Патент на изобретение №2158265
|
||||||||||||||||||||||||||
(54) ПРОИЗВОДНЫЕ (1,2,3-ТРИАЗОЛИЛ)-1,2,5-ОКСАДИАЗОЛА, ПОТЕНЦИРУЮЩИЕ NO-ЗАВИСИМУЮ АКТИВАЦИЮ РАСТВОРИМОЙ ФОРМЫ ГУАНИЛАТЦИКЛАЗЫ
(57) Реферат: Изобретение относится к новым химическим соединениям, в частности к производным (1,2,3-триазолил)-1,2,5-оксадиазола общей формулы I, где R = NH2 или ![]() и, если R1 = Н, то R2 – низший гидроксиалкил, или, если R1 – низший алкил, низший гидроксиалкил, арил, то R2 = Н, низший гидроксиалкил или радикал общей формулы -C(О)R3, где R3 = ОН, NH2, низший алкил или низший алкоксил, потенцирующие NO-зависимую активацию растворимой формы гуанилатциклазы (рГЦ). Описываемые производные (1,2,3-триазол-1-ил)-1,2,5-оксадиазола, оказывающие селективное потенцирующее действие на NO-зависимую активацию рГЦ, расширяют арсенал специфических регуляторов активности рГЦ. 1 табл. Изобретение относится к новым химическим соединениям, в частности к производным (1,2,3-триазолил)-1,2,5-оксадиазола общей формулы I: ![]() где, R = NH2 или и, если R1 = H, то R2 – низший гидроксиалкил, или, если R1 – низший (гидрокси)алкил, арил, то R2 = H, низший гидроксиалкил или радикал общей формулы -C(O)R3, где R3 = OH, NH2, низший алкил или низший алкоксил, потенцирующие NO-зависимую активацию растворимой формы гуанилатциклазы (рГЦ).
Описываемые производные (1,2,3-триазолил)-1,2,5-оксадиазола вышеуказанной общей формулы I, где R, R1 и R2 имеют вышеуказанные значения, могут найти применение в биохимии для изучения строения и механизма действия рГЦ, в частности, для исследования регуляции активности данного фермента с помощью NO-доноров.
Гуанилатциклаза [КФ 4.6.1.2; гуанозин-5′-трифосфат-пирофосфатлиаза (циклизующая)] является ферментом, катализирующим биосинтез гуанозин-3′, 5′-циклофосфата (цГМФ) – универсального регулятора внутриклеточного метаболизма (F.Murad “Regulation of cytosolic guanylyl cyclase by nitric oxide: The NO-cGMP signal transduction system” Adv. Pharmacol. 1994, v. 26, p. 19-33 [l]). ГЦ существует в двух формах – мембранной и растворимой и играет ключевую роль в регуляции таких физиологических процессов, как сокращение и расслабление гладких мышц кровеносных сосудов и агрегация тромбоцитов. Основным эндогенным активатором рГЦ является оксид азота (NO), который в результате взаимодействия с атомом железа гема, входящего в состав фермента, образует комплекс нитрозил-гем.
Известны различные тиолсодержащие органические соединения (напр., 1,4-дитиотреитол), которые повышают степень активации рГЦ донорами оксида азота, в частности, нитропруссидом натрия (ННП) (Н.Н.Белушкина, И.К.Ряпосова, И.С. Северина “Роль тиолов в стимуляции растворимой гуанилатциклазы новым классом активаторов ферментов, генерирующих окись азота”. Бюлл. Экспер. Биол. Мед. 1997, N 1, с. 39-42 [2]).
Данный эффект обусловлен усилением генерации NO из ННП (и ряда органических нитратов и N-оксидов) в присутствии тиолов. На препаратах рГЦ из тромбоцитов человека степень потенцирования активирующего действия ННП 1,4-дитиотреитолом составляла 170 – 210% [2].
Известны различные производные 1,2,3-триазола и 1,2,5-оксадиазола (“Comprehensive Heterocyclic Chemistry II”, Eds. A. R. Katritzky, Ch. W. Rees, E. F. V. Scriven, Pergamon, 1996, v. 4, p. 1,229 [3]), однако влияние данных соединений на NO-зависимую активацию рГЦ не изучено.
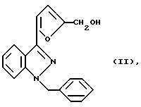
Наиболее близким к описываемым соединениям по действию и структуре является известный 1-бензил-3-[5-(гидроксиметил)-2-фуранил]индазол (YC-1) формулы II:![]() усиливающий активацию рГЦ различными модуляторами активности данного фермента, в том числе и донорами NO (A.Mulsch, J. Bauersachs et al. “Effect of YC-1, an NO-independent, superoxidesensitive stimulator of soluble guanylyl cyclase, on smooth muscle responsiveness to nitrovasodilators” Br. J. Pharmacol. 1997, v. 120, p. 681-689 [4]). Так, YC-1 в концентрации 3 мкМ обладал максимальным потенцирующим эффектом, он усиливал активацию рГЦ из легких быка 1 мкМ ННП в 2.3 раза, при этом он сам активировал фермент ~ в 2 раза. В результате изучения влияния YC-1 на активность рГЦ было сделано предположение о наличии на ферменте аллостерического участка связывания данного соединения. Показано, что в результате взаимодействия YC-1 с рГЦ уменьшается скорость диссоциации NO из комплекса нитрозил-гем и увеличивается максимальная скорость ферментативной реакции (A. Friebe, M. Russwunn et al. “A point-mutated guanylyl cyclase with features of theb YC-1 stimulated enzyme: implications for the YC-1 binding site?” Biochemistry 1999, v. 38, p. 15253-15257 [5]). В настоящее время проводится широкий поиск соединений, способных селективно потенцировать активацию рГЦ NO-генерирующими соединениями и усиливать их антигипертензивное действие, при этом особый интерес представляют такие вещества, которые не оказывают выраженного влияния на другие биологические объекты. Однако показано, что YC-1 активирует эндотелиальную NO-синтазу (P. Wohlfart, T. Malinski et al. “Release of nitric oxide from endothelial cells stimulated by YC-1, an activator of soluble guanylyl cyclase” Br. J. Pharmacol. 1999, v. 128, p. 1316-1322 [6]) и ингибирует различные изоформы фосфодиэстераз циклических нуклеотидов (J. Galle, U. Zabel et al. “Effects of the soluble guanylyl cyclase activator, YC-1, on vascular tone cyclic GMP levels and phosphodiesterase activity” Br. J. Pharmacol. 1999, v. 127, p. 195-203 [7]). Цель изобретения – создание новых азолсодержащих гетероциклических соединений, обладающих селективным потенцирующим действием на NO-зависимую активацию рГЦ. Цель достигается новыми производными (1,2,3-триазолил)-1,2,5-оксадиазола вышеуказанной общей формулы I, где R, R1 и R2 имеют вышеуказанные значения, потенцирующими NO-зависимую активацию рГЦ. Описываемые производные (1,2,3-триазолил)-1,2,5-оксадиазола вышеуказанной общей формулы I, получают кипячением соответствующих моноазидофуразана и замещенного ацетилена (или 1,3-дикарбонильного соединения) в метиловом или этиловом спирте с последующим выделением полученных продуктов обычными приемами. Предложенный способ основан на известных реакциях циклоприсоединения азидов к соответствующим производным ацетилена (Th. Finley, Chem. Heterocyclic Compounds/Eds. A. Weissberger, E. C. Taylor. New-York, 1980, v. 39, p. 1 [8]) или 1,3-дикарбонильным соединениям (A. Group, M. Kovacic, B. Kranjc-Skraba, B. Mihelchic, S. Simonic, B. Stanovnik and M. Tisler “Reactions of azidoazolopyridazines with 1,3-dicarbonylic compounds”, Tetrahedron, 1974, v. 30, p. 2251-2256 [9]), при необходимости, с последующей модификацией функциональных групп синтезированных соединений. В качестве исходных азидов использовали 3-азидо-4-аминофуразан, полученный диазотированием 3,4-диаминофуразана нитрозилсерной кислотой с последующей обработкой соли диазония азидом натрия (О.А. Ракитин, О.А. Залесова, А.С. Куликов, Н.Н. Махова, Т.И. Годовикова и Л.И. Хмельницкий “Синтез и реакционная способность фуразанил- и фуроксанилдиазониевых солей”, Изв. РАН, Сер. хим., 1993, N 11, с. 1949-1953 [10] ) и 5-[4-азидо(1,2,5)оксадиазолил] -5H-[1,2,3] триазоло[4,5-с] [1,2,5] оксадиазол, полученный взаимодействием бисдиазониевой соли диаминоазофуразана с азидом натрия и последующим термолизом образовавшегося 3,3′-диазидо-4,4′-азофуразана (A. Gunasecaran and J. H. Boyer “Dense Energetic Compounds of C, H, N, and O Atoms. III. 5-[4-Nitro-(1,2,5-oxadiazolyl] -5H-[l, 2,3] triazolo[4,5-c][1,2,5]oxadiazole”, Heteroatom. Chemistry, 1993, v. 4, N 5, p. 521-524 [11]). Изобретение иллюстрируется следующими примерами. Пример 1. 4-Амино-3-(5-гидроксиметил-1,2,3-триазол-1-ил)-1,2,5- оксадиазол (1). Смесь 2.3 г (0.018 моль) 3-азидо-4-аминофуразана и 12 мл (11.64 г, 0.207 моль) пропаргилового спирта в 20 мл MeOH кипятят 10 ч, отфильтровывают осадок, промывают CH2Cl2, сушат на воздухе. Получают 1.66 г (50%) целевого продукта. Т. пл. 195-196oC (EtOAc); Rf 0.34 (“Silufol”, CHCl3 – Me2CO – MeOH 10: 2: 1). ИК (KBr), /см-1: 3480, 3335, 3260, 3160 (NH2; OH), 3130, 2930, 2865 (CH), 1640, 1585, 1450, 1425, 1350, 1310, 1280, 1230, 1110, 1055, 985, 870. 1H ЯМР ([2H6] ДМСО) : 7.95 (1H, с, 4′-H); 6.45 (2H, с, NH2); 5.56 (1H, т, J = 3.6, OH); 4.90 (2H, д, J = 3.6, 5′-CH2). 13C ЯМР ([2H6] ДМСО) : 151.77 (C4); 142.94 (C3); 141.05 (C5′); 133.09 (C4′); 53.69 (5′-CH2). Масс-спектр, m/z (I%): 182 (100 [M]+), 154 (23 [M-N2]+), 153 (29 [M-N2H]+), 138 (83), 124 (25), 106 (100), 84 (100). Найдено, %: C 33.05; H 3.37; N 46.28. Вычислено, %: C 32.96; H 3.29; N 46.20.
Пример 2. 4-Амино-3-(4-гидроксиметил-1,2,3-триазол-1-ил)-1,2,5-оксадиазол (2).
Маточный раствор после отфильтровывания соединения 1 (см. предыдущий пример) кипятят 24 ч, концентрируют до 1/3 первоначального объема, отфильтровывают смесь соединений 1 и 2. После кристаллизации из нитрометана получают 0.97 г (29%) целевого продукта 2. Т. пл. 146-147oC (сух. EtOAc); Rf 0.22 (CHCl3 – Me2CO – MeOH 10:2:1). ИК (KBr), /см-1: 3480, 3320, 3265, 3155 (NH2, OH), 3110, 2960, 2900 (CH), 1635, 1590, 1460, 1260, 1240, 1220, 1065, 1050, 1020, 1000, 980, 865, 835. 1H ЯМР ([2H6] ДМСО) : 8.56 (1H, с, 5′-H); 6.52 (2H, с, NH2); 5.80 (1H, с, OH); 4.63 (2H, с, 4′-CH2). 13C ЯМР ([2H6] ДМСО) : 151.05 (C4); 149.21 (C4′); 142.90 (C3); 122.96 (C5′); 54.52 (4′-CH2). Масс-спектр, m/z (I%): 182 (50 [M]+), 153 (32 [M-N2H]+), 137 (85 [M-N2-OH] +), 111 (50), 106 (100), 97 (100), 95 (46), 84 (60), 82 (70), 61 (8), 60 (30), 59 (8), 58 (18), 57 (50), 56 (30). Найдено, %: C 33.16; H 3.42; N 46.32. Вычислено, %: C 32.96; H 3.29; N 46.20.
Пример 3. 4-Амино-3-(4,5-дигидроксиметил-1,2,3-триазол-1-ил)-1,2,5-оксадиазол 3.
Смесь 2.8 г (0.022 моль) 3-азидо-4-аминофуразана и 3.8 г (0.044 моль) бутиндиола-1,4 в 50 мл EtOH кипятят до тех пор, пока азид полностью не прореагирует (24 ч). Реакционную смесь упаривают в вакууме до начала выпадения обильного осадка. Отфильтровывают осадок, промывают небольшим количеством EtOH, сушат на воздухе. Получают 1.85 г (39.4%) целевого продукта. Маточник концентрируют в вакууме и дополнительно отфильтровывают 0.83 г (17.6%) целевого продукта. В сумме получают 2.68 г (57%) соединения 3. Т. пл. 162-163oC (H2O); Rf 0.25 (CHCl3 – Me2CO – MeOH 10:2:1). ИК (KBr), /см-1: 3440, 3370, 3310, 3260 (NH2, OH), 3000, 2950, 2870 (CH), 1635, 1575, 1460, 1350, 1285, 1255, 1190, 1140, 1070, 1030, 1000, 970, 870. 1H ЯМР ([2H6] ацетон) : 6.05 (2H, с, NH2); 5.10 (1H, т, J = 5.4, 5′-CH2OH); 4.96 (1H, т, J = 5.4, 4′-CH2-OH); 4.34 (2H, д, J = 5.4, 5′-CH2); 4.20 (2H, д, J = 5.4, 4′-CH2). 13C ЯМР ([2H6] ацетон) : 143.05 (C4); 136.68 (C4′); 133.84 (C3); 127.67 (C5′); 44.75 (4′-CH2); 42.29 (5′-CH2). Масс-спектр, m/z (I%): 212 (21 [M]+), 165 (20), 153 (100), 136 (100), 110 (85), 94 (43), 84 (100). Найдено, %: C 33.77; H 3.71; N 39.12. Вычислено, %: C 33.96; H 3.76; N 39.50.
Пример 4. 4-Амино-3-[5-(1-гидроксиэтил)-1,2,3-триазол-1-ил]-1,2,5-оксадиазол (4).
Смесь 1 г (0.0079 моль) 3-азидо-4-аминофуразана и 0.83 г (0.012 моль) 3-бутин-2-ола в 30 мл MeOH кипятят 70 ч, упаривают в вакууме досуха. Остаток растворяют в 20 мл кипящей воды, раствор охлаждают, прибавляют 1 г KI. На следующий день отфильтровывают осадок, сушат на воздухе. Получают 0.45 г (29%) целевого продукта. Т. пл. 118-119oC (H2O); Rf 0.67 (PhH – EtOAc 3: 1,3-кратное элюирование). ИК (KBr), /см-1: 3475, 3320, 3250, 3220 (NH2, OH), 3010, 2950, 2780, 2740 (CH), 1650, 1590, 1480, 1450, 1390, 1350, 1310, 1290, 1235, 1160, 1130, 1110, 1090, 1070, 1040, 1000, 990, 900, 870, 850,750, 730. 1H ЯМР ([2H6] ДМСО) : 7.93 (1H, с, 4′-H); 6.52 (2H, с, NH2); 5.80 (1H, д, J = 5.7, OH); 5.10 (1H, м, CH); 1.43 (3H, д, J = 7.3, CH3). 13C ЯМР ([2H6] ДМСО) : 152.46 (C4); 145.10; 143.26; 131.95 (C4′); 59.69 (C-OH); 22.65 (CH3). Масс-спектр, m/z (I%): 197 (37 [MH]+), 196 (100 [M]+), 181 (2 [M-CH3] +), 179 (4 [M-CH3-OH]+). Найдено, %: C 36.51; H 4.08; N 42.72. Вычислено, %: C 36.73; H 4.12; N 42.85.
Пример 5. 4-Амино-3-{4-[1-гидрокси-1-метил(этил)]-1,2,3-триазол-1-ил}-1,2,5-оксадиазол (5).
Смесь 1 г (0.0079 моль) 3-азидо-4-аминофуразана и 1 г (0.012 моль) 2-метил-3-бутин-2-ола в 30 мл EtOH кипятят 70 ч, упаривают в вакууме. К остатку (густое масло) прибавляют воду и отфильтровывают осадок. Получают 1.44 г (87%) целевого продукта. Т пл. 110-111oC (H2O); Rf 0.11 (PhH – EtOAc 3:1). ИК (KBr), /см-1: 3415, 3340, 3230 (NH2, OH), 2990, 2950, 2890 (CH), 1650, 1600, 1570, 1470, 1440, 1410, 1385, 1300, 1280, 1200, 1170, 1120, 1080, 1040, 995, 930, 910, 865, 770, 740. 1H ЯМР ([2H6] ДМСО) : 8.54 (1H, с, 5′-H); 6.60 (2H, с, NH2); 5.40 (1H, с, OH); 1.54 (6H, с, 2CH3). 13C ЯМР ([2H6] ДМСО) : 156.96 (C4′); 151.01 (C4); 142.90 (C3); 120.77 (C5′); 66.94 (C-OH); 30.35 (CH3). Масс-спектр, m/z (I%): 211 (4 [MH]+), 210 (4 [M]+), 195 (4 [M-CH3] +), 168 (3 [M-CH3-OH]+). Найдено, %: C 39.76; H 4.75; N 39.86. Вычислено, %: C 40.00; H 4.80; N 40.00.
Пример 6. 4-Амино-3-{ 4,5-бис[1-гидрокси-1-метил(пропил)]-1,2,3-триазол-1-ил}-1,2,5-оксадиазол (6).
Смесь 0.53 г (0.0042 моль) 3-азидо-4-аминофуразана и 1 г (0.0062 моль) 3,6-диметил-4-октан-3,6-диола в 25 мл MeOH кипятят 100 ч, упаривают в вакууме досуха, промывают водой, сушат на воздухе. Получают 1.14 г (92%) целевого продукта. Т. пл. 159-160oC (H2O); Rf 0.81 (Ph-H – Me2CO 1:1). ИК (KBr), /см-1: 3430, 3340, 3250 (NH2, OH), 2980, 2950, 2810 (CH), 1650, 1580, 1510, 1470, 1440, 1410, 1390, 1350, 1290, 1200, 1170, 1130, 1040, 1005, 930, 865, 810, 740. 1H ЯМР ([2H6] ацетон) : 6.45 (1H, д, J = 15.3, OH); 6.02 (2H, с, NH2); 5.62 (1H, д, J = 15.3, OH); 2.27-1.76 (4H, м, 2CH2); 1.75 (3H, д, J = 4.2, CH3); 1.52 (3H, д, J = 4.2, CH3); 0.97-0.80 (6H, м, 2CH2CH3). 13C ЯМР ([2H6] ДМСО) : 153.77; 149.60; 149.50; 145.05; 144.89; 142.79; 72.06 (C-OH); 71.50 (C-OH); 35.84 (CH2); 34.83 (CH2); 29.06 (CH3); 28.37 (CH3); 8.34 (CH2CH3); 7.85 (CH2CH3). Масс-спектр, m/z (I%): 296 (2 [M] +), 281 (4 [M-CH3]+), 267 (20), 249 (10), 222 (11), 192 (47), 124 (45), 123 (93). Найдено, %: C 48.57; H 6.70; N 28.06. Вычислено, %: C 48.63; H 6.82; N 28.37.
Пример 7. 5-{4-{4,5-бис(гидроксиметил)-1,2,3-триазол-1-ил}-1,2,5-оксадиазолил}-5H-[1,2,3]триазоло[4,5-c][1,2,5]оксадиазол (7).
Смесь 1 г (0.0045 моль) 5-[4-азидо(1,2,5)оксадиазолил]- 5H-[1,2,3]триазоло[4,5-c][1,2,5]оксадиазола и 0.58 г (0.0067 моль) бутиндиола-1,4 в 30 мл MeOH кипятят 35 ч, упаривают досуха, промывают небольшим количеством воды, сушат на воздухе. Получают 1.04 г (75%) целевого продукта. Т. пл. 148-149oC (PhH); Rf 0.15 (PhH – EtOAc 3:1). ИК (KBr), /см-1: 3475, 3335 (OH), 2960, 2940, 2890 (CH), 1605, 1490, 1470, 1430, 1365, 1300, 1270, 1240, 1220, 1200, 1180, 1135, 1120, 1060, 1040, 1010, 980, 960, 900, 840, 810, 730. 1H ЯМР ([2H6] ДМСО) : 5.56 (1H, т, J = 4.5, OH); 5.35 (1H, с, OН); 4.75 (2H, д, J = 4.5, CH2); 4.67 (2H, с, CH2). 13C ЯМР ([2H6] ДМСО) : 165.85; 150.11; 146.13; 144.61; 138.56; 54.10 (CH2); 52.71 (CH2). Масс-спектр, m/z (I%): 307 (1 [MH] +), 289 (1 [M-H2O]+), 260 (1 [M-H2O-N2]+), 84 (50), 55 (100). Найдено, %: C 31.27; H 1.89; N 45.52. Вычислено, %: C 31.38; H 1.98; N 45.75.
Пример 8. 4-Амино-3-(4-ацетил-5-метил-1,2,3-триазол-1-ил)-1,2,5-оксадиазол (8).
Раствор 1 г (0.0079 моль) 3-азидо-4-аминофуразана и 0.95 г (0,0095 моль) ацетилацетона в 10 мл MeOH в присутствии 0.5 г (0.006 моль) MgSO4 кипятят в течение 8 ч, отфильтровывают горячим, упаривают досуха, промывают остаток холодной водой, сушат на воздухе. Получают 1.53 г (93%) целевого продукта 8. Т. пл. 145oC (MeOH); Rf 0.55 (PhH EtOAc 3:1). ИК (KBr), /см-1: 3430, 3340 (NH2), 1710 (C= O), 1650, 1610, 1580, 1560, 1530, 1480, 1415, 1370, 1310, 1270, 1240, 1205, 1120, 1060, 1025, 1000, 980, 960, 930, 870, 770. 1H ЯМР (CDCl3), : 4.46 (2H, с, NH2), 2.61 (3H, с, COMe), 2.48 (3H, с, Me). 13C ЯМР (CDCl3) : 192.95, 152.40, 142.77, 142.26, 140.16, 27.79, 9.62; Масс-спектр, m/z (I%): 208 (10 [M]+), 181 (21 [М-N2]+), 165 (100 [M-COCH3]+).
Пример 9. 4-Амино-3-(5-метил-4-этоксикарбонил-1,2,3-триазол-1-ил)-1,2,5-оксадиазол (9).
Раствор 1 г (0,0079 моль) 3-азидо-4-аминофуразана и 1,24 г (0,0095 моль) этилацетоацетата в 10 мл MeOH в присутствии 0,5 г (0,006 моль) MgCO3 кипятят в течение 8 ч. Реакционную массу обрабатывают аналогично примеру 8. Получают 1.54 г (82%) соединения 9. Т.пл. 121-122oC (PhH); Rf 0.53 (PhH EtOAc 3:1); ИК (KBr), /см-1: 3440, 3340 (NH2), 3010 (CH), 1750 (C=O), 1640, 1590, 1480, 1450, 1420, 1390, 1360, 1320, 1240, 1220, 1150, 1120, 1060, 1020, 1000, 980, 870, 850. 1H ЯМР ([2H6] ДМСО) : 1.34 (3H, т, 3J = 8.3 Гц, CH3), 2.63 (3H, с, CH3), 4.46 (2H, к, 3J = 8.3 Гц, CH2), 6.65 (2H, с, NH2). 13C ЯМР ([2H6] ДМСО) : 160.5 (C=O), 152.4 (C4), 142.4 (C5′), 141.7 (C4′), 136.3 (C3), 61.0 (CH2), 14.1 (CH3-CH2), 9.7 (CH3).
Пример 10. 4-Амино-3-(4-карбокси-5-метил-1,2,3-триазол-1-ил)-1,2,5- оксадиазол (10).
Раствор 1 г (0,0042 моль) 9 и 0.2 г (0,005 моль) NaOH в 20 мл 50%-ного этанола кипятят 1 ч. Охлаждают реакционный раствор до комнатной температуры, прибавляют 0,4 мл конц. HCl, отфильтровывают выпавший осадок, промывают водой и сушат на воздухе. Получают 0.8 г (91%) соединения 10. Т. пл. 230-231oC (ацетон); Rf 0.36 (EtOAc); ИК (KBr), /см-1: 3424, 3304 (NH2), 2920 (CH), 2770, 2696, 2560, 1725 (C= O), 1640, 1585, 1550, 1470, 1410, 1360, 1310, 1240, 1210, 1160, 1095, 1050, 990, 975, 890, 790, 770, 740; 1H ЯМР ([2H6] ДМСО) : 6.48 (2H, с, NH2), 2.72 (3H, с, CH3); Масс-спектр, m/z (I%): 210 (50 [M] +), 193 (2 [M-OH]+), 182 (2 [M-N2]+), 166 (10), 153 (8), 134 (50), 125 (20), 109 (25), 83 (100).
Пример 11. 4-Амино-3-(5-фенил-4-этоксикарбонил-1,2,3-триазол-1-ил)-1,2,5-оксадиазол (11).
Раствор 1 г (0,0079 моль) 3-азидо-4-аминофуразана и 1,82 г (0,0095 моль) этилбензоилацетата в 20 мл этанола в присутствии 0,5 г (0,006 моль) MgCO3 кипятят 2 ч. Реакционную смесь обрабатывают аналогично примеру 8. Получают 1,92 г (81%) 11. Т. пл. 138-139oC (MeOH); Rf 0,39 (PhH-EtOAc 5:1); ИК (KBr), /см-1: 3470, 3420, 3350 (NH2), 3010 (CH), 1750, 1740 (C=O), 1650, 1590, 1560, 1490, 1455, 1430, 1390, 1360, 1320, 1290, 1260, 1230, 1220, 1150, 1125, 1040, 1010, 990, 874, 870, 770, 700; 1H ЯМР ([2H6] ДМСО) : 7.50 (5H, м, Ph), 6.67 (2H, с, NH2), 4.25 (2H, к, 3J = 8.3 Гц, CH2), 1.16 (3H, т, 3J = 8.3 Гц, CH3); 13C ЯМР ([2H6] ДМСО) : 159.7, 153.3, 143.4, 142.2, 136.4, 130.6, 129.9, 128.3, 123.3, 60.9, 13.8; Масс-спектр, m/z (I%): 300 (15 [M+] ), 270 (5 [M-NO]+), 242 (4 [M-NO-N2]+), 145 (100).
Пример 12. 4-Амино-3-(4-аминокарбонил-5-метил-1,2,3-триазол-1-ил)-1,2,5-оксадиазол (12).
К 30 мл концентрированного водного раствора аммиака прибавляют 1 г (0,0042 моль) 9 и кипятят 10 ч. После охлаждения реакционной смеси выпавшие кристаллы отфильтровывают, промывают холодной водой и сушат на воздухе. Получают 0.6 г (68%) 12. Т. пл. 268-269oC; Rf 0.43 (EtOAc); ИК (KBr), /см-1: 3456, 3392, 3328, 3184 (NH2), 1680 (C=O), 1632, 1568, 1452, 1420, 1376, 1312, 1160, 1088, 1052, 976, 864, 800, 772, 720; 1H ЯМР ([2H6] ДМСО) : 7.98 (1H, с, CONH), 7.60 (1H, с, CONH), 6.62 (2H, с, NH2), 2.65 (3H, с, CH3); 13C ЯМР ([2H6] ДМСО) : 162.0, 152.4, 142.5, 139.4, 138.5, 9.2.
Пример 13. Влияние производных (1,2,3-триазол-1-ил)-1,2,5-оксадиазола на NO-зависимую активацию рГЦ.
Препарат рГЦ получали центрифугированием (105000 g) тромбоцитов человека, выделенных из венозной крови доноров известным способом. Активность фермента определяли по количеству образовавшегося цГМФ иммуноферментным способом с использованием наборов реактивов для количественного определения цГМФ АО “Биоиммуноген” (РФ).
Инкубационная смесь для определения активности (общий объем пробы 150 мкл) приготавливалась при 0-4oC и содержала 50 мМ Трис-HCl (pH 7.6), 1 мМ ГТФ, 4 мМ MgCl2, 4 мМ креатинфосфат, 100 мкг (50 ед/мг) креатинфосфокиназы, 10 мМ теофиллин и полученный ферментный препарат (10-20 мкг белка). При определении потенцирующего действия в среду инкубации вносили изучаемое соединение в виде раствора в водном ДМСО. Концентрация соединения в пробе составляла 10 мкМ, ДМСО – 0.02%/об. Контрольная проба показала полное отсутствие влияния ДМСО в указанной концентрации на базальную активность рГЦ. Через 10 мин в инкубационную смесь добавляли расчетное количество водного раствора ННП, необходимое для достижения соответствующей концентрации в пробе (1-100 мкМ). Пробы инкубировали в водяном термостате при 37oC в течение 15 мин. Реакцию останавливали перенесением проб на 2 мин в кипящую водяную баню с последующим охлаждением в водяной бане. После отделения денатурированного белка центрифугированием (10 мин при 1500 g) в полученном супернатанте определяли количество образовавшегося цГМФ вышеуказанным способом. Определение белка проводили по способу Лоури, в качестве стандарта использовали бычий сывороточный альбумин. Для оценки степени потенцирования NO-зависимой активации рГЦ проводили сравнение полученных данных с удельной активностью фермента в тех же условиях в отсутствии соединений общей формулы I.
Предлагаемые производные (1,2,3-триазолил)-1,2,5-оксадиазола потенцировали NO-зависимую активацию рГЦ, вызываемую 1-100 мкМ ННП, при этом они не оказывали выраженного эффекта на базальную активность фермента. Результаты изучения влияния соединения 2 на активность рГЦ, стимулированную ННП, представлены в таблице 1. Так, соединение 2 в концентрации 10 мкМ потенцировало активацию рГЦ 1 мкМ ННП в 2.57 раза.
Согласно известным данным [4], наиболее близкий структурный аналог соединений настоящего изобретения – YC-1 в концентрации 3 мкМ обладал максимальным потенцирующим эффектом, он усиливал активацию рГЦ из легких быка 1 мкМ ННП в 2.3 раза, при этом он влиял на базальную активность фермента (активировал рГЦ ~ в 2 раза).
Таким образом, описываемые производные (1,2,3-триазол-1-ил)-1,2,5-оксадиазола, оказывающие селективное потенцирующее действие на NO-зависимую активацию рГЦ, расширяют арсенал специфических регуляторов активности рГЦ.
Формула изобретения
![]() где R – NH2 или ![]() если R1 – H, то R2 – низший гидроксиалкил, или, если R1 – низший алкил, низший гидроксиалкил, арил, то R2 – H, низший гидроксиалкил или радикал общей формулы -C(O)R3; R3 – OH, NH2, низший алкил или низший алкоксил, потенцирующие NO- зависимую активацию растворимой формы гуанилатциклазы (рГЦ). РИСУНКИ
MM4A Досрочное прекращение действия патента Российской Федерации на изобретение из-за неуплаты в установленный срок пошлины за поддержание патента в силе
Дата прекращения действия патента: 16.02.2004
Извещение опубликовано: 27.12.2004 БИ: 36/2004
|
||||||||||||||||||||||||||



и, если R1 = H, то R2 – низший гидроксиалкил, или, если R1 – низший (гидрокси)алкил, арил, то R2 = H, низший гидроксиалкил или радикал общей формулы -C(O)R3, где R3 = OH, NH2, низший алкил или низший алкоксил, потенцирующие NO-зависимую активацию растворимой формы гуанилатциклазы (рГЦ).
Описываемые производные (1,2,3-триазолил)-1,2,5-оксадиазола вышеуказанной общей формулы I, где R, R1 и R2 имеют вышеуказанные значения, могут найти применение в биохимии для изучения строения и механизма действия рГЦ, в частности, для исследования регуляции активности данного фермента с помощью NO-доноров.
Гуанилатциклаза [КФ 4.6.1.2; гуанозин-5′-трифосфат-пирофосфатлиаза (циклизующая)] является ферментом, катализирующим биосинтез гуанозин-3′, 5′-циклофосфата (цГМФ) – универсального регулятора внутриклеточного метаболизма (F.Murad “Regulation of cytosolic guanylyl cyclase by nitric oxide: The NO-cGMP signal transduction system” Adv. Pharmacol. 1994, v. 26, p. 19-33 [l]). ГЦ существует в двух формах – мембранной и растворимой и играет ключевую роль в регуляции таких физиологических процессов, как сокращение и расслабление гладких мышц кровеносных сосудов и агрегация тромбоцитов. Основным эндогенным активатором рГЦ является оксид азота (NO), который в результате взаимодействия с атомом железа гема, входящего в состав фермента, образует комплекс нитрозил-гем.
Известны различные тиолсодержащие органические соединения (напр., 1,4-дитиотреитол), которые повышают степень активации рГЦ донорами оксида азота, в частности, нитропруссидом натрия (ННП) (Н.Н.Белушкина, И.К.Ряпосова, И.С. Северина “Роль тиолов в стимуляции растворимой гуанилатциклазы новым классом активаторов ферментов, генерирующих окись азота”. Бюлл. Экспер. Биол. Мед. 1997, N 1, с. 39-42 [2]).
Данный эффект обусловлен усилением генерации NO из ННП (и ряда органических нитратов и N-оксидов) в присутствии тиолов. На препаратах рГЦ из тромбоцитов человека степень потенцирования активирующего действия ННП 1,4-дитиотреитолом составляла 170 – 210% [2].
Известны различные производные 1,2,3-триазола и 1,2,5-оксадиазола (“Comprehensive Heterocyclic Chemistry II”, Eds. A. R. Katritzky, Ch. W. Rees, E. F. V. Scriven, Pergamon, 1996, v. 4, p. 1,229 [3]), однако влияние данных соединений на NO-зависимую активацию рГЦ не изучено.
Наиболее близким к описываемым соединениям по действию и структуре является известный 1-бензил-3-[5-(гидроксиметил)-2-фуранил]индазол (YC-1) формулы II:
/см-1: 3480, 3335, 3260, 3160 (NH2; OH), 3130, 2930, 2865 (CH), 1640, 1585, 1450, 1425, 1350, 1310, 1280, 1230, 1110, 1055, 985, 870. 1H ЯМР ([2H6] ДМСО)
: 7.95 (1H, с, 4′-H); 6.45 (2H, с, NH2); 5.56 (1H, т, J = 3.6, OH); 4.90 (2H, д, J = 3.6, 5′-CH2). 13C ЯМР ([2H6] ДМСО) 
