Патент на изобретение №2301804
|
|||||||||||||||||||||||||||||||||||||||||||||||||||||||||||||||||||||||||||||||||||||||||||||||||||||||
(54) ПРОИЗВОДНЫЕ ТИАЗОЛА, ИМЕЮЩИЕ АНТАГОНИСТИЧЕСКУЮ, АГОНИСТИЧЕСКУЮ ИЛИ ЧАСТИЧНО АГОНИСТИЧЕСКУЮ СВ1-АКТИВНОСТЬ
(57) Реферат:
Изобретение относится к новым производным тиазола, которые являются сильными антагонистами, агонистами или частичными агонистами каннабиноидного CB1 рецептора. Соединения имеют общую формулу (I)
в которой R и R1-R4 имеют значения, приведенные в формуле изобретения. Изобретение также относится к применению соединений формулы (I) или их стереоизомеров для получения фармацевтической композиции, и относится к промежуточным соединениям формулы (V)
в которой R2 и R8 имеют значения, приведенные в формуле изобретения. 3 н. и 2 з.п. ф-лы, 1 табл.
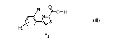
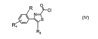
Изобретение относится к группе новых производных тиазола, к способам получения данных соединений и к фармацевтическим композициям, содержащим одно или несколько из данных соединений в качестве активного компонента. Вышеупомянутые производные тиазола являются сильными антагонистами каннабиноидного (СВ1) рецептора, агонистами СВ1-рецептора или частичными агонистами СВ1-рецептора, полезные в лечении психиатрических и неврологических заболеваний и других заболеваний, в которые вовлечена нейропередача каннабиноида СВ1. Производные 4,5-диарилтиазола были описаны в ЕР 388909 и ЕР 377457 как ингибиторы 5-липоксигеназы для лечения тромбоза, гипертонии, аллергии и воспалений. Все приведенные в примерах указанных документов структуры содержат два фенильных кольца, которые п-замещены метокси, фтором, метилтио или метилсульфинильной группой. WO 9603392 описывает сульфониларил-арилтиазолы для лечения воспалений и боли, артрита или лихорадки как связанных с воспалением заболеваний. JP 05345772 относится к 4,5-диарилтиазолам как ингибиторам ацетилхолинэстеразы, а JP 04154773 описывает 4,5-диарилтиазолы, обладающие анальгетическим, противовоспалительным и жаропонижающим действием. Было неожиданно найдено, что производные 4,5-диарилтиазола формулы (I), их пролекарства и их соли где – R представляет атом водорода или заместитель Х из группы, включающей: разветвленный или неразветвленный С1-3-алкил или алкокси, гидрокси, галоген, трифторметил, трифторметилтио, трифторметокси, нитро, амино, моно- или диалкил (С1-2)-амино, моно- или диалкил (С1-2)-амидо, разветвленный или неразветвленный (С1-3)-алкоксикарбонил, трифторметилсульфонил, сульфамоил, разветвленный или неразветвленный алкил(С1-3)сульфонил, карбоксил, циано, карбамоил, разветвленный или неразветвленный диалкил(С1-3)-аминосульфонил, разветвленный или неразветвленный моноалкил(С1-3)-аминосульфонил и ацетил; – R1 представляет атом водорода или 1-4 заместителя Х, где Х имеет вышеупомянутые значения; – R2 представляет фенильную, тиенильную, пиридильную или пиримидильную группу, которые могут быть замещены 1-4 заместителями Х, где Х имеет вышеупомянутые значения, или R2 представляет нафтил; – R3 представляет атом водорода, или разветвленную или неразветвленную С1-10 алкильную или циклоалкилалкильную группу, или фенильную, бензильную или фенетильную группу, ароматическое кольцо которой может быть замещено 1-5 заместителями Z, которые могут быть одинаковыми или различными и выбраны из группы разветвленного или неразветвленного С1-3-алкила или алкокси, гидрокси, галогена, трифторметила, трифторметилтио, трифторметокси, нитро, амино, моно- или диалкил(С1-2)-амино, моно- или диалкил(С1-2)-амидо, разветвленного или неразветвленного (С1-3)-алкилсульфонила, диметилсульфамидо, разветвленного или неразветвленного С1-3-алкоксикарбонила, карбоксила, трифторметилсульфонила, циано, карбамоила, сульфамоила или ацетила, или R3 представляет пиридильную или тиенильную группу; – R4 представляет разветвленную или неразветвленную С1-10 алкильную или циклоалкилалкильную группу, разветвленный или неразветвленный С1-10 алкокси, С3-8 циклоалкил, С5-10 бициклоалкил, С6-10 трициклоалкил, разветвленный или неразветвленный С3-10 алкенил, С5-8 циклоалкенил, которые могут содержать один или несколько гетероатомов из группы (O, N, S), и эти группы могут быть замещены: гидрокси группой, 1-3 метильными группами, этильной группой или 1-3 атомами фтора, или R4 представляет фенильную, бензильную или фенетильную группу, ароматическое кольцо которой может быть замещено 1-5 заместителями Z, где Z имеет вышеупомянутые значения, или R4 представляет пиридильную или тиенильную группу, или R4 представляет группу NR5R6, где: R5 и R6 вместе с атомом азота, к которому они присоединены, образуют насыщенную или ненасыщенную моноциклическую или бициклическую гетероциклическую группу, имеющую от 4 до 10 атомов в кольце, где указанная гетероциклическая группа содержит один или несколько гетероатомов из группы (O, N, S), и которая может быть замещена разветвленной или неразветвленной С1-3 алкильной, гидрокси или трифторметильной группой или атомом фтора; – R3 и R4 вместе с атомом азота, к которому они присоединены, образуют насыщенную или ненасыщенную моноциклическую или бициклическую гетероциклическую группу, имеющую от 4 до 10 атомов в кольце, где указанная гетероциклическая группа содержит один или несколько гетероатомов из группы (O, N, S), и может быть замещена разветвленной или неразветвленной С1-3 алкильной, гидрокси или трифторметильной группой или атомом фтора, являются сильными антагонистами, агонистами или частичными агонистами каннабиноидного рецептора СВ1. Пролекарство представляет собой активное соединение, которое после поглощения превращается в активную форму (Medicinal Chemistry: Principles and Practice, 1994, ISBN 0-85186-494-5, Ed.: F.D.King, p. 216). Благодаря сильной активности по отношению к рецептору СВ1, соединения согласно изобретению пригодны для использования при лечении психиатрических расстройств, таких как психоз, тревога, депрессия, дефицит внимания, расстройства памяти, нарушения познавательной способности, расстройства аппетита, тучность, наркомания, аппетенция, зависимость от лекарств, и неврологических расстройств, таких как нейродегенеративные расстройства, слабоумие, дистония, мышечные спазмы, тремор, эпилепсия, рассеянный склероз, травматические поражения мозга, удар, болезнь Паркинсона, болезнь Альцгеймера, болезнь Хантингтона, синдром Туретта, ишемия мозга, апоплексия мозга, черепно-мозговые травмы, повреждения позвоночника, нейровоспалительных расстройств, тромбосклероза, вирусного энцефалита, расстройств, связанных с демиелинизацией, а также для лечения болевых расстройств, включая невропатические болевые расстройства, и других заболеваний, в которые вовлечена каннабиноидная трансмиссия, включая лечение септического шока, глаукомы, рака, диабета, рвоты, тошноты, астмы, респираторных заболеваний, желудочно-кишечных расстройств, язв желудка, диареи и сердечно-сосудистых расстройств. Аффинность соединений по изобретению для каннабиноидных СВ1 рецепторов была определена с использованием препаратов из мембран клеток яичника китайского хомячка (CHO), в которых стабильно трансфицируется каннабиноидный СВ1 рецептор человека в сочетании с [3H]CP-55,940 в качестве радиолиганда. После инкубации свежеприготовленного препарата клеточных мембран с [3H]-лигандом с добавлением соединений по изобретению или без них проводили разделение связанного и свободного лиганда фильтрацией через стекловолоконные фильтры. Радиоактивность на фильтре определяли жидкостным сцинтиляционным счетчиком. Антагонистическую, агонистическую или частично агонистическую активность по отношению к каннабиноидному СВ1 рецептору соединений по изобретению определяли путем функциональных опытов, используя клетки СНО, в которых стабильно экспрессируются каннабиноидные СВ1 рецепторы человека. Стимулировали аденилилциклазу, используя форсколин, и определяли путем измерения количества аккумулированной циклической АМР. Сопутствующая активация CB1 рецепторов агонистами СВ1 рецепторов (например, CP-55,940 или (R)-WIN-55,212-2) может ослабить индуцированную форсколином аккумуляцию сАМР зависимым от концентрации образом. Такой медиируемый CB1 рецептором отклик может быть антагонизирован антагонистами или частичными агонистами CB1 рецепторов, такими как соединения по изобретению. Агонистическая или частичная агонистическая активность к каннабиноидному рецептору соединений по изобретению может быть определена согласно опубликованным методам, таким как оценка in vivo каннабимиметических эффектов (Wiley, J.L. et al., J. Pharmacol. Exp. Ther. 2001, 296, 1013). Антагонисты каннабиноидного рецептора могут вести себя как обратные агонисты (Landsman, R.S., et al., Eur. J. Pharmacol. 1997, 334, R1-R2). Биологические данные приведены в Таблице. Изобретение относится и к рацематам, смесям диастереомеров, и к индивидуальным стереомерам соединений, имеющих формулу (I). Соединения по изобретению могут быть переведены в формы, пригодные для введения посредством обычных способов с использованием вспомогательных веществ и/или жидких или твердых материалов-носителей. Подходящим методом синтеза соединений согласно настоящему изобретению является следующий: Путь синтеза А Стадия 1 пути А Гидролиз эфира соединения, имеющего формулу (II), где R7 представляет разветвленную или неразветвленную алкильную группу (C1-4) или бензильную группу. Данная реакция дает соединение, имеющее формулу (III): где R, R1 и R2 имеют значения, которые описаны здесь выше. Соединения по изобретению, имеющие формулу (II), где R7 представляет разветвленную или неразветвленную алкильную группу (С1-4) или бензильную группу, могут быть получены по известным методикам, например:. a) Organic Reactions, Vol. VI (1951), p. 367-409, Ed. R.Adams, John Wiley and Sons Inc., New York b) J.S.Carter et al., Bioorg.Med.Chem.Lett. (1999), 9, 1167-1170 c) T.T.Sakai et al., Bioorg.Med.Chem. (1999), 7, 1559-1566 d) A.Tanaka et al., J.Med.Chem. (1994), 37, 1189-1199 e) J.J.Talley et al., WO 9603392: Chem.Abstr. 125, 33628 f) V.Cecchetti et al., Bioorg.Med.Chem. (1994), 2, 799-806 Стадия 2 пути А Реакция соединения, имеющего формулу (III), с соединением, имеющим формулу R3R4NH, где R3 и R4 имеют значения, описанные здесь выше, путем методов активации и сочетания, таких как образование активного эфира, или в присутствии так называемых агентов сочетания, таких как, например, DCC, HBTU, BOP, CIP (гексафторфосфат 2-хлор-1,3-диметилимидазолиния), PyAOP (гексафторфосфат 7-азабензотриазол-1-илокситрис(пирролидино)-фосфония) и т.п. (Для более подробной информации о методах активации и сочетания см.: a) M.Bodanszky, A.Bodanszky: The Practice of Peptide Synthesis, Springer-Verlag, New York, 1994; ISBN: 0-387-57505-7; b) K.Akaji et al., Tetrahedron Lett. (1994), 35, 3315-3318; c) F.Albericio et al., Tetrahedron Lett. (1997), 38, 4853-4856). Данная реакция дает нужное производное тиазола, имеющее формулу (I). Альтернативно, соединение, имеющее формулу (III), реагирует с так называемым галогенирующим агентом, таким как, например, тионилхлорид (SOCl2). Данная реакция дает соответствующий карбонилхлорид (IV): Реакция соединения, имеющего формулу (IV) с соединением, имеющим формулу R3R4NH, где R3 и R4 имеют значения, которые были описаны здесь выше, дает производное тиазола, имеющее формулу (I). Данную реакцию предпочтительно проводят в присутствии органического основания, такого как, например, диизопропилэтиламин (DIPEA) или триэтиламин. Альтернативно, соединение, имеющее формулу (II), реагирует по так называемой реакции амидирования с соединением, имеющим формулу R3R4NH, где R3 и R4 имеют значения, которые были описаны выше, давая производное тиазола, имеющее формулу (I). Такие реакции амидирования могут ускоряться при использовании триметилалюминия Al(CH3)3. (Для более подробной информации о медиируемой алюминием конверсии сложных эфиров в амиды см. J.I.Levin, E.Turos, S.M.Weinreb, Synth.Commun. (1982), 12, 989-993). Альтернативно, соединение, имеющее формулу R3R4NH, может реагировать с сильным основанием, таким как диизопропиламид лития (LDA), гексаметилдисилазид лития (LiHMDS), гексаметилдисилазид калия (KHMDS) или гексаметилдисилазид натрия (NaHMDS) и подобное, образуя in situ соединение, имеющее формулу R3R4NLi, R3R4NK или R3R4NNa, соответственно, которое может затем реагировать с соединением, имеющим формулу (II), образуя производное тиазола, имеющее формулу (I). Альтернативно, соединение, имеющее формулу (I), где R3 и R4 представляют атом водорода, может реагировать с сильным основанием, таким как LDA, LiHMDS, NaH или подобное, с последующей реакцией с соединением L-R4, где L представляет так называемую уходящую группу, такую как Br, Cl, I и т.п., и R4 представляет разветвленную или неразветвленную С1-10 алкильную группу, циклоалкилалкильную группу или разветвленную или неразветвленную С3-10 алкенильную группу, которые могут содержать один или несколько гетероатомов из группы (O, N, S), и которые могут быть замещены 1-3 метильной группой, этильной группой или 1-3 атомами фтора. Пример I Часть А: Магний (3,04 г, 0,125 моль) суспендировали в безводном диэтиловом эфире (500 мл) в атмосфере азота и добавляли кристалл йода. Медленно добавляли раствор 4-хлорбензолхлорида (20,12 г, 0,125 моль) в безводном диэтиловом эфире (100 мл), так, чтобы поддерживать слабое кипение с обратным холодильником. После охлаждения полученной смеси до комнатной температуры медленно добавляли раствор 2,4-дихлорбензонитрила (17,2 г, 0,10 моль) в толуоле (100 мл). Температура поднималась до 135°С, и диэтиловый эфир удаляли дистилляцией (отгонкой), добавляли толуол и полученную смесь кипятили с обратным холодильником в течение дополнительно двух часов. После охлаждения до комнатной температуры медленно добавляли раствор HCl (1Н, 400 мл) при охлаждении и перемешивании. Полученную смесь дважды экстрагировали диэтиловым эфиром, сушили над MgSO4, отфильтровывали и концентрировали в вакууме. Флэш-хроматография (дихлорметан) дает 2-(4-хлорфенил)-1-(2,4-дихлорфенил)этанон в виде желтого масла (19,96 г, выход 67%). Кристаллизация из циклогексана дает чистый 2-(4-хлорфенил)-1-(2,4-дихлорфенил)этанон. Температура плавления: 65-66°С. 1Н-ЯМР (200 МГц, CDCl3): Часть В: К раствору 2-(4-хлорфенил)-1-(2,4-дихлорфенил)этанона (2,82 г, 9,42 ммоль) в бензоле (25 мл) добавляли бром (0,48 мл, 1,49 г, 9,31 ммоль) и полученный раствор перемешивали при комнатной температуре в течение двух часов. Добавляли дихлорметан и полученный раствор промывали водным раствором NaHCO3. Органический слой сушили над MgSO4, отфильтровывали и выпаривали в вакууме, получая 3,55 г (количественный выход) 2-бром-2-(4-хлорфенил)-1-(2,4-дихлорфенил)этанона в виде желтого масла (чистота Аналогично был получен: 2-бром-1-(4-хлорфенил)-2-(2,4-дихлорфенил)этанон. 1Н-ЯМР (200 МГц, CDCl3): Часть С: 2-Бром-2-(4-хлорфенил)-1-(2,4-дихлорфенил)этанон (9,83 г, 26,0 ммоль) и этилтиооксамат (5,28 г, 39,6 ммоль) растворяли в абсолютном этаноле (50 мл). Полученный красный раствор нагревали при кипении с обратным холодильником в течение 4 часов. После выпаривания в вакууме сырое красное вещество (14 г) суспендировали в смеси дихлорметана и метил-трет-бутилового эфира. Образовавшиеся твердые вещества удаляли фильтрацией. Полученный фильтрат очищали колоночной хроматографией (элюент: дихлорметан, Rf Аналогично был получен: Этил-4-(4-хлорфенил)-5-(2,4-дихлорфенил)тиазол-2-карбоксилат Часть D: Этил-5-(4-хлорфенил)-4-(2,4-дихлорфенил)тиазол-2-карбоксилат (1,00 г, 2,42 ммоль) добавляли к 1-аминопиперидину (10 мл) и полученную смесь при перемешивании нагревали при 50оС в течение 4 часов. Добавляли дихлорметан и полученный раствор дважды промывали водой, сушили над MgSO4, фильтровали и удаляли большую часть дихлорметана выпариванием в вакууме. Добавляли диизопропиловый эфир и образовавшийся осадок удаляли фильтрацией. Фильтрат концентрировали в вакууме и очищали флэш-хроматографией (этилацетат: петролейный эфир (40-60)=1:3 (по объему)) для того, чтобы получить 5-(4-хлорфенил)-4-(2,4-дихлорфенил)-N-(1-пиперидинил)тиазол-2-карбоксамид (330 мг, выход 29%) в виде белой пены. 1Н-ЯМР (400 МГц, CDCl3): Аналогично были получены: 4-(4-Хлорфенил)-5-(2,4-дихлорфенил)-N-(1-пиперидинил)тиазол-2-карбоксамид. Температура плавления: 190-191°С. 1Н-ЯМР (400 МГц, CDCl3): 5-(4-Хлорфенил)-N-циклогептил-4-(2,4-дихлорфенил)тиазол-2-карбоксамид. Температура плавления: 159-161°С. 5-(4-Хлорфенил)-N-циклопентил-4-(2,4-дихлорфенил)тиазол-2-карбоксамид. Температура плавления: 111-113°С. 5-(4-Хлорфенил)-4-(2,4-дихлорфенил)-N-(транс-4-гидроксициклогексил)тиазол-2-карбоксамид. Температура плавления: 109°С. 5-(4-Хлорфенил)-4-(2,4-дихлорфенил)-N-(2-метилциклогексил)тиазол-2-карбоксамид. Температура плавления: 134-147°С. 5-(4-Хлорфенил)-4-(2,4-дихлорфенил)-N-(4-фторбензил)тиазол-2-карбоксамид. Температура плавления: 142-144°С. 5-(4-Хлорфенил)-4-(2,4-дихлорфенил)-N-(транс-4-метилциклогексил)тиазол-2-карбоксамид. Температура плавления: 165-166°С. 5-(4-Хлорфенил)-N-(цис-4-метилциклогексил)-4-(2,4-дихлорфенил)тиазол-2-карбоксамид. Температура плавления: 72°С. Пример 2 Часть А: Этил-5-(4-хлорфенил)-4-(2,4-дихлорфенил)тиазол-2-карбоксилат (4,10 г, 9,93 ммоль) суспендировали в метаноле (75 мл). Добавляли раствор КОН (1,98 г, 30 ммоль) в воде (75 мл) и полученную смесь нагревали при температуре кипения с обратным холодильником в течение 2 часов. Полученному желтому раствору давали достичь комнатной температуры, выливали его в воду и подкисляли 1Н водной HCl, получив белый осадок. Осадок собирали фильтрацией и дважды промывали водой. Сушка в вакууме дает 5-(4-хлорфенил)-4-(2,4-дихлорфенил)тиазол-2-карбоновую кислоту в виде белого твердого вещества (2,59 г, выход 68%). 1Н-ЯМР (200 МГц, ДМСО-d6): Аналогично была получена 4-(4-хлорфенил)-5-(2,4-дихлорфенил)тиазол-2-карбоновая кислота. Часть В: 5-(4-хлорфенил)-4-(2,4-дихлорфенил)тиазол-2-карбоновую кислоту (1,00 г, 2,6 ммоль) суспендировали в безводном ацетонитриле (20 мл) в атмосфере азота при комнатной температуре. Последовательно добавляли диизопропилэтиламин (DIPEA) (1,36 мл, 7,8 ммоль), гексафторфосфат о-бензотриазол-1-ил-N,N,N’,N’-тетраметилурония (HBTU) (1,08 г, 2,85 ммоль) и о-трет-бутилгидроксиламин-гидрохлорид (0,35 г, 25,1 ммоль), и полученную смесь перемешивали в течение ночи при комнатной температуре. Полученную смесь концентрировали в вакууме и добавляли дихлорметан. Полученный раствор последовательно промывали водой и раствором соли, сушили над MgSO4, фильтровали и выпаривали в вакууме. Последующая флэш-хроматография (этилацетат:петролейный эфир (40-60)=1:3 по объему) дает N-(трет-бутокси)-5-(4-хлорфенил)-4-(2,4-дихлорфенил)тиазол-2-карбоксамид (0,60 г, выход 51%) в виде белой пены. 1Н-ЯМР (400 МГц, CDCl3): Аналогично были получены: N-(трет-бутокси)-4-(4-хлорфенил)-5-(2,4-дихлорфенил)тиазол-2-карбоксамид. 1Н-ЯМР (400 МГц, CDCl3): 5-(4-хлорфенил)-4-(2,4-дихлорфенил)-N-(н-пентил)тиазол-2-карбоксамид. 1Н-ЯМР (400 МГц, CDCl3): 5-(4-хлорфенил)-N-циклогексил-4-(2,4-дихлорфенил)тиазол-2-карбоксамид. 1Н-ЯМР (400 МГц, CDCl3): Пример 3 Часть А: К 4-бромбензальдегиду (25 г, 0,135 моль) последовательно добавляли 2,4-дихлорфенилуксусную кислоту (27,7 г, 0,135 моль), уксусный ангидрид (100 мл) и триэтиламин (19 мл, 0,136 моль) и образовавшуюся смесь нагревали при температуре кипения с обратным холодильником в течение 90 минут. Реакционную смесь охлаждали до 110°С и медленно добавляли воду (100 мл). Полученной смеси давали достичь комнатной температуры и добавляли этилацетат. Этилацетатный слой дважды промывали водой, сушили над MgSO4, фильтровали и концентрировали в вакууме. Полученное масло кристаллизовали из диизопропилового эфира, получая 3-(4-бромфенил)-2-(2,4-дихлорфенил)акриловую кислоту в виде белого твердого вещества (26,56 г, выход 53%). Часть В: 3-(4-Бромфенил)-2-(2,4-дихлорфенил)акриловую кислоту (26,55 г, 71 ммоль) растворяли в безводном толуоле (130 мл) и полученный раствор охлаждали до 0°С. Последовательно добавляли триэтиламин (7,40 г, 73 ммоль) и дифенилфосфорилазид (19,8 г, 72 ммоль) и полученную смесь перемешивали в течение 20 минут при 0°С и в течение 150 минут при комнатной температуре. Реакционную смесь выливали в воду и трижды экстрагировали диэтиловым эфиром. Объединенные органические слои сушили над MgSO4 и диэтиловый эфир удаляли в вакууме. Полученный толуольный слой медленно добавляли к кипящему толуолу (150 мл). Спустя 90 минут добавляли трет-бутанол и нагрев при температуре кипения с обратным холодильником продолжали в течение 1 часа, после чего следовало медленное добавление концентрированной хлористоводородной кислоты (5 мл). После перемешивания полученного раствора в течение ночи при 90°С раствору давали достичь комнатной температуры, дважды промывали его водой, сушили над MgSO4, фильтровали и выпаривали в вакууме, получая желтое масло. Данное масло кристаллизовали из н-гексана, получая 2-(4-бромфенил)-1-(2,4-дихлорфенил)этанон (14,72 г, выход 60%). Температура плавления: 69-70°С. Часть С: К раствору 2-(4-бромфенил)-1-(2,4-дихлорфенил)этанона (5,00 г, 15 ммоль) в бензоле (50 мл) по каплям добавляли бром (0,75 мл, 15 ммоль), и полученный раствор перемешивали в течение 4 часов при комнатной температуре и концентрировали в вакууме. Добавляли дихлорметан и полученный раствор промывали раствором соли, сушили над MgSO4 и концентрировали в вакууме, получая 2-бром-2-(4-бромфенил)-1-(2,4-дихлорфенил)этанон в виде масла (5,96 г, выход 94%). Часть D: Раствор, содержащий 2-бром-2-(4-бромфенил)-1-(2,4-дихлорфенил)этанон (5,96 г, 14 ммоль) и этилтиооксамат (2,80 г, 21 ммоль) в этаноле (30 мл) нагревали при температуре кипения с обратным холодильником в течение четырех часов. После охлаждения до комнатной температуры осажденный кристаллический материал удаляли фильтрацией. Фильтрат концентрировали в вакууме и полученное вещество (7,56 г оранжевого масла) очищали флэш-хроматографией (этилацетат/петролейный эфир = 1/3 по объему) и затем кристаллизовали из диизопропилового эфира, получая этил-5-(4-бромфенил)-4-(2,4-дихлорфенил)тиазол-2-карбоксилат (2,11 г, выход 33%). Температура плавления: 129-130°С. Часть Е: Смесь, содержащую этил-5-(4-бромфенил)-4-(2,4-дихлорфенил)тиазол-2-карбоксилат (1,00 г, 2,2 ммоль) и 1-аминопиперидин (10 мл) при перемешивании нагревали в течение ночи при 50°С. Полученной смеси давали возможность достичь комнатной температуры, добавляли дихлорметан и полученный раствор дважды промывали водой, сушили над MgSO4, фильтровали и концентрировали в вакууме, получая масло. Очистка данного масла флэш-хроматографией (этилацетат/петролейный эфир=1/3 по объему) дает 5-(4-бромфенил)-4-(2,4-дихлорфенил)-N-(1-пиперидинил)тиазол-2-карбоксамид (870 мг, выход 78%). Температура плавления: 171-173°С. Аналогично были получены: 4-(2,4-Дихлорфенил)-N-(1-пиперидинил)-5-(4-(трифторметил)-фенил)тиазол-2-карбоксамид. Температура плавления: 181-183°С. N-Циклогексил-4-(2,4-дихлорфенил)-5-(4-(трифторметил)фенил)тиазол-2-карбоксамид. Температура плавления: 140-142°С. 4-(2,4-Дихлорфенил)-N-(экзо-бицикло[2.2.1]гепт-2-ил)-5-(4-(трифторметил)фенил)тиазол-2-карбоксамид. Температура плавления: 184-185°С. 4-(2,4-Дихлорфенил)-N-(4-морфолинил)-5-(4-(трифторметил)фенил)тиазол-2-карбоксамид. Температура плавления: 95°С. Пример 4 Часть А: Этил-5-(4-бромфенил)-4-(2,4-дихлорфенил)тиазол-2-карбоксилат (1,80 г, 3,94 ммоль) растворяли в метаноле (20 мл) и добавляли раствор КОН (0,65 г (85%), 9,85 ммоль) в воде (20 мл). Полученную смесь нагревали при температуре кипения с обратным холодильником в течение 1 часа, выливали в воду и подкисляли хлористоводородной кислотой (1Н раствор). Образовавшееся осадочное вещество собирали фильтрацией и сушили в вакууме при комнатной температуре, получая количественный выход 5-(4-бромфенил)-4-(2,4-дихлорфенил)тиазол-2-карбоновой кислоты. Температура плавления: 94-95°С. Часть В: 5-(4-бромфенил)-4-(2,4-дихлорфенил)тиазол-2-карбоновую кислоту (0,50 г, 1,17 ммоль) и диизопропилэтиламин (DIPEA) (1,02 мл, 5,85 ммоль) растворяли в дихлорметане (5 мл) и охлаждали до 0°С. Добавляли 7-аза-1-гидроксибензотриазол (HOAt) (0,11 г, 0,81 ммоль) и гексафторфосфат 2-хлор-1,3-диметилимидазолиния (CIP) (0,50 г, 1,76 ммоль), после чего следовало добавление н-пентиламина (0,15 г, 1,76 ммоль), и полученную смесь перемешивали при комнатной температуре в течение ночи. Очистка флэш-хроматографией (дихлорметан) дает 5-(4-бромфенил)-4-(2,4-дихлорфенил)-N-(н-пентил)тиазол-2-карбоксамид в виде аморфного твердого вещества (0,28 г, выход 48%). Аналогично были получены: 5-(4-Бромфенил)-4-(2,4-дихлорфенил)-N-(гексагидро(1Н)азепин-1-ил)тиазол-2-карбоксамид. Температура плавления: 206-207°С. 5-(4-Хлорфенил)-4-(2,4-дихлорфенил)-N-(морфолин-4-ил)тиазол-2-карбоксамид. Аморфное твердое вещество. 5-(4-Хлорфенил)-4-(2,4-дихлорфенил)-N-(пирролидин-1-ил)тиазол-2-карбоксамид. Температура плавления: 179-181°С. Пример 5 Часть А: К раствору 5-(4-хлорфенил)-4-(2,4-дихлорфенил)тиазол-2-карбоновой кислоты (0,50 г, 1,30 ммоль) в дихлорметане (10 мл) последовательно добавляли 1-аминогексагидро(1Н)азепин (0,15 г, 1,30 ммоль), 7-аза-1-гидроксибензотриазол (0,18 г, 1,30 ммоль), гексафторфосфат 7-азабензотриазол-1-илокситрис(пирролидино)фосфония (PyAOP) (0,68 г, 1,30 ммоль) и диизопропилэтиламин (0,34 г, 1,95 ммоль), и полученный раствор перемешивали в течение 1 часа при комнатной температуре. Концентрирование в вакууме дает сырое масло (2,01 г), которое очищали флэш-хроматографией (этилацетат/петролейный эфир = 1/3 по объему) с получением 5-(4-хлорфенил)-4-(2,4-дихлорфенил)-N-(гексагидро(1Н)азепин-1-ил)тиазол-2-карбоксамида (0,350 г, выход 56%). Температура плавления: 185-186°С (после перекристаллизации из диизопропилового эфира). Аналогично были получены: 5-(4-Хлорфенил)-4-(2,4-дихлорфенил)-N-(гексагидроциклопента-[c]пиррол-2(1Н)-ил)тиазол-2-карбоксамид. Температура плавления: 173-174°С. N-Бензил-5-(4-хлорфенил)-4-(2,4-дихлорфенил)-N-метил-тиазол-2-карбоксамид. Температура плавления: 141-144°С. 5-(4-Хлорфенил)-4-(2,4-дихлорфенил)-N-(4-(трифторметил)бензил)тиазол-2-карбоксамид. Температура плавления: 174-176оС. 5-(4-Хлорфенил)-4-(2,4-дихлорфенил)-N-(экзо-бицикло[2.2.1]гепт-2-ил)тиазол-2-карбоксамид. Температура плавления: 194-195°С. 5-(4-Хлорфенил)-4-(2,4-дихлорфенил)-N-(эндо-бицикло[2.2.1]гепт-2-ил)тиазол-2-карбоксамид. Температура плавления: 181-183°С. 4-(2,5-Дихлорфенил)-N-(экзо-бицикло[2.2.1]гепт-2-ил)-5-(фенил)тиазол-2-карбоксамид. Температура плавления: 170°С. N-(Циклогексил)-4-(2,5-дихлорфенил)-5-(фенил)тиазол-2-карбоксамид. Температура плавления: 75°С. 5-(4-Хлорфенил)-4-(2,4-дихлорфенил)-N-(тетрагидро-2Н-пиран-2-илокси)тиазол-2-карбоксамид. Температура плавления: 85°С. 5-(4-Хлорфенил)-4-(2,4-дихлорфенил)-N-(5,5,5-трифторпентил)тиазол-2-карбоксамид. 1Н-ЯМР (400 МГц, CDCl3): 5-(4-Хлорфенил)-4-(2,4-дихлорфенил)-N-(2-фторэтил)тиазол-2-карбоксамид. Аморфное твердое вещество. 1Н-ЯМР (400 МГц, CDCl3): 5-(4-Хлорфенил)-4-(2,4-дихлорфенил)-N-(2-фторпентил)тиазол-2-карбоксамид. 1Н-ЯМР (400 МГц, CDCl3): 4-(2,5-Дихлорфенил)-N-(4-морфолинил)-5-(фенил)тиазол-2-карбоксамид. Температура плавления: 155-157°С. Пример 6 Этил-5-(4-хлорфенил)-4-(2,4-дихлорфенил)тиазол-2-карбоксилат (1,65 г, 4,0 ммоль) растворяли в безводном ТГФ (25 мл) и добавляли анилин (0,37 мл, 4,0 ммоль). Полученный раствор охлаждали до 0°С и добавляли гексаметилдисилазид натрия (4,4 мл 1М раствора в ТГФ). Реакционную смесь перемешивали в течение 2 часов. Добавляли воду и смесь дважды экстрагировали этилацетатом. Объединенный органический слой промывали раствором соли, сушили над MgSO4, фильтровали и концентрировали в вакууме. Остаток кристаллизовали из диизопропилового эфира, получая 5-(4-хлорфенил)-4-(2,4-дихлорфенил)-N-фенилтиазол-2-карбоксамид (1,42 г, выход 77%). Температура плавления: 167-168°С. Пример 7 Часть А: Газообразный NH3 пропускали через перемешиваемый раствор этил-5-(4-хлорфенил)-4-(2,4-дихлорфенил)тиазол-2-карбоксилата (1,65 г, 4,0 ммоль) в метаноле (25 мл) при комнатной температуре. Добавляли небольшой кусочек металлического натрия. После перемешивания полученной смеси в течение трех часов осадок собирали фильтрацией, промывали небольшой порцией метанола и сушили, получая 5-(4-хлорфенил)-4-(2,4-дихлорфенил)тиазол-2-карбоксамид (1,16 г, выход 76%), температура плавления 195-198°С. 1Н-ЯМР (200 МГц, CDCl3): Часть В: К охлажденному (0°С) перемешиваемому раствору 5-(4-хлорфенил)-4-(2,4-дихлорфенил)тиазол-2-карбоксамида (1,16 г, 3,02 ммоль) в безводном ДМФ (20 мл) в атмосфере азота добавляли NaH (0,13 г 60% дисперсии). Полученную смесь перемешивали в течение 1 часа и добавляли избыток 4,4,4-трифтор-1-бромбутана (0,7 мл). Полученный раствор перемешивали при комнатной температуре в течение 1 часа, выливали в воду/лед и дважды экстрагировали диэтиловым эфиром. Собранные диэтилэфирные слои дважды промывали водой, сушили над Na2SO4, фильтровали и концентрировали в вакууме. Остаток далее очищали колоночной хроматографией (силикагель: элюент: дихлорметан), получая 5-(4-хлорфенил)-4-(2,4-дихлорфенил)-N-(4,4,4-трифторбутил)тиазол-2-карбоксамид. Температура плавления: 99-101°С.
Формула изобретения
1. Соединение формулы (I)
где R представляет галоген; R1 представляет атом водорода или атом галогена; R2 представляет фенильную группу, которая может быть замещена 1-4 атомами галогена или трифторметильными группами; R3 представляет атом водорода, или разветвленную или неразветвленную C1-3 алкильную группу; R4 представляет разветвленную или неразветвленную C1-10 алкильную группу, разветвленную или неразветвленную C1-10 алкоксигруппу, С3-8 циклоалкил, C5-10 бициклоалкил, которые могут быть замещены гидроксигруппой, 1-3 метильными группами, этильной группой или 1-3 атомами фтора, или R4 представляет C5-7 циклоалкильную группу, которая содержит N и/или О в качестве гетероатома, или C5-10 бициклоалкил, включающий N в качестве гетероатома, причем все эти группы могут быть замещены гидроксигруппой, 1-3 метильными группами, этильной группой или 1-3 атомами фтора, или R4 представляет бензильную группу, которая может быть замещена 1-5 заместителями, выбранными из галогена или трифторметила, и его стереоизомеры и фармацевтически приемлемые соли. 2. Соединение по п.1, представляющее собой 5-(4-хлорфенил)-4-(2,4-дихлорфенил)-N-(1-пиперидинил)тиазол-2-карбоксамид; 5-(4-хлорфенил)-N-циклогептил-4-(2,4-дихлорфенил)тиазол-2-карбоксамид; 5-(4-хлорфенил)-N-циклопентил-4-(2,4-дихлорфенил)тиазол-2-карбоксамид; 5-(4-хлорфенил)-4-(2,4-дихлорфенил)-N-(транс-4-гидроксициклогексил)тиазол-2-карбоксамид; 5-(4-хлорфенил)-4-(2,4-дихлорфенил)-N-(2-метилциклогексил)тиазол-2-карбоксамид; 5-(4-хлорфенил)-4-(2,4-дихлорфенил)-N-(4-фторбензил)тиазол-2-карбоксамид; 5-(4-хлорфенил)-4-(2,4-дихлорфенил)-N-(транс-4-метилциклогексил)тиазол-2-карбоксамид; 5-(4-хлорфенил)-N-(цис-4-метилциклогексил)-4-(2,4-дихлорфенил)тиазол-2-карбоксамид; N-(трет-бутокси)-5-(4-хлорфенил)-4-(2,4-дихлорфенил)тиазол-2-карбоксамид; 5-(4-хлорфенил)-4-(2,4-дихлорфенил)-N-(н-пентил)тиазол-2-карбоксамид; 5-(4-хлорфенил)-N-циклогексил-4-(2,4-дихлорфенил)тиазол-2-карбоксамид; 4-(2,4-дихлорфенил)-N-(1-пиперидинил)-5-(4-(трифторметил)фенил)тиазол-2-карбоксамид; N-циклогексил-4-(2,4-дихлорфенил)-5-(4-(трифторметил)фенил)тиазол-2-карбоксамид; 4-(2,4-дихлорфенил)-N-(экзо-бицикло[2.2.1]гепт-2-ил)-5-(4- (трифторметил)фенил)тиазол-2-карбоксамид; 4-(2,4-дихлорфенил)-N-(4-морфолинил)-5-(4-(трифторметил)фенил)тиазол-2-карбоксамид; 5-(4-бромфенил)-4-(2,4-дихлорфенил)-N-(н-пентил)тиазол-2-карбоксамид; 5-(4-бромфенил)-4-(2,4-дихлорфенил)-N-(гексагидро-(1Н)азепин-1-ил)тиазол-2-карбоксамид; 5-(4-хлорфенил)-4-(2,4-дихлорфенил)-N-(морфолин-4-ил)тиазол-2-карбоксамид; 5-(4-хлорфенил)-4-(2,4-дихлорфенил)-N-(пирролидин-1-ил)тиазол-2-карбоксамид; 5-(4-хлорфенил)-4-(2,4-дихлорфенил)-N-(гексагидро(1Н)азепин-1-ил)тиазол-2-карбоксамида; 5-(4-хлорфенил)-4-(2,4-дихлорфенил)-N-(гексагидроциклопента-[с]пиррол-2(1Н)-ил)тиазол-2-карбоксамид; N-бензил-5-(4-хлорфенил)-4-(2,4-дихлорфенил)-N-метил-тиазол-2-карбоксамид; 5-(4-хлорфенил)-4-(2,4-дихлорфенил)-N-(4-трифторметил)бензил)тиазол-2-карбоксамид; 5-(4-хлорфенил)-4-(2,4-дихлорфенил)-N-(экзо-бицикло[2.2.1]гепт-2-ил)тиазол-2-карбоксамид; 5-(4-хлорфенил)-4-(2,4-дихлорфенил)-N-(эндо-бицикло[2.2.1]гепт-2-ил)тиазол-2-карбоксамид; 4-(2,5-дихлорфенил)-N-(экзо-бицикло[2.2.1]гепт-2-ил)-5-(фенил)тиазол-2-карбоксамид; N-(циклогексил)-4-(2,5-дихлорфенил)-5-(фенил)тиазол-2-карбоксамид; 5-(4-хлорфенил)-4-(2,4-дихлорфенил)-N-(тетрагидро-2Н-пиран-2-илокси)тиазол-2-карбоксамид; 5-(4-хлорфенил)-4-(2,4-дихлорфенил)-N-(5,5,5-трифторпентил)тиазол-2-карбоксамид; 5-(4-хлорфенил)-4-(2,4-дихлорфенил)-N-(2-фторэтил)тиазол-2-карбоксамид; 5-(4-хлорфенил)-4-(2,4-дихлорфенил)-N-(5-фторпентил)тиазол-2-карбоксамид; 4-(2,5-дихлорфенил)-N-(4-морфолинил)-5-(фенил)тиазол-2-карбоксамид; 5-(4-хлорфенил)-4-(2,4-дихлорфенил)-N-фенилтиазол-2-карбоксамид; 5-(4-хлорфенил)-4-(2,4-дихлорфенил)-N-(4,4,4-трифторбутил)тиазол-2-карбоксамид. 3. Соединение по любому пп.1 и 2 или его фармацевтически приемлемая соль в качестве лекарственного средства, обладающего антагонистической, агонистической или частично агонистической активностью в отношении рецептора CB1 каннабиноидной нейротрансмиссии. 4. Применение соединения по любому из пп.1 и 2 и его стереоизомеров для получения фармацевтической композиции, обладающей антагонистической, агонистической или частично агонистической активностью в отношении рецептора CB1 каннабиноидной нейротрансмиссии. 5. Соединение формулы (V)
где R2 представляет фенильную группу, которая может быть замещена 1-4 атомами галогена или трифторметильными группами; и R8 представляет гидроксигруппу, разветвленную или неразветвленную алкокси (C1-4) группу, бензилоксигруппу или атом хлора.
|
|||||||||||||||||||||||||||||||||||||||||||||||||||||||||||||||||||||||||||||||||||||||||||||||||||||||







7,02-7,45 (м, 7Н), 4,22 (с, 2Н).
95% согласно анализу ВЭЖХ). 1Н-ЯМР (200 МГц, CDCl3): 
