|
|
(21), (22) Заявка: 2006129779/03, 17.08.2006
(24) Дата начала отсчета срока действия патента:
17.08.2006
(46) Опубликовано: 27.06.2007
(56) Список документов, цитированных в отчете о поиске:
ТРУХАЧЕВ Н.С. и др. Методическое руководство по определению гидродинамических параметров пласта и пластового давления на месторождениях объединения “Нижневолжскнефть”. – Волгоград: ВолгоградНИПИнефть, 1977, с.3-24. RU 2191896 С2, 27.10.2002. RU 2256065 C1, 10.07.2005. RU 2211311 С2, 27.08.2003. RU 2247828 С2, 10.03.2005. RU 2053350 C1, 27.01.1996.
Адрес для переписки:
113042, Москва, ул. Поляны, 9, кв.353, А.В. Беловой
|
(72) Автор(ы):
Белова Анастасия Викторовна (RU)
(73) Патентообладатель(и):
Белова Анастасия Викторовна (RU)
|
(54) СПОСОБ ОПРЕДЕЛЕНИЯ ГИДРОПРОВОДНОСТИ ПЛАСТА
(57) Реферат:
Изобретение относится к нефтяной промышленности и может найти применение при разработке продуктивного пласта и определении гидропроводности продуктивного коллектора. Обеспечивает повышения точности, сокращение времени, упрощение процедуры определения зависимости коэффициента гидропроводности от депрессии на пласт в добывающей скважине, уменьшение потерь добычи нефти. Сущность изобретения: способ включает эксплуатацию скважины на установившемся режиме перед проведением гидродинамического исследования, гидродинамическое исследование скважины методом восстановления давления, определение забойного давления и продолжающегося притока жидкости из пласта в скважину после ее остановки, математическую обработку результатов замеров. Согласно изобретению, предварительно исследуют пласт методом гидропрослушивания или фильтрационных волн давления, определяют коэффициент пьезопроводности пласта и приведенный радиус скважины, учитывающий ее гидродинамическое несовершенство. При математической обработке результатов замеров строят график зависимости условного размера возмущенной области пласта от функции влияния притока жидкости в скважину на распространение в пласте фронта возмущения. Построенный график аппроксимируют полиномом, для каждого замера приращения забойного давления и продолжающегося притока жидкости из пласта в скважину вычисляют последовательно величины функции влияния притока жидкости в скважину на распространение в пласте фронта возмущения, условного размера возмущенной области пласта, функции восстановления забойного давления. Строят график функции восстановления забойного давления в зависимости от продолжающегося притока жидкости из пласта в скважину. Построенный график аппроксимируют полиномом, по свободному члену которого определяют коэффициент гидропроводности пласта при эксплуатации скважины на установившемся режиме. Для каждого замера дебита вычисляют коэффициент гидропроводности пласта, соответствующий притоку жидкости в скважину с дебитом. Рассчитывают депрессию при установившемся режиме эксплуатации скважины. Строят график зависимости гидропроводности от депрессии на пласт при установившихся режимах эксплуатации добывающей скважины. 2 табл., 5 ил.
(56) (продолжение):
CLASS=”b560m”RU 2128770 C1, 10.04.1999. RU 2167289 С2, 20.05.2001. RU 2202039 С2, 10.04.2003. SU 1263831 A1, 15.10.1986. SU 646037 A, 10.02.1979. SU 861563 A, 07.09.1981. RU 2112138 C1, 27.05.1998. US 3548940 С2, 10.02.2001.
Изобретение относится к нефтяной промышленности и может найти применение при разработке продуктивного пласта и определении гидропроводности продуктивного коллектора.
Известен способ определения физических параметров пласта, включающий снижение уровня жидкости в скважине, регистрацию во времени повышения уровня жидкости в скважине регистрационными приборами, построение по полученным данным графиков измерения забойного давления, дебита притока жидкости в зависимости от депрессии забойного давления и времени исследования и определение физических параметров призабойной зоны пласта, скин-эффекта и депрессии на его преодоление, других физических параметров, связанных с параметрами удаленной зоны пласта /1/.
Недостатками известного способа /1/ являются:
– большой объем исследовательских работ в связи с необходимостью многократно проводить снижения уровня жидкости в стволе скважины; что влечет значительные материальные и трудовые затраты, неизбежные потери нефтедобычи из-за многочисленных простоев скважин;
– не решается задача определения зависимости гидропроводности пласта от депрессии на установившихся режимах эксплуатации скважины. Это связано с тем, что при обработке замеренных данных о забойном давлении и притоке в известном способе /1/ используются расчетные уравнения упругого режима фильтрации, основанные на постоянных величинах фильтрационных параметров. Зависимость гидропроводности от депрессии на пласт является следствием нелинейных эффектов, отсюда применяемый методический аппарат должен основываться на нелинейной теории фильтрации.
Наиболее близким к изобретению по технической сущности является способ определения фильтрационных параметров пласта по начальным участкам кривых восстановления давления, включающий эксплуатацию добывающей скважины на установившемся режиме, исследование скважины методом восстановления давления, в ходе исследования определяются кривые восстановления забойного давления (КВД) и продолжающегося притока (КПП) жидкости из пласта в скважину, найденные величины использованы для определения по представленным формулам изменений гидропроводности пласта от времени восстановления давления. В итоге по данным гидродинамических исследований добывающей скважины методом восстановления давления определяется зависимость изменений гидропроводности от времени восстановления давления /2/.
Недостатками известного способа /2/ являются:
– применение для создания способа традиционной модели фильтрации флюида в однородном пласте с постоянной гидропроводностью, после этого на основе этой модели определяется зависимость изменений гидропроводности пласта от времени восстановления давления;
– необоснованность ограничений и допущений, принятых в основной расчетной формуле. В результате необоснованных упрощений основной расчетной формулы определяемые величины гидропроводности пласта существенно завышены;
не решается задача определения зависимости гидропроводности пласта от депрессии на установившихся режимах эксплуатации скважины, поскольку для интерпретации данных исследований скважины методом восстановления давления в способе /2/ использованы линейные уравнения упругого режима, хотя изменения гидропроводности соответствуют нелинейным фильтрационным эффектам. Необходимо применение методического аппарата нелинейной теории фильтрации с учетом, в первую очередь, структурно-механических свойств пластовой системы.
В изобретении решается задача повышения точности, сокращения времени, упрощения процедуры определения зависимости гидропроводности от депрессии на пласт в добывающей скважины, уменьшения потерь добычи нефти.
Задача решается тем, что в способе определения гидропроводности пласта, включающем эксплуатацию скважины на установившемся режиме перед проведением гидродинамического исследования, гидродинамическое исследование скважины методом восстановления давления, определение забойного давления и продолжающегося притока жидкости из пласта в скважину после ее остановки, математическую обработку результатов замеров, согласно изобретению предварительно исследуют пласт методом гидропрослушивания или фильтрационных волн давления, определяют коэффициент ее пьезопроводности пласта и приведенный радиус скважины rc, учитывающий ее гидродинамическое несовершенство, а при математической обработке результатов замеров строят график зависимости условного размера возмущенной области пласта от функции влияния (t) притока жидкости в скважину на распространение в пласте фронта возмущения, построенный график аппроксимируют полиномом, для каждого замера приращения Рc(tj) забойного давления и продолжающегося притока Qj жидкости из пласта в скважину вычисляют последовательно величины функции влияния j притока жидкости в скважину на распространение в пласте фронта возмущения, условного размера возмущенной области пласта, функции восстановления забойного давления по величинам строят график функции восстановления забойного давления в зависимости от продолжающегося притока жидкости Q(t) из пласта в добывающую скважину, построенный график аппроксимируют полиномом, по свободному члену bo которого определяют коэффициент гидропроводности пласта о при эксплуатации скважины на установившемся режиме с дебитом Qo, для каждого замера Qj по найденны м величинам и о вычисляют коэффициент гидропроводности пласта j, соответствующий притоку жидкости в добывающую скважину с дебитом Qj, при этом по найденным величинам j рассчитывают депрессию Pj(rс) при установившемся режиме эксплуатации скважины с дебитом Qj в пласте с гидропроводностью j, по величинам Рj(rc), j строят график зависимости гидропроводности =f[ Р(rс)] от депрессии на пласт при установившихся режимах эксплуатации добывающей скважины.
Сущность изобретения
Выбор и реализация рационального способа эксплуатации нефтедобывающих скважин основаны на информации о фильтрационных и энергетических характеристиках пласта. При этом режимы работы применяемого скважинного оборудования определяются, главным образом, продуктивными возможностями залежей. Основным интегральным параметром, характеризующим пропускную способность коллектора при течении сквозь него насыщающего флюида, является коэффициент гидропроводности пласта :

где – коэффициент гидропроводности пласта, мкм2·см/(мПа·с); k – коэффициент проницаемости пласта при течении сквозь него флюида, мкм2; h – эффективная толщина пласта, см; – коэффициент динамической вязкости флюида в пластовых условиях, мПа·с.
Согласно линейной теории, даже весьма слабое возмущение (малый градиент давления) от изменения режима работы скважины вызывает реакцию (фильтрацию со скоростью, пропорциональной величине градиента давления) во всей дренируемой области, при этом k, h, , а следовательно, и коэффициент гидропроводности пласта сохраняются неизменными в течение всего процесса.
Это противоречит многочисленным промысловым данным. Изучением геофизическими и гидродинамическими методами показывают /3, 4/, что гидропроводность пласта существенно изменяется как при длительной разработке залежи, так и в ходе кратковременных исследований скважины. Исследованиями профилей притока одного пласта, состоящего из пропластков разной проницаемости, устанавливают рост отношения работающих интервалов к эффективной мощности при увеличении депрессии, при малой депрессии наименее проницаемый, но наиболее нефтенасыщенный пропласток вообще не участвовал в процессе.
Значительная часть нефтяных коллекторов характеризуется неоднородностью текстуры минералогического состава и физических свойств, даже в пределах одного типа пород наблюдаются значительные колебания проницаемости. При изменении пористости в достаточно узком диапазоне существенный разброс проницаемости обусловлен в основном различной структурой пустотного пространства. Элементы поровой среды с пониженной проницаемостью отличают большая удельная поверхность породы. Здесь существеннее роль поверхностного натяжения, смачиваемости и растекания, т.е., роль явлений, происходящих на границе твердого тела с жидкостью. Как следствие замедление во времени фильтрации до полной закупорки поровых каналов из-за возрастания толщины коллоидных пленок.
Влияние структурно-механических свойств системы жидкость – горная порода на взаимодействие проницаемой среды с насыщающей жидкостью проявляется в виде нелинейности между градиентом гидродинамических сил и скоростью фильтрации, является причиной зависимости гидропроводности пласта от режима работы скважины /3/. Одно из проявлений нелинейности – наличие предельного градиента давления, по достижении которого скорость движения резко замедляется, вплоть до полной остановки, течение при этом описывается нелинейным законом фильтрации.
Отсюда коэффициент гидропроводности коллектора – параметр, зависящий не только от строения, свойств коллектора и вмещающего флюида, но и от распределения пластового давления, депрессии на пласт, градиента пластового давления. Следовательно, гидропроводность пласта изменяется не только с изменением его насыщенности (например, при замещении нефти водой), но и со сменой режимов эксплуатации скважины, в ходе разработки залежи и гидродинамических исследований. Тогда строение пласта представляют набором тонких горизонтальных прослоев различной проницаемости и толщины /3/, течение жидкости в которых подчиняется нелинейному закону фильтрации и происходит при различных депрессиях, распределение давления вдоль каждой вертикальной линии принимают гидростатическим.
При плоскорадиальном осесимметричном течении жидкости, обусловленном работой скважины, наибольшие скорости фильтрации в каждом из работающих прослоев наблюдают на стенках скважины, здесь же имеют место наибольшие градиенты давления. Для притока жидкости в скважину из наиболее проницаемого прослоя нужно создать на забое незначительный градиент пластового давления, но превышающий здесь начальный градиент сдвига. Этот начальный градиент сдвига для наиболее проницаемого прослоя является минимальным, в остальных менее проницаемых прослоях пласта начальный градиент сдвига больше. С ростом градиента давления на стенке скважины начинается течение и в других, менее проницаемых прослоях, с большими предельными градиентами давления, по мере вовлечения в фильтрацию новых прослоев суммарная гидропроводность пласта возрастает. Так что для плоскорадиального потока изменения суммарной гидропроводности работающих прослоев пласта прямо связаны с изменениями градиента давления на стенке скважины и депрессии.
Теоретической основой известных способов определения гидропроводности является линейная теория упругого режима, предполагающая выполнение линейного закона фильтрации в ходе нестационарного перераспределения давления в пласте и изменения упругого запаса пласта и жидкости, связанных с пуском или остановкой скважин, изменением режимов их работы. Поведение нестационарных процессов определяется строением пластовых систем, параметрами пласта и скважины, которые при этом неизменны.
Теоретической основой предлагаемого способа является нелинейная теория упругого режима, предполагающая выполнение нелинейного закона фильтрации в ходе нестационарного перераспределения давления в пласте и изменения упругого запаса пласта и жидкости, связанных с пуском или остановкой скважин, изменением режимов их работы, при этом в ходе неустановившейся фильтрации в пласте коэффициент гидропроводности изменяется с изменением градиента давления на стенке скважины и депрессии на пласт.
В изобретении решают задачу определения изменения гидропроводности пласта по кривой восстановления забойного давления (КВД) и кривой продолжающегося притока жидкости (КПП) в скважину, полученным в результате гидродинамического исследования после ее остановки.
Задача решается следующим образом
Перед проведением гидродинамического исследования на неустановившемся режиме нефтедобывающую скважину эксплуатируют на установившемся режиме, при этом происходит стационарное течение жидкости в пласте, дебит Q0, забойное давление Рc и депрессия Р(rc)=Рпл-Рс стабилизируются [здесь Рпл – пластовое давление на забое длительно простаивающей скважины].
Для нахождения зависимости гидропроводности от депрессии предварительно определяют коэффициент пьезопроводности пласта æ одним из двух способов:
при реализации основного способа выполняют исследование залежи методом гидропрослушивания или фильтрационных волн давления. В качестве возмущающей используют нефтедобывающую скважину, при гидропрослушивании возмущение в пласте создают пуском нефтедобывающей скважины в эксплуатацию с дебитом Q0 или ее остановкой после эксплуатации с дебитом Q0, при создании фильтрационных волн давления амплитуду гармонических колебаний дебита устанавливают равной Q0. Величину æ определяют совместной интерпретации данных КВД и гидропрослушивания (фильтрационных волн давления);
второй, вспомогательный способ реализуют, если исследование залежи методом гидропрослушивания или фильтрационных волн давления не проводили. При этом приближенно оценивают æ по результатам работы скважины на установившемся режиме:

где æ – коэффициент пьезопроводности пласта, вычисленный здесь в первом приближении, м2/с; Рпл – пластовое давление на забое длительно простаивающей скважины, МПа; Рс – стационарное забойное давление при установившемся режиме эксплуатации скважины с дебитом Q0, МПа; rк – радиус участка залежи для реализованной схемы размещения скважин, дренируемого добывающей скважиной на установившемся режиме эксплуатации с дебитом Q0, м; Rс – радиус скважины, м; * – коэффициент упругоемкости пласта, насыщенного жидкостью, МПа-1; ho – эффективная толщина пласта, м; Qo – объемный дебит скважины на установившемся режиме эксплуатации до остановки, л/мин или м3/сут в пластовых условиях; – переводной коэффициент, если размерность |Qo|=л/мин, то =0,37699·106, если |Qo|=м3/сут, то =0,54287·106.
В последующем (во втором приближении процедуры обработки КВД и КПП) расчетную величину æ уточняют.
При расчете æ по формуле (2) исходные параметры определяют принятой схемой размещения скважин (rк), по паспорту скважины (Rс), при анализе проб жидкости, керна и состояния разработки залежи *, Рпл), в результате промыслово-геофизических и гидродинамических исследований скважины (ho, rк, Pпл, Рс, Qo).
При проведении исследования методом восстановления давления прекращают эксплуатацию нефтедобывающей скважины путем остановки глубинного насоса или закрытия задвижки фонтанной арматуры. В ходе исследования в моменты времени t после остановки определяют забойное давление Рс(t) и продолжающийся приток жидкости Q(t) из пласта в добывающую скважину одним из следующих способов:
непосредственными замерами скважинными глубинным манометром и дебитомером-расходомером, установленными выше интервала перфорации;
косвенным, расчетным путем по росту устьевых давлений и уровня в стволе скважины; комбинированными замерами с использованием глубинных и устьевых манометров, звукометрических методов.
Начало отсчета t=0 соответствует моменту прекращения эксплуатации (остановки) добывающей скважины. Определенное при этом забойное давление Рс(t=0) равно стационарному забойному давлению Рс при эксплуатации скважины до остановки.
Таким образом, в ходе исследования скважины методом восстановления давления в дискретные моменты времени t после остановки определяют величины:
продолжающегося притока жидкости Q(t) из пласта в добывающую скважину, л/мин или м3/сут;
приращения Рс(t) забойного давления Рс(t) после остановки скважины над забойным давлением Рс до остановки, МПа:

Приток жидкости Q(t) из пласта в скважину снижается (затухает) во времени до полного прекращения, а приращение Рс(t) растет и стремится к величине стационарной депрессии на пласт Р(rс)=Рпл-Рс при установившемся режиме эксплуатации скважины с дебитом Q0.
Полученные данные образуют исходный массив tj, Qj, Рс(tj) при j=0; 1, 2, …М. Пример такого массива с результатами последующей обработки КВД и КПП нефтедобывающей скважины предлагаемым способом приводят в табл.1.
На основе исходного массива (табл.1) строят кривые восстановления забойного давления Рс(t) и продолжающегося притока жидкости Q(t) из пласта в скважину после ее остановки. Пример построения КВД и КПП показывают на фиг.1, где на оси абсцисс помещают величины логарифма lg tj (tj – в секундах); на оси ординат – приращения забойного давления Pc(tj), МПа, продолжающегося притока Qj нефти в скважину, л/мин, в моменты времени tj после остановки. На фиг.1: кривая 1 – приращение Рс(t) забойного давления Pc(t) после остановки скважины над забойным давлением Рс до остановки; кривая 2 – продолжающийся приток Q(t) нефти в скважину после ее остановки; отрезок 3 – касательная к заключительному участку КВД, соответствующему плоскорадиальной неустановившейся фильтрации нефти в пласте при отсутствии притока в скважину.
Перед процедурой определения изменения гидропроводности пласта на КВД выделяют диагностическими методами, например, с использованием билогарифмического графика производных давления, заключительный участок, соответствующий плоскорадиальной неустановившейся фильтрации при отсутствии притока жидкости из пласта в скважину. Далее методом касательной (фиг.1) к заключительному участку КВД в полулогарифмических координатах Рс(t)-lgt, соответствующему плоскорадиальной неустановившейся фильтрации при отсутствии притока жидкости из пласта, определяют приведенный радиус скважины rc, учитывающий ее гидродинамическое несовершенство, одним из двух способов:
по угловому коэффициенту касательной к заключительному участку КВД и отрезку, отсекаемому касательной на оси Рс(t);
по угловому коэффициенту касательной к заключительному участку КВД и коэффициенту продуктивности Q0/ Р(rc) добывающей скважины на установившемся режиме эксплуатации до остановки на КВД.
Процедура обработки КВД и КПП для определения изменения гидропроводности пласта такова:
1. Задают вспомогательный массив N значений радиуса R(t) фронта возмущения в пласте в момент (от прекращения эксплуатации скважины, при этом rс R(t) rк:

rк – радиус участка залежи, дренируемого добывающей скважиной на установившемся режиме эксплуатации с дебитом Q0; rс – приведенный радиус скважины, учитывающий ее гидродинамическое несовершенство.
Величины rc; R(t), rк имеют одинаковую размерность:
|rc|=|R(t)|=|rк|=м.
Пример вспомогательного массива к обработке КВД и КПП нефтедобывающей скважины предлагаемым способом приводят в табл.2.
2. Для каждого значения Ri, из массива (4) вычисляют величины:
функции j влияния притока жидкости в скважину на распространение в пласте фронта возмущения:

условного размера возмущенной области пласта от остановки скважины:

В формуле (6) величины безразмерны; остальные величины в (5), (6) имеют размерности:
|rc|=|Ri|=м; | i|=м2.
Вычисленные величины функций i, lg i и заносят в соответствующие колонки табл.2.
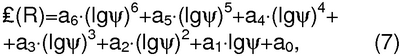
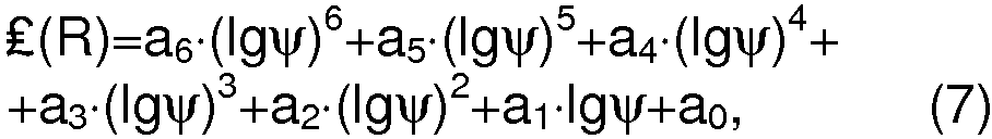
3. Пары значений соответствующих величинам Ri при i=0, 1, 2, …N, наносят на график: lg i (Ri) – на ось абсцисс; – на ось ординат. После помещения на график всех вычисленных значений из табл.2 выполняют аппроксимацию точек графика например, полиномом 6-й степени:

где a6; a5; a4; а3; a2; a1; а0 – коэффициенты аппроксимации точек графика полиномом 6-й степени безразмерны.
Пример зависимости условного размера возмущенной области пласта от функции влияния [R(t)] притока нефти в скважину на распространение в пласте фронта возмущения представлен на фиг.2, где на оси абсцисс размещают величины логарифма lg i(Ri) (размерность i(Ri) – м2), на ось ординат – безразмерные величины Величины рассчитывают соответственно по формулам (5), (6) для вспомогательного массива (4) радиуса R(t) фронта возмущения. На фиг.2: точки 1 – значения соответствующие величинам Ri вспомогательного массива (4); 2 – аппроксимация зависимости полиномом 6-й степени (7).
4. Находят величины функции j, соответствующие моментам tj (табл.1). В первом приближении обработки КВД и КПП расчет j производят по формуле:

при j=0, 1, 2, …М в исходном массиве (табл.1).
Величины в формуле (8) имеют размерности:
|tj|=c; |æ|=м2/c; | i|=м2.
Для каждой найденного значения j определяют десятичный логарифм lg j.
5. Величины j и lg j заносят в соответствующие колонки табл.1. Каждую из величин lg j используют далее для вычисления по аппроксимации (7) условного размера возмущенной области пласта от остановки скважины в момент tj:

где a6; a5; a4; а3; a2; a1; a0 – найденные выше (фиг.2) коэффициенты полинома (7); j=0, 1, 2, …М в исходном массиве (табл.1).
6. Для каждого момента tj исходного массива (табл.1) при j=0, 1, 2, …М вычисляют функцию восстановления забойного давления Ïj;

где – функция восстановления забойного давления в момент tj, МПа; Pc(tj) – приращение забойного давления в момент tj после остановки скважины над забойным давлением до остановки (табл.1), МПа; – условный размер возмущенной области пласта от остановки скважины (табл.1) в момент tj, вычисляют по формуле (9).
Определенные величины заносят в соответствующую колонку табл.1 и используют для построения графика 
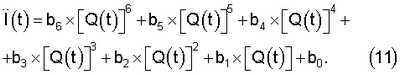
7. Выполняют аппроксимацию точек графика например, полиномом 6-й степени:

где b6; b5, b4; b3; b2; b1; b0 – коэффициенты аппроксимации точек графика полиномом 6-й степени.
Если размерность притока |Q(t)|=л/мин, то |b6|=МПа/[л/мин]6;
|b5|=МПа/[л/мин]5; |b4|=МПа/[л/мин]4; |b3|=МПа/[л/мин]3;
|b2|=МПа/[л/мин]2; |b1|=МПа/[л/мин]; |b0|=МПа.
Если |Q(t)|=м3/сут, то |b6|=МПа/[м3/сут]6; |b5|=МПа/[м3/сут]5;
|b4|=МПа/[м3/сут]4; |b3|=МПа/[м3/сут]3; |b2|=МПа/[м3/сут]2;
|b1|=МПа/[м3/сут]; |b0|=МПа.
Пересечение графиком оси ординат происходит в точке А [0; b0] с координатами, соответственно:

где b0 – свободный член полинома (11).
Для примера на фиг.3 приведен график функции восстановления забойного давления в зависимости от продолжающегося притока нефти Q(t) из пласта в добывающую скважину, расчет в первом приближении. Для примера на фиг.4 приведен аналогичный график расчета функции во втором приближении. На оси абсцисс фиг.3 и 4 помещают величины продолжающегося притока нефти Qj, м3/сут; на оси ординат – величины функции восстановления забойного давления МПа, в моменты времени tj после остановки. Пересечение графика оси ординат в точке А определяется аппроксимацией заключительного участка кривой: в первом приближении координаты точки А (0; 1,15934 МПа), во втором – А (0; 1,17510 МПа). На фиг.3, 4: кривая 1 – график кривая 2 – аппроксимация полиномом 6-й степени заключительного участка графика 3 – точка А пересечения графиком оси ординат.
8. Коэффициент гидропроводности пласта o при эксплуатации скважины на установившемся режиме с дебитом Qo определяют так:

где o – коэффициент гидропроводности пласта при эксплуатации скважины на установившемся режиме с дебитом Qo, мкм2·см/(мПа·с); b0 – свободный член полинома (11), равен ординате точки А пересечения графиком Ï(t) оси ординат, МПа; – переводной коэффициент, если размерность |Qo|=л/мин, то =3,76991, если |Qo|=м3/сут, то =5,42867.
9. Для каждого момента tj (при j=0, 1, 2, …М) исходного массива (табл.1) коэффициент гидропроводности пласта j, соответствующий притоку жидкости в добывающую скважину с дебитом Qj, определяют зависимостью:

где j – коэффициент гидропроводности пласта, соответствующий притоку жидкости в добывающую скважину с дебитом Qj, мкм2·см/(мПа·с).
Найденные величины j помещают в табл.1.
10. Рассчитывают стационарную депрессию Pj(rc) на пласт при установившемся режиме эксплуатации скважины с дебитом Oj в пласте гидропроводностью j при j=0, 1, 2, …М:

где Pj(rc) – стационарная депрессия на пласт при установившемся режиме эксплуатации скважины с дебитом Qj в пласте гидропроводностью j, МПа; j – коэффициент гидропроводности пласта, соответствующий притоку жидкости в добывающую скважину с дебитом Qj, мкм2·см/(мПа·с).
Величины Pj(rc) заносят в табл.1 и строят график j=f[ Pj(rc)] зависимости гидропроводности от депрессии на пласт при установившейся эксплуатации скважины, пример такого графика – на фиг.5. Здесь на оси абсцисс помещают величины стационарной депрессии на пласт Pj(rc) при установившемся режиме эксплуатации нефтедобывающей скважины с дебитом Qj в пласте гидропроводностью j, МПа; на ось ординат – коэффициент j гидропроводности пласта, соответствующий притоку нефти с дебитом Qj при депрессии Рj(rc), мкм2·см/(мПа·с). На фиг.5: кривая 1 – определение в первом приближении; кривая 2 – определение во втором приближении; кривая 3 – математическое моделирование нефтедобывающей скважины в пласте с переменным коэффициентом гидропроводности ; точка 4 – определение по КВД методом касательной после эксплуатации скважины с дебитом 14,5 м3/сут в пластовых условиях; точка 5 – определение по КВД методом касательной после эксплуатации скважины с дебитом 3,2 м3/сут в пластовых условиях.
11. Если исследование залежи методом гидропрослушивания или фильтрационных волн давления отсутствует, а в процедуре обработки КВД и КПП используют расчетную величину æ, оцененную в первом приближении по формуле (2), то уточняют коэффициент пьезопроводности пласта по формуле:

где æ – уточненный коэффициент пьезопроводности пласта, м2/с; o – коэффициент гидропроводности пласта при эксплуатации скважины на установившемся режиме с дебитом Qo, определяют по формуле (13), мкм2·см/(мПа·с); ho – эффективная толщина пласта, м; * – коэффициент упругоемкости пласта, насыщенного жидкостью, МПа-1; 10-5 – переводной коэффициент.
Если исследование залежи методом гидропрослушивания или фильтрационных волн давления отсутствует, то в дальнейшей процедуре обработки КВД и КПП используют уточненный по формуле (16) коэффициент æ пьезопроводности пласта.
12. Повторно вычисляют величины функции j влияния притока жидкости в скважину на распространение в пласте фронта возмущения. В отличие от первом приближения расчета в п.4, при дальнейшей реализации процедуры обработки КВД и КПП вычисления j при j=0, 1, 2, …М производят по формуле:

где j – функция влияния притока жидкости в скважину на распространение в пласте фронта возмущения в моменты tj после остановки, м2; æ – коэффициент пьезопроводности пласта, м2/с; Q – приток жидкости в ствол скважины в момент t после остановки скважины, где =1, 2, …j (величины Q приведены в табл.1), л/мин или м3/сут; tj – текущий момент времени после остановки скважины (табл.1), с; t – предшествующие моменты времени, при этом =1, 2, …j (табл.1), с; j – коэффициент гидропроводности пласта (табл.1), соответствующий притоку жидкости в скважину с дебитом Qj, определен в п.9 по формуле (14), мкм2·см/(мПа·с); o – коэффициент гидропроводности пласта при эксплуатации скважины с дебитом Qo (табл.1), определен в п.8 по формуле (13).
Для каждой величины j, рассчитанной по формуле (17), определяют ее десятичный логарифм Ig j.
13. Полученные величины (tj) и lg (tj) заносят в соответствующие колонки табл.1 и используют для повторного вычисления условного размера возмущенной области по аппроксимации (9) при j=0, 1, 2, …М (табл.1).
14. Повторяют приведенную процедуру обработки КВД и КПП (фиг.4), начиная с 6-го пункта, во втором, третьем … приближении, полученные величины j наносят на график (фиг.5) зависимости гидропроводности пласта =f[ P(rc)] от депрессии при установившихся режимах эксплуатации добывающей скважины. Приходят к заключению, что уже во втором-третьем приближении достигается необходимая точность, при этом погрешность вычисления составляет менее 4%.
Таким образом, итогом приведенной процедуры обработки КВД и КПП является повышение точности, сокращение времени, упрощение процедуры определения зависимости гидропроводности от депрессии на пласт в добывающих скважинах, а за счет сокращения простоев скважин уменьшение потерь добычи нефти.
Пример конкретного выполнения способа
Нефтедобывающую скважину глубиной 2360 м эксплуатируют глубиннонасосной установкой на установившемся режиме с дебитом 14,5 м3/сут безводной нефти в пластовых условиях. Для реализованной схемы размещения скважин радиус дренируемого участка залежи rк=300 м.
После остановки глубинного насоса проводят исследование скважины методом восстановления давления, дополнительно к КВД выполняют исследование залежи методом гидропрослушивания, совместной интерпретацией определяют коэффициент пьезопроводности пласта =0,00208 м2/с.
При исследовании методом восстановления давления в дискретные моменты времени t после остановки непосредственными замерами скважинными глубинными манометром и звукометрическими методами определяют величины (фиг.1):
продолжающегося притока нефти Q(t) из пласта в добывающую скважину;
приращения Рс(t)=Рс(t)-Рс забойного давления Рс(t) после остановки скважины над забойным давлением Рс до остановки.
Полученные данные (КВД и КПП) образуют исходный массив tj, Oj, Рс(tj), в табл.1 приведено начало массива (j=0, 1, 2, …35) для первых 175 мин процесса.
Перед процедурой применения способа на КВД в осях Рс(t)-lgt выделяют заключительный участок, соответствующий плоскорадиальной неустановившейся фильтрации при отсутствии притока нефти в скважину (фиг.1). Далее по угловому коэффициенту касательной к заключительному участку и отрезку, отсекаемому касательной на оси Рс(t), определяют приведенный радиус скважины: rc=0,066 м.
Для применения способа задают вспомогательный массив значений радиуса R(t) фронта возмущения: 0,066 м=rc=R0; R1; R2; R3; …Ri…RN=rк=300 м. В табл.2 показано начало массива (i=0; 1, 2, …38). Для каждого значения Ri из вспомогательного массива по формулам (5), (6) вычисляют величины , например, для R38=1,75 м:
38={1,753+1,75·0.0662·[3-6·ln(1,75/0,066)]-4·0.0663}/[12·{1,75-
-0,066)]=0,258867 м2; lg 38=-0,58692;
(R38)=1,75/(1,75-0,066)·ln(1,75/0,066)-1=2,40618.
Величины 38, lg 38 и заносят (табл.2) в соответствующие колонки вспомогательного массива, аналогично определяют остальные величины 
Значения lg 38=-0,58692, соответствующие R38=1,75 м, наносят на график (фиг.2): lg 38 – на ось абсцисс; – ординат. Аналогично наносят остальные величины вспомогательного массива, выполняют аппроксимацию нанесенных точек полиномом 6-й степени (фиг.2):

Каждому tj из исходного массива (табл.1) задают величину j, в первом приближении расчет j производят по формуле (8), например, для t35=10500 с:
35=t35·æ=10500·0,00208=21,84 м2, далее lg 35=lg 21,84=1,3393.
Величины 35 и lg 35 заносят в соответствующие колонки табл.1.
По формуле (18) для каждой lg j рассчитывают и заносят в соответствующую колонку табл.1 величины например, для t35=10500 с:

По формуле (10) для каждого tj вычисляют и заносят в соответствующую колонку табл.1 величины например, для t35=10500 с:

Найденные значения используют для построения графика в первом приближении (фиг.3). Например, координаты точки графика для t35=10500 с таковы: Q35=8,849 л/мин=12,74 м3/сут; 
Полиномом (11) выполняют аппроксимацию точек графика (фиг.3) на заключительном участке при 0j Qo/5:

Пересечение графиком оси ординат происходит в точке А [0; b0] с координатами соответственно (фиг.3):

где b0 – свободный член полинома (19).
Согласно формуле (13), в первом приближении коэффициент гидропроводности пласта o при эксплуатации скважины с дебитом Qo=10,069 л/мин равен:
0=Q0/( ·b0)=10,069/(3,76991·1,15934)=2,3039 мкм2·см/(мПа·с).
По формуле (14) в первом приближении вычисляют и заносят в соответствующую колонку табл.1 величину коэффициента гидропроводности пласта j, соответствующую притоку нефти в добывающую скважину с дебитом Qj, например, для Q35=8,849 л/мин:

По формуле (15) в первом приближении рассчитывают и заносят в соответствующую колонку табл.1 стационарную депрессию Pj(rc) на пласт, соответствующую притоку нефти с дебитом Qj в скважину из пласта гидропроводностью j. Например, для Q35=8,849 л/мин и 35=2,1578 мкм2·см/(мПа·с) депрессия Р35(rc) равна:
Р35(rc)=Q35·ln(rк/rc)/( · 35)=
=8,849·ln(300/0,066)/(3,76991·2,1578)=9,1618 МПа.
На основе полученных результатов (табл.1) в первом приближении строят график j=f[ Pj(rc)] зависимости гидропроводности от депрессии на пласт при установившейся эксплуатации нефтедобывающей скважины (фиг.5). Полученный график в первом приближении ставит в соответствие коэффициент гидропроводности пласта стационарной депрессии при установившемся притоке нефти в скважину.
При дальнейшей реализации процедуры обработки КВД и КПП повторный расчет j во втором приближении для каждого tj производят по формуле (17), например, для t5=1500 с:
5=æ·{[Qo-0,5·(O1+Oo)]·(t1-to)+[Qo-0,5·(Q2+O1)]·(t2-t1)+
+[Qo-0,5·(Q3+Q2)]·(t3-t2)+[Qo-0,5·(Q4+Q3)]·(t4-t3)+
+[Qo-0,5·(Q5+Q4)]·(t5-t4)}/(Qo-Q5· o/ 5)=0,00208·{[10,069-
-0,5·(10,032+10,069)]·(300-0)+[10,069-0,5·(9,995+10,032]·(600-300)+
+[10.069-0,5·(9,959+9,995)]·(900-600)+[10,069-0,5·(9,922+9,959)·
·(1200-900)+[10,069-0,5·(9,885+9,922)]·(1500-1200)}/
/(10,069-9,885·2,3039/2,2823)=3,178 м2,
отсюда: lg 5=lg 3,178=0,5021.
Полученные величины (tj) и lg (tj) заносят в соответствующие колонки табл.1 и используют для повторного вычисления по аппроксимации (18) при j=0, 1, 2, …М, например, для j=35 (табл.1):

По формуле (10) для каждого tj повторно вычисляют и заносят в соответствующую колонку табл.1 величины например, для t35=10500 с:

Найденные значения используют для построения графика во втором приближении (фиг.4), например, координаты точки графика для t35=10500 с таковы: Q35=8,845 л/мин=12,74 м3/сут; Выполняют аппроксимацию полиномом (11) точек графика (фиг.4) на заключительном участке при 0j Qo/5:

График пересекает ось ординат в точке А [0, b0] с координатами (фиг.4) соответственно:

где b0 – свободный член полинома (20).
Согласно формуле (13), коэффициент гидропроводности пласта 0 при эксплуатации скважины с дебитом Qo=10,069 л/мин во втором приближении равен:
0=Qo/( ·b0)=10,069/(3,76991·1,1751)=2,273 мкм2·см/(мПа·с).
По формуле (14) во втором приближении вычисляют и заносят в соответствующую колонку табл.1 величину коэффициента гидропроводности пласта j, соответствующую притоку нефти с дебитом Qj, например, для Q35=8,849 л/мин:

По формуле (15) во втором приближении рассчитывают и заносят в соответствующую колонку табл.1 стационарную депрессию Рj(rc) на пласт, соответствующую притоку нефти с дебитом Qj в скважину из пласта гидропроводностью j. Например, для Q35=8,849 л/мин и 35=2,1269 мкм2·см(мПа·с) депрессия Р35(rс) равна:
P35(rc)=Q35·ln(rк/rc)/( · 35)=
=8,849·ln(300/0,066)/(3,76991·2,1269)=9,2948 МПа.
На основе полученных результатов (табл.1) во втором приближении строят график j=f[ Pj(rc)] зависимости коэффициента гидропроводности от депрессии на пласт при эксплуатации нефтедобывающей скважины (фиг.5). Полученный график во втором приближении ставит в соответствие коэффициент гидропроводности пласта депрессии при установившемся притоке нефти в скважину.
График =f[ Р(rc)], рассчитанный в третьем приближении, практически совпадает с графиком (фиг.5) для второго приближения.
Для оценки точности и достоверности зависимости гидропроводности пласта от депрессии =f[ P(rc)], полученной по КВД и КПП предлагаемым способом, на графике фиг.5 представляют результаты математического моделирования нефтедобывающей скважины в пласте с переменным коэффициентом гидропроводности . Здесь же приводят результаты определения по КВД известным методом касательной после эксплуатации скважины с дебитами 14,5 и 3,2 м3/сут нефти в пластовых условиях.
Сравнение показывает, что уже во втором-третьем приближении достигают необходимой точности, при этом погрешность вычисления гидропроводности пласта в рассмотренном диапазоне депрессий составляет менее 4%.
Применение предлагаемого способа повышает точность, сокращает время и упрощает процедуру определения зависимости гидропроводности пласта от депрессии, уменьшает потери добычи нефти.
Источники информации
1. Заявка на изобретение РФ №93053328, кл. Е21В 43/04, 1996 г.
3. Дияшев Р.Н. Совместная разработка нефтяных пластах. – М.: Недра. 1984. – 208 с.
Таблица 1 Исходные данные и результаты обработки КВД и КПП нефтедобывающей скважины предлагаемым способом |
| ИСХОДНЫЕ ДАННЫЕ |
ОБРАБОТКА КВД И КПП В ПЕРВОМ ПРИБЛИЖЕНИИ |
| j |
tj, с |
Qj, л/мин |
Pc(tj), МПа |
j, м2 |
Lg j |
 |
Ij, МПа |
j, мкм2·см/(мПа·с) |
Pj(rc), МПа |
| |
|
|
|
|
– |
– |
|
|
|
| 0 |
0 |
10,069 |
0,0000 |
0,000 |
– |
0,0000 |
0,00000 |
2,3039 |
9,7638 |
| 1 |
300 |
10,032 |
0,0059 |
0,624 |
-0,2048 |
2,8073 |
0,00210 |
2,2996 |
9,7462 |
| 2 |
600 |
9,995 |
0,0131 |
1,248 |
0,0962 |
3,1343 |
0,00419 |
2,2953 |
9,7286 |
| 3 |
900 |
9,959 |
0,0209 |
1,872 |
0,2723 |
3,3282 |
0,00627 |
2,2909 |
9,7110 |
| 4 |
1200 |
9,922 |
0,0290 |
2,496 |
0,3972 |
3,4666 |
0,00835 |
2,2866 |
9,6934 |
| 5 |
1500 |
9,885 |
0,0373 |
3,120 |
0,4942 |
3,5744 |
0,01043 |
2,2823 |
9,6759 |
| 6 |
1800 |
9,849 |
0,0458 |
3,744 |
0,5733 |
3,6627 |
0,01251 |
2,2780 |
9,6584 |
| 7 |
2100 |
9,813 |
0,0545 |
4,368 |
0,6403 |
3,7375 |
0,01459 |
2,2738 |
9,6410 |
| 8 |
2400 |
9,777 |
0,0633 |
4,992 |
0,6983 |
3,8024 |
0,01666 |
2,2695 |
9,6235 |
| 9 |
2700 |
9,741 |
0,0723 |
5,616 |
0,7494 |
3,8598 |
0,01872 |
2,2652 |
9,6061 |
| 10 |
3000 |
9,705 |
0,0813 |
6,240 |
0,7952 |
3,9111 |
0,02079 |
2,2610 |
9,5887 |
| 11 |
3300 |
9,669 |
0,0904 |
6,864 |
0,8366 |
3,9576 |
0,02285 |
2,2567 |
9,5714 |
| 12 |
3600 |
9,633 |
0,0996 |
7,488 |
0,8744 |
4,0001 |
0,02491 |
2,2525 |
9,5540 |
| 13 |
3900 |
9,598 |
0,1089 |
8,112 |
0,9091 |
4,0392 |
0,02697 |
2,2483 |
9,5367 |
| 14 |
4200 |
9,562 |
0,1183 |
8,736 |
0,9413 |
4,0754 |
0,02902 |
2,2441 |
9,5194 |
| 15 |
4500 |
9,527 |
0,1277 |
9,360 |
0,9713 |
4,1091 |
0,03107 |
2,2399 |
9,5021 |
| 16 |
4800 |
9,492 |
0,1371 |
9,984 |
0,9993 |
4,1407 |
0,03312 |
2,2357 |
9,4849 |
| 17 |
5100 |
9,457 |
0,1466 |
10,608 |
1,0256 |
4,1703 |
0,03516 |
2,2315 |
9,4677 |
| 18 |
5400 |
9,422 |
0,1562 |
11,232 |
1,0505 |
4,1983 |
0,03720 |
2,2273 |
9,4505 |
| 19 |
5700 |
9,388 |
0,1658 |
11,856 |
1,0739 |
4,2248 |
0,03924 |
2,2232 |
9,4333 |
| 20 |
6000 |
9,353 |
0,1754 |
12,480 |
1,0962 |
4,2499 |
0,04128 |
2,2190 |
9,4162 |
| 21 |
6300 |
9,319 |
0,1851 |
13,104 |
1,1174 |
4,2738 |
0,04331 |
2,2149 |
9,3991 |
| 22 |
6600 |
9,284 |
0,1948 |
13,728 |
1,1376 |
4,2966 |
0,04534 |
2,2107 |
9,3820 |
| 23 |
6900 |
9,250 |
0,2046 |
14,352 |
1,1569 |
4,3184 |
0,04737 |
2,2066 |
9,3649 |
| 24 |
7200 |
9,216 |
0,2143 |
14,976 |
1,1754 |
4,3393 |
0,04939 |
2,2025 |
9,3478 |
| 25 |
7500 |
9,182 |
0,2241 |
15,600 |
1,1931 |
4,3593 |
0,05141 |
2,1984 |
9,3308 |
| 26 |
7800 |
9,148 |
0,2340 |
16,224 |
1,2102 |
4,3786 |
0,05343 |
2,1943 |
9,3138 |
| 27 |
8100 |
9,115 |
0,2438 |
16,848 |
1,2265 |
4,3971 |
0,05545 |
2,1902 |
9,2968 |
| 28 |
8400 |
9,081 |
0,2537 |
17,472 |
1,2423 |
4,4149 |
0,05746 |
2,1861 |
9,2799 |
| 29 |
8700 |
9,048 |
0,2636 |
18,096 |
1,2576 |
4,4321 |
0,05947 |
2,1820 |
9,2629 |
| 30 |
9000 |
9,014 |
0,2735 |
18,720 |
1,2723 |
4,4488 |
0,06148 |
2,1780 |
9,2460 |
| 31 |
9300 |
8,981 |
0,2835 |
19,344 |
1,2865 |
4,4649 |
0,06348 |
2,1739 |
9,2291 |
| 32 |
9600 |
8,948 |
0,2934 |
19,968 |
1,3003 |
4,4805 |
0,06549 |
2,1699 |
9,2123 |
| 33 |
9900 |
8,915 |
0,3034 |
20,592 |
1,3137 |
4,4956 |
0,06749 |
2,1658 |
9,1954 |
| 34 |
10200 |
8,882 |
0,3134 |
21,216 |
1,3267 |
4,5103 |
0,06948 |
2,1618 |
9,1786 |
| 35 |
10500 |
8,849 |
0,3234 |
21,840 |
1,3393 |
4,5245 |
0,07148 |
2,1578 |
9,1618 |
| Продолжение табл.1 |
| ИСХОДНЫЕ ДАННЫЕ |
ОБРАБОТКА КВД И КПП ВО ВТОРОМ ПРИБЛИЖЕНИИ |
| j |
tj, с |
Qj, л/мин |
Pc(tj), МПа |
j, м2 |
Lg j |
 |
Ij, МПа |
j, мкм2·см/(мПа·с) |
Pj(rc), МПа |
| |
|
|
|
|
– |
– |
|
|
|
| 0 |
0 |
10,069 |
0,0000 |
0,000 |
– |
0,0000 |
0,00000 |
2,2730 |
9,8966 |
| 1 |
300 |
10,032 |
0,0059 |
0,636 |
-0,1967 |
2,8160 |
0,00209 |
2,2687 |
9,8790 |
| 2 |
600 |
9,995 |
0,0131 |
1,272 |
0,1045 |
3,1434 |
0,00417 |
2,2643 |
9,8614 |
| 3 |
900 |
9,959 |
0,0209 |
1,908 |
0,2805 |
3,3373 |
0,00625 |
2,2600 |
9,8439 |
| 4 |
1200 |
9,922 |
0,0290 |
2,543 |
0,4054 |
3,4756 |
0,00833 |
2,2557 |
9,8264 |
| 5 |
1500 |
9,885 |
0,0373 |
3,178 |
0,5021 |
3,5833 |
0,01041 |
2,2514 |
9,8089 |
| 6 |
1800 |
9,849 |
0,0458 |
3,812 |
0,5811 |
3,6714 |
0,01248 |
2,2471 |
9,7914 |
| 7 |
2100 |
9,813 |
0,0545 |
4,445 |
0,6479 |
3,7460 |
0,01455 |
2,2428 |
9,7740 |
| 8 |
2400 |
9,777 |
0,0633 |
5,078 |
0,7057 |
3,8108 |
0,01662 |
2,2385 |
9,7566 |
| 9 |
2700 |
9,741 |
0,0723 |
5,710 |
0,7567 |
3,8679 |
0,01868 |
2,2343 |
9,7392 |
| 10 |
3000 |
9,705 |
0,0813 |
6,342 |
0,8022 |
3,9190 |
0,02075 |
2,2300 |
9,7218 |
| 11 |
3300 |
9,669 |
0,0904 |
6,973 |
0,8434 |
3,9653 |
0,02281 |
2,2258 |
9,7045 |
| 12 |
3600 |
9,633 |
0,0996 |
7,603 |
0,8810 |
4,0075 |
0,02486 |
2,2216 |
9,6872 |
| 13 |
3900 |
9,598 |
0,1089 |
8,233 |
0,9155 |
4,0464 |
0,02692 |
2,2173 |
9,6699 |
| 14 |
4200 |
9,562 |
0,1183 |
8,862 |
0,9475 |
4,0824 |
0,02897 |
2,2131 |
9,6526 |
| 15 |
4500 |
9,527 |
0,1277 |
9,490 |
0,9773 |
4,1159 |
0,03102 |
2,2089 |
9,6353 |
| 16 |
4800 |
9,492 |
0,1371 |
10,118 |
1,0051 |
4,1472 |
0,03306 |
2,2047 |
9,6181 |
| 17 |
5100 |
9,457 |
0,1466 |
10,745 |
1,0312 |
4,1766 |
0,03511 |
2,2005 |
9,6009 |
| 18 |
5400 |
9,422 |
0,1562 |
11,371 |
1,0558 |
4,2043 |
0,03715 |
2,1964 |
9,5837 |
| 19 |
5700 |
9,388 |
0,1658 |
11,997 |
1,0791 |
4,2306 |
0,03919 |
2,1922 |
9,5665 |
| 20 |
6000 |
9,353 |
0,1754 |
12,622 |
1,1011 |
4,2555 |
0,04122 |
2,1880 |
9,5494 |
| 21 |
6300 |
9,319 |
0,1851 |
13,246 |
1,1221 |
4,2791 |
0,04326 |
2,1839 |
9,5323 |
| 22 |
6600 |
9,284 |
0,1948 |
13,870 |
1,1421 |
4,3017 |
0,04529 |
2,1798 |
9,5152 |
| 23 |
6900 |
9,250 |
0,2046 |
14,493 |
1,1612 |
4,3232 |
0,04731 |
2,1756 |
9,4981 |
| 24 |
7200 |
9,216 |
0,2143 |
15,116 |
1,1794 |
4,3438 |
0,04934 |
2,1715 |
9,4810 |
| 25 |
7500 |
9,182 |
0,2241 |
15,737 |
1,1969 |
4,3636 |
0,05136 |
2,1674 |
9,4640 |
| 26 |
7800 |
9,148 |
0,2340 |
16,359 |
1,2137 |
4,3826 |
0,05338 |
2,1633 |
9,4470 |
| 27 |
8100 |
9,115 |
0,2438 |
16,979 |
1,2299 |
4,4009 |
0,05540 |
2,1593 |
9,4300 |
| 28 |
8400 |
9,081 |
0,2537 |
17,599 |
1,2455 |
4,4185 |
0,05742 |
2,1552 |
9,4130 |
| 29 |
8700 |
9,048 |
0,2636 |
18,218 |
1,2605 |
4,4355 |
0,05943 |
2,1511 |
9,3961 |
| 30 |
9000 |
9,014 |
0,2735 |
18,837 |
1,2750 |
4,4518 |
0,06144 |
2,1471 |
9,3791 |
| 31 |
9300 |
8,981 |
0,2835 |
19,455 |
1,2890 |
4,4677 |
0,06344 |
2,1430 |
9,3622 |
| 32 |
9600 |
8,948 |
0,2934 |
20,072 |
1,3026 |
4,4830 |
0,06545 |
2,1390 |
9,3454 |
| 33 |
9900 |
8,915 |
0,3034 |
20,689 |
1,3157 |
4,4979 |
0,06745 |
2,1350 |
9,3285 |
| 34 |
10200 |
8,882 |
0,3134 |
21,305 |
1,3285 |
4,5123 |
0,06945 |
2,1309 |
9,3116 |
| 35 |
10500 |
8,849 |
0,3234 |
21,921 |
1,3409 |
4,5263 |
0,07145 |
2,1269 |
9,2948 |
Таблица 2 Вспомогательный массив к обработке КВД и КПП нефтедобывающей скважины предлагаемым способом |
| j |
Rj, м |
 |
i, м2 |
Lg i |
| |
|
– |
|
– |
| 0 |
0,066 |
0,00000 |
0,000000 |
– |
| 1 |
0,073 |
0,05125 |
0,000008 |
-5,09892 |
| 2 |
0,079 |
0,09259 |
0,000027 |
-4,56985 |
| 3 |
0,087 |
0,14448 |
0,000069 |
-4,16383 |
| 4 |
0,100 |
0,22210 |
0,000174 |
-3,76047 |
| 5 |
0,120 |
0,32853 |
0,000418 |
-3,37834 |
| 6 |
0,150 |
0,46604 |
0,000959 |
-3,01819 |
| 7 |
0,200 |
0,65472 |
0,002281 |
-2,64181 |
| 8 |
0,250 |
0,80952 |
0,004094 |
-2,38783 |
| 9 |
0,300 |
0,94119 |
0,006374 |
-2,19558 |
| 10 |
0,350 |
1,05598 |
0,009107 |
-2,04060 |
| 11 |
0,400 |
1,15786 |
0,012286 |
-1,91061 |
| 12 |
0,450 |
1,24952 |
0,015903 |
-1,79853 |
| 13 |
0,500 |
1,33290 |
0,019954 |
-1,69996 |
| 14 |
0,550 |
1,40939 |
0,024438 |
-1,61194 |
| 15 |
0,600 |
1,48008 |
0,029350 |
-1,53239 |
| 16 |
0,650 |
1,54582 |
0,034691 |
-1,45979 |
| 17 |
0,700 |
1,60725 |
0,040457 |
-1,39301 |
| 18 |
0,750 |
1,66493 |
0,046648 |
-1,33117 |
| 19 |
0,800 |
1,71930 |
0,053263 |
-1,27358 |
| 20 |
0,850 |
1,77072 |
0,060301 |
-1,21968 |
| 21 |
0,900 |
1,81950 |
0,067761 |
-1,16902 |
| 22 |
0,950 |
1,86591 |
0,075643 |
-1,12123 |
| 23 |
1,000 |
1,91017 |
0,083947 |
-1,07599 |
| 24 |
1,050 |
1,95247 |
0,092672 |
-1,03305 |
| 25 |
1,100 |
1,99299 |
0,101817 |
-0,99218 |
| 26 |
1,150 |
2,03187 |
0,111382 |
-0,95319 |
| 27 |
1,200 |
2,06923 |
0,121367 |
-0,91590 |
| 28 |
1,250 |
2,10520 |
0,131772 |
-0,88018 |
| 29 |
1,300 |
2,13987 |
0,142597 |
-0,84589 |
| 30 |
1,350 |
2,17335 |
0,153840 |
-0,81293 |
| 31 |
1,400 |
2,20570 |
0,165503 |
-0,78119 |
| 32 |
1,450 |
2,23700 |
0,177585 |
-0,75059 |
| 33 |
1,500 |
2,26733 |
0,190086 |
-0,72105 |
| 34 |
1,550 |
2,29673 |
0,203005 |
-0,69249 |
| 35 |
1,600 |
2,32527 |
0,216343 |
-0,66486 |
| 36 |
1,650 |
2,35300 |
0,230099 |
-0,63808 |
| 37 |
1,700 |
2,37995 |
0,244274 |
-0,61212 |
| 38 |
1,750 |
2,40618 |
0,258867 |
-0,58692 |
Формула изобретения
Способ определения гидропроводности пласта, включающий эксплуатацию скважины на установившемся режиме перед проведением гидродинамического исследования, гидродинамическое исследование скважины методом восстановления давления, определение забойного давления и продолжающегося притока жидкости из пласта в скважину после ее остановки, математическую обработку результатов замеров, отличающийся тем, что предварительно исследуют пласт методом гидропрослушивания или фильтрационных волн давления, определяют коэффициент пьезопроводности пласта и приведенный радиус скважины rс, учитывающий ее гидродинамическое несовершенство, а при математической обработке результатов замеров строят график зависимости условного размера возмущенной области пласта от функции влияния (t) притока жидкости в скважину на распространение в пласте фронта возмущения, построенный график аппроксимируют полиномом, для каждого замера приращения Рc(tj) забойного давления и продолжающегося притока Qj жидкости из пласта в скважину вычисляют последовательно величины функции влияния j притока жидкости в скважину на распространение в пласте фронта возмущения, условного размера возмущенной области пласта, функции восстановления забойного давления по величинам Qj, строят график функции восстановления забойного давления в зависимости от продолжающегося притока жидкости Q(t) из пласта в скважину, построенный график аппроксимируют полиномом, по свободному члену bo которого определяют коэффициент гидропроводности пласта о при эксплуатации скважины на установившемся режиме с дебитом Qo, для каждого замера Qj по найденным величинам Ïj и о вычисляют коэффициент гидропроводности пласта j, соответствующий притоку жидкости в скважину с дебитом Qj, при этом по найденным величинам j рассчитывают депрессию Pj (rс) при установившемся режиме эксплуатации скважины с дебитом Qj в пласте с гидропроводностью j, по величинам Pj (rc), j строят график зависимости гидропроводности =f[ Р(rс)], j от депрессии на пласт при установившихся режимах эксплуатации добывающей скважины.
РИСУНКИ
MM4A – Досрочное прекращение действия патента СССР или патента Российской Федерации на изобретение из-за неуплаты в установленный срок пошлины за поддержание патента в силе
Дата прекращения действия патента: 18.08.2009
Извещение опубликовано: 27.06.2010 БИ: 18/2010
NF4A – Восстановление действия патента СССР или патента Российской Федерации на изобретение
Дата, с которой действие патента восстановлено: 10.07.2010
Извещение опубликовано: 10.07.2010 БИ: 19/2010
|
|