Патент на изобретение №2158264
|
||||||||||||||||||||||||||
(54) 3-АЗЕТИДИНИЛАЛКИЛПИПЕРИДИНЫ ИЛИ ПИРРОЛИДИНЫ В КАЧЕСТВЕ АНТАГОНИСТОВ ТАХИКИНИНА, СПОСОБЫ ИХ ПОЛУЧЕНИЯ, ПРОМЕЖУТОЧНЫЕ СОЕДИНЕНИЯ, ФАРМАЦЕВТИЧЕСКАЯ КОМПОЗИЦИЯ НА ИХ ОСНОВЕ И СПОСОБ ЛЕЧЕНИЯ
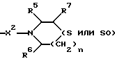
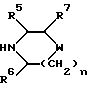
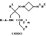
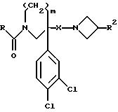
(57) Реферат: Описываются новые 3-азетидинилалкилпиперидины или пирролидины формулы I или их фармацевтически приемлемые соли, где R представляет С3-С7 циклоалкил, С1-C6 алкил, замещенный С3-С7 циклоалкилом, или фенил, возможно замещенный OR5, где R5 представляет С1-C4 алкил; А представляет СО или SO2; R1 представляет фенил, замещенный двумя галоидными заместителями; R2 представляет группу формулы II, где R5, R6, R7 представляет Н; Х2 представляет простую связь; W представляет О, NSO2NR5R6 NS02 (С1-С4)алкил; n равно 1; X1 представляет простую связь; Х представляет С1-С4 алкилен; m равно 0 или 1. Новые соединения являются антагонистами тахикининов. Описываются также способы их получения, промежуточные соединения, фармацевтическая композиция на их основе и способ лечения. 6 с. и 9 з.п.ф-лы, 3 табл. ![]()
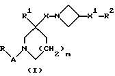
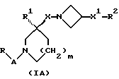
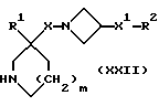
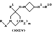
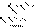
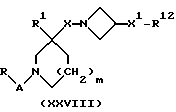
Изобретение относится к терапевтическим средствам, конкретно азетидинилалкилпроизводным N-замещенных азотистых гетероциклов и способам получения таких гетероциклов, промежуточным продуктам, используемым в получении, композициям, содержащим такие гетероциклы и использованию таких гетероциклов. В Международной патентной публикации номер WO 96/05193 описаны различные (азетидин-1-илалкил)лактамы в качестве антагонистов тахикининов. Настоящие гетероциклы являются антагонистами тахикининов, включая нейрокинин A (NKA), нейрокинин В (NКВ) и вещество P, действующими у рецептора нейрокинина-1 (NK1), нейрокинина-2 (NK2), нейрокинина-3 (NK3) человека или комбинации двух или более их. Гетероциклы, следовательно, полезны для профилактики или лечения воспалительной болезни, такой как артрит, псориаз, астма или воспалительная болезнь кишечника, нарушения центральной нервной системы (ЦHС), такого как тревога, депрессия, деменция или психоз, желудочно-кишечного (ЖК) нарушения, такого как функциональная болезнь кишечника, синдром раздраженной толстой кишки, гастроэзофагенальный рефлекс, недержание кала, колит или болезнь Крона, болезни, вызванной Helicobacter pylori или другими уреаза-положительными грам-отрицательными бактериями, нарушения мочеполового тракта, такого как недержание мочи, гиперрефлексия, импотенция или цистит, легочного нарушения, такого как хроническая закупорка дыхательных путей, аллергии, такой как экзема, контактный дерматит, крапивница, экземовидный дерматит или ринит, повышенной чувствительности, такой как вызванная ядовитым плющом, ангиоспастической болезни, такой как стенокардия или болезнь Reunaud, пролиферативного нарушения, такого как рак или нарушение, включающее пролиферацию фибробластов, фиброзной или коллагеновой болезни, такой как склеродерма или зозинофильный фасциолез, рефлюксной симпатической дистрофии, такой как синдром плеча, нарушения типа аддикции, такого как алкоголизм, связанного со стрессом соматического расстройства, периферической невропатии, такой как диабетическая невропатия, невралгия, каузалгия, болезненная невропатия, ожог, герпетическая невралгия или послегерпетическая невралгия, невропатолагического нарушения, такого как болезнь Альцгеймера или рассеянный склероз, нарушения, связанного с иммунологическим усилением или ослаблением, такого как системная красная волчанка, ревматического “заболевания, такого как фиброзит, рвоты, кашля, острой или хронической болезни, мигрени, офтальматической болезни, такой как пролиферативная ретинопатия, инфлюэнцы или простуды. Настоящие производные являются особенно сильно действующими и селективными антагонистами тахикининов, включая NKA, NKB и вещество P, действующими у рецепторов NK1, NK2 и NK3 человека, или комбинации двух или более их. Они особенно полезны для лечения или профилактики воспалительной болезни, такой как артрит, псориаз, астма или воспалительная болезнь кишечника, нарушения центральной нервной системы (ЦHС), такого как страх, депрессия, деменция или психоз, желудочно-кишечного (ЖК) нарушения, такого как функциональная болезнь кишечника, синдром раздраженной толстой кишки, гастроэзофагенальный рефлекс, недержание кала, колит или болезнь Крона, нарушения мочеполового тракта, такого как недержание мочи или цистит, легочного нарушения, такого как хроническая закупорка дыхательных путей, аллергии, такой как экзема, контактный дерматит или ринит, повышенной чувствительности, такой как чувствительность к ядовитому плющу, периферической невропатии, такой как диабетическая невропатия, невралгия, каузалгия, болезненная невропатия, ожог, герпетическая невралгия или послегерпетическая невралгия, кашля или острой или хронической боли. Настоящее изобретение представляет соединение формулы: ![]() и их фармацевтически приемлемые соли, где R представляет C3-C7 циклоалкил, арил или C1-C6 алкил, причем этот C1-C6 алкил необязательно замещен фтором, -COOH, COO(C1-C4)алкилом, C3-C7 циклоалкилом, адамантилом, арилом или het1, а C3-C7 циклоалкил необязательно замещен 1 или 2 заместителями, каждый из которых, независимо, выбран из C1-C4 алкила, C3-C7 циклоалкила, C1-C6 алкокси, гидрокси, фтора, фтор (C1-C4) алкила и фтор (C1-C4) алкокси; A представляет CO или SO2; R1 представляет фенил, бензил, нафтил, тиенил, бензотиенил или индолин, каждый из которых необязательно замещен 1 или 2 заместителями, каждый из которых независимо выбран из C1-C4 алкил, C1-C4 алкокси, галогена и трифторметила; R2 представляет -CO2H, -CONR3R4, -CONR5 (C3-C7циклоакил), -NR5 (C2– C5алканоил), -NR3R4, -NR5CONR5R6, (C3-C7 циклоакил-C1-C4 алкил) R5N-, (C3-C7циклоакил-C1-C4алкил)2N-, -NR5COCF3, -NR5SO2CF3, -NR5(SO2-C1-C4алкил), -NR5SO2NR5R6, -NR5(SO2арил), N (арил) (SO2C1-C4алкил), -OR5, -O(C3-C7циклоалкил), -SO2NR5R6, het3 или группу формулы: ![]() ![]() ![]() ![]() ![]() ![]() ![]() или ![]() R3 и R4 независимо выбирают из H и C1-C4 алкила, необязательно замещенного гидроксилом, C1-C4 алкокси, S(O)p(C1-C4алкил), амино, -NH(C1-C4алкил), -N(C1-C4алкил)2 или het2; R5 и R6 независимо выбирают из H, C1-C4 алкила и C3-C7 циклоалкил- C1-C4 алкила, причем этот C1-C4 алкил и C3-C7 циклоалкил-C1-C4 алкил необязательно замещены фтором; R7 представляет H, C1-C4 алкил, гидрокси, фтор (C1-C4 алкил) или фенил, причем этот фенил необязательно замещен 1 или 2 заместителями, каждый из которых независимо выбран из C1-C4 алкила, фтор (C1-C4) алкила, галогена, C1-C4 алкокси и фтор(C1-C4) алкокси; R8 представляет H, фтор, гидрокси, C1-C4 алкокси, C2-C5 алканоил или C2-C5 алканоилокси; R9 представляет -NR5R6 -NR5COR5, -NR5SO2CF3, -NR5(SO2C1-C4 алкил), -NR5SO2NR5R6, -NR5COO (C1-C4 алкил), -NR5CONR5R6, – NR5(SO2морфолино), – NR5(SO2apил), -N(apил) (SO2C1-C4 алкил) или группу формулы: ![]() X представляет C1-C4 алкилен; X1 представляет прямую связь или C1-C6 алкилен; X2 представляет прямую связь, CO, SO2 или NR5CO; W представляет метилен, CO, CH(OH), C(OH)2, CH (C1– C4 алкокси), CHCO2H, CHCO2 (C1-C4 алкил), CHСONR5R6, CHF, CF2, CH(азетилин-1-ил), CH(пирролидин-1-ил), CH(пиперидин-1-ил), CH(морфолино), CH(бензоксазол-2-ил), CHR9, O, S(O)p, NR5, N (C3-C7 циклоалкил), NSO2 (C1-C4 алкил), NSO2NR5R6, NSO2CF3, NSO2(морфолино), NSO2 (арил), ![]() NCONR5R6 NCOR5, NCO (арил) или NCO2 (C1-C4 алкил); W1 представляет метилен, CO, CH(OH), C(OH)2, CH(C1-C4 алкокси), CHCO2H, CHCO2 (C1-C4 алкил), CHCONR5R6, CHF, CF2, CH(азетидин-1-ил), CH(пирролидин-1-ил), CH(пиперидин-1-ил), CH(морфолино) или CHR9; W2 представляет W1, -CH2W1-, -CH2WCH2– или -CH2CH2WCH2-; m равно 0, 1 или 2; n равно 1 или 2, когда W другой, чем метилен, и равно 0, 1 или 2, когда W представляет метилен; p равно 0, 1 или 2; q равно 1 или 2; r равно 1, 2, 3 или 4; термин “арил”, используемый в определении R, R2, R9 и W, обозначает нафтил или фенил, каждый из которых необязательно замещен C1-C4 алкилом, галогеном, -OR5, фтор (C1-C4) алкилом, C2-C5 алканоилом, -CONR5R6, -SO2NR5R6 или фенилом; термин “het1“, используемый в определении R, обозначает тиенил или имеющую 5- или 6-членное кольцо гетероарильную группу, содержащую либо 1, либо 2 гетероатома азота или один гетероатом азота и один гетероатом кислорода или серы, каждый из которых необязательно замещен 1 или 2 заместителями, каждый из которых независимо выбран из C1-C4 алкила, C1-C4 алкокси, галогена, фтор (C1-C4 алкила) и фтор (C1-C4 алкокси); термин “het2“, используемый в определениях R3 и R4, обозначает имеющую 4-7-членное кольцо неароматическую гетероциклическую группу, содержащую 1 или 2 гетероатома, каждый из которых независимо выбран из азота, кислорода и S(O)p, причем эта группа необязательно C-замещена 1 или 2 заместителями, каждый из которых независимо выбран из C1-C4 алкила, C1-C4 алкокси и фтор (C1-C4 алкила), и этот гетероатом азота кольца необязательно имеет в качестве заместителя H, C1-C4алкил, C2-C5 алканоил, -CONR5R6 или -SO2NR5R6; термин “het3“, используемый в определениях R2, обозначает необязательно бензоконденсированную, N-связанную, имеющую 5-членное кольцо гетероарильную группу, содержащую от 1 до 4 гетероатома азота, которая необязательно замещена, включая бензоконденсированную часть, 1 или 2 заместителями, каждый из которых независимо выбран из C1-C4 алкила, фтора и фтор(C1-C4) алкила. В указанных выше определениях термин “галоген” обозначает фтор, хлор, бром или йод и алкильные, алкиленовые и алкоксигруппы, содержащие три или более атомов углерода, или алканоильные группы, содержащие четыре или более атомов углерода, могут иметь неразветвленную или разветвленную цепь. Предпочтительно, когда R представляет арил, C3-C7 циклоалкил, необязательно замещенный фтором, или C1-C6 алкил, замещенный C3-C7 циклоалкилом. Более предпочтительно, когда R представляет фенил, необязательно замещенный C1-C4 алкокси, C3-C7 циклоалкил, необязательно замещенный фтором, или C1-C6 алкил, замещенный C3-C7 циклоалкилом. Очень предпочтительно, когда R представляет фенил, 2-метоксифенил, циклопропил, циклогексил, 4,4-дифторциклогекс-1-ил или циклопропилметил. Предпочтительно, когда А представляет CO. Предпочтительно, когда R1 представляет фенил, необязательно замещенный 1 или 2 галогеновыми заместителями. Более предпочтительно, когда R1 представляет фенил, необязательно замещенный 1 или 2 заместителями, каждый из которых независимо выбран из фтора и хлора. Еще более предпочтительно, когда R1 представляет фенил, 3,4-дифторфенил, 3-хлорфенил, 4-хлорфенил или 3,4-дихлорфенил. Очень предпочтительно, когда R1 представляет 3,4-дихлорфенил. Предпочтительно, когда R2 представляет -CONR3R4, -CONR5-(C3-C7 циклоалкил), -NR3R4, het3 или группу формулы: ![]() ![]() или ![]() где каждый из R3 и R4 независимо выбирают из C1-C4 алкила и C1-C4 алкила, замещенного гидрокси или C1-C4 алкокси, каждый из R5 и R6 независимо выбирают из H, C1-C4 алкила, необязательно замещенного фтором, и C3-C7 циклоалкил-C1-C4 алкила, R7 представляет H, гидрокси или фенил, R8 представляет гидрокси или C2-C5 алканоилокси, W представляет метилен, CH(OH), CHF, CO, СH(C1-C4 алкокси), CHCO2H, CHCO2 (C1-C4 алкил), CH(бензоксазол-2-ил), CHNR5R6, CHNR5COR6, CHNR5(SO2C1-C4 алкил), CHNR5COO(C1-C4 алкил), O, S(O)p, NR5, NSO2(C1-C4 алкил), NSO2NR5R6 NSO2(морфолино), NCONR5R6, NCOR5, NCO(арил) или NCO2 (C1-C4 алкил), n равно 1 или 2, когда W другой, чем метилен, и равно 0 или 1, когда W представляет метилен, и p равно 0, 1 или 2. Более предпочтительно, когда R2 представляет -CONR3R4, – CONR5(C3-C7 циклоалкил), -NR3R4, N-связанную, имеющую 5-членное кольцо гетероарильную группу, содержащую 1 или 2 гетероатома азота, или группу формулы: ![]() ![]() или ![]() где каждый из R3 и R4 независимо выбирают из метила и C1-C4 алкила, замещенного гидрокси или метокси, каждый из R5 и R6 независимо выбирают из H, метила, трифторметила и циклопропилметила, R7 представляет H, гидрокси или фенил, R8 представляет гидрокси или ацетилокси, W представляет метилен, CH(OH), CHOOH3, CHF, CO, CHOCH2CH3, CHO(CH2)2CH3. CHOC(CH3)3, CHCO2H, CHCO2CH3, CHCO2CH2CH3, CH(бензоксазол-2-ил), CHNH2, CHNHCH2(циклопропил), CHNHCOCH3, CHNHSO2CH3, CHNHCO2C(CH3)3, O, S(O)p, NH, NCH3, NCH2 (циклопропил), NSO2CH3, NSO2NH2, NSO2NHCH3, NSO2N(CH3)2, NSO2(морфолино), NCONH2, NCONHCH3, NCOCH3, NCOCF3, NCO (фенил) или NCO2C(CH3)3, n равно 1 или 2, когда W другой, чем метилен, и равно 0 или 1, когда W представляет метилен, и p равно 0, 1 или 2. Еще более предпочтительно, когда R2 представляет N-(2-метоксиэтил)-N-метилкарбамоил, N-циклогексилкарбамоил, N-(2- гидроксиэтил)-N-метиламино, N-(2-гидрокси-2-метилпропил)-N- метиламино, N-(2-метоксиэтил)-N-метиламино, имидазол-1-ил, 3-гидроксипирролидин-1-ил, пиперидин-1-ил, 2,6-диметилпиперидин-1-ил, 3-гидроксипиперидин-1-ил, 4-гидроксипиперидин-1-ил, 4- метоксипиперидин-1-ил, 4-этоксипиперидин-1-ил, 4-(н- пропокси)пиперидин-1-ил, 4-(трет-бутокси)пиперидин-1-ил, 4- карбоксипиперидин-1-ил, 4-метоксикарбонилпиперидин-1-ил, 4- этоксикарбонилпиперидин-1-ил, 4- (бензоксазол-2-ил) пиперидин-1- ил, 4-аминопиперидин-1-ил, 4-циклопропилметил-аминопиперидин- 1-ил, 4-ацетамидопиперидин-1-ил, 4-метансульфонамидопиперидин-1- ил, 4-(трет-бутоксикарбониламино)пиперидин-1-ил, морфолино, 2- фенилморфолино, гомоморфолино, тиоморфолино, 1-оксотиоморфолино, 1,1-диоксотиоморфолино, пиперазин-1-ил, 4-метилпиперазин-1-ил, 4- циклопропилметилпиперазин-1-ил, 4-метансульфонилпиперазин-1-ил, 4- аминосульфонилпиперазин-1-ил, 4-метиламиносульфонилпиперазин-1 -ил, 4-диметиламиносульфонилпиперазин-1-ил, 4- морфолиносульфонилпиперазин-1-ил, 4-карбамоилпиперазин-1-ил, 4-N- метилкарбамоилпиперазин-1-ил, 4-ацетилпиперазин-1-ил, 4- трифторацетилпиперазин-1-ил, 4-бензоилпиперазин-1-ил, 4- (трет- бутоксикарбонил)пиперазин-1-ил, пирролидин-1-илкарбонил, пиперидин-1-илкарбонил, 3-оксо-морфолино, 3-гидрокси-8-азабицикло [3,2,1] окт-8-ил, 3-ацетил-окси-8-азабицикло[3,2,1]-окт-8-ил, 4- фторпиперидин-1-ил или 4-оксопиперилин-1-ил. Более предпочтительно, когда R2 представляет 4-аминопиперидин-1-ил, 4-карбоксипиперидин-1-ил, 4-гидроксипиперидин-1-ил, морфолино, 1- оксотиоморфолино, 4-аминосульфонилпиперазин-1-ил, 4-метансульфонилпиперазин-1-ил, 4-метиламиносульфонилпиперазин-1-ил, 4-морфолиносульфонилпиперазин-1-ил, 4-фторпиперидин-1-ил или 4-оксопиперидин-1-ил. Предпочтительно, когда X представляет этилен или пропилен. Предпочтительно, когда X1 представляет прямую связь. Предпочтительно, когда X2 представляет прямую связь. Предпочтительно, когда m равно 0 или 1. Фармацевтически приемлемые соли соединений формулы (I) включают их кислотно-аддитивные соли и соли оснований. Подходящие кислотно-аддитивные соли получают из кислот, которые образуют нетоксичные соли, и примерами их являются гидрохлоридные, гидробромидные, гидройодидные, сульфатные, кислые сульфатные, нитратные, фосфатные, вторичные кислые фосфатные, ацетатные, малеатные, фумаратные, лактатные, тартратные, цитратные, глюконатные, сукцинатные, бензоатные, метансульфонатные, бензолсульфонатные и п-толуолсульфонатные соли. Подходящие соли оснований получают из оснований, которые образуют нетоксичные соли, и примерами их являются соли алюминия, кальция, лития, магния, калия, натрия, цинка и диэтаноламина. Обзор подходящих солей см. Berge et.al., J. Pharm. Sci., 66, 1-19(1977). Соединение формулы (I) может содержать один или несколько асимметричных атомов углерода и поэтому может существовать в виде двух или более стереоизомерных форм. Настоящее изобретение включает индивидуальные стереоизомеры соединений формулы (I) и их смеси. Разделение диастереоизомеров можно достичь обычными методами, например фракционной кристаллизацией, хроматографией или ВЭЖX стереоизомерной смеси соединения формулы (I) или его подходящей соли или производного. Индивидуальный энантиомер соединения формулы (I) можно получить также из соответствующего оптически чистого промежуточного продукта или расщеплением, например, при помощи ВЭЖХ соответствующего рацемата с использованием подходящего хирального носителя или фракционной кристаллизацией диастереомерных солей, полученных реакцией соответствующего рацемата с подходящей оптически активной кислотой или основанием. Предпочтительное соединение формулы (I) и его соли имеют стереохимию, показанную ниже в формуле (IA) в положении присоединения групп X и R1 к N-ацилированному или N-сульфонилированному кольцу: ![]() Предпочтительными примерами соединения формулы (I) являются соединения, где: (i) R представляет фенил, A представляет CO, R1 представляет 3,4-дихлорфенил, R2 представляет морфолино, X представляет пропилен, X1 представляет прямую связь и m равно 1; (ii) R представляет фенил, A представляет CO, R1 представляет 3,4-дихлорфенил, R2 представляет 4-аминосульфонилпиперазин-1-ил, X представляет пропилен, X1 представляет прямую связь и m равно 1; (iii) R представляет циклогексил, A представляет CO, R1 представляет 3,4-дихлорфенил, R2 представляет морфолино, X представляет пропилен, X1 представляет прямую связь и m равно 1; (iv) R представляет циклогексил, A представляет CO, R1 представляет 3,4-дихлорфенил, R2 представляет 4-аминосульфонилпиперазин-1-ил, X представляет пропилен, X1 представляет прямую связь и m равно 1; (v) R представляет циклогексил, A представляет CO, R1 представляет 3,4-дихлорфенил, R2 представляет морфолино, X представляет пропилен, X1 представляет прямую связь и m равно 1; (vi) R представляет циклогексил, A представляет CO, R1 представляет 3,4-дихлорфенил, R2 представляет 4-аминосульфонилпиперазин-1-ил, X представляет пропилен, X1 представляет прямую связь и m равно 1; (vii) R представляет фенил, A представляет CO, R1 представляет 3,4-дихлорфенил, R2 представляет морфолино, X представляет этилен, X1 представляет прямую связь и m равно 0; (viii) R представляет 2-метоксифенил, A представляет CO, R1 представляет 3,4-дихлорфенил, R2 представляет морфолино, X представляет этилен, X1 представляет прямую связь и m равно 0; (ix) R представляет фенил, A представляет CO, R1 представляет 3,4-дихлорфенил, R2 представляет морфолино, X представляет этилен, X1 представляет прямую связь и m равно 1; (х) R представляет 2-метоксифенил, A представляет CO, R1 представляет 3,4-дихлорфенил, R2 представляет морфолино, X представляет этилен, X1 представляет прямую связь и m равно 1; (xi) R представляет фенил, A представляет SO2, R1 представляет 3,4-дихлорфенил, R2 представляет морфолино, X представляет этилен, X1 представляет прямую связь и m равно 1; (xii) R представляет циклопропилметил, A представляет CO, R1 представляет 3,4-дихлорфенил, R2 представляет морфолино, X представляет этилен, X1 представляет прямую связь и m равно 1; (xiii) R представляет циклопропилметил, A представляет CO, R1 представляет 3,4-дихлорфенил, R2 представляет 4-метансульфонилпиперазин-1-ил, X представляет этилен, X1 представляет прямую связь и m равно 1; или любое такое соединение со стереохимией, показаны выше в формуле (IA) в положении при соединения групп X и R1 к N-ацилированному или N-сульфонилированному кольцу, или фармацевтически приемлемая соль любого из них. Соединения формулы (I), представленные изобретением, можно получить следующими способами: 1) Соединения формулы (I), где X представляет группу (C0-C3алкилен)CH2-, метиленовая группа, к которой присоединена к атому азота азетидина, и R, R1, A, R2, X1 и m такие, как ранее определено для соединения формулы (I), можно получить восстановительным аминированием с использованием в качестве исходных материалов соединений формулы: ![]() где R, A, R1 и m такие, как ранее определено для соединения формулы (I), и соединения формулы: ![]() или его кислотно-аддитивной соли, где R2 и X1 такие, как ранее определено для соединения формулы (I). Реакцию предпочтительно проводят в присутствии подходящей кислоты, например уксусной кислоты. Реакция протекает через первоначальное образование промежуточной соли иминия формулы: ![]() которая может быть стабильной и выделяемой. Реакцию предпочтительно проводят без выделения промежуточного продукта формулы (IIIA), в этом случае его восстанавливают in situ для получения соединения формулы (I). В типичной методике альдегид формулы (II) сначала подвергают реакции с азетидином формулы (III) в подходящем растворителе, например тетрагидрофуране, и смесь затем обрабатывают подходящим восстановителем, например триацетоксиборогидридом натрия или цианоборогидридом натрия, в присутствии подходящей кислоты, например уксусной кислоты, для получения целевого продукта. Если в качестве исходного материала используют кислотно-аддитивную соль азетидина формулы (III), то до добавления восстановителя можно добавить подходящий акцептор кислоты, например триэтиламин. Реакцию обычно проводят при комнатной температуре. Исходные альдегиды формулы (II) можно получить способом, показанным на схеме 1 (см. в конце описания), где R, A, R1 и m такие, как ранее определено для соединения формулы (I), и каждый из Z и Z1 представляет подходящую уходящую группу, например хлор, бром, йод, метансульфонилокси, п-толуолсульфонилокси или трифторметилсульфонилокси, и R-A-Z2 представляет кислоту RCO2H или ее производные, подходящие для ацилирования аминов, или соединение RSO2Z2, подходящее для сульфонилирования аминов. Примеры Z2 включают хлор, бром и йод. В типичной методике производное ацетонитрила формулы (IV) сначала депротонируют с использованием подходящего основания, например гидрида натрия, и затем алкилируют in situ алкилирующим агентом формулы (V), где Z предпочтительно представляет бром. Реакцию обычно проводят в подходящем растворителе, например тетрагидрофуране, приблизительно при 0oC для депротонирования и приблизительно при комнатной температуре для алкилирования. Реакцию можно проводить также в условиях переноса фаз с использованием подходящего основания, например гидроксида натрия, подходящего катализатора переноса фаз, например хлорида тетра-н-бутиламмония, и подходящего растворителя, например циклогексана, н-пентана или толуола. Получаемое производное ацетонитрила формулы (VI) затем сначала депротонируют с использованием подходящего основания, например диизопропиламида лития, и затем алкилируют in situ соединением формулы (VII), где Z1 предпочтительно представляет бром. Реакцию обычно проводят в подходящем растворителе, например тетрагидрофуране, приблизительно при -70oC, нагревая смесь приблизительно до комнатной температуры для завершения реакции. Для повышения скорости реакции после добавления соединения формулы (VII) можно необязательно добавить иодид тетра-н-бутиламмония. Полученное соединение формулы (VIII) затем восстанавливают и циклизуют в лактам формулы (IX) в подходящих условиях, например, используя никель Ренея в атмосфере водорода при атмосферном давлении и комнатной температуре с использованием аммиачного раствора этанола в качестве растворителя. Лактам формулы (IX) затем восстанавливают с использованием подходящего восстановителя, например гидрида металла, такого как литийалюминийгидрид, в подходящих условиях, таких как атмосфера азота, и в подходящем растворителе, таком как тетрагидрофуран. Полученный таким образом циклический амин (X) затем подвергают реакции с RSO2Z2 или кислотой или производным кислоты RCOZ2. В типичной методике для A = CO к смеси подходящего основания, такого как триэтиламин, амина (X) и подходящего растворителя, такого как дихлорметан, добавляют хлорангидрид RCOCl. В типичной методике для A = SO2 к смеси подходящего основания, такого как триэтиламин, амина (X) и подходящего растворителя, такого как дихлорметан, добавляют сульфонилхлорид RSO2Cl. Полученный (сульфон)амид формулы (XI) затем обрабатывают насыщенным раствором хлористого водорода в подходящем C1-C4 спирте, например метаноле, приблизительно при комнатной температуре для удаления тетрагидропирановой защитной группы. Удаление защитной группы можно проводить также с использованием подходящей ионообменной смолы, например амберлист 15 (товарный знак), в подходящем растворителе, например метаноле. Полученный спирт формулы (XII) окисляют в альдегид формулы (II) в подходящих условиях, например в условиях окисления Свема (оксалилхлорид, диметилсульфоксид, триэтиламин и использование дихлорметана в качестве растворителя). Альтернативный способ получения альдегида формулы (II) иллюстрируется на схеме 2 (см. в конце описания), где R, A, R1 и m такие, как ранее определены для соединения формулы (I), и R-A-Z2 такой, как определен для приведенной выше Схемы 1. Исходные цианокислотные формулы (XIII) можно получить общепринятыми способами. В типичной методике нитрильную группу цианокислоты формулы (XIII) восстанавливают и циклизуют с использованием подходящей системы, например, каталитическим гидрированием. Реакцию обычно проводят в подходящем растворителе, например ледяной уксусной кислоте, при комнатной температуре и при повышенном давлении и над подходящим катализатором, таким как оксид платины. Полученный таким образом лактам (XIV) затем восстанавливают в циклический амин (XV). В обычной методике раствор лактама (XIV) добавляют к подходящей восстанавливающей системе, такой как литийалюминийгидрид в подходящем растворителе, таком как тетрагидрофуран. Полученный таким образом циклический амин (XV) затем подвергают реакции с R-A-Z2, где R-A-Z2 такой, как определен выше для Схемы 1. В типичной методике для A = CO амин (XV) и кислоту RCO2H конденсируют для образования амида (XVI; A = CO), используя связывающую систему, такую как N-метилморфолин/гидрат 1-гидроксибензотриазола/гидрохлорид 1-(3-диметиламинопропил)-3- этилкарбодиимида в подходящем растворителе, таком как дихлорметан. Полученный таким образом (сульфон)амид (XVI) затем обрабатывают подходящей кислотой, такой как соляная кислота в подходящем растворителе, например тетрагидрофуране, приблизительно при комнатной температуре для удаления ацетальной защитной группы. Удаление защитной группы можно также проводить с использованием амберлиста 15 (ТМ) в подходящем растворителе, таком как смесь ацетон/вода. Другие подходящие средства для удаления защитных групп для ацеталей можно найти в “Protective Groups in Organic Synthesis” by TW: Greene and PGM WUTS (2nd end., Wiley Jnterscience). Еще один альтернативный способ получения альдегидов формулы (II), где m = 1, иллюстрируется в Схеме 3 (см. в конце описания), где R1, R3, Z, R, A и Z2 такие, как определено выше. В типичной методике нитрил формулы (IV) обрабатывают подходящим основанием, таким как гидрид натрия, затем алкилируют in situ соединением формулы (XVII), где Z такой, как определено раньше. Соединения формулы (XVII) можно получить общепринятыми способами. Z предпочтительно представляет хлор, бром, йод или метансульфонилокси. Реакцию обычно проводят в подходящем растворителе, таком как N,N-диметилформамид. Полученный таким образом нитрил (XVIII) можно затем депротонировать подходящим основанием, таким как трет-бутоксид калия, затем подвергнуть реакции с подходящим акрилатным эфиром, таким как этилакрилат. Образованный таким образом эфирный промежуточный продукт можно затем гидролизовать в цианокислоту (XIX) с использованием подходящих гидролизующих систем, таких как 2 н. водный раствор гидроксида натрия, в подходящих условиях, таких как перемешивание при комнатной температуре. Образованный таким образом нитрил (XIX) можно затем превратить восстановлением с использованием подходящего восстановителя, такого как литийалюминийгидрид, в подходящем растворителе, таком как тетрагидрофуран, или гидрированием с последующим восстановлением образованного таким образом амида бораном. Образованное таким образом пиперидин (XX) затем подвергают реакции способом, сходным со способом, описанным для приведенных выше превращений (X) —> (XI) (Схема 1) и (XV) —> (XVI) (Схема 2). Полученное таким образом производное амина (XXI) затем окисляют, например, озонолизом, в подходящем растворителе таком как метанол, с последующей обработкой подходящим восстановителем, таким как диметилсульфид, для получения альдегидов формулы (II), где m = 1. Исходные азетидины формулы (III) можно получить общепринятыми способами. 2) Все соединения формулы (I), где X, A, X1, R1, R2 и m такие, как ранее определено для соединения формулы (I), можно получить реакцией соединения формулы (XXII): ![]() с соединением формулы: R-A-Z2, где R, A и Z2 такие, как определено выше, и реакции проводят способом, сходным со способами, описанными ранее для превращения (X) —> (XI) или, где A представляет CO, для превращения (XV) —> (XVI). Исходные материалы формулы (XXII) и R-A-Z2 можно получить общепринятыми способами, например путем адаптации получений, описанных в публикации “Advanced Organic Chemistry ” by J. March (3rd edn., Wiley interscience) и ее ссылках. 3) Все соединения формулы (I), где X, X1, R, A, R1, R2 и m такие, как определено ранее для соединения формулы (I), можно получить реакцией соединения формулы: ![]() где X, R, A, R1 и m такие, как определено ранее для соединения формулы (I), и Z3 представляет подходящую уходящую группу, например хлор, бром, йод, метансульфонилокси, трифторметансульфонилокси или п-толуолсульфонилокси, с соединением формулы: ![]() где R2 и X1 такие, как определено ранее для соединения формулы (I). В типичной методике соединение формулы (XXIII), где Z3 предпочтительно представляет метансульфонилокси, подвергают реакции с соединением формулы (III) в присутствии подходящего акцептора кислоты, например триэтиламина или карбоната калия или их комбинации, в подходящем растворителе, например ацетонитриле, и приблизительно при температуре его флегмы. Соединение формулы (III) можно получить in situ из кислотно-аддитивной соли его путем применения молярного избытка акцептора кислоты. Исходные материалы формулы (XXIII) можно получить общепринятыми способами, такими как превращение гидроксифункциональной группы спиртов формулы (XII), например, где Z3 представляет метансульфонилокси, реакцией спирта формулы (XII) с метансульфонилхлоридом в присутствии подходящего рецептора кислоты, такого как триэтиламин. 4) Соединения формулы (I), где R1 представляет фенил и X, X1, R, A, R2 и m такие, как определено ранее для соединения формулы (I), можно получить гидрогенолизом соединения формулы (I), где R1 представляет фенил, замещенный хлором, бромом или йодом, X, X1, R, R2 и m такие, как определено ранее для соединения формулы (I). В типичной методике гидрогенолиз проводят в аммиачном этаноле с использованием подходящего катализатора, например никеля Ренея или предпочтительно палладия на угле, при температуре около 50oC и в атмосфере водорода при давлении около 345 кПа (50 psi). 5) Соединения формулы (I), где R2 представляет группы формулы: -NHR4, (C3-C7циклоалкил-C1-C4алкил)HN-, ![]() ![]() ![]() ![]() ![]() или ![]() R9 представляет -NHR5, W представляет NH или CHNHR5, W1 представляет CHNHR5, W2 представляет W1 -CH2 W1– CH2WCH2– или -CH2CH2WCH2– и X, X1, X2, R, R1, R5, R6, R7, m и n такие, как определено ранее для соединения формулы (I), можно получить удалением защитной группы соединения формулы: ![]() где R10 представляет группу формулы -NZ4R4 (C3-C7циклоалкил-C1-C4алкил) Z4N-, ![]() ![]() ![]() ![]() ![]() или ![]() соответственно, R9A представляет -NZ4R5, WA представляет NZ4 или CHNZ4R5, W1A представляет CHNZ4R5, W2A представляет W1A -CH2W1A-, -CH2WACH2– или -CH2CH2WACH2-, и X, X1, X2, R, A, R1, R4, R5, R6, R7, m и n такие, как определено ранее для соединения формулы (I), и Z4 представляет подходящую защитную группу, например трет-бутоксикарбонил (например, соединение формулы (I), где W представляет NCO2C(CH3)3 или R9 представляет NR5CO2C(CH3)3 или бензилоксикарбонил). Подходящие защитные группы, которые можно использовать в этом способе, вместе со способами удаления защитных групп, хорошо известны специалисту данной области, см., например, Greene et.al., “Protective Groups in Organic Synthesis”, Second Edition, 1991, Wiley-Interscience. В типичной методике, где Z4 представляет трет-бутоксикарбонил, удаление защитной группы можно проводить с использованием трифторуксусной кислоты в подходящем растворителе, например дихлорметане, при комнатной температуре. Исходные материалы формулы (XXIV) можно получить общепринятыми способами, такими как подходящая адаптация способов, описанных здесь для получения соединений формулы (I). 6) Соединения формулы (I), где R2 представляет группу формулы: ![]() ![]() или ![]() где p равно 1 или 2, W2 представляет -CH2S(O)pCH2– или -CH2CH2S(O)pCH2-, и X, X1 X2, R, A, R1, R5, R6, R7, m и n такие, как ранее определено для соединения формулы (I), можно получить окислением соединения формулы (I), где R представляет группу формулы: ![]() ![]() или ![]() что подходит, W2 представляет -CH2(S или SO)CH2– или CH2CH2(S или SO)CH2– и X, X1, X2, R, A, R1 R5, R6, R7, m и n такие, как ранее определено для соединения формулы (I). Окисление проводят, по меньшей мере, одним молярным эквивалентом подходящего окислителя, когда сульфоксид превращают в сульфон, по меньшей мере, двумя молярными эквивалентами подходящего окислителя для превращения сульфида в сульфон и в основном одним полярным эквивалентом подходящего окислителя для превращения сульфида в сульфоксид. Подходящими окислителями и условиями для этой цели являются водный раствор пероксида водорода в основных условиях (например, в присутствии карбоната калия, ацетонитрила и с использованием метанола в качестве растворителя) или м-хлорпербензойная кислота в подходящем растворителе, например дихлорметане. 7) Соединения формулы (I), где R2 представляет группу формулы: ![]() и X, X1, R, A, R1 и m такие, как ранее определено для соединения формулы (I), можно получить удалением защитной группы соединения формулы: ![]() где Z5 представляет подходящую защитную группу, например ацетил (т.е. соединение формулы (I), где R8 представляет ацетилокси) или тетрагидропиран-2-ил и X, X1, R, A, R1 и m такие, как ранее определено для соединения формулы (I). Подходящие защитные группы, которые можно использовать для этого способа, вместе со способами удаления защитных групп, хорошо известны специалисту данной области, см., например, Greene et.al., “Protective Groups in Organic Synthesis”, Second Fdition, 1991, Wiley-Interscience. В типичной методике, где Z5 представляет ацетил, удаление защитной группы можно проводить с использованием водного спиртового раствора подходящего сильного основания, например гидроксида натрия. Реакцию обычно проводят в водном метаноле, приблизительно при комнатной температуре. Исходные материалы формулы (XXV) можно получить общепринятыми способами, например путем адаптации способов, описанных здесь для получения соединений формулы (I). 8) Соединения формулы (I), где X1 представляет прямую связь и R2 представляет-NR3R4,(C3-C7циклоалкил-C1-C4алкил)R5N-,(C3-C7циклоалкил-C1-C4алкил)2N- или группу формулы: ![]() ![]() ![]() или ![]() и X, W, W1, R, A, R1, R3, R4 R5, R6, R7, R8, R9, m и n такие, как ранее определено для соединения формулы (I), можно получить реакцией соединения формулы: ![]() где X, R, A, R1 и m такие, как ранее определено для соединения формулы (I), и Z7 представляет подходящую уходящую группу, например метансульфонилокси- или п-толуолсульфонилокси, с соединением формулы: -HNR3R4, (C3– C7циклоалкил-C1-C4алкил) R5NH, (C3-C7циклоалкил-C1-C4алкил)2NH, ![]() ![]() ![]() или ![]() соответственно, где W, W1, R3, R4, R5, R6, R7, R8, R9 и n такие, как ранее определено для соединения формулы (I). В типичной методике реакцию проводят с использованием избытка амина в подходящем растворителе, например ацетонитриле или дихлорметане, и при температуре флегмы растворителя. Альтернативно, к реакционной смеси можно добавить дополнительный подходящий акцептор кислоты, например карбонат калия. Исходные амины можно получить общепринятыми способами. Исходные материалы формулы (XXVI) можно также получить общепринятыми способами, например восстановительным аминированием с использованием в качестве исходных материалов соединения формулы (II) и аммиака для получения соответствующего первичного амина, реакцией амина с эпихлоргидрином или 1,3-дихлорпропан-2-олом для получения соответствующего производного азетидин-3-ола с последующим взаимопревращением гидроксифункциональных групп для получения соединения формулы (XXVI). 9) Соединения формулы (I), X, X1, R, A, R1, R2 и m такие, как ранее определено для способа (8), можно получить восстановительным аминированием с использованием в качестве исходных материалов соединения формулы: ![]() где X, R, A, R1 и m такие, как ранее определено для соединения формулы (I), соединения формулы HNR3R4, (C3-C7циклоалкил-C1-C4алкил) R5NH, (C3-C7циклоалкил-C1-C4алкил)2NH, ![]() ![]() ![]() или ![]() что подходит, или его кислотно-аддитивной соли, где W, W1, R3, R4, R5, R6, R7, R8, R9 и n такие, как ранее определено для соединения формулы (I). Реакцию предпочтительно проводят в присутствии подходящей кислоты, например уксусной кислоты. Типичная методика, которую можно применять, описывается в способе (I). Если используют первичный амин, реакция протекает через иминовый промежуточный продукт. Если используют вторичный амин, реакция протекает через промежуточную иминиевую соль (сравни с соединением формулы (IIIA)). Как иминовая, так и иминиевая соли могут быть стабильными и могут быть выделяемыми. Реакцию предпочтительно проводят без выделения промежуточной иминовой или иминиевой соли, в этом случае ее восстанавливают in situ для получения соединения формулы (I). Исходные материалы формулы (XXVII) можно получить окислением соответствующих производных азетидин-3-ола (получение описывается в получении исходных материалов для способа (8)) в общепринятых условиях, например, с использованием хлорхромата пиридиния или перрутената тетрапропиламмония в качестве окислителя. 10) Соединения формулы (I), где R2 представляет морфолино и X, X1, R, A, R1 и m такие, как ранее определено для соединения формулы (I), можно получить реакцией соединения формулы (I), где R2 представляет -NH2 и X, X1, R, A, R1 и m такие, как ранее определено для соединения формулы (I), с бис(2-хлорэтиловым) эфиром. В типичной методике соединения формулы (I), где R2 представляет -NH2, подвергают реакции с бис(2-хлорэтиловым) эфиром в присутствии подходящего акцептора кислоты, например триэтиламина, и в подходящем растворителе, например дихлорметане. Некоторые из исходных аминопроизводных, т.е. производные 3- аминоазетидина, можно получить реакцией соединения формулы (XXVI), где Z5 представляет подходящую уходящую группу, например метансульфонилокси-, с подходящим азидом, например азидом натрия или триметилсилилазидом, для получения соответствующего производного 3-азидоазетидина с последующим восстановлением его, например, с использованием борогидрида натрия, для получения требуемого производного 3-аминоазетидина (см. также способ (8)). 11) Некоторые соединения формулы (I) можно получить путем превращения некоторых аминов формулы (I) в производные. Например, соединение формулы (I), где R2 представляет ![]() ![]() ![]() ![]() ![]() или ![]() где W представляет NH или CHNHR5, W1 представляет CHNHR5, W2 представляет W1, -CH2W1-, -CH2WCH2– или – CH2CH2WCH2– или R9 представляет -NHR5 и X, X1, X2, R, A, R1, R5, R6, R7, m и n такие, как ранее определено для соединения формулы (I), можно превратить в (а) соединение формулы (I), где W представляет NR5 или CHNR5R6, W1 представляет CHNR5R6 или R9 представляет -NHR5, или его кислотно-аддитивную соль, что подходит, где R5 или R6 такие, как ранее определено для соединения формулы (I), при условии, что R5 не является H и он имеет метиленовую группу, связанную с атомом азота, восстановительным аминированием альдегидом формулы (C1-C3 алкил)CHO или (C3-C7 циклоалкил- C1-C3 алкил)CHO, причем этот C1-C3 алкил и C3-C7циклоалкил-C1-C3 алкил необязательно замещены фтором. Подходящие условия для превращения описываются в способе (I); (b) соединение формулы (I), где W представляет NCONHR6 или CHNR5CONHR6, W1 представляет CHNR5CONHR6 или R9 представляет -NR5CONHR6, что подходит, где R5 или R6 такие, как определено ранее для соединения формулы (I), с условием, что R6 не может быть H, реакцией с изоцианатом формулы: R6NCO, где R6 такой, как определен ранее для этого способа. Реакцию обычно проводят с использованием подходящего растворителя, например дихлорметана или тетрагидрофурана; (с) соединение формулы (I), где W представляет NSO2CF3 или CHNR5SO2CF3, W1 представляет CHNR5SO2CF3 или R9 представляет -NR5SO2CF3, что подходит, где R5 такой, как определено для соединения формулы (I), реакцией с трифторметансульфонилхлоридом или трифторметансульфоновым ангидридом, необязательно в присутствии подходящего акцептора кислоты, например триэтиламина, пиридина или карбоната калия. Реакцию обычно проводят в подходящем органическом растворителе, например дихлорметане или ацетонитриле; (d) соединение формулы (I), где W представляет NSO2 (C1-C4 алкил), NSO2NR5R6, NSO2(морфолино), NSO2(арил), CHNR5(SO2 C1-C4 алкил) или CHNR5SO2NR5R6, W1 представляет CHNR5(SO2 C1-C4 алкил) или CHNR5SO2NR5R6 или R9 представляет -NR5(SO2 C1-C4 алкил) или -NR5SO2NR5R6, что подходит, где R5 и R6 такие, как ранее определено для соединения формулы (I), реакцией с C1-C4 алкансульфонилхлоридом или бромидом, C1-C4 алкансульфоновым ангидридом или соединением формулы: R5R6NSO2(Cl или Br), (морфолино)SO2 (Cl или Br) или (арил)SO2(Cl или Br), что подходит, необязательно в присутствии подходящего акцептора кислоты, например триэтиламина. Реакцию обычно проводят в подходящем органическом растворителе, например дихлорметане, при температуре от 0oC до комнатной температуры. (е) соединение формулы (I), где W представляет NCOR6 или CHNR5COR6, W1 представляет CHNR5COR6 или R9 представляет -NR5COR6, что подходит, где R5 или R6 такие, как ранее определено для соединения формулы (I), при условии, что R6 не может быть H, реакцией с соединением формулы: R6CO(Cl или Br) или (R6CO)2O, где R6 такой, как определено ранее для этого способа, необязательно в присутствии подходящего акцептора кислоты, например триэтиламина. Реакцию обычно проводят в подходящем органическом растворителе, например дихлорметане, при температуре от 0oC до комнатной температуры. (f) соединение формулы (I), где W, W1 или R9 такой, как ранее определено для способа 12 (е), что подходит, конденсацией с соединением формулы: R6CO2H, где R6 такой, как определено ранее для этого способа. Реакцию можно проводить в общепринятых условиях, например, с использованием 1,1′-карбонилдиимидазола или 1-гидроксибензотриазол/1,3-дициклогексилкарбодимид, для образования активированных промежуточных продуктов; или (g) соединение формулы (I), где W представляет NSO2NR5R6 или CHNR5SO2NR5R6, W1 представляет CHNR5SO2NR5R6 или R9 представляет -NR5SO2NR5R6, что подходит, где R5 и R6 такие, как ранее определено для соединения формулы (I), реакцией с соединением формулы: R5R6NSO2NH2. Реакцию обычно проводят при повышенной температуре в подходящем растворителе, например 1,4-диоксане. 12) Соединение формулы (I), где R2 представляет ![]() ![]() ![]() или ![]() где W и W1 представляют CHCO2H, W2 представляет W1, -CH2W1-, -CH2WCH2– или -CH2CH2WCH2– и X, X1, X2, A, R, R1 R2, R5, R6, R7, m и n такие, как ранее определено для соединения формулы (I), можно получить гидролизом соединения формулы (I), где W и W1 представляют CHCO2(C1-C4 алкил), W2 представляет W1, – CH2W1-, -CH2WCH2– или CH2CH2WCH2– и X, X1, X2, A, R, R1, R2, R5, R6, R7, m и n такие, как ранее определено для соединения формулы (I). Предпочтительно, когда W и W1 представляют CH2CO2CH3 или CH2CO2CH2CH3. Гидролиз обычно проводят с использованием водного раствора подходящей кислоты или основания, например минеральной кислоты, такой как хлористоводородная или серная кислота, или основания, такого как гидроксид натрия или калия, необязательно в присутствии подходящего органического сорастворителя, например метанола или этанола. 13) Соединение формулы (I), где R2 представляет ![]() ![]() ![]() ![]() ![]() или ![]() где W и W1 представляют CHNR5R6, W2 представляет W1, -CH2W1-, -CH2WCH2– или – CH2CH2WCH2-, R9 представляет -NR5R6 и X, X1 X2, A, R, R1, R2, R5, R6, R7, m и n такие, как ранее определено для соединения формулы (I), можно получить реакцией соединения формулы: ![]() где R12 представляет ![]() ![]() ![]() ![]() или ![]() где WB и W1B представляют CHZ8, W2B представляет W1B, – CH2W1B-, -CH2WBCH2– или -CH2CH2WBCH2-, Z8 представляет подходящую уходящую группу, например галоген (предпочтительно, хлор или бром), метансульфонилокси-, трифторметансульфонилокси или п-толуолсульфонилокси и X, X1, X2, R, A, R1, R5, R6, R7, m и n такие, как ранее определено для соединения формулы (I), с соединением формулы: HNR5R6, где R5 или R6 такие, как ранее определено для соединения формулы (I), необязательно в присутствии подходящего акцептора кислоты, например триэтиламина или карбоната калия. Реакцию обычно проводят в подходящем растворителе, например ацетонитриле. 14) Соединение формулы (I), где R2 представляет ![]() или ![]() где W и W1 представляют CHNR5R6 и X, X1, X2, R, A, R1, R5, R6, R7, m и n такие, как ранее определено для соединения формулы (I), можно получить восстановительным аминированием с использованием в качестве исходных материалов соединения формулы (I), где R2 представляет ![]() или ![]() и X, X1, X2, R, A, R1, R5, R6, R7, m и n такие, как ранее определены для соединения формулы (I), и соединения формулы: HNR5R6, где R5 и R6 такие, как определено ранее для соединения формулы (I). Используют общепринятые условия реакции, такие как условия, описанные для способа (I). Кроме того, образованная промежуточная иминовая или иминиевая соль может быть стабильной или выделяемой. Реакцию предпочтительно проводят без выделения этого промежуточного продукта, в этом случае его восстанавливают in situ для получения соединения формулы (I). 15) Все соединения формулы (I) можно получить внутримолекулярной циклизацией соединения формулы: ![]() где X, X1, R, A, R1, R2 и m такие, как ранее определены для соединения формулы (I), и Z9 представляет подходящую уходящую группу, например галоген (предпочтительно хлор или бром), метан-сульфонилокси или п-толуолсульфонилокси, необязательно в присутствии подходящего акцептора кислоты, например триэтиламина. Реакцию обычно проводят в подходящем растворителе, например дихлорметане. 16) Соединения формулы (I), где A представляет CO, можно получить внутримолекулярной циклизацией соединения и формулы (XXX): ![]() где X, X1, R, A, R1, R2 и m такие, как ранее определено для соединения формулы (I), и Z9 такой, как определено выше для способа 15, причем реакцию проводят обработкой исходного соединения подходящим основанием, таким как н-бутиллитий. Все указанные выше реакции и получения новых исходных материалов, использованные в предшествующих способах, общепринятые и подходящие реагенты и условия реакции для их выполнения или получения, а также методики выделения целевых продуктов будут хорошо известны специалистам данной области из литературных прецедентов и Примеров и Получений к этому изобретению. Фармацевтически приемлемые кислотно-аддитивную соль или соль с основанием соединения формулы (I) можно легко получить смешиванием вместе растворов соединения формулы (I) и желаемой кислоты или основания, что подходит. Соль можно осадить из раствора и собрать фильтрованием или можно выделить выпариванием растворителя. Средство соединений формулы (I) и их солей для рецептора NK1 человека можно испытывать in vitro путем испытания их способности ингибировать связывание [3H] -вещества P с мембранами, полученными из клеточной линии 1М9 человека, экспрессирующей рецептор NK1 человека, с использованием модификации способа, описанного McLean, S. et al., J. Pharm. Exp. Ther., 267, 472-9 (1993), в котором и использовали целые клетки. Средство соединений формулы (I) и их солей для рецептора NK2 человека можно испытывать in vitro путем испытания их способности конкурировать с [3H]- или [125I]NKA (нейрокинин А) за связывание с мембранами, полученными из клеток яичников китайского хомячка, экспрессирующих клонированный рецептор NK1 человека. В этом способе промытые клеточные мембраны яичников китайского хомячка получают, как описано для предыдущего способа, где вместо них применят клетки 1М9. Мембраны инкубируют (90 мин, 25oC) с [125I] NKA и с рядом концентраций испытуемого соединения. Неспецифическое связывание определяли в присутствии 10 мкМ NKA. Антагонистическую активность соединений формулы (I) для рецептора NK2 in vitro можно испытывать путем испытания их способности создавать антагонизм сократительному действию селективного агониста рецептора NK2, [ Ala8] NKA(4-10), в легочной артерии кролика с использованием способа Patacchini и Maggi, Eur. J. Pharmacol., 236, 31-37 (1993).
Соединения формулы (I) и их соли можно испытывать на активность антагониниста для рецептора NK2 in vivo путем испытания их способности ингибировать бронхостеноз, индуцированный [ Ala8]NKA(4-10) у анестезированных морских свинок, с использованием способа, описанного Murai et al., J. Pharm. Exp. Ther., 262, 403-408 (1992) или Metcaife et al., Br. J. Pharmacol., 112, 563P (1994).
Соединения формулы (I) и их соли можно испытывать на активность антагониста для рецептора NK3 in vitro путем испытания их способности создавать антагонизм сократительному действию селективного агониста рецептора NK3, сенктида, в подвздошной кишке морских свинок с использованием способа Maggi et al., Br.J. Pharmacol., 101, 996-1000 (1990).
При применении для человека соединения формулы (I) и их соли можно вводить как таковые, но обычно их вводят в смеси с фармацевтически приемлемым носителем или разбавителем, выбранным с точки зрения предполагаемого пути введения и стандартной фармацевтической практики. Например, их можно вводить перорально, включая подъязычное введение, в форме таблеток, содержащих такие наполнители, как крахмал или лактоза, или в капсулах или овулях (яйцевидные формы) как таковые или в смеси с наполнителями, или в форме эликсиров, растворов или суспензий, содержащих ароматизирующие или красящие средства. Их можно инъецировать парентерально, например внутривенно, внутримышечно или подкожно. Для парентерального введения их лучше всего использовать в форме стерильного водного раствора, который может содержать другие вещества, например соли или глюкозу в количестве, достаточном для того, чтобы сделать раствор изотоническим с кровью.
Для перорального и парентерального введения пациентам-людям уровень суточной дозы соединений формулы (I) и их солей будет от 0,001 до 20, предпочтительно от 0,01 до 20, более предпочтительно от 0,1 до 10 и очень предпочтительно от 0,5 до 5 мг/кг (в виде разовой или разделенных доз). Таким образом, таблетки или капсулы соединений будут содержать от 0,1 до 500, предпочтительно от 50 до 200, мг активного соединения для введения один раз, или два, или более раз за выбранное время, что подходит.
Врач в любом случае определит действительную дозу, которая будет наиболее подходящей для отдельного пациента и которая будет изменяться с возрастом, массой и восприимчивостью отдельного пациента. Указанные выше дозы представляют примеры обычного случая; но могут быть, конечно, отдельные случаи, где применяют более высокие или более низкие дозы, такие дозы находятся в пределах объема этого изобретения.
Альтернативно, соединения формулы (I) можно вводить ингаляцией или в форме суппозитория или вагинального суппозитория или их можно применять топически в форме лосьона, раствора, крема, мази или присыпки. Альтернативным способом чрескожного введения является использование кожного пластыря. Например, их можно вводить в крем, состоящий из водной эмульсии полиэтиленгликолей или жидкого парафина; или их можно вводить, при концентрации между 1 и 10%, в мазь, состоящую из белого воска или белого мягкого парафина в качестве основы вместе с такими стабилизаторами и консерваторами, какие могут требоваться.
Следует признать, что упоминание лечения включает профилактику, а также облегчение установленных симптомов болезни.
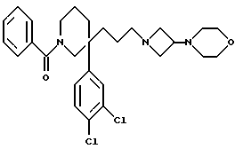
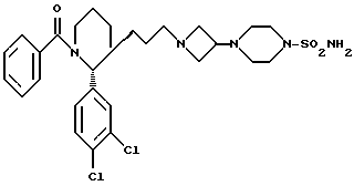
Таким образом, изобретение далее представляет:i) фармацевтическую композицию, содержащую соединение формулы (I) или его фармацетически приемлемую соль вместе с фармацевтически приемлемым разбавителем или носителем; ii) соединение формулы (I) или его фармачетически приемлемую соль или композицию для использования в качестве лекарственного средства; iii) использование соединения формулы (I) или его фармацевтически приемлемой соли или композиции для приготовления лекарственного средства для лечения болезни путем оказания антагонистического эффекта на тахикинин, действующего у рецептора NK1, NK2 или NK3 человека или комбинации двух или более их; (iv) использование как в (iii), где болезнь представляет воспалительную болезнь, такую как артрит, псориаз, астма или воспалительная болезнь кишечника, нарушение центральной нервной системы (ЦHС), такое как страх, депрессия, деменция или психоз, желудочно-кишечное (ЖК) нарушение, такое как функциональная болезнь кишечника, синдром раздраженной толстой кишки, гастроэзофагеальный рефлекс, недержание кала, колит или болезнь Крона, нарушение мочеполового тракта, такое как недержание мочи или цистит, легочное нарушение, такое как хроническая закупорка дыхательных путей, аллергия, такая как экзема, контактный дерматит или ринит, повышенная чувствительность, такая как чувствительность к ядовитому плющу, периферическая невропатия, такая как диабетическая невропатия, невралгия, каузалгия, болезненная невропатия, ожог, герпетическая невралгия или послегерпетическая невралгия, кашель или острая или хроническая боль; v) способ лечения болезни человека путем индуцирования антагонистического эффекта на тахикинин, действующего у рецептора NK1, NK2 или NK3 человека или комбинации двух или более их, который заключается в лечении этого человека эффективным количеством соединения формулы (I) или его фармацевтически приемлемой соли или композиции; vi) способ как в (v), где болезнь представляет воспалительную болезнь, такую как артрит, псориаз, астма или воспалительная болезнь кишечника, нарушение центральной нервной системы (ЦHС), такое как страх, депрессия, деменция или психоз, желудочно-кишечное (ЖК) нарушение, такое как функциональная болезнь кишечника, синдром раздраженной толстой кишки, гастроэзофагеальный рефлекс, недержание кала, колит или болезнь Крона, нарушение мочеполового тракта, такое как недержание мочи или цистит, легочное нарушение, такое как хроническая закупорка дыхательных путей, аллергия, такая как экзема, контактный дерматит или ринит, повышенная чувствительность, такая как чувствительность к ядовитому плющу, периферическая невропатия, такая как диабетическая невропатия, невралгия, каузалгия, болезненная невропатия, ожог, герпетическая невралгия или послегерпетическая невралгия, кашель или острая или хроническая боль. vii) соединение формулы (II), (IIIA), (XXII), (XXIII), (XXIV), (XXV), (XXVI), (XXVII), (XXVIII), (XXIX) или (XXX). Следующие примеры иллюстрируют получение соединений формулы (I). ПРИМЕР 1. 1-Бензоил-3-(3,4-дихлорфенил)-3-(3-[3-морфолиноазетидин-1-ил] пропил) пиперидин ![]() ![]() К раствору альдегида (см. ПОЛУЧЕНИЕ 7) (0,48 r, 1,23 ммоль) и дигидрохлорида 3-морфолиноазетидина (см. ПОЛУЧЕНИЕ 13) (0,291 г, 1,1 мол. экв.) в тетрагидрофуране (20 мл) к атмосфере азота добавляли триэтиламин (0,38 мл, 2,2 мол. экв.). Через тридцать минут добавляли триацетоксиборогидрид натрия (0,391 г, 1,5 моль. экв.), затем сразу ледяную уксусную кислоту (0,07 мл) и смесь перемешивали в течение восемнадцати часов. Растворитель удаляли при пониженном давлении и остаток распределяли между 10% водным раствором карбоната калия (20 мл) и этилацетатом (20 мл). Водную фазу затем экстрагировали снова этилацетатом (2 х 20 мл) и объединенные органические слои сушили над сульфатом натрия. Раствор затем фильтровали и растворитель удаляли при пониженном давлении. Остаток затем хроматографировали с использованием силикагеля и элюирования смесью дихлорметан:метанол (9:1 по объему), получая указанное в заголовке соединение (166 мг). Rf ТСХ = 0,25 (диоксид кремния, дихлорметан:метанол, 9:1 по объему). LRMS m/z = 516 (М+1)+. Найдено: C 61,07; H 6,18; N 8,04. C28H35N3O2Cl2 0.5 CH2Cl2Рассчитано: C 61,23; H 4,49; N 7,52%. 1H-NMR (CDCl3): = 0.95-1.1 (m), 1.2-1.5 (m), 1.55-1.9 (m), 2.0-2.1 (m), 2.25-2.3 (m), 2.4-2.6 (m), 2.9-3.0 (m), 3.25-3.4 (m), 3.6-3.7 (m), 7.2-7.4 (m).
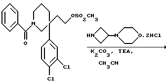
ПРИМЕРЫ 2-8Соединения следующей общей формулы, ![]() получение которых приведено в виде таблицы 1, получали способом, сходным со способом, который использован в ПРИМЕРЕ 1, с применением подходящего альдегида (см. ПОЛУЧЕНИЯ 7, 8, 9, 36 и 37) и либо дигидрохлорида 3-морфолиноазетидина (ПОЛУЧЕНИЕ 13) или бистрифторацетата 3-(4-аминосульфонилпиперазин-1-ил)азетидина (ПОЛУЧЕНИЕ 16). ПРИМЕР 9 1-Бензоил-3-(3,4-дихлорфенил)-3-(2-[3-морфолиноазетидин-1- ил] этил)пиперидин ![]() ![]() К раствору мезилата (см. ПОЛУЧЕНИЕ 24) (137 мг, 0,3 ммоль) добавляли дигидрохлорид 3-морфолиноазетидина (ПОЛУЧЕНИЕ 13) (160 мг, 3 мол. экв.), триэтиламин (0,125 мл, 3 мол. экв.) и карбонат калия (83 мг, 2 моль. экв.) в ацетонитриле (5 мл) и смесь нагревали при кипячении с обратным холодильником в течение четырех часов. Реакционную смесь охлаждали до комнатной температуры, добавляли воду (2 мл) и ацетонитрил удаляли при пониженном давлении. Затем добавляли насыщенный водный бикарбонат натрия (20 мл) и этилацетат (20 мл) и волную фазу экстрагировали этилацетатом (3 х 20 мл). Объединенные органические слои затем сушили с использованием безводного сульфата магния, фильтровали и растворитель удаляли при пониженном давлении. Остаток хроматографировали с использованием силикагеля и градиентного элюирования смесью дихлорметан:метанол (градиент от 9:1 до 4: 1, по объему), получая указанное в заголовке соединение (43 мг). Rf = 0,16 (диоксид кремния, дихлорметан:метанол, 19:1 по объему). LRMS m/z 502 (М+1)+. 1H-NMR (CDCl3): 1.35-1.95 (m, 6H), 2.05-2.15 (m, 2H), 2.25-2.4 (m, 4H), 2.7-2.95 (m, 3H), 3.3-3.6 (m, 5H), 3.65-3.75 (m, 4H), 4.35-4,5 (M, 1H), 7.2-7.5 (m,8H).
ПРИМЕР 103-(3,4-Дихлорфенил-1-(2-метоксибензоил)-3-(2-[3-морфолиноазетидин- 1-ил] этил)пиперидин ![]() Это соединение получают способом, аналогичным способу, использованному в ПРИМЕРЕ 9, с применением мезилата, полученного в ПОЛУЧЕНИИ 25, и дигидрохлорида 3-морфолиноазетидина (ПОЛУЧЕНИЕ 13). LRMS (m/z) 532 (m+1)+. 1H-NMR (CDCl3): 1.3-2.15 (m, 8H), 2.2-2.4 (m, 5H), 2.7-3.1 (m, 3H), 3.15-4.0 (m, 11H), 4.65-4.7 (m, 1H), 6.8-7.1 (m, 3H), 7.1-7.5 (m, 4H).
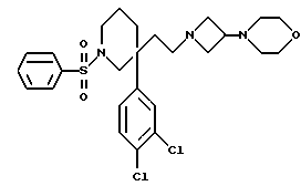
ПРИМЕР 113-(3,4-Дихлорфенил)-3-(2-[3-морфолиноазетидин-1-ил] этил)-1- фенилсульфонилпиперидин ![]() Это соединение получают способом, сходным со способом, используемым в ПРИМЕРЕ 9, с применением мезилата, полученного в ПОЛУЧЕНИИ 45. LRMS (m/z) 538 (М+1)+. Найдено: C 57,26; H 6,01; N 7,97. C26H33Cl2 N3O3S 0,1CH2Cl2Рассчитано: C 57,31; H 6,11; N 7,68%. 1H-NMR(CDCl3): = 1.5-1.9 (m, 6H), 1.95-2.1 (m,1H), 2.15-2.3 (m,5H), 2.7-3.0 (m, 5H), 3.1-3.2 (m,1H), 3.3-3.5 (m,2H), 3.55-3.75 (m, 5H), 7.2-7.3 (m, 1H), 7.35-7.45 (m, 2H), 7.5-7.65 (m, 3H), 7.7-7.8 (m, 2H).
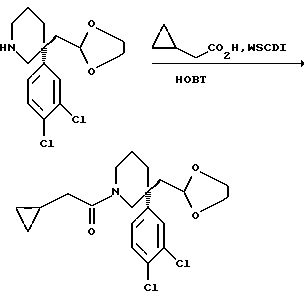
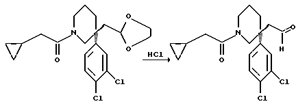
ПРИМЕР 123(S)-1-Циклопропилацетил-3-(3,4-дихлорфенил)-3-(2-[3- морфолиноазетидин-1-ил]этил)пиперидин ![]() ![]() К раствору соединения ПОЛУЧЕНИЯ 42 (0,319 г, 0,88 ммоль), дигидрохлорида 3-морфолиноазетидина (0,187 г, 1 мол. экв.) (ПОЛУЧЕНИЕ. 13) и триэтиламина (0,122 мл, 1 мол. экв.) в тетрагидрофуране (10 мл) добавляли триацетоксиборогидрид натрия (251 мг, 1,35 мол. экв.) и ледяную уксусную кислоту (0,05 мл, 1 мол. экв.). Смесь перемешивали при комнатной температуре в течение 64 часов. Смесь затем концентрировали приблизительно до 5 мл и распределяли между этилацетатом (30 мл) и насыщенным водным раствором бикарбоната натрия (20 мл). Органический слой сушили над безводным сульфатом магния, фильтровали и растворитель удаляли при пониженном давлении. Остаток очищали флэш-хроматографией с использованием силикагеля и градиентного элюирования смесью дихлорметан:метанол (градиент от 92:8 до 9:1 по объему), получая указанное в заголовке соединение (220 мг). Rf ТСХ = 0,2 (диоксид кремния, метанол:дихлорметан, 8:92 по объему). LRMS m/z = 480 (М+1)+. Найдено: C 60,78; H 7,13; N 7,31. C25H35N3 Cl2O2 0,25CH2Cl2Рассчитано: C 60,45; H 7,3; N 8,38%. 1H-NMR (CDCl3) : 0.1-0.2 (m, 2H),0.5-0.55 (m,2H), 0.85-0.95 (m,1H), 1.35-2.3 (m,14H), 2.65-2.8 (m,2H), 2.85-2.95 (m,1H), 3.2-4.4 (m,10H), 7.2-7.4 (m,3H).
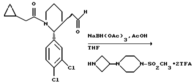
ПРИМЕР 133(S)-1-Циклопропилацетил-3-(3,4-дихлорфенил)-3-(2-[3- { 4-метансульфонил-пиперазин-1-ил}азетидин-1-ил]этил)пиперидин ![]() ![]() К раствору соединения ПОЛУЧЕНИЯ 42 (0,31 г, 0,88 ммоль), бистрифторацетата 3- (4-метансульфонилпиперазин-1-ил) азетидина (0,39 г, 1 мол. экв.) (ПОЛУЧЕНИЕ 46) и триэтиламина (0,122 мл, 1 мол. экв.) в тетрагидрофуране (10 мл) добавляли триацетоксиборогидрид натрия (186 мг, 1 мол. экв.) и ледяную уксусную кислоту (0,053 мл, 1,05 мол. экв.). Смесь перемешивали при комнатной температуре в течение 16 часов. Реакционную смесь затем концентрировали приблизительно до 3 мл и распределяли между этилацетатом (30 мл) и насыщенным водным раствором бикарбоната натрия (30 мл). Органический слой сушили над безводным сульфатом магния и фильтровали. Растворитель удаляли при пониженном давлении, получая остаток, который очищали флэш-хроматографией с использованием силикагеля и элюирования смесью дихлорметан:метанол (10:1 по объему), получая указанное в заголовке соединение (375 мг). Rf ТСХ = 0,35 (диоксид кремния, дихлорметан: метанол, 10: 1 по объему), LRMS m/z = 557 (М+1)+. Найдено: C 54,98; H 6,80; N 9,40. C28H38Cl2N4O3S 0,25CH2Cl2 Рассчитано: C 54,63; H 6,72; N 9,70%.
1H-NMR (CDCl3) : 0.05-0.15 (m,2H), 0.45-0.55 (m,2H), 0.9-1.0 (m,1H), 1.4-2.4 2.7-3.0 (m,6H), 3.2-4.4 (m.10H), 7.2-7.4 (m,3H).
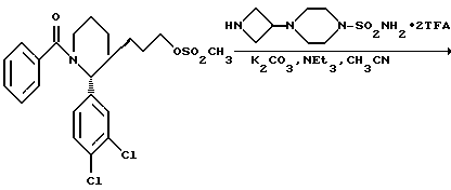
ПРИМЕР 143(R)-3-(3-[3-(4-Аминосульфонилпиперазин-1-ил)азетидин-1-ил] – пропил)-1-бензоил-3-(3,4-дихлорфенил)пиперидин ![]() ![]() Смесь соединения ПОЛУЧЕНИЯ 54 (190 мг, 0,404 ммоль), бистрифторацетата 1-аминосульфонил-4-(азетидин-3-ил)пиперазина (ПОЛУЧЕНИЕ 16) (542 мг, 3 мол. экв. ), карбоната калия (334 мг, 6 мол. экв.) и триэтиламина (0,335 мл, 6 мол. экв. ) в ацетонитриле (15 мл) нагревали при кипячении с обратным холодильником в течение 8 часов. Реакционную смесь охлаждали до комнатной температуры, добавляли дихлорметан (50 мл) и смесь промывали водой (100 мл). Органический слой сушили над безводным сульфатом магния и фильтровали. Растворитель удаляли при пониженном давлении, получая остаток, который хроматографировали на силикагеле при градиентном элюировании смесью этилацеат:метанол (градиент от 9:1 до 3:2 по объему), получая указанное в заголовке соединение (19 мг). LRMS (m/z) 515 (m-SO2NH2)+. 1H-NMR (CDCl3) : 1.6-1.9(m, 5H), 2.1-2.2 (m,1H), 2.25-2.45 (m,8H), 2.7-2.8 (m, 2H). 2.9-3.0 (m, 1H), 3.2-3.3 (m,7H), 3.35-3.5 (m,6H), 4.3-4.4 (m,1H), 7.25-7.5 (m,5H).
Следующие Получения иллюстрируют получение некоторых исходных материалов, использованных в предшествующих примерах.
ПОЛУЧЕНИЕ 12-(3,4-Дихлорфенил)гекс-5-еннитрил ![]() К раствору гидрида натрия (14,8 г, 370,4 ммоль, 60% дисперсия в минеральном масле) в диметилформамиде (150 мл) при 0oC в атмосфере азота добавляли раствор 3,4-дихлорфенилацетонитрила (68,9 г, 1 мол. экв.) в диметилформамиде (300 мл) и смесь перемешивали в течение трех часов. Затем добавляли раствор 4 бромбут-1-ена (50 г, 1 мол. экв.) в диметилформамиде (100 мл) и смесь перемешивали при комнатной температуре в течение одного часа, затем нагревали до 60oC в течение пяти часов. Реакционную смесь затем охлаждали и добавляли воду (1 л). Смесь затем экстрагировали этилацетатом (2 х 500 мл). Объединенные органические слои промывали водой (2 х 1 л), сушили над безводным сульфатом магния и растворитель удаляли при пониженном давлении. Остаток затем очищали колоночной хроматографией с использованием силикагеля и градиентного элюирования смесью этилацетат: гексан (градиент от 1:19 до 1:6 по объему), получая указанное в заголовке (соединение (51,5 г). Rf ТСХ = 0,47 (диоксид кремния, гексан: этилацетат, 6:1 по объему). 1H-NMR (CDCl3): = 1.85-2.1 (m, 2H), 2.2-2.3 (m, 2H), 3.75-3.8 (m, 1H), 5.05-5.1 (m, 2H), 5.7-5.3 (m, 1H), 7.15-7.2 (m, 1H), 7.4-7.45 (m, 2H).
ПОЛУЧЕНИЕ 24-Циано-4-(3,4-дихлорфенил)окт-7-еновая кислота ![]() К раствору соединения ПОЛУЧЕНИЯ 1 (50,5 г, 210,4 ммоль) в диоксане (150 мл) при 0oC в атмосфере азота добавляли трет-бутоксид калия (1,5 г, 0,06 мол. экв. ) и этилакрилат (25,4 мл, 1,11 мол. экв.) и смесь перемешивали в течение одного часа. Затем добавляли водный раствор гидроксида натрия (2 н, 150 мл) и смесь перемешивали при комнатной температуре в течение семидесяти минут. Затем добавляли метил трет-бутиловый эфир (300 мл) и смесь подкисляли до pH 1 при помощи водного 2 н. раствора хлористоводородной кислоты. Раствор затем экстрагировали метил трет-бутиловым эфиром (2 х 300 мл) и объединенные органические слои затем сушили над безводным сульфатом магния и фильтровали. Удаление растворителя при пониженном давлении давало указанное в заголовке соединение (68,12 г), которое использовали в следующей стадии без дальнейшей очистки. 1H-NMR (CDCl3): = 1.8-2.6 (m, 9H), 4.9-5.0 (m, 2H), 5.65- 5.75 (m, 1H), 7.2-7.25 (m, 1H), 7.45-7.5 (m, 2H).
ПОЛУЧЕНИЕ 33-(Бут-1-ен-4-ил)-3-(3.4-дихлорфенил)пиперидин ![]() ![]() К раствору литийалюминийгидрида (16,6 г, 2 мол. экв.) в тетрагидрофуране (300 мл) при 0oC в атмосфере азота медленно добавляли раствор соединения ПОЛУЧЕНИЯ 2 (68,12 г) в тетрагидрофуране (300 мл) и реакционную смесь перемешивали в течение двух часов. Затем осторожно добавляли воду (60 мл), затем водный раствор гидроксида натрия (2 н, 300 мл). Смесь затем фильтровали и твердый остаток промывали метил трет бутиловым эфиром (300 мл). Органические промывные жидкости затем объединяли с фильтратом, сушили над безводным сульфатом магния, фильтровали и растворитель удаляли при пониженном давлении. Остаток затем хроматографировали с использованием силикагеля и градиентного элюирования смесью метанол: этилацетат (градиент от 1:19 до 2:5 по объему), получая указанное в заголовке соединение в виде смеси с нециклизованным аминоспиртом (19,6 г), которое использовали в следующей стадии без дальнейшей очистки. ПОЛУЧЕНИЕ 4 3-(Бут-1-ен-4-ил)-1-бензоил-3-(3,4-дихлорфенил)пиперидин. ![]() К раствору продукта ПОЛУЧЕНИЯ 3 (6,02 г) в дихлорметане (70 мл) при 0oC в атмосфере азота добавляли бензоилхлорид (9,37 мл, 4 мол. экв.) и триэтиламин (13,8 мл. 5 мол. экв.) и смесь перемешивали в течение 45 минут. Затем добавляют дихлорметан (50 мл) и смесь промывают 2 н. водным раствором хлористоводородной кислоты (2х100 мл). Органическую фазу затем сушат над безводным сульфатом магния и фильтруют. Растворитель удаляют при пониженном давлении. Затем добавляют 4% раствор гидроксида натрия в метаноле (100 мл) и смесь перемешивают при комнатной температуре в течение 50 минут. Затем добавляют дихлорметан (200 мл), смесь промывают водой (2 х 200 мл). Органическую фазу сушат над безводным сульфатом магния и затем фильтруют. Растворитель удаляют при пониженном давлении, получая остаток. Хроматография с использованием силикагеля и градиентного элюирования смесью этилацетат: гексан (элюент от 1:4 до 3:5, по объему) дала указанное в заголовке соединение (3,27 г). Rf ТСХ = 0,87 (диоксид кремния, гексан:этилацетат, 3:5 по объему). LRMS m/z 388 (m+1)+. 1H-NMR (CDCl3): = 1.3-2.2 (m, 8H), 3.1-3.5 (m, 3H), 1.5- 1.7 (m, 1H), 4.85-4.95 (m, 2H), 5.55-5.7 (m, 1H), 7.2-7.55 (m, 8H).
ПОЛУЧЕНИЕ 53-(Бут-1-ен-4-ил)-1-циклогексаноил-3-(3,4-дихлорфенил)пиперидин ![]() Это соединение получали таким же способом, как описан в ПОЛУЧЕНИИ 4, с использованием циклогексаноилхлорида вместо бензоилхлорида. 1H-NMR (CDCl3): 1.1-1.9 (m, 19H), 2.05-2.15 (m, 1H), 2.35-2.5 (m, 1H), 3.1-3.3 (m, 2H), 3.5-3.65 (m, 1H), 4.45-4.5 (m, 1H), 4.8-4.9 (m, 2H), 5.55-5.7 (m, 1H), 7.1-7.15 (m, 1H), 7.3-7.4 (m, 2H).
ПОЛУЧЕНИЕ 63- (Бут-1-ен-4-ил)-1-циклопропаноил-3-(3,4-дихлорфенил)пиперидин ![]() Это соединение получали таким же способом, как описан в ПОЛУЧЕНИИ 4, с использованием циклопропаноилхлорида вместо бензоилхлорида. LRMS m/z 352 (m+1)+. 1H-NMR (CDCl3): = 0.65-1.1 (m, 4H), 1.4-2.15 (m, 8H), 3.15-3.45 (m, 2H). 3.7-3.9 (m, 2H), 4.35-4.45 (m, 1H), 4.8-4.95 (m, 2H), 5.55-5.7 (m, 1H), 7.1-7.4 (m, 3H).
ПОЛУЧЕНИЕ 71-Бензоил-3-(3,4-дихлорфенил)-3-(2-формилэтил)пиперидин ![]() В раствор соединения ПОЛУЧЕНИЯ 4 (3,37 г, 8,7 ммоль) в метаноле (110 мл) в атмосфере азота при -78oC в течение десяти минут барботировали озон со скоростью 50 мл/мин (использовали силу тока 1,5 А для генерирования озона из кислорода). После этого силу тока снижали до нуля и через реакционную смесь в течение десяти минут барботировали кислород со скоростью 5 мл/мин. Подачу кислорода затем прекращали и через реакционную смесь в течение двенадцати минут барботировали азот. После этого времени по каплям добавляли раствор диметилсульфида (6,4 мл, 14 мол. экв.) в метаноле (15 мл) и реакционной смеси давали нагреться до комнатной температуры в течение восемнадцати часов. Растворитель затем удаляли при пониженном давлении и реакционную смесь распределяли между этилацетатом (20 мл) и водой (15 мл). Органический слой отделяли и водную часть далее экстрагировали этилацетатом (2 х 20 мл). Органические слои затем объединяли, сушили при помощи сульфата магния, фильтровали и растворитель выпаривали при пониженном давлении, получая указанное в заголовке соединение (3,18 г), которое использовали без дальнейшей очистки. 1H-NMR (CDCl3): = 1.3-2.1 (m, 6H), 3.15-3.25 (m. 4H), 3.35-3.55 (m, 2H), 7.2-7.45 (m, 8H), 9.6 (s. br., 1H).
ПОЛУЧЕНИЯ 8, 9Соединения общей формулы: ![]() получали способом, подобным способу, используемому в ПОЛУЧЕНИИ 7, с применением соединений ПОЛУЧЕНИЙ 5 и 6 соответственно (табл. 2) ПОЛУЧЕНИЕ 10 1-Дифенилметилазетидин-3-ол ![]() Раствор бензгидриламина (200 мл, 1,16 моль) и эпихлоргидрина (186 мл, 1 мол. экв. ) в метаноле (600 мл) перемешивали при комнатной температуре в течение пяти дней и затем нагревали при 40oC в течение двух дней. Растворитель затем удаляли при пониженном давлении, остаток растворяли в изопропиловом спирте (500 мл) и раствор нагревали при кипячении с обратным холодильником в течение шести часов. Раствор охлаждали до комнатной температуры и осадок отделяли фильтрованием. Эту твердую часть распределяли между дихлорметаном (400 мл) и насыщенным водным раствором бикарбоната натрия (500 мл). Водную фазу экстрагировали дихлорметаном (2 х 400 мл) и объединенные органические фазы сушили над сульфатом магния. Раствор затем фильтровали и растворитель удаляли из фильтрата при пониженном давлении, получая указанное в заголовке соединение (86 г) в виде кристаллического вещества. 1H-NMR (CDCl3): = 1.8-2.3 (s,br,1H), 2.85-2.9 (m, 2H), 3.5- 3.55 (m, 2H), 4.35 (s, 1H), 4.4-4.5 (m, 1H), 7.15-7.4 (m, 10H).
ПОЛУЧЕНИЕ 111-Дифенилметил-3-метансульфонилоксиазетидин ![]() К раствору 1-дифенилметилазетидин-3-ола (см. Получение 10) (65,9 г, 275,7 ммоль) в сухом дихлорметане (700 мл) при 0oC в атмосфере азота добавляли триэтиламин (57 мл, 1,2 мол. экв.). Через пять минут добавляли метансульфонилхлорид (25,6 мл, 1,5 мол. экв.) и смесь перемешивали в течение одного часа. Затем добавляли воду (300 мл) и смесь экстрагировали дихлорметаном (3 х 300 мл). Объединенные органические слои сушили над сульфатом магния. Раствор затем фильтровали и растворитель удаляли из фильтрата при пониженном давлении. Остаток хроматографировали с использованием силикагеля и элюирования смесью метанол:дихлорметан (1:49 по объему), получая указанное в заголовке соединение (73,4 г) в виде твердого вещества. 1H-NMR (CDCl3): =2.95 (s,3H), 3.15-3.25(m,2H), 3.6- 3.65(m,2H), 4.4(s, 1H), 5.05-5.15(m,1H), 7.15-7.4(m,10H).
ПОЛУЧЕНИЕ 121-Дифенилметил-3-морфолиноазетидин ![]() Раствор 1-дифенилметил-3-метансульфонилоксиазетидина (см. ПОЛУЧЕНИЕ 11) (24,46 г, 7,72 ммоль), карбоната калия (32 г, 3 мол. экв.) и морфолина (7,34 мл, 1,09 мол. экв.) в ацетонитриле (200 мл) нагревали при кипячении с обратным холодильником в течение четырех часов. Раствор затем охлаждали до комнатной температуры, добавляли воду (50 мл) и смесь концентрировали при пониженном давлении. Остаток распределяли между этилацетатом (400 мл) и водой (400 мл) и органическую фазу отделяли и промывали водой (2 х 400 мл). Органическую фазу сушили над сульфатом магния, фильтровали и растворитель удаляли из фильтрата при пониженном давлении. Остаток затем хроматографировали с использованием силикагеля и элюирования смесью гексан:диэтиловый эфир (1:1 по объему), получая указанное в заголовке соединение (16,5 г). 1H-NMR (CDCl3): = 2.25-2.3 (m,4H), 2.85-3.05 (m,3H), 3.35-3.4 (m,2H), 3.7-3.75 (m,4H), 4.45 (s,1H), 7.15-7.45 (m,10H).
ПОЛУЧЕHИЕ 13Дигидрохлорид 3-морфолиноазетидина ![]() Смесь 1-дифенилметил-3-морфолиноазетидина (см. ПОЛУЧЕНИЕ 12) (08,6 г, 60,4 ммоль), гидроксида палладия (2 г), этанола (200 мл) и 1 н. водного раствора хлористоводородной кислоты (52 мл) перемешивали в атмосфере водорода при 345 кПа (50 psi) в течение трех часов. Катализатор затем удаляли фильтрованием и фильтрат выпаривали досуха. Добавление к остатку дихлорметана (100 мл) и растирание давало твердый продукт, который перекристаллизовали из метанола, получая указанное в заголовке соединение (10,2 г) в виде кристаллического твердого вещества. LRMS m/z 179 (М+1)+. (Обратите внимание. Моногидрохлорид, используемый вместо дигидрохлорида в некоторых реакциях, можно получить подобным же образом, используя один молярный эквивалент хлористого водорода). ПОЛУЧЕНИЕ 14 1-(трет-Бутоксикарбонил)-3-(пиперазин-1-ил)азетидин ![]() Пиперазин (149,2 г, 8 моль. экв.) нагревали до плавления и затем добавляли 1-(трет-бутоксикарбонил)-3- метансульфонилоксиазетидин (см. Публикацию международной патентной заявки N WO93/19059) (54,5 г, 217 ммоль). Смесь нагревали при 115oC в течение двадцати четырех часов. Реакционную смесь охлаждали и избыток пиперазина удаляли при пониженном давлении. Остаток очищали колоночной флэш-хроматографией на силикагеле с использованием смеси метанол:дихлорметан (5:95 по объему) в качестве элюента, получая указанное в заголовке соединение (51 г). LRMS m/z= 242 (m+1)+. 1H-NMR (CDCl3): = 1.4 (m, 9H), 2.5-2.6 (m, 4H), 3.1-3.25 (m, 5H), 3.7-3.8 (m, 2H), 3.9-3.95 (m, 2H), 4.6 (br. s, 1H).
ПОЛУЧЕНИЕ 153-(4-Аминосульфонилпиперазин-1-(трет-бутоксикарбонил)азетидин ![]() Раствор соединения ПОЛУЧЕНИЯ 14 (50 г, 132,6 ммоль) и сульфамида (88 г, 6,9 мол. экв.) в 1,4-диоксане (1300 мл) нагревали при кипячении с обратным холодильником в течение пятидесяти пяти часов. Раствор охлаждали и растворитель удаляли при пониженном давлении. Остаток очищали колоночной флэш-хроматографией на силикагеле с использованием смеси метанол: дихлорметан (5: 95 по объему) в качестве элюента, получая указанное в заголовке соединение (50 г). 1H-NMR (CDCl3): = 1.45 (s, 9H), 2.4-2.5 (m, 4H), 3.1-3.2 (m, 1H), 3.25.3.3 (m, 4H), 3.75-3.8 (m, 2H), 3.85-3.9 (m, 2H), 4.3 (br, s, 2H).
ПОЛУЧЕНИЕ 16Бистрифторацетат 3-(4-аминосульфонилпиперазин-1-ил)азетидина ![]() К раствору соединения ПОЛУЧЕНИЯ 15 (364 мг, 1,14 ммоль) в дихлорметане (6 мл) в атмосфере азота при 0oC медленно добавляли трифторуксусную кислоту (3 мл, 35 мол. экв. ) и реакционной смеси давали нагреться до комнатной температуры в течение двух часов. Растворитель затем удаляли при пониженном давлении и остаток подвергали азеотропной перегонке с дихлорметаном (3х10 мл). Получаемое масло растирали с диэтиловым эфиром, получая указанное в заголовке соединение (379 мг), которое использовали без дальнейшей очистки. 1H-NMR (CDCl3): = 2.4-2.6 (m, 4H), 2.95-3.15 (m, 4H), 3.35-3.5 (m, 1H), 3.8-4.1 (m, 4H), 6.6-6.8 (m, 2H), 8.6-8.85 (m, 3H).
ПОЛУЧЕНИЕ 172-(3,4-Дихлорфенил)-4-(тетрагидропиран-2-илокси)бутаннитрил ![]() К смеси 60% (масс. /масс.) дисперсии гидрида натрия в масле (19,24 г, 1,05 мол. экв.) в сухом тетрагидрофуране (450 мл) при 0oC в атмосфере азота по каплям, в течение сорока минут, добавляли раствор 3,4-дихлорфенилацетонитрила (89,5 г, 1 мол. экв.) в сухом тетрагидрофуране (450 мл). Через дополнительные сорок минут добавляли раствор 2-бромэтокситетрагидропирана (100 г, 1 мол. экв.) в тетрагидрофуране (100 мл) и смеси давали нагреться до комнатной температуры и перемешивали в течение четырнадцати часов. Добавляли 30% водный раствор хлорида натрия (500 мл) и смесь экстрагировали диэтиловым эфиром (2 х 400 мл). Органические слои объединяли и промывали водой (2 х 400 мл), сушили над сульфатом магния и растворитель удаляли при пониженном давлении. Остаток затем хроматографировали с использованием силикагеля и градиентного элюирования смесью диэтиловый эфир:гексан (градиент от 1:9 до 1:1, по объему), получая указанное в заголовке соединение (51 г). Rf ТСХ = 0,55 (диоксид кремния, метил-трет- бутиловый эфир:гексан, 1:1, по объему). LRMS m/z= 333 (m+NH4)–. 1H-NMR (CDCl3): =1.5-1.9 (m, 6H), 2.05-2.3 (m, 2H), 2.4-2.65 (m, 2H), 2.8-2.95 (m, 2H), 4.0-4.1 (m, 1H), 4.5-4.6 (m, 1H), 7.2-7.25 (m, 1H), 7.25-7.5 (m, 2H).
ПОЛУЧЕНИЕ 18Этил 4-циано-4(3,4-дихлорфенил)-6-(тетрагидропиран-2- илокси)гексаноат ![]() К раствору диизопропиламина (15 мл, 0,77 мол. экв.) в тетрагидрофуране (80 мл) при -78oC в атмосфере азота добавляли п-бутиллитий (77,3 мл 2,5 М раствора в гексане, 1,4 мол. экв.) и раствору затем давали нагреться до комнатной температуры в течение двух часов. Раствор охлаждали до -78oC и медленно добавляли раствор соединения ПОЛУЧЕНИЯ 17 (43.9 г, 138 ммоль) в тетрагидрофуране (180 мл). Получаемому раствору давали нагреться до комнатной температуры в течение двух часов. Раствор затем охлаждали до -78oC и по каплям добавляли раствор этил 3-бромпропаноата (22,36 мл, 1,3 мол. экв.) в тетрагидрофуране (70 мл). Затем добавляли иодид тетра-н-бутиламмония (50 г, 1 мол. экв.), реакционной смеси давали нагреться до комнатной температуры и перемешивали в течением четырнадцати часов. Затем добавляли воду (10 мл) и раствор концентрировали при пониженном давлении. Добавляли воду (400 мл) и рассол (400 мл) и смесь экстрагировали этилацетатом (2 х 500 мл). Объединенные органические слои промывали водой (2 х 300 мл), сушили над сульфатом магния и растворитель удаляли при пониженном давлении. Хроматография с использованием силикагеля и элюирования смесью диэтиловый эфир:гексан (1:1 по объему) давала указанное в заголовке соединение (35 г). RfTCX = 0,30 (диоксид кремния, диэтиловый эфир:гексан, 1:1 по объему). 1H-NMR (CDCl3): = 1.25 (t, 3H), 1.35-1.8 (m, 6H), 2.0-2.55 (m, 6H), 3.3-3.45 (m. 2H), 3.65-3.8 (m, 2H), 4.0-4.1 (m, 2H), 4.4- 4.5 (m, 1H), 7.2-7.55 (m, 3H).
ПОЛУЧЕНИЕ 195-(3,4-Дихлорфенил)-5-(2-[тетрагидрофуран-2-илoкcи]-2(1H)- пиперидон ![]() Соединение ПОЛУЧЕНИЯ 18 (18,7 г, 45,2 ммоль) растворяли в насыщенном аммиачном растворе этанола (500 мл), который содержал никель Ренея (3,5 г). Смесь перемешивали в атмосфере водорода при атмосферном давлении в течение семи часов. Катализатор затем удаляли фильтрованием, этанол удаляли при пониженном давлении и остаток хроматографировали с использованием силикагеля и элюирования сначала диэтиловым эфиром и затем смесью метанол:дихлорметан (1: 9 по объему), получая указанное в заголовке соединение (10,4 г). Rf ТСХ (диоксид кремния, метанол: дихлорметан, 1:9 по объему). LRMS m/z = 372 (m+1)+. 1H-NMR (CDCl3): = 1.4-1.8 (m, 6H), 1.9-2.1 (m, 5H), 2.3-2.45 (m, 1H), 3.0-3.2 (m, 1H), 3.35-3.85 (m, 4H), 4.35-4.4 (m, 1H), 6.05 (s,br.,1H), 7.15-7.45 (m, 3H).
ПОЛУЧЕНИЕ 20 и 213-(3,4-Дихлорфенил)-3-(2-гидроксиэтил)пиперидин (Получение 20) и 3-(3,4-дихлорфенил)-3-(2-[тетрагидропиран-2-илокси] этил)пиперидин (Получение 21) ![]() ![]() К раствору 5-(3,4-дихлорфонил)-5-(2-[тетрагидропиран-2- илокси]этил)-2(1H)-пиперидона (ПОЛУЧЕНИЕ 19) (1,75 г, 4,7 ммоль) в тетрагидрофуране при 0oC в атмосфере азота добавляли по каплям раствор комплекса боран-диметилсульфид (2,36 мл, 5 мол. экв., 10 М раствор). Раствор затем медленно нагревали до комнатной температуры и затем нагревали при кипячении с обратным холодильником в течение двух часов. Раствор охлаждали до комнатной температуры и растворитель затем удаляли при пониженном давлении. Остаток затем распределяли между дихлорметаном (30 мл) и насыщенным водным раствором бикарбоната натрия (30 мл). Водную фазу экстрагировали дополнительной порцией дихлорметана (30 мл) и объединенные органические слои сушили при помощи безводного сульфата магния. Раствор затем фильтровали и растворитель удаляли при пониженном давлении. Остаток очищали колоночной хроматографией с использованием диоксида кремния и элюирования смесью метанол: дихлорметан (1:19 по объему), получая сначала спирт (20) в виде комплекса боран-диметилсульфид и вторым защищенный спирт (21) (132 мг). Фракции, содержащие комплекс борана (20) выпаривали при пониженном давлении, остаток растворяли в метаноле (10 мл) и 2 н. водной хлористоводородной кислоте (10 мл) и смесь нагревали при кипячении с обратным холодильником в течение одного часа. Раствор затем охлаждали до комнатной температуры и растворитель удаляли при пониженном давлении, получая спирт (20) (424 мг). Спектральные данные для (20): LRMS m/z 274 (m+1)+; 1H-NMR (CDCl3): = 1.45-2.0 (m, 6H), 2.3 (s, br.,2H), 2.7-2.8 (m. 1H), 2.85-2.95 (m, 1H), 3.1 (s, br., 2H), 3.35-3.55 (m, 2H), 7.1-7.2 (m, 1H), 7.35-7.4 (m, 2H).
Спектральные данные для (21):LRMS m/z 358(m+1)+; 1H-NMR (CDCl3): 1.4-2.1 (m, 12H), 2.8- 3.6 (m, 8H), 3.65-3.85 (m, 1H), 4.35 (s, br., 1H), 7.15-7.2 (m, 1H), 7.35-7.5 (m, 2H).
ПОЛУЧЕНИЕ 221-бензоил-3-(3,4-дихлорфенил)-3-(2-гидроксиэтил)пиперидин ![]() К раствору соединения ПОЛУЧЕНИЯ 20 (150 мг, 0,55 ммоль) в дихлорметане (5 мл) при 0oC в атмосфере азота добавляли триэтиламин (0,114 мл, 1,5 мол. экв. ) и бензоилхлорид (0,076 мл, 1,2 мол. экв.) и смесь перемешивали при комнатной температуре в течение одного часа. Добавляли воду (30 мл) и насыщенный водный раствор бикарбоната натрия (30 мл) и смесь экстрагировали дихлорметаном (3 х 40 мл). Объединенные органические слои затем сушили при помощи безводного сульфата магния, фильтровали и растворитель удаляли при пониженном давлении, получая указанное в заголовке соединение (187 мг), которое использовали без дальнейшей очистки. Rf ТСХ = 0,34 (диоксид кремния, дихлорметан/метанол, 19:1 по объему). LRMS 378 m/z (m+1)+. 1H-NMR (CDCl3): = 1.4-2.3 (m, 7H), 3.25-4.3 (m, 6H), 7.15-7.6 (m, 8H).
ПОЛУЧЕНИЕ 231-(2-Метоксибензоил)-3-(3,4-дихлорфенил)-3-(2-гидроксиэтил) пиперидин, ![]() Это соединение получали способом, подобным способу, который использовали в ПОЛУЧЕНИИ 22, применяя соединение, полученное в Получении 20, и 2-метоксибензоилхлорид вместо бензоилхлорида. Соединение очищали колоночной хроматографией (диоксид кремния, градиентное элюирование смесью дихлорметан: метанол с градиентом от 49:1 до 24:1 по объему). LRMS 410 m/z(m+1)+. 1H-NMR(CDCl3): = 1.35-2.2 (m, 8H), 3.1-4.5 (m, 8H), 6.8-7.1 (m, 2H), 7.2-7.55 (m, 5H).
ПОЛУЧЕНИЕ 241-Бензоил-3-(3,4-дихлорфенил)-3-(2-метансульфонилоксиэтил) пиперидин ![]() К раствору соединения ПОЛУЧЕНИЯ 22 (170 мг, 0,45 ммоль) в дихлорметане (4 мл) в атмосфере азота добавляли триэтиламин (0,094 мл, 1,5 мол. экв.) и раствор охлаждали до 0oC. Затем добавляли метансульфонилхлорид (0,042 мл, 1,2 мол. экв. ) и смесь перемешивали в течение одного часа. Добавляли воду (20 мл) и водную фазу экстрагировали дихлорметаном (20 мл). Объединенные органические слои затем сушили над безводным сульфатом магния, фильтровали и растворитель удаляли при пониженном давлении. Остаток затем хроматографировали с использованием диоксида кремния и элюирования дихлорметаном, получая указанное в заголовке соединение (145 мг). Rf ТСХ = 0,39 (диоксид кремния, смесь дихлорметан:метанол, 19:1 по объему). LRMS 456 m/z (m+1)+. 1H-NMR (CDCl3): = 1.65 (s, br., 1H), 1.9-2.0 (m, 2H), 2.1 (s, br., 2H), 2.9 (s, br., 2H), 3.35 (s, br., 2H), 3.6-3.75 (m, 1H), 3.9-4.0 (m, 2H), 4.1 (s, br., 1H), 4.3 (s, br., 1H), 7.3-7.5 (m, 8H).
ПОЛУЧЕНИЕ 251-(2-Метоксибензоил)-3-(3,4-дихлорфенил)-3-(2- метансульфонилоксиэтил)пиперидин ![]() Это соединение получали способом, сходным со способом, использованным в ПОЛУЧЕНИИ 24, применяя соединение, описанное в ПОЛУЧЕНИИ 23. LRMS 486 m/z (m+1)+. 1H-NMR (CDCl3): = 1.4-2.4 (m, 6H), 2.9-4.6 (m, 12H), 6.75-7.6 (7H).
ПОЛУЧЕНИЕ 271-(Фенилсульфонил)-3-(3,4-дихлорфенил)-3-([тетрагидрапиран-2- илoкcи] этил)пиперидин ![]() К раствору соединения ПОЛУЧЕНИЯ 21 (123 мг, 0,34 ммоль) в дихлорметане (3 мл) при 0oC в атмосфере азота добавляли три этиламин (0,06 мл, 1,5 мол. экв. ) и бензолсульфонилхлорид (0,07 мл, 1,2 мол. экв.). Реакционную смесь перемешивали в течение одного часа. Затем добавляли воду (10 мл) и насыщенный водный бикарбонат натрия (10 мл) и смесь экстрагировали дихлорметаном (3 х 10 мл). Объединенные органические слои затем сушили над безводным сульфатом магния, фильтровали и растворитель удаляли при пониженном давлении, получая смолу, которую хроматографировали с использованием силикагеля и элюирования дихлорметаном, получая указанное в заголовке соединение (131 мг). Rf ТСХ = 0,92 (диоксид кремния, дихлорметан:метанол, 19:1 по объему). LRMS m/z 515 (m+NH4)+. 1H-NMR (CDCl3): = 1.45-2.05 (m, 12H), 2.55-2.65 (m, 2H), 2.95-3.1 (m, 1H), 3.3-3.55 (m, 3H), 3.7-3.8 (m, 1H), 3.9-4.05 (m, 1H), 4.3-4.4 (m, 1H), 7.3-7.8 (m, 8H).
ПОЛУЧЕНИЕ 281-(Фенилсульфонил)-3-(3,4-дихлорфенил)-3-(2-гидроксиэтил)пиперидин ![]() К насыщенному раствору хлористого водорода в метаноле (5 мл) при комнатной температуре добавляли соединение ПОЛУЧЕНИЯ 27 (125 мг) и смесь перемешивали при комнатной температуре в течение двух часов. Растворитель затем удаляли при пониженном давлении. Затем добавляли насыщенный водный раствор бикарбоната натрия (30 мл) и водную фазу экстрагировали этилацетатом (3 х 30 мл). Объединенные органические фазы затем сушили над безводным сульфатом магния, фильтровали и растворитель удаляли при пониженном давлении, получая указанное в заголовке соединение (155 мг), которое использовали без дальнейшей очистки. Rf ТСХ (диоксид кремния, дихлорметан:метанол, 19:1 по объему). LRMS m/z 414 (m+1)+. 1H-NMR (CDCl3): = 1.45-2.5 (m, 12H), 2.55-2.65 (m, 2H), 2.95-3.1 (m, 1H), 3.3- 3.55 (m, 3H), 3.7-3.8 (m, 1H), 3.9-4.05 (m, 1H), 4.3-4.4 (m, 1H), 7.3-7.8 (m, 8H).
ПОЛУЧЕНИЕ 29Этил 3-циано-3-(3,4-дихлорфенил)-5-(тетрагидропиран-2-илокси пентаноат ![]() К раствору диизопропиламина (25,9 мл, 1 мол. экв.) в тетрагидрофуране (200 мл) при -78oC в атмосфере азота добавляли н-бутиллитий (73,9 мл 2,5 М раствора, 1 мол. экв.). Раствору давали нагреться до комнатной температуры в течение двух часов. Затем добавляли раствор 2-(3,4-дихлорфенил)-4-(тетрагидропиран-2-илокси) бутаннитрила (ПОЛУЧЕНИЕ 17) (58 г, 158 ммоль) в тетрагидрофуране (200 мл) и раствор перемешивали в течение одного часа. Затем добавляли раствор этил 2-бромацетата (20,5 мл, 1 мол. экв.) в тетрагидрофуране (50 мл) и реакционную смесь нагревали при кипячения с обратным холодильником в течение двух часов. Затем добавляли воду (10 мл) и раствор концентрировали при пониженном давлении. Добавляли воду (300 мл) и рассол (300 мл) и смесь экстрагировали этилацетатом (2 х 300 мл). Объединенные органические слои промывали водой (2 х 300 мл), сушили над безводным сульфатом магния, фильтровали и растворитель удаляли при пониженном давлении. Хроматография с использованием силикагеля и градиентного элюирования смесью диэтиловый эфир:гексан (градиент от 4:1 до 1:1 по объему) давала указанное в заголовке соединение. LRMS m/z 417 (m+NH4)+. 1H-NMR (CDCl3): = 0.85-0.9 (m, 1H), 1.1-1.75 (m, 10H), 2.1-2.3 (m, 1H), 2.35-2.45 (m, 1H), 2.95-3.3 (m, 2H), 3.4-3.55 (m, 1H), 3.7-3.8 (m, 1H), 4.05-4.15 (m, 2H), 4.45 (s, br., 1H), 7.3-7.55 (m, 3H).
ПОЛУЧЕНИЕ 304-(3,4-Дихлорфенил)-4-(2-[тетрагидропиран-2-илокси]этил)-2(1H)- пирролидон ![]() Соединение ПОЛУЧЕНИЯ 29 (9,0 г, 22,5 ммоль) растворяли в насыщенном аммиачном растворе этанола (100 мл), который содержал никель Ренея (1,0 г). Смесь перемешивали в атмосфере водорода при 345 кПа (50 psi) и 50oC в течение двух часов и затем оставляли стоять в атмосфере водорода в течение четырнадцати часов. Затем добавляли следующую порцию никеля Ренея (0,2 г) и реакционную смесь перемешивали в атмосфере водорода при 345 кПа (50 psi) и 50oC в течение следующих трех часов. Катализатор удаляли фильтрованием, этанол удаляли при пониженном давлении и остаток хроматографировали с использованием силикагеля и градиентного элюирования смесью метанол:дихлорметан (градиент от 1: 19 до 1:9 по объему), получая указанное в заголовке соединение (6,0 г). LRMS m/z 358 (m+1)+. 1H-NMR (CDCl3): = 1.4-1.8 (m, 6H), 2.05-2.2 (m, 2H), 2.7-2.75 (m, 2H), 3.1-3.2 (m, 1H), 3.4-3.5 (m, 1H), 3.55-3.7 (m, 4H), 4.4 (s,br., 1H),5.9(s, br., 1H), 7.0-7.05 (m, 1H), 7.25-7.4 (m, 2H).
ПОЛУЧЕНИЕ 313-(3,4-Дихлорфенил)-3-(2-[тетрагидропропиран-2-илокси]этил) пирролидин ![]() К раствору литийалюминийгидрида (100 мг, 2 мол. экв.) в сухом диэтиловом эфире (20 мл) при 0oC в атмосфере азота добавляли раствор соединения ПОЛУЧЕНИЯ 30 (0,5 г, 1,4 ммоль) в диэтиловом эфире (20 мл) и смесь перемешивали в течение 24 часов. Затем добавляли следующую порцию литийалюминийгидрида (50 мг, 1 мол. экв.) и реакционную смесь перемешивали в течение дополнительных 2 часов. Добавляли воду (0,1 мл), затем 15% водный раствор гидроксида натрия (0,1 мл) и воду (0,3 мл). Твердую часть удаляли фильтрованием. Фильтрат затем концентрировали при пониженном давлении, получая масло. Хроматография с использованием силикагеля и элюирования смесью дихлорметан:метанол: аммиак (94: 5:1 по объему) дала указанное в заголовке соединение (200 мг). Rf ТСХ = 0,42 (диоксид кремния, дихлорметан:метанол:аммиак, 90:9:1 по объему). 1H-NMR (CDCl3): = 1.45-1.85 (m, 6H), 1.9-2.25 (m, 6H), 2.95-3.2 (m, 4H), 3.2-3.65 (m, 2H), 3.7-3.8 (m, 1H), 4.35-4.45 (m, 1H), 7.1-7.4 (m, 3H).
ПОЛУЧЕНИЕ 321-Бензоил-3-(3,4-дихлорфенил)-3-(2-[тeтpaгидpoпиpaн-2-илокси] этил)пирролидин ![]() К раствору соединения ПОЛУЧЕНИЯ 31 (1,4 г, 4,06 ммоль) в дихлорметане (20 мл) добавляли триэтиламин (0,57 мл, 1 мол. экв.). Раствор затем охлаждали до 0oC. По каплям добавляли бензоилхлорид (0,47 мл, 1 мол. экв.) и раствор перемешивали при 0oC в течение 30 минут и затем при комнатной температуре в течение 1 часа. Сырую реакционную смесь промывали водой (50 мл) и затем насыщенным водным раствором бикарбоната натрия (50 мл). Органический слой сушили с использованием безводного сульфата магния, фильтровали и растворитель удаляли при пониженном давлении, получая масло. Хроматография с использованием силикагеля и градиентного элюирования смесью метанол:дихлорметан (градиент от 1:19 до 1:9 по объему) давала указанное в заголовке соединение (1,5 г). LRMS m/z 448 (m+1)+. 1H-NMR (CDCl3): = 1.25-2.4 (m, 10H), 3.0-4.4 (m, 9H), 6.9-7.6 (m, 8H).
ПОЛУЧЕНИЕ 331-(2-Метоксибензоил)-3-(3,4-дихлорфенил)-3-(2-[тетрагидропиран- 2-илокси]этил)пирролидин ![]() Это соединение получали способом, подобным способу, использованному в ПОЛУЧЕНИИ 32, с применением соединения, полученного в ПОЛУЧЕНИИ 31, и 2-метоксибензоилхлорида вместо бензоилхлорида. 1H-NMR (CDCl3): = 1.2-2.25 (m, 10H), 3.05-4.45 (m, 11H), 6.9-7.45 (m, 7H).
ПОЛУЧЕНИЕ 341-Бензоил-3-(3,4-дихлорфенил)-3-(2-гидроксиэтил)пирролидин ![]() Раствор соединения ПОЛУЧЕНИЯ 32 (1,5 г, 3,34 ммоль) в метаноле, насыщенном хлористым водородом (50 мл), перемешивали при комнатной температуре в течение одного часа. Растворитель затем удаляли при пониженном давлении, получая указанное в заголовке соединение, которое использовали без дальнейшей очистки. Rf ТСХ = 0,61 (диоксид кремния, смесь дихлорметан:метанол, 9:1 по объему). LRMS m/z 364 (m+1)+. 1H-NMR (CDCl3): = 1.9-2.4 (m, br., 4H), 3.3-4.1 (m, br., 6H), 5.5-5.9 (m, br., 2H), 7.0-7.6 (m, br., 7H).
ПОЛУЧЕНИЕ 351-(2-Метоксибензоил)-3-(3,4-дихлорфенил)-3-(2-гидроксиэтил) пирролидин ![]() Это соединение получали способом, подобным способу, использованному в ПОЛУЧЕНИИ 34, с применением соединения, полученного в ПОЛУЧЕНИИ 33. LRMS m/z 394 (m+1)+. 1H-NMR (CDCl3): =1.85-2.3 (m, 4H), 3.15-3.65 (m, 4H), 3.8-4.0 (m, 6H), 6.9-7.45 (m, 7H).
ПОЛУЧЕНИЕ 361-Бензоил-3-(3,4-дихлорфенил)-3-(формилметил)пирролидин ![]() К раствору оксалилхлорида (0,13 мл, 1,1 мол. экв.) в дихлорметане (10 мл) при -78oC в атмосфере азота добавляли диметилсульфоксид (0,23 мл, 2,4 мол. экв. ) и раствор перемешивали при -78oC в течение сорока пяти минут. Добавляли раствор соединения ПОЛУЧЕНИЯ 34 (0,5 г, 1,37 ммоль) в дихлорметане (10 мл) и реакционную смесь перемешивали при -78oC в течение 1,75 часа. Добавляли триэтиламин (0,95 мл, 5 мол. экв.) и реакционную смесь оставляли для нагревания до комнатной температуры и перемешивали в течение одного часа. Смесь промывали насыщенным водным раствором карбоната натрия (50 мл) и сушили над сульфатом магния. Раствор фильтровали и растворитель удаляли при пониженном давлении. Остаток очищали хроматографией с использованием диоксида кремния и элюирования смесью этилацетат:метанол (19:1 по объему), получая указанное в заголовке соединение (300 мг). LRMS 362 m/z (m+1)+. 1H-NMR (CDCl3): = 2.25-2.45 (m), 2.65-2.9 (m), 3.4-4.1 (m), 9.45-9.6 (m).
ПОЛУЧЕНИЕ 371-(2-Метоксибензоил)-3-(3,4-дихлорфенил)-3-(формилметил) пирролидин ![]() Это соединение получали способом, сходным со способом, использованным в ПОЛУЧЕНИИ 36, с применением соединения, полученного в ПОЛУЧЕНИИ 35. LRMS m/z 392 (m+1)+. 1H-NMR (CDCl3): =2.15-2.35 (m,2H), 2.7- 2.95 (m,2H), 3.15-3.7 (m,3H), 3.75-3.9 (m,3H), 3.95-4.1 (m, 1H), 6.9-7.5 (m, 7H), 9.45-9.55 (m, 1H).
ПОЛУЧЕНИЕ 384(S)-4-Циано-4-(3,4-дихлорфенил)-5-(1,3-диоксолан-2-ил)пентан- 1-овая кислота ![]() К 1,0 М раствору гексаметилдисилилазида лития в тетрагидрофуране (4,69 л) в атмосфере азота по каплям, в течение 45 минут, при 5oC добавляли раствор 3,4-дихлорфенилацетонитрила (750 г, 4,28 моль) в тетрагидрофуране (750 мл). Реакционную смесь перемешивали в течение 2 часов. Реакционную смесь снова охлаждали снова до 5oC и по каплям, в течение пятидесяти минут, добавляли раствор 2-бромметил-1,3- диоксолана (782 г) в тетрагидрофуране (780 мл). По частям добавляли иодид тетра-н-бутиламмония (75 г) и смеси давали нагреться до комнатной температуры и перемешивали в течение 14 часов. Реакционную смесь затем охлаждали до 5oC и по каплям добавляли раствор гексаметилдисилилазида лития в тетрагидрофуране (1,0 М, 4,69 л). Смесь перемешивали в течение 5 часов при комнатной температуре. Раствор охлаждали до 5oC и по каплям, в течение 50 минут, добавляли раствор этил 3-бромпропаноата (840,5 г) в тетрагидрофуране (840 мл). Реакционную смесь перемешивали в течение 14 часов. Реакционную смесь охлаждали до 5oC и добавляли 1,5 М водный раствор гидроксида натрия (4,25 л, содержащий 255 г гидроксида натрия) и смесь экстрагировали этилацетатом (2 х 3 л). Объединенные органические слои промывали водой (2 х 5 л). Водные фазы объединяли и подкисляли до pH 1 при помощи 5 н. водного раствора хлористоводородной кислоты и затем экстрагировали этилацетатом (2 х 3 л). Объединенные органические экстракты концентрировали при пониженном давлении до концентрации приблизительно 3 мл/г на основе теоретического выхода продукта. Добавляли дихлорметан (50 мл) и раствор промывали водой (100 мл). Органическую фазу сушили над безводным сульфатом магния, фильтровали и растворитель удаляли при пониженном давлении, получая указанное в заголовке соединение (390 г), которое использовали без дальнейшей очистки. Rf ТСХ = 0,28 (диоксид кремния, смесь гексан:этилацетат, 2:3 по объему). 1H-NMR (CDCl3): = 1.25-4.4 (m,17H), 7.25-7.55 (m, 8H).
Указанную выше экспериментальную методику затем повторяли с подобными количествами.
К объединенным органическим растворам обеих реакций добавляли (S)-(-)-альфа-метилбензиламин (1,13 кг) и смесь перемешивали в течение 14 часов. Густую суспензию затем перемешивали с охлаждением на ледяной бане в течение 2 часов, фильтровали, твердую часть промывали этилацетатом (2 х 1 л) и затем сушили при пониженном давлении при 35oC, получая 1,85 кг материала. Часть материала (1,34 кг) растворяли в смеси бутанона (2 л) и воды (503 мл) и нагревали при кипячении с обратным холодильником. Добавляли следующую порцию бутанона (4,7 л) и раствору давали медленно охладиться до комнатной температуры в течение ночи. Получаемую твердую часть отделяли фильтрованием, промывали бутаноном (2 х 1 л) и сушили при пониженном давлении при 35oC в течение 10 часов, получая 563 г материала (93,8% энантиомерного избытка). Дальнейшая перекристаллизация из смеси бутанон/вода давала указанное в заготовке соединение в виде соли (S)-(-)-альфа-метилбензиламина с энантиомерным избытком 99,8%. К перемешиваемому раствору этой соли в этилацетате и воде добавляли 5 н. водный раствор хлористоводородной кислоты до достижения pH 1. Смесь перемешивали в течение дальнейших 30 минут, слои разделяли и водную фазу экстрагировали этилацетатом. Объединенные органические слои промывали водой и растворитель удаляли выпариванием при пониженном давлении, получая указанное в заголовке соединение.
1H-NMR (CDCl3): = 2.05-2.35 (m, 4H), 2.4-2.65 (m, 2H), 3.7- 4.0 (m, 4H), 4.75-4.85 (m, 1 H), 7.25-7.55 (m, 3H), 9.9 (s, br., 1 H, acid).
ПОЛУЧЕНИЕ 395(S)-5-(3,4-Дихлорфенил)-5-(1,3-диоксолан-2-илметил)-2- (1H)-пиперидон ![]() К раствору соединения ПОЛУЧЕНИЯ 38 (13,5 г, 39,22 ммоль) в ледяной уксусной кислоте (130 мл) добавляли оксид платины (1,21 г) и смесь перемешивали в атмосфере водорода при давлении 414 кПа (60 psi) и при комнатной температуре в течение 17 часов. Катализатор удаляли фильтрованием и добавляли следующую порцию оксида платины (1,21 г). Реакционную смесь затем перемешивали в атмосфере водорода при 414 кПа (60 psi) и при комнатной температуре в течение 48 часов. Катализатор удаляли фильтрованием и раствор концентрировали при пониженном давлении. Остаток растворяли в этилацетате (80 мл) и промывали насыщенным водным раствором бикарбоната натрия (2 х 75 мл). Органическую фазу отделяли и растворитель удаляли при пониженном давлении. Получаемый твердый продукт перемешивали в растворе гексана (20 мл) и этилацетата (20 мл) в течение 2 часов при 0oC и затем фильтровали, получая указанное в заголовке соединение (8,15 г). 1H-NMR (CDCl3): = 1.85-1.95 (m, 1H), 2.0-2.25 (m, 4H), 2.35-2.4 (m, 1H), 3.45-3.55 (m, 1H), 3.65-3.75 (m, 2H), 3.8-3.9 (m, 3H), 4.35-4.4 (m, 1H), 6.15 (s, br., 1H), 7.2-7.45 (m, 3H) ppm.
ПОЛУЧЕНИЕ 403(S)-3-(3,4-Дихлорфенил)-3-(1,3-диоксолан-2-илметил)пиперидин ![]() К перемешиваемому раствору литийалюминийгидрида (12,7 мл 1 М раствор в тетрагидрофуране, (2,1 мол. экв. ) в тетрагидрофуране (60 мл) в атмосфере азота добавляли 5(S)-5-(3,4-дихлорфенил)-5- (1,3-диоксолан-2-илметил)-2(1H)-пиперидон (2 г, 6,06 ммоль) (ПОЛУЧЕНИЕ 39) в виде трех порций и смесь нагревали при кипячении с обратным холодильником в течение шестнадцати часов. По каплям, в течение двадцати минут, добавляли воду (0,48 мл) и затем водный раствор гидроксида натрия (0,48 мл, 15% раствор, масс. /масс.). Через пять минут добавляли воду (2 х 0,48 мл) и смесь перемешивали в течение тридцати минут. Смесь фильтровали и растворитель удаляли из фильтрата при пониженном давлении и остаток распределяли между этилацетатом (100 мл) и насыщенным водным раствором бикарбоната натрия (100 мл). Органический слой сушили над безводным сульфатом магния, получая масло, которое затем подвергали колоночной флэш-хроматографии с использованием силикагеля и элюирования смесью дихлорметан: метанол (9:1), получая указанное в заголовке соединение (1,3 г). 1H-NMR (CDCl3): = 1.4-1.5 (m, 1H), 1.55-1.7 (m, 1H), 1.8- 1.9 (m, 1H), 1.95-2.0 (m, 2H), 2.05-2.1 (m, 1H), 2.3 (s, br., 1H), 2.8-2.9 (m, 2H), 3.0-3.1 (m, IH), 3.3-3.35 (m, IH), 3.6-3.7 (m, 2H), 3.8-3.9 (m, 2H), 4.3-4.4 (m, IH), 7.2-7.3 (m, 1H), 7.4-7.5 (m, 2H).
ПОЛУЧЕНИЕ 413(S)-1-Циклопропилацетил-3-(3,4-дихлорфенил)-3-(1,3-диоксолан- 2-ил)метил)пиперидин ![]() К раствору соединения ПОЛУЧЕНИЯ 40 (0,65 г, 2,06 ммоль) в дихлорметане (20 мл) при комнатной температуре в атмосфере азота добавляли циклопропилуксусную кислоту (206 мг, 1 мол. экв.), М- метилморфолин (0,23 мл, 1 мол. экв. ), гидрат 1- гидроксибензотриазола (0,316 г, 1 мол. экв.) и гидрохлорид 1-(3- диметиламинопропил)-3-этилкарбодиимида (0,546 г, 1,4 мол. экв.). Смесь перемешивали в течение шестнадцати часов. Смесь затем выливали в этилацетат (50 мл) и насыщенный водный раствор бикарбоната натрия и органическую фазу отделяли и сушили над безводным сульфатом магния. Раствор фильтровали, растворитель удаляли при пониженном давлении и остаток хроматографировали с использованием силикагеля и элюирования смесью этилацетат:гексан (1:1 по объему), получая указанное в заголовке соединение (0,7 г). RfTCX = 0,25 (диоксид кремния, смесь этилацет:гексан, 1:1 по объему). LRMS m/z = 398 (m+1)+. 1H-NMR (CDCl3): = 0.05-0.2 (m, 2H), 0.4-0.5 (m, 2H), 0.85-0.95 (m, 1H), 1.35-2.4 (m, 8H), 3.1-4.2 (m, 9H), 4.7-4.75 (m, 1H), 7.2-7.5 (m, 3H).
ПОЛУЧЕНИЕ 423(S)-1-Циклопропилацетил-3-(3,4-дихлорфенил)формилметилпиперидин ![]() К раствору соединения ПОЛУЧЕНИЯ 41 (0,7 г, 1,76 ммоль) в тетрагидрофуране (10 мл) добавляли хлористоводородную кислоту (10 мл, 5 н. раствор) и смесь перемешивали при комнатной температуре в течение 5 часов. Смесь затем распределяли между этилацетатом (30 мл) и насыщенным водным раствором бикарбоната натрия (30 мл) и органическую фазу сушили над безводным сульфатом магния. Растворитель удаляли при пониженном давлении, получая указанное в заголовке соединение (0,62 г), которое использовали без дальнейшей очистки. 1H-NMR (CDCl3): = 0.1-0.2 (m, 2H), 0.5-0.6 (m, 2H), 0.9-1.0 (m, 1H), 1.6-2.3 (m, 6H), 2.65-2.7 (m, 2H), 3.4-3.5 (m, 2H), 3.8, (d, 1H), 4.05 (d, 1H), 7.3-7.5 (m, 3H), 9.5 (s, 1H).
ПОЛУЧЕНИЕ 431-(трет-Бутоксикарбонил)-3-(1-пиперазинил)азетидин ![]() Пиперазин (23,69 г, 8 мол. экв.) расплавляли и добавляли 1- (трет-бутоксикарбонил)-3-метансульфонилоксиазетидин (см. Публикацию Международной Патентной Заявки N WO93/19059 (8,64 г, 34,4 ммоль). Смесь нагревали при 120oC в течение 15 часов в атмосфере азота. Реакционную смесь охлаждали до комнатной температуры и избыток пиперазина удаляли при пониженном давлении. Остаток затем хроматографировали на силикагеле с использованием градиентного элюирования (метанол: дихлорметан, градиент от 1:19 до 1:4 по объему), получая указанное в заголовке соединение (6,32 г). LRMS m/z = 242 (m+1)+. 1H-NMR (d6-DMSO): = 1.35 (s, 9H), 2.4-2.5 (m, 4H), 3.0-3.1 (m, 5H), 3.2-4.2 (m, br., 5H).
ПОЛУЧЕНИЕ 441-(трет-Бутоксикарбонил)-3-(4-метилсульфонилпиперазин-1- ил)азетидин ![]() К раствору соединения ПОЛУЧЕНИЯ 43 (8,06 г, 21,3 ммоль) в дихлорметане (160 мл) добавляли триэтиламин (13,4 мл). Раствор выдерживали в атмосфере азота и охлаждали до 0oC. По каплям, в течение 30 минут, добавляли метансульфонилхлорид (5,25 мл, 7,77 г, 3 мол. экв.). Реакционной смеси давали нагреться до комнатной температуры в течение 2,5 часа и затем перемешивали в течение дальнейших 18 часов. Реакционную смесь промывали водой (3 х 50 мл) и затем рассол (2 х 30 мл). Органический слой сушили при помощи безводного сульфата магния. Смесь затем фильтровали и растворитель удаляли из фильтрата при пониженном давлении. Остаток хроматографировали на силикагеле, элюируя смесью концентрированный водный аммиак:метанол:дихлорметан (1:10:89 по объему). Продукт с этой стадии хроматографии затем снова хроматографировали на колонке с силикагелем при элюировании смесью метанол:этилацетат (1:10 по объему), получая указанное в заголовке соединение (0,9 г). Rf ТСХ = 0,6 (диоксид кремния, концентрированный водный раствор аммиака: метанол:дихлорметан, 1:10:89 по объему). LRMS m/z = 320 (m+1)+. 1H-NMR (CDCl3): = 1.4 (s, 9H), 2.45 (t, 4H), 3.8 (s, 3H), 3.1-3.2 (m, 1H), 3.2-3.3 (m, 4H), 3.75- 3.8 (m, 2H), 3.9-4.0 (m, 2H).
ПОЛУЧЕНИЕ 453-(3,4-Дихлорфенил)-3-(2-метансульфонилоксиэтил)-1- фенилсульфонилпиперидин ![]() К раствору соединения ПОЛУЧЕНИЯ 28 (109 мг, 0,29 ммоль) в дихлорметане (4 мл) в атмосфере азота при 0oC добавляли метансульфонилхлорид (0,026 мл, 1,2 мол. экв.). Реакционную смесь перемешивали при комнатной температуре в течение одного часа. Добавляли воду (30 мл) и насыщенный водный раствор бикарбоната натрия (30 мл) и смесь экстрагировали дихлорметаном (3 х 40 мл). Объединенные органические слои затем сушили при помощи безводного сульфата магния, фильтровали и растворитель удаляли при пониженном давлении. Это давало указанное в заголовке соединение (106 мг) в виде смолы, которую использовали без дальнейшей очистки. Rf ТСХ = 0,89 (диоксид кремния, метанол: дихлорметан, 1:19 по объему). ПОЛУЧЕНИЕ 46 Бистрифторацетат-3-(4-метилсульфонилпиперазин-1-ил)азетидина ![]() К раствору соединения ПОЛУЧЕНИЯ 44 (1,4 г, 5,8 ммоль) в дихлорметане (10 мл) при 0oC в атмосфере азота по каплям добавляли трифторуксусную кислоту (5 мл). Смеси затем давали нагреться до комнатной температуры и перемешивали в течение одного часа. Смесь концентрировали при пониженном давлении, получаемую смолу промывали диэтиловым эфиром, затем растирали с диэтиловым эфиром и фильтровали, получая указанное в заголовке соединение. LRMS m/z 220 (m + 1)+. 1H-NMR (d6-DMSO): = 2.4-2.5 (m, 2H), 2.9 (s, 3H), 3.1-3.2 (m, 4H), 3.3-3.5 (m, 1H), 3.8-4.0 (m, 4H), 8.7-8.9 (m, 3H).
ПОЛУЧЕНИЕ 472-(3,4-Дихлорфенил)пент-4-еннитрил ![]() К перемешиваемому раствору 3,4-дихлорфенилацетонитрила (800 г, 4,3 моль) в циклогексане (16 л) при комнатной температуре осторожно добавляли водный раствор гидроксида натрия (1600 г гидроксида натрия в 8 л воды). Это добавление вызывало повышение температуры реакции до 50oC. Затем добавляли аллилбромид (572 г, 1,1 мол. экв.) и гидрат хлорида тетра-и-бутиламмония (40 г, 0,03 мол. экв.) и реакционную смесь перемешивали в течение одного часа при 50oC. Водную фазу удаляли и органический слой промывали водой (10 л). Органическую фазу фильтровали через силикагель (1 кг) при пониженном давлении, получая желтый раствор. Из фильтрата при пониженном давлении удаляли растворитель, получая указанное в заголовке соединение в виде масла (960 г) с чистотой 70%, которое использовали без дальнейшей очистки. Rf ТСХ = 0,71 (диоксид кремния, диэтиловый эфир: гексан, 1:1 по объему). LRMS m/z = 226 (m+1)+. 1H-NMR (CDCl3): = 2.6-2.75 (m, 2H), 3.85 (t, 1H), 5.1-5.25 (m, 2H), 5.7-5.9 (m, 1H), 7.2-7.25 (m, 1H), 7.5-7.55 (m, 2H).
ПОЛУЧЕНИЕ 484-Циано-4-(3,4-дихлорфенил)гепт-6-еновая кислота ![]() К перемершиваемой суспензии 60% (масс./масс.) дисперсии (231 г) гидрида натрия в масле в тетрагидрофуране (17 л) в атмосфере азота при 10oC добавляли по каплям, в течение трех часов, раствор 3-бромпропановой кислоты (806.5 г) в тетрагидрофуране (6 л). Реакционной смеси давали нагреться до комнатной температуры в течение 22 часов. Реакционную смесь затем охлаждали до -10oC. Одновременно по каплям, в течение двух часов, в атмосфере азота при -10oC раствор соединения ПОЛУЧЕНИЯ 47 (1633,5 г) в тетрагидрофуране (2,5 л) добавляли к перемешиваемой суспензии 60% (масс./масс.) дисперсии гидрида натрия в масле (221 г) в тетрагидрофуране (2,5 л). После завершения добавления второй реакционной смеси давали нагреться до комнатной температуры в течение восемнадцати часов. Реакционную смесь затем охлаждали до -10oC и канюлировали в указанную выше смесь натриевой соли 3-бромпропановой кислоты в течение 3 часов. Реакционную смесь затем нагревали при 50oC в течение пяти часов. Реакционную смесь затем охлаждали, выливали в воду (8 л) и подщелачивали до pH 9,3 при помощи водного раствора бикарбоната натрия. Эту смесь промывали дихлорметаном (5 х 2,5 л) и водную часть подкисляли до pH 1,0, используя концентрированную хлористоводородную кислоту. Водный раствор экстрагировали дихлорметаном (4 х 2,5 л), и органические слои объединяли, сушили с использованием безводного сульфата магния, фильтровали и фильтрат концентрировали при пониженном давлении, получая желтое масло. Это масло затем растирали с гексаном (1,5 л), получая указанное в заголовке соединение в виде твердого продукта кремового цвета (1153,3 г), который использовали без какой-либо дальнейшей очистки. Rf ТСХ = 0,42 (диоксид кремния, метанол: дихлорметан, 1:9 по объему). LRMS m/z = 316 (m+NH4)+. 1H-NMR (CDCl3): = 2.15-2.8 (m, 6H), 5.1-5.25 (m, 2H), 5.55-5.7 (m, 1H), 7.2- 7.25 (m, 1H), 7.5-7.55 (m, 2H) ppm.
ПОЛУЧЕНИЕ 49Соль (R)-(+)-1-(1-нафтил)этиламина и 4(S)-4-циано-4-(3,4- дихлорфенил)гепт-6-еновой кислоты К раствору соединения ПОЛУЧЕНИЯ 48 (16 г) в этилацетате (50 мл) добавляли (R)-(+)-1-(1нафтил)этиламин (4,8 г). Раствор перемешивали в течение тридцати минут при комнатной температуре и затем- растворитель удаляли при пониженном давлении, получая смолу. Смолу частично растворяли в смеси гексан:диэтиловый эфир (4:1 по объему, 150 мл) и стенки колбы царапали для индуцирования кристаллизации. Образуемый белый продукт отделяли фильтрованием и перекристаллизовали три раза из этилацетата, получая указанное в заголовке соединение (4,9 г). Т. пл. 153-154oC. [ ]25589-7.1o (с = 0.0012).
1H-NMR (CDCl3): = 1.6 (d, 3H),2.0-2.2 (m. 2H), 2.25-2.5 (m, 2H), 2.5-2.7 (m, 2H), 3.8-4.1 (s, br, 3H), 5.0-5.2 (m, 3H), 5.5-5.7 (m, 1H), 7.15-7.25 (m, 1H), 7.4-7.6 (m, 6H), 7.75 (d, 1H), 7.9 (d, 1H), 8.1 (d, 1H).
ПОЛУЧЕНИЕ 504(S)-4-Циано-4-(3,4-дихлорфенил)гепт-6-еновая кислота К перемешиваемому раствору соединения ПОЛУЧЕНИЯ 49 (5,5 г) в дихлорметане (100 мл) добавляли 1 н. водный раствор хлористоводородной кислоты (100 мл). Водный слой затем удаляли и органическую порцию промывали 1 н. водным раствором хлористоводородной кислоты (70 мл). Органический слой сушили при помощи безводного сульфата магния, фильтровали и фильтрат выпаривали досуха при пониженном давлении, получая указанное в заголовке соединение (3,6 г). LRMS m/z = 316 (m+NH4)+. 1H-NMR (CDCl3): = 2.15-2.8 (m, 6H), 5.1-5.25 (m, 2H), 5.55-5.7 (m, 1H), 7.2-7.25 (m, 1H), 7.5- 7.55 (m, 2H).
ПОЛУЧЕНИЕ 513(S)-3-(3,4-Дихлорфенил)-3-аллилпиперидин ![]() К смеси литийалюминийгидрида (867 мг, 2 мол. экв.) в тетрагидрофуране (30 мл) при 0oC в атмосфере азота по каплям добавляли раствор 4(S)-4-циано-4-(3,4-дихлорфенил)гепт-6-еновую кислоту (3,4 г, 11,41 моль) (ПОЛУЧЕНИЕ 50) в тетрагидрофуране (30 мл). Смесь перемешивали в течение двух часов. Осторожно добавляли воду (20 мл), затем водный раствор гидроксида натрия (2 х 20 мл). Твердую часть отделяли фильтрованием и фильтровальную лепешку промывали трет-бутил-метиловым эфиром (100 мл). Органическую фазу затем сушили над безводным сульфатом магния и фильтровали. Растворитель удаляли при пониженном давлении. Остаток очищали колоночной флэш-хроматографией с использованием силикагеля и градиентного элюирования (этилацетат:метанол, градиент: 98: 2, 19: 1, 9:1 по объему), получая (а) указанное в заголовке соединение, которое было загрязнено (в) (S)-4-(аминометил)-4- (3,4-дихлорфенил)гепт-6-ен-1-олом (2,55 г), которое использовали без дальнейшей очистки. LRMS m/z 270 (М+1)+. ПОЛУЧЕНИЯ 52 3(S)-1-Бензоил-3-(3,4-дихлорфенил)-3-аллилпиперидин ![]() К раствору соединения (ПОЛУЧЕНИЕ 51) (2,55 r) в дихлорметане (70 мл) при 0oC в атмосфере азота добавляли триэтиламин (3,9 мл) и бензоилхлорид (1,43 мл). Смесь перемешивали в течение 15 минут. Добавляли дихлорметан (50 мл), раствор промывали хлористоводородной кислотой (2 н., 2 х 200 мл) и органическую фазу сушили над безводным сульфатом магния. Раствор фильтровали и растворитель удаляли при пониженном давлении, получая остаток, который хроматографировали на силикагеле при градиентном элюировании смесью растворителей гексан: этилацетат (градиент от 9:1 до 1:4 по объему). Этот продукт (2,02 г) затем перемешивали вместе с 2% раствором гидроксида натрия в метаноле (60 мл) в течение одного часа. Добавляли дихлорметан (60 мл), смесь промывали водой (100 мл) и органическую фазу сушили над безводным сульфатом магния. Раствор фильтровали и растворитель удаляли при пониженном давлении, получая остаток. Его хроматографировали на силикагеле при градиентном элюировании смесью гексан:этилацетат (градиент от 4:1 до 2:3 по объему), получая указанное в заголовке соединение (1,24 г). LRMS m/z 374 (М+1)+. Rf ТСХ = 0,59 (диоксид кремния, гексан:этилацетат 1:1 по объему). 1H-NMR (CDCl3) : 1.35-1.7 (m. 2H), 1.8-1.9 (m, 2H), 2.1-2.2 (m, 1H), 2.3- 2.5 (m, 2H), 3.2-3.8 (m, 2H), 4.5-4.6 (m, 1H), 4.9-5.1 (m, 2H), 5.4-5.5 (m, 1H), 7.2-7.6 (m, 8H).
ПОЛУЧЕНИЕ 533(S)-Бензоил-3-(3,4-дихлорфенил)-3-(3-гидроксипропил)пиперидин ![]() К 9-борацикло[3.3.1]нонану (22,06 мл, 0,5 М раствор в тетрагидрофуране) добавляли раствор соединения ПОЛУЧЕНИЯ 52 (825 мг, 2,21 ммоль) в тетрагидрофуране (15 мл). Смесь перемешивали при комнатной температуре в течение 90 минут. Затем добавляли водный раствор гидроксида натрия (3,7 мл, 3 М раствор) и этанол (7 мл) и смесь охлаждали на бане со льдом и водой. Затем по каплям добавляли пероксид водорода (3,7 мл, 30% масс./масс. водный раствор) и раствор перемешивали в течение одного часа. Добавляли этилацетат (50 мл) и раствор промывали водой (2 х 50 мл) и органическую фазу сушили над безводным сульфатом магния. Раствор фильтровали и растворитель удаляли при пониженном давлении. Остаток растворяли в дихлорметане (20 мл) и раствор охлаждали на ледяной бане. Добавляли триэтиламин (1,5 мл, 5 мол. экв.) и бензоилхлорид (0,65 мл, 2,5 мол. экв.) и смесь перемешивали в течение 40 минут. Добавляли дихлорметан (50 мл) и смесь промывали водной хлористоводородной кислотой (2 х 50 мл, 2 М раствор). Органическую фазу сушили над безводным сульфатом магния, фильтровали и растворитель удаляли при пониженном давлении. Остаток перемешивали вместе с 4% раствором гидроксида натрия в метаноле (50 мл) в течение одного часа. Добавляли дихлорметан (60 мл) и смесь промывали водой (100 мл). Органическую фазу сушили над безводным сульфатом магния. Раствор фильтровали и растворитель удаляли при пониженном давлении, получая остаток, который хроматографировали на силикагеле при градиентном элюировании смесью гексан: этилацетат (градиент от 4:1 до 1:3 по объему), получая указанное в заголовке соединение (320 мг). LRMS m/z = 392 (M+1)+. Rf TCX = 0,22 (диоксид кремния, гексан:этилацетат, 2: 3 по объему). 1H-NMR (CDCl3): 1.1-1.3 (m, 1H), 1.4-1.55 (m, 2H), 1.6-1.95 (m, 6H), 2.1-2.2 (m, 1H), 3.3-3.85 (m, 4H), 4.25-4.35 (m, 1H), 7.25-7.5 (m, 8H).
ПОЛУЧЕНИЕ 543(R)-1-Бензоил-3-(3,4дихлорфенил)-3-(3-метансульфонилоксипропил) пиперидин ![]() К раствору соединения ПОЛУЧЕНИЯ 53 (320 мг, 0,82 моль) в дихлорметане (10 мл) в атмосфере азота, охлажденному на бане со льдом и водой, добавляли триэтиламин (0,34 мл, 3 мол. экв.) и метансульфонилхлорид (0,096 мл, 1,5 мол. экв.). Смесь перемешивали в течение пятнадцати минут. Затем добавляли дихлорметан (50 мл) и раствор промывали водой (100 мл). Органическую фазу сушили над безводным сульфатом магния, фильтровали и растворитель удаляли при пониженном давлении, получая указанное в заголовке соединение (390 мг), которое использовали без дальнейшей очистки. Rf ТСХ = 0,28 (диоксид кремния, гексан:этилацетат, 2:3 по объему). 1H ЯМР (CDCl3): 1,25-4,4 (м, 17H), 7,25-7,55 (м, 8H).
Пример фармацевтической композиции.
Таблетки прямого прессования.
СОСТАВ – мг/таблеткуАктивный ингредиент – 50,00 Микрокристаллическая целлюлоза Ph Eur – 50,00 Лактоза Ph Eur – 121,76 Натрийкроскармелоза NF – 2,00 Стеарат магния Ph Eur – 2,00 Активный ингредиент просеивают и смешивают с другими компонентами. Полученную смесь прессуют в таблетки, используя роторный таблетировочный пресс (Manestry Betapress), снабженный 6 мм нормально вогнутыми пуансонами. Полученные таблетки могут быть покрыты пленкой из подходящего пленкообразующего материала. ФАРМАКОЛОГИЧЕСКИЕ ДАННЫЕ Представительная выборка соединений примеров была испытана in vitro на их способность ингибировать связывание [3H]-вещества P с мембранами, полученными из клеточной линии IM9 человека, экспрессирующей рецептор NK1 человека (Метод A), на их сродство к рецептору NK2 человека путем испытания их способности конкурировать с [125I]МКА при связывании с мембранами, полученными из клеток яичника китайского хомячка, экспрессирующих клонированный рецептор NK2 человека (Метод B), на их способность создавать антагонизм сократительному действию селективного агониста рецептора NK2, [ Ala8]NKA(4-10) в легочной артерии кролика (Метод C) и на их способность создавать антагонизм сократительному действию селективного агониста рецептора NK3 сенктида в подвздошной кишке морских свинок (метод D) способами, описанными на с. 40-41 описания.
Результаты приведены в таблице 3.
Из представленных данных следует, что соединения по изобретению пригодны в качестве антагонистов рецепторов тахикинина, действующих у рецептора нейрокинина-1 человека (NK1), нейрокинина-2 человека (NK2) или нейрокинина-3 человека (NK3).
Из уровня техники (Pharmacological Research, 36(2), 153-169(1997)) известно, что в развитие таких болезненных состояний, как воспалительная болезнь, такая как артрит, псориаз, астма или воспалительная болезнь кишечника (см. Can. J. Physiol Pharmacol, 73(7), 843-847(1995) и Br.J.Pharmcol, 120, 1263-73(1997)), нарушение центральной нервной системы (ЦHС), такое как страх, депрессия, деменция или психоз (см. Regulatory Peptides, 46,9-19(1993)), желудочно-кишечное (ЖК) нарушение, такое как функциональная болезнь кишечника, синдром раздраженной толстой кишки, гастро-эзофагеальный рефлекс, недержание кала, колит или болезнь Крона (см. Cell Tissue Res, 286(3), 281-292(1996)), нарушение мочеполового тракта, такое как недержание мочи, гиперрефлексия или цистит (см. Br. J Pharmacol, 115, 875-882 (1995)), легочное нарушение, такое как хроническая закупорка дыхательных путей (см. Arch Int Pharmacodyn Ther, 329(1), 205-219 (1995) и Eur Respir J, 6(5), 735-742 (1993)), аллергия, такая как экзема, контактный дерматит или ринит, повышенная чувствительность, такая как чувствительность к ядовитому плющу (см. J Pharmacol Exp Ther, 262(2), 646-653 (1992)), периферическая невропатия, такая как диабетическая невропатия, невралгия, каузалгия, болезненная невропатия, ожог, герпетическая невралгия или послегерпетическая невралгия (CM. J Neurosci, 14 (6), 3672-3687(1994)), кашель (см. Eur J Pharmacol, 250(1), 169-171(1993)) или острая или хроническая боль (см. Br J Pharmacol, 120, 1263-1273 (1997)), вовлечены NК-рецепторы, и при лечении таких заболеваний наблюдается терапевтический эффект от использования антагонистов этих рецепторов. Поскольку заявленные соединения проявляют антагонистическую активность в отношении NK1, NK2 и NK3 рецепторов, они могут использоваться при лечении указанных заболеваний. То есть налицо подтверждение возможности использования соединений по изобретению при лечении заболеваний, для которых показан антагонистический эффект на тахикинин, действующий у рецептора нейрокинина-1 человека (NK1), нейрокинина- 2 человека (NK2) или нейрокинина-3 человека (NK3) или комбинации двух или более их.
Формула изобретения
![]() или их фармацевтически приемлемые соли, где R представляет C3-C7 циклоалкил, C1-C6 алкил, замещенный C3-C7 циклоалкилом, или фенил, возможно замещенный OR5, где R5 представляет C1-C4 алкил; A представляет CO или SO2; R1 представляет фенил, замещенный двумя галоидными заместителями; R2 представляет группу формулы ![]() где R5, R6, R7 представляет H; X2 представляет простую связь; W представляет O, NSO2NR5R6, NSO2(C1-C4) алкил; n равно 1; X1 представляет простую связь; X представляет C1-C4 алкилен; m равно 0 или 1. 2. Соединение или соль по п.1, где R представляет фенил, C3-C7 циклоалкил или C1-C6 алкил, замещенный C3-C7 циклоалкилом. 3. Соединение или соль по любому одному из предыдущих пунктов, где A представляет CO. 4. Соединение или соль по любому одному из предыдущих пунктов, где R2 представляет группу формулы ![]() где R5 и R6 представляют H; R представляет H; W представляет O, NSO2(C1-C4) алкил, NSO2NR5R6; n равно 1; 5. Соединение или соль по любому одному из предыдущих пунктов, где X представляет этилен или пропилен. 6. Соединение или соль по любому одному из предыдущих пунктов, которое имеет стереохимию, показанную в формуле IA ![]() 7. Соединение или соль по любому одному из предыдущих пунктов, где (i) R представляет фенил; A представляет CO; R1 представляет 3,4-дихлорфенил; R2 представляет морфолино; X представляет пропилен; X1 представляет простую связь и m равно 1; (ii) R представляет фенил; A представляет CO; R1 представляет 3,4-дихлорфенил; R2 представляет 4-аминосульфонилпиперазин-1-ил; X представляет пропилен; X1 представляет простую связь и m равно 1; (iii) R представляет циклогексил; A представляет CO; R1 представляет 3,4-дихлорфенил; R2 представляет морфолино; X представляет пропилен; X1 представляет простую связь и m равно 1; (iv) R представляет циклогексил; A представляет CO; R1 представляет 3,4-дихлорфенил; R2 представляет 4-аминосульфонилпиперазин-1-ил; X представляет пропилен; X1 представляет простую связь и m равно 1; (v) R представляет циклопропил; A представляет CO; R1 представляет 3,4-дихлорфенил; R2 представляет морфолино; X представляет пропилен; X1 представляет простую связь и m равно 1; (vi) R представляет циклопропил; A представляет CO, R1 представляет 3,4-дихлорфенил; R2 представляет 4-аминосульфонилпиперазин-1-ил; X представляет пропилен; X1 представляет простую связь и m равно 1; (vii) R представляет фенил; A представляет CO; R1 представляет 3,4-дихлорфенил; R2 представляет морфолино; X представляет этилен; X1 представляет простую связь и m равно 0; (viii) R представляет 2-метоксифенил; A представляет CO; R1 представляет 3,4-дихлорфенил; R2 представляет морфолино, X представляет этилен; X1 представляет простую связь и m равно 0; (ix) R представляет фенил; A представляет CO; R1 представляет 3,4-дихлорфенил; R2 представляет морфолино; X представляет этилен; X1 представляет простую связь и m равно 1; (x) R представляет 2-метоксифенил; A представляет CO; R1 представляет 3,4-дихлорфенил; R2 представляет морфолино; X представляет этилен; X1 представляет простую связь и m равно 1; (xi) R представляет фенил; A представляет SO2; R1 представляет 3,4-дихлорфенил; R2 представляет морфолино; X представляет этилен; X1 представляет простую связь и m равно 1; (xii) R представляет циклопропилметил; A представляет CO; R1 представляет 3,4-дихлорфенил; R2 представляет морфолино; X представляет этилен; X1 представляет простую связь и m равно 1; (xiii) R представляет циклопропилметил; A представляет CO; R1 представляет 3,4-дихлорфенил; R2 представляет 4-метансульфонилпиперазин-1-ил; X представляет этилен; X1 представляет простую связь и m равно 1 или (xiv) R представляет фенил; A представляет CO; R1 представляет 3,4-дихлорфенил; R2 представляет 4-аминосульфонилпиперазин-1-ил; X представляет пропилен; X1 представляет простую связь и m равно 1. 8. Соединение или соль по любому одному из пп.1 – 7 для использования в качестве лекарственного средства, обладающего активностью антагониста рецепторов NK1, NR2 или NK3, или комбинации двух или более их. 9. Фармацевтическая композиция, обладающая активностью антагониста рецепторов NK1, NK2 или NK3, содержащая соединение или соль по любому одному из предыдущих пунктов и фармацевтически приемлемый разбавитель или носитель. 10. Композиция по п.9 для использования в качестве лекарственного средства, обладающего активностью антагониста рецепторов NK1, NR2 или NK3 или комбинации двух или более их. 11. Способ лечения человека от болезни, для которой показан антагонистический эффект на тахикинин, действующий у рецептора нейрокинина-1 человека (NK1), нейрокинина-2 человека (NK2) или нейрокинина-3 человека (NK3) или комбинации двух или более их, путем введения эффективного количества соединения или соли по любому одному из пп.1 – 7 или его композиции по п.9. 12. Способ по п. 11, где болезнь представляет воспалительную болезнь, такую, как артрит, псориаз, астма или воспалительная болезнь кишечника, нарушение центральной нервной системы (ЦНС), такое, как страх, депрессия, деменция или психоз, желудочно-кишечное (ЖК) нарушение, такое, как функциональная болезнь кишечника, синдром раздраженной толстой кишки, гастроэзофагеальный рефлекс, недержание кала, колит или болезнь Крона, нарушение мочеполового тракта, такое, как недержание мочи, гиперрефлексия или цистит, легочное нарушение, такое, как хроническая закупорка дыхательных путей, аллергию, такую, как экзема, контактный дерматит или ринит, повышенную чувствительность, такую, как чувствительность к ядовитому плющу, периферическую невропатию, такую, как диабетическая невропатия, невралгия, каузалгия, болезненная невропатия, ожог, герпетическая невралгия или послегерпетическая невралгия, кашель или острая или хроническая боль. 13. Соединение формулы II ![]() где R, A, R1 и m такие, как определены в п.1, или формулы XXIII ![]() где X, R, A, R1 и m такие, как определены в п.1, и Z3 представляет метансульфонилокси. 14. Способ получения соединения или соли по любому из пп.1 – 7, где X представляет группу (C0-C3 алкилен)CH2-, метиленовая группа которой соединена с атомом азота азетидина, и R, R1, A, R2, X1 и m такие, как определено в п.1, включающий восстановительное аминирование с использованием в качестве исходных материалов соединения формулы II ![]() где R, A, R1 и m такие, как ранее определено для соединения формулы I, и соединения формулы III ![]() или его кислотно-аддитивной соли, где R2 и X1 такие, как определено в п. 1. 15. Способ получения соединения или соли по любому из пп.1 – 7, отличающийся тем, что когда X, X1, R, A, R1, R2 и m такие, как определено в п.1, включает реакцию соединения формулы XXIII ![]() где X, R, A, R1 и m такие, как определено в п.1 и Z3 представляет метансульфонилокси, с соединением формулы III ![]() где R2 и X1 такие, как определено в п.1. РИСУНКИ
MM4A Досрочное прекращение действия патента Российской Федерации на изобретение из-за неуплаты в установленный срок пошлины за поддержание патента в силе
Дата прекращения действия патента: 10.12.2003
Извещение опубликовано: 10.05.2005 БИ: 13/2005
|
||||||||||||||||||||||||||

























































































Ala8] NKA(4-10), в легочной артерии кролика с использованием способа Patacchini и Maggi, Eur. J. Pharmacol., 236, 31-37 (1993).
Соединения формулы (I) и их соли можно испытывать на активность антагониниста для рецептора NK2 in vivo путем испытания их способности ингибировать бронхостеноз, индуцированный [

0.5 CH2Cl2
= 0.95-1.1 (m), 1.2-1.5 (m), 1.55-1.9 (m), 2.0-2.1 (m), 2.25-2.3 (m), 2.4-2.6 (m), 2.9-3.0 (m), 3.25-3.4 (m), 3.6-3.7 (m), 7.2-7.4 (m).
ПРИМЕРЫ 2-8








: 0.05-0.15 (m,2H), 0.45-0.55 (m,2H), 0.9-1.0 (m,1H), 1.4-2.4 2.7-3.0 (m,6H), 3.2-4.4 (m.10H), 7.2-7.4 (m,3H).
ПРИМЕР 14









= 1.3-2.1 (m, 6H), 3.15-3.25 (m. 4H), 3.35-3.55 (m, 2H), 7.2-7.45 (m, 8H), 9.6 (s. br., 1H).
ПОЛУЧЕНИЯ 8, 9







= 2.4-2.6 (m, 4H), 2.95-3.15 (m, 4H), 3.35-3.5 (m, 1H), 3.8-4.1 (m, 4H), 6.6-6.8 (m, 2H), 8.6-8.85 (m, 3H).
ПОЛУЧЕНИЕ 17




= 1.45-2.0 (m, 6H), 2.3 (s, br.,2H), 2.7-2.8 (m. 1H), 2.85-2.95 (m, 1H), 3.1 (s, br., 2H), 3.35-3.55 (m, 2H), 7.1-7.2 (m, 1H), 7.35-7.4 (m, 2H).
Спектральные данные для (21):











= 1.9-2.4 (m, br., 4H), 3.3-4.1 (m, br., 6H), 5.5-5.9 (m, br., 2H), 7.0-7.6 (m, br., 7H).
ПОЛУЧЕНИЕ 35




= 1.85-1.95 (m, 1H), 2.0-2.25 (m, 4H), 2.35-2.4 (m, 1H), 3.45-3.55 (m, 1H), 3.65-3.75 (m, 2H), 3.8-3.9 (m, 3H), 4.35-4.4 (m, 1H), 6.15 (s, br., 1H), 7.2-7.45 (m, 3H) ppm.
ПОЛУЧЕНИЕ 40




= 1.4 (s, 9H), 2.45 (t, 4H), 3.8 (s, 3H), 3.1-3.2 (m, 1H), 3.2-3.3 (m, 4H), 3.75- 3.8 (m, 2H), 3.9-4.0 (m, 2H).
ПОЛУЧЕНИЕ 45



]25589-7.1o (с = 0.0012).
1H-NMR (CDCl3): 












