Патент на изобретение №2158260
|
||||||||||||||||||||||||||
(54) СОЕДИНЕНИЯ ДИГАЛОГЕНПРОПЕНА, СОДЕРЖАЩИЕ ИХ ИНСЕКТИЦИДНО/АКАРИЦИДНЫЕ АГЕНТЫ, И ИНТЕРМЕДИАТЫ ДЛЯ ИХ ПОЛУЧЕНИЯ
(57) Реферат: Описываются новые соединения общей формулы (I), где Z – кислород, Х – хлор или бром, Y – кислород, R2 и R3 каждый независимо – галоген или C1-С3-алкил, R1 – Q1 или Q2 формулы, где R5 и R6 – водород или низший алкил, R7 – водород, В – кислород, S(O)q, где q=0, или NR9, где R9 – водород, C(G1)G2, где G1 и G2– кислород, Р=0-6, целое число, А – гетероциклическая кольцевая группа, возможно замещенная (R8)r, выбранная из пиридина, фурана, тиофена, имидазола, пиразола, триазола, изоксазола, бензотиазола, бензоксазола, N-(1,2-дигидро-2-оксо)пиридина, хинолина, N-фталимида, бензимидазола, 1,4-бенздиоксана, 1,3-диоксолана, R8 – галоген, C1-C4-алкил, С1-С3-галогеналкил, C1-C4-алкокси, формил, фенил, возможно замещенный галогеном, r=0-4, целое число. Соединения проявляют инсектицидно/акарицидную активность и могут входить в состав инсектицидно/акарицидных агентов. Описываются также интермедиаты для их получения. Технический результат – увеличение активности вышеуказанных агентов. 6 с. и 18 з.п. ф-лы, 14 ил. 47 табл.
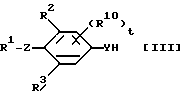
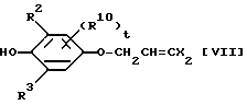
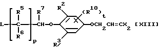
Изобретение относится к соединениям дигалогенпропена, инсектицидно/акарицидным агентам, содержащим эти соединения в качестве активных ингредиентов, и интермедиатам для их получения. Из раскрытого, например, в JP-A 48-86835/1973 и JP-A 49-1526/1974, хорошо известно, что некоторые виды пропеновых соединений можно использовать в качестве активных ингредиентов инсектицидов. С точки зрения их инсектицидно/акарицидной активности невозможно во всех случаях утверждать, что эти соединения достаточно эффективны для борьбы с вредными насекомыми, акариформными и паразитиформными клещами. Авторы настоящего изобретения провели интенсивные исследования с целью найти соединение, обладающее отличной инсектицидно/акарицидной активностью. В итоге обнаружено, и что отдельные соединения дигалогенпропена обладают достаточной инсектицидно/акарицидной активностью для борьбы с вредными насекомыми, акариформными и паразитиформными клещами, осуществив таким образом настоящее изобретение. Другими словами, настоящим изобретением предлагаются соединения дигалогенпропена (в дальнейшем употребляемое как настоящее соединение) общей формулы ![]() в которой Z представляет кислород, серу или NR4 (в которой R4 представляет водород или C1-C3-алкил); Y представляет кислород, серу или NH; X’ы независимо представляют хлор или бром; R2, R3 и R10 представляют галогеналкил или C1-C3-алкил; t представляет целые числа от 0 до 2; а R1 представляет Q1, Q2, Q3, Q4, Q5, Q6 или Q7 общей формулы ![]() ![]() в которой A представляет необязательно замещенную гетероциклическую кольцевую группу, при условии, что, когда A представляет необязательно замещенную гетероциклическую кольцевую группу, содержащую два атома кислорода и конденсированное кольцо бензола, A представляет необязательно замещенный 1,3- бензодиоксалан-2-ил или необязательно замещенный 1,4- бензодиоксан-2-ил; B представляет кислород, S(O)q, NR9, C(=G1)G2 или G1C(=G2); q представляет целые числа от 0 до 2; R9 представляет водород, ацетил или C1-C3-алкил; G1 и G2 независимо представляют кислород или серу; R5, R6, R7, R11 и R12 независимо представляют водород, C1-C3-алкил или трифторметил; R13 и R14 независимо представляют водород, C1-C3-алкил, трифторметил или галоген; p представляет целые числа от 0 до 6; а s представляет целые числа от 1 до 6. Кроме того, настоящее изобретение предлагает инсектицидно/акарицидный агент, содержащий в качестве активного ингредиента вышеуказанное соединение дигалогенпропена. Далее, настоящим изобретением предлагаются нижеследующие соединения, которые в качестве интермедиатов пригодны для получения некоторых следующих соединений: соединение фенола, которое представляет собой 3,5-дихлор-4-(2-(2-(4-хлорфенил)-1,3-диоксалан-4-ил) этокси) фенол; соединения общей формулы ![]() в которой R5, R6 и R7 независимо представляют водород, C1-C3-алкил или трифторметил; R15 представляет галоген, C1-C3-алкил, C1-C3-галогеналкил, C1-C3-алкокси или C1-C3-галогеналкокси; R2, R3 и R10 независимо представляют галоген, C1-C3-алкил или C1-C3-галогеналкил; t представляет целые числа от 0 до 3; u представляет целые числа от 1 до 4; w представляет целые числа от 1 до 4; а B1 представляет кислород, S(O)q или NR9, в которой R9 представляет водород, ацетил или C1-C3-алкил, a q представляет целые числа от 0 до 2; соединения общей формулы [I] , в которой R5, R6 и R7 все представляют водород; а R2 и R3 независимо представляют галоген или C1-C3-алкил; и 2-(3-метансульфонилоксипропилокси) -5-трифторметилпиридин. Переменные величины в вышеприведенных формулах можно рассмотреть на следующих конкретных примерах. Примерами C1-C3-алкильной группы, представленной R2, R3, R4, R5, R6, R7, R9, R10, R11, R12, R13 или R14, являются метил, этил, н-пропил и изопропил. Примерами атома галогена, представленного R13 или R14, являются фтор, хлор, бром и иод. Примерами гетероциклического кольца в необязательно замещенной гетероциклической кольцевой группе, представленной A, являются изоксазол, изотиазол, тиазол, 1,3,4-тиадиазол, пиррол, пиридин, пиридазин, пиримидин, пиразин, 1,2,4-триазин, 1,3,5-триазин, индол, бензофуран, тианафталин, индазол, бензимидазол, бензотриазол, бензизоксазол, бензоксазол, бензотиазол, хинолин, изохинолин, хиназол, пиперидин, пиперазин, тетрагидрофуран, тетрагидропиран, пиразолин, фталимид, диоксан, диоксолан и бензодиоксолан. Примерами заместителей в необязательно замещенной гетероциклической кольцевой группы, представленной A, являются заместители общей формулы: (R8)r (в которой R8 представляет галоген, нитро, циано, C1-C4-алкил, C1-C3-галогеналкил, C1-C4-алкокси, C1-C3-галогеналкокси, C1-C3-алкилтио, C1-C3-галогеналкилтио, C1-C2-тионил, C1-C2-алкилсульфонил, C1-C2-галогеналкилтионил, C1-C2– галогенсульфонил, C2-C4-галогеналкинил, C2-C4-алкинил, C2-C4-галогеналкинил, амино, диметиламино, ацетамидо, ацетил, галогенацетил, формил, карбоксил, метоксикарбонил, C3-C6-циклоалкил, (C1-C2-алкил)аминокарбонил или [ди(C1-C2-алкил) амино] карбонил, или R8 представляет фенил, бензил, фенокси, бензилокси или пиридилокси, каждый из которых необязательно замещен на галоген, C1-C4-алкил, C1-C3-галогеналкил, C1-C4-алкокси или C1-C3-галогеналкокси, a r представляет целые числа от 0 до 7. Примерами атома галогена, представленного R8 или присутствующего в R8, являются фтор, хлор, бром и иод. Примерами C1-C4-алкильной группы, представленной R8 или присутствующей в R8, являются метил, этил, н-пропил, изопропил, н-бутил, изобутил, втор-бутил, трет-бутил. Примерами C1-C3-галогеналкильной группы, представленной R8 или присутствующей в R8, являются трифторметил, дифторметил, бромдифторметил, 2,2,2-трифторэтил, 2-фторэтил, 2-хлорэтил, 2-бромэтил, 1-фторэтил, 1-хлорэтил, 1-бромэтил, 2,2,3,3,3-пентафторпропил, 3,3,3-трифторпропил, 1-фторпропил, 2-хлорпропил и 3-бромпропил. Примерами C1-C4-алкоксигруппы, представленной R8 или присутствующей в R8, являются метокси, этокси, н-пропокси, изопропокси, н-бутокси, втор-бутокси, изобутокси и трет-бутокси. Примерами C1-C3-галогеналкоксигруппы, представленной R8 или присутствующей в R8, являются трифторметокси, дифторметокси, бромфторметокси, 2-фторэтокси, 2,2,2-трифторэтокси, 2-хлорэтокси, 2-бромэтокси, 2-хлор-1,1,2-трифторэтокси, 2-бром-1,1,2-трифторэтокси, 1,1,2,2-тетрафторэтокси, 1,2,2,3,3,3-гексафторпропокси, 3-фторпропокси, 3-хлорпропокси, 3-бромпропокси, 2,2,3,3,3-пентафторпропокси, 3,3,3-трифторпропокси и 1,1,2,2,2-пентафторэтокси. Примерами C1-C3-алкилтиогруппы, представленной R8, являются метилтио, этилтио, н-пропилтио и изопропилтио. Примерами C1-C3-галогеналкилтиогруппы, представленной R8, являются трифторметилтио, дифторметилтио, бромдифторметилтио, 2,2,2-трифторэтилтио, 2-хлор, 1,1,2-трифторэтилтио, 2-бром-1,1,2-трифторэтилтио, 1,1,2,2-тетрафторэтилтио, 2-хлорэтилтио, 2-фторэтилтио, 2-бромэтилтио, 3-фторпропилтио, 3-хлорпропилтио, (3-бромпропилтио, 2,2,3,3,3-пентафторпропилтио и 3,3,3-трифторпропилтио. Примерами C1-C2-алкилсульфинилгруппы, представленной R8, являются метилсульфинил и этилсульфинил. Примерами C1-C2-алкилсульфонилгруппы, представленной R8, являются метилсульфонил и этилсульфонил. Примерами C1-C2-галогеналкилсульфинилгруппы, представленной R8, являются трифторметилсульфинил, 2,2,2-трифторэтилсульфинил и перфторэтилсульфинил. Примерами C1-C2-галогеналкилсульфонилгруппы, представленной R8, являются трифторметилсульфонил, 2,2,2-трифторэтилсульфонил и перфторэтилсульфонил. Примерами C2-C4-алкенильной группы, представленной R8, являются винил, изопропенил, 1-пропенил, 2-этил-1-пропенил, 1-метил-1-пропенил, аллил, 2-метилпропенил и 2-бутенил. Примерами C2-C4-галогеналкенильной группы, представленной R8, являются 2,2-дихлорэтенил, 2,2-дибромэтенил, 3,3-дихлораллил, 3,3-дибромаллил, 2,3-дихлораллил, 2,3-дибромаллил, 2-хлор-2-пропенил, 3-хлор-2-пропенил, 2-бром-2-пропенил и 3-хлор-2-бутенил. Примерами C2-C4-алкинильной группы, представленной R8, являются этинил, 1-пропинил, 2-пропинил и 1-метил-2-пропинил. Примерами C2-C4-галогеналкинильной группы, представленной R8, являются хлорэтинил, бромэтинил, иодэтинил, 3-хлор-2-пропинил, 3-бром-2-пропинил, 3-иод-2-пропинил, 1-метил-3-хлор-2-пропинил, 1-метил-3-бром-2-пропинил и 1-метил-3-иод-2-пропинил. Примерами галогенацетильной группы, представленной R8, являются трифторметилацетил и трихлорацетил. Примерами C3-C6-циклоалкильной группы, представленной R8, являются циклопропил, циклобутил, циклопентил и циклогексил. Примерами C5-C6-циклоалкенила являются 1-циклопентенил, 2-циклопентенил, 3-циклопентенил, 1-циклогексенил, 2-циклогексенил и 3-циклогексенил. Примерами (C1-C2-aлкил)aминoкapбoнильнoй группы, представленной R8, являются метиламинокарбонил и этиленаминокарбонил. Примерами [ди(C1-C2-алкил)амино]карбонильной группы, представленной R8, являются диметиламинокарбонил, N-метил-N-этиламинокарбонил и диэтиламинокарбонил. Ниже следуют предпочтительные примеры настоящего соединения: соединения дигалогенпропена, в которых A представляет 5- или 6-членную гетероциклическую кольцевую группу, включающую по меньшей мере один кислород, серу или азот, и необязательно замещенную (R8)r (в которой R8 представляет галоген, нитро, циано, C1-C4-алкил, C1-C3-галогеналкил, C1-C4-алкокси, C1-C3-галогеналкокси, C1-C3-алкилтио, C1-C3-алкилтионил, C1-C2-алкилсульфонил, C1-C2-галогеналкилтионил, C1-C2-галогеналкилсульфонил, C2-C4-алкенил, C2-C4-галогеналкенил, C2-C4-алкинил, C2-C4-галогеналкинил, амино, диметиламино, ацетамидо, ацетил, галогенацетил, формил, карбоксил, метоксикарбонил, C3-C6-циклоалкил, (C1-C2-алкил)аминокарбонил или [ди(C1-C2-алкил) амино] карбонил, или R8 предоставляет фенил, бензил, фенокси, бензилокси или пиридилокси, каждый из которых необязательно замещен на галоген, C1-C4-алкил, C1-C3-галогеналкил, C1-C4-алкокси или C1-C3-галогеналкокси; a r представляет целые числа от 0 до 7); соединения дигалогенпропена, в которых A представляет 2-пиридил, 3-пиридил, 4-пиридил, 2-тиенил, 3-тиенил, 2-фуранил, 3- фуранил, 5-(1,3-тиазолил), N-(1,2-дигидpo-2-oкco)-пиридино, 1,3- диоксоланил, 1,4-бензодиоксанил, 2-пиразил, 2-бензотиазолил, 2- бензоксазолил, 2-бензимидазолил, 2-хиноксалинил, N-бензимидазолил, 2-хинолил, 3-хинолил или N-фталимидо, каждый из которых необязательно замещен на (R8)r (в которой R8 и r каждый представляет как определили выше); соединения дигалогенпропена, в которых R2 и R3 независимо представляют галоген или C1-C3-алкил, a t представляет 0; соединения дигалогенпропена, в которых R2 и R3 независимо представляют хлор, бром, метил, этил или изопропил, а t представляет 0; соединения дигалогенпропена, в которых R2 и R3 оба и представляют хлор, а t представляет 0; соединения дигалогенпропена, в которых R2 представляет хлор, R3 представляет метил, а t представляет 0; соединения дигалогенпропена, в которых R2 представляет этил, R3 представляет метил, а t представляет 0; соединения дигалогенпропена, в которых R2 и R3 оба представляют бром, а t представляет 0; соединения дигалогенпропена, в которых R2 и R3 оба представляют этил, a t представляет 0; соединения дигалогенпропена, в которых R2 и R3 независимо представляют галоген или C1-C3-алкил, t. представляет 1 или 2, а R10 представляет галоген или C1-C3-алкил; соединения дигалогенпропена, в которых R2 и R3 независимо представляют галоген или C1-C3-алкил, t представляет 1 или 2, а R10 представляет галоген; соединения дигалогенпропена, в которых Y и Z оба представляют кислород; соединения дигалогенпропена, в которых R1 представляет Q1, p представляет 1-6, а A представляет 2-пиридил, 3-пиридил, 4-пиридил, 2-тиенил, 3-тиенил, 2-фуранил, 5-(1,3-тиазолил), N-(1,2-дигидро-2-оксо)пиридино, 1,3-диоксоланил или N-фталимидо, каждый из которых необязательно замещен (R8)r (в которой R8 и r каждый определены выше); соединения дигалогенпропена, в которых R1 представляет Q1, p представляет 1-6, R5, R6 и R7 все представляют водород, а A представляет 1,3-диоксоланил, необязательно замещенный (R8)r (в которой R8 и r каждый определены выше); соединения дигалогенпропена, в которых R1 представляет Q1, p представляет 1-4, R5, R6 и R7 все представляют галоген, а A представляет 1,3-диоксоланил, необязательно замещенный (R8)r (в которой R8 и r каждый определены выше); соединения дигалогенпропена, в которых R1 представляет Q1, p представляет 0, а A представляет 2-пиридил, 4-пиридил, 2-тиенил, 3-тиенил, 2-фуранил, 3-фуранил, 5-(1,3-тиазолил), 1,3-диоксоланил или 1,4-бензодиоксоланил, каждый из которых необязательно замещен (R8)r (в которой R8 и r каждый определены выше); соединения дигалогенпропена, в которых R4 представляет Q2; соединения дигалогенпропена, в которых R1 представляет Q2, а A представляет 2-пиридил, 3-пиридил, 4-пиридил, 2-тиенил, 2-фуранил, 3-фуранил, 5-(1,3-тиазолил), 2-пирадил, 2-бензотиазолил, 2-бензоксазолил, 2-бензимидазолил, 2-хиноксалинил, N-бензимидазолил, 2-хинолинил или 3-хинолил, каждый из которых необязательно замещен (R8)r (в которой R8 и r каждый определены выше); соединения дигалогенпропена, в которых R1 представляет Q2, p представляет 1-4, а А представляет 2-пиридил, необязательно замещенный (R8)r (в которой R8 и r каждый определены выше); соединения дигалогенпропена, в которых R1 представляет Q2, p представляет 1-4, R5, R6 и R7 все представляют водород, а A представляет 2-пиридил, необязательно замещенный (R8)r (в которой R8 и r каждый определены выше); соединения дигалогенпропена, в которых R1 представляет Q2, p представляет 1-4, R5, R6 и R7 все представляют водород, A представляет 2-пиридил, необязательно замещенный (R8)r (в которой R8 представляет галоген или C1-C3-галогеналкил, a r определены выше); соединения дигалогенпропена, в которых R1 представляет Q2, p представляет 2 или 3, R5, R6 и R7 все представляют водород, A представляет 2-пиридил, необязательно замещенный (R8)r (в которой R8 представляет галоген или C1-C3-галогеналкил, a r определены выше); соединения дигалогенпропена, в которых R1 представляет Q2, p представляет 2 или 3, R5, R6 и R7 все представляют водород, A представляет 2-пиридил, необязательно замещенный (R8)r (в которой R8 представляет галоген или трифторметил, a r определены выше); и соединения дигалогенпропена, в которых R1 представляет Q2, p представляет 2 или 3, R5, R6 и R7 все представляют водород, B представляет кислород, A – 2-пиридил, необязательно замещенный (R8)r (в которой R8 представляет галоген или трифторметил, a r определены выше). Ниже представлены особенно предпочтительные примеры настоящего соединения, где номера в скобках соответствуют номерам соединения, используемым далее: (36) 3,5-Дихлор-4-(3-(5-трифторметил-2-пиридилокси)пропилокси)-1-(3,3-дихлор-2-пропенилокси)бензол; (37) 3-Этил-5-метил-4-(3-(5-трифторметил-2-пиридилокси)пропилокси)- 1-(3,3-дихлор-2-пропенилокси)бензол; и (49) 3,5-Дихлор-4-(3-(5-трифторметил-2-пиридиламино)-пропилокси)- 1-(3,3-дихлор-2-пропенилокси)бензол. Данные соединения можно получить с помощью нижеследующих способов получения A-H. (Способ получения A) В этом способе соединение общей формулы; ![]() в которой R1, R2, R3, R10, t, Y и Z каждый определены выше, взаимодействует с галоидным соединением общей формулы L – CH2CH = CX2, в которой X определен выше, а L представляет галоген (например, хлор, бром, иод), мезилокси(метилсульфонилокси) или тозилокси(толилсульфонилокси). Данную реакцию предпочтительно осуществляли в инертном растворителе в присутствии соответствующего основания. Примерами растворителей, которые можно использовать, являются кетоны, такие как ацетон, метилэтилкетон и циклогексанон; простые эфиры, такие как 1,2-диметоксиэтан, тетрагидрофуран, диоксан и диалкильные (например, C1-C4) эфиры (например, диэтиловый эфир, диизопропиловый эфир); N,N-диметилформамид, диметилсульфоксид, сульфоран, ацетонитрил, нитрометан; галогенированные углеводороды, такие как дихлорметан, хлороформ, 1,2-дихлорэтан и хлорбензол; углеводороды, такие как толуол, бензол; и вода. При необходимости можно использовать смесь этих растворителей. Примерами оснований, которые можно использовать, являются гидроксиды щелочных металлов или щелочноземельных металлов, таких как лития гидроксид, натрия гидроксид, калия гидроксид и кальция гидроксид; карбонаты щелочных металлов или щелочноземельных металлов, таких как лития карбонат, калия карбонат, натрия карбонат и кальция карбонат; гидриды щелочных металлов или щелочноземельных металлов, таких как лития гидрид, натрия гидрид, калия гидрид и кальция гидрид; алкоголяты щелочных металлов (например, C1-C4), таких как натрия метилалкоголят, натрия этилалкоголят и калия третбутилат; и органические основания, такие как триэтиламин и пиридин. При необходимости, в реакционную систему добавляли катализаторы, такие как аммониевые соли (например, триэтилбензиламмонийхлорид), в соотношении 0.01-1 моль на моль указанного соединения общей формулы [III]. Температуру данной реакции обычно устанавливали в пределах интервала от -20oC до 150oC или точки кипения растворителя, используемого в данной реакции, предпочтительно -5oC-100oC, или точки кипения растворителя, используемого в данной реакции. Молярные соотношения исходных веществ и оснований, используемых в данной реакции, могут быть определены свободно, но благоприятное влияние на данную реакцию отмечено при эквимолярном соотношении или соотношении, близком к нему. После завершения данной реакции полученную реакционную смесь подвергали далее обычным операциям, таким как экстрагирование органическим растворителем и концентрирование, и выделяли соответствующее соединение настоящего изобретения. Далее, при необходимости выделение очисткой осуществляли обычными методиками, такими как хроматография, дистилляция и перекристаллизация. (Способ получения B настоящих соединений, в которых Y представляет кислород). В этом способе соединение общей формулы [III] взаимодействует с соединением спирта общей формулы HO – CH2CH = CX2 в которой X определен выше. При необходимости данную реакцию предпочтительно осуществляли в инертном растворителе, в присутствии соответствующего дегидратирующего агента. Примерами дегидратирующих агентов, которые можно использовать, являются дициклогексилкарбодиимид и диалкильные (например, C1-C4) азодикарбоксилаты (например, диэтилазодикарбоксилат, диизопропилазодикарбоксилат)-триалкил (например, C1-C20) фосфин или триарилфосфин (например, трифенилфосфин, триоктилфосфин, трибутилфосфин). Примерами растворителей, которые можно использовать, являются углеводороды, такие как бензол, ксилол и толуол; простые эфиры, такие как диэтиловый эфир, диизопропиловый эфир, тетрагидрофуран и диоксан; и галогенированные углеводороды, такие как четыреххлористый углерод, дихлорметан, хлорбензол и дихлорбензол. Температуру данной реакции обычно устанавливали в пределах от -20oC до 200oC или точки кипения растворителя, используемого в данной реакции. Молярные соотношения исходных веществ и дегидратирующих агентов, используемые в данной реакции, могут быть определены свободно, но благоприятное влияние на данную реакцию отмечено при эквимолярном соотношении или соотношении, близком к нему. После завершения данной реакции, полученную реакционную смесь подвергали далее обычным операциям, таким как экстрагирование растворителем и концентрирование, и выделяли соответствующее соединение настоящего изобретения. Далее выделение очисткой осуществляли обычными методиками, такими как хроматография, дистилляция или перекристаллизация. (Способ получения C соединений, в которых Y представляет кислород). В этом способе соединение альдегида общей формулы ![]() в которой R1, R2, R3, R10, t и Z каждый определены выше, взаимодействует с четыреххлористым или четырехбромистым углеродом. Данную реакцию предпочтительно осуществляли в инертном растворителе в присутствии соответствующего триалкилфосфина или триарилфосфина и, по необходимости, в присутствии металлического цинка. Примерами растворителей, которые можно использовать, являются углеводороды, такие как бензол, ксилол и толуол; простые эфиры, такие как диэтиловый эфир, тетрагидрофуран и диоксан; и галогенированные углеводороды (за исключением углерода тетрабромида и углерода тетрахлорида), такие как дихлорметан, 1,2-дихлорэтан и хлорбензол. Температуру данной реакции обычно устанавливали в пределах от -30oC до 150oC или точки кипения растворителя, используемого в данной реакции. Примерами триалкил- (например, C1-C20) фосфина или триарилфосфина являются трифенилфосфин и триоктилфосфин. Металлический цинк, который при необходимости использовали, предпочтительно представлен в виде цинковой пыли. Молярные соотношения исходных веществ и реагентов, используемые в данной реакции, могут быть определены свободно, но предпочтительным соотношением является такое, при котором углерода тетрабромид или тетрахлорид, триалкилфосфин или триарилфосфин и цинк представлены 2 молями, 2 или 4 молями (2 моля при использовании цинка), и 2 молями, соответственно, на моль соединения альдегида общей формулы [VI], или близкими к этому соотношениями, благоприятно влияющими на реакцию. После завершения данной реакции полученную реакционную смесь подвергали далее обычным операциям, таким как экстрагирование органическим растворителем и концентрирование, и выделяли соответствующее соединение настоящего изобретения. Далее выделение очисткой осуществляли обычными методиками, такими как хроматография, дистилляция и перекристаллизация. (Способ D получения соединений, в которых Y и Z оба представляют кислород). В этом способе соединение общей формулы ![]() в которой R2, R3, R10, t и X каждый определены выше, взаимодействует с соединением общей формулы R1-L, в которой R1 и L каждый определены выше. Данную реакцию предпочтительно осуществляли в инертном растворителе в присутствии соответствующего основания. Примерами растворителей, которые можно использовать, являются кетоны, такие как ацетон, метилэтилкетон и циклогексанон; простые эфиры, такие как 1,2-диметоксиэтан, тетрагидрофуран, диоксан и диалкильные (например, C1-C4) эфиры (например, диэтиловый эфир, диизопропиловый эфир); N,N-диметилформамид, диметилсульфоксид, гексаметилфосфотриамид, сульфоран, ацетонитрил, нитрометан; галогенированные углеводороды, такие как дихлорметан, хлороформ, 1,2-дихлорэтан и хлорбензол; углеводороды, такие как толуол, бензол и ксилол; и вода. При необходимости можно использовать смесь этих растворителей. Примерами оснований, которые можно использовать, являются гидроксиды щелочных металлов или щелочноземельных металлов, таких как лития гидроксид, натрия гидроксид, калия гидроксид и кальция гидроксид; карбонаты щелочных металлов или щелочноземельных металлов, таких как лития карбонат, калия карбонат, натрия карбонат и кальция карбонат; гидриды щелочных металлов или щелочноземельных металлов, таких как лития гидрид, натрия гидрид, калия гидрид и кальция гидрид; алкоголяты щелочных металлов (например, C1-C4), таких как натрия метилалкоголят, натрия этилалкоголят и калия третбутилат; органические основания, такие как триэтиламин и пиридин. При необходимости в реакционную систему можно добавлять катализаторы, такие как аммониевые соли (например, триэтилбензиламмонийхлорид), в соотношении от 0.01 до 1 моля на моль указанного соединения общей формулы [VII]. Температуру данной реакции обычно устанавливали в пределах от -20oC до 150oC или точки кипения растворителя, используемого в данной реакции, предпочтительно -5oC – 100oC или точки кипения растворителя, используемого в данной реакции. Молярные соотношения исходных веществ и дегидратирующих агентов, используемые в данной реакции, можно определить свободно, но благоприятное воздействие на данную реакцию отмечено при эквимолярном соотношении или соотношении, близком к нему. После завершения данной реакции полученную реакционную смесь подвергали далее обычным операциям, таким как экстрагирование органическим растворителем и концентрирование, и выделяли соответствующее соединение настоящего изобретения. Дальнейшее выделение очисткой осуществляли обычными методиками, такими как хроматография, дистилляция или перекристаллизация. (Способ E получения соединений, в которых Y и Z оба представляют кислород). В этом способе соединение общей формулы [VII] взаимодействует с соединением спирта общей формулы R1 – OH, в которой R1 определено выше. Данная реакция предпочтительно осуществляется в инертном растворителе, при необходимости в присутствии соответствующего дегидратирующего агента. Примерами дегидратирующих агентов, которые можно использовать, являются дициклогексилкарбодиимид и диалкильные (например, C1-C4) азодикарбоксилаты (например, диэтилазодикарбоксилат, диизопропилазодикарбоксилат)-триалкил (например, C1-C20) фосфин или триарилфосфин (например, трифенилфосфин, триоктилфосфин, трибутилфосфин). Примерами растворителей, которые можно использовать, являются углеводороды, такие как бензол, ксилол и толуол; простые эфиры, такие как диэтиловый эфир, диизопропиловый эфир, тетрагидрофуран и диоксан; и галогенированные углеводороды, такие как углерода тетрахлорид, дихлорметан, хлорбензол и дихлорбензол. Температуру данной реакции обычно устанавливали в пределах от -20oC до 200oC или точки кипения растворителя, используемого в данной реакции. Молярные соотношения исходных веществ и дегидратирующих агентов, используемые в данной реакции, могут быть определены свободно, но благоприятное влияние на данную реакцию отмечено при эквимолярном соотношении или соотношении, близком к нему. После завершения данной реакции полученную реакционную смесь подвергали далее обычным операциям, таким как экстрагирование органическим растворителем и концентрирование, и выделяли соответствующее соединение настоящего изобретения. Далее выделение очисткой осуществляли обычными методиками, такими как хроматография, дистилляция и перекристаллизация. (Способ F получения соединений, в которых Y и Z оба представляют кислород, R1 представляет Q2 или Q3, а B представляет B1 (в которой B1 представляет кислород, серу или NR9 [в которой R9 определено выше])). В этом способе соединение общей формулы ![]() в которой В1, R2, R3, R5, R6, R7, R10, p, t и X каждый определены выше, взаимодействует с соединением общей формулы ![]() в которой A, R11, R12, L и s каждый определены выше. Данную реакцию предпочтительно осуществляли в инертном растворителе в присутствии соответствующего основания. Примерами указанных растворителей, которые можно использовать, являются кетоны, такие как ацетон, метилэтилкетон и циклогексанон; простые эфиры, такие как 1,2-диметоксиэтан, тетрагидрофуран, диоксан и диалкильные (например, C1-C4) эфиры (например, диэтиловый эфир, диизопропиловый эфир); N, N-диметилформамид, диметилсульфоксид, гексаметилфосфотриамид, сульфоран, ацетонитрил, нитрометан; галогенированные углеводороды, такие как дихлорметан, хлороформ, 1,2-дихлорэтан и хлорбензол; углеводороды, такие как толуол, бензол и ксилол; и вода. При необходимости использовали смесь этих растворителей. Примерами оснований, которые можно использовать, являются гидроксиды щелочных металлов или щелочноземельных металлов, таких как лития гидроксид, натрия гидроксид, калия гидроксид и кальция гидроксид; карбонаты щелочных металлов или щелочноземельных металлов, таких как лития карбонат, калия карбонат, натрия карбонат и кальция карбонат; гидриды щелочных металлов или щелочноземельных металлов, таких как лития гидрид, натрия гидрид, калия гидрид и кальция гидрид; алкоголята щелочных металлов (например, C1-C4), таких как натрия метилалкоголят, натрия этилалкоголят и калия третбутилат; органические основания, такие как триэтиламин и пиридин. При необходимости в реакционную систему можно добавлять катализаторы в виде аммониевых солей (например, триэтилбензиламмонийхлорид) в соотношении от 0.01 до 1 моля на моль указанного соединения общей формулы [X]. Температуру данной реакции обычно устанавливали в пределах от -20oC до 150oC или точки кипения растворителя, используемого в данной реакции, предпочтительно -5oC – 100oC, или точки кипения растворителя, используемого в данной реакции. Молярные соотношения исходных веществ и дегидратирующих агентов, используемые в данной реакции, могут быть определены свободно, но благоприятное воздействие на реакцию отмечено при эквимолярном соотношении или соотношении, близком к нему. После завершения указанной реакции полученную реакционную смесь подвергали далее обычным операциям, таким как экстрагирование органическим растворителем и концентрирование, и выделяли соответствующее соединение настоящего изобретения. Далее выделение очисткой осуществляли обычными методиками, такими как хроматография, дистилляция или перекристаллизация. (Способ G получения соединений, в которых Y, Z и В все представляют кислород, a R1 представляет Q2, Q3, Q6 или Q7). В этом способе соединение спирта общей формулы ![]() в которой R2, R3, R10, R5, R6, R7, p, t и X каждый определены выше, взаимодействует с соединением Q21, Q31, Q61 или Q71 общей формулы ![]() в которой R11, R12, R13, R14, A и s каждый определены выше. Данную реакцию предпочтительно осуществляли в инертном растворителе, при необходимости в присутствии соответствующего дегидратирующего агента. Примерами дегидратирующих агентов, которые можно использовать, являются дициклогексилкарбодиимид, и диалкильные (например, C1-C20) азодикарбоксилаты (например, диэтил- азодикарбоксилат, диизопропилазодикарбоксилат)-триалкил (например, C1-C20) фосфин или триарилфосфин (например, трифенилфосфин, триоктилфосфин, трибутилфосфин). Примерами растворителей, которые можно использовать, являются углеводороды, такие как бензол, ксилол и толуол; простые эфиры, такие как диэтиловый эфир, диизопропиловый эфир, тетрагидрофуран и диоксан; и галогенированные углеводороды, такие как углерода тетрахлорид, дихлорметан, хлорбензол и дихлорбензол. Температуру данной реакции обычно устанавливали в пределах – 20oC до 200oC или точки кипения растворителя, используемого в данной реакции. Молярные соотношения данных веществ и дегидратирующих агентов, используемые в данной реакции, могут быть определены свободно, но благоприятное воздействие на данную реакцию отмечено при эквимолярном соотношении или соотношении, близком к нему. После завершения данной реакции, полученную реакционную смесь подвергали далее обычным операциям, таким как экстрагирование органическим растворителем и концентрированию, и выделяли соответствующее соединение настоящего изобретения. Далее выделение очисткой осуществляли обычными методиками, такими как хроматография, дистилляция и перекристаллизация. (Способ H получения соединений, в которых Y и Z оба представляют кислород, a R1 представляет Q2, Q3, Q6 или Q7). В этом способе соединение общей формулы ![]() в которой R2, R3, R5, R6, R7, R10, X, L, p и t каждый определены выше, взаимодействует с соединением Q22, Q32, Q62 или Q7 общей формулы ![]() в которой R11, R12, R13, R14, A, B и s каждый определены выше. Данную реакцию предпочтительно осуществляли в инертном растворителе в присутствии соответствующего основания. Примерами растворителей, которые можно использовать, являются кетоны, такие как ацетон, метилэтилкетон и циклогексанон; простые эфиры, такие как 1,2-диметоксиэтан, тетрагидрофуран, диоксан и диалкильные (например, C1-C4) эфиры (например, диэтиловый эфир, диизопропиловый эфир); N,N-диметилформамид, диметилсульфоксид, гексаметилфосфотриамид, сульфоран, ацетонитрил, нитрометан; галогенированные углеводороды, такие как дихлорметан, хлороформ, 1,2-дихлорэтан и хлорбензол; углеводороды, такие как толуол, бензол и ксилол; и вода. При необходимости можно использовать смесь этих растворителей. Примерами оснований, которые можно использовать, являются гидроксиды щелочных металлов или щелочноземельных металлов, таких как лития гидроксид, натрия гидроксид, калия гидроксид и кальция гидроксид; карбонаты щелочных металлов или щелочноземельных металлов, таких как лития карбонат, калия карбонат, натрия карбонат и кальция карбонат; гидриды щелочных металлов или щелочноземельных металлов, таких как лития гидрид, натрия гидрид, калия гидрид и кальция гидрид; алкоголяты щелочных металлов (например, C1-C4), таких как натрия метилалкоголят, натрия этилалкоголят и калия третбутилат; органические основания, такие как триэтиламин и пиридин. При необходимости к реакционной системе можно добавить катализаторы, такие, как аммониевые соли (например, триэтилбензиламмонийхлорид), в соотношении от 0.01 до 1 моля на моль данного соединения общей формулы [XIV]. Температуру данной реакции обычно устанавливают в пределах от -20oC до 150oC точки кипения растворителя, используемого в данной реакции, предпочтительно -5oC – 100oC или точки кипения растворителя, используемого в данной реакции. Молярные соотношения исходных веществ и дегидратирующих агентов, используемые в данной реакции, определяются свободно, но благоприятное воздействие на данную реакцию отмечено при эквимолярном соотношении или соотношении, близком к нему. После завершения данной реакции полученную реакционную смесь подвергали затем обычным операциям, таким как экстрагирование органическим растворителем и концентрированию, и выделяли соответствующее соединение настоящего изобретения. Далее выделение очисткой осуществляли обычными методиками, такими как хроматография, дистилляция и перекристаллизация. Если соединение по изобретению обладает асимметричным атомом углерода, это свидетельствует о включении его оптически активных изомером ((+)-форма и (-)-форма), обладающих биологической активностью, и их смесей в любом соотношении в объем изобретения. Если указанное соединение проявляет геометрический изомеризм, это свидетельствует о включении его геометрических изомеров (цис-форма и транс-форма) и их смесей в любом соотношении в объем изобретения. Даны типичные примеры соединения по изобретению (в котором R4 показаны в Таблицах 1-46), которые однако не ограничивают объем настоящего изобретения. Примеры, схемы, таблицы и продолжение описания см. в графической части. Т Т Ти Формула изобретения
![]() где Z – кислород; X – хлор или бром; Y – кислород; R2 и R3 каждый независимо – галоген или C1-C3-алкил; R1 – Q1 или Q2 формул ![]() ![]() где R5 и R6 – водород или низший алкил, R7 – водород, B – кислород, S(O)q, где q = O, или NR9, где R9 – водород, C(=G1)G2, где G1 и G2 – кислород; p = 0 – 6, целое число; A – гетероциклическая кольцевая группа, возможно замещенная (R8)r, выбранная из пиридина, фурана, тиофена, имидазола, пиразола, триазола, изоксазола, бензотиазола, бензоксазола, N-(1,2-дигидро-2-оксо)пиридина, хинолина, N-фталимида, бензимидазола, 1,4-бенздиоксана, 1,3-диоксолана, R8-галоген, C1-C4-алкил, C1-C3-галогеналкил, C1-C4-алкокси, формил, фенил, возможно замещенный галогеном, r = 0 – 4, целое число. 2. Соединение дигалогенпропена по п.1, в котором A – 2-пиридил, 3-пиридил, 4-пиридил, 2-тиенил, 3-тиенил, 2-фуранил, 3-фуранил, 2-тиазолил, N-(1,2-дигидро-2-оксо)пиридил, 1,3-диоксоланил, 1,4-бенздиоксанил, 2-бензотиазолил, 2-бензоаксазолил, 1-пиразолинил, 3-хинолил, N-фталимидо, имидазолинил, каждый из которых необязательно замещен (R8)r, где R8 – галоген, C1-C4-алкил, C1-C3-галогеналкил, C1-C4-алкокси, формил, фенил, который может быть замещен галогеном, r = 0 – 4, целое число. 3. Соединение дигалогенпропена по п.1, в котором R2 и R3 – хлор, бром, метил, этил или изопропил. 4. Соединение дигалогенпропена по п.1, в котором R2 и R3 оба – хлор. 5. Соединение дигалогенпропена по п.1, в котором R2 – хлор, R3 – метил. 6. Соединение дигалогенпропена по п.1, в котором R2 – этил, R3 – метил. 7. Соединение дигалогенпропена по п.1, в котором R2 и R3 оба – бром. 8. Соединение дигалогенпропена по п.1, в котором R2 и R3 оба – этил. 9. Соединение дигалогенпропена по п.1, в котором R1 – Q1. 10. Соединение дигалогенпропена по п.1, в котором R1 – Q1, p = 1 – 6, а A – 2-пиридил, 3-пиридил, 4-пиридил, 2-тиенил, 3-тиенил, 2-фуранил, 3-фуранил, 2-тиазолил, N-(1,2-дигидро-2-оксо-пиридил), 1,3-диоксоланил или N-фталимидо, каждый из которых необязательно замещен (R8)r, где R8 – C1-C3-галогеналкил, галоген, C1-C4-алкил, C1-C4-алкокси, формил или фенил, необязательно замещенный галогеном, r = 0 – 4. 11. Соединение дигалогенпропена по п.1, в котором R1 – Q1, p = 1 – 6, R5 – R7 – водород, A – 1,3-диоксоланил, необязательно замещенный (R8)r, в котором R8 – галоген, C1-C4-алкил, C1-C3-галогеналкил, C1-C4-алкокси, формил или фенил, необязательно замещенный галогеном, r = 0 – 4, целое число. 12. Соединение дигалогенпропена по п.1, в котором R1 – Q1, p = 1 – 4, R5 – R7 все – водород, а A – 1,3-диоксоланил, необязательно замещенный на (R8)r, в котором R8 – галоген, C1-C4-алкил, C1-C3-галогеналкил, C1-C4-алкокси, формил или фенил, необязательно замещенный галогеном, r = 0 – 4, целое число. 13. Соединение дигалогенпропена по п.1, в котором R1 – Q1, p = 0, A – 2-пиридил, 4-пиридил, 2-тиенил, 3-тиенил, 2-фуранил, 3-фуранил, 1,3-диоксоланил, 2-тиазолил, 1,4-бензодиоксанил, каждый из которых необязательно замещен (R8)r, где R8 – галоген, C1-C4-алкил, C1-C3-галогеналкил, C1-C4-алкокси, формил или фенил, необязательно замещенный галогеном, r = 0 – 4, целое число. 14. Соединение по п.1, в котором R1 – Q2. 15. Соединение дигалогенпропена по п.1, в котором R1 – Q2, p = 1 – 4, а A – 2-пиридил, необязательно замещенный (R8)r, в котором R8 – галоген, C1-C4-алкил, C1-C3-галогеналкил, C1-C4-алкокси, формил или фенил, который необязательно замещен галогеном, r = 0 – 4, целое число. 16. Соединение дигалогенпропена по п.14, в котором p = 1 – 4, R5 – R7 все – водород, а A – 2-пиридил, необязательно замещенный (R8)r, в котором R8 – галоген, C1-C4-алкил, C1-C3-галогеналкил, C1-C4-алкокси, формил или фенил, который необязательно замещен галогеном, r = 0 – 4, целое число. 17. Соединение дигалогенпропена по п.14, в котором p = 1 – 4, R5 – R7 все – водород, A – 2-пиридил, необязательно замещенный (R8)r, в котором R8 – галоген или C1-C3-галогеналкил, r = 0 – 4, целое число. 18. Соединение дигалогенпропена по п.14, в котором p = 2 или 3, R5 – R7 все – водород, A – 2-пиридил, необязательно замещенный (R8)r, в котором R8 – галоген или C1-C3-галогеналкил, r = 0 – 4, целое число. 19. Соединение дигалогенпропена по п.14, в котором p = 2 или 3, R5 – R7 все – водород, A – 2-пиридил, необязательно замещенный (R8)r, в котором R8 – галоген или трифторметил, r = 0 – 4, целое число. 20. Соединение дигалогенпропена по п.14, в котором p = 2 или 3, R5 – R7 все – водород, B – кислород, A – 2-пиридил, необязательно замещенный (R8)r, в котором R8 – галоген или трифторметил, r = 0 – 4, целое число. 21. Инсектицидный агент, включающий соединение дигалогенпропена по п.1, в качестве активного ингредиента. 22. Акарицидный агент, включающий в качестве активного агента соединение формулы (I) по п.1, в которой Z – кислород, Y – кислород, X – хлор, R2 и R3 независимо – галоген, C1-C3-алкил, R1 – Q1, Q2, где A – необязательно замещенную (R8)r гетероциклическую кольцевую группу, выбранную из пиридина, бензоксазола, фурана, тиофена, в которой R8 представляет галоген, C1-C4-алкил, r = 0, 1, 2, B – O, S(O)q, q = O, где R5 – R7 – водород, p = 0 – 6, целое число. 23. Соединение дигалогенпропена по п.1, которое представляет собой: 3,5-дихлор-4-(2-(2-(4-хлорфенил)-1,3-диоксолан-4-ил)этокси)-1-(3,3-дихлор-2-пропенилокси)бензол, 3,5-дихлор-4-(3-(5-трифторметил-2-пиридилокси)-пропилокси)-1-(3,3-дихлор-2-пропенилокси)бензол, 3,5-дихлор-4-(4-(5-трифторметил-2-пиридилокси)бутокси)-1-(3,3-дихлор-2-пропенилокси)бензол, 3,5-дихлор-4-(3-(3-хлор-5-трифторметил-2-пиридилокси)пропилокси)-1-(3,3-дихлор-2-пропенилокси)бензол, 3,5-дихлор-4-(4-(3-трифторметил-2-пиридилокси)бутокси)-1-(3,3-дихлор-2-пропенилокси)бензол, 3-хлор-5-метил-4-(3-(5-трифторметил-2-пиридилокси)пропилокси)-1-(3,3-дихлор-2-пропенилокси)бензол, 3-хлор-5-метил-4-(4-(5-трифторметил-2-пиридилокси)бутокси)-1-(3,3-дихлор-2-пропенилокси)бензол, 3,5-диэтил-4-(3-(5-трифторметил-2-пиридилокси)пропилокси)-1-(3,3-дихлор-2-пропенилокси)бензол, 3,5-диэтил-4-(4-(5-трифторметил-2-пиридилокси)бутокси)-1-(3,3-дихлор-2-пропенилокси)бензол, 3-этил-5-метил-4-(3-(5-трифторметил-2-пиридилокси)пропилокси)-1-(3,3-дихлор-2-пропенилокси)бензол, 3-этил-5-метил-4-(4-(5-трифторметил-2-пиридилокси)бутокси)-1-(3,3-дихлор-2-пропенилокси)бензол. 24. Соединение пиридина общей формулы II ![]() где R5 – R7 независимо – водород; R15 – CF3; R2 и R3 каждый – хлор; u = 1, w = 2, B1 – кислород. 25. Соединение по п.24, представляющее собой 3,5-дихлор-4-(3-(5-трифторметил-2-пиридилокси)пропилокси)фенол. 26. 2-(3-Метансульфонилоксипропилокси)-5-трифторметилпиридин. Приоритет по пунктам: 14.10.94 по пп.15 – 20, 22; 17.04.95 по пп.11 – 13, 23 – 26; 12.10.95 по пп.1 – 10, 14 и 21. РИСУНКИ
|
||||||||||||||||||||||||||

















