Патент на изобретение №2158270
|
||||||||||||||||||||||||||
(54) N-ЦИАНОМЕТИЛИРОВАННЫЕ ХИТОЗАНЫ, ПРОДУКТЫ ИХ ГИДРОЛИЗА, СПОСОБ ИХ ПОЛУЧЕНИЯ И ПРИМЕНЕНИЕ
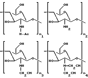
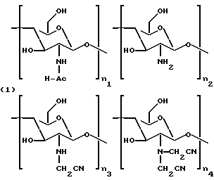
(57) Реферат: Изобретение касается новых N-цианометилированных хитозанов формулы 1, где степень полимеризации (x) равняется 5-10000, предпочтительно 20-500, n1 равняется 0-0,6, предпочтительно 0,05-0,20 части, в расчете на x; n2 равняется 0-0,20, предпочтительно 0,05-0,10 части, в расчете на x; n3+n4 равняется 0,4-1,0, предпочтительно 0,8-0,95 части, в расчете на x; продуктов их гидролиза, а также процессов получения этих соединений и применения. Цианометилированные хитозаны, в особенности продукты их гидролиза обнаруживают многостороннюю полезность как разделяющие мембраны, комплексообразующие агенты, ингибиторы образования твердых отложений, стабилизаторы отбеливающих растворов, влагоудержатели в косметических композициях, загустители и репелленты. 5 с. и 1 з.п.ф-лы, 6 табл.
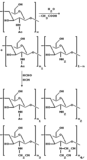
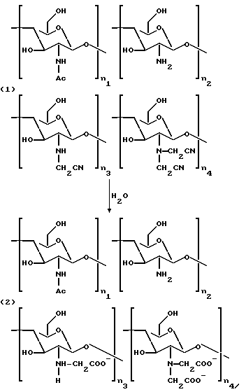
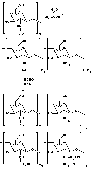
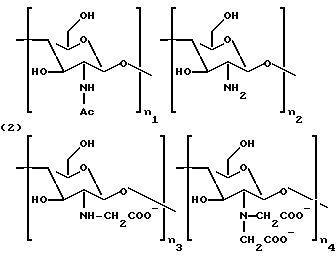
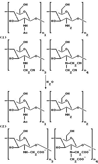
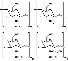
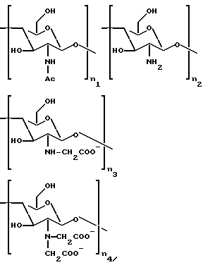
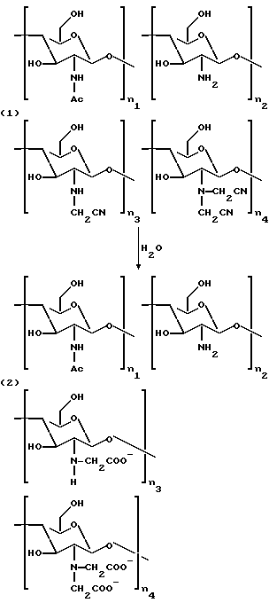
Настоящее изобретение касается N-цианометилированных хитозанов, продуктов гидролиза вышеуказанных N-цианометилированных хитозанов, их получения и применения. Указанные N-цианометилированные хитозаны могут найти применение в качестве разделяющих мембран, а продукты гидролиза указанных N-цианометилированных хитозанов могут найти применение в качестве загустителей, репеллентов, секвестрантов, комплексообразующих веществ, ингибиторов образования твердых отложений, стабилизаторов отбеливающих растворов и для удержания влаги в косметических композициях. Известен хитозан, который получают деацетилированием хитина, встречающегося в природе поли-(N-ацетилглюкозамина). Хитозан нерастворим в нейтральной и щелочной средах. Однако, благодаря своему химическому строению в кислой среде он образует растворимые соли с определенными органическими и неорганическими кислотами. В основу изобретения положена задача получения новых производных хитозана – N-цианометилированных хитозанов, а также продуктов их гидролиза, обладающих рядом ценных свойств (пленкообразующие, связывающие, влагоудерживающие свойства и др. ), благодаря которым указанные вещества могут найти широкое применение в качестве загустителей, репеллентов, стабилизаторов отбеливающих растворов, для удержания влаги в косметических композициях и другое. Задача решена тем, что, согласно изобретению, заявляемый N-цианометилированный хитозан, содержит элементарные звенья формулы (1) ![]() где степень полимеризации (x) равняется 5-10000, предпочтительно 20-500, n1 равняется 0-0,6, предпочтительно 0,05-0,20 части, основываясь на значении x (в расчете на x); n2 равняется 0-0,20, предпочтительно 0,05-0,10 части, в расчете на x; (n3 + n4) равняется 0,4-1,0, предпочтительно 0,8-0,95 части, в расчете на z. N-цианометилированные хитозаны – это полимеры, обладающие пленкообразующими свойствами. Они образуют прочные, механически и химически стойкие пленки в растворах, содержащих муравьиную кислоту. Поэтому они могут быть особенно полезны для приготовления разделяющих мембран высшей прочности. Способ получения N-цианометилированного хитозана, согласно изобретению, включает взаимодействие хитозана с формальдегидом и цианидом водорода в интервале температур от 10 до 70oC и при времени реакции от 0,5 до 12 часов, предпочтительно от 2 до 5 часов, в соответствии со следующей схемой реакции: ![]() где степень полимеризации x равняется 5-10000, предпочтительно 20-500; n1 равняется 0-0,6, предпочтительно 0,05-0,2 части, в расчете на x; n2 равняется 0-0,20, предпочтительно 0,05-0,1 части, в расчете на x; (n3 + n4) равняется 0,4-1,0, предпочтительно 0,8-0,95 части, в расчете на x. Предпочтительно реакцию проводят в присутствии муравьиной кислоты. Изобретением также является гидролизованный N-цианометилированный хитозан, содержащий элементарные звенья формулы (2): ![]() где степень полимеризации x равняется 5-10000, предпочтительно 20-500; n1 равняется 0-0,6, предпочтительно 0,05-0,20 части, в расчете на x; n2 равняется 0,01-0,20, предпочтительно 0,05-0,10 части, в расчете на x; (n3 + n4) равняется 0,4-1,0, предпочтительно 0,8-0,95 части, в расчете на x. Способ получения гидролизованного N-цианометилированного хитозана, согласно изобретению, включает гидролиз N-цианометилированного хитозана формулы (1) в соответствии со следующей схемой: ![]() где степень полимеризации x равняется 5-10000, предпочтительно 20-500; n1 равняется 0-0,6, предпочтительно 0,05-0,20 части, в расчете на x; n2 равняется 0,01-0,20, предпочтительно 0,05-0,10 части, в расчете на x; (n3 + n4) равняется 0,4-1,0, предпочтительно 0,8-0,95 части, в расчете на x. N-цианометилированные хитозаны настоящего изобретения, как это было указано выше, содержат звенья формулы (1) ![]() где степень полимеризации (x) равняется 5-10000, предпочтительно 20-500, n1 равняется 0-0,6, предпочтительно 0,05-0,20 части, в расчете на x; n2 равняется 0-0,20, предпочтительно 0,05-0,10 части, в расчете на x; (n3 + n4) равняется 0,4-1,0, предпочтительно 0,8-0,95 части, в расчете на x. Обозначения n1-n4 означают количественную долю каждой из указанных единиц, где их общая сумма составляет 1. N-цианометилированные хитозаны этого изобретения являются производными хитозана, который получают деацетилированием хитина, встречающегося в природе поли-(N-ацетилглюкозамина). Также включенными являются хитозаны, которые деградируют в процессах деацетилирования хитина до олигомерных фрагментов. Получение N-метилированных хитозанов происходит по реакции, аналогичной синтезу Штрекера, взаимодействия хитозана с формальдегидом и цианистым водородом. Полная схема реакции, включающая деацетилирование хитина, может выглядеть следующим образом: ![]() где степень полимеризации x равняется 5-10000, предпочтительно 20-500; n1 равняется 0-0,6, предпочтительно 0,05-0,2 части, в расчете на x; n2 равняется 0-0,20, предпочтительно 0,05-0,1 части, в расчете на x; (n3 + n4) равняется 0,4-1,0, предпочтительно 0,8-0,95 части, в расчете на x. Реакцию можно проводить с определенным преимуществом в интервале температур от 10 до 70oC, предпочтительно используя в качестве растворителя муравьиную кислоту. Предпочтительно происходит таким образом, что водорастворимую соль цианида водорода, предпочтительно NaCN, подают в раствор хитозана в муравьиной кислоте, и при этой же температуре добавляют половину формальдегида, предпочтительно в виде 37% (по массе) раствора формалина или параформальдегида. Температура поднимается до 70oC, затем добавляют вторую половину формальдегида. Время реакции составляет от 0,5 до 12 ч, предпочтительно от 2 до 5 ч. Полученный раствор затем выливают в достаточное количество воды. Полимерный нитрил со степенью замещения 50% практически совершенно нерастворим в воде и может быть количественно извлечен в виде голубовато-серой, смолоподобной, густой массы, например, промыванием осажденного полимера деионизированной водой. Полимерное вещество обычно измельчают в смесителе в присутствии воды, суспензию нейтрализуют NaOH, вещество выделяют вакуумной фильтрацией, затем промывают и высушивают на воздухе (= сырой продукт). Температура и время реакции значительно влияют на степень метилирования N-цианометилирования. Реакцию предпочтительно проводят, используя в качестве растворителя муравьиную кислоту. N-цианометилированные хитозаны обладают пленкообразующими свойствами. Они образуют прочные, механически и химически стойкие пленки в растворах, содержащих муравьиную кислоту. Поэтому они могут быть использованы для приготовления разделяющих мембран высшей прочности. Кроме того, изобретением также являются продукты гидролиза N-цианометилированных хитозанов этого изобретения. Они содержат звенья формулы ![]() где степень полимеризации x равняется 5-10000, предпочтительно 20-500; n1 равняется 0-0,6, предпочтительно 0,05-0,20 части, в расчете на x; n2 равняется 0,01-0,20, предпочтительно 0,05-0,10 части, в расчете на x; (n3 + n4) равняется 0,4-1,0, предпочтительно 0,8-0,95 части, в расчете на x. Получение указанных продуктов гидролиза из соответствующих N-цианометилированных соединений проводят в соответствии со следующей схемой: ![]() где степень полимеризации x равняется 5-10000, предпочтительно 20-500; n1 равняется 0-0,6, предпочтительно 0,05-0,20 части, в расчете на x; n2 равняется 0,01-0,20, предпочтительно 0,05-0,10 части, в расчете на x; (n3 + n4) равняется 0,4-1,0, предпочтительно 0,8-0,95 части, в расчете на x. Процесс получения гидролизованных N-цианометилированных хитозанов осуществляется следующим образом. Для гидролиза влажный продукт, полученный как указано выше, суспендируют в разбавленном до примерно 1,5% NaOH и варят при примерно 80oC примерно 50 ч. Образуется ярко-желтый водный раствор, который осветляют от примесей обычным способом. После высушивания и измельчения в смесителе получают ярко-желтый порошок. Гидролизованный N-цианометилированный хитозан формулы (2) обладает связывающими свойствами. Благодаря ярко выраженному связывающему действию по отношению к ионам тяжелых металлов даже в низких концентрациях, возможно применение гидролизованных продуктов для удаления катионов из загрязненной воды, обычно для удаления ионов железа или меди из водопроводной воды. Они могут быть также использованы как присадки в многочисленных процессах окончательной обработки материала в текстильной промышленности. Отдельно или в сочетании с катионными, анионными или нейтральными детергентами они могут использоваться как присадки в составах моющих средств. В этой связи специального упоминания заслуживает их действие как умягчителей воды и ингибиторов образования твердых отложений на неорганических или органических субстратах. Субстратами обычно могут быть стекло, керамика, металлы или металлические сплавы, натуральные или синтетические пластики, бумага, ткани, кожа или растительные или животные органы или ткани. Продукты гидролиза N-цианометилированных хитозанов этого изобретения обладают необычайно хорошей емкостью по отношению к комплексообразующим ионам металлов, в особенности, к ионам щелочноземельных металлов, посредством чего на осаждение полимерных солей металлов, особенно в случае поливалентных катионов, можно благоприятно влиять или предотвращать его. Поэтому они могут быть также пригодны в качестве присадок в составах моющих средств, поскольку они усиливают действие детергента и предотвращают осаждение грязи на стиранных тканях. Более того, они действуют как ингибиторы кристаллизации, особенно при образовании в процессе стирки карбонатов щелочно-земельных металлов и, таким образом, влияют на рост и морфологию получающихся кристаллов и распределение частиц по крупности, а также на способность к агрегации и адгезии. Они, следовательно, подходят для использования в качестве противонакипных соединений при обработке воды для предотвращения образования отложений в системах водоснабжения, как например, на станциях очистки воды, в водопроводных трубах и нагревательных змеевиках парогенераторов. В косметическом секторе они могут использоваться как присадки к средствам по уходу за зубами для подавления образования зубного налета. Они также могут применяться для обработки текстильных волокон, например, хлопка. Далее, гидролизованные N-цианометилированные хитозаны этого изобретения обнаруживают полезность в качестве стабилизаторов отбеливающих веществ, обычно в составах детергентов, или при отбелке тканей, целлюлозного или бумажного сырья. При таком использовании хелатирующие агенты связывают ионы кальция, магния, железа, меди или марганца, присутствующие в отбеливающих растворах и одновременно предотвращают отложение карбонатов или гидроксидов щелочно-земельных металлов и разложение персоединения. Процесс отбелки целлюлозного волокнистого материала включает обработку волокнистого материала водным раствором, содержащим, по меньшей мере, один N-цианометилированный хитозан этого изобретения, гидроксид щелочного металлов, водорастворимую соль магния и персоединение. Персоединение может соответственно выбираться из группы, состоящей из пероксидисульфатов щелочных металлов, предпочтительными соединениями будут пероксодисульфаты калия и, в особенности, натрия. Наиболее предпочтителен пероксидисульфат натрия (Na2S2O8), который обычно используется в виде концентрированного 30 – 60% раствора (по массе). Особенно подходящими гидроксидами щелочных металлов являются гидроксиды калия или, предпочтительно, натрия, желательно в форме концентрированного раствора примерно 30% по массе или в виде твердых гидроксидов калия или, предпочтительно, натрия. Отбеливающие растворы могут также включать необязательные компоненты, выбранные из группы, состоящей из смачивающих веществ или поверхностно-активных веществ, пеногасителей или деаэраторов и/или флюоресцентных отбеливателей. Процесс отбелки целлюлозно-волокнистых материалов проводится по существу известными способами. Целлюлозно-волокнистый материал, который будет подвергаться обработке, может находиться в любой форме, обычно в виде рыхлого материала, пряжи, тканых или вязаных изделий. Далее, N-цианометилированные хитозаны этого изобретения в форме солей, особенно солей щелочно-земельных металлов и солей аммония, чрезвычайно гигроскопичны и, благодаря своему гидропектическому действию, подходят для применения в качестве влагоудержателей для кожи или слизистых оболочек в косметических составах, обычно в средствах для ухода за кожей и волосами и дезодорантах. Гидролизованные N-цианометилированные хитозаны этого изобретения способны связывать ионы железа на коже и могут, следовательно, заменять ЭДТА, которая обычно используется в кремах, особенно, в солнцезащитных кремах. Согласно изобретению, солнцезащитная косметическая композиция, включает по меньшей мере один заявленный гидролизованный N-цианометилированный хитозан вместе с косметически приемлемыми носителями или адъювантами. Косметическая композиция может готовиться путем физического смешивания гидролизованного N-цианометилированного соединения, содержащего звенья формулы (2) этого изобретения с адъювантами традиционными способами, обычно простым перемешиванием отдельных компонентов. Новая косметическая композиция может представлять собой эмульсию типа “вода в масле” или “масло в воде”, спиртовой раствор “масло в масле”, пузырьковую дисперсию ионного или неионного амфифильного липида, гель, твердую плитку или аэрозоль. В новой косметической композиции может использоваться любой традиционный эмульгатор, подходит один или более этоксилированный сложный эфир природных производных, например, полиэтоксилированные эфиры гидрогенизированного касторового масла, или эмульгатор на основе силиконового масла, такой как полиол силикона; мыло из жирной кислоты или из этоксилированной жирной кислоты, этоксилированный жирный спирт; эфир сорбитана или этоксилированный эфир сорбитана; этоксилированная жирная кислота или этоксилированный глицерид. Далее, косметическая композиция может также включать такие компоненты, как средства против раздражения кожи (или мягчитель), стабилизаторы эмульсии, промоторы загара, влагоудержатели, такие как, глицерин, консервирующие средства, отдушки и красители. Гидролизованные N-цианометилированные хитозаны этого изобретения также оказывают повышающее вязкость и диспергирующее действие в водных растворах. Таким образом, они пригодны для использования в качестве присадок в суспензиях, эмульсиях и водных растворах, например, в производстве продуктов питания или концентратов активных веществ, а также в составах красителей и пигментов. Гидролизованные N-цианометилированные хитозаны этого изобретения могут также обладать биоцидной активностью, обычно бактериостатической, противогрибковой или альгицидной активностью. Более того, гидролизованные N-цианометилированные хитозаны этого изобретения могут применяться в качестве репеллентов. Далее для лучшего понимания настоящего изобретения приводятся примеры, в которых части и проценты даны по массе, и полученные новые N-цианометилированные хитозаны и их продукты гидролиза содержат элементарные звенья формулы 1 и формулы 2, где n1 равняется 0-0,6, предпочтительно 0,05-0,20 части, в расчете на степень полимеризации x; n2 равняется 0-0,20, предпочтительно 0,05-0,10 части, в расчете на x; (n3 + n4) равняется 0,4-1,0, предпочтительно 0,8-0,95 части, в расчете на x. Пример 1. 20,0 г хитозана (Fluka Nr 2271, низкомолекулярный, средняя молекулярная масса примерно 70000), содержащего 9,24% влаги, аминное число 4,78/43,79 мэкв/г и включающего рассчитанные отсюда 11,86 моль% N-ацетил-O-глюкопиранозаминных и 88,14 моль% D-глюкопиранозаминных единиц и имеющего среднюю миллимолярную массу 166,16 и который характеризуется следующими аналитическими данными: Найдено: C 40,7; H 7,3; N 7,5; H2O 9,24; O 35,26.
Найдено для безводного продукта: C 44,8; H 6,91; N 8,26; O 39,99;Рассчитано: C 45,9; H 6,82; N 8,43; O 39,66.
соответствующие 18,15 г 100% хитозана (0,1092 моль), растворяют в 400 мл технической муравьиной кислоты (85%) в 800 мл колбе с притертой стеклянной пробкой и подобранной анкерной мешалкой, термометром, обратным холодильником с герметичной подачей жидкости и дозированной подачей порошка. После того, как раствор полиаминополисахарида станет почти прозрачным (нерастворимая фракция < 0,5%), при 15oC через капельную воронку медленно добавляют 12,5 г (0,25 моль) технического NaCN (98%) и смесь перемешивают при маленькой скорости в течение 3 ч. При той же температуре по каплям в течение 1.5 ч добавляют 20.5 г 37% формалина (7,6 г CH2O = 0,253 моль), разбавленного деионизированной водой до 130 мл. Затем перемешивание продолжают в течение 24 ч при комнатной температуре. Достаточно вязкий раствор насыщенного голубого цвета выливают в 3 л деионизированной воды, где спустя некоторое время реакционная масса затвердевает. Ванну для осаждения заливают свежей водой и грубо осажденный материал измельчают в смесителе. Полученную суспензию фильтруют отсасыванием, оставшийся на фильтре продукт промывают 3 л деионизированной воды и затем высушивают при 50oC/15 мбар в течение 48 ч, получая 26,4 г твердого, зеленовато-голубого, хрупкого вещества, для которого получены следующие аналитические данные:Найдено: C 48,6; H 5,3; N 14,2; H2O 0,31; O 31,59,Найдено для безводного продукта: C 48,7; H 5,28; N 14,24; O 31,73.
удалено при 130oC.
Степень замещения DS, рассчитанная по аналитическим данным, составляет 0,725.
Аналитические данные, рассчитанные исходя из этого:Рассчитано: C 48,49; H 5,94; N 13,93; O 31,63. N-цианометилированный полиаминополисахарид растворяется в DMSO и концентрированной муравьиной кислоте. ИК-спектры подтверждают структуру (инфракрасная полоса поглощения при 2249 см-1 для -N-CH2CN; полосы при 1673 см-1 и 1553 см-1 для N-ацетильной группы). Пример 2. Лабораторную лопастную сушилку, имеющую объем 1000 мл и снабженную 2 входами для загрузки веществ и регулирования температуры, загружают 800 мл технической муравьиной кислоты (85%). Затем постепенно, при перемешивании добавляют 40 г хитозана, описанного в примере 1. После этого смесь перемешивают 15 ч при комнатной температуре до почти полного растворения вещества. После достижения термостатически контролируемой температуры 15oC, медленно добавляют 18,5 г технического NaCN (98%) (98%; = 36,26 г; 100% = 0,74 моль) одновременно через каждый из двух входов для загрузки. Потом реакционную смесь перемешивают в течение 3 ч при 15oC, затем нагревают до комнатной температуры. Затем очень медленно при эффективном перемешивании добавляют раствор 37% формалина 40,5 г (= 15 г CH2O = 0,5 моль), общий объем которого доводят до 100 мл дистиллированной водой, разделенного поровну между двумя капельными воронками. После добавления 30 мл раствора формалина из каждой капельной воронки, температуру поднимают через регулирование температуры до 40oC и при этой температуре добавляют по каплям оставшийся раствор формалина, после чего перемешивание продолжают в течение 20 ч при 40oC. Получившийся N-цианометилированный полиаминополисахарид насыщенного зеленовато-голубого цвета с высокой вязкостью выливают непосредственно в 5 л деионизированной воды, где продукт реакции постепенно затвердевает до образования зеленовато-голубого продукта. Ванну для осаждения сливают и полимер помещают в свежую воду и измельчают в смесителе. Полученную суспензию перемешивают 24 ч для удаления включенных солей, pH водной фазы затем доводят до 7,5 30% NaOH, после чего продукт реакции меняет окраску (с зеленовато-голубой на темно-желтую). Суспензию фильтруют на вакуум-фильтре и оставшийся на фильтре продукт промывают 5 л деионизированной воды. Выход (влажный продукт): 469,7 г, 29,9 г влажного продукта высушивают при 50oC/15 мбар 48 ч и получают 3,3 г желтоватого светло-коричневого, твердого, хрупкого продукта, для которого получены следующие аналитические данные: Найдено: C 47,7; H 5,6; N 14,3; H2O 0,83*; O 31,57.
Найдено для безводного продукта: C 48,1; H 5,56; N 14,42; O 31,92.
*удалено при 150oC. Степень замещения, рассчитанная по аналитическим данным, равняется 0,745.
Аналитические данные, рассчитанные исходя из этого:Рассчитано: C 48,59; H 5,92; N 14,10; O 31,41. Вещество растворяется в DMSO и концентрированной муравьиной кислоте. ИК-спектры подтверждают структуру (полоса поглощения при 2249 см-1 для -N-CH2CN, полосы при 1673 см-1 для N-ацетильной группы). Пример 3. 20 г хитозана, описанного в примере 1, растворяют в 400 мл технической муравьиной кислоты (85%) в 800 мл колбе с притертой крышкой и подогнанной анкерной мешалкой, термометром, обратным холодильником с герметичной подачей жидкости и дозированной подачей порошка. К почти прозрачному раствору (нерастворившаяся фракция < 0,5%) полиаминополисахарида, затем медленно добавляют при комнатной температуре 22,2 г 37% формалина (= 8,2 г CH2O = 0,273 моль) и смесь медленно перемешивают 30 минут. Затем по каплям также при комнатной температуре добавляют раствор 6,4 г (0,128 моль) технического NaCN (98%) в 20 мл дистиллированной воды в течение 1,5 ч. Перемешивание продолжают в течение 5 ч, температуру поднимают до 50oC и снова добавляют по каплям раствор 7,7 г (0,154 моль) технического NaCN (98%) в 30 мл дистиллированной воды. Перемешивание продолжают 24 ч при 50oC и 3 ч при 60oC и темный зеленовато-голубой, сильно вязкий раствор заливают 3 л деионизированной воды, где реакционная масса постепенно отвердевает. Ванну для осаждения сливают и твердый остаток заливают свежей водой. Полимер измельчают в смесителе и pH полученной суспензии доводят до 7,5 30% NaOH. Суспензию фильтруют на вакуум-фильтре, получая 174,4 г влажного фильтрата, из которого 43,6 г высушивают в сушильном шкафу при 50oC/15 мбар в течение 12 ч. Выход: 6,4 г бледного желтовато-коричневого, твердого, хрупкого продукта, для которого получены следующие аналитические данные: Найдено: C 46,9; H 5,6; N 12,7; H2O 1,94*; O 32,86.
Найдено для безводного продукта: C 47,83; H 5,49; N 12,95; O 33,73*определено удалением при 130oC. Степень замещения DS, рассчитанная исходя из аналитических данных, составляет 0,565. Аналитические данные, рассчитанные из этого, следующие: Рассчитано: C 47,74; H 6,14; N 12,72; O 33,40. Вещество растворяется в концентрированной муравьиной кислоте. ИК-спектры качественно согласуются с ИК-спектрами примеров 1 и 2. Молярная масса: 198,4. Пример 4. 130 г влажного продукта, полученного в примере 3 (примерно 8,7 г сухой массы = 0,0934 моль), взвешивают в 800 мл колбу с притертой стеклянной крышкой и подогнанной анкерной мешалкой, термометром и обратным холодильником и затем добавляют 200 мл деионизированной воды и 120 мл 1 N NaOH. Смесь перемешивают в течение 48 ч при температуре бани 100oC. Присутствие газообразного аммиака определяют индикаторной (pH) бумажкой. Смесь доводят до 2 л деионизированной водой и желтовато-коричневый раствор, который через несколько часов содержит минорные количества геля, осветляют пропусканием через 140S сетчатый фильтр. Фильтрат, который концентрируют при пониженном давлении (30 мбар/50oC) до объема примерно 100 мл (очень вязкий прозрачный раствор), осаждают в 3 л EtOHabs (абсолютного этилового спирта) и осажденную Na-соль полиаминополикарбоновой кислоты выделяют вакуумной фильтрацией и высушивают при 50oC/0,5 мбар в течение 48 ч. Выход: 21,8 г. Остаток на фильтре: 2,8 г (примерно 8%). Вещество дает прозрачный раствор в воде при pH 10. Аминное число: 3,64/3,70 мэкв/г (определено обратным титрованием 0,1 NaOH после добавления избытка соляной кислоты; время титрования: 1,5 ч). Сумма аминного числа и карбоксильного числа: 6,06/6,16 мэкв/г (определено титрованием 0,1 N HClO4 в H2O/ледяной уксусной кислоте 1:30; после перемешивания в течение 2 и 16 ч, соответственно). Карбоксильное число: 2,44 мэкв/г (по различию). Вещество исключительно гигроскопично. Растворимость как функция pH: Концентрация, г/л – Начало осаждения (при pH) 9,13 – 5,2 4,28 – 4,3 1,06 – 3,2 Полученная полиаминополикарбоновая кислота может, таким образом, осаждаться и разделяться как внутримолекулярная соль. Связывающая емкость для Ca2+: 102 мг Ca2+/г. ИК-спектр: полосы нитрила и полосы N-ацетильной группы исчезают. Примеры 5-11. В этих примерах разные хитозаны используют в разных концентрациях и меняют соотношение цианида водорода к формальдегиду. Хитозаны, использованные в примерах (C1 – C44), представлены в таблице 1. Таблица 2а показывает условия реакции и состав полученных нитрилов хитозан-N-уксусной кислоты. Реакцию проводили следующим образом: NaCN в твердом виде медленно вводят в муравьинокислый раствор частично деацетилированного хитина (C1 – C4) при температуре от 0 до 5oC. При этой же температуре добавляют первую половину формальдегида, предпочтительно в виде 37% по массе раствора формалина или параформальдегида. Затем температуру поднимают до 40oC (соответственно 60oC) и добавляют оставшуюся половину формальдегида. После реакции полученный раствор, который обычно бывает голубовато-зеленого цвета, выливают в достаточное количество воды. Полимерный нитрил (нитрил “хитозан”-N-(ди)-уксусной кислоты) практически полностью нерастворим в воде из-за степени замещения 50% и может быть количественно выделен в виде голубовато-серой, смолоподобной вязкой массы. Соотношение ванны для осаждения и реакционного раствора составляет 5:1. Полимерный материал измельчают в смесителе в присутствии воды, суспензию нейтрализуют NaOH, материал, который все еще содержит муравьиную кислоту, выделяют вакуумной фильтрацией, затем промывают и высушивают на воздухе (= влажный продукт). Для гидролиза используют вещество в набухшем состоянии. Образец примерно 10 г точно взвешивают и высушивают при 60oC в течение 24 ч при высоком вакууме. Упрощенный расчет степени замещения (DS) относится к примеру, содержащему хитин (доля исходного материала, которая осталась неизмененной при данных условиях реакции), хитозана и нитрила хитозан-N-уксусной кислоты. Примеры с 12 по 18. Нитрилы хитозан-N-уксусной кислоты, полученные в примерах 5-11, суспендируют для гидролиза в виде влажного продукта в примерно 1,5% NaOH и нагревают требуемое время при 80oC. Полученные ярко-желтые водные растворы осветляют на сетчатом фильтре G2 и концентрируют во вращающейся колбе при 60-70oC (водоструйный вакуум). Раствор с высокой вязкостью затем осаждают в 6% этаноле. Материал, выделенный вакуум-фильтрацией, высушивают при 50oC в сушильном шкафу при высоком вакууме в присутствии CaCl2 и затем измельчают в смесителе. Внешний вид: ярко-желтый, почти бесцветный порошок. Полимерная аминокислота, имеющая полисахаридную основную цепь, содержит Na-формиат в качестве примеси, который осаждается при осаждении в этаноле. Условия реакции и составы продуктов гидролиза представлены в табл. 3а. Пример 19. Определение емкости для комплексообразующих ионов металлов полисахаридполиаминокарбоновых кислот представлены в таблице 4. Пример 20. Применение в косметике. Приготовление солнцезащитного крема: 7,5 ч. октилметоксициннамата 5 ч. октилсалицилата 5 ч. метилантранилата 2 ч. изоцетилового спирта 2 ч. цетеарилового спирта 1,5 ч. глицерилстеарата 1,0 ч. ПЭГ-40 стеарата 1,0 ч. метикона 0,75 ч. цетилового спирта 0,25 ч. тоцероферилацетата и 6 ч. оксида цинка смешивают и смесь нагревают до 75-80oC. Затем 0,5 ч. силиката алюминия-магния диспергируют в 63,8 ч. воды имеющимися в распоряжении шариками, вибрацией или молотковой дробилкой. Затем к дисперсии добавляют 0,5 ч. ксантеновой смолы и смесь перемешивают до образования гомогенного раствора. Затем смесь нагревают до 75-80oC, добавляя 0,2 ч. соединения, полученного в примере 4. Затем к этому раствору при перемешивании добавляют соединения, смешанные в самом начале и нагретые до 75-80oC. После растирания в течение 10-15 мин смесь охлаждают до 40oC и добавляют 1 ч. пропиленгликоля. Продолжая перемешивание, состав охлаждают до комнатной температуры. Композиция пригодна для применения в качестве увлажняющего солнцезащитного крема. Формула изобретения
![]() где степень полимеризации (x) равняется 5 – 10000, предпочтительно 20 – 500; n1 равняется 0 – 0,6, предпочтительно 0,05 – 0,20 части, в расчете на x; n2 равняется 0 – 0,20, предпочтительно 0,05 – 0,10 части, в расчете на x; n3 + n4 равняется 0,4 – 1,0, предпочтительно 0,8 – 0,95 части, в расчете на x. 2. Способ получения N-цианометилированного хитозана по п.1, заключающийся в том, что он включает взаимодействие хитозана с формальдегидом и цианидом водорода в интервале температур 10 – 70oC и при времени реакции 0,5 – 12 ч, предпочтительно 2 – 5 ч, в соответствии со следующей схемой реакции: ![]() где степень полимеризации (x) равняется 5 – 10000, предпочтительно 20 – 500; n1 равняется 0 – 0,6, предпочтительно 0,05 – 0,2 части, в расчете на x; n2 равняется 0 – 0,20, предпочтительно 0,05 – 0,1 части, в расчете на x; n3 + n4 равняется 0,4 – 1,0, предпочтительно 0,8 – 0,95 части, в расчете на x. 3. Способ по п.2, отличающийся тем, что реакцию проводят в присутствии муравьиной кислоты. 4. Гидролизованный N-цианометилированный хитозан, содержащий элементарные звенья формулы 2 ![]() где степень полимеризации (x) равняется 5 – 10000, предпочтительно 20 – 500; n1 равняется 0 – 0,6, предпочтительно 0,05 – 0,20 части, в расчете на x; n2 равняется 0,01 – 0,20, предпочтительно 0,05 – 0,10 части, в расчете на x; n3 + n4 равняется 0,4 – 1,0, предпочтительно 0,8 – 0,95 части, в расчете на x. 5. Способ получения гидролизованного N-цианометилированного хитозана по п. 4, отличающийся тем, что он включает гидролиз N-цианометилированного хитозана формулы 1 в соответствии со следующей схемой: ![]() где степень полимеризации (x) равняется 5 – 10000, предпочтительно 20 – 500; n1 равняется 0 – 0,6, предпочтительно 0,05 – 0,20 части, в расчете на x; n2 равняется 0,01 – 0,20, предпочтительно 0,05 – 0,10 части, в расчете на x; n3 + n4 равняется 0,4 – 1,0, предпочтительно 0,8 – 0,95 части, в расчете на x. 6. Солнцезащитная косметическая композиция, отличающаяся тем, что она включает по меньшей мере один гидролизованный N-цианометилированный хитозан по п.4 вместе с косметически приемлемыми носителями или адъювантами. РИСУНКИ
MM4A Досрочное прекращение действия патента Российской Федерации на изобретение из-за неуплаты в установленный срок пошлины за поддержание патента в силе
Дата прекращения действия патента: 23.12.2004
Извещение опубликовано: 10.03.2006 БИ: 07/2006
|
||||||||||||||||||||||||||









O 35,26.
Найдено для безводного продукта: C 44,8; H 6,91; N 8,26; 


