|
|
(21), (22) Заявка: 2005137029/03, 29.11.2005
(24) Дата начала отсчета срока действия патента:
29.11.2005
(46) Опубликовано: 20.06.2007
(56) Список документов, цитированных в отчете о поиске:
RU 2166619 С1, 10.05.2001. RU 2154158 С1, 10.08.2000. RU 2211311 С2, 27.08.2003. RU 2167276 С1, 20.05.2001. RU 2162143 С1, 20.01.2001. US 5411086 А, 02.05.1995. US 4825950 А, 02.05.1989.
Адрес для переписки:
121248, Москва, а/я 16, Е.В. Войцеховской
|
(72) Автор(ы):
Афанасьев Виталий Сергеевич (RU), Брилиант Леонид Самуилович (RU), Бродский Петр Абрамович (RU), Гутман Игорь Соломонович (RU), Дзюба Владислав Ильич (RU), Кадышев Николай Андреевич (RU), Кашик Алексей Сергеевич (RU), Кириллов Сергей Александрович (RU), Кузнецов Олег Леонидович (RU), Пергамент Анна Халиловна (RU), Рябцева Наталья Борисовна (RU), Тихонов Александр Станиславович (RU), Фахретдинов Риваль Нуретдинович (RU), Хозяинов Михаил Самойлович (RU), Цой Валентин (RU)
(73) Патентообладатель(и):
Цой Валентин (RU)
|
(54) СПОСОБ РЕГУЛИРОВАНИЯ РАЗРАБОТКИ НЕФТЯНОГО МЕСТОРОЖДЕНИЯ
(57) Реферат:
Изобретение относится к нефтедобывающей промышленности, в частности к способам регулирования разработки нефтяных месторождений, и может быть использовано при разработке сложно построенных месторождений. Обеспечивает повышение эффективности разработки месторождения за счет более полного извлечения нефти. Сущность изобретения: для регулирования разработки месторождения после отбора 6-15% извлекаемых проектных запасов нефти месторождения определяют расхождение фактических дебитов нефти по каждой добывающей скважине с проектными, характеризуемое коэффициентом расхождения. Затем выделяют скважины, для которых Bi 20%, определяют суммарный фактический дебит нефти выделенных скважин и сравнивают его с проектным дебитом нефти всех добывающих скважин месторождения на текущий момент времени. Если суммарный фактический дебит нефти выделенных скважин составляет, по меньшей мере, 20% от проектного дебита нефти всех добывающих скважин месторождения на текущий момент времени, уточняют проект разработки месторождения и устанавливают новые проектные показатели по каждой скважине, в соответствии с которыми регулируют отбор нефти и жидкости из добывающих скважин и закачку вытесняющего агента в нагнетательные скважины. Если суммарный фактический дебит нефти выделенных скважин составляет менее 20% от проектного дебита нефти всех добывающих скважин месторождения на текущий момент времени, уточнение проекта осуществляют на поздней стадии разработки месторождения после отбора, по меньшей мере, 80% извлекаемых проектных запасов нефти месторождения. 1 табл., 1 ил.
Изобретение относится к нефтедобывающей промышленности, в частности к способам регулирования разработки нефтяных месторождений, и может быть использовано, в том числе, при разработке сложно построенных месторождений.
Особенности вытеснения нефти из пластов-коллекторов месторождения углеводородного сырья определяются неоднородным строением пластов месторождения и реализуемой системой его разработки. Имеющаяся на момент обоснования системы разработки геологическая модель месторождения недостаточно точна для проектирования идеальной системы разработки, прежде всего из-за недостатка геолого-промысловых и геолого-физических данных, в частности данных о фильтрационной неоднородности пластов-коллекторов. Поэтому при проектировании разработки месторождения закладываются недостатки, которые проявляются только при последующей эксплуатации (разработке) месторождения. Кроме того, при адаптации геологической модели для построения гидродинамической модели происходит упрощение строения тела месторождения, которое, как показывает анализ последующей эксплуатации объекта, не всегда оправдано. При этом устанавливается норма закачки воды по каждой группе нагнетательных скважин; сумма норм закачки в нагнетательные скважины каждого участка должна составлять участковую норму закачки, а сумма участковых норм – норму закачки по объекту в целом (Правила разработки нефтяных и газовых месторождений. Москва, 1987 г., утверждены коллегией Миннефтепрома СССР №44 от 15.10.1984 г., с.31).
Нормы отбора нефти и газа по объекту разработки (блоку, элементу, участку) составляются на основе утвержденных проектных документов на разработку с учетом их реализации во времени /там же, с.33/.
При отсутствии систематического контроля дебиты нефти по каждой отдельной добывающей скважине начинают сильно отличаться от проектных величин, хотя в целом по месторождению расхождение фактических и проектных данных по отбору нефти, как правило, невелики. Это приводит к неравномерному извлечению нефти из пласта, что, в свою очередь, приводит к снижению конечного коэффициента извлечения нефти.
В настоящее время проблема оптимизации регулирования разработки нефтяных месторождений является весьма актуальной.
Известен способ регулирования разработки нефтяной залежи, согласно которому проводят отбор нефти из добывающих скважин и закачку воды в нагнетательные скважины, определяют по всем добывающим скважинам величины коэффициентов продуктивности и обводненности и забойного давления и по всем нагнетательным скважинам величины коэффициента приемистости и забойного давления, поддерживают забойное давление у добывающих скважин выше давления насыщения нефти газом, а у нагнетательных скважин – ниже давления гидроразрыва пласта, все добывающие и нагнетательные скважины с учетом их местоположения, коэффициентов продуктивности, обводненности и коэффициентов приемистости разделяют на самостоятельно работающие ячейки и по выделенным ячейкам совместно работающих добывающих и нагнетательных скважин осуществляют увеличение добычи нефти в соответствии с установленными формулами (Патент РФ N 2144133, Е21В 43/16, 2000 г.).
Недостатком указанного способа является регулирование разработки залежи путем проведения анализа в рамках ячейки, т.е. группы скважин, и без учета реального геологического строения пластов-коллекторов, что не позволяет добиться более полного извлечения нефти.
Известен способ разработки нефтяного месторождения со слоисто-неоднородными пластами с помощью контроля полей давления, включающий определение проницаемости, пористости, мощности каждого пропластка, вязкостей агента вытеснения, модифицированных функций относительных фазовых проницаемостей агента вытеснения и вытесняемой жидкости и построения полей начальной нефтенасыщенности, проницаемости и мощности каждого пропластка, математическое моделирование процессов фильтрации в слоисто-неоднородной пористой среде с последующим контролем фильтрационных потоков, формирующихся при разработке нефтяных месторождений, проведение геолого-технических мероприятий, при котором дополнительно исследуют упругие свойства агента вытеснения и вытесняемой жидкости и пористую среду на сжимаемость, собирают промыслово-технологическую информацию о работе каждой скважины, информацию о замерах пластового и забойного давлений на скважинах, с учетом всей собранной информации осуществляют математическое моделирование процессов фильтрации с приемлемой степенью совпадения расчетных и фактических технологических показателей и на основе математического моделирования на разные даты строят поля среднепластового давления, по построенным полям выявляют застойные зоны, зоны повышенного и пониженного пластового давления и проводят регулирование объемов закачки и отборов жидкости. Данный способ позволяет более корректно проводить гидродинамические расчеты для регулирования разработки, так как используются фактически определенные величины пластовых давлений (Патент РФ N 2166619, Е21В 43/16, 2001 г.).
Недостатком способа является использование для анализа и регулирования разработки только полей давлений, по которым выделяются застойные зоны или зоны повышенного или пониженного давлений. При этом отсутствуют критерии целесообразности регулирования разработки месторождения.
Технический результат, полученный от использования предложенного способа, заключается в повышении эффективности разработки месторождения за счет более полного извлечения нефти.
Технический результат достигается за счет того, что в способе регулирования разработки нефтяного месторождения, характеризующемся тем, что проектируют разработку месторождения, проводят бурение добывающих и нагнетательных скважин и в соответствии с проектом осуществляют разработку месторождения путем отбора нефти из добывающих скважин и закачки вытесняющего агента в нагнетательные скважины, после отбора 6-15% извлекаемых проектных запасов нефти месторождения определяют расхождение фактических дебитов нефти по каждой добывающей скважине с проектными по формуле

где qтек.i – фактический дебит нефти i-й добывающей скважины на текущий момент времени, м3/сут;
qтек.пр.i – проектный дебит нефти i-й добывающей скважины на текущий момент времени, м3/сут;
Вi – коэффициент расхождения фактического и проектного дебитов нефти i-й добывающей скважины на текущий момент времени, %,
затем выделяют скважины, для которых Вi 20%, определяют суммарный фактический дебит нефти выделенных скважин и сравнивают его с проектным дебитом нефти всех добывающих скважин месторождения на текущий момент времени, при этом, если суммарный фактический дебит нефти выделенных скважин составляет, по меньшей мере, 20% от проектного дебита нефти всех добывающих скважин месторождения на текущий момент времени уточняют проект разработки месторождения и устанавливают новые проектные показатели по каждой скважине, в соответствии с которыми регулируют отбор нефти и жидкости из добывающих скважин и закачку вытесняющего агента в нагнетательные скважины, а если суммарный фактический дебит нефти выделенных скважин составляет менее 20% от проектного дебита нефти всех добывающих скважин месторождения на текущий момент времени, уточнение проекта осуществляют на поздней стадии разработки месторождения после отбора, по меньшей мере, 80% извлекаемых проектных запасов нефти месторождения.
Способ осуществляют следующим образом.
Проектируют разработку месторождения, проводят бурение добывающих и нагнетательных скважин и в соответствии с проектом осуществляют разработку месторождения путем отбора нефти из добывающих скважин и закачки вытесняющего агента в нагнетательные скважины.
После отбора 6-15% извлекаемых проектных запасов нефти месторождения определяют расхождение фактических дебитов нефти по каждой добывающей скважине с проектными, характеризуемое коэффициентом расхождения Вi, затем выделяют скважины, для которых Вi 20%, определяют суммарный фактический дебит нефти выделенных скважин и сравнивают его с проектным дебитом нефти всех добывающих скважин месторождения на текущий момент времени, в случае, если суммарный фактический дебит нефти выделенных скважин составляет, по меньшей мере, 20% от проектного дебита нефти всех добывающих скважин месторождения на текущий момент времени, уточняют проект разработки месторождения и устанавливают новые проектные показатели по каждой скважине, в соответствии с которыми регулируют отбор нефти и жидкости из добывающих скважин и закачку вытесняющего агента в нагнетательные скважины, а в случае, если суммарный фактический дебит нефти выделенных скважин составляет менее 20% от проектного дебита нефти всех добывающих скважин месторождения на текущий момент времени, уточнение проекта осуществляют на поздней стадии разработки месторождения после отбора, по меньшей мере, 80% извлекаемых проектных запасов нефти месторождения.
Регулирование разработки нефтяного месторождения до момента отбора 6% извлекаемых проектных запасов нефти месторождения нецелесообразно, поскольку еще отсутствует необходимый и достаточный для этого объем информации, а после отбора 15% не позволяет достичь первоначальных проектных показателей.
Пример.
Месторождение: М-нское.
Количество добывающих скважин: 50.
Время эксплуатации месторождения: с 1975 по 2030 (55 лет).
Извлекаемые проектные запасы нефти на конец 2030 г. составляют 26,4%.
Регулирование разработки нефтяного месторождения было проведено в конце 1984 года, когда отбор извлекаемых проектных запасов нефти превысил 6%, поскольку на данный момент времени накопилось необходимое и достаточное количество новых геолого-промысловых и геолого-физических данных.
На конец 1984 г. отбор извлекаемых проектных запасов нефти составил 6,7%. Фактический отбор запасов нефти на конец 1984 г. составил 5,6%, что на 1,1% ниже проектного. При этом нефти было добыто на 16,2% меньше проектно заложенного количества.
В качестве объекта исследования была принята единичная добывающая скважина.
В качестве критерия, характеризующего режим эксплуатации единичной добывающей скважины, был принят коэффициент расхождения фактического и проектного дебитов каждой добывающей скважины на текущий момент времени –

где qтек.i – фактический дебит нефти i-й добывающей скважины на текущий момент времени, м3/сут;
qтек.пр.i – проектный дебит нефти i-й добывающей скважины на текущий момент времени м3/сут.
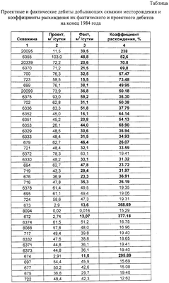
Данные о проектных и фактических дебитах добывающих скважин месторождения на конец 1984 года, а также значения коэффициентов расхождения их фактического и проектного дебитов сведены в Таблицу.
Выделяют скважины, для которых Вi 20%. Такой коэффициент расхождения гарантированно подтверждает значимость расхождения фактического и проектного дебитов скважины, поскольку выбран с учетом возможной погрешности измерения дебитов, достигающей 15%. Массив выделенных скважин наиболее достоверно отражает отклонение состояния разработки всего месторождения от первоначального проекта.
Суммарный проектный дебит нефти всех добывающих скважин месторождения, как следует из табличных данных, составляет 2397,11 м3/сут.
Определяют суммарный фактический дебит нефти выделенных скважин и сравнивают его с проектным дебитом нефти всех добывающих скважин месторождения на текущий момент времени.
Суммарный фактический дебит нефти выделенных скважин составляет 823,97 м3/сут, что составляет 34,37% от проектного дебита нефти всех добывающих скважин месторождения, т.е. превышает суммарный проектный дебит более чем на 20%. Такой показатель свидетельствует о целесообразности регулирования разработки месторождения в исследуемый момент времени его эксплуатации.
С учетом полученных в процессе эксплуатации месторождения уточнен проект разработки месторождения и установлены новые проектные показатели по каждой скважине, в соответствии с которыми были отрегулированы отбор нефти и жидкости из добывающих скважин и закачка вытесняющего агента в нагнетательные скважины. В результате пересчета проекта разработки было проведено моделирование, которое показало, что в результате реализации нового проекта запланированный отбор проектных запасов нефти на конец 2030 г. составит 27,5%, что выше первоначально заложенного в проект на 1,15%. По оптимизированному проекту нефти будет добыто на 4,4% больше, чем было предусмотрено первоначальным проектом.
Затем был промоделирован вариант оптимизации проекта разработки в конце 1992 года. Запланированный отбор проектных запасов нефти на конец 1992 г. составлял 14,7%, а фактический на конец 1992 г. – 12,5%, т.е. был ниже проектного на 2,2%, а нефти добыто на 17,6% меньше проектно заложенного. Было проведено моделирование разработки и составлен третий вариант проекта. Согласно этому варианту проекта запланированный отбор проектных запасов нефти на конец 2030 г. составил 26,6%, что выше первоначального проекта на 0,2%. По третьему оптимизированному проекту нефти будет добыто на 0,7% больше проектно заложенного в первый проект.
На чертеже схематически приведено сравнение извлекаемых запасов нефти с корректировкой и без корректировки проекта.
Если провести оптимизацию проекта на поздних стадиях разработки, т.е. когда будет отобрано более 15% извлекаемых проектных запасов нефти, то при последующей эксплуатации месторождения окажется невозможным достичь показателей, заложенных в первоначальный проект.
Таким образом, оптимизацию проекта необходимо проводить после отбора более 6% извлекаемых проектных запасов нефти на ранних сроках разработки месторождения, когда накоплен необходимый и достаточный для этого объем информации, но не позже отбора 15% извлекаемых проектных запасов нефти.
Если суммарный фактический дебит нефти выделенных скважин составляет менее 20% от проектного дебита нефти всех добывающих скважин месторождения на текущий момент времени, показатели фактической разработки месторождения с большой вероятностью близки к проектным показателям, и уточнение проекта необходимо осуществлять на поздней стадии разработки месторождения после отбора, по меньшей мере, 80% извлекаемых проектных запасов нефти месторождения.
Предложенный способ позволяет откорректировать первоначальный проект разработки нефтяного месторождения с учетом полученных в процессе освоения месторождения новых геологопромысловых и геологофизических данных и повысить эффективность разработки месторождения за счет более полного извлечения нефти.


Проектный дебит всех добывающих скважин – 2397,11 м3/сут.
Суммарный фактический дебит выделенных скважин – 823,97 м3/сут.
Формула изобретения
Способ регулирования разработки нефтяного месторождения, характеризующийся тем, что проектируют разработку месторождения, проводят бурение добывающих и нагнетательных скважин и в соответствии с проектом осуществляют разработку месторождения путем отбора нефти из добывающих скважин и закачки вытесняющего агента в нагнетательные скважины, при этом после отбора 6-15% извлекаемых проектных запасов нефти месторождения определяют расхождение фактических дебитов нефти по каждой добывающей скважине с проектными по формуле

где
qтек.i – фактический дебит нефти i-й добывающей скважины на текущий момент времени, м3/сут;
qтек.пр.i – проектный дебит нефти i-й добывающей скважины на текущий момент времени м3/сут;
Bi – коэффициент расхождения фактического и проектного дебитов нефти i-й добывающей скважины на текущий момент времени, %,
затем выделяют скважины, для которых Bi 20%, определяют суммарный фактический дебит нефти выделенных скважин и сравнивают его с проектным дебитом нефти всех добывающих скважин месторождения на текущий момент времени, при этом, если суммарный фактический дебит нефти выделенных скважин составляет, по меньшей мере, 20% от проектного дебита нефти всех добывающих скважин месторождения на текущий момент времени, уточняют проект разработки месторождения и устанавливают новые проектные показатели по каждой скважине, в соответствии с которыми регулируют отбор нефти и жидкости из добывающих скважин и закачку вытесняющего агента в нагнетательные скважины, а если суммарный фактический дебит нефти выделенных скважин составляет менее 20% от проектного дебита нефти всех добывающих скважин месторождения на текущий момент времени, уточнение проекта осуществляют на поздней стадии разработки месторождения после отбора, по меньшей мере, 80% извлекаемых проектных запасов нефти месторождения.
РИСУНКИ
|
|