Патент на изобретение №2158221
|
||||||||||||||||||||||||||
(54) ПОЛИЭДРИЧЕСКИЕ КЛОЗО-ГИДРОБОРАТЫ ХИТОЗАНА И СПОСОБ ИХ ПОЛУЧЕНИЯ
(57) Реферат: Синтезированы полиэдрические клозо-гидробораты хитозана состава (XH)2BnHn, где n = 6, 10, 12, а X = C6O4H11N (хитозан), и предложен способ их получения. Способ получения предлагаемых полиэдрических клозо-гидроборатов хитозана заключается во взаимодействии в водной среде веществ, содержащих катионы хитозания и анионы соответствующих полиэдрических клозо-гидроборатных кислот, взятые в мольном отношении 2:1, с образованием осадка целевого продукта и последующим его выделением известными методами. В качестве веществ, содержащих катионы хитозания, используют растворимые соли хитозана или водную суспензию порошкообразного хитозана, а в качестве веществ, содержащих анионы соответствующих полиэдрических клозо-гидроборатных кислот, используют их растворимые соли щелочных и щелочноземельных металлов или сами кислоты. Соединения обладают способностью воспламеняться при поджигании с последующим быстрым и полным сгоранием, что позволяет их использовать в качестве эффективного быстрогорящего материала, например компонента пиротехнических составов. 2 с. и 3 з.п.ф-лы, 3 ил. Изобретение относится к химии полиэдрических боргидридных соединений, а именно к полиэдрическим клозо-гидроборатам хитозана состава (XH)2BnHn, где n= 6, 10, 12, a X=C6O4H11N (хитозан), которые могут быть использованы в качестве быстрогорящего компонента пиротехнических составов, а также к способу их получения. Указанные соединения, их свойства, способ получения и область использования ранее описаны не были. Известны двойные декаборат- и додекаборат-нитраты рубидия и цезия, сходные с заявляемыми наличием в их составе полиэдрических клозо-гидроборатных анионов. Соединения R2B10H10 RNO3 и R2B12H12 RNO3 (R=Rb, Cs) получают взаимодействием в водном растворе веществ, содержащих в себе B10H102--, B12H122-– и NO3–-анионы и R+
Cs2B10H10 CsNO3 и Cs2B12H12 CsNO3 благодаря воспламеняемости и относительно высокому экзоэффекту их сгорания предложено использовать в качестве воспламеняющего вещества (пат. Великобритании N 989295, МКИ С 01 В; С 06 B, F 07 F, 1965).
Недостатком Cs2B10H10 CsNO3 и Cs2B12H12 CsNO3 в качестве воспламеняющего вещества является их относительно невысокая калорийность, а также дороговизна входящего в ее состав цезия.
Наиболее близкими по составу к заявляемым соединениям являются соли полиэдрических клозо-гидроборатных кислот H2B10H10 и H2B12H12 с органическими, например алкиламмониевыми, основаниями (RmNH4-m)OH, где R= CH3, C2H5, C4H9, а m= 1-4. Замена дорогого цезия на более дешевый и легкий алкиламмониевый катион делает более реальным их практическое применение в качестве энергоемкого материала.
Вышеуказанные соединения получают нейтрализацией полиэдрических клозо-гидроборатных кислот соответствующими алкиламмониевыми основаниями при мольном отношении кислоты к основанию, равном 1:2. Из полученного раствора упариванием досуха при температуре выше 100o
Недостатком этих соединений является их низкая горючесть. При поджигании они загораются, но при прекращении воздействия на них пламени гаснут из-за образования поверхностного слоя оксида бора.
Задачей изобретения является получение новых полиэдрических боргидридных соединений, более приемлемых в качестве энергоемкого быстрогорящего материала, т. е. обладающих более высокой горючестью и сравнимых по стоимости с прототипом.
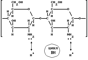
Поставленная задача решается полиэдрическими клозо-гидроборатами хитозана общей формулы 1:![]() где символ “цикл BH” означает один из следующих анионов: B6H62-, B10H102-, B12H122-, и способом их получения. Предлагаемые соединения представляют собой соли полиэдрических клозо-гидроборатных кислот с хитозаном. Хитозан, как известно, является природным положительно заряженным гомополимером брутто-состава (C6O4H11N)x, который получают из хитина живых организмов, например панциря краба или океанического криля (Краткая химическая энциклопедия. Под ред. И.Л.Кнунянц. Т. 5. М.: Советская энциклопедия. 1967. С.683). Хитозан, являясь типичным основанием Льюиса, образует соли с различными кислотами Льюиса. Наиболее известны соли хитозана с уксусной и муравьиной кислотами, которые могут быть получены растворением хитозана в 3%-ных растворах этих кислот. Данных об образовании солей полиэдрических клозо-гидроборатных кислот с хитозаном не выявлено. Для новых соединений обнаружено свойство загораться при температурном воздействии. При этом они продолжают энергично гореть бело-зеленым пламенем и практически полностью сгорают с образованием темного боруглеродсодержащего твердого остатка. Способ получения полиэдрических клозо-гидроборатов хитозана формулы 1 заключается во взаимодействии в водной среде веществ, содержащих катионы хитозания и анионы соответствующих полиэдрических клозо-гидроборатных кислот, взятые в мольном соотношении 2:1, с образованием осадка целевого продукта и последующим его выделением известными методами, по реакции в общем виде: 2(C6O4NH)+ + ВnНn2-= (C6O4H11NH)2BnHn, где n = 6, 10, 12. Образующиеся полиэдрические клозо-гидробораты хитозана выпадают в осадок в виде практически нерастворимых солей, представляющий собой творожистую массу белого цвета. Полученный осадок отделяют от маточного раствора, например, фильтрованием или центрифугированием, а затем сушат до постоянного веса при температуре не выше температуры термодеструкции целевого продукта. В качестве веществ, содержащих катионы хитозания, используют хитозан или его соли, хорошо растворимые в воде, например формиат, ацетат, фторид хитозана. С целью увеличения скорости реакции взаимодействия хитозана с кислотами (которая является твердо-жидкофазной) целесообразно использовать порошкообразный хитозан. Предпочтительным вариантом является использование тонкодисперсной взвеси свежеосажденного хитозана. В качестве веществ, содержащих анионы полиэдрических клозо-гидроборатных кислот используют как сами кислоты, так и их соли щелочных и щелочноземельных металлов, растворимые в воде и не склонные к гидролизу, например соли лития, натрия, калия, рубидия, цезия, аммония, магния, кальция, бария. Оптимальное мольное соотношение катионов хитозания и анионов соответствующих полиэдрических клозо-гидроборатных кислот составляет 2:1. При нарушении оптимального соотношения исходных компонентов снижается степень использования одного из них, т.е. его неоправданный перерасход, что приводит к падению выхода целевого продукта и его удорожанию. Так, при недостатке хитозана или его соли по отношению к полиэдрической клозо-гидроборатной кислоте или к ее соли излишек кислоты или ее соли не связывается с хитозаном и уходит в раствор при фильтровании. При избытке хитозана или его соли сверх заявляемого наблюдается нецелесообразный перерасход указанных веществ. Излишек растворимой соли хитозана теряется, переходя в фильтрат, а в случае использования в избытке хитозана – образуется его смесь с целевым полиэдрическим клозо-гидроборатом хитозана, которую трудно разделить. Это приводит к потере калорийности целевого продукта за счет уменьшения доли высококалорийного боргидридного компонента в продукте. В случае получения целевого продукта взаимодействием солей хитозана и полиэдрических клозо-гидроборатных кислот или ее солей осадок целевого продукта после отделения от маточного раствора отмывают от побочных продуктов реакции. Для упрощения отмывки предпочтительно использовать такие исходные соли, чтобы побочный продукт был как можно лучше растворим. Отделенный от маточного раствора целевой продукт сушат до постоянного веса. Оптимальная температура сушки получаемого осадка не должна превышать в общем случае температуры термодеструкции полиэдрических клозо-гидроборатов хитозана формулы 1 (около 105oC). Опытным путем показано, что при температуре выше 105oC возможны химические изменения в получаемом продукте, подтверждаемые началом затяжного экзоэффекта с потерей веса на ДТА кривой термогравиграмм полиэдрических клозо-гидроборатов хитозана, снятых на воздухе (см. фиг. 1), что может привести к изменению состава и свойств целевого соединения. Доведение полученного продукта до постоянного веса возможно и при меньших температурах, однако это нерационально из-за длительности процесса. Так, например, время сушки образцов целевого продукта, полученных в идентичных условиях, при температуре 100oC составляет до 1,5 ч, а при температуре 60oC – до 8 ч. Выход целевых продуктов, получаемых в результате осуществления способа в заявляемых условиях, близок к 100%, а незначительное его уменьшение связано с механическими потерями вещества на химической посуде. В зависимости от требований потребителя целевой продукт может быть получен различной формы, вида и размера. Так, продавливанием влажного пластического осадка целевого продукта через фильеры с последующим разрезанием нитей на кусочки определенной длины можно получить полиэдрические клозо-гидробораты хитозания в виде нитей или цилиндриков. При разрезании влажных пластин продукта можно получить его в виде пластинок желаемой геометрической формы и заданных размеров. Кроме того, твердый высушенный продукт достаточно легко измельчается в порошок желтоватого цвета. При высыхании тонкой взвеси осадка могут быть получены пленки с хорошей адгезией к поверхности. Рентгенограммы полученных соединений отличаются от рентгенограмм исходных компонентов, что свидетельствует об образовании индивидуальных химических соединений. Снятые на Specord 75-IR и Perkin-Elmer ИК-спектры заявляемых соединений в виде суспензии полиэдрических клозо-гидроборатов хитозана в вазелине и перфторированном масле, а также его тонких пленок, содержат помимо полос поглощения функциональных групп исходного хитозана (фиг. 2) также характерные полосы поглощения, относящиеся к BnHn2- -анионам в области 2425-2480 см-1 (фиг. 3) (на примере додекагидро-клозо-додекабората хитозана в виде суспензии в перфторированном масле). Определение углерода, водорода и азота проводили известными методами, используемыми для анализа органических веществ (Мазор Л. Методы органического анализа. М.: Мир, 1986. С. 147). Содержание бора находили весовым методом, используя весовую форму оксида бора B2O3, образующегося в результате сжигания образца в кварцевой ампуле в процессе микроанализа на углерод и водород. Содержание кислорода определяли по разнице. Чистоту отмывки целевого продукта от катионов металла контролировали по отсутствию их в промывных водах с помощью атомно-адсорбционного анализа. Полиэдрические клозо-гидробораты хитозана проявляют свойства, позволяющие использовать их в качестве эффективного быстрогорящего высококалорийного материала. Известные алкиламмониевые соли полиэдрических клозо-гидроборатных кислот сходны с заявляемыми по составу, строению и свойству воспламеняться при поджигании. Однако без поддерживающего воздействия на них пламенем горение прекращается. Заявляемые соединения обладают значительным преимуществом перед указанными известными соединениями, заключающемся в их более энергичном, быстром, спонтанном и полном сгорании, что может быть объяснено их строением. При связывании полиэдрической клозо-гидроборатной кислоты с хитозаном образуется трехмерная сетчатая структура, в которой BnHn2--анионы расположены в виде отдельных групп, не конгломерированных в прочную кристаллическую решетку. Входящие в состав этого соединения атомы кислорода находятся в непосредственной близости от горючих атомов бора и водорода полиэдрических клозо-гидроборатных анионов, тем самым обуславливая очень тонкое распределение окислителя и горючего. Благодаря сетчатой структуре заявляемых соединений отсутствуют препятствия для свободного доступа молекул кислорода к горючему. Опытным путем также показано, что при горении эти соединения сильно вспучиваются, во много раз увеличиваясь в объеме, что создает улучшенные условия для быстрого и полного протекания твердо-газофазной реакции горения. Таким образом, предлагаемые новые соединения – полиэдрические клозо-гидробораты хитозана – в качестве быстрогорящего высококалорийного материала обеспечивают новый технический результат, что делает их более предпочтительными при использовании на практике. Изобретение иллюстрируется следующими примерами. Пример 1. В качестве исходного используют тонкопомолотый хитозан марки “М” (медицинский), произведенный ТОО “Комбио” (г.Владивосток) по ТУ 15-01 482-88, представляющий собой порошок белого, с желтым оттенком, цвета в виде тонких пластинчатых частиц не более 0,3 мм в поперечнике. Влагосодержание хитозана не более 8,0 %, зольность – не более 0,3 %, остаточных ацетогрупп – не более 4,0%. Элементный состав образца, мас.%: С – 44,8; Н – 6,9; N – 8,6; O – 39,7, что соответствует 98%-ной степени деацетилирования хитина и условному молекулярному весу 162,02 у.е. 0,32405 г (2,00 ммоля) высушенного при 105oC хитозана растворяют в 100 мл 3%-ного водного раствора уксусной кислоты с образованием растворимого ацетата хитозана. К полученному прозрачному вязкому раствору желтоватого цвета добавляют 50 мл водного раствора додекагидро-клозо-додекабората натрия, содержащего 0,18780 г (1,00 ммоль) Na2B12H12. Смесь энергично перемешивают, а образовавшийся творожистый осадок белого цвета отфильтровывают через стеклянный фильтр пористостью 4. Побочный ацетат натрия отмывают на фильтре дистиллированной водой до исчезновения Na+ в промывных водах. Осадок обезвоживают, утрамбовывают, выравнивают по толщине 3-3,5 мм и сушат при температуре 100oC в течение 1,5 ч до постоянного веса. Получают 0,46560 г (0,995 ммоль) додекагидро-клозо-додекабората хитозана в виде округлой пластины светло-коричневого цвета толщиной 1,5-2,0 мм (уменьшение после сушки на 43-50%). Выход продукта 99,5%. Рассчитано для (XH)2B12H12, мас. %: С – 31,01; Н – 7,79; N -5,98; В – 27,72; O – 27,50. Найдено, мас.%: С – 31,0; Н – 7,8; N – 6,0; В – 27,7; O – 27,5. Пример 2. 0,32405 г (2,00 ммоля) высушенного при 105oC хитозана растворяют в 100 мл 3%-ного водного раствора фтористоводородной кислоты с образованием фторида хитозана. К полученному прозрачному вязкому раствору желтоватого цвета добавляют 50 мл водного раствора декагидро-клозо-декабората калия, содержащего 0,19640 г (1,00 ммоль) K2B10H10. Последующие операции до получения целевого продукта осуществляют, как в примере 1. Осадок обезвоживают, заправляют в шприц и выдавливают через отверстие диаметром 1,5 мм в виде нитей длиной 50-100 мм. Нити подсушивают на воздухе до их затвердевания, при этом они укорачиваются на 30-40 и уменьшаются в диаметре на 40-50%. Затем их сушат в бюксе при температуре 105oC в течение 1 ч до постоянного веса. Получают 0,44280 г (0,99 ммоль) (XH)2B10H10 в виде нитей желтоватого цвета, что соответствует 99,0 %-ному выходу целевого продукта. Рассчитано для (XH)2B10H10 мас. %: С – 32,66; Н – 7,75; N – 6,30; В – 24,33; 0 – 28,96. Найдено, мас.%: С – 32,7; Н – 7,7; N – 6,3; В – 24,3; O – 29,0. Пример 3. Получают декагидро-клозо-декаборат хитозана в соответствии с условиями примера 2. Полученные нити целевого продукта слегка подсушивают на воздухе, а затем нарезают кусочками длиной 2-2,5 мм и сушат, как в примере 2. Получают 0,46415 г (0,992 ммоль) декагидро-клозо-декабората хитозана в виде цилиндриков желтоватого цвета, что соответствует 99,2 %-ному выходу целевого соединения. Рассчитано для (XH)2B10H10, мас.%: С – 32,66; Н – 7,75; N – 6,30; В – 24,33; O – 28,96. Найдено, мас.%: С – 32,7; Н – 7,7; N – 6,30; В – 24,3; O – 29,0. Пример 4. 0,32405 г (2,00 ммоля) высушенного при 105oC хитозана растворяют в 100 мл 3%-ного водного раствора уксусной кислоты. К полученному прозрачному вязкому желтоватого цвета раствору добавляют 200 мл водного раствора гексагидро-клозо-гексабората цезия, “содержащего 0,33675 г (1,00 ммоль) Cs2B6H6. Последующие операции до получения целевого продукта и сушку до постоянного веса осуществляют, как в примере 1. Обезвоженный отмытый осадок переносят на стеклянную пластину и распределяют ровным слоем толщиной 1,5-2,0 мм. После этого скальпелем наносят параллельные надрезы с шагом 4-4,5 мм сначала вдоль, а затем поперек пластины. Пластину с продуктом выдерживают на воздухе до высыхания, в результате чего нарезанная масса распадается на отдельные слегка изогнутые квадратные пластинки со стороной 2,0-2,5 мм (уменьшение после сушки 50-45%) и толщиной 0,7-1,0 мм (уменьшение на 53-50%). Получают 0,39420 г (0,993 ммоль) гексагидро-клозо-гексабората хитозана, что соответствует 99,3%-ному выходу целевого продукта. Рассчитано для (XH)2B6H6, мас. %: С – 36,55; Н – 7,65; N – 7,05; В – 16,34; O – 32,41. Найдено, мас.%: С – 36,6; Н – 7,7; N – 7,0; В – 16,3; O – 32,4. Пример 5. 0,32405 г (2,00 ммоля) высушенного при 105oС хитозана растворяют в 100 мл 3%-ного водного раствора уксусной кислоты. К полученному прозрачному вязкому желтоватого цвета раствору ацетата хитозана добавляют 150 мл 0,4 N водного раствора NaOH для образования хитозана. Тонкодисперсный осадок хитозана фильтруют и отмывают дистиллированной водой до полного отсутствия Na+ в промывных водах. Свежеосажденный хитозан переносят в стакан, разбавляют водой до 200 мл, взмучивают и к полученной взвеси добавляют 50 мл водного раствора, содержащего 0,14386 г (1,00 ммоль) H2B12H12. Смесь энергично перемешивают, а образовавшийся творожистый осадок додекагидро-клозо-додекабората хитозания белого цвета отфильтровывают. Остальные операции по примеру 1. Выход целевого соединения – 99,0%. Рассчитано для (XH)2B12H12, мас.%: С – 31,01; Н – 7,79; N – 5,98; В – 27,72; 0 – 27,50 Найдено, мас.%: С – 31,0; Н – 7,8; N – 6,0; В – 27,7; O – 27,5. Пример 6. 0,32405 г (2,00 ммоля) высушенного при 105oC товарного порошкообразного хитозана добавляют в 100 мл воды, а к полученной взвеси – 50 мл водного раствора, содержащего 0,12022 г (1,00 ммоль) H2B10H10. Смесь энергично перемешивают магнитной мешалкой в течение 1 суток при комнатной температуре. При этом по мере образования декагидро-клозо-декабората хитозана исходный светло-желтый порошок хитозана набухает, белеет и переходит в белую творожистую массу. Осадок отфильтровывают и сушат при температуре 100oC в течение 1,5 ч до постоянного веса. Получают 0,44025 г (0,991 ммоль) декагидро-клозо-декабората хитозана в виде желтовато-белого легко перемалываемого в порошок продукта, что соответствует 99,1%-ному выходу целевого соединения. Рассчитано для (XH)2B10H10, мас.%: С – 32,66; Н – 7,75; N – 6,30; В – 24,33; O – 28,96. Найдено, мас.%: С – 32,7; Н – 7,7; N – 6,3; В – 24,3; O – 29,0. Пример 7. Додекагидро-клозо-додекаборат хитозана получают по условиям примера 1 за исключением того, что берут на 0,32405 г (2 ммоля) хитозана 0,18190 г (1,00 ммоль) CaB12H12. Получают 0,46650 г (1,00 ммоль) целевого продукта, что соответствует 99,5%-ному выходу. Рассчитано для (XH)2B12H12, мас.%: С – 31,01; Н – 7,79; N – 5,98; В – 27,72; 0 – 27,50. Найдено, мас.%: С – 31,0; Н – 7,8; N – 6,0; В – 27,7; 0 – 27,5. Пример 8. Додекагидро-клозо-додекаборат хитозания получают в соответствии с условиями примера 1 за исключением количества взятого для синтеза исходного хитозана, которое составляет 0,35645 г (2,20 ммоля). Получают 0,46560 г (0,995 ммоль) додекагидро-клозо-додекабората хитозана, что соответствует 99,5 %-ному выходу (по Na2B12H12) целевого соединения и 90,9%-ной степени использования хитозана. Рассчитано для (XH)2B12H12, мас.%: С – 31,01; Н – 7,79; N – 5,98; В – 27,72; O – 27,49. Найдено, мас.%: С – 31,0; Н – 7,8; N – 6,0; В – 27,7; O – 27,5. Пример 9. Додекагидро-клозо-додекаборат хитозана получают в соответствии с условиями примера 5 за исключением количества взятого для синтеза хитозана, которое составляет 0,34835 г (2,15 ммоля). Получают 0,48730 г продукта светло-коричневого цвета. Рассчитано для (XH)2B12H12, мас.%: С – 31,01; Н – 7,79; N – 5,98; В – 27,72; O – 27,49. Найдено, мас.%: С – 31,7; Н – 7,8; N – 6,0; В – 26,4; O – 28,1. Конечный продукт представляет собой смесь целевого додекагидро-клозо-додекабората хитозана (95,06 мас.%) с исходным хитозаном (4,94 мас.%). Пример 10. Декагидро-клозо-декаборат хитозана получают в соответствии с условиями примера 2 за исключением количества взятого для синтеза хитозана, которое составляет 0,29165 г (1,80 ммоля). Получают 0,39745 г (0,9 ммоль) целевого продукта светло-коричневого цвета, что соответствует 99,4 %-ному выходу по хитозану и 90,0 %-ной степени использования K2B10H10. Рассчитано для (XH)2B10H10, мас.%: С – 32,66; Н – 7,75; N – 6,30; В – 24,33; O – 28,96. Найдено, мас.%: С – 32,7; Н – 7,7; N – 6,3; В – 24,3; O – 29,0. Пример 11. Декагидро-клозо-декаборат хитозана получают в соответствии с условиями примера 6 за исключением количества взятого для синтеза хитозана, которое составляет 0,30785 г (1,90 ммоля). Получают 0,41995 г (0,945 ммоль) декагидро-клозо-декабората хитозана, что соответствует 99,5%-ному выходу по хитозану и 95,0 %-ной степени использования H2В10H10. Рассчитано для (XH)2B10H10, мас. %: С-32,66; Н-7,75; N-6,30; В-24,33; O-28,96. Найдено, масс.%: С-32,7; Н-7,7; N-6,3; В-24,3; O-29,0. Пример 12. Гексагидро-клозо-гексаборат хитозана получают в соответствии с условиями примера 4 за исключением количества взятого для синтеза гексагидро-клозо-гексабората цезия Cs2B6H6, которое составляет 0,30305 г (0,90 ммоль). Получают 0,35410 г (1,79 ммоль) целевого продукта светло-коричневого цвета, что соответствует 99,5%-ному выходу по Cs2B6H6 и 90,0 %-ной степени использования ацетата хитозана. Рассчитано для (XH)2B6H6, мас. %: С – 36,55; Н – 7,65; N – 7,05; В – 16,34; O – 32,41. Найдено, мас.%: С – 36,6; Н – 7,7; N – 7,0; В – 16,3; 0 – 32,4. Пример 13. 0,32405 г (2,00 ммоля) высушенного при 105oC товарного порошкообразного хитозана добавляют в 100 мл воды, а к полученной взвеси – 50 мл водного раствора, содержащего 0,14385 г (1,00 ммоль) H2B12H12. Смесь энергично перемешивают магнитной мешалкой в течение 1 суток при комнатной температуре. Образовавшийся белый творожистый осадок додекагидро-клозо-додекабората хитозана отфильтровывают и сушат при температуре 120oC в течение 0,2 ч до постоянного веса. Получают 0,46090 г (0,985 ммоль) додекагидро-клозо-додекабората хитозана, что соответствует 98,5%-ному выходу целевого продукта. Рассчитано для (XH)2B12H12, мас.%: С – 31,01; Н – 7,79; N – 5,98; В – 27,72; O – 27,50. Найдено, мас.%: С – 34,9; Н – 7,2; N – 6,5; В – 29,9; O – 24,3. Заметное отличие от рассчитанного состава связано с протеканием термоокислительной деструкции (XH)2B12H12 с образованием газообразных продуктов реакции вследствие сушки продукта при температуре выше 105oC. При этом наблюдается и снижение выхода продукта. Формула изобретения
![]() где символ “цикл ВН” означает один из следующих анионов: В6Н62-, В10Н102-, В12Н122-. 2. Способ получения полиэдрических клозо-гидроборатов хитозана общей формулы I, отличающийся тем, что осуществляют взаимодействие в водной среде веществ, содержащих катионы хитозания и анионы соответствующих полиэдрических клозо-гидроборатных кислот, взятые в мольном отношении 2 : 1, с образованием осадка целевого продукта и последующим его выделением известными методами. 3. Способ по п.2, отличающийся тем, что в качестве веществ, содержащих катионы хитозания, используют растворимые соли хитозана или водную суспензию порошкообразного хитозана, а в качестве веществ, содержащих анионы соответствующих полиэдрических клозо-гидроборатных кислот, используют их растворимые соли щелочных и щелочноземельных металлов либо сами кислоты. 4. Способ по п. 2, отличающийся тем, что в случае получения целевого продукта взаимодействием солей хитозана и полиэдрических клозо-гидроборатных кислот осадок целевого продукта после отделения от маточного раствора отмывают от побочных продуктов реакции. 5. Способ по п.2, отличающийся тем, что полученный целевой продукт подвергают сушке до постоянного веса при температуре не выше температуры его термодеструкции. РИСУНКИ
|
||||||||||||||||||||||||||

RNO3 и R2B12H12 
