Патент на изобретение №2158263
|
||||||||||||||||||||||||||
(54) ЗАМЕЩЕННОЕ ПРОИЗВОДНОЕ АМИДИНОБЕНЗОЛА И ФАРМАЦЕВТИЧЕСКАЯ КОМПОЗИЦИЯ НА ЕГО ОСНОВЕ
(57) Реферат: Описывается новое замещенное производное амидинобензола общей формулы I или его соль, где R1 представляет группу, которая может быть превращена в амидиновую группу in vivo и выбрана из гидроксиамидиногруппы или низшей алкоксикарбониламидиногруппы; R2 и R3 являются одинаковыми или различными и каждый представляет собой карбоксильную группу или низший (алкокси)карбонильную группу; X1 и Х2 являются одинаковыми или различными и каждый представляет собой низшую алкиленовую группу; m равно 0 или 1, n равно 0 или 1, при условии, что когда m равно 0, то n равно 1, обладающее антагонистической активностью в отношении рецептора GPIIb/IIIа, которое может быть использовано в качестве лекарственного средства для облегчения ишемических сердечных заболеваний, в качестве вспомогательных средств при сердечных или сосудистых операциях, лекарственного средства для облегчения сердечно-сосудистых заболеваний и лекарственного средства для облегчения заболеваний периферических артерий. Кроме того, соединение может быть использовано в качестве пролекарств, обладающих чрезвычайно высокой пероральной абсорбционной способностью и продолжительностью действия. Описывается также фармацевтическая композиция на его основе. 2 с. и 3 з.п.ф-лы, 1 ил., 9 табл.
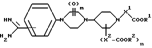
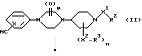
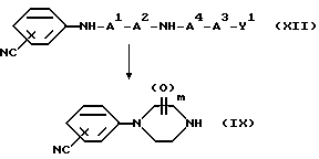
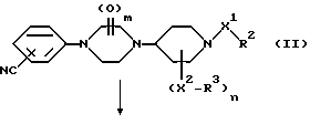
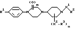
Область техники Настоящее изобретение относится к новым замещенным производным амидинобензола и их солям, которые могут быть использованы в качестве лекарственных средств, особенно как антагонисты GPIIb/IIIa. Предшествующий уровень техники В течение длительного времени после открытия, сделанного Donne в 1842 г. (см. С. R. Acad. Sci. (Paris), 14, 336-368, 1842), тромбоциты рассматривались как компонент крови, необходимый для гемостаза. В настоящее время найдено, что тромбоциты не только играют главную роль в механизме гемостаза крови, но также выполняют многочисленные функции при возникновении артериосклероза, нарушениях сердечно-сосудистой системы, включая тромботические нарушения, метастазы рака, воспаления, отторжения после трансплантации, а также иммунореакций и т.д., которые являются клинически значимыми. Тромботические и ишемические нарушения лечат восстановлением циркуляции крови, применяя лекарственные или физические средства. Однако недавно было обнаружено клинически проблематичное явление, заключающееся в том, что после восстановления кровообращения, в результате повреждения ткани кровеносных сосудов, включая эндотелиальные клетки и несбалансированное системное равновесие между фибринолизом и коагуляцией, вызванное самими лекарственными средствами и т. п. , усиливаются активация, адгезия и агрегация тромбоцитов. Например, было установлено, что после восстановления кровообращения в результате тромболитической терапии с использованием тканевого активатора плазминогена (t-PA) или т.п., активизируется фибринолитическая и коагулирующая активность, разрушая системное равновесие между фибринолизом и коагуляцией. Клинически она вызывает повторную окклюзию и поэтому представляет собой серьезную проблему в терапии (см. J. Am. Coil. Cardiol., 12, 616-623, 1988). С другой стороны, популярность приобретает чрезкожная внутрипросветная коронарная ангиопластика (PTCA), дающая в некоторой степени хорошие результаты при лечении расстройств, вызванных коронарным стенозом и аортостенозом, такими как стенокардия, инфаркт миокарда и т.д. Однако такая терапия ведет к серьезным проблемам, повреждая ткань кровеносных сосудов, включая эндотелиальные клетки, и вызывая острую коронарную обструкцию и даже повторный стеноз, имеющий место приблизительно в 30% терапевтических случаев. После такой терапии по восстановлению кровообращения тромбоциты играют главную роль в различных тромботических расстройствах (например, повторная окклюзия). Поэтому при таких расстройствах требуется использование противотромбоцитных агентов. Однако известные противотромбоцитные агенты не обладают удовлетворительной эффективностью. GPIIb/IIIa является мембранным гликопротеином тромбоцитов, принадлежащим к семейству интегринов (см. Blood, 80, 1386-1404, 1992). Интегрин связывается с адгезивными белками, такими как фибриноген, фактор фон Виллебрандта и т. д., и играет важную роль в терминале при агрегации тромбоцитов крови. Моноклональные антитела, направленные против GPIIb/IIIa, пептидов, имеющих последовательность RGD, и т.п., проявляют высокую ингибирующую активность в отношении агрегации тромбоцитов. Некоторые из них уже проходят клинические испытания. Непептидные, низкомолекулярные антагонисты GIIb/IIIa известны из Японской заявки на патент 4-288051 (антагонисты рецептора фибриногена сульфонамида, представленные следующим соединением: ![]() и опубликованной Японской заявки на патент 6-25227 (циклические иминопроизводные, представленные следующим соединением: ![]() и описаны в Leo et al., (см. JournaL of Medicinal Chemistry, 35, 4393-4407, 1992), где в качестве примера приведено следующее соединение: ![]() Пиперазиновые производные уксусной кислоты нижеприведенной общей формулы описаны в опубликованной патентной заявке PCT WО 93/10091: ![]() где X1 и Y1, одинаковые или различные, представляют собой CH или N; Х2=CH или, когда X1=CH, может также представлять собой N; Y2=N или, когда Y1=N, может также представлять собой CH; Z=N или N+R5 R1 представляет собой атом водорода или гидроксил, C1-4алкильную или 2,2,2-трифторэтиловую группу; R2 представляет собой атом водорода или, когда оба X1 и X2 = CH, может также представлять собой атом фтора, хлора или брома или C1-4алкильную группу; R3 представляет собой атом водорода или, когда оба Y1 и Y2=N, может также представлять собой C1-4алкильную или гидроксиметильную группу; R4 представляет собой атом водорода или, когда Z=N, R4 может также представлять C1-4алкильную группу; R5 представляет собой C1-4алкильную или фенил C1-4алкильную группу; R6 представляет собой атом водорода C1-4алкильную группу. Однако соединения, раскрытые в вышеуказанной заявке, являются ингибиторами агрегации тромбоцитов. Существует большая потребность в антагонистах GPIIb/IIIa, имеющих достаточную безопасность в широком интервале концентрации и определенный эффект при пероральном введении. Описание изобретения В данном изобретении раскрыты новые бензамидиновые производные, имеющие нижеприведенную формулу, которые, как обнаружено, обладают прекрасной активностью, антагонизирующей GPIIb/IIIa, включенные в заявку на патент (Японская заявка на патент N Hei-8-333342, kokai). ![]() где R1 и R2 имеют одинаковые или различные значения и каждый из них представляет собой атом водорода или эфирный остаток; X1 представляет собой низшую алкиленовую группу; X2 представляет собой одинарную связь или низшую алкиленовую группу; m = 0, 1 или 2; n = 0 или 1, при условии, что n = 1, когда m = 0. В результате дальнейших обширных исследований было обнаружено, что новые замещенные производные амидинобензола, полученные превращением этих производных амидинобензола в пролекарства по амидиновой группе, обладают чрезвычайно высокой пероральной абсорбционной способностью и продолжительностью действия, что привело к созданию данного изобретения. Таким образом, настоящее изобретение относится к замещенным производным амидинобензола, имеющим следующую общую формулу (I), и их солям, а также фармацевтическим композициям, включающим такие соединения вместе с фармацевтически приемлемыми носителями. ![]() Символы в вышеприведенной формуле имеют следующие значения: R1 – группа, которая может быть превращена в амидиновую группу in vivo; R2 и R3 – одинаковые или различные, при этом каждый из них представляет собой карбоксильную группу или группу, которая может быть превращена в карбоксильную группу in vivo; X1 и X2 – одинаковые или различные, при этом каждый из них представляет собой низшую алкиленовую группу; m = 0, 1 или 2; n = 0 или 1, при условии, что n = 1, когда m = 0. В нижеприведенных формулах символы имеют такое же значение. Соединения по данному изобретению, структурно характеризуются тем, что заместитель R1 в бензольной группе является группой, которая может быть превращена в амидиновую группу in vivo, таким образом, эти соединения являются пролекарствами. Как указано выше, такое превращение в пролекарства приводит к чрезвычайно высокой пероральной абсорбционной способности и сопутствующему продолжительному действию. Второй характеристикой является то, что (1) данные соединения имеют две карбоксильные группы или группу, которая может быть превращена в карбоксильную группу in vivo в пиперидиновом кольце, и/или (2) данные соединения имеют одну или две оксогруппы в пиперазиновом кольце. На основе такой структуры соединения по данному изобретению обладают прекрасным антагонизирующим действием в отношении GPIIb/IIIa. Предпочтительными соединениями данного изобретения вышеприведенной общей формулы (I) являются следующие: – замещенные производные амидинобензола или их соли, где по крайней мере один из R2 и R3 представляет собой группу, которая может быть превращена в карбоксильную группу in vivo (т.е. соединения, которые были превращены в пролекарства, как по амидиновой группе, так и по карбоксильной группе (так называемые двойные пролекарственные соединения)); – замещенные производные амидинобензола или их соли, где группа R1, которая может быть превращена в амидиновую группу in vivo, представляет собой группу, выбранную из гидроксиамидиногруппы, низшей алкоксикарбониламидиногруппы, низшей алкоксиамидиногруппы и низшей алканоиламидиногруппы; – замещенные производные амидинобензола или их соли, где группа R2 и R3, которая может быть превращена в карбоксильную группу in vivo, представляет собой группу, выбранную из низшей алкоксикарбонильной группы, низшей алкокси-низшей алкоксикарбонильной группы, низшей алкокси-низшей алкокси-низшей алкоксикарбонильной группы, галогено-низшей алкоксикарбонильной группы, низшей алкенилоксикарбонильной группы, низшей алканоилокси-низшей алкоксикарбонильной группы, низшей алкеноил-окси-низшей алкоксикарбонильной группы, низшей алканоил-низшей алкоксикарбонильной группы, низшей алкеноил-низшей алкоксикарбонильной группы, низшей алкокси-низшей алканоилокси-низшей алкоксикарбонильной группы, низшей алкоксикарбонилокси- низшей алкоксикарбонильной группы, низшей алкокси-низшей алкоксикарбонил-окси-низшей алкоксикарбонильной группы, ди-низшей алкиламино-низшей алкоксикарбонильной группы, циклоалкилоксикарбонилокси-низшей алкоксикарбонильной группы, низшей алкоксибензилоксикарбонильной группы, нитробензилоксикарбонильной группы, низшей алкоксибензгидрилоксикарбонильной группы, бензгидрилоксикарбонильной группы, бензоилокси-низшей алкоксикарбонильной группы, 2-оксо-тетрагидрофуран-5- илоксикарбонильной группы, 2-оксо-5-алкил-1,3-диоксолен-4-илметоксикарбонильной группы, тетрагидрофуранилкарбонилоксиметоксикарбонильной группы и 3-фталидилоксикарбонильной группы; и – замещенные производные амидинобензола или их соли, где m = 1. Более предпочтительными соединениями являются замещенные производные амидинобензола или их соли, где m = 1, а n = 0. Особенно предпочтительными соединениями являются соединения, указанные ниже, или их соли: этил-4-[4-(4-гидроксиламидинофенил)-3-оксо-1-пиперазинил] -1-пиперидинацетат, метил 4-[4-(4-гидроксиламидинофенил)-3-оксо-1-пиперазинил]-1- пиперидинацетат, этил 4-[4-(4-метоксикарбониламилинофенил)-3-оксо-1-пиперазинил] -1-пиперидинацетат, метил 4-[4-(4-метоксикарбониламидинофенил)-3-оксо-1-пиперазинил] -1-пиперидинацетат и этил 4-[4-(4- этоксикарбониламидинофенил)-3-оксо-1-пиперазинил]-1- пиперидинацетат. Среди этих соединений наиболее предпочтительным соединением является этил 4-[4-(4-гидроксиламидинофенил)-3-оксо-1-пиперазинил]-1-пиперидинацетат или его соли. Другие предпочтительные соединения включают замещенные производные амидинобензола или их соли, где m = 0, а n = 1, в частности, замещенные производные амидинобензола или их соли, где как R2, так и R3 представляют собой группу, которая может быть превращена в карбоксильную группу in vivo. Далее соединения (I) по данному изобретению описаны подробно. Если не указано иначе, термин “низший”, используемый в данном описании для определения заместителей в общих формулах, относится к линейной или разветвленной углеродной цепи, имеющей от 1 до 6 атомов углерода. Соответственно “низшая алкиленовая группа”, представленная X1 и X2 в общей формуле (I), представляет собой линейную или разветвленную алкиленовую группу, имеющую от 1 до 6 атомов углерода, и ее примеры включают метиленовую группу, этиленовую группу, метилметиленовую группу, триметиленовую группу, пропиленовую группу, 2-пропиленовую группу, диметилметиленовую группу, тетраметиленовую группу, 1-метилтриметиленовую группу, 2-метилтриметиленовую группу, 3-метилтриметиленовую группу, 1-этилэтиленовую группу, 2-этилэтиленовую группу, 2,2-диметилэтиленовую группу, 1,1-диметилэтиленовую группу, этилметилметиленовую группу, пропилметиленовую группу, пентаметиленовую группу, 1-метилтетраметиленовую группу, 2-метилтетраметиленовую группу, 3-метилтетраметиленовую группу, 4-метилтетраметиленовую группу, 1,1-диметилтриметиленовую группу, 2,2-диметилтриметиленовую группу, 3,3-диметилтриметиленовую группу, 1,3-диметилтриметиленовую группу, 2,3-диметилтриметиленовую группу, 1,2-диметилтриметиленовую группу, 1-этилтриметиленовую группу, 1,1,2-триметилэтиленовую группу, диэтилметиленовую группу, 1-пропилэтиленовую группу, 2-пропилэтиленовую группу, бутилметиленовую группу, гексаметиленовую группу, 1-метилпентеметиленовую группу, 1,1-диметилтетраметиленовую группу, 2,2-диметилтетраметиленовую группу, 3,3-диметилтетраметиленовую группу, 4,4-диметилтетраметиленовую группу, 1,1,3-триметилтриметиленовую группу, 1,1,2-триметилтриметиленовую группу, 1,1,2,2- тетраметиленовую группу, 1,1-диметил-2-этилэтиленовую группу, 1,1-диэтилэтиленовую группу, 1-пропилтриметиленовую группу, 2-пропилтриметиленовую группу, 3-пропилтриметиленовую группу, 1-бутилэтиленовую группу, 2-бутилэтиленовую группу, 1-метил-1-пропилэтиленовую группу, 2- метил-2-пропилэтиленовую группу, 1-метил-2-пропилэтиленовую группу, 2-метилпропилэтиленовую группу, пентилметиленовую группу, бутилметилметиленовую группу, этилпропилметиленовую группу и т.п. Среди этих групп предпочтительными являются прямые алкиленовые группы, имеющие от 1 до 3 атомов углерода, а наиболее предпочтительными являются метиленовая группа и этиленовая группа. “Группа, которая может быть превращена в амидиновую группу in vivo” R1, и “группа, которая может быть превращена в карбоксильную группу in vivo” R2 и/или R3, представляют собой группы, которые являются составной частью соединения, которое может быть активным агентом в лекарственных препаратах, или группу, являющуюся составной частью амидинового пролекарства, которое может быть метаболизировано in vivo с получением амидинового соединения, в качестве активного вещества в первом случае, или группу, являющуюся частью карбоновой кислоты пролекарства, которая может быть метаболизирована in vivo с образованием соединения карбоновой кислоты в качестве активного вещества в последнем случае. “Группа, которая может быть превращена в амидиновую группу in vivo”, и “группа, которая может быть превращена в карбоксильную группу in vivo”, может быть определена путем введения соединения по данному изобретению человеку или другим животным и анализа метаболизированного продукта с помощью обычных аналитических методов. Другими словами, первая может быть определена как соединение, имеющее амидиновую группу после метаболизма in vivo, а вторая может быть определена как соединение, имеющее карбоксильную группу после метаболизма in vivo. Соответственно “группа, которая может быть превращена в амидиновую группу in vivo R1, включает замещенные амидиногруппы, которые, могут быть гидролизованы при метаболизме in vivo, т.е. группы, образующие пролекарство, основанное на амидиновой группе. Замещенная амидиновая группа включает гидроксиамидиногруппу, низшую алкоксикарбониламидиногруппу, низшую алкоксиамидиногруппу и низшую алканоиламидиногруппу. Предпочтительными являются гидроксиамидиногруппа и низшая алкоксикарбониламидиногруппа, а особенно предпочтительной является гидроксиамидиногруппа. “Группа, которая может быть превращена в карбоксильную группу in vivo” R2 и/или R3, включает замещенные гидроксильные группы, которые могут быть гидролизованы при метаболизме in vivo, т.е. группы, образующие пролекарство, основанное на карбоксильной группе. Замещенная карбоксильная группа включает незамещенную низшую алкоксикарбонильную группу и замещенные низшие алкоксикарбонильные группы с прямой цепью, например низшая алкокси-низшая алкоксикарбонильная группа, низшая алкокси-низшая алкокси-низшая алкоксикарбонильная группа, галогено-низшая алкоксикарбонильная группа, низшая алкенилоксикарбонильная группа, низшая алканоилокси-низшая алкоксикарбонильная группа, низшая алкеноилокси-низшая алкоксикарбонильная группа, низшая алканоил-низшая алкоксикарбонильная группа, низшая алкеноил-низшая алкоксикарбонильная группа, низшая алкокси-низшая алканоилокси- низшая алкоксикарбонильная группа, низшая алкоксикарбонилокси-низшая алкоксикарбонильная группа, низшая алкокси-низшая алкоксикарбонилокси-низшая алкоксикарбонил группа, ди-низшая алкиламино-низшая алкоксикарбонильная группа, циклоалкилоксикарбонилокси-низшая алкоксикарбонильная группа, низшая алкоксибензилоксикарбонильная группа, нитробензилокси-карбонильная группа, низшая алкоксибензгидрилоксикарбонильная группа, бензгидрилоксикарбонильная группа, бензоилокси-низшая алкоксикарбонильная группа, 2-оксотетрагидрофуран-5-илоксикарбонильная группа, 2-оксо-5-алкил-1,3-диоксолен-4-илметоксикарбонильная группа, тетрагидрофуранилкарбонилоксиметоксикарбонильная группа и 3-фталидилоксикарбонил группа. Предпочтительными группами являются незамещенная низшая алкоксикарбонильная группа и замещенные низшие алкоксикарбонильные группы с прямой цепью, например низшая алкокси-низшая алкоксикарбонильная группа, низшая алкокси-низшая алкокси-низшая алкоксикарбонильная группа, галогено-низшая алкоксикарбонильная группа, низшая алкенилоксикарбонильная группа, низшая алканоилокси-низшая алкоксикарбонильная группа, низшая алкеноилокси-низшая алкоксикарбонильная группа, низшая алканоил-низшая алкоксикарбонильная группа, низшая алкеноил-низшая алкоксикарбонильная группа, низшая алкокси-низшая алканоилокси-низшая алкоксикарбонильная группа, низшая алкоксикарбонилокcи-низшая алкоксикарбонильная группа, низшая алкокси-низшая алкоксикарбонилокси-низшая алкоксикарбонильная группа, ди-низшая алкиламино-низшая алкоксикарбонильная группа, циклоалкилоксикарбонилокси-низшая алкоксикарбонильная группа, 2-оксо-5-алкил-1,3-диоксолен-4-илметокси-карбонильная группа и 3-фталидилоксикарбонильная группа. Более предпочтительной группой является низшая алкоксикарбонильная группа, а особенно предпочтительными являются метоксикарбонильная группа и этоксикарбонильная группа. “Низшая алкильная группа” включает, например, метильную группу, этильную группу, пропильную группу, изопропильную группу, бутильную группу, изобутильную группу, втор.-бутильную группу, трет.-бутильную группу, пентильную группу, изопентильную группу, неопентильную группу, трет.-пентильную группу, 1-метилбутильную группу, 2-метилбутильную группу, 1,2-диметилпропильную группу, гексильную группу, изогексильную группу, 1-метилпентильную группу, 2-метилпентильную группу, 3-метилпентильную группу, 1,1-диметилбутильную группу, 1,2-диметилбутильную группу, 2,2-диметилбутильную группу, 1,3-диметилбутильную группу, 2,3-ди- метилбутильную группу, 3,3-диметилбутильную группу, 1-этилбутильную группу, 2-этилбутильную группу, 1,1,2-триметилпропильную группу, 1,2,2-триметилпропильную группу, 1-этил-1-метилпропильную группу, 1-этил-2-метилпропильную группу и т.п. “Низшая алкоксильная группа” соответствует гидроксильной группе, атом водорода в которой замещен вышеуказанной низшей алкильной группой, такой как метоксигруппа, этоксигруппа, пропоксигруппа, изопропоксигруппа, бутоксигруппа, изобутоксигруппа, втор. -бутоксигруппа, трет.-бутоксигруппа, пентилокси-(амилокси) группа, изопентилоксигруппа, трет.-пентилоксигруппа, неопентилоксигруппа, 2-метилбутоксигруппа, 1,2-диметилпропоксигруппа, 1-этилпропоксигруппа, гексилоксигруппа и т.п., предпочтительно метоксигруппа, этоксигруппа и трет.- бутоксигруппа. “Низшая алканоильная группа” предпочтительно имеет от 2 до 6 атомов углерода (например, ацетил, пропионил, пивалоил и т.п.); “низшая алкеноильная группа” предпочтительно имеет от 3 до 6 атомов углерода (акрилоильная группа, кротоноильная группа, малеоильная группа и т.п.); “циклоалкильная группа” предпочтительно имеет от 3 до 8 атомов углерода, более предпочтительно – от 3 до 6 атомов углерода (например, циклопропил, циклопентил, циклогексил и т.п.). “Низшая алкенильная группа” предпочтительно имеет от 2 до 6 атомов углерода (например, винильная группа, аллильная группа, 1-пропенильная группа и т.п.). “Галогено-низшая алкильная группа” соответствует вышеуказанной низшей алкильной группе, в которой один или более атомов водорода замещены атомом(ами) галогена, и включает фторметильную группу, хлорметильную группу, бромметильную) группу, иодометильную группу, 1-хлороэтильную группу, 2-хлороэтильную группу, ди-хлорметильную группу, трифторметильную группу, дихлорбромметильную группу и т.п. В основной структуре соединения (I) по данному изобретению остаток, представленный формулой ![]() означает оксопиперазиновое кольцо или диоксопиперазиновое кольцо. Примеры оксопиперазинового кольца в соответствии с данной заявкой приведены ниже: ![]() Среди этих колец предпочтительными являются кольца, представленные ![]() а наиболее предпочтительным является кольцо, представленное ![]() Соединения (I) по данному изобретению имеют по крайней мере один асимметричный атом углерода в зависимости от структуры пиперидинильной группы и ее заместителя (группы -X2-R3). В зависимости от других заместителей соединения (I) могут иметь дополнительный асимметричный атом(ы) углерода. Соединения по данному изобретению могут существовать в виде оптических изомеров в зависимости от этих асимметричных атомов углерода. Кроме того, они существуют в виде таутомерных изомеров в зависимости от карбонильных групп или амидиногрупп в заместителях, а также в виде геометрических изомеров в зависимости от двойных связей. Данное изобретение включает все выделенные изомеры этих оптических изомеров, таутомерных изомеров и геометрических изомеров, а также их смеси. Соединения (I) по данному изобретению могут быть превращены в соли. Примеры предпочтительных солей включают соли щелочных или щелочноземельных металлов, такие как соли натрия, калия и кальция; галогенводороды, такие как фтористый водород, хлористый водород, бромистый водород и йодистый водород; соли с неорганическими кислотами, такие как карбонаты, нитраты, перхлораты, сульфаты и фосфаты; низшие алкилсульфонаты, такие как метансульфонаты, трифторметансульфонаты и этансульфонаты; арилсульфонаты, такие как бензолсульфонаты и п-толуолсульфонаты; соли с органическими кислотами, такие как фумараты, сукцинаты, цитраты, тартраты, оксалаты и малеаты; соли с аминокислотами, такие как глутаматы и аспартаты. Кроме того, данное изобретение также включает гидраты и фармацевтически приемлемые сольваты соединений (I), а также полиморфные изомеры соединений (I) по данному изобретению. Фактически, данное изобретение не ограничено только соединениями, указанными в нижеприведенных примерах, а включает все замещенные производные амидинобензола общей формулы (I) и их фармацевтически приемлемые соли. Способы получения Некоторые типичные способы получения соединений по данному изобретению приведены ниже. Первый способ получения ![]() ![]() В формуле R2, R3, X1, X2, m и n имеют значения, указанные выше. R1a означает гидроксиамидиновую или низшую алкоксиамидиновую группу. Соединение (Ia) по данному изобретению может быть получено реакцией нитрильного соединения (II) с гидроксиламингидрохлоридом или низшим алкоксиамингидрохлоридом в соответствующем растворителе в присутствии основания. Соответствующим растворителем предпочтительно является растворитель инертный к реакции. Примеры таких инертных растворителей включают метанол, этанол, диметилформамид, диметилацетамид, тетрахлорэтан, дихлорметан, дихлорэтан, хлороформ, четыреххлористый углерод, тетрагидрофуран, диоксан, диметоксиметан, диэтоксиметан, этилацетат, бензол, толуол, ацетонитрил, диметилсульфоксид и т.д., а также смеси растворителей. Подходящий растворитель выбирают в зависимости от различных условий реакции. Примеры оснований включают натрий, гидрид натрия, метоксид натрия, этоксид натрия, карбонат калия, триэтиламид, пиридин и т.п. Примеры оснований, предпочтительно используемых в данной реакции, включают триэтиламин, метоксид натрия и этоксид натрия. Реакция может нормально проходить при комнатной температуре при нагревании или при нагревании с обратным холодильником, предпочтительно при нагревании с обратным холодильником. Второй способ получения ![]() ![]() В формуле R2, R3, X1, X3, m и n имеют значения, указанные выше. R4 означает низшую алкоксикарбонильную группу или низшую алканоильную группу. R1b означает низшую алкоксикарбониламидиновую группу или низшую алканоиламидиновую группу. Y означает уходящую группу, такую как атом галогена, гидроксильная группа, низшая алкоксигруппа, феноксигруппа, имидазолильная группа, арилсульфонилоксигруппа и уходящая группа активного производного карбоновой кислоты. Соединение (Ib) по данному изобретению может быть получено реакцией амидиносоединения (III) с соединением (IV) в присутствии соответствующего основания. Примеры соответствующих оснований включают вышеприведенные основания, предпочтительно гидроокись натрия, карбонат калия и триэтиламин. В этой реакции могут быть использованы растворители. Примеры используемых растворителей приведены выше. Примеры предпочтительных растворителей включают несмешивающиеся растворители, такие как вода-дихлорметан, тетрагидрофуран, диметилформамид и т.п. Активное производное карбоновой кислоты включает активные эфиры, получаемые реакцией с фенольным соединением, таким как п-нитрофенол или т.п., или с N-гидроксиаминовым соединением, таким как N-гидроксисукцинимид, 1-гидроксибензотриазол или т.п.; смешанные ангидриды кислоты, получаемые реакцией с моноалкилкарбонатом или органической кислотой, и смешанные фосфорильные ангидриды, получаемые реакцией с дифенилфосфорилхлоридом и N-метилморфолином; азиды кислоты, получаемые реакцией эфира с гидразином или алкилнитритом; галоидангидриды, такие как хлорангидриды кислоты, бромиды кислоты и т.д.; симметричные ангидриды кислоты и т.д. Другие способы получения Среди соединений (I) по данному изобретению соединения, имеющие карбоксильную группу, такую как R2 и/или R3, могут быть получены растворением соответствующих соединений, имеющих группу, которая может быть превращена в карбоксильную группу in vivo, такую как R2 и/или R3, в подходящем растворителе с последующим обычным гидролизом эфира в основных, кислых или нейтральных условиях. Примеры оснований, используемых в основных условиях, включают гидроксиды натрия, калия, лития, бария и т.п. Примеры кислот, используемых в кислых условиях, включают кислоты Льюиса (например, соляная кислота, серная кислота, трихлорид бора), трифторуксусную кислоту, п-толуолсульфоновую кислоту. В нейтральных условиях могут быть использованы ионы галогена (например, иодид и бромид лития), соли щелочных металлов (например, тиол и селенол), иодотриметилсилан и ферменты (например, эстераза). Примеры растворителя, используемого в реакции, включают воду, спирт (например, метанол и этанол), ацетон, диоксан, ацетонитрил, тетрагидрофуран, N, N-диметилформамид, диметилсульфоксид, муравьиную кислоту, уксусную кислоту, пиридин, лутидин, коллидин и т.п. Вышеописанные, обычно используемые растворители могут быть использованы в смеси с водой. Реакцию обычно проводят при комнатной температуре, однако иногда ее следует проводить при охлаждении льдом или при нагревании, таким образом, реакцию проводят при температуре, выбранной соответствующим образом. Выбор соответствующих условий для гидролиза замещенных соединений карбоновой кислоты, имеющих только одну карбоксильную группу. Например, эфирное соединение, в котором один эфирный остаток легко гидролизуется в кислых условиях (например, трет.-бутильная группа или т.п.), а другой эфирный остаток легко гидролизуется в основных условиях (например, метиловый эфир, этиловый эфир или т.п.), гидролизируют при выбранных условиях (кислых или основных), при этом только один из двух эфирных остатков селективно гидролизуется. При желании соединения карбоновой кислоты могут быть далее этерифицированы с получением желаемых эфиров. Этерификация может быть осуществлена обычным способом при соответствующих выбранных условиях. Соединения по данному изобретению, где R2 и/или R3 представляют собой группу, которая может быть превращена в карбоксильную группу in vivo, могут быть также получены внутренней переэтерификацией с подходящими спиртами. Например, большой избыток спирта используют для переэтерификации, осуществляемой в присутствии кислоты, основания или любого другого катализатора (например, алкоксид титана (IV)), либо другие спирты, образующиеся во время реакции, удаляют из реакционной системы, таким образом сдвигая равновесие реакции в сторону получения желаемого эфирного соединения. Способ получения исходных соединений Способы получения соединений, используемых в качестве исходных соединений, описаны ниже. Способ получения А ![]() В формуле R3, R4, X1 и X2 имеют значения, указанные выше. Соединение (VII) может быть получено растворением соединения (VI) в соответствующем растворителе с последующей реакцией с соответствующим вторичным амином с получением енамина, а затем воздействием алкилакрилата (например, метилакрилата) или галогенированного алкила (например, этилбромацетата) на енамин. Енамин может быть использован после выделения или без выделения. Примеры вторичного амина включают пирролидин, пиперидин, морфолин, диэтиламин и диизопропиламин. Примеры растворителя включают толуол, бензол, хлорбензол и т.п. Помимо этих обычно используемых растворителей, реакцию можно проводить в любых других органических растворителях при условии, что растворитель не оказывает вредного воздействия на реакцию. Реакцию проводят с удалением из системы воды, образующейся при получении енамина, путем добавления водно-абсорбирующих агентов, таких как гидроксид калия, молекулярные сита и т. д. , или использования ловушки Дина-Старка (аппарат для азеотропной дегидратации). Во время реакции предпочтительно поддерживают азеотропную температуру или температуру кипения. Способ получения В ![]() В формуле R3, R4, X1 X2, m и n имеют значения, указанные выше. Соединение (II) получают растворением соединения (VIII) в подходящем растворителе с последующей реакцией с соединением амина (IX) для получения основания Шиффа, которое затем восстанавливают после выделения или без выделения. Растворитель является органическим растворителем, инертным к реакции, включающим, например, бензол, толуол, ксилол, метанол, этанол, изопропанол, дихлорметан, дихлорэтан, хлороформ, уксусную кислоту и т.п. Реакцию проводят таким образом, что соединение (VIII) вступает в реакцию с реактивно-соответствующим количеством соединения амина (IX) или, альтернативно, используя небольшое избыточное количество одного из них, в присутствии кислотного катализатора, такого как п-толуолсульфоновая кислота, адипиновая кислота, щавелевая кислота, гидрохлорид пиридина, уксусная кислота или т.п. В зависимости от условий реакции ее предпочтительно проводят с удалением из системы воды путем добавления водно-абсорбирующих агентов, таких как гидроксид калия, молекулярные сита и т.д., или использования ловушки Дина-Старка (аппарат для азеотропной дегидратации). Реакцию обычно проводят при температуре ниже комнатной, однако в зависимости от условий реакции ее можно проводить при азеотропной температуре или температуре кипения. Восстановление основания Шиффа проводят добавлением восстанавливающего агента, такого как металлогидридный комплекс (например, борогидрид натрия, борогидрид лития, цианоборогидрид натрия и триацетоксиборогидрид натрия), боран или т.п., к реакционному раствору с предыдущей стадии. Способ получения С ![]() В формуле А1 – А4 могут иметь одинаковые или различные значения, при этом каждый из них представляет собой карбонильную или метиленовую группу; Y1 представляет собой такую же уходящую группу, как и Y, a Y2 представляет собой такую же уходящую группу, как и Y1, или атом водорода. В течение этой реакции соединение (XI) вступает в реакцию с соединением амина (X) с получение соединения (XII). (1) Вышеуказанное соединение (XI) представляет собой алкильное производное, где Y2 – уходящая группа, а А4 – метиленовая группа. Эту реакцию можно проводить в условиях обычного N-алкилирования. Реакцию проводят, перемешивая соединения амина (X) и реакционно соответствующее количество соединения (XI) в инертном растворителе при охлаждении или нагревании. Для стимулирования реакции желательно добавлять основание (например, неорганическое основание, такое как карбонат калия, карбонат натрия, гидрид натрия или т.п., либо органическое основание, такое как триэтиламин или т.п. ) к реакционной системе. (2) Вышеуказанное соединение (XI) представляет собой производное карбоновой кислоты, где Y2 – уходящая группа, а А4 – карбонильная группа. Соединение амида (XII) получают ацилированием амина (X) с карбоновой кислотой или ее активным производным (XI) в подходящем растворителе. Активное производное карбоновой кислоты включает активные эфиры, описанные выше в разделе “Второй способ получения”, а соединение амида (XII) также получают ацилированием в карбоновой кислоте (XI) и конденсирующем агенте в подходящем растворителе. Конденсирующий агент, используемый в реакции предпочтительно представляет собой N,N-дициклогексилкарбодиимид, 1-этил-3-(3-(N, N-диметиламино)пропил) карбодиимид, карбонилдиимидазол, ди-фенилфосфорилазид, диэтилфосфорилазид или т.п. Реакцию обычно проводят в растворителе с охлаждением или при комнатной температуре. Используемые растворители представляют собой органические растворители, не участвующие в реакции, такие как диметилформамид, диметилацетамид, диоксан, тетрагидрофуран, диэтиловый эфир, дихлорэтан, хлороформ, тетрахлорид углерода, диметоксиметан, диметоксиэтан, этилацетат, бензол, ацетонитрил, диметилсульфоксид, и т.д., а также смеси растворителей. Эти органические растворители могут быть соответствующим образом выбраны в зависимости от применяемого способа. В зависимости от вида ацилирования реакцию иногда следует проводить в условиях дегидратации. Кроме того, в зависимости от применяемого способа для обеспечения ровного прохождения реакции предпочтительно проводить ее в присутствии основания, такого как N-метилморфолин, триэтиламид, триметиламин, пиридин и т.д., или с использованием такого основания в качестве растворителя. (3) Когда вышеуказанное соединение (XI) представляет собой альдегид, где Y2 – атом водорода, а А4 – карбонильная группа. Соединение (XII) получают растворением производного альдегида в подходящем растворителе, подвергая его реакции с амином (X), а затем восстанавливая полученный ион иминия. В этой реакции применимы реакционный растворитель, восстанавливающий агент и реакционные условия, описанные выше в разделе “Способ получения В”. Способ применения D ![]() В формуле A1-A4, Y1 и m имеют значения, указанные выше. Для получения соединения (IX) с (ди)оксопиперазиновым кольцом с помощью циклизации предшественник (XII) обрабатывают в подходящем растворителе в присутствии подходящего катализатора или без него. Эти реакции проводят при охлаждении льдом, при комнатной температуре или при нагревании. Примеры используемых растворителей включают диметилформамид, диметилацетамид, диметилсульфоксид, тетрахлорэтан, дихлорметан, дихлорэтан, хлороформ, четыреххлористый углерод, тетрагидрофуран, диоксан, диметоксиметан, диметоксиэтан, бензол, хлорбензол, толуол, воду, уксусный ангидрид, спирты и т. д. , подобранные соответствующим образом в зависимости от различных условий реакции. Примеры используемого катализатора включают основания (например, гидрид натрия, гидрид калия, н-бутиллитий, втор.-бутиллитий, трет.-бутоксид калия, бис(триметилсилил)амид калия, диизопропиламид лития, метоксид натрия, гидроксид калия, карбонат калия, гидрокарбонат калия, карбонат натрия, гидрокарбонат натрия, триэтиламин, диизопропилэтиламин, диметиламинопиридин), соли (например, ацетат натрия и ацетат калия) и кислоты (например, серная кислота и соляная кислота). Способ получения E ![]() ![]() ![]() ![]() В формуле A1-A4, X1 X2, Y1, Y2, R2, R3, m и n имеют значения, указанные выше. Таким же образом, как описано в разделе “Способ получения В”, соединение (X) и соединение (VII) подвергают реакции с получением соединения (XIII). Растворитель, катализатор и условия реакции такие же, как описано выше в разделе “Способ получения В”. Таким же образом, как описано в разделе “Способ получения С”, из соединения (XIII) получают соединение (XIV). Растворитель, катализатор, условия реакции и пр. такие же, как описано выше в разделе “Способ получения С”. Циклизация с образованием (ди)оксопиперазинового кольца может быть проведена так же, как описано в разделе “Способ получения D”. Растворитель, катализатор, условия реакции и пр. такие же, как описано выше в разделе “Способ получения D”. Способ получения F ![]() ![]() В формуле R2, R3 X1 X2, m и n имеют значения, указанные выше. Соединения (III), имеющие амидиновую группу, могут быть получены в соответствии с одним из следующих способов (i), (ii) и (iii). (i) Способ превращения нитрила в имидат с последующей конденсацией с амином. Соединение нитрила (II) подвергают реакции со спиртом, таким как метанол, этанол или т.п., в присутствии газообразного хлористого водорода при температуре от -40oC до 0oC с получением имидата, который затем подвергают реакции с аммиаком, амином или солью амина, такой как карбонат, хлорид, ацетат аммония или т.п. В качестве растворителя для реакции используют метанол, этанол, ацетон, тетрагидрофуран или т.п. (ii) Способ превращения нитрила в тиоамид, а затем в тиоимидат с последующей конденсацией с амином. Соединение нитрила (II) подвергают реакции с сульфидом водорода в присутствии органического основания, такого как метиламин, триэтиламин, пиридин, пиколин или т.п., с получением соединения тиоамида. Это соединение также может быть получено реакцией соединения нитрила (II) с О,О-диэтилдитиофосфатом в присутствии хлористого водорода. Полученное таким образом соединение тиоамида затем подвергают реакции с низшим галоидалкилом, таким как метилиодид, этилиодид или т.п., с получением тиоимидата, который затем подвергают реакции с аммиаком или амином, или солью амина, такой как карбонат, хлорид, ацетат аммония или т.п. В качестве растворителя для реакции используют метанол, этанол, ацетон, тетрагидрофуран, этилацетат или т.п. (iii) Способ прямого добавления амина, соли амина, амида металла или реактива Гриньяра к нитрилу. Реагент, такой как аммиак, хлористый аммоний с аммиаком, тиоцианат аммония, тиоцианат алкиламмония, MeAI(Cl)NH2, NaNH2, (CH3)2NMgBr или т.п., добавляют к соединению нитрила (II) в соответствующем растворителе или без него. В качестве растворителя используют хлороформ, метанол, этанол, ацетон, тетрагидрофуран, толуол, диметилформамид или т.п. Добавление катализатора основания, такого как гидрид натрия или т.п., или кислоты, такой как хлористый алюминий, п-толуолсульфоновая кислота или т.п., к реакционной системе в некоторых случаях заметно ускоряет реакцию. Реакцию можно проводить при охлаждении или при комнатной температуре или при нагревании. Способ получения G ![]() ![]() В формуле R2, R3, X1, X2 и n имеют значения, указанные выше. Циклизацию с получением оксопиперазинового кольца (IIa) проводят реакцией предшественника (XIIIa) с диальдегидом в соответствующем растворителе. Реакцию можно проводить при охлаждении льдом, при комнатной температуре или при нагревании. Примеры используемого растворителя включают смешанный растворитель тетрагидрофуран-вода, диметилформамид, диметилсульфоксид, 1-метил-2-пирролидин, диоксан, диметоксиметан, спирты и т.д., которые могут быть соответствующим образом выбраны в зависимости от различных условий реакции. Способ получения H ![]() ![]() В формуле А1, А2, X1, X2, Y2, R2, R3 и n имеют значения, указанные выше. Этот реакционный процесс предназначен для получения соединения (XIII) реакцией соединения (XV) и соединения амина (XVI). 1) Если в вышеуказанном соединении (XV) Y2 = Y1, a A2 представляет собой метиленовую группу, реакцию проводят способом, описанным в 1) в “Способе получения С”. 2) Если в вышеуказанном соединении (XV) Y2 = Y1, a A2 представляет собой карбонильную группу, реакцию проводят способом, описанным в 2) в “Способе получения C”. 3) Если в вышеуказанном соединении (XV) Y2 представляет собой атом водорода, а А2 представляет собой карбонильную группу, реакцию проводят способом, описанным в 3) в “Способе получения C”. Соединения по данному изобретению, полученные вышеописанным образом, выделяют и очищают, используя любой обычный химический способ, включающий, например, экстракцию, осаждение, фракционную хроматографию, перекристаллизацию и т.п. Кроме того, соединения по данному изобретению могут быть превращены в желаемые соли с помощью обычных реакций солеобразования. Промышленная применимость Соединения по данному изобретению могут быть использованы в качестве вводимых перорально антагонистов рецептора GPIIb/IIIa, особенно ингибитора агрегации тромбоцитов, включая, например, лекарственные средства для облегчения ишемических сердечных заболеваний (стенокардия, вызванная тревогой, острый инфаркт миокарда), а также для профилактики последующих вторичных осложнений, послеоперационной повторной обструкции и повторного стеноза, возникающих после шунтирования коронарной артерии или чрезкожной внутрипросветной коронарной ангиопластики (PTCA), а также для стимулирования коронарного тромболиза и профилактики повторной обструкции, возникающей после коронарного тромболиза и т.д.); в качестве вспомогательного средства при сердечных и сосудистых операциях; в качестве лекарственных средств для облегчения сердечно-сосудистых заболеваний (преходящее нарушение мозгового кровообращения (TIA), церебральный инфаркт, субарахноидальное кровоизлияние (судорожное сокращение сосудов, и т.д.); и в качестве лекарственных средств для облегчения заболеваний периферических артерий (хроническая артериальная обструкция и т.д.). Поскольку соединения по данному изобретению могут быть особенно полезны в качестве пролекарств по нашей предыдущей заявке (нерассмотренная опубликованная Японская заявка на патент N 8-333342) и поэтому полезны в качестве лекарственных средств для облегчения вышеуказанных заболеваний не только посредством парентерального введения, такого как, например, внутримышечные инъекции, но также и для перорального введения. Кроме того, поскольку время удерживания Соединения А в плазме увеличено при введении соединения по данному изобретению в виде пролекарства, фармацевтическое действие соединений по данному изобретению является длительным и клиническая полезность этих соединений высока. Более того, токсичность соединений по данному изобретению намного ниже токсичности обычно используемых соединений. Действие соединений по данному изобретению по ингибированию агрегации тромбоцитов и их полезность в качестве пролекарства подтверждены следующими методами тестирования. Метаболический тест на активное вещество (Соединение А) в плазме Соединение Примера 2 по данному изобретению вводят трем гончим собакам перорально в дозе 10 мг/кг в виде водного раствора, а затем через 48 часов после введения отбирают кровь. После центрифугирования плазму отделяют, а затем хранят при -20oC до анализа. Соединение А (название соединения: 4-/4-амидинофенил/-3-оксо-1-пиперазинил/-1-пиперидинуксусная кислота, нерассмотренная опубликованная Японская заявка на патент N 8-333342), являющееся активным веществом, полученным в качестве метаболита Соединения Примера 2, определяют с помощью метода жидкостной хроматографии высокого разрешения с получением фармакокинетических параметров. Этим же гончим собакам также вводят Соединение А в дозе 10 мг/кг, а затем измеряют концентрацию Соединения А в плазме. Фармакокинетические параметры Соединения А после введения Соединения Примера 2 и Соединения А сравнивают между собой. В Таблице 1 показаны фармакокинетические параметры плазмы Соединения 1 в плазме, а на чертеже показан профиль концентрация в плазме Соединения А – время после перорального введения. Таблица 1 включает фармакокинетические параметры Соединения А в плазме после перорального введения Соединения Примера 2 и Соединения А гончим собакам в дозе 10 мг/кг (средние от трех животных стандартное отклонение), а чертеж показывает профиль концентрация в плазме Соединения А – время.
Площадь под кривой время-концентрация в плазме Соединения А после введения Соединения Примера 2 более чем в три раза превышает площадь после введения Соединения А. t1/2 Соединения А также значительно увеличено при пероральном введении его в виде Соединения Примера 2. Подтверждается, что увеличивается не только биодоступность, но и продолжительность действия Соединения А в плазме при введении его в виде Соединения Примера 2, предназначенного для двойного пролекарства Соединения А.
Активность по ингибированию агрегации тромбоцитов ex vivo у обезьян CynomolgusОбезьян Cynomolgus, слегка анестезированных внутримышечным введением кетамина гидрохлорида, закрепляют на рабочем столе и через желудочные трубки вводят в их желудки образец соединения по данному изобретению, растворенный или суспендированный в растворе метилцеллюлозы, в дозе 1 мг/кг. Перед введением и после введения, через определенное время, через бедренную вену животного отбирают 3 мл крови (содержащей 1/10 по объему цитрата натрия). Используя метод De Marco et al. (см. J. Clin. Invest., 77, 1272-1277, 1986), из крови получают насыщенную тромбоцитами плазму. Перед использованием с помощью автоматического счетчика клеток крови (Модель МЕК-5158, выпускаемая Nihon Koden Co.) эту плазму доводят до 3 108 мл. Затем, с целью агрегации тромбоцитов в качестве стимулятора добавляют 20 мкМ аденозин 5′-ди-фосфата и 10 мкг/мл коллагена, полученного из бычьих сухожилий (выпускаемого Niko Bioscience Co. ). Уровень агрегации тромбоцитов измеряют с помощью соответствующего прибора (NBS Hematracer 801, выпускаемый Niko Bioscience Co.). Активность по ингибированию агрегации тромбоцитов исследуемого соединения представлена процентной величиной ингибирования относительно максимальной процентной величины агрегации каждого животного перед добавлением исследуемого соединения.
Результаты теста приведены в Таблице 2 вместе с результатами по Соединению А, которое является активным веществом по данному изобретению.
Как показывают вышеприведенные результаты, соединения по данному изобретению имеют высокое соотношение агрегация тромбоцитов/ингибирование даже по сравнению с активным веществом Соединением А. Кроме того, в случае использования пролекарства по данной заявке соотношение агрегация тромбоцитов/ингибирование прекрасно сохранялось после 9, 12 и 24 часов после введения, подтверждая тот факт, что данное соединение имеет достаточную продолжительность действия.
Между прочим, как описано в нашей предыдущей заявке, соединение активное вещество по данной заявке прекрасно ингибирует связывание GPIIb/IIIa с фибриногеном, таким образом соединение per se проявляет ингибирующее действие в отношении агрегации тромбоцитов. Соответственно очевидно, что соединения по данному изобретению после абсорбции in vivo метаболизируются, превращаясь в соединение – активное вещество, описанное выше, что подтверждается результатами метаболического теста активного вещества в плазме, и обладают действием, ингибирующим агрегацию тромбоцитов, основанное на ингибирующем действии в отношении связывания фибриногена с GPIIb/IIIa.
Как показывают вышеприведенные результаты фармакологического теста, соединения по данному изобретению имеют хорошую биодоступность и продолжительность действия. Соответственно подтверждается, что соединения по данному изобретению могут быть предпочтительно использованы в качестве пролекарства особенно двойного.
Фармацевтические композиции, включающие одно или более соединений и их солей по данному изобретению в качестве активного ингредиента, могут быть сформулированы с носителями, наполнителями и другими добавками, обычно используемыми в композициях.
Используемые в составе носители и наполнители могут быть твердыми или жидкими нетоксичными фармацевтически приемлемыми веществами. Примеры таких носителей и наполнителей включают лактозу, стеарат магния, крахмал, тальк, желатин, агар, пектин, гуммиарабик, оливковое масло, кунжутное масло, масло какао, этиленгликоль и др., обычно используемые в данной области.
Фармацевтическая композиция может быть введена либо перорально в виде таблеток, пилюль, капсул, гранул, порошков, жидкостей и т.д., либо парентерально в виде внутривенных или внутримышечных инъекций, суппозиториев, трансдермальных препаратов, лекарственных форм для ингаляции, внутрикистозной инъекции и т.д. Дозу композиции определяют для каждого отдельного пациента в зависимости от его состояния, возраста, пола и т.д. Однако в целом пероральная доза для взрослых составляет приблизительно от 0,1 до 100 мг/кг/день и вводится за один или 2-4 раза. При внутрисосудистом введении композиции, в зависимости от состояния пациента, доза в целом составляет приблизительно от 0,001 до 10 мг/кг и вводится за один или несколько приемов в сутки.
Твердая композиция, используемая для перорального введения в соответствии с данным изобретением, имеет форму таблеток, порошков, гранул и т. п. В такой твердой композиции одно или более активных веществ смешивают по крайней мере с одним инертным разбавителем, таким как лактоза, маннит, глюкоза, гидроксипропил-целлюлоза, микрокристаллическая целлюлоза, крахмал, поливинилпирролидон, метакремниевая кислота или алюминат магния. Обычно композиция может содержать добавки иные, чем инертный разбавитель, такие как смазывающее вещество (например, стеарат магния), расщепитель (например, эфир гликолевой кислоты кальций целлюлозы), стабилизатор (например, лактоза) и агент, ускоряющий солюбилизацию (например, глютаминовая и аспарагиновая кислота). При необходимости таблетки или пилюли могут быть покрыты пленкой желудочного или энтеросолюбильного вещества, такого как сахароза, желатин, гидроксипропилцеллюлоза, фталат гидроксипропилметилцеллюлозы или т.п.
Жидкая композиция для перорального введения включает фармацевтически приемлемые эмульсии, растворы, суспензии, сиропы, эликсиры и т.п. и содержит обычно используемый инертный разбавитель, такой как очищенная вода или этиловый спирт. Помимо инертного разбавителя такая композиция может также содержать вспомогательные агенты, такие как увлажнитель, суспендирующий агент и т. п., а также подслащивающие агенты, корригенты, ароматизирующие вещества и антисептики.
Инъекции для парентерального введения включают асептические водные или безводные растворы, суспензии и эмульсии. Примеры разбавителя, используемого в водных растворах и суспензиях, включают дистиллированную воду для инъекций и физиологический солевой раствор. Примеры разбавителя, используемого в безводных растворах и суспензиях, включают пропиленгликоль, полиэтиленгликоль, растительное масло (например, оливковое масло), спирт (например, этиловый спирт), полисорбат 80 и т.п. Такая композиция может далее содержать добавки, такие как антисептик, увлажнитель, эмульгатор, диспергатор, стабилизатор (например, лактоза), и агент, ускоряющий солюбилизацию (например, глютаминовая и аспарагиновая кислота). Такие композиции стерилизуют фильтрацией через фильтр, не пропускающий бактерии, добавлением антимикробного препарата или облучением. Альтернативно они могут быть использованы в виде твердых стерильных композиций и после их растворения в стерильной воде или стерильном растворителе перед использованием.
Предпочтительные варианты осуществления изобретенияНастоящее изобретение описывается более подробно с помощью нижеследующих Примеров. Однако соединения по данному изобретению не ограничиваются только соединениями, указанными в Примерах, а включают все соединения вышеуказанной общей формулы (I), их соли, гидраты, сольваты, таутомеры, геометрические и оптические изомеры, а также полиморфные изомеры. Сравнительный Пример 1 Метил 4-оксо-3-пиперидинкарбоксилат гидрохлорид (9,65 г), 21,0 г этил бромацетата и 24,0 г карбоната калия растворяют в 200 мл N,N-диметилформамида, и раствор перемешивают при комнатной температуре в течение ночи. Затем к реакционной жидкости добавляют 100 мл воды и смесь экстрагируют 500 мл этилацетата. Полученный экстракт высушивают над сульфатом натрия и концентрируют. Полученный остаток очищают колоночной хроматографией на силикагеле (растворитель для элюирования: хлороформ), получая 9,0 г этил 3-этоксикарбонилметил-3-метоксикарбонил-4-оксо-1- пиперидинацетата в виде маслянистого вещества. Масс-спектр (m/z): FAB (Pos.) 330 (M+ + 1) ЯМР спектр: (CDCl3, TMS внутренний стандарт): : 1,23-1,31 (6H, м), 2,46-2,51 (1H, м), 2,71 (2H, дд), 2,91-2,96 (2H, м), 3,00-3,08 (2H, м), 3,35-3,45 (2H, м), 3,79 (3H, с), 4,10-4,19 (4H, м)Сравнительный Пример 2 Этил 3-этоксикарбонилметил-3-метоксикарбонил-4-оксо-1-пиперидинацетат (1/0 г) и 100 мг хлорида лития растворяют в 10 мл N,N-диметилформамида, и раствор кипятят с обратным холодильном в течение 48 часов. Затем к реакционной жидкости добавляют 10 мл воды, и смесь экстрагируют 100 мл этилацетата. Полученный экстракт высушивают над сульфатом натрия и концентрируют. Полученный остаток очищают колоночной хроматографией на силикагеле (растворитель для элюирования: хлороформ), получая 400 мг диэтил-4-оксо-1,3-пиперидиндиацетата в виде маслянистого вещества. Масс-спектр: (m/z): FAB (Pos.) 272 (M+ + 1) ЯМР спектр: (CDCl3, внутренний стандарт TMS): : 1,23-1,30 (6H, м), 2,18 (1H, дд), 2,36-2,40 (1H, м), 2,50 (1H, т), 2,70-2,77 (3H, м), 3,13-3,26 (3H, м), 3,38 (2H, с), 4,09-4,22 (4H, м).
Сравнительный Пример 3Диэтил 4-оксо-1,3-пиперидинацетат (28 г), 19 г 4-(1-пиперазинил)бензонитрил и 6 г уксусной кислоты растворяют в 250 мл дихлорметана, добавляют 42 г триацетоксиборгидрида натрия, и смесь перемешивают при комнатной температуре в течение 24 часов. Реакционную жидкость нейтрализуют водным раствором 1N гидроокиси натрия, а затем отделяют органический слой. Этот слой высушивают над сульфатом натрия и концентрируют, а полученный остаток очищают хроматографией на силикагеле (растворитель для элюирования: гексан: этилацетат = 1:1), получая 13 г диэтил 4-[4-(4-цианофенил)-1-пиперазинил]-1,3-пиперидинацетата. Сравнительный Пример 4 Диэтил 4-[4-(4-цианофенил)-1-пиперазинил]-1,3- пиперидин-ацетат (8,2 г) растворяют в 100 мл этанола, и при температуре от -10oC до -20o0 продувают хлористый водород до насыщения. Раствор нагревают до комнатной температуры и перемешивают в течение ночи, а растворитель удаляют выпариванием. Полученный таким образом остаток растворяют в 100 мл этанола, добавляют 9,0 г карбоната аммония, и смесь перемешивают при комнатной температуре в течение ночи. Растворитель удаляют из реакционной смеси выпариванием, а полученный остаток очищают колоночной хроматографией на силикагеле (растворитель для элюирования: хлороформ:метанол = 10:1), получая 4,4 г диэтил 4-[4-(4-амидофенил)-1-пиперазинил]-1,3-пиперидинацетат гидрохлорида. Масс-спектр: (m/z): FAB (Pos.) 460 (M+ + 1) ЯМР спектр: (DMSO-d6, внутренний стандарт TMS): : 1,18 (6H, т), 1,69-1,83 (3H, м), 2,01-2,33 (5H, м), 2,66-2,87 (3H, м), 3,08-3,23 (4H, м), 4,03-4,33, (4H, м), 7,06 (2H, д), 7,73 (2H, д).
Сравнительный Пример 5N-(трет. -бутоксикарбонил) глицин (14,83 г) растворяют в 50 мл тетрагидрофурана, постепенно добавляют 1,1′-карбонилбис-1H- имидазол (13,73 г) и смесь перемешивают при комнатной температуре в течение 3 часов. Затем добавляют 10 г п-аминобензонитрила, и смесь перемешивают в течение 3 дней. Потом растворитель удаляют выпариванием при пониженном давлении. Образованные таким образом кристаллы собирают фильтрацией, промывают небольшим количеством этанола, а затем высушивают при пониженном давлении, получая 20,5 г 2-(трет. -бутоксикарбониламино)-N-(4-цианофенил)-ацетамида. Масс-спектр (m/z): FAB 276 (М +H)+ ЯМР спектр: (CDCl3, внутренний стандарт TMS): : 1,49 (9H, с), 3,92 (2H, д), 5,18 (1H, ш.с.), 7,61 (2H, д), 7,65 (2H, д), 8,59 (1H, ш.с.)Сравнительный Пример 6 Раствор этилацетата (45,5 мл) 4N раствора хлористого водорода добавляют к 10 г 2-(трет.-бутоксикарбониламино)-N-(4-цианофенил)ацетамида в закрытом сосуде, и смесь перемешивают в течение 18 часов. Образующиеся кристаллы собирают фильтрацией, промывают этилацетатом, а затем высушивают при пониженном давлении, получая 7,7 г 2-амино-N-(4-цианофенил)ацетамид гидрохлорида. Затем 58,8 мл водного насыщенного раствора гидрокарбоната натрия и 20 мл воды добавляют к 3,7 г полученного таким образом гидрохлорида, и смесь перемешивают в течение 1 часа. Образующиеся таким образом кристаллы собирают фильтрацией и высушивают при пониженном давлении, получая 2,5 г 2-амино-N-(4-цианофенил)ацетамида. Масс-спектр (m/z): FAB 176 (М + H)+ ЯМР спектр: (CDCl3, внутренний стандарт TMS): : 1,68 (2H, ш.с.), 3,50 (2H, с), 7,61 (2H, д), 7,74 (2H, д), 9,75 (1H, ш.с.)Сравнительный Пример 7 2-Амино-N-(4-цианофенил)ацетамид (1,83 г) растворяют в 90 мл метиленхлорида, по очереди добавляют 3,10 г этил 2-(4-оксо-1-пиперидин)ацетата, 4,4 мл уксусной кислоты и 8,88 г триацетоксиборгидрида натрия, и смесь перемешивают в течение 1,5 часов. После концентрирования смеси при пониженном давлении добавляют воду и карбонат натрия для подщелачивания системы. Затем образующиеся кристаллы собирают фильтрацией. Сырые кристаллы растворяют в хлороформе и промывают рассолом. Полученный органический слой высушивают над безводным сульфатом натрия, а полученный фильтрат концентрируют при пониженном давлении. К полученному остатку добавляют эфир, а образующееся твердое вещество собирают фильтрацией, получая 2,82 г этил 4-[N-(4-цианофенил)карбамоилметиламино]-1-пиперидинацетата. Масс-спектр (m/z): APCI + QIMS: 345 ЯМР спектр: (CDCl3, внутренний стандарт TMS): : 1,27 (3H, т), 1,50-1,58 (2H, м), 1,67 (1H, ш.е.), 1,88-1,90 (2H, м), 2,23-2,27 (2H, м), 2,49-2,54 (1H, м), 2,95 (2H, м), 3,22 (2H, с), 3,42 (2H, с), 4,18 (2H, кв), 7,62 (2H, д), 7,72 (2H, д), 9,69 (1H, ш.е.).
Сравнительный Пример 8Цианоборгидрид натрия (0,48 г) и 0,57 г уксусной кислоты добавляют по очереди к перемешанному раствору 1,0 г этил 4-[N- (4-цианофенил)карбамоилметиламино]-1-пиперидинацетата, 10 мл метанола и 2,85 г хлорацетальдегида (40%-ный водный раствор), и смесь перемешивают в течение ночи. Растворитель удаляют выпариванием, добавляют хлороформ, и смесь промывают насыщенным водным раствором гидрокарбоната натрия. Полученный органический слой отделяют и концентрируют при пониженном давлении. Полученный остаток подвергают колоночной хроматографии на силикагеле (растворитель для элюирования: хлороформ: метанол = 100:1, об./об.), получая 1,15 г этил 4-[М-(2- хлорэтил)-N-[N-(4-цианофенил)карбамоилметил]амино]-1-пиперидинацетата. Масс-спектр (m/z): FAB 407 (М+H)+ Сравнительный Пример 9 Этил 4-[N-(2-хлорэтил)-N-[N-(4-цианофенил)-карбамоилметил] -амино] -1-пиперидинацетат (1,08г) растворяют в 30 мл N,N-диметилформамида, постепенно добавляют 0,18 г гидрида натрия, и смесь перемешивают в течение 5 часов. Добавляют насыщенный водный раствор хлорида аммония, и растворитель удаляют выпариванием. Затем добавляют хлороформ и насыщенный водный раствор гидрокарбоната натрия, смесь подвергают разделению на “жидкость-жидкость”, и полученный органический слой концентрируют при пониженном давлении. К полученному остатку добавляют эфир, а образующееся твердое вещество собирают фильтрацией, получая 0,43 г этил 4-[4- (4-цианофенил)-3-оксо-1-пиперазинил]-1-пиперидинацетата. Масс-спектр (m/z): FAB 371 (М + H)+ ЯМР спектр: (CDCl3, внутренний стандарт TMS): : 1,28 (3H, т), 1,65-1,71 (2H, м), 1,83-1,85 (2H, м), 2,24-2,28 (2H, м), 2,35-2,39 (1H, м), 2,91-2,93 (2H, м), 3,01- 3,04 (2H, м), 3,22 (2H, с), 3,46 (2H, c), 3,71-3,73 (2H, м). 4,19 (24, кв), 7,49 (2H, д), 7,68 (2H, д).
Способом, описанном как в Сравнительном Примере 4, получают соединение Сравнительного Примера 10.
Сравнительный Пример 10Этил 4-[4-(4-амидинофенил)-3-оксо-1-пиперазинил]-1-пиперидин-ацетат гидрохлорид Исходное соединение: этил 4-[4-(4-цианофенил)-3-оксо-1-пиперазинил]-1-пиперидинацетат Масс-спектр (m/z): FAB 388 (М + H)+ ЯМР спектр: (DMSO-d6, внутренний стандарт TMS): : 1,19 (3H, т), 1,43-1,47 (2H, м), 1,77-1,80 (2H, м), 2,17-2,21 (2H, м), 2,29 (1H, м), 2,87-2,89 (4H, м), 3,19 (2H, с), 3,33 (2H, с), 3,70-3,72 (2H, д), 4,08 (2H, кв), 7,65 (2H, д), 7,84 (2H, д), 9,01 (2H, шс), 9,32 (2H, шс).
Способом, описанным в Сравнительном Примере 9, получают соединение Сравнительного Примера 11.
Сравнительный Пример 11Метил 4-[4-(4-цианофенил)-3-оксо-1-пиперазинил] -1-пиперидинацетат Исходное соединение: метил 4-[N-(2-хлорэтил)-N-[N-(4-цианофенил)карбамоилметил]амино]-1-пиперидинацетат Масс-спектр (m/z): FAB (Pos.) 357 (М+ + 1) ЯМР спектр: (CDCl3, внутренний стандарт TMS): : 1,63-1,73 (2H, м), 1,83-1,86 (2H, м), 2,22-2,28 (2H, м), 2,33-2,41 (1H, м), 2,91-2,93 (2H, м), 3,00-3,03 (2H, м), 3,24 (2H, с), 3,46 (2H, с), 3,71-3,74 (5H, м), 7,49 (2H, д), 7,68 (2H, д)Способом, описанным в Сравнительном Примере 4, получают соединение Сравнительного Примера 12. Сравнительный Пример 12 Метил 4-[4-(4-амидинофенил)-3-оксо-1-пиперазинил] -1-пиперидинацетат гидрохлорид Исходное соединение: метил 4-[4-(4-цианофенил)-3-оксо-1-пиперазинил]-1-пиперидинацетат Масс-спектр (m/z): FAB (Pos.) 374 (M+ + 1) ЯМР спектр: (DMSO-d6, внутренний стандарт TMS): : 1,47 (2H, м), 1,79-1,81 (2H, м), 2,21-2,31 (3H, м), 2,89 (4H, м), 3,34 (4H, м), 3,62 (3H, с), 3,71-3,73 (2H, м), 7,65 (2H, д), 7,88 (2H, д), 9,28 (2H, шс), 9,43 (2H, шс)Сравнительный Пример 13 Этил 4-[[2-(4-цианоанилино)этил] амино]-1-пиперидинацетат (1,0 г) растворяют в смешанном растворителе, состоящем из 10 мл тетрагидрофурана и 10 мл воды, добавляют 0,69 мл диальдегида (40%, водный), и смесь перемешивают при комнатной температуре в течение 15 часов. Растворитель выпаривают, а остаток экстрагируют этилацетатом. Органический слой поочередно промывают насыщенным водным раствором гидрокарбоната натрия и рассолом. Органический слой высушивают над безводным сульфатом магния, а растворитель выпаривают. Полученные сырые кристаллы перекристаллизуют из толуола-гексана, получая 0,86 г этил 4-[4-(4-цианофенил)-3-оксо-1-пиперазинил]-1-пиперидинацетата. Масс-спектр (m/z): FAB 371 (М+H)+ Спектр ЯМР: (CDCl3, внутренний стандарт TMS): : 1,28 (3H, т), 1,5-1,9 (4H, м), 2,1-2,4 (3H, м), 2,9-3,1 (4H, м), 3,22 (2H, с), 3,46 (2H, с), 3,7- 3,8 (2H, м), 4,19 (2H, кв), 7,48 (2H, д), 7,69 (2H, д).
Пример 1Гидрохлорид гидроксиламина (700 мг) растворяют в 100 мл этанола и при комнатной температуре добавляют 680 мг этоксида натрия. Через 5 минут добавляют 2,2 г ( )-цис-диэтил 4-[4-(4-цианофенил)-1-пиперазинил]-1,3-пиперидинацетат, и смесь кипятят с обратным холодильником в течение ночи. Реакционный раствор концентрируют, добавляют 200 мл воды и смесь экстрагируют 300 мл хлороформа. Экстракт высушивают над сульфатом натрия, концентрируют, а затем очищают колоночной хроматографией на силикагеле (растворитель для элюирования: хлороформ:метанол = 50:1 – 20:1), получая 1,5 г ( )-цис-диэтил 4-[4-(4-гидроксиамидинофенил)-1-пиперазинил]-1,3-пиперидинацетата.
Масс-спектр (m/z): FAB (Pos.) 476 (М+ + 1)ЯМР спектр: (CDCl3, внутренний стандарт TMS): : 1,24-1,28 (6H, м), 1,76-1,78 (1H, м), 2,06-2,11 (1H, м), 2,21-2,30 (2H, м), 2,55-2,75 (7H, м), 4,06-4,22 (4H, м), 4,80 (2H, с), 6,88 (2H, д), 7,51 (2H, д)Пример 2 Этанол (38 мл), 0,90 г гидрохлорида гидроксиламина и 1,64 г триэтиламина добавляют к 3,0 г этил 4-[4-(4-цианофенил)-3-оксо-1-пиперазинил]-1-пиперидинацетата и смесь кипятят с обратным холодильником в течение 3 часов. Полученные кристаллы собирают фильтрацией при температуре приблизительно 30oC и перекристаллизуют из смеси хлороформ:этанол, получая 2,27 г этил 4-[4-(4-гидроксиамидинофенил)-3-оксо-1-пиперазинил]-1-пиперидинацетата Элементный анализ (для C20H29N5O4) Вычислено: C(%) 59,54; H(%) 7,24; N(%) 17,36 Найдено: C(%) 59,31; H(%) 7,05; N(%) 17,32 ЯМР спектр: (DMSO-d6, внутренний стандарт TMS): : 1,19 (3H, т), 1,39-1,48 (2H, м), 1,77-1,80 (2H, м), 2,16-2,21 (2H, м), 2,24-2,27 (1H, м), 2,83-2,89 (4H, м), 3,19 (2H, с), 3,28 (2H, с), 3,62-3,65 (2H, м), 4,08 (2H, кв), 5,81 (2H, с), 7,34 (2H, д), 7,67 (2H, д), 9,64 (1H, с)Способом, описанным в Примере 1, получают соединение Примера 3. Пример 3 Метил 4-[4-(4-гидроксиамидинофенил)-3-оксо-1-пиперазинил] -1-пиперидинацетат Исходное соединение: метил 4-[4-(4-цианофенил)-3-оксо-1-пиперазинил]-1-пиперидинацетат Элементный анализ (для C19H27N5O4 0,25 H2O)Вычислено: C(%) 56,63; H(%) 7,13; N(%) 17,38. Найдено: C(%) 56,81; H(%) 6,79; N(%) 17,26. ЯМР спектр: (CDCl3, внутренний стандарт TMS): : 1,73-1,86 (4H, м), 2,22-2,28 (2H, м), 2,34-2,41 (1H, м), 2,87-2,89 (2H, м), 3,02-3,05 (2H, м), 3,25 (2H, с), 3,45 (2H, с), 3,62-3,65 (2H, м), 3,73 (3H, с), 4,83 (2H, шс), 7,32 (2H, д), 7,62 (2H, д)Пример 4 ( )-цис-Диэтил 4-[4-(4-гидроксиамидинофенил)-1-пиперазинил]-1,3-пиперидинацетат (1,5 г) растворяют в 50 мл 1N соляной кислоты, и раствор кипятят с обратным холодильником в течение ночи. Реакционную массу концентрируют, и концентрат очищают колоночной хроматографией ODS (растворитель для элюирования: вода и вода: этанол = 1: 1), получая 100 мг тригидрохлорида ( )-цис-4-[4-(4-гидроксиамидинофенил)-1-пиперазинил]-1-[(этоксикарбонил) метил]пиперидин-3-уксусной кислоты.
Масс-спектр (m/z): FAB (Pos.) 448 (M+ + 1)ЯМР спектр: (DMSO-d6, внутренний стандарт TMS): : 1,18 (3H, т), 1,76 (1H, м), 1,98-2,01 (1H, м), 1,10-2,19 (2H, м), 4,06 (2H, кв), 5,62 (2H, с), 6,89 (2H, д), 7,51 (2H, д), 9,33 (1H, с)Пример 5 ( )-цис-Диэтил 4-[4-гидроксиамидинофенил)-1-пиперазинил] -1,3-пиперидинацетат (1,5 г) растворяют в 50 мл 1N соляной кислоты и раствор кипятят с обратным холодильником в течение ночи. Реакционную массу концентрируют, а концентрат очищают колоночной хроматографией ODS (растворитель для элюирования: вода), получая 450 мг тригидрохлорида ( )-цис-4-[4-(4-гидроксиамидинофенил)-1,3-пиперидиндиуксусной кислоты.
Масс-спектр (m/z): FAB (Pos.) 420 (М+ + 1)ЯМР спектрЖ (DMSO-d6) внутренний стандарт TMS): : 7,15 (2H, д), 7,71 (2H, д), 11,09 (1H, с)Пример 6 ( )-цис-Диэтил 4-[4-(4-аминофенил)-1-пиперазинил]-1,3-пиперидиндиацетат гидрохлорид (1,5 г) растворяют в 150 мл метиленхлорида, добавляют 300 мг метилхлорформиата и 30 мл 0,2N водного раствора гидроокиси натрия, и смесь перемешивают при комнатной температуре в течение 1 часа. Органический слой отделяют, дважды промывают водой, высушивают над сульфатом натрия, а затем концентрируют. Полученный остаток очищают колоночной хроматографией на силикагеле (растворитель для элюирования: хлороформ:метанол = 50:1), получая 850 г ( )-цис-диэтил 4-[4-(4-метоксикарбониламидинофенил)-1-пиперадинил]-1,3-пиперидинацетата.
Масс-спектр (m/z): FAB (Pos.) 518 (M+ + 1)ЯМР спектр: (CDCl3, внутренний стандарт TMS): 1,24-1,28 (6H, м), 1,47- 1,59 (3H, м), 1,77 (1H, д), 2,06-2,11 (1H, м), 2,21-2,30 (2H, д), 2,54-2,60 (3H, м), 2,63-2,71 (4H, м), 2,88-2,95 (2H, м), 3,17 (2H, кв), 3,28 (4H, т), 3,78 (3H, с), 4,06-4,19 (4H, м), 6,87 (2H, д), 7,81 (2H, д)Способом, описанным в Примере 6, получают соединение Примера 7. Пример 7 Этил 4-[4-(4-метоксикарбониламидинофенил)-3-оксо-1-пиперазинил] -1-пиперидинацетат Исходное соединение: Этил 4-[4-(4-амидинофенил)-3-оксо-1-пиперазинил]-1-пиперидинацетат Элементный анализ (для C22H31N5O5) Вычислено: C(%) 59,31; H(%) 7,01; N(%) 15,72. Найдено: C(%) 59,02; H(%) 7,03; N(%0 15,63. ЯМР спектр: (CDCl3, внутренний стандарт TMS): : 1,28 (3H, т), 1,63-1,75 (2H, м), 1,83-1,86 (2H, м), 2,22-2,28 (2H, м), – 2,33-2,41 (1H, м), 2,90-2,92 (2H, м), 3,01-3,04 (2H, м), 3,23 (2H, с), 3,45 (2H, с), 3,69-3,72 (2H, м), 3,78 (3H, с), 4,19 (2H, кв), 4,70 (2H, д), 7,90 (2H, д)Пример 8 Этил 4-[4-(4-гидроксиамидинофенил)-3-оксо-1-пиперазинил] -1-пиперидинацетат (0,8 г) растворяют в 8 мл воды и при охлаждении льдом добавляют моногидрат гидроокиси лития. Смесь перемешивают в течение 30 минут при охлаждении льдом, добавляют насыщенный водный раствор хлорида аммония и концентрируют смесь. Образующиеся кристаллы собирают фильтрацией, получая 0,67 г 4-[4-(4-гидроксиамидинофенил)-З-оксо- 1-пиперазинил] -1-пиперидинуксусной кислоты. Элементный анализ (для C18H25N5O4 ) H2O)Вычислено: C(%) 54,95; H(%) 6,92; N(%) 17,80. Найдено: C(%) 55,14; H(%) 6,6; N(%) 18,00. ЯМР спектр: (DMSO-d6 + CF3COOD, внутренний стандарт TMS): : 2,11-2,14 (2H, м), 2,38 (2H, м), 3,17 (2H, м), 3,64-3,77 (5H, м), 4,04-4,07 (2H, м), 4,18 (4H, м), 7,65 (2H, д), 7,83 (2H, д)Способом, описанным в Примере 6, получают соединения Примеров 9 и 10. Пример 9 Метил 4-[4-(4-метоксикарбониламидинофенил)-3-оксо-1-пиперазинил] -1-пиперидинацетат Исходное соединение: метил 4-[4-(4-амидинофенил)-3-оксо-1-пиперазинил] -1-пиперидинацетат гидрохлорид Элементный анализ (для C21H29N5O5 0,25 H2O)Вычислено: C(%) 0 57,85; H(%) 6,82; N(%) 16,06. Найдено: C(%) 57,70; H(%) 6,60; N(%) 16,20 ЯМР спектр: (CDCl3 внутренний стандарт TMS): : 1,63-1,73 (2H, м), 1,83-1,86 (2H, м), 2,22-2,28 (2H, м), 2,34-2,40 (1H, м), 2,89-2,92 (2H, м), 3,00-3,03 (2H, м), 3,24 (2H, с), 3,45 (2H, с), 3,70 (2H, м), 3,73 (3H, с), 3,78 (3H, с), 7,40 (2H, д), 7,90 (2H, д)Пример 10 Этил 4-[4-(4-этоксикарбониламидинофенил)-3-оксо-1-пиперазинил] -1- пиперидинацетат Исходное соединение: этил-[4-(4-амидинофенил)-3-оксо-1-пиперазинил]-1-пиперидинацетат гидрохлорид Элементный анализ (для C23H33N5O5 0,25 H2O)Вычислено: С(%) 59,53; H(%) 7,28; N(%) 15,09. Найдено: C(%) 59,61; H(%) 7,13; N(%) 15,08. ЯМР спектр: (CDCl3, внутренний стандарт TMS): : 1,28 (3H, т), 1,35 (3H, т), 1,63-1,73 (2H, м), 1,83-1,86 (2H, м), 2,23-2,28 (2H, м), 2,34-2,40 (1H, м), 2,90-2,92 (2H, м), 3,01-3,04 (2H, м), 3,23 (2H, с), 3,45 (2H, с), 3,70-3,73 (2H, м), 4,17-4,25 (4H, м), 7,43 (2H, д), 7,91 (2H, д).
Химическая структура соединений, полученных в вышеприведенных Примерах, показана в Таблицах 3 и 4.
Помимо вышеописанных соединений, входящих в Примеры, в Таблицах 5-9 представлены другие соединения по данному изобретению. Эти соединения могут быть синтезированы без особых экспериментов в соответствии с любым из вышеописанных способов и процессов получения, а также их модификаций, известных специалистам в данной области.
Формула изобретения
![]() в которой R1 представляет группу, которая может быть превращена в амидиновую группу in vivo и выбрана из гидроксиамидиногруппы или низшей алкоксикарбониламидиногруппы; R2 и R3 являются одинаковыми или различными и каждый представляет собой карбоксильную группу или низший(алкокси)карбонильную группу; Х1 и Х2 являются одинаковыми или различными и каждый представляет собой низшую алкиленовую группу; m = 0 или 1; n = 0 или 1, при условии, что когда m = 0, то n равен 1. 2. Замещенное производное амидинобензола или его соль по п.1, которое представляет собой этил 4-[4-(4-гидроксиламидинофенил)-3-оксо-1-пиперазинил] -1-пиперидинацетат, метил 4[4-(4-гидроксиламидинофенил)-3-оксо-1-пиперазинил] -1-пиперидинацетат, этил 4-[4-(4-метоксикарбониламидинофенил)-3-оксо-1-пиперазинил] -1-пиперидинацетат, метил 4-[4-(4-метоксикарбониламидинофенил)-3-оксо-1-пиперазинил] -1-пиперидинацетат и этил 4-[4-(4-этоксикарбониламидинофенил)-3-оксо-1-пиперазинил]-1-пиперидинацетат. 3. Замещенное производное амидинобензола или его соль по п.1, которое представляет собой этил 4-[4-(4-гидроксиламидинофенил)-3-оксо-1-пиперазинил] -1-пиперидинацетат. 4. Фармацевтическая композиция, проявляющая ингибирующее действие в отношении агрегации тромбоцитов, отличающаяся тем, что она включает эффективное количество замещенного производного амидинобензола общей формулы I по п.1 или его соли и фармацевтически приемлемый носитель. 5. Фармацевтическая композиция по п.4, отличающаяся тем, что проявляет свойство антагониста рецептора GPIIb/IIIa. РИСУНКИ
MM4A Досрочное прекращение действия патента Российской Федерации на изобретение из-за неуплаты в установленный срок пошлины за поддержание патента в силе
Дата прекращения действия патента: 29.05.2003
Извещение опубликовано: 10.01.2005 БИ: 01/2005
|
||||||||||||||||||||||||||





























стандартное отклонение), а чертеж показывает профиль концентрация в плазме Соединения А – время.
Площадь под кривой время-концентрация в плазме Соединения А после введения Соединения Примера 2 более чем в три раза превышает площадь после введения Соединения А. t1/2 Соединения А также значительно увеличено при пероральном введении его в виде Соединения Примера 2. Подтверждается, что увеличивается не только биодоступность, но и продолжительность действия Соединения А в плазме при введении его в виде Соединения Примера 2, предназначенного для двойного пролекарства Соединения А.
Активность по ингибированию агрегации тромбоцитов ex vivo у обезьян Cynomolgus
108 мл. Затем, с целью агрегации тромбоцитов в качестве стимулятора добавляют 20 мкМ аденозин 5′-ди-фосфата и 10 мкг/мл коллагена, полученного из бычьих сухожилий (выпускаемого Niko Bioscience Co. ). Уровень агрегации тромбоцитов измеряют с помощью соответствующего прибора (NBS Hematracer 801, выпускаемый Niko Bioscience Co.). Активность по ингибированию агрегации тромбоцитов исследуемого соединения представлена процентной величиной ингибирования относительно максимальной процентной величины агрегации каждого животного перед добавлением исследуемого соединения.
Результаты теста приведены в Таблице 2 вместе с результатами по Соединению А, которое является активным веществом по данному изобретению.
Как показывают вышеприведенные результаты, соединения по данному изобретению имеют высокое соотношение агрегация тромбоцитов/ингибирование даже по сравнению с активным веществом Соединением А. Кроме того, в случае использования пролекарства по данной заявке соотношение агрегация тромбоцитов/ингибирование прекрасно сохранялось после 9, 12 и 24 часов после введения, подтверждая тот факт, что данное соединение имеет достаточную продолжительность действия.
Между прочим, как описано в нашей предыдущей заявке, соединение активное вещество по данной заявке прекрасно ингибирует связывание GPIIb/IIIa с фибриногеном, таким образом соединение per se проявляет ингибирующее действие в отношении агрегации тромбоцитов. Соответственно очевидно, что соединения по данному изобретению после абсорбции in vivo метаболизируются, превращаясь в соединение – активное вещество, описанное выше, что подтверждается результатами метаболического теста активного вещества в плазме, и обладают действием, ингибирующим агрегацию тромбоцитов, основанное на ингибирующем действии в отношении связывания фибриногена с GPIIb/IIIa.
Как показывают вышеприведенные результаты фармакологического теста, соединения по данному изобретению имеют хорошую биодоступность и продолжительность действия. Соответственно подтверждается, что соединения по данному изобретению могут быть предпочтительно использованы в качестве пролекарства особенно двойного.
Фармацевтические композиции, включающие одно или более соединений и их солей по данному изобретению в качестве активного ингредиента, могут быть сформулированы с носителями, наполнителями и другими добавками, обычно используемыми в композициях.
Используемые в составе носители и наполнители могут быть твердыми или жидкими нетоксичными фармацевтически приемлемыми веществами. Примеры таких носителей и наполнителей включают лактозу, стеарат магния, крахмал, тальк, желатин, агар, пектин, гуммиарабик, оливковое масло, кунжутное масло, масло какао, этиленгликоль и др., обычно используемые в данной области.
Фармацевтическая композиция может быть введена либо перорально в виде таблеток, пилюль, капсул, гранул, порошков, жидкостей и т.д., либо парентерально в виде внутривенных или внутримышечных инъекций, суппозиториев, трансдермальных препаратов, лекарственных форм для ингаляции, внутрикистозной инъекции и т.д. Дозу композиции определяют для каждого отдельного пациента в зависимости от его состояния, возраста, пола и т.д. Однако в целом пероральная доза для взрослых составляет приблизительно от 0,1 до 100 мг/кг/день и вводится за один или 2-4 раза. При внутрисосудистом введении композиции, в зависимости от состояния пациента, доза в целом составляет приблизительно от 0,001 до 10 мг/кг и вводится за один или несколько приемов в сутки.
Твердая композиция, используемая для перорального введения в соответствии с данным изобретением, имеет форму таблеток, порошков, гранул и т. п. В такой твердой композиции одно или более активных веществ смешивают по крайней мере с одним инертным разбавителем, таким как лактоза, маннит, глюкоза, гидроксипропил-целлюлоза, микрокристаллическая целлюлоза, крахмал, поливинилпирролидон, метакремниевая кислота или алюминат магния. Обычно композиция может содержать добавки иные, чем инертный разбавитель, такие как смазывающее вещество (например, стеарат магния), расщепитель (например, эфир гликолевой кислоты кальций целлюлозы), стабилизатор (например, лактоза) и агент, ускоряющий солюбилизацию (например, глютаминовая и аспарагиновая кислота). При необходимости таблетки или пилюли могут быть покрыты пленкой желудочного или энтеросолюбильного вещества, такого как сахароза, желатин, гидроксипропилцеллюлоза, фталат гидроксипропилметилцеллюлозы или т.п.
Жидкая композиция для перорального введения включает фармацевтически приемлемые эмульсии, растворы, суспензии, сиропы, эликсиры и т.п. и содержит обычно используемый инертный разбавитель, такой как очищенная вода или этиловый спирт. Помимо инертного разбавителя такая композиция может также содержать вспомогательные агенты, такие как увлажнитель, суспендирующий агент и т. п., а также подслащивающие агенты, корригенты, ароматизирующие вещества и антисептики.
Инъекции для парентерального введения включают асептические водные или безводные растворы, суспензии и эмульсии. Примеры разбавителя, используемого в водных растворах и суспензиях, включают дистиллированную воду для инъекций и физиологический солевой раствор. Примеры разбавителя, используемого в безводных растворах и суспензиях, включают пропиленгликоль, полиэтиленгликоль, растительное масло (например, оливковое масло), спирт (например, этиловый спирт), полисорбат 80 и т.п. Такая композиция может далее содержать добавки, такие как антисептик, увлажнитель, эмульгатор, диспергатор, стабилизатор (например, лактоза), и агент, ускоряющий солюбилизацию (например, глютаминовая и аспарагиновая кислота). Такие композиции стерилизуют фильтрацией через фильтр, не пропускающий бактерии, добавлением антимикробного препарата или облучением. Альтернативно они могут быть использованы в виде твердых стерильных композиций и после их растворения в стерильной воде или стерильном растворителе перед использованием.
Предпочтительные варианты осуществления изобретения
: 1,23-1,31 (6H, м), 2,46-2,51 (1H, м), 2,71 (2H, дд), 2,91-2,96 (2H, м), 3,00-3,08 (2H, м), 3,35-3,45 (2H, м), 3,79 (3H, с), 4,10-4,19 (4H, м)
1,24-1,28 (6H, м), 1,47- 1,59 (3H, м), 1,77 (1H, д), 2,06-2,11 (1H, м), 2,21-2,30 (2H, д), 2,54-2,60 (3H, м), 2,63-2,71 (4H, м), 2,88-2,95 (2H, м), 3,17 (2H, кв), 3,28 (4H, т), 3,78 (3H, с), 4,06-4,19 (4H, м), 6,87 (2H, д), 7,81 (2H, д)