|
|
(21), (22) Заявка: 2005133174/28, 27.10.2005
(24) Дата начала отсчета срока действия патента:
27.10.2005
(46) Опубликовано: 20.06.2007
(56) Список документов, цитированных в отчете о поиске:
RU 2005101948 А1, 10.07.2006. SU 1411683 А1, 23.07.1988. SU 1580288 А1, 23.07.1990. RU 2001124545 А1, 27.07.2003. SU 1566300 А1, 23.05.1990. SU 978070 А, 30.11.1982. JP 72-87039 A, 31.10.1995. FR 2508177 A1, 24.12.1982. JP 63-163178 A, 06.07.1988.
Адрес для переписки:
634021, г.Томск, ул. Сибирская, 108, кв.20, В.И. Туеву
|
(72) Автор(ы):
Туев Василий Иванович (RU)
(73) Патентообладатель(и):
Туев Василий Иванович (RU)
|
(54) УСТРОЙСТВО ДЛЯ ОПРЕДЕЛЕНИЯ ПОЛНЫХ ВХОДНЫХ СОПРОТИВЛЕНИЙ ЭЛЕКТРИЧЕСКИХ ЦЕПЕЙ
(57) Реферат:
Предложенное изобретение относится к измерительной технике, а именно к средствам для измерения полных входных сопротивлений низкочастотных и высокочастотных электрических цепей. Задачами, на достижение которых направлено предлагаемое техническое решение, являются расширение диапазона рабочих частот, в котором производится измерение полных входных сопротивлений электрических цепей, и повышение точности измерения полных входных сопротивлений электрических цепей. Предложенное устройство для измерения полных входных сопротивлений электрических цепей содержит две входные клеммы для подключения измеряемого сопротивления цепи, эталонный резистор, усилитель переменного напряжения, первый и второй ключевые синхронные детекторы, электрически управляемый двухканальный переключатель, источник питания, дополнительный резистор, первый и второй фильтры нижних частот, буквенно-цифровой индикатор, пульт ручного управления, счетчик импульсов по модулю четыре, сумматор импульсов, а также импульсный генератор испытательного сигнала в виде последовательно соединенных микроконтроллера и синтезатора частот. 3 ил.
Изобретение относится к измерительной технике. Конкретно – к устройствам измерения полных входных сопротивлений низкочастотных и высокочастотных электрических цепей.
Известен измеритель комплексных сопротивлений сетей трехпрограммного проводного вещания [1], содержащий батарею гальванических элементов, каскадно соединенные генератор переменного напряжения, вырабатывающий сигналы на четырех частотах первого канала: 0,4; 3; 6 и 10 кГц и на частотах второго и третьего каналов в диапазонах 66-88 кГц и 110-130 кГц, усилитель с регулируемым коэффициентом усиления и трансформатор, имеющий шесть выводов вторичной обмотки, каскадно соединенные трехканальный полосовой фильтр, первый ввод которого соединен с первым выводом трансформатора, усилитель с постоянным коэффициентом усиления, детектор и стрелочный индикатор, делитель напряжения, состоящий из двух последовательно соединенных резисторов и включенный между первым и вторым выводами трансформатора, первый и второй выключатели, магазин реактивностей, первый конец которого соединен с первым вводом измерителя, первый вывод измерителя соединен с точкой соединения резисторов делителя напряжения, а второй вывод – со вторым вводом трехканального полосового фильтра, узел, состоящий из пяти последовательно соединенных эталонных резисторов и соединенный началом первого резистора с первым выводом трансформатора, первый и второй спаренные пятиканальные переключатели, вход второго из которых соединен со вторым вводом измерителя и вводом двухканального переключателя. Выводы первого из пятиканальных переключателей могут поочередно соединяться со вторым, третьим, четвертым, пятым и шестым выводами трансформатора, а выводы второго – поочередно подключаться к точкам соединения первого и второго, второго и третьего, третьего и четвертого, четвертого и пятого и к концу пятого эталонных резисторов, при этом вход первого из пятиканальных переключателей через первый выключатель может соединяться с первым выходом измерителя, а второй конец магазина индуктивностей через второй выключатель может соединяться со входом первого пятиканального переключателя и через первый выключатель – со вторым вводом измерителя. Недостатками прибора являются узкая область применения (прибор предназначен только для измерения сопротивлений сетей трехпрограммного проводного вещания), небольшой диапазон измеряемых сопротивлений, большая погрешность измерения (±10% для модуля полного сопротивления и ±15% для реактивной составляющей этого сопротивления), ручной выбор пределов измерения, низкая помехозащищенность, частая замена источника питания.
Наиболее близким к заявляемому устройству является устройство для измерения параметров полных входных сопротивлений электрических цепей, содержащее входные клеммы для подключения измеряемого сопротивления, эталонный резистор, соединенный первым концом с первой входной клеммой, генератор синусоидального напряжения, два двухканальных механических переключателя, один из которых выполнен сдвоенным, один амплитудный и два синхронных детектора, на управляющие входы которых подаются синусоидальные напряжения, фазовращатель, усилитель напряжения, блок вычитания, три измерителя отношения напряжений, управляемый масштабный преобразователь и узел сравнения напряжений [2]. Последовательно соединенные вход устройства, оканчивающийся двумя входными клеммами, и эталонный резистор соединены с парой подвижных входных контактов спаренного двухканального переключателя, которые могут соединяться или с первым и вторым или с третьим и четвертым неподвижными контактами этого переключателя. Вторые и третьи неподвижные контакты переключателя соединены с общим для всего устройства проводником. Выход генератора синусоидальных напряжений соединен с первыми входами узла сравнения напряжений и управляемого масштабного преобразователя. Выход последнего соединен с первым и четвертым неподвижными контактами спаренного двухканального переключателя, входом фазовращателя и сигнальным входом первого синхронного детектора. Выход фазовращателя соединен с сигнальным входом второго синхронного детектора. Точка соединения одной из входных клемм с эталонным резистором соединена со входом амплитудного детектора, управляющим входом второго синхронного детектора и входом усилителя напряжения. Выход усилителя напряжения соединен с управляющим входом первого синхронного детектора. Выход последнего соединен с первым входом блока вычитания. Выход амплитудного детектора соединен со вторым входом блока вычитания, первым входом второго двухканального переключателя и первыми входами первого и второго измерителей отношения напряжений. Второй вход второго двухканального переключателя соединен с выходом второго синхронного детектора и вторыми входами первого и третьего измерителей отношений напряжений. Выход второго двухканального переключателя соединен со вторым входом узла сравнения напряжений. Выход последнего соединен со вторым входом управляемого масштабного преобразователя. Выход блока вычитания соединен с первым входом третьего измерителя отношения напряжений и вторым входом второго измерителя отношений. В устройстве предусмотрены выводы сигналов с выходов обоих синхронных детекторов и выхода амплитудного детектора. Недостатком устройства-прототипа являются узкий диапазон рабочих частот, обусловленный зависимостью фазы выходного напряжения фазовращателя и усилителя напряжения от частоты и высокая погрешность измерения полного сопротивления цепей, обусловленная, в частности, использованием в нем синхронных детекторов, на управляющие входы которых подаются синусоидальные напряжения.
Задачами, на достижение которых направлено предлагаемое решение, являются расширение диапазона рабочих частот, в котором производится измерение полных входных сопротивлений электрических цепей, и повышение точности измерения полных входных сопротивлений электрических цепей.
Это достигается тем, что в устройстве для измерения полных входных сопротивлений электрических цепей, содержащем две входные клеммы для подключения измеряемого сопротивления цепи, эталонный резистор, первый конец которого соединен с первой входной клеммой, усилитель переменного напряжения, первый и второй синхронные детекторы, двухканальный переключатель и источник питания, генератор испытательного сигнала выполнен импульсным в виде последовательно соединенных микроконтроллера, к первому и второму входам которого подключен частотозадающий элемент, и синтезатора частот, вход которого подключен к первому выходу микроконтроллера, синхронные детекторы выполнены ключевыми, двухканальный переключатель – электрически управляемым и в состав устройства введены дополнительный резистор, первый вывод которого соединен с выходом усилителя переменного напряжения, а второй вывод – со второй входной клеммой и входом второго ключевого синхронного детектора, первый и второй фильтры нижних частот, входы которых подключены к выходам первого и второго ключевых синхронных детекторов, а их выходы соединены с шестым и седьмым входами микроконтроллера, буквенно-цифровой индикатор, три входа которого соединены со вторым – четвертым выходами микроконтроллера, пульт ручного управления, выходы которого соединены с третьим – пятым входами микроконтроллера, счетчик импульсов по модулю четыре, вход которого подключен к выходу синтезатора частот, сумматор импульсов, первый вход которого подключен к первому выходу счетчика по модулю четыре и первому входу двухканального переключателя, второй вход – ко второму выходу счетчика по модулю четыре, а выход соединен со вторым входом двухканального переключателя и с управляющими входами обоих ключевых синхронных детекторов, выход двухканального переключателя соединен со входом названного усилителя переменного напряжения, управляющий вход двухканального переключателя – с пятым выходом микроконтроллера, вход первого ключевого синхронного детектора подключен к первой входной клемме, а второй конец эталонного резистора соединен с общим для всего устройства проводником.
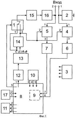
Функциональная схема устройства, реализующего предлагаемый способ определения полных входных сопротивлений электрических цепей, приведена на фиг.1, на которой обозначено: 1 – двухканальный переключатель; 2 – эталонный резистор; 3 – источник питания; 4 – первый ключевой синхронный детектор; 5 – второй ключевой синхронный детектор; 6 – первый фильтр нижних частот (ФНЧ); 7 – второй фильтр нижних частот; 8 – микроконтроллер; 9 – аналого-цифровой преобразователь (АЦП); 10 – пульт ручного управления; 11 – буквенно-цифровой индикатор; 12 – цифровой синтезатор частот; 13 – счетчик импульсов по модулю четыре; 14 -сумматор; 15 – усилитель переменного напряжения; 16 – дополнительный резистор; 17 – частотозадающий элемент. Двухканальный переключатель 1 изображен в положении, соответствующем режиму измерения активной составляющей полных входных сопротивлений цепей переменному току.
На фиг.2а и 2б приведены эквивалентные схемы измеряемых цепей.
На фиг.3а-г приведены эпюры сигналов на сигнальном и управляющем входах и выходах ключевых синхронных детекторов 4 и 5.
Устройство, изображенное на фиг.1, работает следующим образом. Измерение полного сопротивления цепей переменному току производится при открытом втором канале двухканального переключателя 1. Импульсное напряжение формируется каскадно соединенными микроконтроллером 8, цифровым синтезатором частот 12, счетчиком по модулю четыре 13, сумматором 14. В качестве частотозадающего элемента 17 для микроконтроллера 8 в устройстве используется кварцевый резонатор. Импульсный сигнал с первого выхода микроконтроллера 8 используется как высокостабильное задающее колебание. Цифровой синтезатор частот 12 выполнен по схеме с фазовой автоподстройкой частоты. Установкой коэффициента деления встроенного в синтезатор частоты делителя частоты и изменением частоты задающего колебания может формироваться сетка высокостабильных частот синтезатора в диапазоне единиц килогерц – десятков мегагерц. С выхода цифрового синтезатора частоты 12 напряжение в форме меандра поступает на вход счетчика по модулю четыре 13. Напряжения на четырех выходах счетчика 13 также имеют импульсную форму, но частоту в 4 раза меньшую частоты входного меандра и скважность, равную 4. Сигналы с первых двух выходов счетчика суммируются в сумматоре 14, образуя импульсный сигнал с той же частотой, что и на входах сумматора, но со скважностью, равной 2. Через открытый второй канал двухканального переключателя 1 импульсный сигнал со скважностью 2 подается на вход усилителя 15, а с выхода усилителя – на первый вывод дополнительного резистора 16, второй вывод которого соединен со второй входной клеммой (второй вывод резистора 16 совместно с общим для устройства проводником образует выход импульсного генератора, в состав которого входят каскадно соединенные микроконтроллер 8, цифровой синтезатор частоты 12, счетчик по модулю четыре 13, сумматор 14, двухканальный переключатель 1, усилитель 15 и резистор 16). При подключении к входу устройства электрической цепи ее сопротивление оказывается включенным между вторым выводом резистора 16 и первым концом эталонного резистора 2. Импульсные сигналы, снимаемые с первого конца эталонного резистора 2 и со второго вывода резистора 16 (с входных клемм 1 и 2), поступают на входы первого 4 и второго 5 ключевых синхронных детекторов, на управляющие входы которых поступает импульсный сигнал с выхода сумматора 14. Частота и скважность импульсных сигналов, подаваемых на сигнальные 1 и управляющие 2 входы ключевых синхронных детекторов 4 и 5, равны. С выходов ключевых синхронных детекторов 4 и 5 выпрямленные напряжения поступают на входы первого 6 и второго 7 ФНЧ, имеющих частоту среза 40 Гц. ФНЧ 6 и 7 подавляют помехи от сетей переменного тока частотой 50 Гц и более высокочастотные помехи.
С выходов ФНЧ 6 и 7 постоянные напряжения поступают на шестой и седьмой входы микроконтроллера 8 и далее на входы АЦП 9. Значение измеряемого сопротивления рассчитывается микроконтроллером 8 после нажатия одной из кнопок на пульте ручного управления 10 по формуле:

где U6 и U7 – значения напряжений на шестом и седьмом входах микроконтроллера 8 (напряжения снимаются относительно общего для устройства проводника), RЭ – значение сопротивления эталонного резистора 2. Численное значение полного сопротивления измеряемой цепи отображается на экране буквенно-цифрового индикатора 11.
Измерение действительной части полного сопротивления цепей производится при открытом первом канале двухканального переключателя 1. С первого выхода счетчика по модулю четыре 13 импульсный сигнал со скважностью 4 через открытый первый канал двухканального переключателя 1 подается на вход усилителя 15 и далее в соответствии с вышеуказанным для измерения полного сопротивления алгоритмом. На экране буквенно-цифрового индикатора 11 отображается численное значение действительной части полного сопротивления измеряемой цепи.
Эквивалентная схема измеряемой цепи, содержащей реактивную составляющую, состоит из параллельно соединенных активного сопротивления (действительной части полного сопротивления) и емкости или из последовательно соединенных активного сопротивления (действительной части полного сопротивления) и индуктивности. В первом случае для расчета полного сопротивления цепи используется схема, представленная на фиг.2а, во втором случае – схема, представленная на фиг.2б.
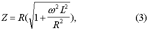
Для схем, представленных на фиг.2а и б, полное сопротивление измеряемой цепи имеет вид соответственно:


где – частота повторения импульсного сигнала на входных клеммах устройства, Z – полное сопротивление измеряемой цепи, R – действительная часть полного сопротивления измеряемой цепи, С – эквивалентная емкость, L – эквивалентная индуктивность.
Временные соотношения сигналов u1 – на сигнальных, u2 – на управляющих входах и u3 на выходах синхронных детекторов 4 и 5 для случая емкостного характера измеряемой цепи (фиг.2а) приведены на фиг.3а – г. Эпюры на фиг.3а и 3в соответствуют измерению полного сопротивления (двухканальный переключатель 1 на фиг.1 находится в положении 2). В этом случае в формировании сигналов на выходах синхронного детектора 4 (U3 на фиг.3а) и синхронного детектора 5 (U3 на фиг.3в) участвует не весь переходный процесс сигнала на входе (U1), а его часть, ограниченная длительностью сигнала U2 на управляющем входе. Пунктиром на фиг.3а и 3в показаны эпюры сигналов для случая, когда измеряемая цепь содержит только активную составляющую R и не содержит реактивных элементов. Напряжение U6 и U7 на выходах ФНЧ 6 и 7 пропорциональны площади импульса U3 на фиг.3а и 3в соответственно. При переходе от чисто активного сопротивления измеряемой цепи (пунктирная линия) к емкостному (сплошная линия) площадь на фиг.3а и соответственно напряжение на шестом входе микроконтроллера U6 увеличивается, а площадь под кривой U3 на фиг.3в и напряжение на седьмом входе микроконтроллера U7 уменьшается. Рассчитанное по формуле (1) значение также уменьшается, что соответствует характеру изменения полного сопротивления Z, рассчитанного по формуле (2).
Эпюры на фиг.3б и 3г соответствуют измерению действительной части полного сопротивления (двухканальный переключатель 1 на фиг.1 находится в положении 1). В этом случае в формировании сигнала на выходах синхронного детектора 4 (U3 на фиг.3б) и синхронного детектора 5 (U3 на фиг.3г) участвует весь переходный процесс сигнала на входе (U1). Положительный и отрицательный выбросы переходной характеристики U3 на фиг.3б (заштрихованные области) взаимно компенсируют друг друга и результирующая площадь под кривой переходного процесса, определяющая напряжение U6 на выходе ФНЧ 6 равна площади прямоугольного импульса, эквивалентного импульсу для чисто активного сопротивления измеряемой цепи. Аналогично для U3 на фиг.3г площади под передним и задним фронтами (заштрихованные области) взаимно дополняют друг друга и площадь под кривой переходного процесса, определяющая напряжение U7 на выходе ФНЧ 7, равна площади прямоугольного импульса, эквивалентного импульсу для чисто активного сопротивления измеряемой цепи. Поскольку напряжения U6 и U7 равны напряжениям при измерении чисто активного сопротивления, то и расчет по формуле (1) определяет значение действительной части полного сопротивления измеряемой цепи.
Расчет значения эквивалентной емкости или эквивалентной индуктивности производится после измерения значения R и Z. Если Z имеет большее значение, чем R, то измеряемое сопротивление содержит индуктивную составляющую, в противном случае – емкостную. После определения характера реактивности производится расчет С или L. В выражении (2) неизвестной величиной является эквивалентная емкость С, в выражении (3) – эквивалентная индуктивность L измеряемой цепи.
Ключевые синхронные детекторы 4 и 5 уменьшают погрешность измерения полных сопротивлений цепей (по отношению к синхронным детекторам, управляемым синусоидальными напряжениями, которые использованы в устройстве-прототипе).
Переключение управляемого двухканального переключателя 1 производится микроконтроллером при нажатии соответствующих кнопок на пульте ручного управления 10.
По предлагаемой функциональной схеме (фиг.1) был изготовлен макет устройства для измерения полных входных сопротивлений электрических цепей. Диапазон частот импульсных сигналов 0,4-120 кГц (макет устройства для определения полных входных сопротивлений сетей трехпрограммного проводного вещания). Погрешность измерения ±4% для полного сопротивления и ±3% для действительной составляющей полного сопротивления.
По отношению к устройству-прототипу предлагаемое устройство обладает более широким диапазоном рабочих частот (в прототипе измерение производится на одной частоте), более широким диапазоном измеряемых значений действительной часть полного сопротивления измеряемой цепи (10 Ом – 200 кОм в предлагаемом устройстве и 2-200 кОм в прототипе). Помехозащищенность предлагаемого прибора также выше, чем у прототипа, за счет использования ключевых синхронных детекторов и двух ФНЧ.
Источники информации
1. Многопрограммное проводное вещание / В.Я.Дзядчик, С.А.Заславский, Б.Н.Филатов, А.В.Шершакова. М.: Связь, 1974. С.210-214.
2. А.с. №1411683 СССР, МКИ G 01 R 27/02. Устройство для измерения параметров комплексного сопротивления / Фролов Г.В, Подкидышев В.Г. – Опубл. 23.07.88 г. БИ №27 – прототип устройства.
Формула изобретения
Устройство для измерения полных входных сопротивлений электрических цепей, содержащее две входные клеммы для подключения измеряемого сопротивления цепи, эталонный резистор, первый конец которого соединен с первой входной клеммой, усилитель переменного напряжения, первый и второй синхронные детекторы, двухканальный переключатель и источник питания, отличающийся тем, что генератор испытательного сигнала выполнен импульсным в виде последовательно соединенных микроконтроллера, к первому и второму входам которого подключен частотозадающий элемент, и синтезатора частот, вход которого подключен к первому выходу микроконтроллера, синхронные детекторы выполнены ключевыми, двухканальный переключатель – электрически управляемым и в состав устройства введены дополнительный резистор, первый вывод которого соединен с выходом усилителя переменного напряжения, а второй вывод – со второй входной клеммой и входом второго ключевого синхронного детектора, первый и второй фильтры нижних частот, входы которых подключены соответственно к выходам первого и второго ключевых синхронных детекторов, а их выходы соединены соответственно с шестым и седьмым входами микроконтроллера, буквенно-цифровой индикатор, три входа которого соединены со вторым-четвертым выходами микроконтроллера, пульт ручного управления, выходы которого соединены с третьим-пятым входами микроконтроллера, счетчик импульсов по модулю четыре, вход которого подключен к выходу синтезатора частот, сумматор импульсов, первый вход которого подключен к первому выходу счетчика по модулю четыре и первому входу двухканального переключателя, второй вход – ко второму выходу счетчика по модулю четыре, а выход соединен со вторым входом двухканального переключателя и с управляющими входами обоих ключевых синхронных детекторов, выход двухканального переключателя соединен со входом названного усилителя переменного напряжения, управляющий вход двухканального переключателя – с пятым выходом микроконтроллера, вход первого ключевого синхронного детектора подключен к первой входной клемме, а второй конец эталонного резистора соединен с общим для всего устройства проводником.
РИСУНКИ
|
|