Патент на изобретение №2158268
|
||||||||||||||||||||||||||
(54) СЕКОМАКРОЛИДЫ КЛАССА ЭРИТРОМИЦИНОВ И СПОСОБ ИХ ПОЛУЧЕНИЯ
(57) Реферат: Описываются новые соединения – секомакролиды класса эритромицинов А общей формулы I, где значения R1, R2, R3, Z, W, Х, У указаны в п.1 формулы изобретения. Они являются потенциальными промежуточными соединениями для получения новых антибиотиков – макролидов. Описывается также способ их получения. 2 с. и 19 з.п. ф-лы.
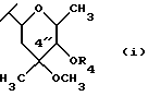
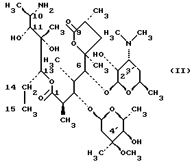
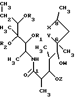
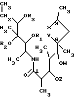
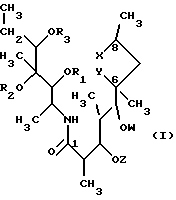
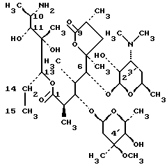
Область техники, к которой относится изобретение A 61 K 31/70, C 07 H 17/08 Техническая проблема Настоящее изобретение относится к новым соединениям класса хорошо известного антибиотика-макролида эритромицина A. В частности, настоящее изобретение относится к новым секомакролидам – потенциальным промежуточным соединениям для получения новых макролидов с антибактериальным действием, а также к способу их получения. Известный уровень техники Эритромицин является антибиотиком-макролидом, чье строение характеризуется 14-членным лактоновым кольцом с кето-группой в C-9 положении и двумя сахарами – L-кладинозой и D-дезозамином, присоединенными посредством гликозидных связей в положениях C-3 и C-5 агликоновой группы молекулы (McGuire, Antibiot. Chemother. , 1952; 2:281). Свыше 40 лет он считался безопасным и эффективным противомикробным средством при лечении респираторных инфекций и инфекций половых органов, вызываемых грамположительными бактериями, некоторыми видами Legionella, Mycoplasma, Chlamidia и Helicobacter. Значительные изменения в биологической доступности после введения пероральных препаратов, желудочная непереносимость у многих пациентов и потеря активности в кислой среде из-за образования неактивного метаболита ангидроэритромицина являются основными недостатками при терапевтическом применении эритромицина A. Однако спироциклизация агликонового кольца успешно ингибируется путем химической трансформации C-9-кетона или гидроксильных групп в положении C-6 и/или C-12. Так например, оксимированием C-9-кетона эритромицина A гидрохлоридом гидроксиламина, перегруппировкой Бекмана полученного 9(E)-оксима и восстановлением полученного простого 6,9-иминоэфира (6,9-циклического иминоэфира 6-дезокси-9-дезоксо-9а-азагомоэритромицина) получен 9-дезоксо-9а-аза-9а-гомоэритромицин A – первый полусинтетический макролид с 15-членным азалактоновым кольцом (Kobrehel G. et al, патент США 4328334, 5/1982). В соответствии со способом Эшвайлера-Кларка, посредством восстановительного метилирования вновь введенной эндоциклической 9а-аминогруппы, синтезирован 9-дезоксо-9а-метил-9а-аза-9а-гомоэритромицин A (AZITHROMYCIN) прототип нового класса антибиотиков-азалидов (Kobrehel G. et al., патент Бельгии 892357, 7/1982). Кроме широкого противомикробного спектра действия, включающего также грамотрицательные бактерии, азитромицин характеризуется также длительным биологическим полупериодом существования, специфическим механизмом переноса к месту использования и коротким сроком лечения. Азитромицин легко проникает в фагоциты человека и накапливается в них, в результате чего улучшается активность в отношении внутриклеточных патогенных микроорганизмов классов Leqionella, Chlamidia и Helicobacter. Недавно описан гидролиз и алкоголиз C-1-лактона эритромицина A и B, посредством чего образуются соответствующие линейные секокислоты и сложные эфиры (Martin S., J.Am.Chem. Soc., 1991; 113: 5478). Кроме того, описано также катализированное щелочью превращение эритромицина A, ведущее к раскрытию макроциклического кольца с образованием C-1-карбоксилата (Waddel S.T. and Blizzard T.A., PCT, WO 94/15617, 7/1994). Также описан способ получения новых макролидных и азолидных колец путем сочетания истерн (“восточных”)-C-1/C-8-и C-1/C-9-групп молекул 9-дезоксо-8а-аза-8а-гомоэритромицина A и 9-дезоксо-9а-аза-9а-гомоэритромицина A, соответственно, с различными фрагментами, которые становятся вестерн (“западной”)-группой молекулы. Подчеркнуто, что линейные фрагменты C-1/C-9, полученные таким образом, отличаются от соответствующего фрагмента азитромицина наличием дополнительной этильной группы у атома углерода C-9. В EP 0735041 Al (Lazarevski G. et al., 2/1996) описан синтез новых секоазалидов посредством воздействия гидрохлорида гидроксиламина на простой 6,9-циклический иминоэфир и последующего катализированного щелочью внутримолекулярного ацилирования вновь образованной C-10-аминогруппы и C-1-лактона. Строение полученных таким образом C-1-амидов характеризуется истерн-фрагментом C-1/C-9, который идентичен фрагменту в азатромицине и ветерн-фрагменту C-10/C-15 эритромицина A, обратимо связанному с атомом углерода C-1. Однако при действии кислот на 6,9-циклический иминоэфир при расщеплении двойной связи C-9/9-а-N образуется 6-дезокси-6,9-эпокси-8(R)-метил-10-амино-9,10-секоэритромицин A с концевой C-10-группой. Объектом настоящего изобретения является синтез новых секомакролидов – потенциальных промежуточных соединений в синтезе биологически активных химерных макролидов, исходя из 6-дезокси-6,9-эпокси-8(R)-метил-10-амино-9,10-секоэритромицина A. Краткое изложение сущности изобретения Согласно известному и установленному уровню техники до сих пор не описаны секомакролиды общей формулы (I) ![]() где R1 представляет водород, (C1-C4)-алканоильную группу, арилкарбонильную группу или вместе с R2 и атомами углерода, с которыми они связаны, циклическую карбонильную или тиокарбонильную группу; R2 представляет водород или вместе с R1 и атомами углерода, с которыми они связаны, циклическую карбонильную или тиокарбонильную группу; R3 представляет водород, (C1-C4)-алканоильную или арилкарбонильную группу; Z представляет водород или L-кладинозильную группу формулы (i). ![]() где R4 представляет водород или (C1-C4)-алканоильную группу; W представляет водород или D-дезозаминильную группу формулы (ii) ![]() где R5 представляет водород или (C1-C4)-алканоильную или арилкарбонильную группу; X и Y вместе представляют лактон или X представляет группу CH2OR6, где R6 представляет водород или (C1-C4)-алканоильную группу, a Y представляет гидроксильную группу. Настоящее изобретение также относится к их фармацевтически приемлемым солям присоединения неорганических или органических кислот. Подробное описание изобретения Новые секомакролиды общей формулы (I) ![]() где X, Y, Z и W имеют установленные выше значения, и их фармацевтически приемлемые соли присоединения неорганических или органических кислот получают, подвергая 6-дезокси-6,9-эпокси-8(R)-метил-10-амино-9,10-секоэритромицин A (EP 0735041 A1, 2/1996) формулы (II) ![]() взаимодействию с полярными растворителями в течение времени, необходимого для того, чтобы путем внутримолекулярного ацилирования первичной C-10-аминогруппы и C-1-лактона, образовалось соединение общей формулы (I), где R1, R2 и R3 являются одинаковыми и представляют водород, Z является L-кладинозильной группой формулы (i), где R4 представляет водород, W является D-дезозаминильной группой формулы (ii), где R5 представляет водород, и X и Y вместе представляют лактон [соединение (Ia)], которое далее подвергают А) взаимодействию с кислотами в условиях гидролиза одного или обоих сахаров, получая соединение общей формулы (I), где R1, R2 и R3 являются одинаковыми и представляют водород, Z является водородом, W является D-дезозаминильной группой формулы (ii), где R5 представляет водород, и X и Y вместе представляют лактон [соединение (Ib)], и соединение общей формулы (I), где R1, R2 и R3 являются одинаковыми и представляют водород, Z и W являются одинаковыми и представляют водород, и X и Y вместе представляют лактон [соединение (Ic)], или Б) О-ацилированию с ангидридами или хлорангидридами карбоновых кислот, получая Б1) при О-ацилировании с ангидридами или хлорангидридами (C1-C4)-алкилкарбоновых кислот соединение общей формулы (I), где R1 и R3 являются одинаковыми и представляют (C1-C4)-алканоильные группы и R2 представляет водород, Z является L-кладинозильной группой формулы (i), где R4 представляет (C1-C4)-алканоильную группу, W является D-дезозаминильной группой формулы (ii), где R5 представляет (C1-C4)-алканоильную группу, и X и Y вместе представляют лактон, которое затем, если требуется, подвергают реакции сольволиза, получая соединение общей формулы (I), где R1 и R3 являются одинаковыми и представляют (C1-C4)-алканоильные группы и R2 представляет водород, Z является L-кладинозильной группой формулы (i), где R4 представляет (C1-C4)-алканоильную группу, W является D-дезозаминильной группой формулы (ii), где R5 представляет водород, и X и Y вместе представляют лактон, или получая Б2) при О-ацилировании с хлорангидридами арилкарбоновых кислот, когда Б2а) используют по меньшей мере 1,1 эквимолярный избыток хлорангидрида кислоты, соединение общей формулы (I), где R1, R2 и R3 являются одинаковыми и представляют водород, Z является L-кладинозильной группой формулы (i), где R4 представляет водород, W является D-дезозаминильной группой формулы (ii), где R5 представляет арилкарбонильную группу, и X и Y вместе представляют лактон, которое, если требуется, подвергают О-ацилированию в соответствии с Б1), получая соединение общей формулы (I), где R1 и R3 являются одинаковыми и представляют (C1-C4)-алканоильные группы и R2 представляет водород, Z является L-кладинозильной группой формулы (i), где R4 представляет (C1-C4)-алканоильную группу, W является D-дезозаминильной группой формулы (ii), где R5 представляет арилкарбонильную группу, и X и Y вместе представляют лактон, или Б2б) используя по меньшей мере 5-эквимолярный избыток хлорангидрида кислоты, смесь соединений общей формулы (I), где R1 представляет арилкарбонильную группу, a R2 и R3 являются одинаковыми и представляют водород, или где R3 представляет арилкарбонильную группу, а R1 и R2 являются одинаковыми и представляют водород, Z является L-кладинозильной группой формулы (i), где R4 представляет водород, a W является D-дезозаминильной группой формулы (ii), где R5 представляет арилкарбонильную группу, и X и Y вместе представляют лактон, и эти соединения разделяют с помощью колоночной хроматографии на силикагеле, а затем, если требуется, подвергают реакции сольволиза, получая соединение общей формулы (I), где R1 представляет арилкарбонильную группу, a R2 и R3 являются одинаковыми и представляют водород, или где R3 представляет арилкарбонильную группу, а R1 и R2 являются одинаковыми и представляют водород, Z является L-кладинозильной группой формулы (i), где R4 представляет водород, W является D-дезозаминильной группой формулы (ii), где R5 представляет водород, и X и Y вместе представляют лактон, или B) реакции переэтерификации с производными карбоновых кислот, получая соединение общей формулы (I), где R1 и R2 вместе с атомами углерода, с которыми они связаны, представляют циклическую карбонильную или тиокарбонильную группу, а R3 представляет водород, Z является L-кладинозильной группой формулы (i), где R4 представляет водород, W является D-дезозаминильной группой формулы (ii), где R5 представляет водород, и X и Y вместе представляют лактон, или Г) восстановлению, получая соединение общей формулы (I), где R1, R2 и R3 являются одинаковыми и представляют водород, Z является L-кладинозильной группой формулы (i), где R4 представляет водород, W является D-дезозаминильной группой формулы (ii), где R5 представляет водород, и X представляет группу CH2OR6, где R6 представляет водород, а Y представляет гидроксильную группу, которое, необязательно, подвергают О-ацилированию в соответствии с Б1), получая соединение общей формулы (I), где R1 и R3 являются одинаковыми и представляют (C1-C4)-алканоильные группы, R2 представляет водород, Z является L-кладинозильной группой формулы (i), где R4 представляет (C1-C4)-алканоильную группу, W является D-дезозаминильной группой формулы (ii), где R5 представляет (C1-C4)-алканоильную группу, X представляет группу CH2OR6, где R6 представляет водород, а Y представляет гидроксильную группу. Внутримолекулярное ацилирование C-10-аминогруппы с C-1-лактоном соединения (II) проводят в воде или в смеси воды и органического растворителя, предпочтительно низших спиртов или ацетона, при комнатной температуре или при повышенной температуре для ускорения переацилирования по известному способу (March J., Advanced Organic Chemistry: Reactions, Mechanisms and Structure; Third Ed., 1985, p. 375). Гидролиз соединений (Ia) в соответствии с A) проводят хорошо известным способом в две стадии. На первой стадии взаимодействием с разбавленными неорганическими кислотами, предпочтительно с 0,25 N хлористоводородной кислотой при комнатной температуре проводят расщепление нейтрального сахара L-кладинозы, в результате чего образуется 5-O-дезозаминильное производное (Ib), которое затем, если требуется, подвергают действию более концентрированных кислот, предпочтительно 2-6 N хлористоводородной кислоты, в присутствии инертного органического растворителя, предпочтительно хлороформа, при повышенной температуре, предпочтительно при кипячении реакционной смеси с обратным холодильником, посредством чего, после отщепления второго сахара D-дезозамина, получают соединение (Ic). Реакцию О-ацилирования соединения (Ia) в соответствии с Б1) проводят с ангидридами или хлорангидридами (C1-C4)-карбоновых кислот хорошо известным способом в инертном для реакции растворителе при температуре от 0 до 30oC в присутствии подходящих оснований (Jones et al., J.Med.Chem., 1971, 15, 631, и Banaszek et ai., Rocy.Chem., 1969, 43, 763). В качестве инертного растворителя можно использовать метиленхлорид, дихлорэтан, ацетон, пиридин, этилацетат, тетрагидрофуран и другие подобные растворители. В качестве подходящих оснований используют гидрокарбонат натрия, карбонат натрия, карбонат калия, триэтиламин, пиридин, трибутиламин и некоторые другие неогранические и органические основания. Так например, ацилированием (Ia) с ангидридом уксусной кислоты в пиридине при комнатной температуре в течение 3 суток получают тетраацетат (Id) (R1 = R3 = R4 = R5 = ацетил, R2 является водородом, X и Y вместе представляют лактон). Сольволиз полученных тетраацильных производных проводят в низших спиртах при комнатной температуре или при повышенной температуре для ускорения реакции, в результате чего проходит деацилирование в положение 2′. В этом случае в качестве низшего спирта можно использовать метанол, этанол, пропанол или бутанол. Например, когда тетраацетат (Id) оставляют стоять в метаноле при комнатной температуре в течение 3 суток, образуется триацетат (Ie) (R1 = R3 = R4 = ацетил, R2 = R5 = водород, X и Y вместе представляют лактон). О-Ацилирование соединения (Ia) с хлорангидридами арилкарбоновых кислот в соответствии с Б2), где термин “арил” означает незамещенную или замещенную фенильную группу, предпочтительно – (C1-C4)-алкилфенильную или галоидфенильную группу, проводят, предпочтительно, в инертных растворителях, предпочтительно – в ацетоне, в присутствии неорганических или органических оснований, предпочтительно гидрокарбоната натрия, в результате чего, в зависимости от эквимолярного соотношения реагентов, температуры реакции и времени ацилирования, образуются соответствующие моно- или диарилкарбонильные производные. Так например, ацилированием (Ia), по меньшей мере, с 1,1 эквимолярным избытком 4-бромбензоилхлорида в сухом ацетоне при 0-5oC получают 2′-моно-бромбензоат (If) (R1 = R2 = R3 = R4 = H, R5 = 4-бромбензоил и X и Y вместе представляют лактон). Полученные 2′-моноарилкарбонильные производные, если требуется, О-ацилируют по способу Б1). Так например, при взаимодействии с ангидридом уксусной кислоты по описанному выше способу получают триацетат (Ig) (R1 = R3 = R4 = ацетил, R2 = R5 = 4-бромбензоил и X и Y вместе представляют лактон). В случае дизамещенных производных одновременно с ацилированием 2′- гидроксильной группы происходит ацилирование гидроксильных групп в положении 1-N-[2- или 1N-[4-соединения (Ia). Посредством О-ацилирования, по меньшей мере, с 5 эквивалентами хлорангидрида арилкарбоновых кислот, предпочтительно с 4-бромбензиолхлоридом, при повышенной температуре, предпочтительно при температуре кипения реакционной смеси, образуется смесь дибромбензоата (lh) (R1 = R5 = 4-бромбензоил, R2 = R3 = R4 = H, X и Y вместе представляют лактон) и (Ii) (R3 = R5 = 4-бромбензоил, R1 = R2 = R4 = H, X и Y вместе представляют лактон), которую разделяют с помощью хроматографии на колонке с силикагелем, используя, предпочтительно, систему растворителей CH2Cl2/CH3OH, 95:5, и затем, если требуется, подвергают сольволизу по описанному выше способу, в результате чего, при деацилировании сложных 2′-эфиров, предпочтительно 2′-O-(4-бромбензоата), образуются монобромбензоат (Ik) (R1 = 4-бромбензоил, R2 = R3 = R4 = R5 = H, X и Y вместе представляют лактон) и (Ij) (R3 = 4-бромбензоил, R1 = R2 = R4 = R5 = H, X и Y вместе представляют лактон). Переэтерификацию соединения (Ia) по B) проводят с производными карбоновых кислот, предпочтительно с 3-5 эквимолярным избытком этиленкарбоната или 1,1-тиокарбонилдиимидазола по отношению к исходному соединению (Ia), в подходящем растворителе, предпочтительно в ароматических растворителях, например в бензоле, хлорсодержащих углеводородах или низших алкилалканоатах, например в этилацетате, при повышенной температуре, предпочтительно при температуре кипения реакционной смеси, в течение 3-9 часов, получая циклический карбонат или тиокарбонат (R1 и R2 вместе представляют группы C = O или C = S, R3 = R4 = R5 = H, X и Y вместе представляют лактон). Восстановление соединения (Ia) по Г) проводят с металлогидридными комплексами, предпочтительно с борогидридом натрия, в присутствии третичных спиртов, предпочтительно трет-бутанола, в инертном растворителе, предпочтительно в низших спиртах, предпочтительно в метаноле, при повышенной температуре, предпочтительно при температуре кипения реакционной смеси, получая смесь изомерных 9-гидрокси-8(R)- (Im) и 9-гидрокси-8(S)-производного (In) (R1 = R2 = R3 = R4 = R5 = H, X представляет группу CH2OR6, где R6 является водородом, и Y представляет гидроксильную группу), которые, если требуется, разделяют посредством колоночной хроматографии на силикагеле и затем, если требуется, подвергают O-ацилированию в соответствии с Б1). Фармацевтически приемлемые соли присоединения, которые также являются объектом настоящего изобретения, получают взаимодействием секопроизводных общей формулы (I), по меньшей мере, с эквимолярным количеством подходящей неорганической или органической кислоты, такой как хлористоводородная, иодистоводородная, серная, фосфорная, уксусная, пропионовая, трифторуксусная, малеиновая, лимонная, стеариновая, янтарная, этилянтарная, метансульфоновая, бензолсульфоновая, п-толуолсульфоновая, лаурилсульфоновая кислота и подобные кислоты, в инертном для реакции растворителе. Соли присоединения кислот выделяют фильтрованием, если они нерастворимы в инертном для реакции растворителе, осаждением с помощью растворителя, в котором соли нерастворимы, или выпариванием растворителя, наиболее часто лиофилизацией. С помощью приведенной серии реакций 6-дезокси-6,9-эпокси-8(R)-метил-10-амино-9,10-секоэритромицина A формулы (II) получают ряд новых, до настоящего времени не описанных, линейных производных с весьма реакционноспособными концевыми функциональными группами, что открывает возможность получения целого ряда новых макролидов с модифицированным макроциклическим агликоном. Для простоты, нумерация атомов водорода и углерода в данных спектрометрии новых секомакролидов в экспериментальной части данной заявки на патент является такой же, как для атомов до инверсии фрагмента C-10/C-15. Настоящее изобретение иллюстрируется приведенными далее примерами, которые никоим образом не ограничивают его объем. ПРИМEP 1. 1-N-(2,3,4-тригидрокси-1,3-димегилгексил)-амидо-10,11,12,13,14,15-гексанор-6-дезокси-6,9-эпокси-9,10-секоэритромицина A (Iа) Способ 1 6-Дезокси-6,9-эпокси-8(R)-метил-10-амино-9,10-секоэритромицин A (EP 0735041 A1, 02.10.1996) (15 г, 0,02 моль) растворяют в 540 мл смеси ацетона с водой (1:5) и нагревают при перемешивании в течение 2 часов при температуре 55-60oC. Реакционную смесь упаривают при пониженном давлении, добавляют к водному остатку CHCl3 (100 мл) (pH 7,45) и затем, после подщелачивания до pH 9,0 (10% NaOH), слои разделяют и водный слой экстрагируют два раза CHCl3 (100 мл). Объединенные органические экстракты сушат над K2CO3 и упаривают и получают твердый остаток (12,9 г). Посредством колоночной хроматографии на силикагеле с использованием системы растворителей CHCl3/CH3OH/конц.NH4OH, 6: 1: 0,1 из сырого продукта (2,5 г) получают хроматографически однородное вещество (Ia) (1,48 г) с приведенными ниже физико-химическими константами. Rf 0,337, EtAc/(н-C6H6)/NHEt2, 100:100:20. Rf 0,621, CH2Cl2/CH3OH/NH4OH, 90:9:1,5. ИК (CHCl3) см-1 3400, 2980, 2950, 1770, 1660, 1540, 1460, 1390, 1270, 1110, 1050, 1005. 1H ЯМР (300 МГц, CDCl3) : 7.45 (CONH), 4.93 (H-1”), 4.37 (H-1′), 4.19 (H-3), 4.11 (H-10), 3.80 (H-11), 3.65 (H-5), 3.28 (3”-OCH3), 3.20 (H-13), 2.79 (H-8), 2.46 (H-2), 2.27 /3′-N(CH3)2/, 2.20 (H-7a), 2.00 (H-4), 1.98 (H-7b), 1.59 (H-14a), 1.55 (6-CH3), 1.35 (H-14b), 1.28 (8-CH3), 1.26 (10-CH3), 1.14 (12-CH3), 1.11 (2-CH3), 1.09 (4-CH3), 1.05 (15-CH3).
13C ЯМР (75 МГц, CDCl3) : 179.4 (C-9), 174.5 (C-1), 105.6 (C-1′), 96.3 (C-1”), 86.4 (C-6), 86.2 (C-5), 83.3 (C-13), 79.5(C-3), 75.2 (C-11), 74.9 (C-12). 49.3 (3”-OCH3), 48.8 (C-10), 42.6 (C-2), 40.0 /3′-N(CH3)2/, 39.1 (C-7), 38.5 (C-4), 34.2 (C-8), 25.0 (C-14), 23.8 (6-CH3), 21.3 (12-CH3), 15.7 (10-CH3), 14.9 (8-CH3), 11.6 (15-CH3), 11.0 (4-CH3), 9.9 (2-CH3).
МC, ЭУ (EI, электронный удар), m/z 748.
Способ 26-Дезокси-6,9-эпокси-8(R)-метил-10-амино-9,10-секоэритромицин A (EP 0735041 A1, 02.10.1996) (1 г, 0,00134 моль) суспендируют в 100 мл воды и оставляют стоять в течение 3 часов при комнатной температуре. К реакционной смеси добавляют CHCl3 (30 мл) и доводят pH 9,0, добавляя 10% NaOH, слои разделяют и водный слой экстрагируют еще два раза CHCl3 (60 мл). Объединенные органические экстракты сушат над K2CO3, упаривают на роторном испарителе и затем очищают колоночной хроматографией на силикагеле с использованием системы растворителей CHCl3/CH3OH/конц.NH4OH, 6:1:0,1, как описано в способе A. ПРИМЕР 2. 5-O-Дезозаминил-1-N-(2,3,4-тригидрокси-1,3- диметилгексил)амидо-10,11,12,13,14,15-гексанор-6-дезокси-6,9 – эпокси-9,10-секоэритромицин A (Ib) 1-N-(2,3,4-Тригидрокси-1,3-диметилгексил)амидо-10,11,12,13,14,15-гексанор-6-дезокси-6,9-эпокси-8(R)-метил-9,10-секоэритромицин A (Ia) из примера 1 (6 г, 0,008 моль) растворяют в 300 мл 0,25 N HCl и затем перемешивают в течение 2 часов при комнатной температуре. К реакционной смеси добавляют CHCl3 (40 мл) (pH 2,0), слои разделяют и водный слой снова дважды экстрагируют CHCl3. После подщелачивания до pH 10,0 (20% NaOH) водный слой снова экстрагируют CHCl3. Объединенные органические экстракты сушат при pH 10 над K2CO3, фильтруют и упаривают и получают сырой продукт (1,3 г). Посредством колоночной хроматографии на силикагеле с использованием системы растворителей CH2Cl2/CH3OH/конц. NH4OH, 90:9:1, получают хроматографически однородный продукт (Ib) (0,85 г) с приведенными ниже физико-химическими константами. Т.пл. 87-89oC. Rf 0,324, CH2Cl2/CH3OH/NH4OH, 90:9:1,5. Rf 0,222, CHCl3CH3OH, 7:3. ИК (CHCl3) см-1, 3420, 2980, 2940, 2870, 1740, 1640, 1500, 1480, 1380, 1295, 1230, 1170, 1140, 1120, 980. ПРИМЕР 3. 1-N-(2,3,4-Тригидрокси-1,3-диметилгексил)амидо-10,11,12,13,14,15-гексанор-6-дезокси-6,9-эпокси-8(R)-метил-9,10- секоэритронолид A (Ic) 5-О-Дезозаминил-1-N-(2,3,4-тригидрокси-1,3-диметилгексил)амидо-10,11,12,13,14,15-гексанор-6-дезокси-6,9-эпокси-9,10-секоэритромицин A (Ib) из примера 2 (4 г, 0,0068 моль) растворяют в 20 мл CHCl3, добавляют 2 N HCl (40 мл) и затем реакционную смесь перемешивают при кипячении с обратным холодильником в течение 2 часов. После охлаждения до комнатной температуры отделяют CHCl3-слой и водный слой снова дважды экстрагируют CHCl3 (25 мл). Водный раствор упаривают при пониженном давлении, к твердому остатку добавляют CH3OH (40 мл) и реакционную суспензию перемешивают в течение 1 часа при комнатной температуре, фильтруют и прозрачный фильтрат упаривают на роторном испарителе и получают твердый остаток (3 г). Посредством колоночной хроматографии на силикагеле с использованием системы растворителей CHCl3/CH3OH, 7:3, из сырого продукта (0,6 г) получают хроматографически однородное вещество (Ic) (0,28 г) с приведенными ниже физико-химическими константами. Rf 0,793, CHCl3/CH3OH, 7:3. ИК (CHCl3) см-1, 3420, 2980, 2940, 2890, 1760, 1615, 1550, 1460, 1390, 1300, 1240, 1160, 1100, 970. 1H ЯМР (300 МГц, Py-d5) : 8.84 (CONH), 4.85 (H-10), 4.44 (H-3), 4.41 (H-11), 4.01 (H-5), 4.00 (H-13), 3.06 (H-2), 2.81 (H-8), 2.41 (H-4), 2.30 (H-7a), 2.10 (H-7b), 2.03 (H-14a), 1.72 (H-14b), 1.60 (2-CH3), 1.59 (10-CH3), 1.55 (12-CH3), 1.46 (4-CH3), 1.44 (6-CH3), 1.21 (8-CH3), 1.17 (15-CH3).
13C ЯМР (75 МГц, Py-d5) : 179.4 (C-9), 174.4 (C-1), 86.5 (C-6), 79.2 (C-5), 79.2 (C-13), 77.8 (C-3), 77.1 (C-11), 75.6 (C-12), 47.0 (C-10), 44.9 (C-2), 39.3 (C-7), 36.6 (C-4), 34.5 (C-8), 24.9 (C-14), 22.0 (6-CH3), 20.0 (12-CH3), 15.3 (10-CH3), 15.5 (8-CH3), 12.1 (15-CH3), 8.2 (4-CH3), 16.3 (2-CH3).
МC, ЭУ, m/z 432.
ПРИМЕР 4. 2′,4′-O-Диацетил-1-N-(2,4-O-диацетил-3-гидрокси-1,3-диметилгексил)амидо-10,11,12,13,14,15-гексанор-6-дезокси-6,9-эпокси-9,10-секоэритромицин A (Id)К раствору вещества (Ia) (3,38 г, 0,0045 моль) из примера 1 в пиридине (40 мл) добавляют ангидрид уксусной кислоты (12 мл) и затем реакционную смесь оставляют стоять в течение 3 суток при комнатной температуре. Раствор выливают в смесь воды со льдом (pH 4,8), доводят pH смеси до 9,0, добавляя 10% NaOH и полученный продукт экстрагируют CHCl3. Объединенные органические слои сушат над K2CO3, фильтруют и упаривают и получают сырой продукт (4,15 г). Посредством колоночной хроматографии на силикагеле с использованием системы растворителей CH2Cl2/CH3OH/конц. NH4OH, 90:9:1,5 из продукта (1,2 г) получают хроматографически однородный тетраацетат (Id) (0,65 г) с приведенными ниже физико-химическими константами. Rf 0,622, EtAc/(н-C6H6)/NHEt2, 100:100:20. ИК (CHCl3) см-1, 1745, 1720, 1650, 1515, 1450, 1370, 1240, 1165, 1110, 1060. 1H ЯМР (300 МГц, CDCl3) : 6.87 (CONH), 4.86 (H-11), 4.86 (H-1”), 4.51 (H-2′). 4.81 (H-13), 4.66 (H-4”), 4.51 (H-1′), 4.43 (H-10), 3.95 (H-3), 3.75 (H-5), 3.37 (3”-ОCH3), 2.75 (H-8), 2.23 (H-2), 2.29 /3′-N(CH3)2/, 2.16 (H-7a), 2.15, 2.07, 2.05 and 2.03 (COCH3), 1.90 (H-7b), 1.84 (H-14a), 1.66 (H-4), 1.58 (6-CH3), 1.56 (H-14b). 1.29 (12-CH3), 1.25 (8-CH3), 1.23 (5′-CH3), 1.21 (10-CH3), 1.12 (2-CH3), 1.11 (3”-CH3), 1.11 (5”-CH3), 106 (4-CH3), 0.90 (15-CH3).
13C ЯМР (75 МГц, CDCl3) : 179.8 (C-9), 173.7 (C-1), 170.3, 170.3, 170.1 and 169.6 (CОCH3), 101.0 (C-1′), 96.2 (C-1”), 85.5 (C- 6), 81.5 (C-5), 78.6 (C-4”), 78.1 (C-3), 76.8 (C-13), 76.0 (C-11), 74.9 (C-12). 62.7 (C-3′), 62.3 (C-5”), 49.4 (3”-ОCH3), 45.1 (C-10), 44.7 (C-2), 40.3 /3′-N(CH3)2/, 39.8 (C-7), 39.8 (C-4), 33.3 (C-8), 30.6 (C-4′), 24.7 (6-CH3), 21.9 (C-14), 21.0, 20.7, 20.6, 20.5 (COCH3), 20.9 (3”-CH3), 20.7 (5′-CH3), 18.4 (12-CH3), 17.2 (5”-CH3), 16.0 (10-CH3), 14.5 (8-CH3), 11.3 (4-CH3), 10.7 (15-CH3), 10.5 (2-CH3).
МC, ЭУ, m/z 916.
ПРИМЕР 5. 4”-O-Ацетил-1-N-(2,4,-O-диацетил-3-гидрокси-1,3-диметилгексил)амидо-10,11,12,13,14,15-гексанор-6-деазокси-6,9-эпокси-9,10-секоэритромицин A (Ie)Раствор вещества (Id) (2 г, 0,00218 моль) из примера 4 в CH3OH (50 мл) оставляют стоять в течение 3 суток при комнатной температуре. Посредством выпаривания при пониженном давлении реакционную смесь концентрируют примерно до 1/4 объема, добавляют воду (100 мл) (pH 6,9) и затем полученный продукт выделяют экстракцией CH2Cl2 при pH 9,0 (10% NaOH). Объединенные органические экстракты сушат над K2CO3, фильтруют и упаривают и получают сырой продукт (1,72 г). Посредством колоночной хроматографии на силикагеле с использованием системы растворителей CH2Cl2/CH3OH, 85:15, получают хроматографически однородный триацетат (Ie) (0,85 г) с приведенными ниже физико-химическими константами. Rf 0,582, EtAc/(н-C6H6)/NHEt2, 100:100:20. ИК (CHCl3), см-1: 1740, 1710, 1665, 1515, 1460, 1380, 1240, 1170, 1130, 1060. 1H ЯМР (300 МГц, CDCl3) : 7.14 (CONH), 4.87 (H-13), 4.85 (H-1”), 4.77 (H-11), 4.65 (H-4”), 4.47 (H-10), 4.41 (H-1′), 4.37 (C-5”), 4.07 (H-3), 3.75 (H-5), 3.33 (3”- ОCH3), 3.26 (H-2′), 2.75 (H-8), 2.50 (H-2), 2.32 /3′-N(CH3)2/, 2.13, 2.06, and 2.03. (COCH3), 2.09 (H-7a), 1.91 (H-4), 1.83 (H-14a), 1.58 (6-CH3), 1.54 (H-14b), 1.29 (12-CH3), 1.26 (8-CH3), 1.23 (5′-CH3, 1.18 (10-CH3), 1.15 (4-CH3), 1.12 (2-CH3), 1.10 (3”-CH3), 1.08 (5”-CH3), 0.90 (H-15).
13C ЯМР (75 МГц, CDCl3) : 179.1 (C-9), 173.8 (C-1), 170.4, 170.1 and 170.1 (CОCH3), 103.4 (C-1′), 96.0 (C-1”), 85.6 (C-6), 79.4 (C-3). 82.8 (C-5), 78.2 (C-11), 75.5 (C-13), 74.5 (C-12), 69.9 (C-2′), 65.0 (C-3′), 62.1 (C-5”), 49.1 (3”-OCH3), 44.5 (C-10), 42.6 (C-2), 39.7 /3′-N(CH3)2/, 38.1 (C-7), 38.5 (C-4), 33.4 (C-8), 23.7 (6-CH3), 21.5 (C-14), 20.5, 20.3 and 20.2 (COCH3), 20.6 (3”-CH3 and 5′-CH3), 18.1 (12-CH3), 16.7 (5”-CH3), 16.2 (4-CH3), 14.3 (8-CH3), 11.2 (10-CH3), 10.9 (2-CH3), 10.4 (C-15).
МC, ЭУ, m/z 874.
ПРИМЕР 6. 2-O-(4-Бромбензоил-1-N-(2,3,4-тригидрокси-1,3-диметилгексил)-амидо-10,11,12,13,14,15-гексанор-6-дезокси-6,9-этокси-9,10-секоэритромицин A (If)Вещество (Ia) (2,0 г, 0,0027 моль) из примера 1 растворяют в сухом ацетоне (10 мл), добавляют NaHCO3 (0,4 г, 0,00476 моль) и затем, после перемешивания в течение 1 часа при 0-5oC, добавляют по каплям раствор 4-бромбензоилхлорида (0,83 г, 0,0038 моль) в ацетоне (10 мл). Реакционную смесь перемешивают затем 3 часа при этой температуре, фильтруют, ацетон удаляют перегонкой при пониженном давлении и к полученному остатку добавляют воду (30 мл), после чего экстракцией CHCl3 при pH 8,5 выделяют продукт. После сушки над K2CO3 и упаривания объединенных органических экстрактов выделяют сырой продукт (2,3 г). Посредством колоночной хроматографии на силикагеле с использованем системы растворителей CHCl3/CH3OH/конц. NH4OH, 90:9:1,5, получают хроматографически однородное 2′-(п-бромбензоильное) производное (If) (1,23 г) с приведенными ниже физико-химическими константами. Rf 0,390, EtAc/(н-C6H6)/NHEt2, 100:100:20. Rf 0,814, CH2Cl2/CH3OH/NH4OH, 90:9:1,5. ИК (CHCl3), см-1: 1740, 1710, 1650, 1580, 1500, 1450, 1390, 1370, 1340, 1265, 1165, 1160, 1120, 1100, 1055, 1010. 1H ЯМР (300 МГц, CDCl3) : 7.73 (Ph), 6.61 (CONH), 5.04 (H-2′), 4.86 (H-1”), 4.61 (H-1′), 4.02 (H-10), 3.98 (H-5”), 3.92 (H-3), 3.82 (H-11), 3.73 (H-5), 3.59 (H-5′), 3.36 (3”-ОCH3), 3.26 (H-3′), 3.25 (H-13), 3.03 (H-4”), 2.87 (H-3′), 2.77 (H-8), 2.37 (H-2”), 2.30 /3′-N(CH3)2/, 2.20 (H-7a), 2.16 (H-2), 1.84 (H-4’a), 1.78 (H-7b), 1.56 (H-14a), 1.59 (6-CH3), 1.56 (H-4), 1.41 (H-14b), 1.27 (10-CH3), 1.57 (6-CH3), 1.23 (8-CH3), 1.13 (12-CH3), 0.83 (4-CH3), 1.05 (2-CH3), 1.04 (C-15).
13C ЯМР (75 МГц, CDCl3) : 180.6 (C-9), 175.6 (C-1), 164.7 (COBr), 131.7, 131.3, 129.2 and 128.1 (aryl), 101.1 (C.1′), 94.8 (C-1”), 86.1 (C-6), 79.9 (C-3), 82.2 (C-5), 81.2 (C-13), 78.0 (C-3), 75.9 (C-11), 74.3 (C-12), 73.0 (C-3”), 72.2 (C-2′), 65.4 (C-5”), 63.5 (C-3′), 49.6 (3”-ОCH3), 48.1 (C-10), 45.3 (C-2), 41.7 (C-4), 40.2 /3′-N(CH3)2/, 37.0 (C-7), 34.8 (C-2”), 33.8 (C-8), 31.1 (C-4′), 25.3 (6-CH3), 24.9 (C-14), 21.7 (12-CH3), 18.1 (5”-CH3), 13.8 (10-CH3), 14.7 (8-CH3), 11.8 (4-CH3), 11.1 (C-15), 10.0 (2-CH3).
МC, ЭУ, m/z 931.
ПРИМЕР 7. 2′-O(4-Бромбензоил)-4”-О-ацетил-1-N-(2,4-O-диацетил-3-гидрокси-1,3-диметилгексил)-амидо-10,11,12,13,14,15-гексанор-6-дезокси-6,9-эпокси-9,10-секоэритромицина A (Ig)К раствору вещества (If) (0,50 г, 0,00054 моль) из примера 6 в пиридине (10 мл) добавляют ангидрид уксусной кислоты (2,5 мл) и затем реакционную смесь оставляют стоять в течение 3 суток при комнатной температуре. Раствор выливают в смесь воды со льдом, доводят pH смеси до 9,0, добавляя 10% NaOH и полученный продукт выделяют экстракцией CHCl3. Объединенные органические экстракты сушат над K2CO3, фильтруют, упаривают при пониженном давлении и получают сырой продукт (0,57 г). Посредством колоночной хроматографии на силикагеле с использованием системы растворителей CH2Cl2/CH3OH/конц. NH4OH, 90: 9: 1,5, из полученного осадка (1,2 г) получают хроматографически однородное вещество (Ig) (0,18 г) с приведенными ниже физико-химическими константами. Rf 0,773, EtAc/(н-C6H6)/NHEt2, 100:100:20. Rf 0,938, CH2CI2/CH3OH/NH4OH, 90:9:1,5. ИК (CHCl3), см-1: 3340, 2970, 1740, 1710, 1650, 1580, 1515, 1450, 1370, 1240, 1160, 1130, 1100, 1040, 1010. 1H ЯМР (300 МГц, CDCl3) : 7.73 (Ph), 6.83 (CONH), 3.38 (3”-ОCH3), 2.28 /3′-N(CH3)2/, 2.17, 2.03 and 2.02 (COCH3).
ПРИМЕР 8. 2′-O-(4-Бромбензоил)-1-N-[2-(4-бромбензоил)-3,4-дигидpoкси-1,3-диметилгексил] aмидo-10,11,12,13,14,15-гексанор-6-дезокси-6,9-эпoкcи-9,10-cекoэритромицина A (Ih) и2′-О-(4-бромбензоил)-1-N-[4-(4-бромбензоил)-2,3-дигидрокси-1,3-диметилгексил] амидо-10,11,12,13,14,15-гекcанop-6-дезокси-6,9-эпокси-9,10-секоэритромицин A (Ii) Вещество (Ia) (7,8 г, 0,0104 моль) из примера 1 растворяют в сухом ацетоне (200 мл) и добавляют NaHCO3 (23,55 г, 0,280 моль) и затем реакционную суспензию при перемешивании нагревают до температуры кипения. После перемешивания в течение 30 минут добавляют по каплям раствор 4-бромбензоилхлорида (11,45 г, 0,052 моль) в ацетоне (80 мл), реакционную суспензию перемешивают еще в течение 30 часов при кипячении с обратным холодильником, охлаждают до комнатной температуры, фильтруют и упаривают при пониженном давлении. Полученный осадок растворяют в CH2Cl2 (100 мл), добавляют воду (60 мл), после чего экстракцией CHCl3 при pH 9,0 выделяют продукт. Объединенные органические экстракты промывают насыщенным раствором NaHCO3 (80 мл) и водой (40 мл) и сушат над K2CO3. После удаления растворителя получают смесь (12,0 г) дибромбензоатов (Ih) и (Ii), которую разделяют колоночной хроматографией на силикагеле с использованием системы растворителей CH2Cl2/CH3OH, 95:5 и получают хроматографически однородные, названные в заголовке продукты (Ih) и (Ii) с физико-химическими константами, приведенными ниже. Вещество (Ih) Rf 0,539, CH2Cl2/CH3OH/NH4OH, 90:9:0,5. ИК (CHCl3), см-1: 1755, 1720, 1660, 1590, 1520, 1490, 1450, 1390, 1370, 1340, 1270, 1165, 1160, 1120, 1100, 1060, 1015, 850. 1H ЯМР (300 МГц, CDCl3) : 7.72 (Ph), 7.00 (CONH), 5.27 (H-11), 4.96 (H-2′), 4.72 (H-1”), 4.56 (H-1′), 4.53 (H-10), 3.93 (H-5”), 3.77 (H-3), 3.65 (H-5), 3.13 (H-13), 3.57 (H-5′), 3.25 (3”-ОCH3), 3.05 (H-4”), 2.82 (H-3′), 2.42 (H-2”), 2.34 (H-8), 2.24 /3’N(CH3)2/, 2.02 (H-7a), 2.05 (H-2), 2.04 (H-2”a), 1.81 (H-4’a), 1.77 (H-7b), 1.71 (H-14a), 1.51 (H-2”b), 1.41 (H-14b), 1.50 (H-4), 1.41 (H-4’b), 1.36 (10-CH3), 1.27 (12-CH3), 1.30 (5”-CH3), 1.28 (5′-CH3), 1.24 (6-CH3), 1.23 (3”-CH3), 1.14 (8- CH3), 1.01 (2-CH3), 0.98 (H-15), 0.83 (4-CH3), 0.80 (H-2”b).
13C ЯМР (75 МГц, CDCl3) : 180.3 (C-9), 174.6 (C-1), 166.4 and 164.5 (COBr), 131.6, 131.5, 129.1, 128.5, 128.2, 127.8 (Ph), 101.1 (C-1′), 96.3 (C-1”), 85.5 (C-6), 81.5 (C-5), 79.3 (C-11), 78.1 (C-3), 77.8 (C-4”), 77.0 (C-13), 75.7 (C-12), 72.6 (C-3”), 72.0 (C-2′), 68.9 (C-5′), 64.9 (C-5”), 63.0 (C-3′), 49.2 (3”-ОCH3), 45.3 (C-10), 45.3 (C-2), 40.6 (C-4), 40.6 /3’N(CH3)2/, 36.9 (C-7), 33.1 (C-8), 34.5 (C-2”), 30.7 (C-4′), 24.3 (6-CH3), 22.6 (C-14), 21.3 (3”-CH3), 20.6 (5′-CH3), 17.8 (5”-CH3), 17.7 (12-CH3), 15.3 (10-CH3), 14.2 (8-CH3), 11.5 (4-CH3), 11.3 (C-15), 10.0 (2-CH3).
Вещество (Ii)Rf 0,744, CH2Cl2/CH3OH/NH4OH, 90:9:0,5. ИК (CHCl3), см-1: 3450, 2980, 2940, 1770, 1730, 1650, 1600, 1540, 1495, 1460, 1405, 1390, 1350, 1280, 1170, 1110, 1070, 1015, 850. 1H ЯМР (300 МГц, CDCl3) : 7.72 (Ph), 6.51 (CONH), 5.13 (H-13), 5.00 (H-2′), 4.55 (H-1′), 4.52 (H-1”), 4.09 (H-10), 3.92 (H-3), 3.85 (H-5”), 3.68 (H-5), 3.65 (H-11), 3.54 (H-5′), 3.28 (3”-ОCH3), 3.00 (H-4”), 2.79 (H-3′), 2.69 (H-8), 2.25 /3’N(CH3)2/, 2.16 (H-7a), 2.10 (H-2), 2.04 (H-2”a), 2.00 (H-14a), 1.80 (H-4’a), 1.76 (H-7b), 1.62 (H-14b), 1.53 (H-4), 1.44 (H-4’b), 1.27 (5′-CH3), 1.27 (5′-CH3), 1.14 (3”-CH3), 1.04 (H-15), 0.80 (H-2”b).
13C ЯМР (75 МГц, CDCl3) : 180.1 (C-9), 174.9 (C-1). 165.8 and 164.7 (COBr), 131.8, 131.6, 131.5, 131.2, 131.0, 129.3, 129.1, 127.9 (Ph). 101.2 (C-1′), 94.1 (C-1”), 85.5 (C-6), 81.4 (C-5), 76.9 (C-3), 77.2 (C-4”), 78.3 (C-13), 74.6 (C-12), 72.6 (C-3”), 71.9 (C-2′), 70.2 (C-11), 69.0 (C-5′), 65.2 (C-5”), 63.3 (C-3′), 49.2 (3”-OCH3), 46.7 (C-10), 44.8 (C-2), 41.5 (C-4), 40.5 /3’N(CH3)2/, 36.9 (C-7), 33.3 (C-8), 33.2 (C-2”), 30.8 (C-4′), 25.0 (6-CH3), 21.7 (C-14), 21.3 (3”-CH3), 20.8 (5′-CH3), 17.5 (5”-CH3), 16.3 (12-CH3), 14.4 (8-CH3), 13.5 (10-CH3), 11.1 (C-15), 10.7 (4-CH3), 9.8 (2-CH3).
ПРИМЕР 9. 1-N-[2,3-Дигидрокси-4-(4-бромбензоил)-1,3-ди-метилгексил] амидо-10,11,12,13,14,15-гексанор-6-дезокси-6,9-эпокси-9,10-секоэритромицин A (Ij)Продукт (Ii) (4,6 г) примера 8 растворяют в метаноле (50 мл), добавляют воду (10 мл) и затем реакционный раствор оставляют стоять в течение 24 часов при комнатной температуре. Выпариванием при пониженном давлении удаляют метанол, к маслянистому остатку добавляют воду (20 мл) и экстракцией CHCl3 при pH 9,0 выделяют продукт. После сушки над K2CO3 и упаривания объединенных органических экстрактов получают сырой продукт (4,1 г). Посредством колоночной хроматографии на силикагеле с использованием системы растворителей CH2Cl2/CH3OH/конц. NH4OH, 90:9:0,5, из сырого продукта (1,90, г) выделяют хроматографически (ТСХ) (0,72 г) однородный монобромбензоат (Ij) с физико-химическими константами, приведенными ниже. Rf 0,391, CH2Cl2/CH3OH/NH4OH, 90:9:0,5. ИК (CHCl3), см-1: 3400, 2980, 2950, 1770, 1660, 1540, 1460, 1390, 1270, 1110, 1050, 1005. 1H ЯМР (300 МГц, CDCl3) : 7.72 (aryl), 7.26 (CONH), 5.13 (H-13), 4.54 (H-1”), 4.36 (H-1′), 4.20 (H-10), 4.14 (H-3), 3.87 (H-5”), 3.70 (H-5), 3.57 (H-5′), 3.54 (H-11), 3.29 (H-2′), 3.19 (3”-ОCH3), 2.94 (H-4”), 2.53 (H-8), 2.53 (H-2), 2.45 (H-3′), 2.30 /3’N(CH3)2/, 2.15 (H-7a), 2.02 (H-14a), 2.00 (H-7b), 1.98 (H-2”a), 1.86 (H-4), 1.69 (H-4’a), 1.61 (H-14b), 1.50 (6-CH3), 1.33 (H-4’b), 1.29 (12-CH3), 1.26 (5′-CH3), 1.27 (3”-CH3), 1.26 (8-CH3), 1.25 (5”-CH3), 1.20 (10-CH3), 1.10 (3”-CH3), 1.02 (2-CH3), 0.99 (4-CH3), 0.92 (H-15), 0.88 (H-2”b).
13C ЯМР (75 МГц, CDCl3) : 179.3 (C-9), 174.4 (C-1), 165.9 (COBr), 131.8, 131.1, 129.0 and 128.1 (aryl), 104.9 (C-1′), 94.6 (C-1”), 86.1 (C-6), 84.5 (C-5), 76.9 (C-3), 78.1 (C-13), 74.6 (C-12), 70.5 (C-11), 70.2 (C-2′), 65.3 (C-5”), 65.8 (C-3′), 49.0 (3”- ОCH3), 46.1 (C-10), 41.6 (C-2), 41.0 /3’N(CH3)2/, 39.1 (C-4), 38.7 (C-7), 33.9 (C-2”), 33.8 (C-8), 27.8 (C-4′), 21.6 (C-14), 23.6 (6-CH3), 20.9 (5′-CH3), 21.2 (3”-CH3), 17.2 (5”-CH3), 16.2 (12-CH3), 14.5 (8-CH3), 13.6 (10-CH3), 9.9 (2-CH3), 10.6 (4-CH3), 10.9 (C-15).
ПРИМЕР 10. 1-N-[2-(4-бромбензоил)-3,4-дигидpoкcи-1,3-диметилгексил] амидо-10,11,12,13,14,15-гексанор-6-дезокси-6,9-эпокси-9,10-секоэритромицин A (Ik)Из продукта (Ih) (2,20 г) примера 8 по способу, описанному в примере 9, после очистки сырого продукта колоночной хроматографией на силикагеле и упаривания фракций с Rf 0,283 получают хроматографически однородный, названный в заголовке продукт (Ik) (0,95 г). Rf 0,283, CH2Cl2/CH3OH/NH4OH, 90:9:0,5. 1H ЯМР (300 МГц, CDCl3) : 7.72 (Ph), 7.00 (CONH), 5.20 (H-11), 4.72 (H-1”), 4.36 (H-1′), 4.53 (H-10), 3.93 (H-5”), 3.77 (H-3), 3.65 (H-5), 3.23 (H-13), 3.59 (H-5′), 3.36 (H-2′), 3.25 (3”-ОCH3), 3.05 (H-4”), 2.72 (H-3′), 2.42 (H-2”), 2.34 (H-8), 2.28 /3’N(CH3)2/, 2.02 (H-7a), 2.05 (H-2), 2.04 (H-2”a), 1.71 (H-4’a), 1.77 (H-7b), 1.71 (H-14a), 1.51 (H-2”b), 1.41 (H-14b), 1.50 (H-4), 1.26 (H-4’b), 1.36 (10-CH3), 1.27 (12-CH3), 1.26 (5”-CH3), 1.26 (5′-CH3), 1.64 (6-CH3), 1.20 (3”-CH3), 1.14 (8-CH3), 1.01(2-CH3), 0.98 (H-15), 0.83 (4-CH3), 0.80 (H-2”b).
ПРИМЕР 11. 2,3-Циклический карбонат 1-N-[4-гидрокси-1,3-диметилгексил] амидо-10,11,12,13,14,15-гексанор-6-дезокси-6,9-эпокси-9,10-секоэритромицина A (Il)Вещество (Ia) из примера 1 (10,0 г, 0,0134 моль) растворяют в сухом бензоле (100 мл) и добавляют этиленкарбонат (5,0 г, 0,057 моль) и затем, после растворения реагента, добавляют K2CO3 (2,0 г, 0,0145 моль). Реакционную суспензию при перемешивании кипятят с обратным холодильником в течение 9 часов, оставляют стоять в течение ночи, упаривают при пониженном давлении и получают сырой продукт (Il) (11,0 г). Посредством колоночной хроматографии на силикагеле с использованием системы растворителей CH2Cl2/CH3OH/конц. NH4OH, 90: 9: -1,5, из сырого продукта (3,0 г) получают хроматографически однородное вещество (Il) (1,25 г) с физико-химическими константами, приведенными ниже. ИК (CHCl3), см-1: 3540, 3300, 1790, 1760, 1660, 1530, 1450, 1380, 1300, 1280, 1230, 1165, 1000. 1H ЯМР (300 МГц, Py) : 8.46 (CONH), 5.26 (H-11), 5.18 (H-1”), 4.81 (H-1′), 4.61 (H-10), 4.54 (H-3), 4.52 (H-5”), 4.19 (H-5), 3.79 (H-13), 3.76 (H-5′), 3.60 (H-2′), 3.41 (3”-ОCH3), 3.29 (H-4”), 3.07 (H-2), 2.88 (H-8), 2.61 (H-3′), 255 (H-7а), 2.50 (H-2”а), 2.50 (H-4), 2.24 /3’N(CH3)2/, 2.20 (H-7b), 2.24 (H-4’a), 1.75 (6-CH3), 1.73 (H-14а), 1.65 (3”-CH3), 1.65 (3”-CH3), 1.58 (H-2”b), 1.55 (4-CH3), 1.55 (5”-CH3), 1.41 (10-CH3), 1.43 (2-CH3), 1.33 (12-CH3), 1.30 (8-CH3), 1.28 (5′-CH3), 1.16 (H-4’b), 1.16 (H-15).
13C ЯМР (75 МГц, Py) : 180.1 (C-9), 175.9 (C-1), 155.0 (CO carbonate), 105.2 (C-1′), 97.7 (C-1”), 88.9 (C-12), 87.1 (C-6), 83.0 (C-5), 82.2 (C-13), 80.8 (C-11), 79.1 (C-3), 70.2 (C-2′), 66.5 (C-5”), 66.2 (C-3′), 50.0 (3”-ОCH3), 46.1 (C-10), 44.8 (C-2), 41.0 /3’N(CH3)2/, 40.5 (C-4), 39.3 (C-7), 36.4 (C-2”), 34.9 (C-8). 30.9 (C-4′), 25.2 (6- CH3), 24.6 (C-14), 22.1 (5′-CH3), 21.9 (3”-CH3), 19.3 (5”-CH3), 17.2 (12-CH3), 16.8 (2-CH3), 15.7 (10-CH3), 13.9 (8-CH3), 11.3 (4-CH3), 11.6 (C-15).
МC, ЭУ, m/z 774.
ПРИМЕР 12. 1-N-Тригидрокси-1,3-диметилгексил]амидо-10,11,12,13,14,15-гексанор-9-дезоксо-9-гидрокси-8(R)-метил-9,10-секоэритромицин A (Im) и1-N-[2,3,4-Тригидрокси-1,3-диметилгексил] амидо-10,11,12,13,14,15-гексанор-9-дезоксо-9-гидрокси-8(S)-метил-9,10-секоэритромицин A (In) При кипячении с обратным холодильником раствора вещества (Ia) из примера 1 (3,0 г, 0,004 моль) и NaBH4 (2,4 г, 0,063 моль) в трет-бутаноле (32 моль), после перемешивания в течение 5 часов, добавляют к нему по каплям метанол (32 мл) и раствор кипятят с обратным холодильником еще в течение 2 часов. К охлажденной смеси добавляют воду (15 мл) и затем экстрагируют CH2Cl2 при pH 2,5. Объединенные органические экстракты сушат над K2CO3, фильтруют и упаривают при пониженном давлении. Сырой продукт (2,4 г) очищают колоночной хроматографией на силикагеле с использованием системы растворителей CHCl3/CH3OH/конц. NH4OH, 6:1:0,1. Объединяя и упаривая фракции с более высоким Rf (0,600), чем у исходного 6,9-лактона (Ia) (Rf 0,553), получают смесь (0,45 г) изомеров (Im) и (In). Изомеры разделяют повторной колоночной хроматографией на силикагеле с использованием системы EtAc/н-C6H6)/Et2NH, 100:100:20. Выпаривая объединенные фракции с Rf 0,158, получают изомер (Im) (0,2 г), а выпаривая фракции с Rf 0,197 получают изомер (In) (0,05 г). Вещество (Im) ИК (CHCl3), см-1: 3660, 3600, 3350, 2980, 2930, 1755, 1655, 1515, 1450, 1380, 1150, 1110. 1H ЯМР (300 МГц, CDCl3) : 7.57 (CONH), 4.97 (H-1”), 4.36 (H-1′), 4.17 (H-10), 4.23 (H-3), 4.04 (H-5”), 3.76 (H-11), 3.70 (H-5′), 3.60 (H-9a), 3.46 (H-2′), 3.41 (H-5), 3.28 (3”-ОCH3), 3.27 (H-9b), 3.19 (H-13), 2.93 (H-4”), 2.77 (H-3′), 2.50 (H-2), 2.38 (H-2”a), 2.30 /3’N(CH3)2/, 2.09 (H-8), 1.95 (H-4), 1.78 (H-4’a), 1.57 (H-14a), 1.40 (H-7b), 1.40 (H-2”b), 1.36 (H-4’b), 1.36 (H-14b), 1.33 (6-CH3), 1.28 (5′-CH3), 1.25 (10-CH3), 1.23 (5”-CH3), 1.18 (3”-CH3), 1.14 (12-CH3), 1.09 (2-CH3), 1.06 (4-CH3), 1.05 (H-15), 0.95 (8-CH3).
13C ЯМР (75 МГц, CDCl3) : 173.4 (C-1), 106.7 (C-1′), 96.4 (C-1”), 92.5 (C-5), 83.7 (C-13), 80.1 (C-3), 75.0 (C-6), 74.7 (C-11), 74.6 (C-12), 70.2 (C-2′), 69.0 (C-9), 65.4 (C-5”), 64.1 (C-3′), 50.0 (3”-ОCH3), 49.0 (C-10), 44.1 (C-7), 41.3 (C-2), 39.5 /3’N(CH3)2/, 37.4 (C-4), 34.8 (C-2”), 31.0 (C-8), 27.8 (C-4′), 24.7 (C-14), 22.1 (6-CH3), 21.4 (12-CH3), 20.7 (5′-CH3), 21.1 (3”- CH3), 20.0 (8-CH3), 17.3 (5”-CH3), 16.0 (10-CH3), 10.1 (4-CH3), 11.3 (C-15), 8.4 (2-CH3).
Вещество (In)1H ЯМР (300 МГц, CDCl3) : 7.63 (CONH), 5.05 (H-1”), 4.34 (H-1′), 4.22 (H-10), 4.25 (H-3), 4.06 (H-5”), 3.74 (H-11), 3.71 (H-5′), 3.48 (H-9a), 3.34 (H-2′), 3.70 (H-5), 3.28 (3”-ОCH3), 3.29 (H-9b), 3.14 (H-13), 2.93 (H-4”), 2.84 (H-3′), 2.50 (H-2), 2.32 (H-2”a), 2.28 /3’N(CH3)2/, 1.74 (H-8), 1.93 (H-4), 1.76 (H-4’a), 1.56 (H-14a), 1.74 (H-7a), 1.64 (H-7b), 1.41 (H-2”b), 1.32 (H-4’b), 1.36 (H-14b), 1.34 (6-CH3), 1.27 (5′-CH3), 1.25 (10-CH3), 1.23 (5”-CH3), 1.17 (3”-CH3), 1.15 (12-CH3), 1.11 (2-CH3), 1.07 (4-CH3), 1.46 (H-15), 0.89 (8-CH3).
13C ЯМР (75 МГц, CDCl3) : 173.6 (C-1), 107.3 (C-1′), 96.3 (C-1”), 91.2 (C-5), 84.5 (C-13), 78.9 (C-3), 75.5 (C-6), 75.1 (C-11), 74.8 (C-12), 70.5 (C-2′), 69.4 (C-9), 65.7 (C-5”), 63.4 (C-3′), 49.3 (3”-ОCH3), 49.7 (C-10), 46.7 (C-7), 41.9 (C-2), 39.3 /3’N(CH3)2/, 37.4 (C-4), 34.7 (C-2”), 32.0 (C-8), 27.8 (C-4′), 26.2 (6-CH3), 24.9 (C-14), 21.9 (12-CH3), 21.1 (3”-CH3), 20.7 (5′-CH3), 19.6 (8-CH3), 17.4 (5”-CH3), 16.7 (10-CH3), 11.4 (C-15), 10.1 (4-CH3), 8.1 (2-CH3).
ПРИМЕР 13. 2′, 4”-O-Диацетил-1N-[2,4-O-диацетил-3-гидрокси-1,3-диметилгексил] амидо-10,11,12,13,14,15-гексанор-9-дезоксо-9-O-ацетил-8(R)-метил-9,10-секоэритромицин A (Io)Вещество (Im) (0,70 г) из примера 12 растворяют в пиридине (10 мл), добавляют ангидрид уксусной кислоты (5 мл) и оставляют стоять в течение 2 суток при комнатной температуре. Реакционную смесь выливают на лед (50 мл) и экстрагируют с CHCl3 при pH 5 и pH 9. Сушка над K2CO3 и упаривание объединенных органических экстрактов при pH 9 дает сырой продукт (0,87 г), который суспендируют в петролейном эфире, перемешивают в течение 30 минут при 0-5oC, фильтруют и сушат в вакуумном сушильном шкафу при 50oC и получают хроматографически однородный, названный в заголовке продукт (Iо) (0,61 г). Rf 0,473, EtAc/(н-C6H6)/Et2NH, 100:100:20. ИК (CHCl3), см-1: 3510, 3395, 2980, 2950, 1740, 1660, 1535, 1460, 1370, 1240, 1170, 1045. 1H ЯМР (300 МГц, CDCl3) : 6.53 (CONH), 4.94 (H-13), 4.84 (H-1”), 4.83 (H-2′), 4.66 (H-4”). 4.65 (H-1′), 4.57 (H-10), 4.36 (H-5”), 4.02 (H-3), 3.73 (H-5′), 3.47 (H-5), 3.33 (3”-ОCH3), 2.78 (H-3′), 2.53 (H-2), 2.40 (H-2”а), 2.27 /3′-N(CH3)/2, 2.14 (H-8), 2.13, 2.12, 2.07, 2.05 and 2.02 (CОCH3), 1.92 (H-4), 1.83 (H-14a), 1.73 (H-4’a), 1.56 (H-2”b), 1.50 (H-7a), 1.44 (H-14b), 1.36 (H-4’b), 1.28 (6-CH3), 1.26 (H-7b), 1.22 (5′-CH3), 1.20 (12-CH3), 1.15 (2-CH3), 1.13 (10-CH3), 1.11 (3”-CH3), 1.11 (5”-CH3), 1.02 (8-CH3), 0.98 (4-CH3), 0.89 (15-CH3).
Примечания: В приведенных выше спектрах ЯМР указанные ниже слова обозначают следующее:and – и, aryl – арил, carbonate – карбонат. Формула изобретения
![]() R1 – водород, (C1 – C4)алканоильная группа; R2 – водород или R1 и R2 вместе с атомами углерода, с которыми они связаны, образуют циклическую карбонильную группу; R3 – (C1 – C4)алканоильная группа или арилкарбонильная группа; Z – водород или L-кладинозильная группа формулы i ![]() где R4 – водород или (C1 – C4)алканоильная группа; W – D-дезозаминильная группа формулы ii ![]() где R5 – водород, (C1 – C4)алканоильная или арилкарбонильная группа; X и Y вместе представляют лактон или X представляет CH2OR6 группу, где R6 представляет (C1 – C4)алканоил, а Y представляет гидроксил, или их фармацевтически приемлемые соли присоединения неорганических или органических кислот. 2. Соединение по п. 1, в котором R1, R2 и R3 являются одинаковыми и представляют водород, Z представляет водород или L-кладинозильную группу формулы (i), где R4 представляет водород, W представляет D-дезозаминильную группу формулы (ii), где R5 представляет водород и X и Y вместе представляют лактон. 3. Соединение по п.2, в котором Z представляет L-кладинозильную группу формулы i, где R4 представляет водород, а W представляет D-дезозаминильную группу формулы ii, где R5 представляет водород. 4. Соединение по п.2, в котором Z представляет водород, а W представляет D-дезозаминильную группу формулы ii, где R5 представляет водород. 5. Соединение по п.2, в котором Z представляет водород. 6. Соединение по п.1, в котором R1 и R3 являются одинаковыми и представляют (C1 – C4)алканоильную группу, R2 является водородом, Z представляет L-кладинозильную группу формулы i, где R4 представляет (C1 – C4)алканоильную группу, W представляет D-дезозаминильную группу формулы ii, где R5 представляет водород или (C1 – C4)алканоильную группу и X и Y вместе представляют лактон. 7. Соединение по п.6, в котором R1 и R3 являются одинаковыми и представляют ацетильную группу, R2 является водородом, Z представляет L-кладинозильную группу формулы i, где R4 представляет ацетильную группу, W представляет D-дезозаминильную группу формулы ii, где R5 представляет водород. 8. Соединение по п.6, в котором R1 и R3 являются одинаковыми и представляют ацетильную группу, R2 является водородом, Z представляет L-кладинозильную группу формулы i, где R4 представляет ацетильную группу, W представляет D-дезозаминильную группу формулы ii, где R5 представляет ацетильную группу. 9. Соединение по п.1, в котором R1 и R3 являются одинаковыми или различными и представляют водород, (C1 – C4)алканоильную группу, R2 является водородом, Z представляет L-кладинозильную группу формулы i, где R4 представляет водород или (C1 – C4)алканоильную группу, W представляет D-дезозаминильную группу формулы ii, где R5 представляет водород или арилокарбонильную группу и X и Y вместе представляют лактон. 10. Соединение по п. 9, в котором R1, R2 и R3 являются одинаковыми и представляют водород, Z представляет L-кладинозильную группу формулы i, где R4 представляет водород, W представляет D-дезозаминильную группу формулы ii, где R5 представляет 4-бромбензоильную группу. 11. Соединение по п.9, в котором R1 и R3 являются одинаковыми и представляют ацетильную группу, R2 представляет водород, Z представляет L-кладинозильную группу формулы i, где R4 представляет ацетильную группу, W представляет D-дезозаминильную группу формулы ii, где R5 представляет 4-бромбензоильную группу. 12. Соединение по п.9, в котором R2 и R3 являются одинаковыми и представляют водород, Z представляет L-кладинозильную группу формулы i, где R4 представляет водород, W представляет D-дезозаминильную группу формулы ii, где R5 представляет 4-бромбензоильную группу. 13. Соединение по п.9, в котором R2 и R3 являются одинаковыми и представляют водород, Z представляет L-кладинозильную группу формулы i, где R4 представляет водород, W представляет D-дезозаминильную группу формулы ii, где R5 представляет водород. 14. Соединение по п. 9, в котором R3 представляет 4-бромбензоильную группу, R1 и R2 являются одинаковыми и представляют водород, Z представляет L-кладинозильную группу формулы i, где R4 представляет водород, W представляет D-дезозаминильную группу формулы ii, где R5 представляет 4-бромбензоильную группу. 15. Соединение по п.9, в котором R3 представляет 4-бромбензоильную группу, R1 и R2 являются одинаковыми и представляют водород, Z представляет L-кладинозильную группу формулы i, где R4 представляет водород, W представляет D-дезозаминильную группу формулы ii, где R5 представляет водород. 16. Соединение по п.1, в котором R1 и R2 вместе с атомами углерода, с которыми они связаны, представляют циклическую карбонильную группу, R3 представляет водород, Z представляет L-кладинозильную группу формулы i, где R4 представляет водород, W представляет D-дезозаминильную группу формулы ii, где R5 представляет водород и X и Y вместе представляют лактон. 17. Соединение по п.16, в котором R1 и R2 вместе с атомами углерода, с которыми они связаны, представляют циклическую карбонильную группу и R3 представляет водород. 18. Соединение по п.1, в котором R1 и R3 являются одинаковыми и представляют водород, R2 представляет водород, Z представляет L-кладинозильную группу формулы i, где R4 представляет водород или (C1 – C4)алканоильную группу, W представляет D-дезозаминильную группу формулы ii, где R5 представляет водород или (C1 – C4)алканоильную группу, X представляет группу CH2OR6, где R6 представляет (C1 – C4)алканоильную группу и Y представляет гидроксильную группу. 19. Соединение по п. 18, в котором R1, R2 и R3 являются одинаковыми и представляют водород, Z представляет L-кладинозильную группу формулы i, где R4 представляет водород, W представляет D-дезозаминильную группу формулы ii, где R5 представляет водород, X представляет группу CH2OR6 и Y представляет гидроксильную группу. 20. Соединение по п.18, в котором R3 представляет ацетильную группу, R2 представляет водород, Z представляет L-кладинозильную группу формулы i, где R4 представляет ацетильную группу, W представляет D-дезозаминильную группу формулы ii, где R5 представляет ацетильную группу, X представляет группу CH2OR6, где R6 представляет ацетильную группу и Y представляет гидроксильную группу. 21. Способ получения соединения общей формулы I ![]() где R1, R2, R3, R4, R5, X, Y, Z и W определены в п.1, или его фармацевтически приемлемых солей присоединения неорганических или органических кислот, отличающийся тем, что 6-дезокси-6,9-эпокси-8(R)-метил-10-амино-9,10-секоэритромицин А общей формулы II ![]() подвергают воздействию полярных растворителей, предпочтительно воды или смеси воды и ацетона, в течение времени, необходимого для того, чтобы посредством внутримолекулярного переацилирования образовалось соединение общей формулы I, где R1, R2 и R3 являются одинаковыми и представляют водород, Z является L-кладинозильной группой формулы i, где R4 представляет водород, W является D-дезозаминильной группой формулы ii, где R5 представляет водород и X и Y вместе представляют лактоновую группу, которое далее, если требуется, подвергают А) взаимодействию с разбавленными неорганическими кислотами, предпочтительно с 0,25N хлористоводородной кислотой, при комнатной температуре, с образованием соединения общей формулы I, где R1, R2 и R3 являются одинаковыми и представляют водород, Z является водородом, W является D-дезозаминильной группой формулы ii, где R5 представляет водород, X и Y вместе представляют лактон, или взаимодействию с более концентрированными кислотами, предпочтительно с 2N хлористоводородной кислотой, в присутствии инертного растворителя, предпочтительно хлороформа, при повышенной температуре, предпочтительно при температуре кипения реакционной смеси, с образованием соединения общей формулы (I), где R1, R2 и R3 являются одинаковыми и представляют водород, Z представляет водород, и X и Y вместе представляют лактон, или Б) О-ацилированию ангидридами или хлорангидридами карбоновых кислот с образованием Б1) при О-ацилировании ангидридами или хлорангидридами (C1 – C4)алкилкарбоновых кислот, предпочтительно ангидридом уксусной кислоты, в инертном для реакции растворителе, предпочтительно пиридине, при температуре 0 – 30oС, предпочтительно при комнатной температуре, соединения общей формулы I, где R1 и R3 являются одинаковыми и представляют (C1 – C4)алканоильные группы, и R2 представляет водород, Z является L-кладинозильной группой формулы i, где R4 представляет (C1 – C4)алканоильную группу, W является D-дезозаминильной группой формулы ii, где R5 представляет (C1 – C4)алканоильную группу, и X и Y вместе представляют лактон, которое затем, если требуется, подвергают реакции сольволиза в низших спиртах, предпочтительно в метаноле, при комнатной температуре в течение 3 дней, с образованием соединения общей формулы I, где R1 и R3 являются одинаковыми и представляют (C1 – C4)алканоильные группы, и R2 представляет водород, Z является L-кладинозильной группой формулы i, где R4 представляет (C1 – C4)алканоильную группу, W является D-дезозаминильной группой формулы ii, где R5 представляет водород, и X и Y вместе представляют лактон, или с образованием Б2) при О-ацилировании хлорангидридами арилкарбоновых кислот, когда Б2а) используют, по меньшей мере, 1,1 – эквимолярный избыток хлорангидрида кислоты, предпочтительно 4-бромбензоилхлорида, в сухом ацетоне при температуре 0 – 5oС соединения общей формулы I, где R1, R2 и R3 являются одинаковыми и представляют водород, Z является L-кладинозильной группой формулы i, где R4 представляет водород, W является D-дезозаминильной группой формулы ii, где R5 представляет арилкарбонильную группу, и X и Y вместе представляют лактон, которое далее, если требуется, подвергают О-ацилированию в соответствии с Б1), с образованием соединения общей формулы I, где R1 и R3 являются одинаковыми и представляют (C1 – C4)алканоильные группы, и R2 представляет водород, Z является L-кладинозильной группой формулы i, где R4 представляет (C1 – C4)алканоильную группу, W является D-дезозаминильной группой формулы ii, где R5 представляет арилкарбонильную группу, и X и Y вместе представляют лактон, или Б2б) используют, по меньшей мере, 5-эквимолярный избыток хлорангидрида кислоты, предпочтительно 4-бромбензоилхлорида, при повышенной температуре, предпочтительно при температуре кипения реакционной смеси, смеси соединений общей формулы I, где R1 представляет арилкарбонильную группу, а R2 и R3 являются одинаковыми и представляют водород, или где R3 представляет арилкарбонильную группу, а R1 и R2 являются одинаковыми и представляют водород, Z является L-кладинозильной группой формулы i, где R4 представляет водород, а W является D-дезозаминильной группой формулы ii, где R5 представляет арилкарбонильную группу, и X и Y вместе представляют лактон, и эти соединения разделяют с помощью колоночной хроматографии на силикагеле, а затем, если требуется, подвергают реакции сольволиза, с образованием соединения общей формулы I, где R1, R2 и R3 являются одинаковыми и представляют водород, или где R3 представляет арилкарбонильную группу, а R1 и R2 являются одинаковыми и представляют водород, Z является L-кладинозильной группой формулы i, где R4 представляет водород, а W является D-дезозаминильной группой формулы ii, где R5 представляет водород, и X и Y вместе представляют лактон, или В) реакции переэтерификации с производными карбоновых кислот, предпочтительно с 3-5-эквимолярным избытком этиленкарбоната, в инертном растворителе, предпочтительно в бензоле, при повышенной температуре, предпочтительно при температуре кипения реакционной смеси, в течение 3 – 9 ч, с образованием соединения общей формулы I, где R1 и R2 вместе с атомами углерода, с которыми они связаны, представляют циклическую карбонильную группу, а R3 представляет водород, Z является L-кладинозильной группой формулы i, где R4 представляет водород, W является D-дезозаминильной группой формулы ii, где R5 представляет водород, и X и Y вместе представляют лактон, или Г) восстановлению с металлогидридными комплексами, предпочтительно с борогидридом натрия, в присутствии третичных спиртов, предпочтительно трет-бутанола, в инертном растворителе, предпочтительно в метаноле, при повышенной температуре, предпочтительно при температуре кипения реакционной смеси, с образованием соединения общей формулы I, где R1, R2 и R3 являются одинаковыми и представляют водород, Z является L-кладинозильной группой формулы i, где R4 представляет водород, W является D-дезозаминильной группой формулы ii, где R5 представляет водород, и X представляет группу CH2OR6, а Y представляет гидроксильную группу, которое далее, если требуется, подвергают О-ацилированию в соответствии с Б1), предпочтительно с ангидридом уксусной кислоты, с образованием соединения общей формулы I, где R1 и R3 являются одинаковыми и представляют (C1 – C4)алканоильные группы, R2 представляет водород, Z является L-кладинозильной группой формулы i, где R4 представляет (C1 – C4)алканоильную группу, W является D-дезозаминильной группой формулы ii, где R5 представляет (C1 – C4)алканоильную группу, X представляет группу CH2OR6, где R6 представляет (C1 – C4)алканоильную группу, и Y представляет гидроксильную группу, и затем, если требуется, полученные секомакролиды подвергают взаимодействию с, по крайней мере, эквимолярным количеством соответствующей неорганической или органической кислоты в растворителе, инертном для реакции, с образованием соответствующих солей присоединения кислоты. MM4A Досрочное прекращение действия патента Российской Федерации на изобретение из-за неуплаты в установленный срок пошлины за поддержание патента в силе
Дата прекращения действия патента: 12.03.2002
Извещение опубликовано: 20.11.2004 БИ: 32/2004
|
||||||||||||||||||||||||||






: 7.45 (CONH), 4.93 (H-1”), 4.37 (H-1′), 4.19 (H-3), 4.11 (H-10), 3.80 (H-11), 3.65 (H-5), 3.28 (3”-OCH3), 3.20 (H-13), 2.79 (H-8), 2.46 (H-2), 2.27 /3′-N(CH3)2/, 2.20 (H-7a), 2.00 (H-4), 1.98 (H-7b), 1.59 (H-14a), 1.55 (6-CH3), 1.35 (H-14b), 1.28 (8-CH3), 1.26 (10-CH3), 1.14 (12-CH3), 1.11 (2-CH3), 1.09 (4-CH3), 1.05 (15-CH3).
13C ЯМР (75 МГц, CDCl3) 



