|
|
(21), (22) Заявка: 2006102632/28, 30.01.2006
(24) Дата начала отсчета срока действия патента:
30.01.2006
(46) Опубликовано: 20.06.2007
(56) Список документов, цитированных в отчете о поиске:
ЗАЙДЕЛЬ А.Н. и др. Техника и практика спектроскопии. – М.: Наука, 1976, с.183-184. RU 2078358 С1, 27.04.1997. RU 2054639 С1, 20.02.1996. JP 11304588 А, 05.11.1999. US 5844735 А, 01.12.1998.
Адрес для переписки:
111123, Москва, ш. Энтузиастов, 46/2, ФГУП “НПО “ОРИОН”, патентно-лицензионный отдел
|
(72) Автор(ы):
Филачев Анатолий Михайлович (RU), Сагинов Леонид Дмитриевич (RU), Бурлаков Игорь Дмитриевич (RU), Соляков Владимир Николаевич (RU), Болтарь Константин Олегович (RU), Кононов Андрей Сергеевич (RU), Свиридов Анатолий Николаевич (RU)
(73) Патентообладатель(и):
Федеральное государственное унитарное предприятие “НПО “ОРИОН” ФГУП “НПО “ОРИОН” (RU)
|
(54) ОПТИЧЕСКОЕ ФИЛЬТРУЮЩЕЕ УСТРОЙСТВО
(57) Реферат:
Изобретение относится к области оптического приборостроения и может быть использовано при построении приборов для спектральной фильтрации оптических изображений, например, перестраиваемых по длине волны оптических фильтров, тепловизоров, работающих в заданных узких спектральных диапазонах. Сущность изобретения заключается в том, что в фильтрующеем устройстве, перестраиваемом по длинам волн в пределах заданного диапазона, на основе интерферометров, расположенных последовательно по ходу фильтруемого потока излучения под различными углами к оси потока, отражающие поверхности обращенных друг к другу пластин каждого интерферометра оптически отполированы и не имеют металлических или интерференционных зеркальных покрытий. Для фильтрации выбранной длины волны m устанавливаются следующие расстояния между отражающими гранями пластин интерферометров: d1=( m/2)·k, k=1 или 2, dn=(n-1)·d1 или n·d1. Фильтрующее устройство укомплектовано различными фильтрами, отрезающими излучение за пределами фильтруемого диапазона, в том числе фильтрами, которые выполнены из оптических материалов, прозрачных в полосе спектральной характеристики чувствительности приемника потребителя, регистрирующего отфильтрованное излучение, причем фильтр, отрезающий коротковолновое излучение, выполнен из материалов, образующих границу раздела с положительной производной зависимости угла полного внутреннего отражения от длины волны, а фильтр, отрезающий длинноволновое излучение, выполнен из материалов, образующих границу раздела с отрицательной производной зависимости угла полного внутреннего отражения от длины волны. Технический результат заключается в повышении стабильности параметров, в повышении пропускающей способности устройства в максимумах полос и уменьшении ширины полос пропускания, в увеличении светосилы фильтрующего устройства и повышении качества фильтрации за счет уменьшения побочных максимумов. 3 з.п. ф-лы, 5 ил.
Изобретение относится к области оптического приборостроения и может быть использовано в оптико-электронных приборах различного назначения, например в приборах, где необходимо осуществлять фильтрацию излучений в любых избранных узких спектральных полосах, находящихся внутри спектрального диапазона 1… n..
Общими признаками заявляемого изобретения и прототипа являются наличие нескольких последовательно расположенных интерферометров с расстояниями между зеркалами порядка фильтруемой длины волны, находящимися в простых кратных соотношениях, наличие одного или двух отрезающих фильтров, а также объектива, фокусирующего отфильтрованное излучение на приемник пользователя и линз, согласующих сечение и угол расхождения фильтруемого потока излучения с входным отверстием и апертурным углом приемника пользователя.
Задачей заявляемого изобретения является устранение непостоянства параметров, обусловленного изменением во времени свойств зеркал, повышение пропускающей способности устройства в максимумах полос и уменьшение ширины полос пропускания, увеличение светосилы фильтрующего устройства, повышение качества фильтрации за счет уменьшения побочных максимумов, устранение необходимости использования охлаждаемых абсорбционных фильтров для фильтрующих устройств, работающих в средней ИК-области спектра.
Поставленные задачи решаются благодаря тому, что
в оптическом фильтрующем устройстве (ОФУ), содержащем n интерферометров Фабри-Перо, образованных пластинами, изготовленными из материалов, прозрачных в рабочем спектральном диапазоне 1… n, грани которых, обращенные друг к другу, имеют плоские отражающие поверхности, параллельны и расположены на расстояниях, находящихся между собой в простых кратных отношениях и, соответственно, равных для каждого интерферометра d1, d2,… dn, причем наружные грани пластин интерферометров просветлены в спектральном диапазоне 1… , объектив, фокусирующий отфильтрованное излучение на приемник пользователя, фильтры, отрезающие излучение, за пределами рабочего диапазона, линзы, согласующие сечение и угол расхождения фильтруемого потока излучения с входным отверстием и апертурным углом приемного устройства потребителя излучения,
все интерферометры установлены так, что углы между оптической осью потока излучения и внутренними гранями первого и второго интерферометра находятся в одной плоскости и равны, соответственно, и – , углы между оптической осью пучка и внутренними гранями следующей второй пары интерферометров находятся в плоскости, перпендикулярной плоскости, в которой находятся углы первой пары интерферометров и, соответственно, равны и – , углы между оптической осью пучка и внутренними гранями каждых следующих двух пар интерферометров находятся во взаимно перпендикулярных плоскостях и соответственно равны 1 и – 1,…, к и – к, где и – , 1 и – 1,…, к и – к – углы, порядка угла поля зрения фильтрующего устройства 2 , при этом для выделения из полихроматического пучка излучения с длиной волны m, распространяющегося вдоль оптической оси устройства, установлены следующие расстояния между отражающими гранями интерферометров: d1=( m/2)·k, k=1 или 2, dn=(n-1)·d1 или n·d1, где 1 m n, отражающие поверхности обращенных друг к другу пластин каждого интерферометра оптически отполированы и не имеют металлических или интерференционных зеркальных покрытий,
каждый интерферометр изготовлен с возможностью прецизионного и контролируемого изменения расстояния между отражающими пластинами и закреплен в механическом устройстве, которое выполнено с возможностью выводить его из зоны распространения фильтруемого излучения и возвращать в прежнее положение,
абсорбционные фильтры, отрезающие коротковолновое и длинноволновое излучение, выполнены с возможностью охлаждения,
фильтры, отрезающие коротковолновое и длинноволновое излучение, выполнены из оптических материалов, прозрачных в полосе спектральной характеристики чувствительности приемника потребителя, регистрирующего отфильтрованное излучение, причем фильтр, отрезающий коротковолновое излучение, выполнен из материалов, образующих границу раздела с положительной производной зависимости угла полного внутреннего отражения от длины волны, а фильтр, отрезающий длинноволновое излучение, выполнен из материалов, образующих границу раздела с отрицательной производной зависимости угла полного внутреннего отражения от длины волны.
Установка интерферометров так, что углы между оптической осью потока излучения и внутренними гранями первого и второго интерферометра находятся в одной плоскости и равны соответственно и – , углы между оптической осью пучка и внутренними гранями следующей второй пары интерферометров находятся в плоскости, перпендикулярной плоскости, в которой находятся углы первой пары интерферометров и соответственно равны и – , углы между оптической осью пучка и внутренними гранями каждых следующих двух пар интерферометров находятся во взаимно перпендикулярных плоскостях и соответственно равны 1 и – 1,…, к и – к, где: и – , 1 и – 1,…, к и – к – углы, порядка угла поля зрения фильтрующего устройства 2 , позволяет избежать интерференции лучей между соседними интерферометрами и, следовательно, позволяет уменьшить расстояния между ними, что способствует увеличению светосилы устройства. Действительно, поскольку эти углы соизмеримы с углом поля зрения устройства 2 , то излучение, отраженное от граней соседних интерферометров, уже через 2-4 отражения выйдет за пределы угла поля зрения фильтрующего устройства, что позволит избежать паразитной интерференции при любых расстояниях между интерферометрами.
Выделение из полихроматического пучка излучения с длиной волны m, распространяющегося вдоль оптической оси устройства, обеспечивается следующими расстояниями между отражающими гранями интерферометров: d1=( m/2)·k, k=1 или 2, dn=(n-1)·d1 или n·d1, где 1 m n,
причем благодаря возможности выбора следующих расстояний между пластинами интерферометров: d1=( m/2)·k, k=1, d2=d1, d3=2·d1, dn=(n-1)·d1, удается уменьшить амплитуды побочных максимумов и избежать необходимости в отсекающем длинноволновом фильтре.
Возможность выбора следующих расстояний между пластинами интерферометров: d1= m, d2=2·d1, d3=3·d1, dn=n·d1, способствует уменьшению ширины полосы пропускания устройства.
Замена частично-прозрачных металлических или интерференционных зеркальных покрытий на отражающих поверхностях зеркальной полировкой поверхностей пластин способствует увеличению стабильности параметров и срока службы устройства, увеличению спектрального диапазона перестройки и увеличению пропускания в центре выделенной линии благодаря отсутствию потерь, связанных с поглощением излучения при отражении.
Благодаря тому, что каждый интерферометр изготовлен с возможностью прецизионного и контролируемого изменения расстояния между отражающими пластинами и закреплен в механическом устройстве, которое выполнено с возможностью выводить его из зоны распространения фильтруемого излучения и возвращать в прежнее положение (п.2 формулы), реализуется возможность точной настройки фильтрующего устройства на фильтрацию любой выбранной длины волны в пределах рабочего диапазона с обеспечением настройки на максимальное пропускание в центре линии.
Благодаря выполнению фильтров, отрезающих коротковолновое и длинноволновое излучение, с возможностью охлаждения (п.3 формулы), можно уменьшать до требуемых пределов их собственное тепловое излучение, что способствует повышению качества фильтрации.
Изобретение поясняется чертежами, где на фиг.1 представлена возможная схема ОФУ, содержащая четыре интерферометра. (От количества интерферометров зависит ширина контура пропускания устройства. Чем больше интерферометров содержит ОПФ, тем меньше ширина контура пропускания.)
ОПФ содержит:
1 – интерферометр с расстоянием между отражающими гранями пластин d1;
2 – интерферометр с расстоянием между отражающими гранями пластин d2;
3 – интерферометр с расстоянием между отражающими гранями пластин d3;
4 – интерферометр с расстоянием между отражающими гранями пластин d4;
5, 6 – линзы телескопа, согласующие сечение и угол расхождения фильтруемого потока излучения с входным отверстием и апертурным углом прибора, регистрирующего отфильтрованное излучение, например тепловизора;
7, 8 – фильтры, отрезающие излучение с длинами волн, находящимися за пределами рабочего спектрального диапазона фильтрующего устройства.
Кроме того, на чертеже изображены основные элементы приемника пользователя – тепловизора регистрирующего отфильтрованное излучение: 9 – объектив, 10 – матричное приемное устройство, 11 – монитор.
На фиг.2 показаны зависимости контуров пропускания от длины волны (аппаратной функции фильтрующего устройства, содержащего четыре установленных друг за другом интерферометра) Zn( , dn, ), рассчитанные для пучка, распространяющегося вдоль оптической оси устройства, при | |=4° и следующих расстояниях между пластинами интерферометров:
Z1( ): d1=4 мкм, d2=2·d1, d3=3·d1, d4=4·d1;
Z2( ): d1=4.5 мкм, d2=2·d1, d3=3·d1, d4=4·d1;
Z3( ): d1=5 мкм, d2=2·d1, d3=3·d1, d4=4·d1;
Z4( ): d1=5.5 мкм, d2=2·d1, d3=3·d1, d4=4·d1.
На фиг.3 показаны зависимости контуров пропускания от длины волны (аппаратной функции ОФУ, содержащего четыре установленных друг за другом интерферометра) Zn( , dn, ), рассчитанные для пучка, распространяющегося вдоль оптической оси устройства, при | |=4° и следующих расстояниях между пластинами интерферометров:
Z1( ): d1=4 мкм, d2=d1, d3=2·d1, d4=3·d1;
Z2( ): d1=4.5 мкм, d2=d1, d3=2·d1, d4=3·d1;
Z3( ): d1=5 мкм, d2=d1, d3=2·d1, d4=3·d1;
Z4( ): d1=5.5 мкм, d2=d1, d3=2·d1, d4=3·d1.
На фиг.4 показаны зависимости контуров пропускания от длины волны (аппаратной функции фильтрующего устройства – фильтра второго порядка – содержащего четыре установленных друг за другом интерферометра) Zn( , dn, ), рассчитанные для пучка, распространяющегося вдоль оптической оси устройства, при | |=4° и следующих расстояниях между пластинами интерферометров:
Z1( ): d1=8.5 мкм, d2=d1, d3=2·d1, d4=3·d1;
Z2( ): d1=9 мкм, d2=d1, d3=2·d1, d4=3·d1;
Z3( ): d1=10 мкм, d2=d1, d3=2·d1, d4=3·d1;
Z4( ): d1=11 мкм, d2=d1, d3=2·d1, d4=3·d1.
На фиг.5 показаны зависимости контуров пропускания (аппаратной функции) Zo( ) и Z1( ) рассчитанные соответственно для минимального (0°) и максимального (8°) углов падений пучков на интерферометры.
Рассмотрим возможную конструкцию устройства и приведем основные соотношения, поясняющие сущность работы ОФУ.
В ОФУ, схема которого представлена на фиг.1, каждый интерферометр изготовлен с возможностью прецизионного и контролируемого изменения расстояния между отражающими пластинами и закреплен в механическом устройстве, которое выполнено с возможностью выводить его из зоны распространения фильтруемого излучения и возвращать в прежнее положение. Пластины интерферометров изготовлены из материалов, имеющих высокий показатель преломления и прозрачных для излучения в рабочем спектральном диапазоне. Для рассматриваемого примера реализации фильтрующего устройства с рабочим спектральным диапазоном 8…11 мкм наиболее подходящими материалами для пластин являются германий или кремний. Будем считать, что пластины изготовлены из германия, имеющего показатель поглощения в рабочем спектральном диапазоне =0.025 см-1. Толщина каждой пластины t=0.5 см. Диаметр пластин Dп=7.5 см. Все интерферометры установлены под углом | |=4° к оптической оси устройства. Наружные грани пластин каждого интерферометра имеют просветляющее покрытие в диапазоне 8…12 мкм, уменьшающее отражение от каждой грани до R=0.05. Тогда пропускание каждой пластины оценивается следующим образом:
:=е– ·t·(1-R).
С учетом исходных данных пропускания одной пластины =0.938, а пропускание 8-ми пластин 8=0.6.
Линзы телескопа (5, 6) согласуют сечение и угол, в котором распространяется фильтруемый поток излучения с входным отверстием объектива и углом поля зрения тепловизора и выбираются вместе с объективом тепловизора таким образом, чтобы пучки фильтруемого излучения, распространяющиеся под углами | |=4° к оптической оси устройства, фокусировались на крайние пикселы матричного приемника тепловизора. Например, для этого достаточно телескопа с кратностью 1/3 и объектива с фокусным расстоянием f=4.7 см (при размере матрицы 2×2 см). При этом диаметр сфокусированной моды (с =10 мкм) в плоскости матричного приемника равен Do=24 мкм.
В качестве фильтра 7, отрезающего излучение, с длинами волн, меньшими 5.6…7 мкм (в зависимости от расстояний между отражающими гранями), может быть использован слой (пластинка) из антимонида индия (при температуре 78К) толщиной около 0.1 мм. Излучение с длинами волн, большими 13-15 мкм (в том числе побочные максимумы), можно подавить с помощью фильтра 8, изготовленного из слоя (пластинки) из BF2
Приведем основные соотношения, по которым рассчитывались характеристики ОФИ, показанные на фиг.2, 3, 4, 5.
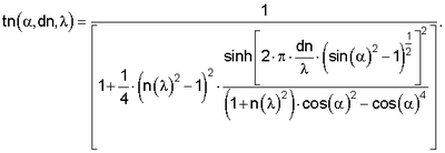
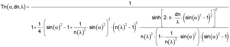
tn( , dn, ) и Tn( , dn, ) – пропускание одного интерферометра соответственно для излучений с поляризацией, перпендикулярной плоскости падения и параллельной плоскости падения, зависит от угла падения , расстояния между внутренними гранями dn и длины волны следующим образом:


где n(
Тогда пропускание для неполяризованного излучения Тнn( , dn, ), падающего на интерферометр под углом , равно

Суммарное пропускание Zn( , dn, ) четырех установленных друг за другом интерферометров с расстояниями между пластинами d1, d2, d3, d4 для излучения, падающего на каждый интерферометр под углом | |, выражается следующим произведением:
Zn( , dn, )=Tн1( , d1, )·Tн2( , d2, )·Тн3( , d3, )·Тн4( , d4, ).
Это произведение определяет аппаратную функцию ОФИ.
Устройство работает следующим образом.
Пусть требуется произвести фильтрацию ИК излучения, поступающего на матричное приемное устройство тепловизора. В этом случае фильтрующее устройство (см. фиг.4), содержащее: интерферометры: 1, 2, 3, 4, телескоп, образованный линзами 5 и 6, и отрезающие фильтры 7 и 8, устанавливается перед приемником пользователя – тепловизором, содержащим объектив 9, матричное приемное устройство 10 и монитор 11, так, чтобы оптическая ось устройства совпадала с оптической осью объектива тепловизора.
Для выделения излучения с выбранной длиной волны m, принадлежащей рабочему спектральному диапазону устройства ( 1 m n), устанавливают следующие расстояния между пластинами интерферометров, при которых происходит выделение этой длины волны: d1=( m/2)·k, k=1 или 2, dn=(n-1)·d1 или n·d1, 1 m n. Например, для выделения излучения с длиной волны m=10 мкм можно установить любой из четырех возможных наборов расстояний между пластинами интерферометров.
Вариант 1. Z3( ): d1=5 мкм, d2=2·d1, d3=3·d1, d4=4·d1;
Вариант 2. Z3( ): d1=5 мкм, d2=d1, d3=2·d1, d4=3·d1;
Вариант 3. Z3( ): d1=10 мкм, d2=d1, d3=2·d1, d4=3·d1;
Вариант 4. Z3( ): d1=10 мкм, d2=2·d1, d3=3·d1, d4=4·d1.
(Результаты расчетов аппаратных функций устройства для первых трех возможных вариантов расстояний приведены выше на фиг.2-4.)
Из сравнения зависимостей, приведенных на фиг.2-4, видно, что качество фильтрации выше у фильтрующего устройства с расстояниями между пластинами интерферометров, при которых были рассчитаны зависимости, приведенные на фиг.3, поскольку в этом случае практически отсутствуют побочные максимумы. Однако следует отметить, что при этом имеет место увеличение ширины контура фильтрации.
Видно, что в обоих случаях (эти случаи относятся к фильтрам первого порядка) требуется использование дополнительного фильтра, отрезающего излучение с длинами волн, меньшими 5.6 мкм.
Видно, что увеличение расстояний между пластинами интерферометров в два раза приводит к соответствующему уменьшению ширины линии пропускания (т.е. к увеличению разрешающей способности устройства), однако при этом возникает необходимость в фильтрах, отсекающих не только коротковолновое, но и длинноволновое излучение.
В результате фильтрации из полихроматического пучка излучения, распространяющегося вдоль оптической оси (в пределах дифракционного угла, определяемого апертурным отверстием устройства), будет выделено излучение с длиной волны m=10 мкм, которое будет сфокусировано объективом 9 на пиксел, находящийся в середине средней строки матричного приемника 10.
При выбранных размерах пластин, параметрах объектива, размерах матрицы и кратности телескопа пучки с дифракционной расходимостью, распространяющиеся под углами | |, будет сфокусирован на оптически сопряженный с ним пиксел матрицы.
Так как устройство фильтрует большое число пучков с дифракционной расходимостью, распространяющихся под различными углами к оптической оси, а интерферометры развернуты под углами 4° к оптической оси, углы падения пучков на пластины интерферометров различны и меняются в пределах от 0 до 8°. Это приводит к дополнительному (по сравнению с расчетами для пучка, распространяющегося вдоль оси) уширению аппаратной функции и смещению максимума пропускания в сторону более коротких волн.
На фиг.5 показаны зависимости контуров пропускания (аппаратной функции) Zo( ) и Z1( ), рассчитанные соответственно для минимального (0°) и максимального (8°) углов падений пучков на интерферометры. Видно, что аппаратная функция фильтрации для пучков, падающих на интерферометры под разными углами, уширяется не более чем на 20%, что вполне допустимо.
Следует отметить, что конструкция фильтрующего устройства позволяет в необходимых случаях, например при существенных изменениях температуры окружающей среды, следующим образом проводить прецизионную настройку устройства для фильтрации излучения, распространяющейся вдоль оптической оси устройства с заданной длиной волны, например, m: все интерферометры, кроме первого, выводятся из зоны распространения фильтруемого излучения; устанавливается расстояние d1 между отражающими гранями первого интерферометра; вводится в зону распространения луча второй интерферометр и устанавливается расстояние между отражающими гранями этого интерферометра d2=d1 или 2·d1, причем точная подстройка этого расстояния проводится по максимуму электрического сигнала приемника (пиксела, расположенного в середине средней строки матричного приемника); далее вводится в зону распространения луча третий интерферометр и устанавливается расстояние между отражающими гранями этого интерферометра d3=2·d1 или 3·d1, причем точная подстройка этого расстояния проводится по максимуму электрического сигнала приемника и так далее.
Определим максимальное число элементов изображения (число пространственных мод), которое может пропустить фильтрующее устройство.
Число пространственных мод, пропускаемых фильтрующим устройством для =10 мкм, можно определить по следующей формуле:

При Dп=7.5 см и =4° фильтрующее устройство может пропустить не менее 6.7·105 мод, что в несколько раз больше, чем требуется для приема изображения современной ИК матрицей.
Таким образом, фильтрующее устройство не будет ограничивать разрешение тепловизора и при этом позволит получать изображения на любой из избранных длин волн в рассматриваемом рабочем спектральном диапазоне.
Следует отметить, что с помощью прототипа решить поставленную задачу было бы практически невозможно из-за потерь в отражающих покрытиях, приводящих к малому пропусканию интерферометра и к недопустимому уширению линии пропускания, а также недолговечности металлических частично-прозрачных покрытий зеркал и паразитной интерференции между интерферометрами, препятствующей построению светосильных мультиплексов.
Формула изобретения
1. Оптическое фильтрующее устройство, содержащее n интерферометров Фабри-Перо, образованных пластинами, изготовленными из материалов, прозрачных в рабочем спектральном диапазоне 1… n, грани которых, обращенные друг к другу, имеют плоские отражающие поверхности, параллельны и расположены на расстояниях, находящихся между собой в простых кратных отношениях и соответственно равных для каждого интерферометра d1, d2,… dn, причем наружные грани пластин интерферометров просветлены в спектральном диапазоне 1… n, объектив, фокусирующий отфильтрованное излучение на приемник пользователя, фильтры, отрезающие излучение за пределами рабочего диапазона, линзы, согласующие сечение и угол расхождения фильтруемого потока излучения с входным отверстием и апертурным углом приемного устройства потребителя излучения, отличающееся тем, что все интерферометры установлены так, что углы между оптической осью потока излучения и внутренними гранями первого и второго интерферометров находятся в одной плоскости и равны соответственно и – , углы между оптической осью пучка и внутренними гранями следующей второй пары интерферометров находятся в плоскости, перпендикулярной плоскости, в которой находятся углы первой пары интерферометров и соответственно равны и – , углы между оптической осью пучка и внутренними гранями каждых следующих двух пар интерферометров находятся во взаимно перпендикулярных плоскостях и соответственно равны 1 и – 1,…, к и – к, где и – , 1 и – 1,…, к и – к – углы, порядка угла поля зрения фильтрующего устройства 2 , при этом для выделения из полихроматического пучка излучения с длиной волны m, распространяющегося вдоль оптической оси устройства, установлены следующие расстояния между отражающими гранями интерферометров: d1=( m/2)·k, k=1 или 2, dn=(n-1)·d1 или n·d1, где 1 m n, а отражающие поверхности обращенных друг к другу пластин каждого интерферометра оптически отполированы и не имеют металлических или интерференционных зеркальных покрытий.
2. Оптическое фильтрующее устройство по п.1, отличающееся тем, что каждый интерферометр изготовлен с возможностью прецизионного и контролируемого изменения расстояния между отражающими пластинами и закреплен в механическом устройстве, которое выполнено с возможностью выводить его из зоны распространения фильтруемого излучения и возвращать в прежнее положение.
3. Оптическое фильтрующее устройство по п.1 или 2, отличающееся тем, что фильтры, отрезающие коротковолновое и длинноволновое излучение, выполнены с возможностью охлаждения.
4. Оптическое фильтрующее устройство по п.1 или 2, отличающееся тем, что в нем фильтры, отрезающие коротковолновое и длинноволновое излучение, выполнены из оптических материалов, прозрачных в полосе спектральной характеристики чувствительности приемника потребителя, регистрирующего отфильтрованное излучение, причем фильтр, отрезающий коротковолновое излучение, выполнен из материалов, образующих границу раздела с положительной производной зависимости угла полного внутреннего отражения от длины волны, а фильтр, отрезающий длинноволновое излучение, выполнен из материалов, образующих границу раздела с отрицательной производной зависимости угла полного внутреннего отражения от длины волны.
РИСУНКИ
|
|