследовании рипора – 2Н (кривые 1) и кварцевого стекла – KB (кривые 2).
На фиг.3 приведен вариант идентификации теплофизических свойств исследуемого материала с минимально возможным значением невязки, где кривая 1 – зависимость температуры от времени, построенная по математической модели, кривая 2 – зависимость температуры от времени, зарегистрированная в процессе реального испытания;
1 – время начала измерения температуры, отсчитываемое от момента подачи теплового импульса; 2 – время окончания измерения температуры, отсчитываемое от момента подачи теплового импульса;  – шаг сетки по времени.
На фиг.4 показана схема устройства, реализующая предлагаемый способ идентификации комплекса ТФС твердых материалов.
Устройство содержит эталонный материал 1 с известными ТФС и исследуемый материал 2, в плоскости контакта которых расположен по линии (а-б) линейный импульсный источник тепла, датчик температуры 3 на заданном расстоянии x от линии нагрева, блок запуска 4, таймеры 5 и 6, усилитель 7. Сигнал от датчика температуры 3 поступает на вход усилителя 7, блок запуска подает напряжение длительностью * на линейный импульсный источник тепла и управляющие сигналы на таймеры 5 и 6, которые вырабатывают сигнал начала измерения в момент времени 1 и окончания измерения в момент времени 2.
В результате с выхода усилителя 7 регистрируется зависимость температуры от времени T( ).
Результаты измерений ТФС четырех материалов представлены в таблице (для определения коэффициента вариации проводилось по 10 независимых измерений на каждом образце).
Сущность изобретения заключается в следующем.
Приводят в тепловой контакт плоские поверхности образцов исследуемого 2 и эталонного 1 материалов, полуограниченных в тепловом отношении (фиг.4). В плоскости контакта по линии (а-б) располагают линейный источник нагрева и датчик температуры 3 на заданном расстоянии x от линии нагрева (а-б). Осуществляют мгновенное тепловое импульсное воздействие от линейного источника, при этом измеряют датчиком 3 избыточную температуру в заданном интервале времени [ 1, 2] (фиг.3). Для идентификации теплофизических свойств исследуемого материала 2 используют математическую модель прямой задачи теплопроводности на основе метода конечных разностей (фиг.1), полученную решением нелинейной задачи теплопроводности с разрывными коэффициентами с учетом влияния на теплоперенос контактного термического сопротивления и конечной длительности теплового импульса:

граничные условия: 
T(r, ± , ) 0, T(r, z, 0)=0,

где r – координата в плоскости контакта двух материалов, z – координата в плоскости перпендикулярной контактной плоскости, R – контактное термическое сопротивление.
Нелинейную задачу теплопроводности (7) при граничных условиях (8) решают методом конечных разностей. Сеточная функция Тk m,n соответствует температуре: Т(rm, zn, k), rm=(m-1)h, zn=(n-1)h, k=k· .
Для учета зависимости тепло- и температуропроводности от температуры (T), a(T) используют:

Разностная схема для двумерного уравнения теплопроводности имеет вид:

Для учета влияния контактного термического сопротивления (проводимости) на изменение температуры в плоскости контакта двух материалов используют конечно-разностное уравнение:

Выражения (9), (10) и (11) приводят к виду (1), (2), (3), (4), (5) и рассчитывают изменение значения избыточной температуры во времени в заданном интервале наблюдения избыточной температуры [ 1, 2]. При минимальном значении функционала невязки значения избыточных температур, рассчитанные математической моделью и полученные при реальном испытании, совпадают с минимально возможным значением невязки, следовательно, значениям теплофизических свойств исследуемого материала ставятся в соответствие значения 1 и а1 математической модели. Для идентификации теплофизических свойств исследуемого материала применяют метод градиента Конжунгейта или квази-ньютонового.
Способ осуществляют следующим образом. На эталонный материал 1 с известными ТФС и исследуемый материал 2 воздействуют в плоскости контакта тепловым импульсом от линейного источника тепла по линии (а-б), измеряют избыточную температуру при помощи датчика температуры 3 (термопары, сваренной встык), находящегося на фиксированном расстоянии x от линии нагрева. При достижении момента времени 1 срабатывает таймер 5, после чего производится регистрация изменения значений температуры до момента времени 2, когда срабатывает таймер 6 (фиг.3). Используя двумерную сеточную модель (1), (2), (3), (4), (5) и функционал невязки (6) данных математической модели и реального испытания, методом итераций идентифицируют искомый комплекс теплофизических свойств исследуемого материала a1, 1.
Пример реализации способа.
При помощи описанного выше устройства предложенный способ был апробирован для идентификации комплекса теплофизических свойств ряда твердых материалов с известной теплопроводностью и температуропроводностью, заранее определенных существующими стандартизованными методами (фиг.2). В качестве эталонного материала использовали КССБ (a2=2,92·10-7 м2/с, 2=0,05 Вт/м·К). Результаты измерений ТФС четырех материалов представлены в таблице (для определения коэффициента вариации проводилось по 10 независимых измерений на каждом образце).
Применение предлагаемого способа позволяет повысить точность идентификации комплекса ТФС материалов по сравнению с прототипом за счет использования математической модели, учитывающую конечную длительность теплового импульса, наличие контактного термического сопротивления, которая также исключает дополнительную методическую погрешность, связанную с использованием в прототипе математической модели, полученной при упрощенном граничном условии – теплоизоляции поверхности исследуемого материала в плоскости контакта ( 1=а1=0), т. е. все выделяемое нагревателем тепло должно идти только в исследуемый образец. В связи с этим при идентификации по способу-прототипу комплекса ТФС материалов с низкой теплопроводностью погрешность возрастает. В предложенном способе математическая модель учитывает перераспределение тепла в исследуемом и эталонном материалах в зависимости от их ТФС и тем самым снижает эту погрешность.
В связи с тем что предлагаемый способ позволяет идентифицировать комплекс ТФС в одном эксперименте вместо двух по сравнению с прототипом, где испытывается отдельно исследуемый и эталонный материал, и при этом используется одноимпульсное тепловое воздействие вместо многоимпульсного, время измерений по сравнению с прототипом уменьшается.
Таблица Способ идентификации комплекса теплофизических свойств твердых материалов |
| Материал |
a1(25°C)·10-7, м2/с |
1(25°С), Вт/м·К |
Известное значение |
Среднее измеренное значение |
Коэффициент вариации |
Известное значение |
Среднее измеренное значение |
Коэффициент вариации |
| ВК-9 |
3,6 |
3,585 |
0,115 |
0,57 |
0,513 |
0,073 |
| СКТНФ |
5,8 |
5,783 |
0,075 |
0,168 |
0,194 |
0,08 |
| КССБ |
2,92 |
2,686 |
0,153 |
0,05 |
0,0493 |
0,08 |
| рипор-2М |
4,5 |
4,87 |
0,163 |
0,031 |
0,0311 |
0,029 |
Формула изобретения
Способ идентификации комплекса теплофизических свойств твердых материалов, включающий тепловое импульсное воздействие от линейного источника нагрева на плоскую поверхность исследуемого и эталонного образцов, измерение избыточной температуры на плоской поверхности образцов на фиксированном расстоянии от линии нагрева с момента подачи теплового импульса, отличающийся тем, что тепловое импульсное воздействие и измерение избыточной температуры осуществляют в плоскости контакта исследуемого и эталонного образцов, а измерение избыточной температуры производят в одной точке в заданном интервале времени, используя математическую модель прямой задачи теплопроводности на основе метода конечных разностей:
применяют промежуточную сеточную функцию источника нагрева
при   *
при > *
сеточную функцию на к+1 временном слое

при ;

при 
сеточную функцию в плоскости контакта

при 
решают обратную коэффициентную задачу теплопроводности вариационным методом на интервале наблюдения избыточной температуры [ 1, 2], при выборе параметра регуляризации по невязке

искомые теплофизические свойства a1, 1 находят из минимума функции J(a1, 1),
где Tk m,n – сеточная функция;

Т – температура;
m – номер отсчета по координате в плоскости контакта;
М – координата источника тепла в плоскости контакта;
n – номер отсчета по координате перпендикулярной плоскости контакта;
N – координата источника тепла в плоскости перпендикулярной плоскости контакта;
k – номер отсчета по времени;
h – шаг сетки по расстоянию;
 – шаг сетки по времени;
q – количества тепла;
– коэффициент математической модели;
a1 – температуропроводность исследуемого материала;
1 – теплопроводность исследуемого материала;
a2 – температуропроводность эталона;
2 – теплопроводность эталона;
Ка – линейный коэффициент зависимости температуропроводности от температуры;
К – линейный коэффициент зависимости теплопроводности от температуры;
– текущее время, отсчитываемое от момента подачи импульса;
* – длительность теплового импульса;
– контактная термическая проводимость;
J – функционал невязки;
;
T(i· ) – значение избыточной температуры реального испытания в момент времени i· ;
T(i· ) – значение избыточной температуры, рассчитанное математической моделью для момента времени i· ;
i – номер отсчета.
РИСУНКИ
|