|
(21), (22) Заявка: 2005121450/28, 07.07.2005
(24) Дата начала отсчета срока действия патента:
07.07.2005
(43) Дата публикации заявки: 20.01.2007
(46) Опубликовано: 20.06.2007
(56) Список документов, цитированных в отчете о поиске:
ЕР 0101375 А1, 22.02.1984. DE 3232885 A, 08.03.1984. SU 1700359 A1, 23.12.1991. RU 2180429 C2, 10.03.2002.
Адрес для переписки:
246019, г.Гомель, ул. Советская, 104, Учреждение образования “Гомельский государственный университет им. Франциска Скорины”
|
(72) Автор(ы):
Шалупаев Сергей Викентьевич (BY), Кондратенко Владимир Иванович (BY), Тихова Елена Леонидовна (BY), Морозов Владимир Петрович (BY)
(73) Патентообладатель(и):
Учреждение образования “Гомельский государственный университет им. Франциска Скорины” (BY)
|
(54) СПОСОБ И УСТРОЙСТВО ДЛЯ ОПРЕДЕЛЕНИЯ ШЕРОХОВАТОСТИ ПОВЕРХНОСТИ
(57) Реферат:
Устройство для определения шероховатости поверхности содержит лазер, расположенные последовательно по ходу лазерного излучения полупрозрачное зеркало, установленное под углом 45° к оптической оси устройства, и фотоприемник, электрически соединенный с измерительным блоком. Устройство содержит оптическую сфероконическую систему, диафрагму, жестко закрепленную на фотоприемнике, узел перемещения фотоприемника вдоль оптической оси устройства, при этом оптическая сфероконическая система размещена между полупрозрачным зеркалом и диафрагмой на оптической оси устройства. Технический результат – повышение точности и достоверности определения шероховатости поверхности. 2 н.п. ф-лы, 2 ил.
Изобретение относится к измерительной технике, в частности к способам и устройствам для измерения шероховатости поверхности оптическими методами, и может быть использовано для измерения среднеквадратичной высоты микронеровностей.
Известен способ измерения шероховатости поверхности, заключающийся в том, что освещают поверхность изделия параллельным пучком монохроматического излучения, определяют интенсивности излучения отраженного от поверхности изделия в зеркальном направлении и в направлении, отличном от зеркального, и определяют среднеквадратичное отклонение высот микронеровностей по отношению измеренных интенсивностей [1].
Известный способ применяют при определении шероховатости сверхгладких полированных поверхностей. Однако при наличии на контролируемой поверхности анизотропии обработки точность и достоверность оценки шероховатости оказывается низкой. Это объясняется тем, что при наличии анизотропии существенно изменяется интенсивность зеркальной и отличной от зеркальной компонент отраженного излучения, результаты измерения отношения интенсивностей существенно зависят от ориентации контролируемой поверхности относительно фотоприемников. Различия в диапазонах измерений, достигающие для сверхгладких поверхностей более чем на порядок, порождают проблему согласования чувствительности фотоприемников. Поскольку отношение интенсивностей зеркальной и отличной от зеркальной компонент зависит от статистики распределения неоднородностей поверхности, то при неизвестной статистике необходимо производить калибровку устройства.
Известно устройство для измерения высоты микронеровностей поверхности, содержащее лазер, коллимирующую систему, полупрозрачное стекло, фокусирующую линзу, в фокальной плоскости которой расположен фотоэлемент [2].
В известном устройстве параллельный пучок света от лазера падает на исследуемую поверхность, отразившись от нее и снова пройдя через полупрозрачное зеркало, фокусируется в фокальной плоскости линзы-преобразователя Фурье. В результате этого фотоприемник регистрирует интенсивность излучения на нулевой пространственной частоте, по величине которой определяют высоту микронеровностей. Однако интенсивность излучения на нулевой пространственной частоте в значительной степени зависит от химического состава, физического состояния поверхности, наличия анизотропии обработки, статистики распределения неоднородностей поверхности, что существенно снижает точность и достоверность определения шероховатости поверхности, особенно такого ее параметра как среднеквадратичное отклонение профиля.
Наиболее близким к заявляемому является способ определения шероховатости поверхности, заключающийся в том, что освещают исследуемую поверхность под прямым углом к ней параллельным когерентным пучком света, разлагают отраженное поверхностью излучение в спектр пространственных частот, регистрируют интегральную интенсивность отраженного излучения на пространственной частоте и интенсивность отраженного излучения на нулевой пространственной частоте, по отношению которых судят о шероховатости поверхности [3].
Согласно известному способу, интенсивность отраженного излучения на нулевой пространственной частоте регистрируют путем измерения интенсивности зеркальной компоненты отраженного излучения. Интегральную интенсивность отраженного излучения на заданной пространственной частоте регистрируют по интенсивности излучения в кольцевой плоскости осветительного конуса. Кольцевую плоскость осветительного конуса центрируют относительно зеркального отражения. Интенсивность зеркальной компоненты оценивают с помощью световода и фотоприемника, а интегральную интенсивность в кольцевой плоскости – с помощью световодного конуса и фотоприемника. В силу этого известный способ можно рассматривать как попытку определения шероховатости поверхности по отношению интегральной интенсивности излучения на заданной пространственной частоте при аксиальной (осевой) симметрии спектра пространственных частот к интенсивности излучения на нулевой пространственной частоте. В известном способе используют оптическую систему обработки информации, световодный конус и световод, при этом лучи, соответствующие одной и той же пространственной частоте, но приходящие из разных точек контролируемой поверхности, пересекают фокальную плоскость регистрации под различными углами и, следовательно, при использовании интегрирующего конуса аппаратная функция прибора зависит от вида спектра и не может быть учтена при измерениях. При определении среднеквадратичной высоты микронеровностей анизотропных поверхностей влияние «мертвых зон» между фотоэлементами на достоверность измерения интегральной интенсивности на заданной пространственной частоте возрастает и вместо высоты микронеровностей выявляется дефект обработки поверхности. Кроме того, при произвольном статистическом распределении неоднородностей поверхности необходимо проведение калибровки устройства.
Наиболее близким к заявляемому является устройство для определения шероховатости поверхности, содержащее лазер, расположенные последовательно по ходу лазерного излучения полупрозрачное зеркало, установленное под углом 45° к оптической оси устройства, и фотоприемник, электрически соединенный с измерительным блоком [4].
Кроме того, в известном устройстве фотоприемник расположен в фокусе фокусирующей линзы.
Для регистрации интегральной интенсивности отраженного излучения на заданной пространственной частоте используют кольцевую матрицу фотоприемников, что не позволяет производить точную регистрацию указанного параметра ввиду погрешности дискретизации регистрации интенсивности, причем для анизотропных поверхностей названная оценка может быть недостоверной. Кроме того, индивидуальность чувствительности каждого отдельного фотоприемника, неидентичность изменения их параметров при старении вносят дополнительные инструментальные погрешности в оценку указанной интегральной интенсивности. Целесообразное увеличение апертуры зондирующего пучка не реализуется устройством для реализации известного способа, поскольку увеличение ширины пучка приводит к значительному увеличению габаритов устройства, необходимому для разделения пространственных частот. С другой стороны, ограничение габаритов приводит к низкому разрешению пространственных частот. В отсутствие информации о реальной статистике распределения неоднородностей поверхности при сверхгладких поверхностях измерения становятся лишь оценочными, т.е. проводятся лишь по порядку интервала, в котором может быть заключена измеряемая величина.
Заявляемые способ и устройство решают задачу повышения точности и достоверности определения шероховатости поверхности.
Технический результат, достигаемый изобретением:
– обеспечить точность и достоверность определения среднеквадратичной высоты микронеровностей поверхностей с неизвестным характером статистики распределения неоднородностей поверхностей без дополнительной калибровки прибора.
Достижение указанного технического результата обеспечивается тем, что в способе определения шероховатости поверхности, заключающемся в том, что освещают исследуемую поверхность под прямым углом к ней параллельным когерентным пучком света, разлагают отраженное поверхностью излучение в спектр пространственных частот, регистрируют интегральную интенсивность отраженного излучения на пространственной частоте и интенсивность отраженного излучения на нулевой пространственной частоте, по отношению которых судят о шероховатости поверхности, интегральную интенсивность отраженного излучения регистрируют на оси оптической системы на произвольной пространственной частоте, а о шероховатости поверхности судят по среднеквадратичной высоте микронеровностей на поверхности, которую определяют по отношению интегральной интенсивности отраженного излучения на произвольной пространственной частоте к интенсивности отраженного излучения на нулевой пространственной частоте.
Способ реализуется с помощью устройства.
Достижение указанного технического результата обеспечивается тем, что устройство для определения шероховатости поверхности, содержащее лазер, расположенные последовательно по ходу лазерного излучения полупрозрачное зеркало, установленное под углом 45° к оптической оси устройства, и фотоприемник, электрически соединенный с измерительным блоком, дополнительно содержит оптическую сфероконическую систему, диафрагму, жестко закрепленную на фотоприемнике, узел перемещения фотоприемника вдоль оптической оси устройства, при этом оптическая сфероконическая система размещена между полупрозрачным зеркалом и диафрагмой на оптической оси устройства.
Заявляемый способ определения шероховатости поверхности поясняется фигурой 1, которая поясняет принцип преобразования поля сфероконической системой.
Согласно заявляемому способу, в качестве освещающих (зондирующих) пучков когерентного света используют параллельные пучки, нормально падающие на исследуемую поверхность. Регистрацию интенсивности отраженного и разложенного в спектр пространственных частот излучения осуществляют фотоприемником. Регистрация произвольной компоненты одним фотоприемником на оси оптической сфероконической системы обеспечивается тем, что сфероконическая система преобразует распределение мощности светового поля, рассеянного под определенным углом к оси оптической сфероконической системы, в соответствующее распределение суммы спектральных компонент по оси оптической сфероконической системы. В зависимости от положения на оптической оси фотоприемник регистрирует интегральную интенсивность излучения на произвольной пространственной частоте (в том числе и на нулевой пространственной частоте).
Рассмотрим, какие преобразования осуществляет сфероконическая система с точки зрения волновой оптики. Пусть распределение поля в плоскости, в которой находится сфероконическая система, описывается функцией U ( ), где – текущая координата (см. фиг.1).
Фазовое пропускание сфероконической системы имеет вид:

где k – волновое число; f – фокусное расстояние сферической поверхности сфероконической системы; – параметр наклона конической части сфероконической системы.
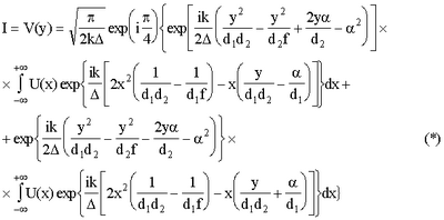
Пусть плоскость Р(х) с текущей координатой х расположена перпендикулярно оси системы на расстоянии d1 от линзы. Амплитудно-фазовое распределение поля в плоскости Р(х) описывается функцией U(х) и связано с полем U ( ) преобразованием Френеля следующим образом:

Пусть плоскость Р(y) с текущей координатой y, в которой формируется изображение, расположена перпендикулярно оси системы на расстоянии d2 от линзы. Поле в плоскости Р(y) описывается функцией V(y) и связано с полем U ( ) преобразованием Френеля следующим образом:

Подставляя значения U ( )Т( ), учитывая свойства определенного интеграла, учтя, что и сделав замену после ряда вычислений получим

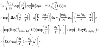
Рассмотрим, какое преобразование осуществляет сфероконическая система при условии, что d1=f, d2 f и 
При этих условиях выражение (*) примет вид

где – оператор преобразования Фурье; – пространственная частота; 
Если х0.,>
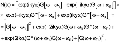
Рассмотрим спектр мощности поля:

где функция G описывает спектр исходного распределения поля.
Очевидно, что при у=0 это выражение можно представить в виде

которое представляет собой выражение для мощности суммы спектральных компонент, симметрично расположенных относительно оси системы со сдвигом на 0.
Обобщая данное выражение на трехмерный случай, можно прийти к выводу, что распределение поля на оптической оси сфероконической системы представляет собой сумму спектральных компонент, соответствующих мощности светового поля, рассеянного под определенным углом к оптической оси сфероконической системы, определяемого из выражения 0=k0sin , где – угол между волновым вектором дифрагированной компоненты и оптической осью сфероконической системы.
Таким образом, система играет роль конического интегратора. Так как 0 является функцией положения плоскости регистрации d2, то перемещением точки регистрации вдоль оптической оси системы можно производить измерение углового спектра поля с одновременным интегрированием по азимутальному углу.
Следует отметить, что интенсивность на произвольной и нулевой пространственной частоте регистрируется одним и тем же фотоприемником, расположенным на оптической оси системы. Нормальное падение освещающего пучка обеспечивает аксиальность спектров и возможность регистрации спектра поля на оптической оси системы. При наличии анизотропии обработки поверхности положение плоскости регистрации может быть выбрано таким образом, что пространственные частоты, соответствующие анизотропии, не совпадут с 0, что позволяет избежать погрешности измерения, обусловленной анизотропией обработки.
Указанные факторы способствуют получению достоверной и более точной оценки интенсивности отраженного излучения на нулевой пространственной частоте и интегральной интенсивности на заданной пространственной частоте.
Оценка среднеквадратичной высоты микронеровностей производится по отношению интегральной интенсивности отраженного излучения на заданной пространственной частоте N3 к интегральной интенсивности отраженного излучения на нулевой пространственной частоте N( 0). Однако явная форма зависимости среднеквадратичной высоты микронеровностей может быть определена только для определенной статистики распределения неоднородностей поверхности. При известной статистике распределения неоднородностей поверхности можно производить работы в статическом варианте, устанавливая пространственную частоту регистрации, в наибольшей степени соответствующую диапазону микронеровностей и наличию анизотропии обработки. В динамическом режиме, автоматически изменяя положение плоскости регистрации, измеряется спектральное распределение энергии в рассеянном поле с интегрированием по азимутальному углу, что позволяет оценить статистику распределения неоднородностей поверхности и определить зависимость 
Указанный фактор позволяет повысить точность и достоверность определения среднеквадратичной высоты микронеровностей, в том числе для поверхностей с неизвестной статистикой распределения неоднородностей.
На фигуре 2 изображена оптическая схема заявляемого устройства для определения шероховатости поверхности.
Устройство содержит лазер 1, расположенные последовательно по ходу лазерного излучения плоское полупрозрачное зеркало 2, оптическую сфероконическую систему 3, диафрагму 4 и фотоприемник 5, узел 6 перемещения, электрически связанный с измерительным блоком (на фигуре не показан). Позицией 7 обозначена исследуемая поверхность.
Полупрозрачное зеркало 2 установлено под углом 45° к оптической оси, проходящей через лазер 1, и под углом 45° к оптической оси, проходящей через оптическую сфероконическую систему 3, диафрагму 4 и фотоприемник 5.
Диафрагма 4 жестко закреплена на фотоприемнике 5. Фотоприемник 5 установлен с возможностью перемещения вдоль оптической оси, между положениями плоскости регистрации, соответствующими нулевой и выбранной пространственной частоте.
Исследуемая поверхность 7 установлена перпендикулярно ходу луча лазера 1 в передней фокальной плоскости оптической сфероконической системы 3.
Устройство работает следующим образом.
Лазерный пучок от лазера 1 полупрозрачным плоским зеркалом 2 направляется по нормали на исследуемую поверхность 7. Отраженное от поверхности 7 излучение попадает на оптическую сфероконическую систему 3, которая преобразует рассеянное излучение в излучение, распределение поля которого представляет собой сумму спектральных компонент, соответствующих мощности светового поля, рассеянного под определенным углом к оси системы. Измерительный блок (не показан) дает команду узлу 6 перемещения, который устанавливает фотоприемник 5 с диафрагмой 4 последовательно в плоскости регистрации нулевой пространственной частоты и произвольной пространственной частоты. Интегральные интенсивности N( 0) и N3, соответствующие нулевой и произвольной пространственной частоте, регистрируются измерительным блоком. В динамическом режиме работы фотоприемник 5 с диафрагмой 4 непрерывно перемещается вдоль оптической оси между плоскостями регистрации, соответствующими нулевой и произвольной пространственной частоте. Интегральная интенсивность N( ), соответствующая пространственной частоте , непрерывно регистрируется измерительным блоком.
Измерительный блок определяет отношение а по нему, величину среднеквадратичной высоты микронеровностей .
Благодаря оптической сфероконической системе 3 происходит непрерывное аналоговое интегрирование и регистрация интенсивности отраженного излучения на произвольной частоте , причем измерение компонент излучения на произвольной пространственной частоте осуществляют одним и тем же фотоприемником 5.
Благодаря указанным особенностям регистрации интенсивности отраженных излучений появляется возможность определения статистики распределения неоднородностей поверхности и выбора произвольной пространственной частоты, в наибольшей степени соответствующей диапазону микронеровностей и наличию анизотропии обработки, что позволяет значительно снизить погрешность измерения по сравнению с известными решениями.
Источники информации
1. А.с. СССР №815492, МПК G01В 11/30, опубл. 1981.
2. Заявка Японии №58 – 13842, МПК G01В 11/06, опубл. 1983.
3. Заявка ЕПВ №0101375, МПК G01В 11/30, опубл. 1984 – прототип.
4. Заявка ФРГ №3232885, МПК G01В 11/30, опубл. 1984 – прототип.
Формула изобретения
1. Способ определения шероховатости поверхности, заключающийся в том, что освещают исследуемую поверхность под прямым углом к ней параллельным когерентным пучком света, разлагают отраженное поверхностью излучение в спектр пространственных частот, регистрируют интегральную интенсивность отраженного излучения на пространственной частоте и интенсивность отраженного излучения на нулевой пространственной частоте, по отношению которых судят о шероховатости поверхности, отличающийся тем, что интегральную интенсивность отраженного излучения регистрируют на оси оптической системы на произвольной пространственной частоте, а о шероховатости поверхности судят по среднеквадратичной высоте микронеровностей на поверхности, которую определяют по отношению интегральной интенсивности отраженного излучения на произвольной пространственной частоте к интенсивности отраженного излучения на нулевой пространственной частоте.
2. Устройство для определения шероховатости поверхности, содержащее лазер, расположенные последовательно по ходу лазерного излучения полупрозрачное зеркало, установленное под углом 45° к оптической оси устройства, и фотоприемник, электрически соединенный с измерительным блоком, отличающееся тем, что содержит оптическую сфероконическую систему, диафрагму, жестко закрепленную на фотоприемнике, узел перемещения фотоприемника вдоль оптической оси устройства, при этом оптическая сфероконическая система размещена между полупрозрачным зеркалом и диафрагмой на оптической оси устройства.
РИСУНКИ
MM4A – Досрочное прекращение действия патента СССР или патента Российской Федерации на изобретение из-за неуплаты в установленный срок пошлины за поддержание патента в силе
Дата прекращения действия патента: 08.07.2008
Извещение опубликовано: 20.06.2010 БИ: 17/2010
|