Патент на изобретение №2158261
|
||||||||||||||||||||||||||
(54) ПРОИЗВОДНЫЕ АМИДА ФЕНИЛЦИКЛОГЕКСИЛКАРБОНОВОЙ КИСЛОТЫ, СМЕСЬ ИХ ИЗОМЕРОВ ИЛИ ОТДЕЛЬНЫЕ ИЗОМЕРЫ И ИХ СОЛИ, ФАРМАЦЕВТИЧЕСКАЯ КОМПОЗИЦИЯ С АНТИАРТЕРИОСКЛЕРОТИЧЕСКОЙ И АНТИРЕСТЕНОЗНОЙ АКТИВНОСТЬЮ
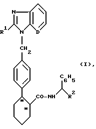
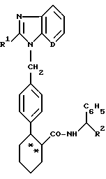
(57) Реферат: Производные амида фенилциклогексилкарбоновой кислоты общей формулы I, где D – группа -СН- или атом азота; R1 – фенил, циклоалкил с 3-6 атомами углерода, неразветвленный или разветвленный алкил с 1-5 атомами углерода; R2 – неразветвленный или разветвленный алкоксикарбонил с 1-5 атомами углерода или остаток формулы -CO-NH2 или -СН2-ОН, смесь их изомеров или отдельные изомеры и их соли; и фармацевтическая композиция на их основе, обладающая антиартериосклеротической и антирестенозной активностью. 2 с. и 3 з.п.ф-лы, 3 табл.
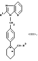
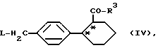
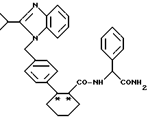
Изобретение относится к новым производным замещенной гетероциклом арилкарбоновой кислоты с ценными биологическими свойствами, в частности к производным амида фенилциклогексилкарбоновой кислоты. Известны производные замещенной гетероциклом фенил-циклогексан-карбоновой кислоты, которые обладают биологической активностью, в частности проявляют антагонистическое в отношении ангиотензина II действие (см. заявку EP N 0407102, кл. C 07 D 495/04, 09.01.1991 г.). Задачей изобретения является расширение арсенала производных замещенной гетероциклом фенил-циклогексан-карбоновой кислоты, проявляющих биологическую активность, в частности, антиартериосклеротическую и антирестенозную активность. Данная задача решается предлагаемыми производными амида фенил-циклогексил-карбоновой кислоты общей формулы (I) ![]() где D – группа -CH- или атом азота, R1 – фенил, циклоалкил с 3-6 атомами углерода, неразветвленный или разветвленный алкил с 1-5 атомами углерода, R2 – неразветвленный или разветвленный алкоксикарбонил с 1 – 5 атомами углерода или остаток формулы -CO-NH2 или -CH2-OH, смесью их изомеров или отдельными изомерами и их солями. В рамках настоящего изобретения предпочитают физиологически приемлемые соли. Физиологически приемлемыми солями предлагаемых соединений могут являться соли предлагаемых веществ с минеральными кислотами, карбоновыми кислотами или сульфокислотами. Особенно предпочтительными являются соли с такими кислотами, как, например, хлористо-водородная кислота, бромисто-водородная кислота, серная кислота, фосфорная кислота, метансульфокислота, этансульфокислота, толуолсульфокислота, бензолсульфокислота, нафталиндисульфокислота, уксусная кислота, пропионовая кислота, молочная кислота, винная кислота, лимонная кислота, фумаровая кислота, малеиновая кислота или бензойная кислота. Физиологически приемлемыми солями могут также являться соли металла или аммониевые соли предлагаемых соединений, имеющие свободную карбоксильную группу. Особенно предпочтительными являются, например, соли натрия, калия, магния или кальция, а также аммониевые соли, производимые от аммиака, или органических аминов, таких, как, например, этиламин, ди- или триэтиламин, ди- или триэтаноламин, дициклогексиламин, диметиламиноэтанол, аргинин, лизин, этилендиамин или 2-фенилэтиламин. Предлагаемые соединения могут иметься в виде стереоизомеров, которые представляют собой прямую и обратную формы (энантиомеры), или не являются таковыми (диастереомеры). Изобретение относится к энантиомерам или диастереомерам или их соответствующим смесям. Рацемические формы, а также диастереомеры известным образом можно разделять на чистые стереоизомеры. Предпочтительными являются соединения общей формулы (I), где D – группа -CH- или атом азота, R1 – фенил, циклопропил, циклогексил, неразветвленный или разветвленный алкил с 1-4 атомами углерода, R2 – неразветвленный или разветвленный алкоксикарбонил с 1-4 атомами углерода или остаток формулы -CO-NH2 или -CH2-OH, смесь их изомеров или отдельные изомеры и их соли. Особенно предпочтительными являются соединения общей формулы (I), где D – группа -CH- или атом азота, R1 – фенил, циклопропил, этил или изо-пропил, R2 – неразветвленный или разветвленный алкоксикарбонил с 1-4 атомами углерода или остаток формулы -CO-NH2 или -CH2-OH, смесь их изомеров или отдельные изомеры и их соли. В частности предпочитаются соединения общей формулы (I), где заместители имеют указанные в нижеследующей таблице 1 значения. В этой таблице, а также в нижеследующих, используется условное сокращение “диа”, обозначающее диастереомер. Соединения общей формулы (I) получают за счет того, что соединения общей формулы (II) ![]() где R1 и D имеют вышеуказанное значение и R3 означает неразветвленный или разветвленный алкоксил с 1-4 атомами углерода, подвергают омылению, получаемую при этом кислоту, в случае необходимости после предварительной активации, подвергают взаимодействию с производными фенилглицина общей формулы (III) ![]() где R2 имеет вышеуказанное значение, в среде инертных растворителей, в присутствии основания и/или дегидратирующего средства, и, если R2/R2′ означает -CO-NH2, то целевой соответствующий сложный эфир можно подвергать взаимодействию с аммиаком в среде спиртов. Вышеприведенный способ поясняется схемой 1 (см. в конце описания). В качестве растворителя для способа пригодны стандартные органические растворители, не изменяющиеся в условиях реакции. Сюда предпочтительно относятся простые эфиры, такие, как, например, диэтиловый эфир, диоксан, тетрагидрофуран, гликольдиметиловый эфир, или углеводороды, такие, как, например, бензол, толуол, ксилол, гексан, циклогексан или нефтяные фракции, или галогенированные углеводороды, такие, как, например, дихлорметан, трихлорметан, тетрахлорметан, дихлорэтилен, трихлорэтилен или хлорбензол, или этилацетат, триэтиламин, пиридин, диметилсульфоксид, диметилформамид, триамид гексаметилфосфорной кислоты, ацетонитрил, ацетон или нитрометан. Можно также применять смеси приведенных растворителей. Предпочтительными являются дихлорметан и тетрагидрофуран. В качестве оснований для вышеописанного способа можно в основном применять неорганические или органические основания. Сюда предпочтительно относятся гидроокиси щелочного металла, как, например, гидроокись натрия или калия, гидроокиси щелочноземельного металла, например, гидроокись бария, карбонаты щелочного металла, как, например, карбонат натрия, калия или цезия, карбонаты щелочноземельного металла, как, например, карбонат кальция, или алкоголяты щелочного или щелочноземельного металла, как, например, метанолат натрия или калия, этанолат натрия или калия или трет.бутилат калия, или органические амины (триалкиламины с 1-6 атомами углерода в каждой алкильной группе), как, например, триэтиламин, или гетероциклы, как, например, 1,4-диазабицикло[2.2.2]октан, 1,8-диазабицикло[5.4.0]ундец-7-ен, пиридин, диаминопиридин, метилпиперидин или морфолин. В качестве оснований можно также применять щелочные металлы, как, например, натрий, или их гидриды, как, например, гидрид натрия. Предпочтительными являются гидрид натрия, карбонат калия, триэтиламин, триметиламин, пиридин и трет.бутилат калия. В общем основание применяют в количестве от 0,05 до 10 моль, предпочтительно от 1 до 2 моль, на 1 моль соединения формулы (III). Способ в общем осуществляют в диапазоне температур от -50 до +100oC, предпочтительно от -30 до +60oC, в общем при атмосферном давлении. Можно, однако, также осуществлять его при повышенном или пониженном давлении (например, в диапазоне от 0,5 до 5 бар). Амидирование может осуществляться, при необходимости, через галоидангидриды указанной кислоты или ее смешанные ангидриды, получаемые в результате взаимодействия соответствующих кислот с тионилхлоридом, трихлоридом фосфора, пентахлоридом фосфора, трибромидом фосфора, оксалилхлоридом или хлорангидридом метансульфокислоты. Наряду с вышеприведенными основаниями в качестве оснований предпочтительно пригодны триэтиламин и/или диметиламинопиридин, 1,8-диазабицикло[5.4.0]ундец-7-ен или 1,4-диазабицикло[2.2.2]октан. Основание применяют в количестве от 0,5 до 10 моль, предпочтительно от 1 до 5 моль, на моль соединений общей формулы (III). В качестве акцептора кислоты для амидирования можно применять карбонаты щелочного или щелочноземельного металлов, такие как, например, карбонат натрия или калия, гидроокиси щелочного или щелочноземельного металлов, такие, как, например, гидроокись натрия или калия, или органические основания, такие, как, например, пиридин, триэтиламин, N-метилпиперидин, или бициклические амидины, такие, как, например, 1,5-диазабицикло[4.3.0]-нонен-5 или 1,5-диазабицикло[5.4.0]ундецен-7. Предпочтительным является триэтиламин. В качестве дегидратирующих веществ пригодны карбодиимиды, как, например, диизопропилкарбодиимид, дициклогексилкарбодиимид или гидрохлорид N-(3-диметиламинопропил)-N’-этилкарбодиимида или же карбонильные соединения, как, например, карбонилдиимидазол или 1,2-оксазолиевые соединения, как, например, 2-этил-5-фенил-1,2-оксазолий-3-сульфонат или ангидрид пропанфосфоновой кислоты или изобутилхлороформат или гексафторфосфат бензотриазолилокси-трис-(диметиламино)фосфония или амид сложного дифенилового эфира фосфорной кислоты или хлорангидрид метансульфокислоты, в случае необходимости в присутствии оснований, таких, как, например, триэтиламин, или N-этилморфолин, или N-метилпиперидин, или дициклогексилкарбодиимид и N-гидроксисукцинимид. Акцепторы кислоты и дегидратирующие вещества в общем применяют в количестве от 0,5 до 3 моль, предпочтительно от 1 до 1,5 моль, на моль соответствующих карбоновых кислот. Перевод в соответствующие фенилглицинамидоамиды (R2/R2′ = -CONH2) осуществляют спиртным аммиаком, предпочтительно насыщенными аммиаком спиртами, такими, как, например, метанол или этанол, предпочтительно метанол, при комнатной температуре. Соединения общей формулы (III) известны или их можно получать стандартными методами. Соединения формулы (II) являются новыми или их получают в результате взаимодействия соединений общей формулы (IV) ![]() где L – типичная удаляемая группа, как, например, хлор, бром, йод, тозилат или мезилат, предпочтительно бром, и R3 имеет вышеуказанное значение, с соединениями общей формулы (V) ![]() где R1 и D имеют вышеуказанное значение, в среде вышеприведенных растворителей, в случае необходимости в присутствии вышеуказанных оснований. Соединения общей формулы (I) обладают антиартериосклеротической и антирестерозной активностью, что подтверждается следующим опытом. Опыт по выявлению ингибирования пролиферации клеток гладких мышц предлагаемыми соединениями Для определения антипролиферативного действия соединений применяют клетки гладких мышц, получаемые из аорт свиней известным методом (см. P. Pocc, J. Cell. Biol. 50, 172, 1971 г.). Клетки помещают в пригодные чашки, как правило, пластины с 96 углублениями, и культивируют при 37oC в течение 2-3 дней в среде 199 вместе с 7,5% ТЭС и 7,5% СНТ (сыворотка новорожденных телят), 2 ммоль L-глутамина и 15 ммоль буфера HEPES, pH 7,4, в атмосфере, содержащей 5% двуокиси углерода. Затем клетки синхронизируют на 2-3 дня путем удаления сыворотки, после чего их возбуждают к росту с помощью сыворотки или других факторов. Одновременно к среде добавляют соединения примеров 16 и 19, соответственно. Через 16-20 часов добавляют 3H-тимидин и по истечении дальнейших 4 часов определяют включение этого вещества в ДНК клеток, способную к осаждению трихлоруксусной кислотой. Для определения значений KT50 вычисляют концентрацию активного начала, которая при последовательном разведении активного начала обеспечивает 50%-ное торможение включения тимидинина, вызываемого 10% ТЭС. В данном опыте KT50 соединений примеров 16, 19 составляет 0,28 и 0,01 нмоль, соответственно. Соединения других примеров проявляют аналогичную активность. Соединения согласно изобретению относятся к категории малотоксичных веществ. С учетом вышеприведенных данных о биологической активности предлагаемых соединений дальнейшим объектом изобретения является фармацевтическая композиция с антиартериосклеротической и антирестенозной активностью, содержащая наряду с по меньшей мере одной инертной нетоксичной, фармацевтически приемлемой целевой добавкой по меньшей мере одно соединение вышеуказанной общей формулы (I), смесь его изомеров или отдельный изомер или его соль в эффективном количестве. Предлагаемая композиция может иметься в виде стандартных препаратов, таких, как, например, таблетки, драже, пилюли, грануляты, аэрозоли, сиропы, эмульсии, суспензии и растворы. Препараты содержат терапевтически эффективное соединение, как правило, в концентрации около 0,5-90% от веса смеси, то есть в количествах, достаточных для достижения нижеприведенного диапазона дозировки. Под “целевой добавкой” подразумевают любые стандартные носители и вспомогательные вещества. Препараты получают, например, путем смешивания активных начал с растворителями и/или носителями, в случае необходимости с применением эмульгаторов и/или диспергаторов, при этом, например, в случае использования воды в качестве разбавителя можно употреблять, в случае необходимости, органические растворители в качестве вспомогательных растворителей. Аппликацию осуществляют стандартным образом, предпочтительно орально или парентерально, в частности чрезъязычно или внутривенно. В случае парентеральной аппликации можно применять растворы активного начала с употреблением пригодных жидких носителей. В общем оказалось преимущественным для достижения эффективных результатов давать активное начало в количестве, равном около 0,001 – 20 мг/кг, предпочтительно около 0,01 – 5 мг/кг от веса тела при внутривенной аппликации, а при оральной аппликации – около 0,01 – 50 мг/кг, предпочтительно 1 – 10 мг/кг от веса тела. В случае необходимости все-таки может быть необходимым отклоняться от вышеуказанных количеств, а именно в зависимости от веса тела или же вида аппликации, индивидуального отношения к лекарству, вида препарата и момента или промежутка времени, в который осуществляется аппликация. Так, в некоторых случаях может быть достаточным применять меньше активного начала, чем вышеуказанное минимальное количество, а в других случаях необходимо превышать вышеназванную максимальную концентрацию. В случае аппликации больших количеств рекомендуется распределять их суточную дозу на несколько разовых доз в течение дня. Предлагаемая фармацевтическая композиция иллюстрируется следующими препаратами. Препарат А. Жидкую композицию, состоящую из 0,1 – 5 мг/мл активного вещества формулы (I), например, соединения примера 16, 5 – 30% этоксилированного спирта жирного ряда (торговый продукт “Кремофор ЭЛ”), 5-10% этанола и воды или физиологического раствора поваренной соли в качестве остатка, готовят следующим образом. Активное вещество растворяют в этаноле при температуре 60oC и при этой температуре добавляют кремофор и получаемую смесь перемешивают. Затем медленно разбавляют водой или физиологическим раствором и получаемый жидкий препарат охлаждают. Препарат Б. Таблетку весом 120 мг, состоящую из 20 мг активного вещества, например, соединения примера N 19, 60 мг микрокристаллической целлюлозы (торговый продукт “авицел РХ 101”), 18 мг высокомолекулярного поливинилпирролидона (торговый продукт “полиплаздоне ХЛ”), 20 мг поливинилпирролидона с молярной массой 250, 1 мг додецилсульфата натрия и 1 мг стеарата магния, готовят следующим образом. Активное вещество диспергируют в предназначенной для гранулирования жидкости, содержащей поливинилпирролидон с молярной массой 250 и додецилсульфат натрия. К получаемой смеси добавляют авицел РХ 101 и полиплаздоне ХЛ с последующим гранулированием в кипящем слое. Получаемый высушенный гранулят просеивают и к нему добавляют стеарат магния. Получаемую смесь гомогенизируют и спрессовывают в круглые таблетки весом 120 мг и диаметром 7 мм. Нижеследующие примеры поясняют получение исходных соединений. Пример I 2-изопропил-бензимидазол ![]() 6,54 г (60 ммоль) 2,3-диаминопиридина смешивают с 5,6 г (60 ммоль) изомасляной кислоты и 45 мл полифосфорной кислоты и нагревают до 130oC в течение 6,5 часов. Через дальнейшие 6,5 часа получаемую смесь подают на 0,4 л ледяной воды и твердой гидроокисью натрия доводят до pH 7. К смеси добавляют карбонат натрия до прекращения образования газа и три раза экстрагируют этилацетатом. Объединенные органические фазы сушат над сульфатом натрия и сгущают. Выход: 8,45 г (87% теории) Rf = 0,36 (смесь дихлорметана и метанола в соотношении 9:1) Пример II Сложный трет.бутиловый эфир транс-2-[4-(2-изопропилбензимидазолил- 1H-метил)фенил]циклогексан-1-карбоновой кислоты ![]() 0,75 г (25 ммоль) 80%-ного гидрида натрия суспендируют в 50 мл диметилформамида, охлаждают до -10oC, после чего при максимальной температуре 0oC прикапывают раствор 4,03 r (25 ммоль) 2-изопропилбензимидазола в 60 мл диметилформамида. После перемешивания в течение 15 минут при макс. 0oC раствор сложного трет.бутилового эфира транс-2-(п-бромметилфенил)-циклогексан-1-карбоновой кислоты подают в 110 мл диметилформамида. После перемешивания при комнатной температуре в течение 2,5 часов смешивают с 25 мл 1-н. уксусной кислоты и сгущают. Остаток распределяют в смеси диэтилового эфира и воды, водную фазу еще два раза экстрагируют, объединенные органические фазы сушат над сульфатом натрия и сгущают. Получаемый продукт очищают путем хроматографии на силикагеле марки 60 с применением в качестве элюента смеси петролейного эфира и этилацетата в соотношении 3:7. Выход: 2,91 г (28% теории) Rf = 0,73 (смесь дихлорметана и метанола в соотношении 9:1) Пример III транс-2-[4-(2-изопролилбензимидазолил-1H-метил)фенил] циклогексанкарбоновая кислота ![]() 2,91 г (6,7 ммоль) соединения примера II подают в 9 мл дихлорметана и смешивают с 9 мл трифторуксусной кислоты в течение 2,5 часов при комнатной температуре. Получаемую смесь сгущают, два раза подают в диэтиловый эфир и еще раз сгущают. Остаток распределяют в смеси диэтилового эфира и воды (pH 10), водную фазу подкисляют и еще три раза экстрагируют. Объединенные органические фазы два раза встряхивают вместе со смесью воды и хлористого аммония, два раза с водой, один раз со смесью воды и бикарбоната натрия и один раз со смесью воды и хлористого аммония. Затем сушат над сульфатом натрия и сгущают. Выход: 2,2 г (86% теории) Rf = 0,45 (смесь дихлорметана и метанола в соотношении 9:1) При этом применяют нижеследующие растворители: А = смесь дихлорметана, метанола и уксусной кислоты в соотношении 9:1: 0,1 Б = смесь дихлорметана, метанола и аммиака в соотношении 9:1:0,1 В = смесь дихлорметана и метанола в соотношении 95:5 Нижеследующие примеры поясняют получение целевых продуктов вышеуказанной формулы (I). Пример 1 и пример 2 N-[(S)-фенилглицинол] амид транс-2-{4-[(2-циклопропил-бензимидазо- 1H-ил)-метил]фенил}-циклогексан-1-карбоновой кислоты ![]() 0,39 г (1 ммоль) транс-2-{4-[(2-циклопропил-бензимидазо-1H- ил)-метил] фенил} -циклогексан-1-карбоновой кислоты подают в раствор 0,14 г (1 ммоль) L-фенилглицинола в 10 мл дихлорметана, охлаждают до -10oC, смешивают с 0,23 г (1,2 ммоль) гидрохлорида N’-(3-диметиламинопропил)-N-этилкарбодиимида и 0,3 мл триэтиламина и перемешивают в течение ночи при комнатной температуре. Для переработки продукт смешивают с дихлорметаном и встряхивают вместе с насыщенным водным раствором хлористого аммония, бикарбоната натрия и, после дополнительного встряхивания вместе с водой, хлористого натрия. Сушат над сульфатом натрия и сгущают. Продукт очищают путем хроматографии на силикагеле марки 60 с применением в качестве элюента смеси дихлорметана и метанола в соотношении 20:1. Выход: 0,16 г (0,32 ммоль/Rf = 0,60 (Б) диа А (пример 1) 0,18 г (0,36 ммоль/Rf = 0,50 (Б) диа А (пример 2) Аналогично примерам 1 и 2 получают приведенные в таблице 2 соединения. Пример 13 Амид сложного метилового эфира транс-2-[4-(2- изопропилбензимидазолил-1H-метил)фенил]-циклогексан-1-карбонил-фенилглицина ![]() 0,55 г (1,46 ммоль) соединения примера III растворяют в атмосфере аргона при -30oC, подают в 12 мл диметилформамида и смешивают с 0,81 мл (5,82 ммоль) триэтиламина и 0,12 мл (1,6 ммоль) мезилхлорида и перемешивают в течение часа. Затем прикапывают раствор 0,35 г (1,7 ммоль) сложного метилового эфира фенилглицина, 0,18 г (1,46 ммоль) N,N-диметиламинопиридина и 0,24 мл (1,72 ммоль) триэтиламина в 10 мл диметилформамида и при перемешивании в течение ночи доводят до комнатной температуры. Потом смешивают с водой и три раза экстрагируют этилацетатом. Объединенные органические фазы сушат над сульфатом натрия и сгущают. Продукт очищают путем хроматографии на силикагеле марки 60 с применением в качестве элюента смеси дихлорметана и метанола в соотношении 20:1. Выход: 0,37 г (48% теории) Rf = 0,51 (смесь дихлорметана и метанола в соотношении 95:5) Пример 14 и пример 15 Амидоамид транс-2-[4-(2-изопропилбензимидазолил-1H- метил)фенил]циклогексан-1-карбонил-фенилглицина ![]() 0,33 г (0,64 ммоль) соединения примера 13 растворяют в 1 мл метанола, смешивают с 4 мл насыщенного аммиаком метанола и перемешивают в течение 5 дней при комнатной температуре. Затем осадок выделяют и раствор сгущают. Остаток очищают путем хроматографии на силикагеле марки 60 с применением в качестве элюента смеси дихлорметана, метанола и аммиака в соотношении 100:5: 0,3. Выход примера 14: 61 мг (19% теории) диа А Rf = 0,36 (смесь дихлорметана и метанола в соотношении 9:1) Выход примера 15: 35 мг (11% теории) диа Б Rf = 0,32 (смесь дихлорметана и метанола в соотношении 9:1) Аналогично примерам 14 и 15 получают приведенные в таблице 3 соединения. Формула изобретения
![]() где D – группа -СН- или атом азота; R1 – фенил, циклоалкил с 3 – 6 атомами углерода, неразветвленный или разветвленный алкил с 1- 5 атомами углерода; R2 – неразветвленный или разветвленный алкоксикарбонил с 1 – 5 атомами углерода или остаток формулы -CO-NH2 или -CH2-OH, смесь их изомеров или отдельные изомеры и их соли. 2. Производные амида фенилциклогексилкарбоновой кислоты общей формулы I по п. 1, где D – группа -СН- или атом азота, R1 – фенил, циклопропил, циклогексил, неразветвленный или разветвленный алкил с 1- 4 атомами углерода, R2 – неразветвленный или разветвленный алкоксикарбонил с 1 – 4 атомами углерода или остаток формулы -CO-NH2 или -CH2-OH, смесь их изомеров или отдельные изомеры и их соли. 3. Производные амида фенилциклогексилкарбоновой кислоты общей формулы I по п. 1, где D – группа -СН- или атом азота, R1 – фенил, циклопропил, этил или изопропил, R2 – неразветвленный или разветвленный алкоксикарбонил с 1 – 4 атомами углерода или остаток формулы -CO-NH2 или -CH2-OH, смесь их изомеров или отдельные изомеры и их соли. 4. Производные амида фенилциклогексилкарбоновой кислоты общей формулы I по п. 1, где заместители R1, R2 и D имеют указанные в таблице значения (см. графическую часть). (В этой таблице используется условное сокращение “диа”, обозначающее диастереомер.) смесь их изомеров или отдельные изомеры и их соли. 5. Фармацевтическая композиция с антиартериосклеротической и антирестенозной активностью, содержащая по меньшей мере одну инертную нетоксичную, фармацевтически приемлемую целевую добавку и по меньшей мере одно активное начало, отличающаяся тем, что в качестве активного начала содержит соединение общей формулы I ![]() где D – группа -СН- или атом азота; R1 – фенил, циклоалкил с 3 – 6 атомами углерода, неразветвленный или разветвленный алкил с 1- 5 атомами углерода; R2 – неразветвленный или разветвленный алкоксикарбонил с 1 – 5 атомами углерода или остаток формулы -CO-NH2 или -CH2-OH, смесь его изомеров, или отдельный изомер, или его соль в эффективном количестве. РИСУНКИ
MM4A Досрочное прекращение действия патента Российской Федерации на изобретение из-за неуплаты в установленный срок пошлины за поддержание патента в силе
Дата прекращения действия патента: 01.02.2002
Номер и год публикации бюллетеня: 5-2004
Извещение опубликовано: 20.02.2004
|
||||||||||||||||||||||||||













