Патент на изобретение №2158278
|
||||||||||||||||||||||||||
(54) СПОСОБ ПОЛУЧЕНИЯ СЛОЖНЫХ ПОЛИЭФИРОВ ПОВЫШЕННОЙ МОЛЕКУЛЯРНОЙ МАССЫ
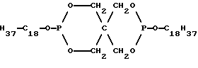
(57) Реферат: Описывается способ получения сложных полиэфиров повышенной молекулярной массы, заключающийся в том, что осуществляют нагревание сложного полиэфира при температуре от 100 до 5°С ниже температуры плавления и выше температуры стеклования в твердой фазе указанного полиэфира в присутствии по меньшей мере одного пространственно затрудненного гидроксифенилалкилового сложного эфира или моноэфира фосфоновой кислоты. Технический результат – разработка способа последующей твердофазной конденсации, который позволяет повысить молекулярную массу поликонденсатов, таких как сложных полиэфиров, полиамидов и поликарбонатов, а также соответствующих сополимеров. 10 з.п. ф-лы, 3 табл. Изобретение относится к способу получения сложных полиэфиров повышенной молекулярной массы. Полимеры, полученные реакцией поликонденсации, например, полиамиды, сложные полиэфиры и поликарбонаты используют для получения важных технических пластмасс с широким диапазоном их возможного применения, например в виде пленок, бутылок, волокон, а также формованных изделий. Общеизвестно, что такие полимерные материалы получают реакцией поликонденсации. Однако, при синтезе этих полимеров нередко по технологическим и кинетическим причинам нельзя обеспечить выход высокомолекулярных продуктов. Таким образом, полимеры, имеющие высокие молекулярные массы, можно получить методом поликонденсации в твердой фазе. Деструкция таких поликонденсатов в процессе их переработки и использования, обусловленная разрывом полимерной цепи, приводит в преобладающем числе случаев к образованию полимерных фрагментов, содержащих функциональные концевые группы. Поскольку физико-механические свойства в значительной степени зависят от молекулярной массы полимера, качественная повторная переработка использованных материалов на основе полиамидов, сложных полиэфиров и поликарбонатов или отходов их производства, например, волокон и изделий, получаемых инжекционным формованием, возможна только в ограниченной степени без последующей обработки получаемых материалов из-за снижения их молекулярной массы. В принципе можно улучшить свойства использованных материалов на основе поликонденсатов, претерпевших предварительную термическую или гидролитическую деструкцию. Например, их можно подвергнуть последующей конденсации в твердом состоянии [см. S. Fakirov, Kunststoffe, вып. 74,218 (1984) и R.E. Griitzner и другие, Kunststoffe, вып. 82, 284 (1992)]. Однако, этот известный способ трудоемок и, кроме того, чувствителен к примесям, которые могут присутствовать в исходном материале. В Европейском патенте N 0410230 также предлагается способ твердофазной конденсации полиамидов при использовании фосфорной, фосфористой или фосфонистой кислот в качестве катализатора. F. Mitterhofer сообщает об использовании дифосфита в качестве технологического стабилизатора возвращенных в повторный цикл полимеров (С.А. вып.91, реф. 124534). В EP-A-0090915 раскрывается способ твердофазной конденсации полиалкилентерефталата в присутствии сложных эфиров фосфористой кислоты, например, трифенилфосфита, при температуре от 25 до 65oC ниже точки плавления полиалкилентерефталата при пропускании потока инертного газа через реакционную смесь. Цель настоящего изобретения, таким образом, была направлена на разработку способа последующей твердофазной конденсации, который позволяет повысить молекулярную массу поликонденсатов, таких как сложных полиэфиров, за относительно короткий промежуток времени и/или улучшить технологические свойства такого поликонденсата. Изобретение таким образом относится к способу получения сложных полиэфиров повышенной молекулярной массы, который заключается в том, что осуществляют нагревание сложного полиэфира при температуре от 100 до 5oC ниже температуры плавления и выше температуры стеклования в твердой фазе указанного полиэфира в присутствии по меньшей мере одного пространственно затрудненного гидроксифенилалкилового сложного эфира или моноэфира фосфоновой кислоты. Повышение молекулярной массы приводит к улучшению свойств сложных полиэфиров, что становится очевидным специалистам, например, в производстве изделий методом инжекционного формования, экструзией и, в частности, в производстве рецикловых изделий. Новый способ позволяет обеспечить увеличение молекулярной массы, в частности, возвращенных на повторную переработку поликонденсатов, поступающих из пунктов сбора промышленного вторичного сырья, например автомобильной и электротехнической промышленности. Это позволяет получить высококачественные рецикловые изделия для повторного их использования, такие как волокна с высокими эксплуатационными характеристиками, изделия, полученные методами инжекционного формования, экструзией или пенопласты. Такие рецикловые изделия могут быть изготовлены, например, из различных материалов, поступающих из сборников промышленного и бытового утильсырья, промотходов, например, производства волокон и обрезки, или подлежащих возврату на переработку материалов, например из сборников бутылок для напитков на основе ПЭТФ. Данное изобретение также относится к способу получения сложных полиэфиров повышенной молекулярной массы, который заключается в том, что осуществляют нагревание сложного полиэфира при температуре от 100 до 5oC ниже температуры плавления и выше температуры стеклования в твердой фазе указанного полиэфира в присутствии по меньшей мере одного пространственно затрудненного гидроксифенилалкилового сложного эфира или моноэфира фосфоновой кислоты и в присутствии по меньшей мере одного полифункционального соединения, выбранного из класса, состоящего из эпоксидов, оксазолинов, оксазолонов, оксазинов, изоцианатов, ангидридов, ациллактамов, малеимидов, спиртов, карбодиимидов и сложных эфиров. Данное изобретение также относится к способу получения разветвленных, сшитых и частично сшитых поликонденсатов, в частности, путем добавления вышеупомянутых полифункциональных соединений, что приводит к получению нерастворимого поликонденсата, который можно использовать, например, для производства пенопластов. Предпочтительным является использование в качестве пространственно затрудненного гидроксифенилалкилового сложного эфира или моноэфира фосфоновой кислоты соединения формулы I ![]() где R1 означает изопропил, трет-бутил, циклогексил или циклогексил, замещенный 1-3 C1-C4 алкильными группами, R2 означает водород, C1-C4 алкил, циклогексил или циклогексил, замещенный 1-3 C1-C4 алкильными группами, R3 означает C1-C4 алкил, или незамещенный или C1-C4-алкилзамещенный фенил или нафтил, R4 означает водород, C1-C20 алкил, незамещенный или C1-C4-алкилзамещенный фенил или нафтил: или означает ![]() Mr+ означает катион r-валентного металла; n означает 1, 2, 3, 4, 5 или 6, и r имеет значение 1, 2 или 3. Наиболее предпочтительным является использование в качестве пространственно затрудненного гидроксифенилалкилового сложного эфира или моноэфира фосфоновой кислоты соединения формулы II или III ![]() ![]() Целесообразно в качестве сложного полиэфира использовать возвращенный на повторную переработку сложный полиэфир. Предпочтительным вариантом заявляемого способа является использование ПЭТФ в качестве сложного полиэфира. В качестве полифункционального соединения из класса эпоксисоединений предпочтительно используют соединение, содержащее эпоксидные радикалы формулы IV ![]() где в случае, когда R5 и R7 означают водород, R6 означает водород или метил, а p = 0; или, когда R5 и R7 вместе означают группу -CH2-CH2– или -CH2-CH2-CH2-, то R6 означает водород, а p=0 или 1, причем указанные радикалы связаны непосредственно с атомами углерода, кислорода, азота или серы. В качестве полифункционального соединения из класса спиртов предпочтительно используют пентаэритрит или дипентаэритрит, а в качестве полифункционального соединения из класса сложных эфиров предпочтительно используют пентаэритритилтетракис[3-(3,5-ди- трет-бутил-4-гидроксифенил)пропионат]. Целесообразно использовать от 0,01 до 5 частей пространственно затрудненного гидроксифенилалкилового сложного эфира или моноэфира фосфоновой кислоты на 100 частей сложного полиэфира. Желательно использовать от 0,01 до 5 частей полифункционального соединения на 100 частей сложного полиэфира. В качестве сложных полиэфиров, как свежеполученных, так и рецикловых, могут служить гомополиэфиры или сложные сополиэфиры, образованные из алифатических, циклоалифатических или ароматических дикарбоновых кислот и диолов или оксикарбоновых кислот. Алифатические дикарбоновые кислоты могут содержать от 2 до 40 атомов углерода, циклоалифатические дикарбоновые кислоты могут содержать от 6 до 10 атомов углерода, ароматические дикарбоновые кислоты могут содержать от 8 до 14 атомов углерода, алифатические оксикарбоновые кислоты могут содержать от 2 до 12 атомов углерода, и ароматические и циклоалифатические оксикарбоновые кислоты могут содержать от 7 до 14 атомов углерода. Алифатические диолы могут содержать от 2 до 12 атомов углерода, циклоалифатические диолы могут содержать от 5 до 8 атомов углерода, и ароматические диолы могут содержать от 6 до 16 атомов углерода. Под используемым в данном описании термином “ароматические диолы” следует понимать диолы, в которых две гидроксильные группы связаны с одним и тем же или разными ароматическими углеводородными радикалами. Настоящее изобретение обеспечивает возможность получения разветвленных сложных полиэфиров путем добавления к исходному материалу небольшого количества, например от 0,1 до 3 моль%, в расчете на дикарбоновые кислоты, мономеров, имеющих функциональность больше, чем два (например, как пентаэритрит, тримеллитовая кислота, 1,3,5-три-(гидроксифенил)бензол, 2,4-дигидроксибензойная кислота или 2-(4- гидроксифенил)-2-(2,4-дигидроксифенил)пропан). В сложных полиэфирах, содержащих по меньшей мере два мономера, последние могут иметь случайное распределение или расположены в виде блоков. В качестве пригодных для использования дикарбоновых кислот могут служить насыщенные, алифатические дикарбоновые кислоты с прямой или разветвленной цепью углеродных атомов, ароматические дикарбоновые кислоты и циклоалифатические дикарбоновые кислоты. В качестве алифатических дикарбоновых кислот можно использовать кислоты, имеющие от 2 до 40 атомов углерода, например как щавелевая кислота, малоновая кислота, диметилмалоновая кислота, янтарная кислота, пимелиновая кислота, адипиновая кислота, триметиладипиновая кислота, себациновая кислота, азелаиновые и димерные кислоты (продукты димеризации ненасыщенных, алифатических карбоновых кислот, например олеиновой кислоты), а также алкилированные малоновые и янтарные кислоты, например октадецилянтарная кислота. В качестве примера пригодных для использования циклоалифатических дикарбоновых кислот могут служить 1,3-циклобутандикарбоновая кислота, 1,3-циклопентандикарбоновая кислота, 1,3- и 1,4-циклогександикарбоновая кислота, 1,3- и 1,4- (дикарбоксиметил)циклогексан и 4,4′-дициклогексилдикарбоновая кислота. В качестве примера пригодных для использования ароматических дикарбоновых кислот могут служить, в частности, терефталевая кислота, изофталевая кислота, о-фталевая кислота, 1,3-, 1,4-, 2,6- и 2,7-нафталиндикарбоновая кислота, 4,4′-дифенилдикарбоновая кислота, ди-(4-дикарбоксифенил)сульфон, 4,4′-бензофенонедикарбоновая кислота, 1,1,3-триметил-5-карбокси-3-(п-карбоксифенил)индан, 4-дикарбоксидифениловый эфир, бис(п-карбоксифенил)метан и бис(п-карбоксифенил)этан. Предпочтение отдают ароматическим дикарбоновым кислотам, в частности, терефталевой кислоте, изофталевой кислоте и 2,6- нафталиндикарбоновой кислоте. В качестве дикарбоновых кислот можно использовать также кислоты, содержащие группы -CO-NH-; такие дикарбоновые кислоты описаны в патенте DE-A-2 414 349. Кроме того, пригодны для использования дикарбоновые кислоты, содержащие N-гетероциклы, например образованные из карбоксиалкилированных, карбоксифенилированных или карбоксибензилированных моноамино-S- триазиндикарбоновых кислот (см., например DE-A 2121184 и 2533675), моно- или бисгидантоинов, галогенированных или негалогенированных бензимидазолов или парабановой кислоты. Карбоксиалкильные группы в этих соединениях могут содержать от 3 до 20 атомов углерода. В качестве алифатических диолов могут служить алифатические гликоли с прямой или разветвленной цепью атомов углерода, в частности, содержащие в молекуле от 2 до 12, особенно от 2 до 6 атомов углерода, например этиленгликоль, 1,2- и 1,3-пропиленгликоль, 1,2-, 1,3-, 2,3- и 1,4-бутандиол, пентилгликоль, неопентилгликоль, 1,6- гександиол и 1,12-додекандиол. В качестве пригодного для использования циклоалифатического диола может служить 1,4- дигидроксициклогексан. Кроме того, в качестве пригодных для использования алифатических диолов могут служить, например, 1,4-бис(гидроксиметил)пиклогексан. В качестве ароматически- алифатических диолов можно использовать, например, п-ксилилолгликоль, 2,5-дихлор-п-ксилилолгликоль, 2,2-(р- гидроксиэтоксифенил)пропан и полиоксиалкиленгликоли, например, диэтиленгликоль, триэтиленгликоль, полиэтиленгликоль и полипропиленгликоль. Алкилендиолы в предпочтительном варианте имеют структуру с прямой цепью и содержат, в частности, от 2 до 4 атомов углерода. В качестве дикарбоновых кислот можно использовать также кислоты, содержащие группы -CO-NH-; такие дикарбоновые кислоты описаны в патенте DE-A-2 414 349. Кроме того, пригодны для использования дикарбоновые кислоты, содержащие N-гетероциклы, например образованные из карбоксиалкилированных, карбоксифенилированных или карбоксибензилированных моноамино-S-триазиндикарбоновых кислот (см. , например DE-A2121184 и 2533675), моно- или бисгидантоинов, галогенированных или негалогенированных бензимидазолов или парабановой кислоты. Карбоксиалкильные группы в этих соединениях могут содержать от 3 до 20 атомов углерода. В качестве алифатических диолов могут служить алифатические гликоли с прямой или разветвленной цепью атомов углерода, в частности, содержащие в молекуле от 2 до 12, особенно от 2 до 6 атомов углерода, например этиленгликоль, 1,2- и 1,3-пропиленгликоль, 1,2-, 1,3-, 2,3- и 1,4-бутандиол, пентилгликоль, неопентилгликоль, 1,6-гександиол и 1,12-додекандиол. В качестве пригодного для использования циклоалифатического диола может служить 1,4-дигидроксициклогексан. Кроме того, в качестве пригодных для использования алифатических диолов могут служить, например, 1,4-бис(гидроксиметил)-циклогексан. В качестве ароматически-алифатических диолов можно использовать, например, п-ксилилолгликоль, 2,5-дихлор-п-ксилилолгликоль, 2,2-(( -гидроксиэтоксифенил)пропан и полиоксиалкиленгликоли, например, диэтиленгликоль, триэтиленгликоль, полиэтиленгликоль и полипропиленгликоль. Алкилендиолы предпочтительно имеют структуру с прямой цепью и содержат, в частности, от 2 до 4 атомов углерода.
К предпочтительным диолам относятся алкилендиолы, 1,4-дигидроксициклогексан и 1,4-бис(гидроксиметил)циклогексан. Особое предпочтение отдают этиленгликолю, 1,4-бутандиолу и 1,2- и 1,3-пропиленгликолю.
Кроме того, в качестве алифатических диолов можно использовать ( -гидроксиалкилированные, в частности ( -гидроксиэтилированные бисфенолы, например 2,2-бис[4′- ( -гидроксиэтокси)фенил]пропан. Ниже приведены примеры бисфенолов, которые также пригодны для использования.
Следующая группа подходящих для использования алифатических диолов включает гетероциклические диолы, описанные в опубликованных заявках на патент DE-A 1812003, 2342432, 2342372 и 2453326. В качестве примера могут служить N,N’-бис ( -гидроксиэтил)-5,5- диметилгидантоин, N,N’-бис ( -гидроксипропил)-5,5- диметилгидантоин, метиленбис[N- ( -гидроксиэтил)-5-метил-5- этилгидантоин], метиленбис[N- ( -гидроксиэтил)-5,5-диметилгидантоин] , N,N’-бис (( – -гидроксиэтил)бензимидазолон, N,N’-бис ( -гидроксиэтил) тетрахлорбензимидазолон и N,N’-бис( -гидроксиэтил)тетрабромбензимидазолон.
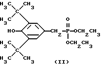
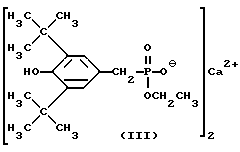
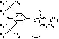
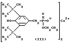
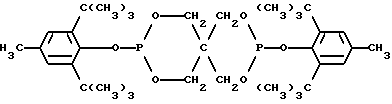
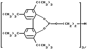
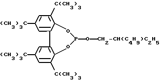
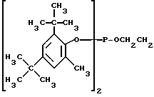
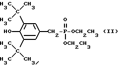
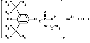
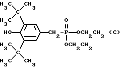
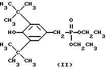
В качестве примера пригодных для использования ароматических диолов могут служить моноциклические дифенолы и особенно бициклические дифенолы с гидроксильной группой у каждого ароматического ядра. Используемый в данном описании термин “ароматический” в предпочтительном варианте означает остатки углеводорода ароматического ряда, например фенилен или нафтилен. Кроме того, следует особо упомянуть о бисфенолах, например, гидрохиноне, резорцине и 1,5-, 2,6- и 2,7-дигидроксинафталине, которые могут быть представлены следующими формулами:![]() ![]() ![]() ![]() ![]() ![]() В указанных соединениях гидроксильные группы могут находиться в мета-положении, а особенно в пара-положении, и радикалы R’ и R” в этих формулах могут означать C1-C6-алкил, галоген, например хлор или бром, или, в частности, водород, а A означает простую связь или -О-, -S-, -(O)S(O)-, -C(O)-, -P(O) (C1-C20алкил), замещенный или незамещенный алкилиден, циклоалкилиден или алкилен. В качестве примера замещенного или незамещенного алкилидена могут служить этилиден, 1,1- и 2,2-пропилиден, 2,2-бутилиден, 1,1-изобутилиден, пентилиден, гексилиден, гептилиден, октилиден, дихлорэтилиден и трихлорэтилиден. В качестве примера замещенного или незамещенного алкилена могут служить метилен, этилен, фенилметилен, дифенилметилен и метилфенилметилен. В качестве примера циклоалкилидена можно привести циклопентилиден, циклогексилиден, циклогептилиден и циклооктилиден. В качестве примера бисфенолов могут служить бис-п- гидроксифениловый простой эфир и тиоэфир, бис(п-гидроксифенил) сульфон, бис(п-гидроксифенил) метан, бис(4- гидроксифенил)-2,2′-дифенил, фенилгидрохинон, 1,2-бис(п- гидроксифенил)этан, 1-фенилбис(п-гидроксифенил)метан, дифенилбис(п-гидроксифенил)метан, дифенилбис(п- гидроксифенил)этан, бис(3,5-диметил-4-гидроксифенил)сульфон, бис(3,5-диметил-4-гидроксифенил)-п-диизопропилбензол, бис(3,5- диметил-4-гидроксифенил)-м-диизопропилбензол, 2,2-бис(3′, 5′- диметил-4′-гидроксифенил)пропан, 1,1- и 2,2-бис(п- гидроксифенил)бутан, 2,2-бис(п-гидроксифенил)гексафторпропан, 1,1- дихлор- и 1,1,1-трихлор-2,2-бис(п-гидроксифенил)этан, 1,1-бис(п- гидроксифенил)циклопентан и, особенно, 2,2-бис(п- гидроксифенил)пропан (бисфенол A) и 1,1-бис(п-гидроксифенил)циклогексан (бисфенол C). В качестве примера пригодных для использования сложных полиэфиров оксикарбоновых кислот могут служить поликапролактон, полипивалолактон и сложные полиэфиры 4-оксициклогексанкарбоновой кислоты и 4-оксибензойной кислоты. Также подходят для использования полимеры, предпочтительно содержащие сложноэфирные связи, но они также могут иметь другие связи, например такие, как полиэфироамиды и полиэфироимиды. Наибольшее значение приобретают полимерные смеси на основе сложных полиэфиров с ароматическими дикарбоновыми кислотами, в частности, полиалкилентерефталаты. Предпочтение поэтому отдают новым формовочным составам, в которых сложный полиэфир составляет по меньшей мере 30 моль%, предпочтительно по меньшей мере 40 моль% от общего веса ароматических дикарбоновых кислот и по меньшей мере 30 моль%, предпочтительно по меньшей мере 40 моль% C1-C12 алкилендиолов в расчете на полиэфир. При этом, алкилендиол имеет линейное строение и содержит от 2 до 6 атомов углерода, например, этиленгликоль, триметиленгликоль, тетраметиленгликоль и гексаметиленгликоль, а в качестве ароматической дикарбоновой кислоты предпочтительно использование терефталевой кислоты и/или изофталевой кислоты. В качестве сложных полиэфиров особенно пригодны для использования ПЭТФ(PET), ПБТ(PBT) и их соответствующие сополимеры, причем особое предпочтение отдают ПЭТФ и его сополимерам. Способ предлагаемого изобретения также имеет особое значение в случае использования возвращенных на повторную переработку изделий из ПЭТФ, например, из сборников бутылок, например из сборников утильсырья производства напитков. Эти материалы предпочтительно включают в свой состав терефталевую кислоту, 2,6-нафталиндикарбоновую кислоту и/или изофталевую кислоту в комбинации с этиленгликолем и/или 1,4-бис(гидроксиметил)циклогексаном. Настоящее изобретение имеет особое значение в случае использования рецикловых поликонденсатов, полученных из промотходов, ценного вторсырья или подлежащих возврату на переработку материалов, например, в автомобильной промышленности или в электротехническом секторе. В данном описании к возвращенным на повторную переработку поликонденсатам относятся продукты, претерпевшие различными путями термическую и/или гидролитическую деструкцию. Кроме того, эти возвращенные на повторную переработку материалы могут также содержать незначительные количества смесей полимеров, имеющих различные структуры, например, таких как полиолефины, полиуретаны, ABS или PVC. Указанные рецикловые материалы могут также содержать традиционные примеси, например остатки красителей, адгезивов, контактной среды или красок, следовые количества металлов, воды, масел, а также жиров или неорганических солей. Пространственно затрудненные гидроксифенилалкилфосфоновые сложные эфиры и моноэфиры описаны, например, в патенте US-A- 4778840 и представляют собой, например, соединения формулы I ![]() где R1 означает изопропил, трет-бутил, циклогексил или циклогексил, замещенный 1-3 C1-C4 алкильными группами, R2 означает водород, C1-C4 алкил, циклогексил или циклогексил, замещенный 1-3 C1-C4 алкильными группами, R3 означает C1-C20 алкил, или незамещенный или C1-C4-алкилзамещенный фенил или нафтил; R4 означает водород, C1-C20 алкил, незамещенный или C1-C4-алкилзамещенный фенил или нафтил; или означает ![]() Mr+ означает катион r-валентного металла n означает 1, 2, 3, 4, 5 или 6, a r имеет значение 1, 2 или 3. C1-C2 алкильные заместители означают радикалы, например, как метил, этил, пропил, бутил, пентил, гексил, октил, стеарил, или соответствующие изомеры с разветвленной цепью; предпочтение отдают C2-C4 ацильным группам. В качестве C1-C4 алкилзамещенного фенила или нафтила, который предпочтительно содержит от 1 до 3, в частности 1 или 2, алкильных группы, может служить, например, о-, м- или п-метилфенил, 2,3-диметилфенил, 2,4-диметилфенил, 2,5-диметилфенил, 2,6-диметилфенил, 3,4-диметилфенил, 3,5-диметилфенил, 2-метил-6- этилфенил, 4-трет-бутилфенил, 2-этилфенил или 2,6-диэтилфенил, 1- метилнафтил, 2-метилнафтил, 4-метилнафтил, 1,6-диметилнафтил или 4-трет-бутилнафтил. В качестве C1-C4 алкилзамещенного циклогексила, который предпочтительно содержит от 1 до 3, в частности 1 или 2, алкильных группы с разветвленной или прямой цепью углеродных атомов, может служить, например, циклопентил, метилциклопентил, диметилциклопентил, циклогексил, метилциклогексил, диметилциклогексил, триметилциклогексил или трет-бутилциклогексил. В качестве катиона одновалентного, двухвалентного или трехвалентного металла может быть предпочтительно катион щелочного металла, катион щелочноземельного металла, катион тяжелого металла или катион алюминия, например Na+, K+, Mg+, Ca+, Ba+, Zn++ или Al+++. Особое предпочтение отдают Ca+. К предпочтительным соединениям формулы I относятся соединения, содержащие по меньшей мере одну трет-бутильную группу в качестве радикала R1 или R2. Наиболее предпочтительны соединения, в которых R1 или R2 каждый независимо означает трет-бутил. В предпочтительном варианте осуществления настоящего изобретения n означает 1 или 2 и наиболее предпочтительно 1. К наиболее предпочтительным для использования пространственно затрудненным гидроксифенилалкиловым сложным эфирам или моноэфирам фосфоновой кислоты относятся соединения формулы II и III ![]() ![]() Соединения формулы II являются коммерчески доступным продуктом, известным под торговым именем Irganox 1222 (фирмы Ciba-Geigy). Соединения формулы III также имеются в продаже и известны под торговым именем Irganox 1425 (продукт фирмы Ciba-Geigy).
В расчете на 100 частей поликонденсата, можно использовать предпочтительно от 0,01 до 5 частей, особенно предпочтительно от 0,02 до 2 частей, в частности, от 0,05 до 1 части, пространственно затрудненного гидроксифенилалкилового сложного эфира или моноэфира фосфоновой кислоты.
В соответствии с настоящим изобретением, полифункциональные, в частности, дифункциональные соединения из класса эпоксидов, могут иметь строение алифатического, ароматического, циклоалифатического, алифатического или гетероциклического соединения: они содержат эпоксидные группы в качестве боковых групп, или эти эпоксигруппы образуют алициклическую или гетероциклическую ядерную систему. В предпочтительном варианте настоящего изобретения эпоксидные группы связаны с остальной частью молекулы, например глицидиловыми группами через простые или сложноэфирные связи, или такие соединения являются N-глицидиловыми производными гетероциклических аминов, амидов или имидов. Эпоксиды этих типов общеизвестны и имеются в продаже.
Указанные эпоксиды содержат, например, два эпоксидных радикала, например, которые могут быть представлены формулой IV![]() где в случае, когда R5 и R7 означают водород, то R6 означает водород или метил, а p = 0; или, если R3 и R7, взятые вместе, означают -CH2-CH2– или -CH2-CH2-CH2-, то R6 означает водород, а p = 0 или 1, при этом эти радикалы связаны непосредственно с атомами углерода, кислорода, азота или серы. В качестве примера эпоксидов можно привести следующие соединения: 1. Диглицидиловые и ди- – -метилглицидиловые сложные эфиры, полученные путем взаимодействия соединения, содержащего две карбоксильные группы в молекуле, с эпихлоргидрином или глицериндихлоргидрином или – -метилэпихлоргидрином. Реакцию предпочтительно осуществляют в присутствии оснований.
В качестве соединений, содержащих две карбоксильных группы в молекуле, можно использовать алифатические дикарбоновые кислоты. В качестве таких дикарбоновых кислот могут служить, например, глутаровая кислота, адипиновая кислота, пимелиновая кислота, субериновая кислота, азелаиновая кислота, себациновая кислота или димерная или тримерная линолевая кислота.
Однако, также можно использовать циклоалифатические дикарбоновые кислоты, например как тетрагидрофталевую кислоту, 4-метилтетрагидрофталевую кислоту, гексагидрофталевую кислоту или 4-метилгексагидрофталевую кислоту. Возможно также использование ароматических дикарбоновых кислот, например фталиевой или изофталевой кислот.
2. Диглицидиловые или ди- -метилглицидиловые простые эфиры, полученные путем взаимодействия соединения, содержащего две свободных гидроксильных группы спирта и/или гидроксильных группы фенола, с соответственно замещенным эпихлоргидрином в щелочных условиях или в присутствии кислотного катализатора с последующей обработкой щелочью.
Простые эфиры этого типа могут быть образованы, например, из ациклических спиртов, таких как этиленгликоля, диэтиленгликоля и высших полиоксиэтиленгликолей, пропан-1,2-диола, или полиоксипропиленгликолей, пропан-1,3-диола, бутан-1,4-диола, полиокситетраметиленгликолей, пентан-1,5-диола, гексан-1,6-диола, сорбита и полиэпихлоргидринов.
Кроме того, указанные простые эфиры могут быть также образованы, например, из циклоалифатических спиртов, например 1,3- или 1,4- дигидроксициклогексана, бис(4-гидроксициклогексил)метана, 2,2-бис(4-гидроксициклогексил)пропана или 1,1- бис(гидроксиметил)циклогекс-3-ена, или они могут содержать ароматические кольца, например как N,N-бис(2-гидроксиэтил)анилин или п,п’-бис(2-гидроксиэтиламино)дифенилметан.
Эпоксидные соединения могут быть также образованы из моноциклических фенолов, например резорцина, пирокатехина или гидрохинона, или их можно получить на основе полициклических фенолов, например 4,4′-дигидроксидифенила, бис(4-гидроксифенил)метана, 2,2-бис(4-гидроксифенил)пропана, 2,2-бис-(3,5-дибром-4- гидроксифенил)пропана, 4,4′-дигидроксидифенилсульфона, 9,9′- бис(4-гидроксифенил)флуорена, или на основе продуктов реакции конденсации фенолов с формальдегидом, полученных в кислой среде, например как новолачные фенолоформальдегидные смолы.
3. Ди-N-диглицидиловые соединения можно получить, например, дегидрохлорированием продуктов реакции эпихлоргидрина с аминами, содержащими два атома водорода у аминогруппы. В качестве таких аминов можно использовать, например, анилин, толуидин, н-бутиламин, бис(4-аминофенил) метан, м-ксилилендиамин или бис(4-метиламинофенил)метан.
Наряду с этим, в качестве ди-N-диглицидиловых соединений могут также служить N,N’-диглицидиловые производные циклоалкиленмочевин, такие как этиленмочевина или 1,3-пропиленмочевина, и N,N’-диглицидиловые производные гидантоинов, например 5,5-диметилгидантоин.
4. Ди-S-диглицидиловые соединения, например ди-S-глицидиловые производные, полученные из дитиолов, например этан-1,2-дитиола или бис-4-меркаптометилфенилового эфира.
5. Эпоксиды, содержащие радикал формулы IV, где R5 и R7 вместе означают -CH2-CH2-, а n=0, например бис-2,3-эпоксициклопентиловый эфир, 2,3-эпоксициклопентилглицидиловый эфир или 1,2-бис(2,3-эпоксициклопентокси)этан; эпоксиды, содержащие радикал формулы IV, где R5 и R7, взятые вместе, означают -CH2-CH2-, а n = 1, например, (3′,4′-эпокси-6′-метилциклогексил)метил-3,4-эпокси-6- метилциклогексанкарбоксилат.
Вышеупомянутые дифункциональные эпоксисоединения могут, например, из-за используемой технологии, содержать незначительные количества монофункциональных или трифункциональных компонентов.
Особое предпочтение отдают использованию диглицидиловых соединений, содержащих ароматические структуры (системы).
В соответствии с настоящим изобретением, возможно также использование смеси эпоксисоединений, имеющих разную структуру.
С другой стороны, в смесь можно дополнительно ввести трифункциональные и полифункциональные эпоксисоединения для получения, при желании, разветвленного полимера. В качестве примера таких эпоксисоединений могут служить a) жидкие диглицидиловые эфиры бисфенола A, например, Araldit GY 240, Araldit GY 250, Araldit GY 260, Araldit GY 266, Araldit GY 2600, Araldit MY 790; b) твердые диглицидиловые эфиры бисфенола A, например, Araldit GT 6071, Araldit GT 7071, Araldit CT 7072, Araldit GT 6063, Araldit GT 7203, Araldit GT 6064, Araldit GT 7304, Araldit GT 7004, Araldit GT 6084, Araldit GT 1999, Araldit GT 7077, Araldit GT 6097, Araldit GT 7097, Araldit GT 7008, Araldit GT 6099, Araldit GT 6608, Araldit GT 6609, Araldit GT 6610; c) жидкие диглицидиловые эфиры бисфенола F, например, Araldit GY 281, Araldit GY 282, Araldit PY 302, Araldit PY 306; d) твердые полиглицидиловые эфиры тетрафенилэтана, например как модифицированная CG эпоксидная смола 0163; е) твердые и жидкие полиглицидиловые эфиры на основе новолачной фенолформальдегидной смолы, например EPN 1138, EPN 1139, GY 1180, PY 307; f) твердые и жидкие полиглицидиловые эфиры на основе новолачной о-крезолформальдегидной смолы, например как ECN 1235, ECN 1273, ECN 1280, ECN 1299; g) жидкие глицидиловые эфиры спиртов, например как глицидиловый эфир 162 фирмы Shell , Araldit DY 0390, Araldit DY 0391; h) жидкие глицидиловые эфиры карбоновых кислот, например Cardura E-терефталаты, тримеллитаты фирмы Shell Araldit PY 284 или смеси ароматических глицидиловых сложных эфиров, например как Araldit PT 910; i) твердые гетероциклические эпоксидные смолы (триглицидилизоцианурат), например Araldit PT 810; j) жидкие циклоалифатические эпоксидные смолы, например Araldit CY 179; k) жидкие N,N,О-триглицидиловые эфиры п-аминофенола, например Araldit MY 0510; 1) тетраглицидил-4-4′-метиленбензамин или N,N,N’,N’-тетраглицидилдиаминофенилметан, например Araldit MY 720 и Araldit MY 721.
В качестве дифункциональных эпоксидов особенно предпочтительно использование диглицидиловых эфиров на основе бисфенолов, например на основе 2,2-бис(4-гидроксифенил)пропана (бисфенола A), бис(4- гидроксифенил)сульфона (бисфенола S) или смеси бис(о/п-гидроксифенил)метана (бисфенола F).
Наибольшее предпочтение отдают твердым эпоксидам на основе диглицидилового эфира бисфенола A, например как Araldit GT 6071, GT 7071, GT 7072, GT 6097 и GT 6099 или жидким эпоксидам на основе бисфенолов типа F, например как Araldit GY 281 или PY 306.
В расчете на 100 частей поликонденсата, можно использовать предпочтительно от 0,01 до 5 частей, особенно предпочтительно от 0,02 до 2 частей, в частности, от 0,05 до 1 части диэпоксида.
Полифункциональные, в частности, трифункциональные, соединения из класса оксазолинов предлагаемого изобретения известны и описаны, например, в EP-A-0583807 и могут быть представлены, например, формулой V![]() где R8, R9, R10 и R11, независимо друг от друга, означают водород, галоген, C1-C20 алкил, C4-C15 циклоалкил, незамещенный или C1-C4 алкилзамещенный фенил, C1-C20алкокси или C2-C20карбоксиалкил, при условии, если t=3, то R12 означает трехвалентный линейный, разветвленный или циклоалифатический радикал, содержащий от 1 до 18 атомов углерода, который может быть прерван кислородом, серой или группой или R12 может также означать незамещенный или C1-C4 алкилзамещенный бензолтриил, при условии, чтоесли t = 2, R12 означает двухвалентный линейный, разветвленный или циклоалифатический радикал, содержащий от 1 до 18 атомов углерода, который может быть прерван кислородом, серой или группой , или R12 может также означать незамещенный или C1-C4 алкилзамещенный фенилен,R13 означает C1-C8 алкил, а t имеет значение 2 или 3. В качестве галогена может служить, например, фтор, хлор, бром или иод и особенно предпочтительно хлор. В качестве C1-C20 алкила может быть радикал с разветвленной или прямой цепью углеродных атомов, например, метил, этил, пропил, изопропил, н- бутил, втор-бутил, изобутил, трет-бутил, 2-этилбутил, н-пентил, изопентил, 1-метилпентил, 1,3-диметилбутил, н-гексил, 1- метилгексил, н-гептил, изогептил, 1,1,3,3-тетраметилбутил, 1-метилгептил, 3-метилгептил, н-октил, 2- этилгексил, 1,1,3-триметилгексил, 1,1,3,3-тетраметилпентил, нонил, децил, ундецил, 1-метилундецил, додецил, 1,1,3,3,5,5-гексаметилгексил, тридецил, тетрадецил, пентадецил, гексадецил, гептадецил, октадецил, эйкозил или докозил. В предпочтительном варианте радикалы R8, R9, R10 и R11 означают C1-C12 алкил, в частности, C1-C8 алкил, например C1-C4 алкил. В качестве C4-C15 циклоалкила, в частности C5-C12 циклоалкила, может быть, например, циклобутил, циклопентил, циклогексил, циклогептил, циклооктил или циклододецил. Предпочтение отдают C5-C8 циклоалкилу, в частности, циклогексилу. В качестве C1-C4 алкилзамещенного фенила, который предпочтительно содержит от 1 до 3, в частности 1 или 2, алкильных группы, может служить, например, о-, м- или п-метилфенил, 2,3-диметилфенил, 2,4-диметилфенил, 2,5-диметилфенил, 2,6-диметилфенил, 3,4-диметилфенил, 3,5-диметилфенил, 2-метил-6-этилфенил, 4- трет-бутилфенил, 2- этилфенил или 2,6-диэтилфенил. В качестве C1-C20 алкокси может быть радикал с разветвленной или прямой цепью углеродных атомов, например, метокси, этокси, пропокси, изопропокси, н-бутокси, изобутокси, пентокси, изопентокси, гексилокси, гептилокси, октилокси, децилокси, тетрадецилокси, гексадецилокси или октадецилокси. В предпочтительном варианте радикалы R8, R9, R10 и R11 означают C1-C12 алкокси-, в частности, C1-C8 алкокси-, например C1-C4 алкокси-. В качестве C2-C20 карбоксиалкила может быть радикал с разветвленной или прямой цепью углеродных атомов, например, карбоксиметил, карбоксиэтил, карбоксипропил, карбоксибутил, карбоксипентил, карбоксигексил, карбоксигептил, карбоксиоктил, карбоксинонил, карбоксидецил, карбоксиундецил, карбоксидодецил, 2-карбокси-1-пропил, 2-карбокси-1-бутил или 2-карбокси-1-пентил. В предпочтительном варианте радикалы R8, R9, R10 и R11 означают C2-C12 карбоксиалкил, в частности, C2-C8 карбоксиалкил, например C2-C4 карбоксиалкил. Используемый в данном описании термин трехвалентный линейный, разветвленный или циклоалифатический радикал, содержащий от 1 до IX атомов углерода, который может быть прерван кислородом, серой или группой , означает группировку, три связи которой могут находиться как у того же самого, так и у разных атомов. В качестве примера могут служить метантриил, 1,1,1-этантриил, 1,1,1-пропантриил, 1,1,1-бутантриил, 1,1,1-пентантриил, 1,1,1-гексантриил, 1,1,1-гептантриил, 1,1,1-октантриил, 1,1,1-нонантриил, 1,1,1-декантриил, 1,1,1-ундекантриил, 1,1,1-додекантриил, 1,2,3-пропантриил, 1,2,3-бутантриил, 1,2,3-пентантриил, 1,2,3-гексантриил, 1,1,3-циклопентантриил, 1,3,5-циклогексантриил, 3-оксо-1,1,5-пентантриил, З-тио-1,1,5- пентантриил или 3-метиламино-1,1,5-пентантриил.
Используемый в данном описании термин двухвалентный линейный, разветвленный или циклоалифатический радикал, содержащий от 1 до 18 атомов углерода, который может быть прерван кислородом, серой или группой , означает группировку, три связи которой могут находиться как у того же самого, так и у разных атомов. В качестве примера может служить метилен, этилен, пропилен, бутилен, пентилен, гексилен, гептилен, октилен, нонилен, децилен, ундецилен или додецилен.
В качестве незамещенного или C1-C4 алкилзамещенного бензолтриила, который предпочтительно содержит от 1 до 3, особенно 1 или 2 алкильных групп, может служить, например, 1,2,4-бензолтриил, 1,3,5-бензолтриил, 3-метил-1,2,4-бензолтриил или 2-метил-1,3,5-бензолтриил. Особое предпочтение отдают 1,2,4-бензолтриилу и 1,3,5-бензолтриилу.
Особый интерес представляют соединения формулы V, где радикалы R8, R9, R10 и R11, каждый независимо от друг друга, означает водород или C1-C4 алкил, a R12 означает 1,2,4-бензолтриил или 1,3,5-бензолтриил.
Особый интерес также представляют соединения формулы V, например 2,2′, 2”-(1,3,5-бензолтриил)трис-2-оксазолин; 2,2′, 2”-(1,2,4- бензолтриил)трис-4,4-диметил-2-оксазолин; 2,2′,2”(1,3,5-бензолтриил)трис-4,4-диметил-2-оксазолин; 2,2′,2”-(1,2,4-бензолтриил)трис-5-метил-2-оксазолин; или 2,2′,2”-(1,3,5- бензолтриил)трис-5-метил-2-оксазолин.
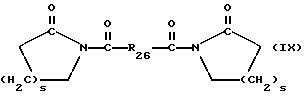
Дифункциональные соединения из класса бисоксазолинов, которым отдают предпочтение в предлагаемом изобретении, описаны Т. Loontjens и другими, Makromol. Chem., Macromol. Symp. вып.75, стр. 211-216 (1993), и представляют собой, например, соединения формулы:![]() ![]() ![]() В расчете на 100 частей поликонденсата, можно использовать предпочтительно от 0,01 до 5 частей, особенно предпочтительно от 0,02 до 2 частей, в частности, от 0,05 до 1 части оксазолина. К другим предпочтительным бисоксазолинам относятся соединения, описанные F. Bohme и другими в журнале Die Angewandte Makromolekulare Chemie вып.224, стр. 167-178 (1995) и в патенте DE-A-4140333. Полифункциональные, в частности, дифункциональные соединения из класса оксазинов или оксазолонов, которым отдают предпочтение в предлагаемом изобретении, описаны (см. , например, Н. Inata и другими в журнале Journal of Applied Polymer Science, вып. 32, стр.4581-4594 (1986)) и представляют собой, например, соединения формулы VIa или VIb ![]() ![]() где R14 означает простую связь или незамещенный или C1-C4-алкилзамещенный фенилен, а R15 и R16 каждый независимо друг от друга означает водород или C1-C4 алкил. Особое предпочтение отдают соединениям формулы VIa и Vlb, где R14 означает простую связь, в частности, 2,2′-бис(4H-3,1-бензоксазин-4-он). В расчете на 100 частей поликонденсата, можно использовать предпочтительно от 0,01 до 5 частей, особенно предпочтительно от 0,02 до 2 частей, в частности, от 0,05 до 1 части оксазина или оксазолона. Полифункциональные, в частности, дифункциональные, соединения из класса изоцианатов, используемые в предлагаемом изобретении, известны и могут быть представлены, например, формулой VII O=C=N-R23-N=C=O, (VII) где R23 означает C1-C20 алкилен или полиметилен, арилен, аралкилен, циклоалкилен. В качестве диизоцианатов предпочтительно могут быть тетраметилендиизоцианат, гексаметилендиизоцианат, додекаметилен диизоцианат, эйкозан-1,2-диизоцианат, 4-бутилгексаметилендиизоцианат, 2,2,4- и 2,4,4- триметилгексаметилендиизоцианат, OCN(CH2)20(CH2)2NCO, толуол-2,4-диизоцианат, п-фенилендиизоцианат, ксилилендиизоцианаты, 3- изоцианатометил-3,5,5-триметилциклогексилизоцианат, нафталиндиизоцианаты, сульфонилдиизоцианаты, 3,3′-, 4,4′- и 3,4′-диизоцианаты дифенилметана, 2,2-дифенилпропана и простого дифенилового эфира, 3,3′-диметил-4,4′-диизоцианатдифенил, 3,3′-диметокси- 4,4′-диизоцианатдифенил и 4,4′-диизоцианатдифенилметан. Указанные диизоцианаты являются коммерчески доступным продуктом или их можно получить из имеющихся в продаже аминов. Однако, можно также использовать полимерные материалы на основе диизоцианатов, например полимерные уретаны, уретандионовые димеры и высшие олигомеры, полицианураты, уретаны и полимерные уретаны, полученные из циануратных полимеров и претерпевших термическую деструкцию аддуктов оснований Шиффа. В расчете на 100 частей поликонденсата, можно использовать предпочтительно от 0,01 до 5 частей, особенно предпочтительно от 0,02 до 2 частей, в частности от 0,05 до 1 части изоцианата. Используемые в объеме предлагаемого изобретения полифункциональные, в частности, дифункциональные соединения из класса ангидридов известны и могут быть представлены, например, формулой VIII ![]() где R24 означает радикал формул (VIIIa) – (VIIIj) ![]() ![]() ![]() ![]() ![]() ![]() ![]() ![]() ![]() ![]() R25 означает группу -CH2-, -CH(CH3)-, -C(CH3)2-, – C(CF3)2-, -S-, -О-, -(O)S(O)-, NHCO-, -CO- или -P(O)(C1-C20алкил)- и где ароматические ядра в формулах VIIIa-VIIIe могут быть незамещены или замещены одной или несколькими C1-C6, алкильными группами, C1-C6 алкоксигруппами или атомами галогена. В качестве примера трифункционального ангидрида можно привести меллитовый ангидрид. Предпочтение отдают диангидридам тетракарбоновых кислот, содержащим ароматические ядра. Эти тетракарбоновые ангидриды коммерчески доступны. Кроме того, можно использовать смесь тетракарбоновых диангидридов, имеющих различные строения. В расчете на 100 частей поликонденсата, можно использовать предпочтительно от 0,01 до 5 частей, особенно предпочтительно от 0,02 до 2 частей, в частности, от 0,05 до 1 части, ангидрида. Полифункциональные, в частности, дифункциональные, соединения из класса ациллактамов, используемые в предлагаемом изобретении, известны и могут быть представлены, например, формулой IX ![]() где s означает целое число от 1 до 16, в частности от 5 до 10, a R26 означает ароматический радикал, например группу формулы ![]() ![]() ![]() ![]() ![]() или ![]() где R27 имеет одно из значений, выбранных из группы -CH2-, -C(O)-, -P(O)(C1-C18алкил)-, -(O)S-(O)-, -О- или – S-. Трифункциональные соединения из класса ациллактамов, используемые в предлагаемом изобретении, известны и могут быть представлены, например, формулой IXa ![]() где z означает целое число от 1 до 16, в частности от 3 до 9. Предпочтение отдают трифункциональным ациллактамам формулы IXa, где лактамные кольца означают капролактам или лауролактам. В расчете на 100 частей поликонденсата, можно использовать предпочтительно от 0,01 до 5 частей, особенно предпочтительно от 0,02 до 2 частей, в частности, от 0,05 до 1 части, ациллактама. Полифункциональные, в частности, дифункциональные соединения из класса малеимидов, используемые в предлагаемом изобретении, известны и могут быть представлены, например, формулой X ![]() где R28 означает алифатический, ароматический, циклоалифатический или гетероциклический радикал, а R29 и R30 каждый независимо друг от друга означает водород, C1-C4 алкил, C1-C6 алкокси, фенил или фенокси. Алифатические, ароматические, циклоалифатические или гетероциклические радикалы содержат максимально до 40 атомов углерода, могут быть незамещены или замещены, а также прерываться -О-, -S-, -(CH2)1-6-, -C(O)-, -P(O)(C1-C18алкил)- или -(O)S(O)-, (который означает радикал ![]() В качестве возможных заместителей могут быть, например, C1-C18 алкил, C1-C18 алкокси, гидроксил, фенил и фенокси. В качестве алифатического радикала R28, может быть, например, C1-C18 полиметиленовый радикал, образованный из алкильных групп, например, метила, этила, н-пропила, н-бутила, втор-бутила, трет-бутила, н-гексила, н-октила, 2-этилгексила, н-нонила, н-децила, н-ундецила, н-додецила, н-тридецила, н-тетрадецила, н-гексадецила или н-октадецила, или разветвленных изомеров. В качестве ароматического радикала R28 может быть например, радикал, содержащий от 6 до 40 атомов углерода, например, фенилен, дифенилен или нафтилен или радикалы фенилен или дифенилен, связанные с одной из групп, например, -О-, -S-, -(CH2)1-6-. -C(O)-, -P(O)(C1-C18алкил)- или -(O)S(O)-. В качестве циклоалифатического радикала R28 может быть, например, радикал, содержащий от 5 до 10 атомов углерода, например, циклопентилен, циклогексилен или циклооктилен. В качестве гетероциклического радикала R28 может быть, например, N-содержащая 5- или 6-членная гетероциклическая группа, например пиридилен, пиридазилен или пиразолилен. R28 означает предпочтительно ароматический радикал, который может быть представлен одной из нижеследующих формул ![]() ![]() ![]() ![]() ![]() ![]() где R31 имеет одно из значений, выбранных из группы -CH2-, -C(O), -P(O)(C1-C18алкил)-, -(O)S-(O)-, -О- или -S-. R29 и R30 каждый независимо друг от друга предпочтительно означает водород или C1-C4 алкил; особенно предпочтительно если R29 означает водород, a R30 означает водород или метил; и наиболее предпочтительно, когда R29 и R30 означают водород. Наибольшее предпочтение отдают соединениям формулы ![]() ![]() ![]() ![]() Бисмалеимиды получают взаимодействием диаминов с малеиновым ангидридом, и некоторые из этих соединений имеются в продаже. Кроме того, пригодные для использования бисмалеимиды описаны в WO- A-93/24488 (T.C. Morton и другие). В расчете на 100 частей поликонденсата, можно использовать предпочтительно от 0,01 до 5 частей, особенно предпочтительно от 0,02 до 2 частей, в частности, от 0,05 до 1 части, малеимида. Полифункциональные соединения из класса спиртов, используемые в предлагаемом изобретении, известны и в качестве примера могут служить пентаэритрит, дипентаэритрит, трипентаэритрит, бистриметилолпропан, бистриметилолэтан, трисметилолпропан, сорбит, мальтит, изомальтит, лактит, ликазин, маннит, лактоза, лейкроза, трис(гидроксиэтил)изоцианурат, палатинит, тетраметилолциклогексанол, тетраметилолциклопентанол, тетраметилолциклопиранол, глицерин, диглицерин, полиглицерин или 1-O- -D-гликопиранозил-O-маннита дигидрат. Особое предпочтение отдают пентаэритриту, дипентаэритриту, трис(гидроксиэтил)изоцианурату.
В расчете на 100 частей поликонденсата, можно использовать предпочтительно от 0,01 до 5 частей, особенно предпочтительно от 0,02 до 2 частей, в частности, от 0,05 до 1 части полифункционального спирта.
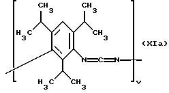
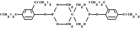
Полифункциональные, в частности, дифункциональные соединения из класса карбодиимидов, используемые в предлагаемом изобретении, известны и представляют собой, например, соединения формулы XI![]() где R40, R41 и R42 каждый независимо друг от друга означает C1-C12 алкилен, C6-C13 циклоалкилен или незамещенный или C1-C4 алкилзамещенный фенилен или нафтилен, X1 и X2 каждый независимо друг от друга означает водород, группу ![]() или -NH-CO-OR45, в которой R43, R44 и R45, каждый независимо друг от друга означает C1-C12 алкил, C6-C13 циклоалкил, или незамещенный или C1– C4 алкилзамещенный фенил или нафтил, а v означает целое число от 0 до 100. C1-C12 алкилен означает радикал с разветвленной или прямой углеродной цепью, например метилен, этилен, пропилен, тетраметилен, пентаметилен, гексаметилен, гептаметилен, октаметилен, декаметилен или додекаметилен. Радикалы R40, R41 и R42 предпочтительно означают, например, C2-C10алкилен, и особенно C2-C8алкилен. C6-C13 циклоалкилен означает насыщенную углеводородную группу, имеющую две свободных валентности и содержащую по меньшей мере одно циклическое звено. В качестве примера могут служить циклогексилен, циклогептилен или циклооктилен. Предпочтение отдают циклогексилену. В качестве незамещенного или C1-C4 алкилзамещенного фенилена или нафтилена, может быть, например, 1,2-, 1,3- или 1,4-фенилен или 1,2-, 1,3-, 1,4-, 1,6-, 1,7-, 2,6- или 2,7-нафтилен. Предпочтению отдают 1,4-фенилену. C1-C12алкил означает радикал с разветвленной или прямой углеродной цепью, например, метил, этил, пропил, изопропил, н-бутил, втор-бутил, изобутил, трет-бутил, 2-этилбутил, н-пентил, изопентил, 1-метилпентил, 1,3-диметилбутил, н-гексил, 1- метилгексил, н-гептил, изогептил, 1,1,3,3-тетраметилбутил, 1- метилгептил, 3-метилгептил, н-октил, 2-этилгексил, 1,1,3- триметилгексил или 1,1,3,3-тетраметилпентил. C6-C13 циклоалкил означает, например, циклогексил, циклогептил, циклооктил или циклододецил. Предпочтение отдают C6-C8 циклоалкилу, в частности, циклогексилу. В качестве C1-C4 алкилзамещенного фенила или нафтила, которые предпочтительно содержат от 1 до 3, особенно 1 или 2 алкильных группы может быть, например, о-, м- или п-метилфенил, 2,3-диметилфенил, 2,4-диметилфенил, 2,5 -диметилфенил, 2,6-диметилфенил, 3,4-диметилфенил, 3,5-диметилфенил, 2-метил-6- этилфенил, 4-трет-бутилфенил, 2-этилфенил, 2,4,6-триизопропилфенил, 2,6-диэтилфенил, 2-метилнафтил или 1-метилнафтил. Особенно предпочтительным карбодиимидом является поли(2,4,6-триизо-пропил-1,3-фениленкарбодиимид) формулы XIa ![]() Еще один особенно предпочтительный карбодиимид, имеющийся в продаже как стабилизатор 7000 (изготовитель фирма Raschig, Германия), может быть представлен формулой XIb![]() Кроме того, пригодные для использования карбодиимиды описаны в EP-A-0623589 и EP-A-0628 541. В расчете на 100 частей поликонденсата можно использовать предпочтительно от 0,01 до 5 частей, особенно предпочтительно от 0,02 до 2 частей, в частности, от 0,05 до 1 части полифункционального карбодиимида. Полифункциональные соединения из класса сложных эфиров, используемые в предлагаемом изобретении, известны и описаны, например, в EP-A-0565487. К предпочтительным полифункциональным сложным эфирам относятся, например, соединения формулы XII ![]() где R50 означает C1-C18 алкил, C5-C12 циклоалкил, фенил или C7-C9 фенилалкил, R51 означает водород, C1-C18 алкил, C5-C12 циклоалкил, фенил или C7-C9 фенилалкил, q означает 0, 1 или 2, Q означает -CmH2m-, ![]() или ![]() где R51 имеет вышеуказанные значения, m означает целое число от 0 до 3, R53 означает C1-C8 алкил, а w означает целое число от 2 до 6, при этом если w = 2, R52 означает двухвалентный радикал гексозы, двухвалентный радикал гексита, ![]() или ![]() или если w = 3, R52 означает трехвалентный радикал гексозы, трехвалентный радикал гексита, ![]() или ![]() или если w = 4, R52 означает четырехвалентный радикал гексозы, четырехвалентный радикал гексита, C4-C10 алкантетраил, ![]() или ![]() ![]() или если w =5, R52 означает пятивалентный радикал гексозы или пятивалентный радикал гексита, или если w=6, R52 означает шестивалентный радикал гексита или ![]() C1-C18 алкил означает радикал с разветвленной или прямой углеродной цепью, например, метил, этил, пропил, изопропил, н- бутил, втор-бутил, изобутил, трет-бутил, 2-этилбутил, н-пентил, изопентил, 1-метилпентил, 1,3-диметилбутил, н-гексил, 1-метилгексил, н-гептил, изогептил, 1,1,3,3-тетраметилбутил, 1-метилгептил, 3-метилгептил, н-октил, 2-этилгексил, 1,1,3-триметилгексил, 1,1,3,3-тетраметилпентил, нонил, децил, ундецил, 1-метилундецил, додецил, 1,1,3,3,5,5-гексаметилгексил, тридецил, тетрадецил, пентадецил, гексадецил, гептадецил или октадецил. Одно из предпочтительных значений радикалов R50 и R51 – C1-C8 алкил, особенно, C1-C4 алкил, например трет-бутил. C5-C12 циклоалкил означает, например циклопентил, циклогексил, циклогептил, циклооктил, циклодецил или циклододецил. Одно из предпочтительных значений радикалов R50 и R51 – C5-C7 циклоалкил. Особое предпочтение отдают циклогексилу. C7-C9 фенилалкил означает, например, бензил, -метилбензил, -диметилбензил или 2- фенилэтил. Предпочтение отдают бензилу.
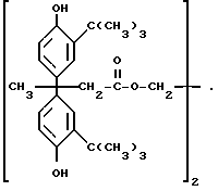
В случае, если w = 2-6, то R52 означает w-валентный радикал гексозы, образованный, например, из аллозы, алтрозы, глюкозы, маннозы, гулозы, идозы, галактозы или талозы, то есть для получения соответствующих соединений формулы XII, 1, 2, 3, 4, 5 или 6 групп-OH должны быть заменены сложноэфирной группой E-1,![]() в которой R50, R51, q и Q имеют вышеуказанные значения. Например, R52, в случае, когда w =5, может означать группу ![]() Если R52 означает w-валентный радикал гексита, соответствующие соединения формулы XII получают путем замены w-ОН- групп вышеупомянутой сложноэфирной группой E-1. R52, в качестве шестивалентного радикала гексита, может быть, например, группой ![]() Эту группу образуют из D-сорбита. К предпочтительным соединениям формулы XII относятся также соединения, например, ![]() ![]() ![]() ![]() или ![]() К особенно предпочтительным соединениям формулы XII относится пентаэритритил-тетракис[3-(3,5-ди-трет-бутил-4- гидроксифенил)пропионат] [Irganox 1010 (фирмы Ciba-Geigy AG)].
В расчете на 100 частей поликонденсата, можно использовать предпочтительно от 0,01 до 5 частей, особенно предпочтительно от 0,02 до 2 частей, в частности, от 0,05 до 1 части, полифункционального сложного эфира.
Данное изобретение обеспечивает возможность использования смеси различных полифункциональных соединений.
Кроме пространственно затрудненного гидроксифенилалкилового сложного эфира или моноэфира фосфоновой кислот и полифункционального соединения к поликонденсату можно добавить дополнительные стабилизаторы. Эти дополнительные стабилизаторы общеизвестны специалисту в данной области техники и их выбор осуществляют в соответствии с конкретными требованиями, предъявляемыми к конечному продукту. В частности, можно вводить светостабилизаторы или антиоксиданты или дополнительные противоокислители (Справочник ” Plastics Additives Handbook”, под редакцией R. Gachter и Н. Muller, Hanser Verlag, 3-е изд., 1990: в частности, стр. 88/89, 92/94, 251/252 и 258/259).
Аналогичным образом можно вводить вспомогательные добавки, например, замасливатели, антиадгезионные смазки для форм, наполнители или армирующие материалы, например стекловолокно, антипирены, антистатики и, особенно в случае рецикловых материалов на основе PBT/PC, добавки, которые предотвращают переэтерификацию в течение процесса переработки.
В качестве добавок особенно пригодны для использования нижеследующие:1. Антиоксиданты 1.1. Алкилированные монофенолы, например, 2,6-ди-трет-бутил-4-метил-фенол, 2-трет-бутил-4,6-диметилфенол, 2,6-ди-трет-бутил-4-этилфенол, 2,6-ди-трет-бутил-4-н-бутил- фенол, 2,6-ди-трет-бутил-4-изобутилфенол, 2,6-дициклопентил-4-метилфенол, 2-( -метил-циклогексил)-4,6-диметилфенол, 2,6-диоктадецил-4-метилфенол, 2,4,6-трициклогексил-фенол, 2,6-ди-трет-бутил-4-метоксиметилфенол, неразветвленные или разветвленные в боковой цепи нонилфенолы, например, 2,6-динонил-4- метилфенол, 2,4-диметил-6-(1′-метилундец-1′-ил)фенол, 2,4- диметил-6-(1′-метилгептадец-1′-ил)фенол, 2,4-диметил-6-(1′- метилтридец-1′-ил)фенол и их смеси.
1.2. Алкилтиометилфенолы, например, 2,4-диоктилтиометил-6-трет-бутил-фенол, 2,4- диоктилтиометил-6-метилфенол, 2,4-диоктилтиометил-6-этилфенол, 2,6-ди-додецилтиометил-4-нонилфенол.
1.3. Гидрохиноны и алкилированные гидрохиноны, например, 2,6-ди-трет-бутил-4- метоксифенол, 2,5,-ди-трет-бутилгидрохинон, 2,5-ди-трет- амилгидрохинон, 2,6-дифенил-4-октадецилоксифенол, 2,6-ди-трет- бутилгидрохинон, 2,5-ди-трет-бутил-4-гидроксианизол, 3,5-ди-трет-бутил-4-гидроксианизол, 3,5-ди-трет- бутил-4-гидроксифенилстеарат, бис-(3,5-ди-трет-бутил-4- гидроксифенил)адипат.
1.4. Производные хромана формулы![]() где R означает -(CH2)3-CH(CH3)- (CH2)3-CH(CH3)-(CH2)3-CH- (CH3)2 или -CH3-CH2-O-C(O)- Z, a Z означает C1-C18 алкил, -CH2-CH2-S-C1-C18 алкил или ![]() R’ и R” означают водород, метил или трет-бутил, например -токоферол, -токоферол, -токоферол, -токоферол или их смеси (витамин E).
1.5. Гидроксилированные тиодифениловые простые эфиры, например, 2,2′-тиобис(6-трет-бутил-4-метилфенол), 2,2′-тиобис(4- октилфенол), 4,4′-тиобис-(6-трет-бутил-3-метилфенол), 4,4′- тиобис-(6-трет-бутил-2-метилфенол), 4,4′-тиобис-(3,6-ди-втор- амилфенол), 4,4′-бис-(2,6-диметил-4-гидроксифенил)дисульфид.
1.6. Алкилиденбисфенолы, например, 2,2′-метиленбис(6-трет-бутил-4- метилфенол), 2,2′-метиленбис(6-трет-бутил-4-этилфенол), 2,2′- метилен-бис[4-метил-6-( -метилцикло-гексил)фенол] , 2,2′- метиленбис(4-метил-6-цикло-гексилфенол), 2,2′-метиленбис(6-нонил- 4-метилфенол), 2,2′-метилен-бис(4,6-ди-трет-бутилфенол), 2,2′- этилиденбис(4,6-ди-трет- бутилфенол), 2,2′-этилиденбис(6-трет-бутил-4-изобутилфенол), 2,2′-метиленбис[6-( -метилбензил)-4-нонилфенол] , 2,2′- метиленбис[6- , -диметилбензил)-4-нонилфенол], 4,4′- метиленбис(2,6-ди-трет-бутилфенол), 4,4′-метилен-бис(6-трет-бутил- 2-метилфенол), 1,1-бис(5-трет-бутил-4-гидрокси-2- метилфенил)бутан, 2,6-бис(3-трет-бутил- 5-метил-2-гидроксибензил)- 4-метилфенол, 1,1,3-трис(5-трет-бутил-4-гидрокси-2- метилфенил)бутан, 1,1-бис(5-трет-бутил-4-гидрокси-2-метилфенил)- 3-н-додецилмеркапто-бутан, бис-[3,3-бис(3′-трет-бутил-4′- гидроксифенил)бутират] этиленгликоля, бис(3-трет-бутил-4-гидрокси-5- метилфенил)дициклопентадиен, бис[2-(3′-трет-бутил-2′-гидрокси- 5′-метил-бензил)-6-трет-бутил-4-метилфенил] терефталат, 1,1 -бис- (3,5-диметил-2-гидроксифенил)бутан, 2,2′-бис(3,5-ди-трет-бутил-4- гидроксифенил)пропан,2,2′-бис(5-трет-бутил-4-гидрокси-2- метилфенил)-4-н-додецилмеркаптобутан, 1,1,5,5-тетра-(5-трет-бутил- 4-гидрокси-2-метилфенил)пентан.
1.7. О-, N- и S-содержащие бензильные соединения, например, 3,5,3′,5′-тетра-трет-бутил-4,4′-дигидроксидибензиловый эфир, октадецил-4-гидрокси-3,5-диметилбензилмеркаптоацетат, тридецил-4-гидрокси-3,5-ди-трет-бутилбензилмеркаптоацетат, трис(3,5-ди-трет-бутил-4-гидроксибензил)амин, бис-(4-трет-бутил-3-гидрокси-2,6-диметилбензил)-дитио-терефталат, бис(3,5-ди-трет-бутил-4-гидроксибензил)сульфид, изооктил-3,5-ди-трет- бутил-4-гидроксибензилмеркаптоацетат.
1.8. Гидроксибензилированные малонаты, например, диоктадецил-2,2-бис-(3,5-ди-трет-бутил-2-гидроксибензил)малонат, диоктадецил-2-(3-трет-бутил-4-гидрокси-5-метил-бензил)малонат, ди-додецилмеркаптоэтил-2,2-бис-(3,5-ди-трет-бутил-4-гидрокси-бензил) малонат, бис-[4-(1,1,3,3, -тетраметилбутил)фенил]-2,2-бис(3,5-ди-трет- бутил-4-гидроксибензил)малонат.
1.9. Ароматические гидроксибензильные соединения, например, 1,3,5-трис-(3,5-ди-трет-бутил-4-гидроксибензил)-2,4,6-триметилбензол, 1,4-бис(3,5-ди-трет-бутил-4-гидрокси- бензил)-2,3,5,6-тетраметилбензол, 2,4,6-трис-(3,5-ди-трет-бутил-4- гидроксибензил)фенол.
1.10. Производные триазина, например, 2,4-бис(октилмеркапто-6-(3,5-ди-трет-бутил-4- гидроксианилино)-1,3,5-триазин, 2-октилмеркапто-4,6-бис(3,5-ди- трет-бутил-4-гидрокси-анилино)-1,3,5-триазин, 2-октилмеркапто-4,6- бис-(3,5-ди-трет-бутил-4-гидроксифенокси)-1,3,5-триазин, 2,4,6- трис-(3,5-ди-трет-бутил-4-гидроксифенокси)-1,2,3-триазин, 1,3,5- трис-(3,5-ди-трет-бутил-4-гидроксибензил)изоцианурат, 1,3,5-трис- (4-трет-бутил-3-гидрокси-2,6-диметил-бензил)изоцианурат, 2,4,6- трис(3,5-ди-трет-бутил-4-гидроксифенилэтил)-1,3,5-триазин, 1,3,5- трис-(3,5-ди-трет-бутил-4-гидроксифенилпропионил)-гексагидро- 1,3,5-триазин, 1,3,5-трис(3,5-дициклогексил-4- гидроксибензил)изоцианурат.
1.11. Бензилфосфонаты, например, диметил-2,5-ди-трет-бутил-4-гидроксибензилфосфонат, диэтил-3,5-ди- трет-бутил-4-гидроксибензилфосфонат, диоктадецил-3,5-ди-трет-бутил- 4-гидроксибензилфосфонат, диоктадецил-5 -трет-бутил-4-гидрокси-3-метил-бензилфосфонат, кальциевая соль сложного моноэтилового эфира 3,5-ди-трет-бутил-4-гидроксибензилфосфоновой кислоты.
1.12. Ациламинофенолы, например, 4-гидроксилауранилид, 4- гидроксистеаранилид, октил-N-(3,5-ди-трет-бутил-4-гидроксифенил) карбамат.
1.13. Сложные эфиры -(3,5-ди-трет-бутил-4- гидооксифенил)пропионовой кислоты с одно- или многоатомными спиртами, например, метанолом, этанолом, н-октанолом, изо-октанолом, октадеканолом, 1,6-гександиолом, 1,9-нонандиолом, этиленгликолем, 1,2-пропандиолом, неопентилгликолем, тиодиэтиленгликолем, диэтиленгликолем, триэтиленгликолем, пентаэритритом, трис(гидроксиэтил)изоциануратом, N,N’-бис-(гидроксиэтил)оксамидом, 3-тиаундеканолом, 3-тиапентадеканолом, триметилгександиолом, триметилолпропаном, 4-гидроксиметил-1-фосфа-2,6,7-триоксабицикло [2.2.2]-октаном.
1.14. Сложные эфиры -(5-трет-бутил-4-гидрокси-3- метилфенил)-пропионовой кислоты с одноатомными или многоатомными спиртами, например, метанолом, этанолом, н-октанолом, изооктанолом, октадеканолом, 1,6- гександиолом. 1,9-нонандиолом, этиленгликолем, 1,2-пропандиолом, неопентилгликолем, тиодиэтиленгликолем, диэтиленгликолем, триэтиленгликолем, пентаэритритом, трис(гидроксиэтил)- изоциануратом, N,N’-бис(гидроксиэтил)оксамидом, 3-тиаундеканолом, 3-тиапента-деканолом, триметилгексан-диолом, триметилолпропаном, 4-гидроксиметил-1-фосфа-2,6,7-триоксабицикло[2.2.2]-октаном.
1.15. Сложные эфиры (‘3,5-дициклогексил-4- гидроксифенил)пропионовой кислоты с одно- или многоатомными спиртами, например, метанолом, этанолом, октанолом, октадеканолом, 1,6-гександиолом, 1,9-нонандиолом, этиленгликолем, 1,2-пропандиолом, неопентилгликолем, тиодиэтиленгликолем, диэтиленгликолем, триэтиленгликолем, пентаэритритом, трис(гидроксиэтил)изоциануратом, N,N’-бис(гидроксиэтил)оксамидом, 3-тиаундеканолом, 3-тиапентадеканолом, триметилгександиолом, триметилолпропаном, 4-гидроксиметил-1-фосфа-2,6,7-триоксабицикло[2.2.2.]октаном.
1.16. Сложные эфиры 3,5-ди-трет-бутил-4-гидроксифенилуксусной кислоты с одно- или многоатомными спиртами, например, метанолом, этанолом, октанолом, октадеканолом, 1,6-гександиолом, 1,9-нонандиолом, этиленгликолем, 1,2-пропандиолом, неопентил-гликолем, тиодиэтиленгликолем, диэтиленгликолем, триэтиленгликолем, пентаэритритом, трис(гидроксиэтил)изоциануратом, N, N’-бис(гидроксиэтил)оксамидом, 3-тиаундеканолом, 3-тиапентадеканолом, триметилгександиолом, триметилолпропаном, 4-гидроксиметил-1-фосфа- 2,6,7-триоксабицикло-[2.2.2]октаном.
1.17. Амиды -(3,5-ди-трет-бутил-4-гидроксифенил)пропионовой кислоты, например, N,N’-бис-(3,5-ди-трет-бутил-4- гидроксифенилпропионил)гексаметилендиамин, N’, N’-бис(3,5-ди- трет-бутил-4-гидроксифенилпропионил)триметилендиамин, N, N’- биc(3,5-ди-трет-бутил-4-гидроксифенилпропионил)гидразин.
1.18. Аскорбиновая кислота (витамин C).
1.19. Антиоксиданты на основе аминов, например, N,N’-диизопропил-п-фенилендиамин, N’,N’-ди-втоp-бутил-п-фенилендиамин, N,N’-бис-(1,4- диметилпентил)-п-фенилендиамин, N, N’-бис(l-этил-3-метилфенил)-п- фенилендиамин,N, N’-бис(l-метилгептил)-п-фенилендиамин, N,N’- дициклогексил-п-фенилендиамин, N,N’-дифенил-п-фенилендиамин, N,N’-бис(2-нафтил)-п-фенилендиамин, N-изопpопил-N’-фенил-п- фенилендиамин, N-(1,3-диметилбутил)-N’-фенил-п-фенилендиамин, N-(1-метилгептил)-N’-фенил-п-фенилен-диамин, N-циклогексил-N’- фенил-п-фенилендиамин, 4-(п-толуолсульфамоил)дифениламин, N,N’- диметил-N,N’-ди-втор-бутил-п-фенилендиамин, дифениламин, N-аллил- дифениламин, 4-изопропокси-дифениламин, N-фенил-1-нафтиламин, N- (4-трет-октилфенил)-1-нафтиламин, N-фенил-2-нафтиламин, октилированный дифениламин, например, п,п’-ди-трет- октилдифениламин, 4-н-бутиламинофенол, 4-бутириламинофенол, 4-нонаноиламинофенол, 4-додеканоиламинофенол, 4-октадеканоиламино- фенол, бис(4-метоксифенил)амин, 2,6-ди-трет-бутил-4-диметиламино- метилфенол, 2,4′-диамино-дифенилметан, 4,4′-диаминодифенилметан, N,N,N’,N’-тетра-метил-4,4′- диаминодифенилметан, 1,2-бис[(2-метилфенил)амино] этан, 1,2- бис(фениламино)пропан, (орто-толил)-бигуанид, бис[4(1′,3′- диметил-бутил)фенил]амин, трет-октилированный N-фенил-1- нафтиламин, смесь моно- и диалкилированных трет-бутил/трет – октилдифениламинов, смесь моно- и диалкилированных нонилдифениламинов, смесь моно- и диалкилированных додецилдифениламинов, смесь моно- и диалкилированных изопропил/изогексилдифениламинов, смесь моно- и диалкилированных трет-бутилдифениламинов, 2,3-дигидро-3,3-диметил-4H-1,4- бензотиазин, фенотиазин, смесь моно- и диалкилированных трет- бутил/трет-октилфенотиазинов, смесь моно- и диалкилированных трет-октилфенотиазинов, N-аллилфенотиазин, N, N,N’,N’- тетрафенил-l,4-диаминобут-2-ен, N,N-бис(2,2,6,6-тетpаметил)пипеpид- 4-ил-гексаметилендиамин, бис(2,2,6,6-тетраметил)пиперид-4-ил-себацинат, 2,2,6,6- тетраметил-пиперидин-4-он, 2,2,6,6-тетраметилпиперидин-4-ол.
2. УФ-поглотители и светостабилизаторы2.1. 2-(2′-Гидроксифенил)бензотриазолы, например, 2-(2′-гидрокси-5′- метилфенил)-бензотриазол, 2-(3′,5′-ди-трет-бутил-2′- гидроксифенил)бензотриазол, 2-(5′-трет-бутил-2′- гидроксифенил)бензотриазол, 2-(2′-гидрокси-5′-(1,1,3,3- тетраметилбутил)фенил)-бензотриазол, 2-(3′,5′-ди-трет-бутил-2′- гидроксифенил)-5-хлорбензотриазол, 2-(3′-трет-бутил-2′-гидрокси- 5′-метилфенил)-5-хлорбензотриазол, 2-(3′-втор-бутил-5′-трет- бутил-2′-гидроксифенил)бензотриазол, 2-(2′-гидрокси-4′- октилоксифенил)бензотриазол, 2-(3′, 5′-ди-трет-амил-2′- гидроксифенил)бензотриазол, 2-(3′,5′-бис- , -диметилбензил)- 2′-гидроксифенил)бензотриазол, смесь 2-(3′-трет-6утил-2′- гидрокси-5′-(2-октилоксикарбонилэтил)фенил)-5-хлорбензотриазола, 2-(3′-трет-бутил-5′-[2-(2-этилгексилокси)карбонилэтил)] -2′- гидроксифенил)-5-хлорбензотриазола, 2-(3′-трет-бутил-2′-гидрокси-5′- (2-метоксикарбонилэтил)-фенил)-5-хлорбензотриазола, 2-(3′-трет-бутил- 2′-гидрокси-5′-(2-метокси-карбонилэтил)фенил)бензотриазола, 2-(3 ‘-трет-бутил-2′-гидрокси-5′-(2-октилоксикарбонилэтил)фенил)бензотриазола, 2-(3′-трет-бутил-5′-[2-(2- этилгексилокси)-карбонилэтил] -2′-гидроксифенил)бензотриазола, 2-(3′-додецил-2′-гидрокси-5′-метил-фенил)бензотриазола и 2-(3′- трет-бутил-2′-гидрокси-5′-(2-изооктилоксикарбонилэтил)- фенилбензотриазола, 2,2′-метилен-бис[4-(1,1,3,3-тетраметилбутил)- 6-бензотриазол-2-илфенол]; продукт переэтерификации 2-[3′-трет- бутил-5′-(2-метоксикарбонилэтил)-2’-гидроксифенил]-2Н- бензотриазола и полиэтиленгликоля 300 [R-CH2-CH2-COO(CH2)3]2, где R=3′-трет-бутил-4′-гидрокси-5′-2Н-бензотриазол-2-илфенил.
2.2. 2-Гидроксибензофеноны, например, 4-гидрокси-, 4-метокси-, 4-октилокси-, 4-децилокси-, 4-додецилокси-, 4-бензилокси-, 4,2′,4′-тригидрокси- и 2′-гидрокси-4,4-диметокси-производные.
2.3. Сложные эфиры замещенных и незамещенных бензойных кислот, например, 4-трет-бутилфенилсалицилат, фенилсалицилат, октилфенилсалицилат, дибензоилрезорцин, бис(4-трет-бутилбензоил)резорцин, бензоилрезорцин, 2,4-ди-трет- бутилфенил-3,5-ди-трет-бутил-4-гидроксибензоат, гексадецил-3,5-ди- трет-бутил-4-гидроксибензоат, октадецил-3,5-ди-трет-бутил-4- гидроксибензоат, 2-метил-4,6-ди-трет-бутилфенил-3,5-ди-трет-бутил- 4-гидроксибензоат.
2.4. Акрилаты, например, этил- -циано- , -дифенилакрилат, изооктил-а-циано-( , -дифенилакрилат, метил- -карбометоксициннамат, метил- -циано- -метил-п-метокси-циннамат, бутил- -циано- -метил-п-метоксициннамат, метил- – карбометокси-п-метоксициннамат и N- -каpбометокси- – циановинил)-2-метилиндолин.
2.5. Никельсодержашие соединения, например, никелевые комплексы 2,2′-тио-бис-[4-(1,1,3,3-тетраметилбутил)фенола], например комплекс никеля, 1:1 или 1: 2 с использованием дополнительных лигандов, например как н- бутиламин, триэтаноламин или N-циклогексил-диэтаноламин или без них дибутилдитиокарбамат никеля, никелевые соли моноалкиловых сложных эфиров, например, метилового или этилового сложного эфира 4-гидрокси-3,5-ди-трет-бутилбензилфосфоновой кислоты, никелевые комплексы кетоксимов, например, 2-гидрокси-4-метил- фенилундецилкетоксима, никелевые комплексы 1-фенил-4-лауроил-5- гидроксипиразола с дополнительными лигандами или без них.
2.6. Пространственно затрудненные амины, например, бис(2,2,6,6-тетраметил-4-пиперидил)себацат, бис(2,2,6,6- тетраметил-4-пиперидил)сукцинат, бис(1,2,2,6,6-пента-метил-4- пиперидил)себацат, бис(1 -октилокси-2,2,6,6-тетраметил-4- пиперидил)себацат, бис(1,2,2,6,6-пентаметил-4-пиперидил)-н-бутил- 3,5-ди-трет-бутил-4-гидроксибензил-малонат, продукт реакции конденсации 1-(2-гидроксиэтил)-2,2,6,6-тетраметил-4- гидроксипиперидина и янтарной кислоты, продукт реакции конденсации N,N’-бис(2,2,6,6- тетраметил-4-пиперидил)гексаметилендиамина и 4-трет- октиламино-2,6-дихлор-1,3,5-триазина, трис(2,2,6,6-тетраметил-4- пиперидил)нитрилтриацетат, тетракис-(2,2,6,6-тетраметил-4- пиперидил)-1,2,3,4-бутантетракарбоксилат, 1,1′-(1,2-этандиил)бис- (3,3,5,5-тетраметилпиперазинон), 4-бензоил-2,2,6,6- тетраметилпиперидин, 4-стеарилокси-2,2,6,6-тетраметилпиперидин, бис- (1,2,2,6,6-пентаметил-пиперидил)-2-н-бутил-2-(2-гидрокси-3,5-ди- трет-бутилбензил)малонат, 3-н-октил-7,7,9,9-тетраметил-1,3,8- триазаспиро[4.5] декан-2,4-дион, бис-(1-октилокси-2,2,6,6- тетраметилпиперидил)себацат, бис(1-октилокси-2,2,6,6- тетраметилпиперидил)сукцинат, продукт реакции конденсации N, N’- бис-(2,2,6,6-тетраметил-4-пиперидил)гексаметилендиамина и 4- морфолино-2,6-дихлор-1,3,5-триазина, продукт реакции конденсации 2-хлор-4,6-бис(4-н-бутиламино-2,2,6,6-тетраметил-пиперидил)-1,3,5- триазина и 1,2-бис-(3-аминопропиламино)этана, продукт реакции конденсации 2-хлор-4,6-ди-(4-н-бутиламино-1,2,2,6,6- пентаметилпиперидил)-1,3,5-триазина и 1,2-бис-(3- аминопропиламино)этана, 8-ацетил-3-додецил-7,7,9,9-тетраметил- 1,3,8-триаза-спиро[4,5] декан-2,4-дион, 3-додецил-1-(2,2,6,6- тетраметил-4-пиперидил)-пирролидин-2,5-дион, 3-додецил-1-(1,2,2,6,6-пентаметил-4-пиперидил)пирролидин-2,5-дион, смесь 4- гексадецилокси- и 4-стеарилокси-2,2,6,6-тетраметилпиперидина, продукт реакции конденсации N,N’-бис(2,2,6,6-тетраметил-4- пиперидил)гексаметилендиамина и 4-циклогексиламино-2,6-дихлор- 1,3,5-триазина, продукт реакции конденсаций 1,2-бис(3- аминопропиламино)этана и 2,4,6-трихлор-1,3,5-триазина, а также 4- бутиламино-2,2,6,6-тетраметил-пиперидина (CAS, per.N.[136504-96- 6]; N-(2,2,6,6-тетраметил-4-пиперидил)-н-додецилсукцинимид, N- (1,2,2,6,6-пентаметил-4-пиперидил)-н-додецилсукцинимид, 2-ундецил- 7,7,9,9-тетраметил-1-окса-3,8-диаза-4-оксо-спиро[4.5] декан, продукт взаимодействия 7,7,9,9-тетраметил-2-циклоундецил-1-окса- 3,8-диаза-4-оксо-спиро[4.5]-декана и эпихлоргидрина.
2.7. Оксамиды, например, 4,4′-диоктилоксиоксанилид, 2,2- диэтоксиоксанилид, 2,2′- диоктилокси-5,5′-ди-трет-бутоксанилид, 2,2′-дидоцецилокси- 5,5′-ди-трет-бутоксанилид, 2-этокси-2′-этилоксанилид, N, N’- бис(3 -диметил-аминопропил)оксамид, 2-этокси-5-трет- бутил-2′-этоксанилид и его смесь с 2-этокси-2′-этил-5,4′- ди-трет-бутоксанилидом, а также смеси орто- и пара- метоксидизамещенных оксанилидов и смеси орто- и пара-этокси- дизамещенных оксанилидов.
2.8. 2-(2-Гидрокси фенил)-1,3,5-триазины, например, 2,4,6-трис(2-гидрокси-4-октил-оксифенил)- 1,3,5-триазин, 2-(2-гидрокси-4-октилоксифенил)-4,6-бис-(2,4- диметилфенил)-1,3,5-триазин, 2-(2,4-дигидроксифенил)-4,6-бис(2,4- диметилфенил)-1,3,5-триазин, 2,4-бис-(2-гидрокси-4- пропилоксифенил)-6-(2,4-диметилфенил)-1,3,5-триазин, 2-(2- гидрокси-4-октилоксифенил)-4,6-бис-(4-метилфенил)-1,3,5-триазин, 2-(2-гидрокси-4-додецилокси-фенил)-4,6-бис-(2,4-диметилфенил)- 1,3,5-триазин, 2-(2-гидрокси-4-тридецилоксифенил)-4,6-бис-(2,4-ди метил-фенил)-1,3,5-триазин, 2-[2-гидрокси-4-(2-гидрокси-3- бутилокси-пропокси)фенил] -4,6-бис(2,4-диметил)-1,3,5-триазин, 2- [2-гидрокси-4-(2-гидрокси-3-октилоксипропилокси)фенил] -4,6- бис(2,4-диметил)-1,3,5-триазин, 2-[4-(додецилокси/тридецилокси-2- гидроксипропокси)-2-гидроксифенил] -4,6-бис(2,4-диметилфенил)- 1,3,5-триазин, 2-[2-гидрокси-4-(2-гидрокси-3- додецилоксипропокси)фенил] -4,6-бис(2,4-диметилфенил)-1,3,5- триазин, 2-(2-гидрокси-4-гексилокси)-фенил] -4,6-дифенил)-1,3,5- триазин, 2-(2-гидрокси-4-метоксилфенил] -4,6-дифенил)-1,3,5- триазин, 2,4,6-трис[2-гидрокси-4-(3-бутокси-2- гидроксипропокси)фенил] -1,3,5-триазин, 2-(2-гидроксифенил)-4-(4- метоксифенил)-6-фенил)-1,3,5-триазин.
3. Дезактиваторы металлов, например, N, N’-дифенилоксамид, N-салицилаль-N’-салицилоилгидразин, N,N’-бис(салицилоил)гидразин, N,N’-бис(3,5-ди-трет-бутил-4-гидрокси-фенилпропионил)гидразин, 3-салицилоиламино-1,2,4-триазол, бис(бензилиден)оксалил-дигидразид, оксанилид, изофталоилдигидразид, себацилбисфенилгидразид, N,N’- диацетиладипоилдигидразид, N,N’-бис(салицилоил)оксалилдигидразид, N,N’- бис(салицилоил)тиопропионилдигидразид.
4. Фосфиты и фосфониты. например, трифенилфосфит, дифенилалкилфосфиты, фенил-диалкилфосфиты, трис(нонилфенил)фосфит, трилаурилфосфит, триоктадецилфосфит, дистеарилпентаэритритдифосфит, трис(2,4-ди-трет-бутилфенил)фосфит, диизодецил-пентаэритритдифосфит, бис(2,4-ди-трет-бутилфенил)пентаэритритдифосфит, бис(2,6-ди-трет-бутил-4-метил-фенил)пентаэритритдифосфит, диизодецилоксипента-эритритдифосфит, бис-(2,4-ди-трет-бутил-6- метилфенил)пентаэритритдифосфит, бис(2,4,6-трис(трет- бутилфенил)пентаэритритдифосфит, тристеарилсорбита трифосфит, тетракис(2,4-ди-трет-бутил-фенил)-4,4′-дифенилендифосфонит, 6- изооктил-окси-2,4,8,10-тетра-трет-бутил-12Н-дибенз-[d, g] -1,3,2- диоксафосфоцин, 6-фтор-2,4,8,10-тетра-трет-бутил-12- метилдибенз[d, g] -1,3,2-диоксафосфоцин, бис(2,4-ди-тpет-бутил-6- метилфенил)метилфосфит, бис(2,4-ди-трет-бутил-6- метилфенил)этилфосфит.
Особое предпочтение отдают следующим фосфитам:трис(2,4-ди-трет-бутилфенил)фосфиту; ![]() ![]() ![]() ![]() ![]() ![]() ![]() ![]() Наибольшее предпочтение отдают трис(2,4-ди-трет-бутилфенил)фосфиту. 5. Гидроксиламины, например, N,N-дибензилгидроксиламин, N,N-диэтилгидроксиламин, N,N-диоктилгидpоксиламин, N,N-дилауpилгидpоксиламин, N,N-дитетpадецилгидpоксиламин, N, N-дигексадецилгидроксиамин, N,N-диоктадецилгидpоксиламин, N-гексадецил-N-октадецилгидроксиламин, N-гептадецил-N-октадецилгидроксиламин, N, N-диалкилгидроксиламин, образованный из амина гидрированного жира. 6. Нитроны, например, N-бензил- -фенилнитрон, N- этил- -метилнитрон, N-октил- -гептилнитрон, N-лаурил- -ундецилнитрон, N-тетрадецил- -тридецилнитрон, N-гексадецил- -пентадецилнитрон, N-октадецил- -гептадецилнитрон, N-гексадецил- -гептадецилнитрон, N-октадецил- -пентадецилнитрон, N-гептадецил- -гептадецилнитрон, N-октадецил- -гексадецилнитрон, нитрон, полученный на основе N, N-диалкилгидроксиламина, образованного из амина гидрированного жира.
7. Тиосинергисты, например, дилаурилтиодипропионат или дистеарилтиодипропионат.
8. Пероксидные поглотители, например, сложные эфиры- -тиодипропионовой кислоты, например, сложный лауриловый, стеариловый, миристиловый или тридециловый эфиры, меркаптобензимидазол или цинковая соль 2-меркаптобензимидазола, дибутилдитиокарбамат цинка, диоктадецилдисульфид, пентаэритрит-тетракис додецилмеркапто-пропионат.
9. Стабилизаторы полиамидов, например, соли меди в комбинации с иодидами и/или соединениями фосфора и солями двухвалентного марганца.
10. Основные со-стабилизаторы, например, меламин, поливинил-пирролидон, дициандиамид, триаллилцианурат, производные мочевины, производные гидразина, амины, полиамиды, полиуретаны, соли щелочных и щелочноземельных металлов высших жирных кислот, например, стеарат кальция, стеарат цинка, бегенат магния, стеарат магния, рицинолеат натрия и пальмитат калия, пирокатехолят сурьмы или олова.
11. Зародышеобразователи, например, неорганические вещества, такие как тальк, оксиды металлов, например, диоксид титана или оксид магния, фосфаты, карбонаты или сульфаты, предпочтительно, щелочноземельных металлов, органические соединения, такие как моно- или поликарбоновые кислоты и их соли, например, 4-трет- бутил-бензойная кислота, адипиновая кислота, дифенилуксусная кислота, сукцинат натрия или бензоат натрия; полимерные соединения, такие как иономерные сополимеры (иономеры).
12. Наполнители и армирующие добавки, например, карбонат кальция, силикаты, стекловолокна, стеклянная дробь, асбест, тальк, каолин, слюда, сульфат бария, оксиды и гидроксиды металлов, сажа, графит, древесная мука и мука или волокна из других природных продуктов, синтетические волокна.
13. Другие добавки, например, пластификаторы, замасливатели, эмульгаторы, пигменты, добавки, улучшающие реологические свойства, катализаторы, регуляторы текучести, оптические отбеливатели, антипирены, антистатики и вспенивающие агенты.
14. Бензофураноны и индолиноны, например, раскрытые в патентах США N. 4325863, 4338244, 5175312, 5216052, 5252643, Германии N. 4316611, 4316622, 4316876, Европатентах N. 0589839 или 0591102, или 3-[4-(2-ацетоксиэтокси)-фенил] -5,7-ди-трет-бутилбензофуран-2-он, 5,7-ди-трет-бутил-3-[4-(2-стеароилоксиэтокси)фенил] бензофуран- 2- он, 3,3′-бис[5,7-ди-трет-бутил-3-(4-[2- гидроксиэтокси] фенил)бензофуран-2-он] , 5,7-ди-трет-бутил-3 -(4- этоксифенил)бензофуран-2-он, 3 -(4-ацетокси-3,5-диметилфенил)- 5,7-ди- трет-бутилбензофуран-2-он, 3-(3,5-диметил-4- пивалоилоксифенил)-5,7-ди-трет-бутил-бензофуран-2-он.
Предпочтение отдают светостабилизаторам, выбранным из классов 2.1, 2.6 и 2.7, например светостабилизаторам типа Chimassorb 944, Chimassorb 119, Tinuvin 234, Tinuvin 312, Tinuvin 622 и Tinuvin 770. Кроме того предпочтение отдают ароматическим фосфитам и фосфонитам.
Твердофазную последующую конденсацию осуществляют известным способом (см. , например, EP-A-0090915 или статью S.A. Jabarin и других в журнале Journal of Applied Polymer Science, том 32, стр. 5315-5335 (1986). В соответствии с предлагаемым новым способом настоящего изобретения, поликонденсат нагревают до температуры в диапазоне приблизительно от 100 до 5oC ниже точки его плавления. В особенно предпочтительном варианте осуществления нового способа настоящего изобретения, поликонденсат нагревают до температуры в диапазоне приблизительно от 60 до 5oC, в частности, от 40 до 5oC, ниже точки его плавления. В этом температурном диапазоне поликонденсат подвергают обработке в потоке инертного газа или в вакууме, пока он не достигнет требуемой высокой степени вязкости или, при желании, получения разветвленного, сшитого или частично сшитого поликонденсата.
Пространственно затрудненный гидроксифенилалкиловый сложный эфир или моноэфир фосфоновой кислоты и полифункциональное соединение, выбранное из класса, состоящего из эпоксидов, оксазолинов, оксазолонов, оксазинов, изоцианатов, ангидридов, ациллактамов, малеимидов, спиртов, карбодиимидов и сложных эфиров, можно использовать каждый по-отдельности в качестве добавки в форме жидкостей, порошков, гранул или в уплотненном виде, либо в альтернативном варианте на подложке, например на подложке из силикагеля или вместе с полимерным порошком или воском, например полиэтиленовым воском.
В расчете на 100 частей поликонденсата можно добавлять предпочтительно от 0,01 до 5 частей пространственно затрудненного гидроксифенилалкилового сложного эфира или моноэфира фосфоновой кислоты и от 0,01 до 5 частей полифункционального соединения, выбранного из класса, состоящего из эпоксидов, оксазолинов, оксазолонов, оксазинов, изоцианатов, ангидридов, ациллактамов, малеимидов, спиртов, карбодиимидов и сложных эфиров. В предпочтительном варианте осуществления изобретения используют от 0,02 до 2 частей, в частности, от 0,05 до 1 части, пространственно затрудненного гидроксифенилалкилового сложного эфира или моноэфира фосфоновой кислоты или, особенно предпочтительно от 0,02 до 2 частей, в частности, от 0,05 до 1 части пространственно затрудненного гидроксифенилалкилового сложного эфира или моноэфира фосфоновой кислоты и от 0,02 до 2 частей, предпочтительно от 0,05 до 1 части полифункционального соединения, выбранного из класса, состоящего из эпоксидов, оксазолинов, оксазолонов, оксазинов, изоцианатов, ангидридов, ациллактамов, малеимидов, спиртов, карбодиимидов и сложных эфиров.
Используемое количество пространственно затрудненного гидроксифенилалкилового сложного эфира или моноэфира фосфоновой кислоты и полифункционального соединения, выбранного из класса, состоящего из эпоксидов, оксазолинов, оксазолонов, оксазинов, изоцианатов, ангидридов, ациллактамов, малеимидов, спиртов, карбодиимидов и сложных эфиров зависит от начальной молекулярной массы полимера и требуемой молекулярной массы конечного продукта, например, имеющего небольшую молекулярную массу, предпочтительно использование пространственно затрудненного гидроксифенилалкилового сложного эфира или моноэфира фосфоновой кислоты или пространственно затрудненного гидроксифенилалкилового сложного эфира или моноэфира фосфоновой кислоты и полифункционального соединения, выбранного из класса, состоящего из эпоксидов, оксазолинов, оксазолонов, оксазинов, изоцианатов, ангидридов, ациллактамов, малеимидов, спиртов, карбодиимидов и сложных эфиров в верхних граничных количествах. Если, в противоположность этому, необходимо только незначительное увеличение молекулярной массы, то добавку или добавки используют в низких концентрациях.
В случае, если хотят получить сшитый или частично сшитый, то есть нерастворимый, поликонденсат, то целесообразно использовать относительно высокую концентрацию полифункционального соединения, содержащего больше двух реакционноспособных групп в молекуле.
Данное изобретение позволяет регулировать молекулярную массу и степень сшивания конечного продукта через реакционное время и через температуру.
В случае переработки сложного полиэфира, возвращенного в повторный цикл, его можно смешивать со свежеполученным материалом или использовать вместе со свежеполученным материалом, например в процессе совместной экструзии. Стабилизацию и увеличение молекулярной массы в этом случае можно выполнять независимо друг от друга.
Данное изобретение относится также к использованию пространственно затрудненного гидроксифенилалкилового сложного эфира или моноэфира фосфоновой кислоты для повышения молекулярной массы поликонденсата. Предпочтение отдают использованию, которое охватывает этот способ.
Настоящее изобретение более подробно иллюстрируются нижеследующими Примерами, которые ни в коей мере не служат ограничением его объема. За исключением особо оговоренных случаев, все количества компонентов выражены в вес. частях и вес. процентах.
Примеры 1-6: Увеличение молекулярной массы бывшего в употреблении материала на основе ПЭТФ твердофазной конденсацииБывший в употреблении материал на основе ПЭТФ из собранных бутылок (происхождение: Швейцария) экструдируют в двухшнековом экструдере (Wemer + Pfleiderer ZSK 25) при температуре 260oC с введением добавок, указанных в Таблице 1. Полученный экструдат гранулируют и гранулят затем подвергают твердофазной конденсации в барабанной сушилке при температуре 230oC в течение 23 часов в вакууме приблизительно 1 мбар. Характеристическую вязкость [ ] полимера определяют при использовании раствора, содержащего 1 г полимера в 100 г смеси о-дихлорбензола и фенола, 1:1, при температуре 30oC. Полученные результаты приведены в Таблице 1. Из таблицы можно видеть, что чем выше характеристическая вязкость, тем больше увеличение молекулярной массы. Термин “нерастворимый”, используемый в колонке “характеристическая вязкость”, означает, что характеристическую вязкость нельзя было измерить, поскольку 1 г образца полимера нерастворим в 100 г смеси о-дихлорбензола и фенола, 1:1, при температуре 30oC.
Из Таблицы 1 видно заметное увеличение показателя характеристической вязкости по Примерам 2-6 предлагаемого изобретения, что свидетельствует об увеличении молекулярной массы.
Irganox 1222 (фирмы Ciba-Geigy) представляет собой соединение формулы II.
![]() Irganox 1425 представляет собой соединение формулы III.
![]() Irganox 1010 (фирмы Ciba-Geigy) представляет собой пентаэритрил-тетракис-[3-(3,5-ди-трет-бутил-4-гидроксифенил)пропионат].
Araldit GT 6071 (фирмы Ciba-Geigy) представляет собой диглицидиловый эфир бисфенола A с эпоксидным числом 2,15-2,22 экв./кг и температурой размягчения в диапазоне от 70-75oC.
Примеры 1-8: Увеличение молекулярной массы бывшего в употреблении материала на основе ПЭТФ твердофазной конденсацииБывший в употреблении материал на основе ПЭТФ из собранных бутылок (происхождение: Швейцария) экструдируют в двухшнековом экструдере (Wemer + Pfleiderer ZSK 25) при температуре 260oC с введением добавок, указанных в Таблице 2. Полученный экструдат гранулируют и гранулят затем подвергают твердофазной конденсации в барабанной сушилке при температуре 230oC в течение 23 часов в вакууме приблизительно 1 мбар. Характеристическую вязкость [ ] полимера определяют по методике, аналогичной Примерам 1-6 при использовании раствора, содержащего 1 г полимера в 100 г смеси о-дихлорбензола и фенола, 1:1, при температуре 30oC. Полученные результаты приведены в Таблице 2. Из таблицы можно видеть, что чем выше характеристическая вязкость, тем больше увеличение молекулярной массы. Термин “сшитый”, используемый в колонке “характеристическая вязкость”, означает, что характеристическую вязкость нельзя было измерить, поскольку 1 г образца полимера нерастворим в 100 г смеси о-дихлорбензола и фенола, 1:1, при температуре 30oC.
Проведены сравнительные испытания повышения молекулярной массы сложных полиэфиров по известному и заявляемому способам.
Отчет об испытанииИспытуемые соединения A) Трифенилфосфит, раскрытый в заявке EP-A-0 090 915 (Примеры от 1 до 3). ![]() B) Трис(2,4-ди-трет-бутилфенил)фосфит, в общих чертах раскрытый в заявке EP-A-0 090 915 (стр. 3, последний абзац). ![]() C) Irganox 1222 (фирмы Ciba Specialty Chemicals Inc.) в соответствии с настоящим изобретением.
![]() Методика испытаний: Повышение молекулярной массы ПЭТФ методом твердофазной поликонденсации. ПЭТФ (polyclear RT 43 фирмы Hoechst Trevira, Швейцария) экструдируют на двухшнековом экструдере (фирмы Haake TW100) при 270oC вместе с добавками, указанными в Таблице 1. Экструдат гранулируют и гранулы затем подвергают твердофазной поликонденсации в барабанной сушилке при 220oC в течение 10 часов в вакууме примерно 1 мбар. Характеристическую вязкость [ ] полимера определяют с использованием раствора, содержащего 1 г указанного полимера в 100 г смеси о-дихлорбензола и фенола, 1:1, при 30oC. Показатели увеличения характеристической вязкости за 1 час твердофазной поликонденсации приведены в Таблице 1a. Чем выше показатель увеличения характеристической вязкости за час, тем больше показатель повышения молекулярной массы.
Результаты испытаний.
Из Таблицы 1a можно четко видеть, что показатель увеличения характеристической вязкости за час лучше в Примере 3 в соответствии с настоящим изобретением, по сравнению с Примерами 1 и 2. Эти результаты явились неожиданностью и их нельзя было предполагать.
Формула изобретения
![]() где R1 означает изопропил, трет-бутил, циклогексил или циклогексил, замещенный 1-3 C1-C4 алкильными группами; R2 означает водород, C1-C4 алкил, циклогексил или циклогексил, замещенный 1-3 C1-C4 алкильными группами; R3 означает C1-C20 алкил, или незамещенный или C1-C4 алкилзамещенный фенил или нафтил; R4 означает водород, C1-C20 алкил, незамещенный или C1-C4 алкилзамещенный фенил или нафтил, или означает где Мr+ означает катион r – валентного металла, r имеет значение 1,2 и 3;n = 1-6. 5. Способ по п. 1, отличающийся тем, что в качестве пространственно затрудненного гидроксифенилалкилового сложного эфира или моноэфира фосфоновой кислоты используют любое соединение формулы II или III ![]() ![]() 6. Способ по п.1, отличающийся тем, что в качестве сложного полиэфира используют ПЭТФ. 7. Способ по п.2, отличающийся тем, что в качестве полифункционального соединения из класса эпоксисоединений используют соединение, содержащее эпоксидные радикалы формулы IV ![]() где в случае, когда R5 и R7 означают водород, R6 означает водород или метил, а р= 0; или когда R5 и R7 вместе означают группу -CH2-CH2– или -CH2-CH2-CH2-, то R6 означает водород, а р=0 или 1, причем указанные радикалы связаны непосредственно с атомами углерода, кислорода, азота или серы. 8. Способ по п.2, отличающийся тем, что в качестве полифункционального соединения из класса спиртов используют пентаэритрит или дипентаэритрит. 9. Способ по п.2, отличающийся тем, что в качестве полифункционального соединения из класса сложных эфиров используют пентаэритритил-тетракис [3-(3,5-дитрет-бутил-4-гидроксифенил) пропионат]. 10. Способ по п.1, отличающийся тем, что используют от 0,01 до 5 частей пространственно затрудненного гидроксифенилалкилового сложного эфира или моноэфира фосфоновой кислоты на 100 ч. сложного полиэфира. 11. Способ по п. 2, отличающийся тем, что используют от 0,01 до 5 ч. полифункционального соединения на 100 ч. сложного полиэфира. РИСУНКИ
|
||||||||||||||||||||||||||






-гидроксиэтоксифенил)пропан и полиоксиалкиленгликоли, например, диэтиленгликоль, триэтиленгликоль, полиэтиленгликоль и полипропиленгликоль. Алкилендиолы предпочтительно имеют структуру с прямой цепью и содержат, в частности, от 2 до 4 атомов углерода.
К предпочтительным диолам относятся алкилендиолы, 1,4-дигидроксициклогексан и 1,4-бис(гидроксиметил)циклогексан. Особое предпочтение отдают этиленгликолю, 1,4-бутандиолу и 1,2- и 1,3-пропиленгликолю.
Кроме того, в качестве алифатических диолов можно использовать (









1222 (фирмы Ciba-Geigy). Соединения формулы III также имеются в продаже и известны под торговым именем Irganox

или R12 может также означать незамещенный или C1-C4 алкилзамещенный бензолтриил, при условии, что
, или R12 может также означать незамещенный или C1-C4 алкилзамещенный фенилен,
, означает группировку, три связи которой могут находиться как у того же самого, так и у разных атомов. В качестве примера могут служить метантриил, 1,1,1-этантриил, 1,1,1-пропантриил, 1,1,1-бутантриил, 1,1,1-пентантриил, 1,1,1-гексантриил, 1,1,1-гептантриил, 1,1,1-октантриил, 1,1,1-нонантриил, 1,1,1-декантриил, 1,1,1-ундекантриил, 1,1,1-додекантриил, 1,2,3-пропантриил, 1,2,3-бутантриил, 1,2,3-пентантриил, 1,2,3-гексантриил, 1,1,3-циклопентантриил, 1,3,5-циклогексантриил, 3-оксо-1,1,5-пентантриил, З-тио-1,1,5- пентантриил или 3-метиламино-1,1,5-пентантриил.
Используемый в данном описании термин двухвалентный линейный, разветвленный или циклоалифатический радикал, содержащий от 1 до 18 атомов углерода, который может быть прерван кислородом, серой или группой
, означает группировку, три связи которой могут находиться как у того же самого, так и у разных атомов. В качестве примера может служить метилен, этилен, пропилен, бутилен, пентилен, гексилен, гептилен, октилен, нонилен, децилен, ундецилен или додецилен.
В качестве незамещенного или C1-C4 алкилзамещенного бензолтриила, который предпочтительно содержит от 1 до 3, особенно 1 или 2 алкильных групп, может служить, например, 1,2,4-бензолтриил, 1,3,5-бензолтриил, 3-метил-1,2,4-бензолтриил или 2-метил-1,3,5-бензолтриил. Особое предпочтение отдают 1,2,4-бензолтриилу и 1,3,5-бензолтриилу.
Особый интерес представляют соединения формулы V, где радикалы R8, R9, R10 и R11, каждый независимо от друг друга, означает водород или C1-C4 алкил, a R12 означает 1,2,4-бензолтриил или 1,3,5-бензолтриил.
Особый интерес также представляют соединения формулы V, например 2,2′, 2”-(1,3,5-бензолтриил)трис-2-оксазолин; 2,2′, 2”-(1,2,4- бензолтриил)трис-4,4-диметил-2-оксазолин; 2,2′,2”(1,3,5-бензолтриил)трис-4,4-диметил-2-оксазолин; 2,2′,2”-(1,2,4-бензолтриил)трис-5-метил-2-оксазолин; или 2,2′,2”-(1,3,5- бензолтриил)трис-5-метил-2-оксазолин.
Дифункциональные соединения из класса бисоксазолинов, которым отдают предпочтение в предлагаемом изобретении, описаны Т. Loontjens и другими, Makromol. Chem., Macromol. Symp. вып.75, стр. 211-216 (1993), и представляют собой, например, соединения формулы:



































-D-гликопиранозил-O-маннита дигидрат. Особое предпочтение отдают пентаэритриту, дипентаэритриту, трис(гидроксиэтил)изоцианурату.
В расчете на 100 частей поликонденсата, можно использовать предпочтительно от 0,01 до 5 частей, особенно предпочтительно от 0,02 до 2 частей, в частности, от 0,05 до 1 части полифункционального спирта.
Полифункциональные, в частности, дифункциональные соединения из класса карбодиимидов, используемые в предлагаемом изобретении, известны и представляют собой, например, соединения формулы XI














-диметилбензил или 2- фенилэтил. Предпочтение отдают бензилу.
В случае, если w = 2-6, то R52 означает w-валентный радикал гексозы, образованный, например, из аллозы, алтрозы, глюкозы, маннозы, гулозы, идозы, галактозы или талозы, то есть для получения соответствующих соединений формулы XII, 1, 2, 3, 4, 5 или 6 групп-OH должны быть заменены сложноэфирной группой E-1,









-токоферол,
-токоферол или их смеси (витамин E).
1.5. Гидроксилированные тиодифениловые простые эфиры, например, 2,2′-тиобис(6-трет-бутил-4-метилфенол), 2,2′-тиобис(4- октилфенол), 4,4′-тиобис-(6-трет-бутил-3-метилфенол), 4,4′- тиобис-(6-трет-бутил-2-метилфенол), 4,4′-тиобис-(3,6-ди-втор- амилфенол), 4,4′-бис-(2,6-диметил-4-гидроксифенил)дисульфид.
1.6. Алкилиденбисфенолы, например, 2,2′-метиленбис(6-трет-бутил-4- метилфенол), 2,2′-метиленбис(6-трет-бутил-4-этилфенол), 2,2′- метилен-бис[4-метил-6-(







] полимера определяют при использовании раствора, содержащего 1 г полимера в 100 г смеси о-дихлорбензола и фенола, 1:1, при температуре 30oC. Полученные результаты приведены в Таблице 1. Из таблицы можно видеть, что чем выше характеристическая вязкость, тем больше увеличение молекулярной массы. Термин “нерастворимый”, используемый в колонке “характеристическая вязкость”, означает, что характеристическую вязкость нельзя было измерить, поскольку 1 г образца полимера нерастворим в 100 г смеси о-дихлорбензола и фенола, 1:1, при температуре 30oC.
Из Таблицы 1 видно заметное увеличение показателя характеристической вязкости по Примерам 2-6 предлагаемого изобретения, что свидетельствует об увеличении молекулярной массы.
Irganox 





где Мr+ означает катион r – валентного металла, r имеет значение 1,2 и 3;

