Патент на изобретение №2158353
|
||||||||||||||||||||||||||
(54) СПОСОБ СТАБИЛИЗАЦИИ ТЕПЛОВОГО СОСТОЯНИЯ УСТЬЕВОЙ ЗОНЫ СКВАЖИНЫ В МНОГОЛЕТНЕМЕРЗЛЫХ ПОРОДАХ
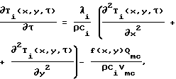
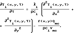
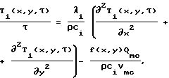
(57) Реферат: Изобретение относится к нефтегазодобывающей промышленности и может быть использовано при освоении и эксплуатации месторождений, расположенных в зоне распространения многолетнемерзлых пород. Устанавливают в скважине охлаждающую систему, состоящую из естественно действующих термостабилизаторов малого диаметра, размещенных внутри теплопередающих трубок-контейнеров, осуществляют отвод тепла, поступающего со стороны скважины в атмосферу. Трубки-контейнеры располагают в два кольцевых контура вокруг скважины: внутренний и внешний. Внутренний контур размещают непосредственно за трубой направления внутри цементного кольца. Внешний контур располагают внутри массива пород на удалении от скважины, равном половине максимального расчетного радиуса ореола оттаивания пород вокруг этой же скважины, не оборудованной охлаждающей системой, которое определяют на основе решения одномерного уравнения Лапласа, записанного в цилиндрических координатах методами численного моделирования, например методом конечных разностей. Количество трубок-контейнеров в контурах определяют путем расчета температурного поля на основе решения численными методами в декартовых координатах двухмерного нестационарного уравнения теплопроводности в неоднородной среде с подвижной границей раздела фаз, описывающего тепловое взаимодействие скважины, охлаждающей системы и окружающих пород. Приводятся математические зависимости. Достигается эффективная стабилизация теплового состояния устьевой зоны скважины в многолетнемерзлых породах и обеспечивается заданная надежность ее эксплуатации. 4 ил., 1 табл. Изобретение относится к нефтегазодобывающей промышленности и может быть использовано при освоении и эксплуатации месторождений, расположенных в зоне распространения многолетнемерзлых пород. Известен способ промораживания устьевой зоны скважины с помощью рефрижераторного шахтового направления, в которое принудительно подается предварительно подготовленный на дневной поверхности хладагент [Быков И.Ю. Техника экологической защиты Крайнего Севера при строительстве скважин. – Л.: Изд-во ЛГУ. 1991, -с. 110-113]. Недостатками данного способа являются техническая сложность и значительная стоимость конструкции, необходимость использования холодильного агрегата, энергоемкость, затраты на содержание квалифицированного персонала для обслуживания системы. Известен также способ теплоизоляции устьевой зоны добывающей скважины, включающий установку непосредственно за направлением скважины в теплопередающих трубках-контейнерах естественно действующих термостабилизаторов малого диаметра [см. патент РФ на изобретение N 2127356, C1,10.03.1999 на “Способ теплоизоляции устьевой зоны добывающей скважины в многолетнемерзлых породах и устройство для его осуществления”]. Данный способ в ряде случаев при определенном соотношении геотехнических параметров системы “скважина – многолетнемерзлые породы” не обеспечивает эффективной теплоизоляции устьевой зоны скважины и не предотвращает оттаивания пород. Эксплуатация высокотемпературных скважин в криолитозоне неизбежно связана с растеплением массивов многолетнемерзлых пород, следствием чего является снижение прочностных параметров и несущей способности последних. Это приводит к потере устойчивости скважины, развитию различного рода деформаций и снижению ее эксплуатационной надежности. Целью изобретения является эффективная стабилизация теплового состояния устьевой зоны скважины в многолетнемерзлых породах и обеспечение заданной надежности ее эксплуатации. Для достижения цели необходимо решить задачу оптимального, с точки зрения теплового взаимодействия, расположения элементов охлаждающей системы в устьевой зоне скважины. Это позволит во-первых, повысить эффективность ее работы по сравнению с другими способами, обеспечив более высокий уровень надежности, а во-вторых, сократить число используемых термостабилизаторов, необходимых для обеспечения заданного проектного уровня надежности. Поставленная цель достигается тем, что в предлагаемом способе стабилизации теплового состояния устьевой зоны скважины в многолетнемерзлых породах, включающем установку в ней охлаждающей системы, состоящей из естественно действующих термостабилизаторов малого диаметра, размещенных внутри теплопередающих трубок- контейнеров, осуществляющей отвод тепла, поступающего со стороны скважины в атмосферу, трубки-контейнеры располагают в два кольцевых контура вокруг скважины: внутренний и внешний, внутренний контур размещают непосредственно за трубой направления внутри цементного кольца, внешний контур располагают внутри массива пород на удалении от скважины, равном половине максимального расчетного радиуса ореола оттаивания пород вокруг этой же скважины, не оборудованной охлаждающей системой, которое определяют на основе решения одномерного уравнения Лапласа, записанного в цилиндрических координатах методами численного моделирования, например методом конечных разностей: ![]() где: Ti – температура, i = 1, 2, 3 – индекс, определяющий среду, включенную в расчетную область, и относящийся к материалам цемента, талым и мерзлым породам соответственно; r – радиальная координата, а количество трубок-контейнеров в контурах определяют путем расчета температурного поля на основе решения численными методами в декартовых координатах двухмерного нестационарного уравнения теплопроводности в неоднородной среде с подвижной границей раздела фаз, описывающего тепловое взаимодействие скважины, охлаждающей системы и окружающих пород: ![]() где: Ti – температура, i = 1, 2, 3 – индекс, определяющий среду, включенную в расчетную область, и относящийся к материалам цемента, талым и мерзлым породам соответственно: x, y – пространственные координаты; – время, – теплопроводность;Ci – теплоемкость; – плотность;f(x,y) – функция, равная 1 в области расположения термостабилизатора и 0 вне этой области; Qmc – тепловой поток, передаваемый термосифоном; Vmc – объем охлаждающей части термосифона. Сущность способа поясняется графическими материалами. На фиг. 1 и фиг.2 представлена схема геотехнической системы “добывающая скважина – термостабилизаторы – многолетнемерзлые породы”, на фиг. 3 показан фрагмент расчетной области геотехнической системы, на фиг.4 представлены в виде графика результаты моделирования теплового взаимодействия элементов геотехнической системы, где: А – внутренний контур термостабилизаторов, В – внешний контур термостабилизаторов, 1 – добывающая скважина, 2 – трубки-контейнеры, 3 – термостабилизаторы внутреннего контура, 4 – термостабилизаторы внешнего контура, 5 – дневная поверхность, 6 – труба направления скважины, 7 – сечение геотехнической системы, используемое при моделировании. Способ реализуется следующим образом. В устьевой зоне скважины 1 (Фиг. 2) размещают в виде двух кольцевых контуров, внутреннего А и внешнего В (Фиг. 1), вертикальные трубки-контейнеры 2 (Фиг. 2), в которые постоянно или временно устанавливают естественно действующие термостабилизаторы малого диаметра 3, 4. Внутренний кольцевой контур А (Фиг. 1) термостабилизаторов 3 располагают непосредственно за трубой направления 6 скважины 1. Внешний кольцевой контур В (Фиг. 1) термостабилизаторов 4 размещают на расстоянии R от скважины 1. Расстояние R составляет половину максимального расчетного радиуса ореола оттаивания пород вокруг этой же скважины, не оборудованной охлаждающей системой. Максимальный расчетный радиус ореола оттаивания пород определяют на основе решения одномерного уравнения Лапласа, записанного в цилиндрических координатах методами численного моделирования, например, методом конечных разностей: ![]() где: Ti – температура, i = 1, 2, 3 – индекс, определяющий среду и относящийся к материалам цемента, талым и мерзлым породам соответственно; r – радиальная координата. Для определения необходимого количества термостабилизаторов 3, 4 в каждом из охлаждающих контуров А, В решают численными методами в декартовых координатах двухмерное нестационарное уравнение теплопроводности в неоднородной среде с подвижной границей раздела фаз, описывающее тепловое взаимодействие скважины, охлаждающей системы и окружающих пород: ![]() где: Ti – температура, i = 1, 2, 3 – индекс, определяющий среду и относящийся к материалам цемента, талым и мерзлым породам соответственно, x, y – пространственные координаты, – время, i – теплопроводность,Ci теплоемкость, – плотность,f(x,y) – функция, равная 1 в области расположения термостабилизатора и 0 вне этой области, Qmc– тепловой поток, передаваемый термосифоном, Vmc – объем охлаждающей части термосифона. Необходимое количество термостабилизаторов 3, 4 определяют исходя из положения об обеспечении заданного уровня надежности системы в течение всего периода эксплуатации скважины. Критерием надежности является проектное значение стационарной температуры Tгран (Фиг. 3) на границе “цемент – порода”, которое задается или равной температуре Tно начала оттаивания пород, или любой сколь угодно низкой, но не превышающей значения Tно. Пример конкретной реализации способа. Реализация проведена для условий Харасавейского газоконденсатного месторождения в несколько этапов. Этап 1. Определялся максимальный расчетный радиус ореола оттаивания пород на основе решения одномерного уравнения Лапласа, записанного в цилиндрических координатах, методом конечных разностей. Создана прямоугольная расчетная область, размер которой 1 х 50 м, разбитая по горизонтали на расчетные блоки. Координата левой границы области – 0,21 м задана в соответствии с диаметром скважины (трубы направления). В интервале от 0,21 до 3 м шаг сетки составлял 0,1 м, в интервале от 3 до 7 м – 0,2 м, в интервале от 7 до 15 м – 0,5 м, далее до конца расчетной области шаг равнялся 1 м. На левой границе области, соответствующей положению скважины, были заданы граничные условия 3 рода, т.е. температура, соответствующая температуре добываемого флюида на Харасавейском месторождении и равная 45oC, и коэффициент теплоотдачи с трубы направления, равный 0,23 Вт/(м2 oC) и соответствующий скважине, оборудованной пассивной теплоизолированной насосно-компрессорной трубой типа “Термокейз”. На остальных границах области были заданы граничные условия 2 рода с теплопотоком, равным 0.
Внутренняя область, представленная цементом и породой, определена посредством задания теплофизических свойств в соответствии с материалами проведенного инженерно-геологического опробывания на скважине 79-п-1. В интервале от 0,21 до 0,8 м задан цемент с величиной коэффициента теплопроводности – = 1,16 Вт/(м oC) и теплоемкостью С = 879 Вт/(м3 oC). Начиная с 0,8 м и далее задан суглинок с коэффициентами теплопроводности в талом и мерзлом состоянии соответственно т = 1,16 Вт/(м oC), м = 1,43 Вт/(м oC), теплопроводностью в талом и мерзлом состоянии соответственно Cт = 766 Вт/(м3 oC), Cм = 614 Вт/(м3 oC), теплотой фазовых переходов Q = 45212 Вт/м3 и температурой начала замерзания -1,7oC. Начальная температура задана по результатам натурных термометрических измерений и составляет -4oC. Расчет выполнялся на период, равный 25 годам.
В результате моделирования сформировалось стационарное температурное поле в устьевой зоне скважины, что позволило определить величину максимального радиуса ореола оттаивания пород, которая составила 2,54 м. Для проверки стационарности поля был проведен расчет еще на один год. За этот период положение фазовой границы не изменилось и радиус ореола остался прежним. Это подтверждает утверждение о том, что рассчитанная его величина является максимальной.
Исходя из максимальной величины ореола оттаивания, равной 2,5 м, было определено местоположение внешнего охлаждающего контура В термостабилизаторов 4. Его радиус R составил 1,25 м.
Этап 2. Проведено математическое моделирование теплового взаимодействия элементов геотехнической системы “добывающая скважина – термостабилизаторы – многолетнемерзлые породы” с целью определения необходимого количества термостабилизаторов для стабилизации теплового режима устьевой зоны скважины и подтверждения оптимальности выбранного расположения второго охлаждающего контура. Оно основано на решении методом конечных разностей по явной схеме с регуляризацией в декартовых координатах двухмерного нестационарного уравнения теплопроводности с распределенными внутри расчетной области источниками холода в неоднородной среде. Рассматривались несколько вариантов, в которых различались месторасположение и количество термостабилизаторов в охлаждающей системе. Все варианты были рассмотрены на единой созданной модели.
Расчетная область модели представляет собой фрагмент радиального сечения 7 геотехнической системы (Фиг. 1) размером 50 х 50 м, разбитый на расчетные блоки. Величины расчетных блоков по горизонтали и вертикали одинаковы и составляют в интервале от 0,21 до 0,5 м – 0,01 м, от 0,5 до 1 м – 0,05 м, от 1 до 3 м – 0,1 м, от 3 до 5 м – 0,2 м, от 5 до 7 м – 0,5 м, от 7 до 15 м – 1 м, от 15 и далее – 2 м.
В левом верхнем углу расчетной области на расстоянии 0,213 м от него была задана в виде ломаной, по форме максимально приближенной к дуге окружности и состоящей из граничных блоков 0,01 х 0,01 м, образующая обсадной трубы направления скважины. Таким же образом задана граница цементного кольца радиусом 0,35 м за направлением скважины, но с помощью внутренних блоков. Пространство между этими двумя границами фактически заполнено цементом и в расчетной области определено посредством задания параметров его теплопроводности и теплоемкости. Во всех остальных внутренних блоках расчетной области заданы теплофизические характеристики суглинка, описанного на этапе 1. Термостабилизаторы 3 контура А заданы в виде прямоугольников 0,04 х 0,02 м на расстоянии 0,24 м от оси скважины, термостабилизаторы 4 контура В заданы в виде фигуры, состоящей из сантиметровых блоков, максимально приближенной к окружности радиусом 0,18 м (Фиг. 3). В блоках по образующей термостабилизаторов заданы граничные условия 3 рода (температура и коэффициент теплоотдачи).
В граничных блоках, описывающих скважину, задавались те же граничные условия 3 рода (температура и коэффициент теплоотдачи), что и на этапе 1. На всех остальных внешних границах расчетной области задан нулевой теплопоток.
В качестве температуры, воздействующей на геотехническую систему со стороны термостабилизатора, принята средняя месячная температура воздуха по данным многолетних наблюдений на ближайшей к Харасавейскому месторождению метеостанции. Коэффициент теплоотдачи задан равным 35 Вт/(м2 oC), что соответствует заводским параметрам термостабилизатора. При этом коэффициент теплоотдачи изменялся по месяцам от указанной величины до нуля в зависимости от наличия положительной разницы между температурой в ближайшем к ним расчетном блоке и среднемесячной температурой окружающего воздуха.
Начальная температура в блоках расчетной области принята равной -4oC. Шаг расчета по времени (время обновления температурного поля) составлял 1 час.
Начальным расчетным моментом являлось 1 июня 1998 года, когда геотехническая система запущена в работу (одновременно и добывающая скважина, и термостабилизаторы). Период расчетов составлял 4 года, при этом ежегодно фиксировались температуры на границе “цемент – порода”.
Рассмотрены несколько вариантов.
Вариант 1. 8 термостабилизаторов расположены одним контуром непосредственно за направлением скважины.
Вариант 2. 8 термостабилизаторов расположены в виде 2 контуров по 4 шт. в контуре, внутренний контур – за направление скважины, внешний – на расстоянии 0,42 м от оси скважины.
Вариант 3. 8 термостабилизаторов расположены в виде 2 контуров по 4 шт. в контуре, внутренний контур – за направлением скважины, внешний – на расстоянии 1,25 м от оси скважины.
Вариант 4. 8 термостабилизаторов расположены в виде 2 контуров по 4 шт. в контуре, внутренний контур – за направлением скважины, внешний – на расстоянии 1,90 м от оси скважины.
Вариант 5. 6 термостабилизаторов расположены в виде 2 контуров, 2 термостабилизатора во внутреннем контуре за направлением скважины, 4 термостабилизатора во внешнем на расстоянии 1,25 м от оси скважины.
Результаты расчетов представлены в таблице 1 и на фиг.4.
Сравнительный анализ результатов свидетельствует о следующем.
При одинаковом количестве термостабилизаторов и прочих равных параметрах геотехнической системы более низкая температура на границе “цемент – порода” обеспечивается, когда они расположены в два охлаждающих контура (вариант 1 и варианты 2-4).
При равном количестве термостабилизаторов в двух контурах, но различном удалении второго контура от скважины наиболее низкая температура на рассматриваемой границе обеспечивается при расстоянии до второго контура, равном 1,25 м (варианты 2, 3, 4). Сокращение или увеличение этого расстояния приводит к повышению температуры.
При расположении 8 термостабилизаторов одним контуром за направлением скважины (вариант 1) и 6 термостабилизаторов в двух контурах (вариант 5) температуры в течение расчетного периода на рассматриваемой границе практически равны. Оборудование второго охлаждающего контура при общем сокращении числа стабилизаторов не привело к ухудшению параметров геотехнической системы.
На основании проведенного анализа результатов расчетов можно констатировать, что введение второго охлаждающего контура позволяет: либо, при прочих равных условиях, понизить температуру устьевой зоны скважины, создать в ней более “жесткие” мерзлотные условия и тем самым стабилизировать температурный режим пород, повысив надежность эксплуатации геотехнической системы; либо сократить число используемых термостабилизаторов по сравнению с одним контуром, снизив тем самым затраты на оборудование охлаждающей системы. При этом определено, что оптимальное расположение второго охлаждающего контура соответствует половине возможной максимальной величины ореола оттаивания пород вокруг той же добывающей скважины, не оборудованной охлаждающей системой.
Таким образом, использование двух охлаждающих контуров в предлагаемом способе дает возможность более эффективно производить охлаждение пород и тем самым стабилизировать тепловой режим устьевой зоны скважины в процессе эксплуатации.
Создание более “жестких” мерзлотных условий по сравнению с другими способами позволяет, например, перевести породы из пластично-мерзлого состояния с невысокими прочностными характеристиками в твердомерзлое, при котором они уже имеют высокие прочностные показатели. Сокращение же количества термостабилизаторов за счет их оптимального расположения позволяет в масштабах только одной кустовой площадки скважин получить существенный экономический эффект.
Формула изобретения
![]() где Ti – температура; i = 1,2,3 – индекс, определяющий среду, включенную в расчетную область, и относящийся к материалам цемента, талым и мерзлым породам соответственно; r – радиальная координата, а количество трубок-контейнеров в контурах определяют путем расчета температурного поля на основе решения численными методами в декартовых координатах двухмерного нестационарного уравнения теплопроводности в неоднородной среде с подвижной границей раздела фаз, описывающего тепловое взаимодействие скважины, охлаждающей системы и окружающих грунтов: ![]() где Ti – температура; i = 1,2,3 – индекс, определяющий среду, включенную в расчетную область, и относящийся к материалам цемента, талым и мерзлым породам соответственно; х, у – пространственные координаты; – время; – теплопроводность;Ci – теплоемкость; – плотность;f(x,y) – функция, равная 1 в области расположения термостабилизатора и 0 вне этой области; Qmc – тепловой поток, передаваемый термосифоном; Vmc – объем охлаждающей части термосифона. РИСУНКИ
MM4A Досрочное прекращение действия патента Российской Федерации на изобретение из-за неуплаты в установленный срок пошлины за поддержание патента в силе
Дата прекращения действия патента: 11.03.2001
Номер и год публикации бюллетеня: 35-2002
Извещение опубликовано: 20.12.2002
NF4A Восстановление действия патента Российской Федерации на изобретение
Номер и год публикации бюллетеня: 5-2004
Извещение опубликовано: 20.02.2004
PD4A – Изменение наименования обладателя патента СССР или патента Российской Федерации на изобретение
(73) Новое наименование патентообладателя:
Адрес для переписки:
Извещение опубликовано: 10.10.2008 БИ: 28/2008
PC4A – Регистрация договора об уступке патента Российской Федерации на изобретение
Прежний патентообладатель:
(73) Патентообладатель:
Дата и номер государственной регистрации перехода исключительного права: 11.09.2008 № РД0040775
Извещение опубликовано: 20.10.2008 БИ: 29/2008
|
||||||||||||||||||||||||||



– время,
– теплопроводность;
– плотность;

oC) и соответствующий скважине, оборудованной пассивной теплоизолированной насосно-компрессорной трубой типа “Термокейз”. На остальных границах области были заданы граничные условия 2 рода с теплопотоком, равным 0.
Внутренняя область, представленная цементом и породой, определена посредством задания теплофизических свойств в соответствии с материалами проведенного инженерно-геологического опробывания на скважине 79-п-1. В интервале от 0,21 до 0,8 м задан цемент с величиной коэффициента теплопроводности – 
