|
|
(21), (22) Заявка: 2003127629/02, 11.09.2003
(24) Дата начала отсчета срока действия патента:
11.09.2003
(43) Дата публикации заявки: 10.04.2005
(46) Опубликовано: 27.06.2007
(56) Список документов, цитированных в отчете о поиске:
Станок зубошлифовальный мод. 5891, 5891С. Руководство по эксплуатации. – М.: 1977. SU 1030114 A1, 23.07.1987. US 2364542 A, 05.12.1944. ФЕДОТЕНОК А.А. Кинематические структуры металлорежущих станков, изд.2-е. – М.: Машиностроение, 1970, с.248, 249, рис.110. Производство зубчатых колес. Справочник, ред. Тайц Б.А. – М.: Машиностроение, 1975, с.193-195, табл.Vl.9.
Адрес для переписки:
127055, Москва, Вадковский пер., 3а, МГТУ “СТАНКИН”, патентный отдел
|
(72) Автор(ы):
Седов Борис Евгеньевич (RU), Романов Виталий Борисович (RU)
(73) Патентообладатель(и):
Московский государственный технологический университет “СТАНКИН” (RU)
|
(54) СПОСОБ ШЛИФОВАНИЯ ЦИЛИНДРИЧЕСКИХ ЗУБЧАТЫХ КОЛЕС С МОДИФИЦИРОВАННЫМ ПРОФИЛЕМ
(57) Реферат:
Изобретение относится к области металлообработки, зубошлифовальным станкам, работающим торцом круга. Способ включает шлифование зубьев цилиндрических зубчатых колес на станке, содержащем бабку изделия с механизмом обката, установленную на направляющих станины станка с возможностью перемещения относительно круга от привода обката через кривошипно-ползунный механизм и механизм обката, выполненный в виде эвольвентного кулака, установленного соосно с обрабатываемым зубчатым колесом и взаимодействующего с упором, закрепленным на станине. Для возможности получения модифицированного профиля зуба используют упор с криволинейным профилем. 1 ил.
Изобретение относится к металлообработке и предназначено для зубошлифовальных станков, работающих торцом круга.
Известен способ шлифования эвольвентного профиля зубьев цилиндрических зубчатых колес. При этом применяется станок, содержащий бабку изделия с механизмом обката, установленную на направляющих станины с возможностью перемещения относительно круга от привода обката через кривошипно-ползунный механизм; механизм обката станка выполнен в виде эвольвентного кулака, установленного соосно с обрабатываемым изделием, взаимодействующего с прямолинейным упором, закрепленным на станине. Эвольвентный кулак, взаимодействуя с неподвижным прямолинейным упором, перемещает бабку изделия по направляющим станины, в результате чего изделие получает движение обката относительно шлифовального круга [1].
К недостаткам известного технического решения следует отнести невозможность обработки зубчатых колес с модифицированным профилем, отличным от теоретической эвольвенты.
Задача изобретения – обеспечить возможность обработки на станке изделий (зубчатых колес, зуборезных долбяков и шеверов) с модифицированным профилем.
Указанная задача решается следующим образом. При шлифовании эвольвентного или модифицированного выпуклого профиля изделия, разворачивающегося на плоскость, шлифовальный круг, при заданном его развороте на угол w, находится в зацеплении со шлифуемым профилем изделия. В то же время с профилем кулака находится в зацеплении профиль неподвижного упора на станке. Зная положения профильных нормалей модифицированного профиля, можно определить некоторый угол доворота изделия ( у) и соответствующую ему дополнительную величину линейного перемещения относительно шлифовального круга ( Ly) с тем, чтобы нормали были перпендикулярны торцу круга. Эти дополнительные величины доворота и перемещения в совокупности с известными величинами обкаточного движения при шлифовании эвольвентного профиля у (угол поворота изделия и соосного с ним кулака) и Ly (перемещение изделия и соосного с ним кулака) определяют параметры модифицированного обкаточного движения. Зная эти параметры (закон движения) и сохранив профиль кулака эвольвентным, определяется профиль сменного упора как сопряженного элемента, находящегося в зацеплении с профилем кулака. Профиль упора получается криволинейным.
Таким образом, сохраняя профиль кулака эвольвентным, модификацию обкаточного движения, а следовательно, и шлифуемого профиля можно обеспечить изменяя профиль упора.
Так, например, при шлифовке модифицированного профиля цилиндрического зуборезного долбяка (см. чертеж), профильные нормали которого наклонены к профильным нормалям эвольвенты под углом у, параметры обкаточного движения (угол поворота и линейное перемещение) определяются зависимостью:

,
здесь sin 0=k; sin у=kcos у; k=tg вtg бn, где 0 и у – углы наклона профильных нормалей модифицированного профиля к профильным нормалям эвольвенты, соответственно, в начальной и текущей точках, y – профильный угол шлифуемого долбяка в текущей точке, в – передний угол при вершине долбяка, бn – задний боковой нормальный угол, Rb – радиус основной окружности эвольвентного кулака.
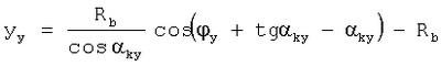
Параметры обкаточного движения обеспечиваются эвольвентным кулаком и криволинейным упором, которому соответствуют параметрические уравнения:

,
здесь tg ky= у+arccos(Rbtg у/Lу), где ky – угол профиля эвольвентного кулака в текущей точке.
Использование в станке упора с криволинейным профилем позволит производить обработку изделий с модифицированным профилем, а также осуществлять коррекцию погрешности эвольвентного профиля изделия, возникающую в процессе обработки.
Источники информации
1. Станок зубошлифовальный мод. 5891, 5891С. Руководство по эксплуатации. М., 1977.
Формула изобретения
Способ шлифования цилиндрических зубчатых колес с модифицированным профилем, включающий шлифование зубьев цилиндрических зубчатых колес торцом круга на станке, содержащем бабку изделия с механизмом обката, установленную на направляющих станины станка с возможностью перемещения относительно круга от привода обката через кривошипно-ползунный механизм и механизм обката, выполненный в виде эвольвентного кулака, установленного соосно с обрабатываемым зубчатым колесом и взаимодействующего с упором, закрепленным на станине, отличающийся тем, что используют упор с криволинейным профилем.
РИСУНКИ
MM4A – Досрочное прекращение действия патента СССР или патента Российской Федерации на изобретение из-за неуплаты в установленный срок пошлины за поддержание патента в силе
Извещение опубликовано: 27.04.2009 БИ: 12/2009
|
|