|
|
(21), (22) Заявка: 2004116329/04, 29.10.2002
(24) Дата начала отсчета срока действия патента:
29.10.2002
(30) Конвенционный приоритет:
30.10.2001 (пп.1-21) US 10/012,629
(43) Дата публикации заявки: 10.11.2005
(46) Опубликовано: 20.06.2007
(56) Список документов, цитированных в отчете о поиске:
US 5616796 A1, 01.04.1997. WO 99/64475 A1, 16.12.1999. WO 97/07151 A1, 27.02.1997. WO 99/64528 A1, 16.12.1999. RU 2171000 C2, 20.07.2001.
(85) Дата перевода заявки PCT на национальную фазу:
31.05.2004
(86) Заявка PCT:
US 02/34715 (29.10.2002)
(87) Публикация PCT:
WO 03/038006 (08.05.2003)
Адрес для переписки:
129010, Москва, ул. Б.Спасская, 25, стр.3, ООО “Юридическая фирма Городисский и Партнеры”, пат.пов. Е.Е.Назиной, рег. № 517
|
(72) Автор(ы):
УЭББ Стивен П. (US), ЗОННЕНШАЙН Марк Ф. (US)
(73) Патентообладатель(и):
ДАУ ГЛОБАЛ ТЕКНОЛОДЖИЗ ИНК. (US)
|
(54) ОРГАНОБОРАН-АМИННЫЕ КОМПЛЕКСНЫЕ ИНИЦИАТОРЫ ПОЛИМЕРИЗАЦИИ И ПОЛИМЕРИЗУЮЩИЕСЯ КОМПОЗИЦИИ
(57) Реферат:
Изобретение относится к двухкомпонентной композиции, используемой для инициирования отверждения одного или более полимеризующихся мономеров, которые отверждаются при воздействии свободных радикалов, состоящей из одного компонента органоборан-аминного комплекса и второго компонента – изоцианата, который способен разрушать органоборан-аминный комплекс, где эквивалентное отношение азотных атомов амина к атомам бора составляет более чем от 4,0:1 до 20,0:1,0. В другом варианте предметом изобретения является двухкомпонентная композиция для использования в качестве герметиков, покрытий, грунтовок для модификации поверхности полимеров и в качестве литьевых смол, содержащая компонент 1 – (а) органоборан-аминный комплекс, в котором отношение азотных атомов амина к атомам бора составляет более чем от 4,0:1 до 20,0:1,0, и компонент 2 – (b) один или более мономеров, олигомеров или полимеров, имеющих олефиновую ненасыщенность, которые способны полимеризоваться свободнорадикальной полимеризацией, и (с) эффективное количество изоцианата, который вызывает диссоциацию комплекса, освобождая боран для инициирования полимеризации одного или более мономеров, олигомеров или полимеров, имеющих олефиновую ненасыщенность, при этом соединение, которое вызывает диссоциацию комплекса, содержится отдельно от комплекса, до тех пор пока инициирование полимеризации не является желательным. Такие композиции являются безопасными в обращении, то есть не самовоспламеняющимися, являются стабильными при или около температуры окружающей среды и поэтому не инициируют полимеризацию при или около температуры окружающей среды при отсутствии инициатора, который вызывает диссоциацию комплекса. Полимеризованные композиции показывают хорошую когезионную и адгезионную прочность. Описаны также способ полимеризации полимеризующейся композиции; способ склеивания двух или более подложек вместе с использованием полимеризующейся композиции; способ модификации поверхности полимера с низкой поверхностной энергией с использованием полимеризующейся композиции, а также композиция покрытия и ламинат, содержащие полимеризующуюся композицию. 10 н. и 11 з.п. ф-лы, 4 табл., 2 ил.
Данное изобретение относится к композициям, которые содержат органоборан-аминные комплексы, используемые для инициирования полимеризации соединений с помощью свободных радикалов. В другом варианте данное изобретение относится к полимеризующимся композициям, содержащим соединения, содержащие частицы, способные к свободнорадикальной полимеризации, и органоборан-аминные комплексные инициаторы изобретения. В еще одном варианте изобретение относится к способу полимеризации соединений, содержащих частицы, способные к свободнорадикальной полимеризации.
Во многих практических ситуациях, в которых соединения подвергаются полимеризации или где используют клеи, желательно иметь полимеризующиеся композиции и клеевые композиции, которые могут отверждаться по потребности. Отверждение по потребности означает, что полимеризация может быть инициирована, когда желательно. Значительной проблемой отверждающихся по потребности композиций является стабильность композиций. Многие такие композиции начинают отверждаться при или около температуры окружающей среды или частично отверждаются при температуре окружающей среды, приводя к увеличенной вязкости, вызывающей трудности переработки и сниженную функциональность полимеризующейся композиции или клеевой композиции.
Олефины с низкой поверхностной энергией, такие как полиэтилен, полипропилен и политетрафторэтилен, имеют ряд перспективных характеристик в ряде использований, таких как применения для игрушек, автомобильных деталей и фурнитуры. Из-за низкой поверхностной энергии указанных полимерных материалов очень трудно найти клеевые композиции, которые соединяются с указанными материалами. Коммерчески доступные клеи, которые используются для указанных пластиков, требуют времязатратной или обширной предварительной обработки поверхности перед тем, как клей соединяется с поверхностью. Такие обработки включают обработку коронным разрядом и газопламенную обработку. Требование обширной обработки поверхности ведет к значительным ограничениям для конструкторов автомобильных частей, игрушек и фурнитуры. Поэтому необходимыми являются клеевые композиции, которые способны соединяться с подложками с низкой поверхностной энергией и склеивать подложки с низкой поверхностной энергией с другими подложками без необходимости обширной или дорогостоящей предварительной обработки.
Патент США 3275611 (Mottus et al.) рассматривает способ полимеризации олефиновых соединений с катализатором, содержащим органоборановое соединение, перекисное соединение и амин. Рассматривается, что органоборановое соединение и амин могут вводиться в реакционную смесь раздельно или в виде предварительно образованного комплекса и что комплекс является предпочтительным. Присутствие амина в комплексе снижает самовоспламеняемость органоборана в воздухе. Среди аминных комплексообразующих агентов описаны пиридин, анилин, толуидин, диметилбензиламин и никотин. Многие из комплексов, рассмотренных в патенте США 3275611 (Mottus et al.), являются самовоспламеняющимися при всех соотношениях амина с атомом бора. К тому же многие из аминных комплексов не показывают значительных адгезионных свойств при нанесении на подложки с низкой поверхностной энергией.
Ряд патентов, выданных Skoultchi (патенты США №№ 5106928, 5143884, 5286821, 5310835 и 5376746), рассматривают двухкомпонентную систему инициатора, которая используется в акриловых клеевых композициях. Первый компонент двухкомпонентной системы включает стабильный органоборан-аминный комплекс, а второй компонент включает дестабилизатор или активатор, такой как органические кислота или альдегид. Органоборановое соединение комплекса имеет три лиганда, которые могут быть выбраны из С1-10-алкильных групп или фенильных групп. Рассмотренные используемые амины включают октиламин, 1,6-диаминогексан, диэтиламин, дибутиламин, диэтилентриамин, дипропилендиамин, 1,3-пропилендиамин и 1,2-пропилендиамин. Описанные клеевые композиции предназначены для использования в конструкционных и полуконструкционных клеевых применениях, таких как магнитофон, склеивание металла с металлом, склеивание автомобильного стекла с металлом, склеивание стекла со стеклом, склеивание компонентов печатных плат, склеивание отдельных пластиков с металлом, стекла с деревом и т.д., или для магнитов электродвигателей.
Zharov et al. рассматривают в ряде патентов США (US 5539070, US 5690780 и US 5691065) полимеризующиеся акриловые композиции, которые, в частности, используются в качестве клеев, в которых органоборан-аминные комплексы используются для инициирования отверждения. Используемые органобораны имеют три лиганда, присоединенных к атому бора, которые выбраны из С1-10-алкильных групп и фенила. Амином является аминоспирт, линейный алкилдиамин, где первой аминогруппой может быть первичный или вторичный амин, а вторым амином является первичный амин или ароматический замещенный алкиламин. Указано, что эти комплексы являются хорошими для инициирования полимеризации клея, который соединяется с подложками с низкой поверхностной энергией.
Pocius в ряде патентов (US 5616796, US 5621143, US 5681910, US 5686544, US 5718977 и US 5795657) рассматривает органоборан-аминные комплексы с рядом аминов, таких как полиоксиалкиленполиамины и полиамины, которые являются продуктом взаимодействия первичных диаминов и соединений, имеющих не менее двух групп, которые взаимодействуют с первичным амином. US 5686544 (Pocius) рассматривает композицию, содержащую органоборан-полиаминный комплекс, полиол и изоцианатный комплексдиссоциирующий агент. Рассматривается, что соотношение первичный амин : бор в комплексе находится в интервале от 4:1 до 1:1 и наиболее предпочтительно при 1:1.
Многие из комплексов, рассмотренных в патентах Zharov, Skoultchi и Pocius, являются нестабильными в композициях, содержащих олефиновую ненасыщенность, при или около температур окружающей среды, и, таким образом, комплексы разлагаются и индуцируют полимеризацию при или около температуры окружающей среды со временем. Указанная нестабильность при или около температуры окружающей среды может дать полимеризацию ранее желаемой и может дать композиции, которые являются неподходящими для желаемого использования. Кроме того, композициями являются двухкомпонентные композиции, в которых одним компонентом является полимерный компонент, а другим компонентом является отвердитель. Один компонент (отвердитель) содержит органоборановый комплекс, а другой содержит комплексдиссоциирующий агент. В большинстве случаев объемное соотношение двух компонентов значительно различается, т.е. является более 4:1, часто более 10:1. Проблема состоит в том, что большая часть коммерческого оборудования, предназначенного для раздачи двухкомпонентных композиций, использует соотношения 4:1 или менее. Для того чтобы можно было обрабатывать эти композиции в таком оборудовании, добавляют смолу или нереакционноспособные ингредиенты с одного или другого конца для получения подходящего объемного соотношения. Проблема состоит в том, что если смолу добавляют к компоненту, содержащему комплекс, смесь является нестабильной и может начать отверждаться при температурах окружающей среды, и композиция становится непригодной. Если избыточные инертные материалы вводят в компонент отвердителя, инертный ингредиент может действовать как пластификатор или создавать слабую непрерывную фазу и отрицательно влиять на свойства полимеризованной композиции.
После полимеризации многие известные композиции показывают превосходную стабильность, прочность и адгезию при или около температур окружающей среды, но при повышенных температурах теряют прочность и адгезию при значительно повышенных температурах. Это ограничивает условия, где могут быть использованы подложки, склеенные с использованием указанных клеев.
Поэтому имеется потребность в системах инициатора для свободнорадикальной полимеризации, которые являются безопасными для обращения, несамовоспламеняющимися, которые могут быть использованы для отверждения по потребности полимерных систем или могут быть использованы в клеевых системах, которые отверждаются по потребности. Кроме того, требуются клеевые системы, которые являются способными склеивать подложки с низкой поверхностной энергией, и системы инициатора, которые облегчают такое склеивание. В дополнение к таким требованиям комплексы должны быть термостойкими, т.е. не должны диссоциировать при или около температур окружающей среды и поэтому инициировать полимеризацию преждевременно. Поэтому требуются полимерные композиции и клеевые системы, которые являются термостойкими при или около температур окружающей среды и которые полимеризуются, когда желает пользователь. Кроме того, требуются композиции, которые могут быть использованы в существующем коммерческом оборудовании при соотношениях смешения 4:1 или менее. Желательными являются композиции, которые имеют стабильность, прочность и адгезию при повышенных температурах.
Предметом изобретения является двухкомпонентная композиция, используемая для инициирования отверждения одного или более полимеризующихся мономеров, которые отверждаются при воздействии свободных радикалов, состоящая из одного компонента органоборан-аминного комплекса и второго компонента изоцианата, который способен к разрушению органоборанового комплекса, в котором отношение азотных атомов амина к атомам бора составляет более 4,0:1,0.
В другом варианте предметом изобретения является двухкомпонентная полимеризующаяся композиция, содержащая
компонент 1 – а) органоборан-аминный комплекс, в котором отношение азотных атомов амина к атомам бора составляет более 4,0:1, и
компонент 2 – b) один или более мономеров, олигомеров или полимеров, имеющих олефиновую ненасыщенность, которые способны полимеризоваться свободнорадикальной полимеризацией. В предпочтительном варианте второй компонент (компонент 2) дополнительно содержит эффективное количество изоцианата, который вызывает диссоциацию комплекса компонента 1, освобождение борана с инициированием полимеризации одного или более мономеров, олигомеров или полимеров, имеющих олефиновую ненасыщенность. В данном варианте комплексдиссоциирующий агент и комплекс содержатся в разных компонентах для предотвращения преждевременной реакции.
Предметом изобретения является также способ полимеризации, включающий контактирование компонентов полимеризующейся композиции в таких условиях, что один или более мономеров, олигомеров или полимеров подвергаются полимеризации. В одном варианте контактирование имеет место при или около температуры окружающей среды. В другом варианте способ дополнительно содержит стадию нагревания полимеризованной композиции до повышенной температуры в таких условиях, что амин и изоцианат могут дополнительно взаимодействовать. Это может улучшить термостойкость полимеризованной композиции.
Еще в одном варианте предметом изобретения является способ склеивания двух или более подложек вместе, который включает контактирование компонентов полимеризующейся композиции вместе в таких условиях, что инициируется полимеризация; контактирование полимеризующейся композиции с двумя или более подложками; размещение двух или более подложек так, что полимеризующаяся композиция расположена между двумя или более подложками, и проведение полимеризации полимеризующейся композиции и склеивания двух или более подложек вместе.
Еще в одном варианте предметом изобретения является способ покрытия композиции подложки, который включает контактирование композиции, содержащей
а) органоборан-аминный комплекс, в котором отношение азотных атомов амина к атомам бора составляет более 4,0:1, и
b) один или более мономеров, олигомеров или полимеров, имеющих олефиновую ненасыщенность, которые способны полимеризоваться свободнорадикальной полимеризацией с одной или более поверхностями подложки,
и нагревание покрытия с инициированием отверждения покрытия.
В другом варианте предметом изобретения является способ покрытия подложки, в котором композиция покрытия содержит
а) органоборан-аминный комплекс, в котором отношение азотных атомов амина к атомам бора составляет более 4,0:1;
b) один или более мономеров, олигомеров или полимеров, имеющих олефиновую ненасыщенность, которые способны полимеризоваться свободнорадикальной полимеризацией, и
с) агент разрушения комплекса.
В другом варианте предметом изобретения является ламинат, содержащий две подложки, имеющий расположенную между подложками и соединенную с каждой подложкой композицию, содержащую
а) органоборан-аминный комплекс, в котором отношение азотных атомов амина к атомам бора составляет более 4,0:1, и
b) один или более мономеров, олигомеров или полимеров, имеющих олефиновую ненасыщенность, которые способны полимеризоваться свободнорадикальной полимеризацией.
Композиция в таком ламинате может дополнительно содержать агент разрушения комплекса.
Еще в одном варианте предметом изобретения является двухкомпонентная полимеризующаяся композиция, содержащая
компонент 1 – а) органоборан-аминный комплекс;
компонент 2 – b) один или более мономеров, олигомеров или полимеров, имеющих олефиновую ненасыщенность, которые способны полимеризоваться свободнорадикальной полимеризацией;
с) эффективное количество соединения, которое вызывает диссоциацию комплекса за счет чего происходит освобождение борана с инициированием полимеризации одного или более мономеров, олигомеров или полимеров, имеющих олефиновую ненасыщенность, где соединение, которое вызывает диссоциацию комплекса, содержится отдельно от комплекса, до тех пор пока инициирование полимеризации не является желательным, и
d) материал, который регулирует тепло реакции полимеризации, так что поддерживается адгезия к подложке, причем материал может быть расположен либо в компоненте 1, либо в компоненте 2, либо в обоих компонентах.
Комплексы изобретения являются безопасными в обращении, т.е. не самовоспламеняющимися, являются стабильными при или около температуры окружающей среды и поэтому не инициируют полимеризацию при или около температуры окружающей среды при отсутствии инициатора, который вызывает диссоциацию комплекса. Полимерные композиции изобретения являются стабильными при или около температуры окружающей среды и могут отверждаться по потребности при контактировании комплекса с соединениями, которые вызывают диссоциацию комплекса, или, альтернативно, при нагревании полимерных композиций выше температуры термической диссоциации комплекса. Кроме того, полимеризующиеся композиции изобретения могут образовывать хорошие связи с подложками с низкой поверхностной энергией без необходимости в грунтовках или поверхностной обработки. Указанные полимеризующиеся композиции могут быть использованы в качестве клеев, покрытий и могут быть использованы для ламинирования подложек вместе. Комплексы и полимеризующиеся композиции изобретения могут быть составлены в рецептуры, чтобы быть способными к раздаче в коммерческом оборудовании при объемных соотношениях двух компонентов 4:1 или менее. Полимеризованные композиции показывают превосходную когезионную и адгезионную прочность при повышенных температурах и, таким образом, показывают превосходную стабильность при высоких температурах.
На фиг.1 представлена прочность на сдвиг соединений внахлест клеев как функция атомного отношения амина к бору.
На фиг.2 показана скорость отверждения клеев при различных атомных отношениях азота амина к бору.
Подробное описание изобретения
Органобораном, используемым в комплексе, является триалкилборан или алкилциклоалкилборан. Предпочтительно такой боран соответствует формуле 1

в которой В представляет бор и R2 представляет отдельно в каждом случае С1-10-алкил, С3-10-циклоалкил или два или более R2 могут комбинироваться с образованием циклоалифатического кольца. Предпочтительно R2 представляет С1-4-алкил, даже более предпочтительно С2-4-алкил и наиболее предпочтительно С3-4-алкил. Среди органоборанов предпочтительными являются триэтилборан, триизопропилборан и три-н-бутилборан.
Для получения термостойких полимеризующихся композиций требуются термостойкие комплексы, которые не диссоциируют при или около температуры окружающей среды. Основным принципом получения таких комплексов является выбор амина. Пригодность использования данного амина в органоборан-аминном комплексе может быть рассчитана по разности энергии между комплексом кислота Льюиса-основание Льюиса и суммой энергий отдельной кислоты Льюиса (органоборан) и отдельного основания Льюиса (амин), известной как энергия связи. Чем выше (более отрицательна) энергия связи, тем более стабилен комплекс.
Энергия связи = -(Энергия комплекса-(Энергия кислоты Льюиса+Энергия основания Льюиса))
Такие энергии связи могут быть рассчитаны с использованием теоретических изначально методов, таких как метод самосогласованного поля Хартри-Фока и базисное множество 3-21G. Указанные вычислительные методы являются коммерчески доступными, использующими коммерческие компьютерные программы, такие как программы SPARTAN и GAUSSIAN 98 c Silicon Graphics – рабочей станцией. Амины, имеющие энергии связи амин – органоборан 10 ккал/моль или более, являются предпочтительными, амины, имеющие энергии связи амин – органоборан 15 ккал/моль или более, являются более предпочтительными и даже более предпочтительными являются амины с энергией связи 20 ккал/моль или более. В варианте, где полимеризация композиций изобретения инициируется при использовании комплексдиссоциирующего агента, энергия связи амина с органобораном составляет предпочтительно 50 ккал/моль или менее и наиболее предпочтительно 30 ккал/моль или менее. В варианте, где полимеризация композиций изобретения инициируется при использовании тепла, энергия связи амина составляет предпочтительно 100 ккал/моль или менее, более предпочтительно 80 ккал/моль или менее и наиболее предпочтительно 50 ккал/моль или менее.
Аминами, используемыми для комплексообразования с органоборановым соединением, могут быть любые амины или смесь аминов, которые образуют комплекс с органобораном и которые могут выделиться из комплекса при воздействии комплексдиссоциирующего агента. Предпочтительные амины включают первичные или вторичные амины или полиамины, содержащие первичные или вторичные аминогруппы, или аммиак, как рассмотрено в US 5539070 (Zharov), столбец 5, строки 41-53, в US 5106928 (Skoultchi), столбец 2, строки 29-58, и в US 5686544 (Pocius), столбец 7, строка 29 – столбец 10; этаноламин, вторичные диалкилдиамины или полиоксиалкиленполиамины, и продукты реакции концевых аминогрупп диаминов и соединений, имеющих две или более групп, взаимодействующих с аминами, как рассмотрено в US 5883208 (Deviny), столбец 7, строка 30 – столбец 8, строка 56. Что касается реакционных продуктов, описанных в последнем патенте, предпочтительные первичные диамины включают первичные алкилдиамины, первичные арилдиамины, первичные алкарилдиамины и полиоксиалкилендиамины; соединения, взаимодействующие с аминами, включают соединения, которые содержат две или более групп карбоновых кислот, сложные эфиры карбоновых кислот, галогенангидриды карбоновых кислот, альдегиды, эпоксиды, спирты и акрилатные группы. Предпочтительные амины включают н-октиламин, 1,6-диаминогексан (1,6-гександиамин), диэтиламин, дибутиламин, диэтилентриамин, дипропилендиамин, 1,3-пропилендиамин (1,3-пропандиамин), 1,2-пропилендиамин, 1,2-этандиамин, 1,5-пентандиамин, 1,12-додекандиамин, 2-метил-1,5-пентандиамин, 3-метил-1,5-пентандиамин, триэтилентетраамин, диэтилентриамин. Предпочтительные полиоксиалкиленполиамины включают полиэтиленоксиддиамины, полипропиленоксиддиамины, триэтиленгликольпропилендиамин, политетраметиленоксиддиамин и полиэтиленоксидсо-полипропиленоксиддиамины.
В одном предпочтительном варианте амин содержит соединение, имеющее первичный амин и одну или более групп, принимающих водородную связь, где имеется не менее двух углеродных атомов, предпочтительно не менее трех, между первичным амином и группами, принимающими водородную связь. Предпочтительно алкиленовый остаток расположен между первичным амином и группой, принимающей водородную связь. Группа, принимающая водородную связь, означает здесь функциональную группу, которая либо посредством между-, либо внутримолекулярного взаимодействия с водородом амина, образующего комплекс с бораном, увеличивает электронную плотность азота аминогруппы, образующей комплекс с бораном. Предпочтительные группы, принимающие водородную связь, включают первичные амины, вторичные амины, третичные амины, простые эфиры, галоген, простые полиэфиры, простые тиоэфиры и полиамины. В предпочтительном варианте амин соответствует формуле 2

в которой R1 отдельно в каждом случае представляет водород, С1-10-алкил, С3-10-циклоалкил или два или более R1 могут образовать циклическую кольцевую структуру, которая может иметь одно или более циклических колец;
Х представляет акцептор водорода;
а представляет целое число от 1 до 10 и
b отдельно в каждом случае представляет целое число от 0 до 1, и сумма а и b равна от 2 до 10.
Предпочтительно, R1 представляет водород, метил или два или более R1 соединяются с образованием 5- или 6-звенного циклического кольца. В предпочтительном варианте Х представляет акцептор водорода при условии, что когда акцептором водорода является амин, он является третичным или вторичным амином. Более предпочтительно Х представляет отдельно в каждом случае -N(R8)e, -OR10, -SR10 или галоген. R8 отдельно в каждом случае представляет С1-10-алкил, С3-10-циклоалкил, -(C(R1)2)d-W или два R8 могут соединиться с образованием структуры, имеющей одно или более циклических колец. R10 отдельно в каждом случае представляет С1-10-алкил, С3-10-циклоалкил или -(C(R1)2)d-W. е отдельно в каждом случае равно 0, 1 или 2 и наиболее предпочтительно е равно 2. Более предпочтительно Х представляет -N(R8)2 или -OR10. Предпочтительно R8 и R10 представляют С1-4-алкил или -(C(R1)2)d-W, более предпочтительно С1-4 -алкил и наиболее предпочтительно метил. W отдельно в каждом случае представляет водород или С1-10-алкил, или Х, и, более предпочтительно водород или С1-4-алкил. Предпочтительно а равно 1 или более и более предпочтительно 2 или более. Предпочтительно а равно 6 или менее и наиболее предпочтительно 4 или менее. Предпочтительно b равно 1. Предпочтительно сумма а и b равна целому числу 2 или более и наиболее предпочтительно 3 или более. Предпочтительно сумма а и b равна 6 или менее и более предпочтительно 4 или менее. Предпочтительно d отдельно в каждом случае равно целому числу от 1 до 4, более предпочтительно 2-4 и наиболее предпочтительно 2-3. Среди аминов, соответствующих формуле 2, предпочтительными являются диметиламинопропиламин, метоксипропиламин, диметиламиноэтиламин, диметиламинобутиламин, метоксибутиламин, метоксиэтиламин, этоксипропиламин, пропоксипропиламин, простые полиалкиленэфиры с концевыми аминными группами, такие как простой трис-(полипропиленгликолевый) эфир триметилолпропана с концевыми аминными группами и аминопропилпропандиамин.
В одном варианте предпочтительный аминный комплекс соответствует формуле 3

в которой R1, R2, X, a и b являются такими, как определено ранее.
В другом варианте амином является алифатический гетероцикл, имеющий не менее одного азота в гетероцикле. Гетероциклическое соединение может также содержать один или более атомов азота, кислорода, серы или двойных связей. Кроме того, гетероцикл может содержать многочисленные кольца, где, по меньшей мере, одно из колец имеет азот в кольце. Предпочтительно алифатический гетероциклический амин соответствует формуле 4

в которой R3 отдельно в каждом случае представляет водород, С1-10-алкил С3-10-циклоалкил или образует двойную связь со смежным атомом. R4′ отдельно в каждом случае представляет водород, С1-10-алкил или образует циклическое кольцо с R3, Z или заместителем на Z. Z отдельно в каждом случае представляет серу, кислород или -NR4. R4 отдельно в каждом случае представляет водород, С1-10-алкил или С6-10-арил, или С7-10-алкарил. х отдельно в каждом случае представляет целое число от 1 до 10, при условии, что сумма всех случаев х должна быть от 2 до 10. y отдельно в каждом случае равен 0 или 1. Два или более R3, R4 и R4′ могут соединиться с образованием циклических колец, образуя в результате многоциклическое соединение. Предпочтительно R3 отдельно в каждом случае представляет водород, метил или образует двойную связь со смежным атомом. Предпочтительно Z представляет NR4. Предпочтительно R4 представляет водород или С1-4-алкил и более предпочтительно водород или метил. Предпочтительно R4′ представляет водород или С1-4-алкил, более предпочтительно водород или метил и наиболее предпочтительно водород. Предпочтительно х равен от 1 до 5, и сумма всех случаев х равна 3-5. Предпочтительные соединения, соответствующие формуле 4, включают морфолин, пиперидин, пирролидин, пиперазин, 1,3,3-триметил-6-азабицикло[3,2,1]октан, тиазолидин, гомопиперазин, азиридин, 1-амино-4-метилпиперазин, 3-пирролин и аминопропилморфолин. Комплексы, содержащие алифатические гетероциклические амины, предпочтительно соответствуют формуле 5

в которой R2, R3, R4′, Z, x и y являются такими, как определено ранее.
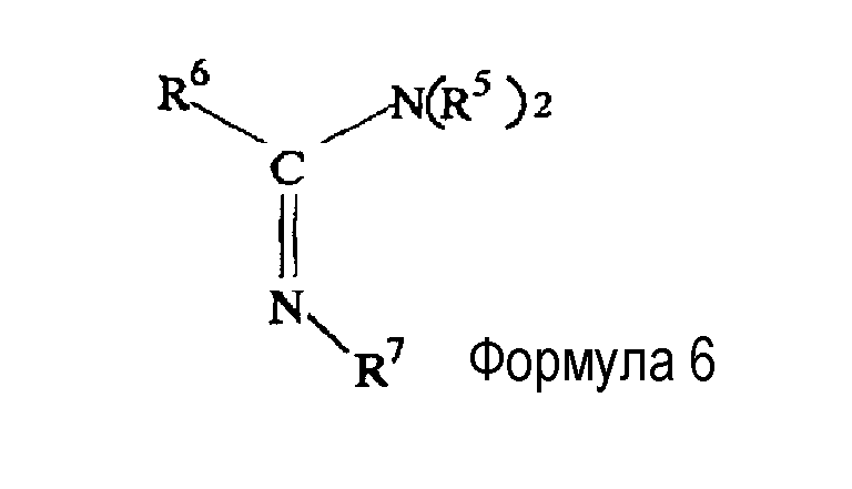
В еще одном варианте амином, который образует комплекс с органобораном, является амидин. Может быть использовано любое соединение со структурой амидина, где амидин имеет достаточную энергию связи, как определено ранее, с органобораном. Предпочтительные соединения амидина соответствуют формуле 6

в которой R5 отдельно в каждом случае представляет водород, С1-10-алкил или С3-10-циклоалкил. R6 отдельно в каждом случае представляет водород, С1-10-алкил, С3-10-циклоалкил или N(R5)2. Два или более R5, R6 и R7 могут соединяться в любой комбинации с образованием кольцевой структуры, которая может иметь одно или более колец. Предпочтительно R5 отдельно в каждом случае представляет водород, С1-4-алкил или С5-6-циклоалкил. Предпочтительно R6 отдельно в каждом случае представляет водород, С1-4-алкил или С5-6-циклоалкил или N(R5)2. Более предпочтительно R6 отдельно в каждом случае представляет С1-4-алкил или С5-6-циклоалкил или N(R5)2. Предпочтительно R7 отдельно в каждом случае представляет водород, С1-10-алкил, С3-10-циклоалкил или часть кольцевой структуры. Наиболее предпочтительно R7 представляет водород, метил или часть циклического кольца. В одном варианте, где два или более R5, R6 и R7 соединяются с образованием кольцевой структуры, кольцевой структурой является предпочтительно одинарная или двойная кольцевая структура. Среди предпочтительных амидинов находятся 1,1,3,3-тетраметилгуанидин, 1,8-диазобицикло[5,4]ундец-7-ен, тетрагидропиримидин и 2-метил-2-имидазолин.
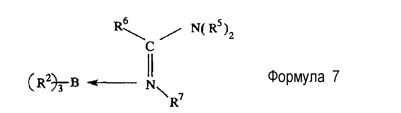
Органоборан-амидиновые комплексы предпочтительно соответствуют формуле 7

в которой R2, R5, R6 и R7 являются такими, как определено ранее.
Еще в одном варианте амином, который образует комплекс с органобораном, является сопряженный имин. Может быть использовано любое соединение со структурой сопряженного имина, где имин имеет достаточную энергию связи, как определено ранее, с органобораном. Сопряженным имином может быть имин с прямой или разветвленной цепью или циклический имин. Предпочтительные иминные соединения соответствуют формуле 8

в которой Y независимо в каждом случае представляет водород, N(R4)2, OR4, C(O)OR4, галоген, алкиленовую группу, которая образует циклическое кольцо с R7 или R9. R9 независимо в каждом случае представляет водород, Y, С1-10-алкил, С3-10-циклоалкил, (С(R9)2-(CR9=CR9)cY или два или более R9 могут соединяться с образованием кольцевой структуры, при условии, что электронообогащенная группа в Y является сопряженной относительно двойной связи азота имина и с представляет целое число от 1 до 10. Предпочтительно R9 представляет водород или метил.
Y предпочтительно представляет N(R4)2, SR4, OR4 или алкиленовую группу, которая образует циклическое кольцо с R9. Y более предпочтительно представляет N(R4)2 или алкиленовую группу, которая образует циклическое кольцо с R9. Предпочтительно с представляет целое число от 1 до 5 и наиболее предпочтительно 1. Среди предпочтительных сопряженных иминов, используемых в данном изобретении, находятся 4-диметиламинопиридин, 2,3-бис-(диметиламино)циклопропенимин, 3-(диметиламино)акролеинимин и 3-(диметиламино)метакролеинимин.
Среди предпочтительных циклических иминов находятся циклические имины, соответствующие следующим структурам:

Комплексы с сопряженными иминами предпочтительно соответствуют формуле 9
(R2-)3-B NR7 = CR9 – (CR9 = CR9)cY Формула 9
в которой R2, R7, R9, c и Y являются такими, как определено ранее.
В другом варианте амином может быть алициклическое соединение, имеющее связь с заместителем алициклического кольца, содержащим аминный остаток. Аминосодержащее алициклическое соединение может иметь второй заместитель, который содержит один или более атомов азота, кислорода, серы или двойную связь. Алициклическое кольцо может содержать одну или две двойные связи. Алициклическое соединение может иметь одно- или многокольцевую структуру. Предпочтительно амин на первом заместителе является первичным или вторичным. Предпочтительно алициклическое кольцо является 5- или 6-звенным кольцом. Предпочтительно функциональными группами на втором заместителе являются амины, простые эфиры, простые тиоэфиры или галогены. В предпочтительном варианте алициклическое соединение с одним или более аминсодержащими заместителями соответствует формуле 10

в которой R3, X, b и x являются такими, как определено ранее. В аминзамещенные алициклические соединения входят изофорондиамин и изомеры бис-(аминоэтил)циклогексана.
Комплексы, использующие аминзамещенные алициклические соединения, соответствуют формуле 11

в которой R2, R3, X, b и x являются такими, как определено ранее.
Эквивалентное соотношение аминного соединения (соединений) и боранового соединения в комплексе является относительно важным. Избыток амина является предпочтительным для обеспечения согласования объема компонента смолы и компонента отвердителя в полимеризующихся композициях, описанных здесь. Дополнительное увеличение аминного содержания дополнительно стабилизирует органоборан-аминный комплекс. Кроме того, амин взаимодействует с агентом разрушения комплекса с получением термостойких мочевин, полимочевин или полимочевины/уретана. Предпочтительно эквивалентное соотношение аминного соединения и органоборанового соединения составляет 4,0:1,0 или более. Более предпочтительно эквивалентное соотношение аминного соединения и органоборанового соединения составляет более 4,0:1,0, даже более предпочтительно 5,0:1,0 или более и наиболее предпочтительно 6,0:1,0 или более. Верхний предел количества амина основан практически на количестве тепла, выделяемого при взаимодействии амина и изоцианатного агента разрушения комплекса, и на количестве присутствующего агента разрушения комплекса, как рассмотрено далее. Более предпочтительно эквивалентное соотношение аминного соединения и органоборанового соединения составляет 20,0:1,0 или менее и наиболее предпочтительно 16,0:1,0 или менее.
Полимеризующиеся соединения, которые могут быть использованы для полимеризации соединений изобретения, включают любые мономеры, олигомеры, полимеры или их смеси, которые содержат олефиновую ненасыщенность, которые могут полимеризоваться свободнорадикальной полимеризацией. Такие соединения хорошо известны специалистам в данной области. В патенте США № 3275611, Mottus, представлено описание таких соединений в колонке 2, строка 46, – колонка 4, строка 16. Среди предпочтительных классов соединений, имеющих олефиновую ненасыщенность, находятся мономеры, олигомеры, полимеры и их смеси, производные акрилатов и метакрилатов; углеводороды с олефиновой ненасыщенностью, например этилен, пропилен, бутилен, изобутилен, 1-октен, 1-додецен, 1-гептадецен, 1-эйкозен; виниловые соединения, такие как стирол, винилпиридин, 5-метил-2-винилпиридин, винилнафталин, альфа-метилстирол; винил- и винилиденгалоиды; акрилонитрил и метакрилонитрил; винилацетат и винилпропионат; винилоксиэтанол; винилтриметилацетат; винилгексонат; виниллаурат; винилхлорацетат; винилстеарат; метилвинилкетон; винилизобутиловый эфир; винилэтиловый эфир; соединения, которые имеют множество этиленовых связей, такие как соединения, имеющие сопряженные двойные связи, такие как бутадиен, 2-хлорбутадиен и изопрен. Примеры предпочтительных акрилатов и метакрилатов рассмотрены в патенте США № 5286821 (Skoultchi), столбец 3, строка 50 – столбец 6, строка 12, и в патенте США № 5681910 (Pocius), столбец 9, строка 28 – столбец 12, строка 25. Более предпочтительные олефиновые соединения содержат метилакрилат, метилметакрилат, бутилметакрилат, трет-бутилметакрилат, 2-этилгексилакрилат, 2-этилгексилметакрилат, этилакрилат, изоборнилметакрилат, изоборнилакрилат, гидроксиэтилметакрилат, глицидилметакрилат, тетрагидрофурфурилметакрилат, акриламид, н-метилакриламид и другие подобные акрилатсодержащие мономеры. Также используется класс полиуретановых форполимеров с акрилатными концевыми группами, коммерчески доступных из нескольких источников и полученных взаимодействием реакционноспособных по отношению к изоцианату акрилатных мономера, олигомера или полимера, таких как гидроксиакрилат, с форполимером с изоцианатной функциональностью.
В варианте, где композиция используется в качестве клея, предпочтительно используются акрилат- и/или метакрилатсодержащие соединения. Наиболее предпочтительные акрилатные и метакрилатные соединения включают метилметакрилат, бутилметакрилат, 2-этилгексилметакрилат, изоборнилметакрилат, тетрагидрофурфурилметакрилат и циклогексилметилметакрилат.
Предпочтительно полимеризованная композиция изобретения способна образовывать полимер, который имеет высокую термостойкость. Высокая термостойкость означает, что полимер заметно не размягчается или не подвергается деструкции при повышенных температурах. Предпочтительно полимер способен выдерживать температуры, превышающие на 10°C их ожидаемую максимальную температуру применения. Предпочтительно такая температура применения составляет 60°C или выше и более предпочтительно 90°C или выше. Предпочтительными мономерами, которые дают полимеры с высокой термостойкостью, являются метилметакрилат (ММА) и изоборнилметакрилат. Предпочтительными высокотермостойкими полимерами являются сПММА (синдиотактический полиметилметакрилат), ПММА (полиметилметакрилат), полиизоборнилметакрилат, полиакриламид и сшитые (мет)акриловые полимеры.
Композиции изобретения дополнительно содержат эффективное количество изоцианатсодержащего соединения (агент разрушения комплекса), которое взаимодействует с образовавшим комплекс амином, так что освобождает органоборан и инициирует полимеризацию. Реакционноспособное по отношению к амину соединение освобождает органоборан при взаимодействии с амином, удаляя в результате органоборан из химического присоединения к амину. Желательными агентами разрушения комплекса являются такие изоцианаты, которые могут легко образовывать продукты реакции с аминами при или ниже и более предпочтительно при комнатной температуре, т.е. 20-22°C, так чтобы можно было получить композицию, которая легко используется и отверждается в окружающих условиях. Предпочтительно количество присутствующего изоцианатсодержащего соединения является достаточным, чтобы вызвать разложение органоборан-аминного комплекса, присутствующего в композиции. Предпочтительно имеется достаточно присутствующего изоцианатсодержащего соединения для взаимодействия со всем присутствующим амином. Избыток амина может пластифицировать образованный полимер и, таким образом, подвергать риску свойства образованного полимера. Предпочтительно имеется избыток изоцианата по сравнению со свободным общим количеством активных водородов (обычно первичный и вторичный амин и гидроксигруппы) в органоборан-аминном комплексе. Предпочтительно отношение изоцианатных эквивалентов к аминным эквивалентам составляет 1,0:1,0 или более, более предпочтительно 1,1:1,0 или более и наиболее предпочтительно 1,25:1 или более, как использовано здесь, это относится к любому свободному амину и к присутствующему амину, образовавшему комплекс. Изоцианатсодержащие соединения взаимодействуют с амином, присутствующим в композиции, с образованием мочевинной, полимочевинной или полиуретан/мочевинной фазы. Когда используется избыток изоцианатсодержащего соединения, в получаемом продукте присутствует мало или не присутствует свободный амин. При исключении присутствия свободного амина пластифицирующее воздействие амина предотвращается. Кроме того, присутствие мочевины или полимочевины улучшает термостойкость получаемого продукта. Предпочтительно количество мочевины или полимочевины, присутствующей в получаемом полимеризованном продукте, составляет 5 мас.% или более, более предпочтительно 10 мас.% или более и наиболее предпочтительно 15 мас.% или более. Предпочтительно количество полимочевины, присутствующей в получаемом полимеризованном продукте, составляет 50 мас.% или менее, более предпочтительно 45 мас.% или менее и наиболее предпочтительно 40 мас.% или менее. Процент мочевины означает мас.% фазы мочевина/уретан в конечном продукте. Это может быть обычно определено сложением массы изоцианата и амина (и любых других присутствующих соединений, реакционноспособных по отношению к изоцианату) и делением данной суммы на общую массу ингредиентов.
В одном варианте полимерная или клеевая рецептура изобретения может дополнительно содержать одно или более соединений, которые имеют более одного, предпочтительно два или более остатков, взаимодействующих с изоцианатами. Обычно, помимо аминов, остатки, которые содержат активные водородные атомы, взаимодействуют с изоцианатными группами, такие остатки включают гидроксильный, карбоксилатный и тиольный остатки. После аминов более предпочтительными остатками с активными водородными атомами являются гидроксильные остатки. Предпочтительными гидроксилсодержащими соединениями являются полиолы и аминолы. Может быть использован любой полиол, используемый для взаимодействия с изоцианатами. Предпочтительно первичные и вторичные амины являются единственными соединениями которые присутствуют для взаимодействия с изоцианатсодержащими соединениями. Предпочтительно изоцианатсодержащим соединением является любое изоцианатное соединение, которое разлагает органоборан-аминный комплекс. Предпочтительно изоцианатом является полиизоцианат, имеющий номинально 2 или более изоцианатных остатков на соединение. Используемыми изоцианатными соединениями являются рассмотренные в US 5872197 (Deviny), столбец 4, строка 57 – столбец 5, строка 65. Среди более предпочтительных изоцианатсодержащих соединений находятся полимерные варианты метилендифенилдиизоцианата, изофорондиизоцианат, гексаметилендиизоцианат, толуолдиизоцианат, изомеры или бис-изоцианатометилциклогексан и тетраметилксилилдиизоцианат.
Предпочтительно количество полимеризующихся соединений в полимеризующихся композициях или клеях составляет 20 мас.% или более по отношению к массе всей композиции, более предпочтительно 30 мас.% или более и наиболее предпочтительно 40 мас.% или более. Предпочтительно количество полимеризующихся соединений составляет 95 мас.% или менее, более предпочтительно 90 мас.% или менее и наиболее предпочтительно 85 мас.% или менее. Количество комплекса, используемого в композиции, может быть любым количеством, достаточным для инициирования полимеризации, как только комплекс диссоциирует. При более высокой концентрации органоборана скорость полимеризации является обычно более высокой. Предпочтительно количество присутствующего органоборанового комплекса является достаточным для обеспечения количества бора 0,02 мас.% или более по отношению к массе всей композиции и более предпочтительно 0,05 мас.% или более. Предпочтительно количество присутствующего органоборанового комплекса является достаточным для обеспечения количества бора 1 мас.% или менее по отношению к массе всей композиции, предпочтительно 0,7 мас.% или менее и наиболее предпочтительно 0,4 мас.% или менее.
Предпочтительно количество присутствующего изоцианата составляет 80 экв.% или более по отношению к эквивалентам присутствующего амина, как в составе комплекса, так и свободного, более предпочтительно 100 экв.% или более и наиболее предпочтительно 110 экв.% или более.
Органоборан-аминный комплекс может быть легко получен с использованием известной технологии. Обычно амин комбинируют с органобораном в инертной атмосфере при перемешивании. Часто наблюдается экзотерма, и поэтому рекомендуется охлаждение смеси. Если ингредиенты имеют высокое давление пара, желательно поддерживать температуру реакции ниже 70-80°C. Как только материалы смешиваются хорошо, комплексу позволяют охладиться до комнатной температуры. Затем удаляется растворитель. Специальные условия хранения не требуются, хотя предпочтительно, чтобы комплекс хранился в закрытом крышкой сосуде в инертной атмосфере в холодном темном месте. Преимущественно комплексы изобретения могут быть получены при отсутствии органических растворителей, которые затем должны удаляться, хотя они могут быть получены в растворителе, если так требуется. Растворителями, используемыми в получении комплексов, должны быть такие растворители, которые не координируют амин, предпочтительно растворителями являются, например, тетрагидрофуран или диэтиловый эфир, или низкомолекулярные алканы, такие как гексан или гептан.
Комплексы, используемые в изобретении, являются воздухостойкими. Под “воздухостойкими” понимается, что когда комплексы хранятся в закрытом крышкой сосуде при комнатной температур (20-22°C) и в иных окружающих условиях (т.е. не в вакууме и не в инертной атмосфере), комплексы остаются используемыми в качестве инициаторов полимеризации в течение не менее двух недель, хотя комплексы могут легко храниться в указанных условиях в течение многих месяцев.
Под “воздухостойкими” также понимается, что комплексы не являются самовоспламеняющимися. (Когда несколько капель комплекса помещают на бумажную салфетку в окружающих условиях, бумажная салфетка не воспламеняется, не обугливается и не дымится). Воздухостойкость комплекса улучшается, когда комплекс является кристаллическим материалом. Однако комплексы изобретения являются воздухостойкими в течение не менее шести месяцев, даже когда они являются жидкостями. Жидкие комплексы являются более легкими в обращении и смешении, чем кристаллические комплексы.
Полимеризующиеся композиции изобретения являются двухкомпонентными композициями. В одном варианте композиции являются двухкомпонентными композициями, в которых один компонент содержит комплексы изобретения, а другой компонент содержит комплексдиссоциирующий агент (инициатор). Полимеризация инициируется при контактировании двух компонентов композиции. Полимеризация может быть инициирована при или даже ниже температур окружающей среды. К полимеризующейся композиции может быть подведено тепло для ускорения инициирования или полимеризации и для облегчения взаимодействия присутствующего изоцианатного соединения с соединениями, содержащими активный водород. Главным основанием использования двухкомпонентной композиции является содержание в отдельности компонентов композиции, которые могут быть нестабильными в присутствии друг друга.
В варианте, где используют тепло для осуществления отверждения композиции, композицию подвергают воздействию источника тепла, который нагревает композицию при температуре при или выше температуры, при которой комплекс, используемый в композиции, разлагается с высвобождением органоборана, который затем инициирует свободнорадикальную полимеризацию. Обычно композицию нагревают до температуры, которая меньше температуры, при которой мономер подвергается самопроизвольной полимеризации. Температура, при которой комплекс подвергается диссоциации, связана с энергией связи комплекса. При более высоких энергиях связи комплекса требуются более высокие температуры для инициирования полимеризации.
Когда энергия связи комплекса является высокой, полимеризация может быть инициирована термически. Температура, при которой композицию нагревают для инициирования полимеризации, диктуется энергией связи комплекса. Обычно температура, используемая для инициирования полимеризации при разложении комплекса, составляет 30°C или более и предпочтительно 50°C или более. Предпочтительно температура, при которой инициируется термически инициируемая полимеризация, составляет 120°C или менее и более предпочтительно 100°C или менее. Может использоваться любой источник тепла, который нагревает композицию при желаемой температуре, при условии, что источник тепла не воздействует отрицательно на компоненты композиции или их функцию. Указанным образом композиция может контактировать с подложками либо до, либо после того, как на композицию воздействует тепло. Если композицию нагревают до контакта с подложками, композиция должна контактировать с подложками до того, как композиция полимеризуется в момент, при котором композиция больше не способна адгезировать к подложкам. В термически инициируемой реакции может быть необходимо регулировать содержание кислорода, так чтобы имелся адекватный кислород для создания благоприятных условий образования радикалов, но не так много, чтобы ингибировать полимеризацию.
Если тепло используется (помимо инициатора) для улучшения отверждения, подводимое тепло может подводиться немедленно или с задержкой (т.е. через некоторое время после отвеждения при комнатной температуре). Если используют нагревание с задержкой или нагревание после отверждения, полимеризованная композиция может выдерживаться при температурах намного выше или слегка выше, чем ожидаемая максимальная температура применения. Предпочтительно любое нагревание с задержкой применяется после того, как достигается достаточная прочность отвержденной композиции при комнатной температуре. Если тепло подводится немедленно к отверждающейся композиции для ускорения отверждения, тогда этот нагрев является предпочтительно меньше или приблизительно равен температуре диссоциации органоборан-аминного комплекса.
Двухкомпонентные композиции или клеевые композиции изобретения являются уникально подходящими для использования с традиционным коммерчески доступным раздаточным оборудованием для двухкомпонентных клеев. Как только два компонента смешиваются, композиция должна быть использована быстро, так как используемая жизнеспособность (время схватывания) может быть короткой в зависимости от мономерной смеси, количества комплекса и температуры, при которой должно осуществляться склеивание. Клеевую композицию наносят на одну или обе подложки и затем подложки соединяют вместе предпочтительно со сжатием для выжимания избытка композиции из клеевого шва. Вообще, склейки должны быть сделаны быстро после нанесения композиции, предпочтительно в течение 10 мин. Обычная толщина клеевого шва составляет от 0,005 дюйма (0,13 мм) до 0,03 дюйма (0,76 мм). Клеевой шов может быть толще, если требуется заполнение зазора, так как композиция изобретения может действовать как в качестве клея, так и в качестве заполнителя зазора. Способ склеивания может быть легко осуществлен при комнатной температуре, и для улучшения степени склеивания желательно поддерживать температуру ниже 40°C, предпочтительно ниже 30°C и наиболее предпочтительно ниже 25°C.
Клеевые соединения отверждаются до получения достаточной когезионной прочности, позволяющей обращение со склеенными компонентами в течение 0,5-3 ч. Полная прочность будет достигаться в течение 24 ч в окружающих условиях. При необходимости может быть использовано послеотверждение нагревом. После того как инициирована полимеризация олефиновой композиции, композиция изобретения может быть выдержана в условиях, вызывающих дополнительное взаимодействие полиизоцианата с соединением, реакционноспособным по отношению к изоцианату. Предпочтительно указанное взаимодействие инициируется выдержкой композиции при температурах, при которых полиизоцианат реагирует с соединением, реакционноспособным по отношению к изоцианату. В другом варианте композиция может содержать катализатор реакции изоцианата с соединением, реакционноспособным по отношению к изоцианату. Такие катализаторы хорошо известны в технике. Температуры послеотверждения составляют предпочтительно 25°C или более, более предпочтительно 30°C и наиболее предпочтительно 35°C или более.
Композиции могут дополнительно содержать ряд необязательных добавок. Одной особенно используемой добавкой является загуститель, такой как среда с высокомолекулярным (10000-1000000) полиметилметакрилатом, который может быть введен в количестве 10-60 мас.% по отношению к общей массе композиции. Загустители могут быть использованы для увеличения вязкости композиции для облегчения применения композиции.
Другой особенно используемой добавкой является эластомерный материал. Материалы могут улучшать вязкость при разрушении композиций, выполненных с ними, что может быть благоприятным при склеивании, например, жестких высокопрочных материалов, таких как металлические подложки, которые механически не поглощают энергию так легко, как другие материалы, такие как эластичные полимерные подложки. Такие добавки могут быть введены в количестве 5-35 мас.% по отношению к общей массе композиции. Используемые эластомерные модификаторы включают хлорированные или хлорсульфированные полиэтилены, такие как Hypalon 30 (коммерчески доступный от фирмы E.I.Dupont de Nemours & Co., Уилмингтон, Делавэр), и блок-сополимеры стирола и сопряженных диенов (коммерчески доступные от фирмы Dexco Polymers под торговой маркой VECTOR и от фирмы Firestone под торговой маркой STEREON). Также используемыми и даже более предпочтительными являются некоторые привитые сополимерные смолы, такие как частицы, которые содержат каучуковые или каучукоподобные сердцевины или сетки, которые окружены относительно жесткими оболочками, данные материалы часто называются полимерами типа “ядро-оболочка”. Наиболее предпочтительными являются привитые сополимеры акрилонитрил-бутадиен-стирол, доступные от фирмы Rohm and Haas. Помимо улучшения вязкости при разрушении композиции, полимеры типа “ядро-оболочка” могут также придать улучшенную наносимость и свойства текучести неотвержденной композиции. Указанные улучшенные свойства могут быть показаны сниженной тенденцией композиции к оставлению нежелательной “жилки” при раздаче аппликатором шприцевого типа или наплыва, или сползания после нанесения на вертикальную поверхность. Использование более 20 мас.% добавки полимера типа “ядро-оболочка” является желательным для достижения улучшенной стойкости к наплыву-сползанию. Обычно количеством используемого улучшающего ударную вязкость полимера является такое количество, которое дает желаемую ударную вязкость полученному полимеру или клею.
В предпочтительном варианте композиции изобретения содержат теплорегулирующий материал. Может быть использован любой материал, который действует с рассеянием тепла в процессе полимеризации. Примеры используемых теплорегулирующих материалов включают летучие жидкости, которые испаряются в процессе реакции в результате поглощения тепла, выделившегося в процессе реакции, материалы, которые действуют как теплоотводы при поглощении выделившегося тепла, и материалы, которые взаимодействуют путем эндотермической реакции в условиях реакции. Материалами, используемыми в качестве теплоотводов, являются материалы с высокими теплоемкостями. Примеры материалов с высокими теплоемкостями включают керамические частицы, стеклянные шарики, фторполимерные порошки и полые сферы. Используемые жидкие материалы включают хлорированные алканы, диалкиловые эфиры, алканы, метиленхлорид и низкокипящие петролейные эфиры. Более предпочтительные растворители включают метиленхлорид, диэтиловый эфир, пентан и гексан. Количество используемого теплорегулирующего материала зависит от заданной температуры реакции и теплоемкости теплорегулирующего материала. Специалист в данной области техники может легко определить необходимое количество теплорегулирующего материала. На теплоту реакции может также воздействовать замедление скорости смешения с обеспечением в результате более медленного тепловыделения. Предпочтительно средняя температура клея в течение его рабочего времени регулируется с заданием 70°C или менее, предпочтительно 60°C или менее и наиболее предпочтительно 50°C или менее. Теплорегулирующий материал может быть помещен либо в компонент смолы рецептуры, либо в компонент отвердителя. Выбор теплорегулирующего материала и количества теплорегулирующего материала обусловлен количеством тепла, которое необходимо рассеять в процессе полимеризации. Если тепло, выделившееся в процессе реакции, является слишком большим в течение слишком длительного периода времени, это может отрицательно воздействовать на адгезию полимеризованной композиции к подложке. Желательно ограничить количество тепла, индуцированного разложением органоборан-аминного комплекса. Если комплекс разлагается слишком быстро, это отрицательно воздействует на адгезию. В одном варианте, где используются теплорегулирующие материалы, отношением азотных атомов к атомам бора может быть любое осуществимое отношение. Кроме того, когда используются теплорегулирующие материалы, могут быть использованы любые известные органоборан-аминные комплексы и агенты диссоциации.
Другой используемой добавкой является сшивающий агент. Сшивающие агенты могут быть использованы для улучшения стойкости к растворителям клеевого соединения или полимерной композиции, хотя некоторые композиции изобретения имеют хорошую стойкость к растворителям даже при отсутствии вводимых извне сшивающих агентов. Сшивающий агент может увеличить температуру применения и стойкость к растворителям отвержденного полимера или клея. Обычно используемые в количестве 0,2-10 мас.% по отношению к общей массе композиции используемые сшивающие агенты включают различные диакрилаты, указанные выше как возможные модифицирующие акриловые мономеры, и соединения как с акрилатной, так и с изоцианатной функциональностью, а также другие материалы. Частные примеры подходящих сшивающих агентов включают этиленгликольдиметакрилат, этиленгликольдиакрилат, триэтиленгликольдиметакрилат, диэтиленгликоль-бис-метакрилоксикарбонат, полиэтиленгликольдиакрилат, тетраэтиленгликольдиметакрилат, диглицериндиакрилат, диэтиленгликольдиметакрилат, пентаэритриттриакрилат, триметилолпропан-трис-(2-метил-1-азиридинпропионат, триметилолпропантриметакрилат, полиуретансодержащие форполимеры с концевыми акрилатными группами, полиэфирдиакрилаты и диметакрилаты.
Необязательно могут быть включены перекиси (обычно в количестве 2 мас.% или менее по отношению к общей массе композиции), например, для регулирования скорости, при которой полимеризуется композиция, или для полноты полимеризации.
Небольшие количества ингибиторов, таких как затрудненные фенолы (т.е. 2,6-ди-трет-бутил-4-метилфенол), могут быть использованы, например, для предотвращения или снижения деструкции олефиновых мономеров в процессе хранения. Ингибиторы могут вводиться в количестве, которое материально не снижает скорость полимеризации или предельные свойства клеевой или другой композиции, полученной с ними, обычно 10-10000 ч./млн. по отношению к массе полимеризующихся мономеров.
Композиция может также содержать известный катализатор реакции соединения, реакционноспособный по отношению к изоцианату, с изоцианатсодержащим соединением. Такие катализаторы хорошо известны в технике и рассмотрены в US 5623044 (Chaio), столбец 6, строка 1 – строка 12.
Композиция изобретения может содержать реакционный или нереакционный разбавитель для согласования объема двух компонентов композиции так, чтобы получить коммерчески приемлемое соотношение двух компонентов. Предпочтительно разбавителем является реакционный разбавитель. Предпочтительными реакционными разбавителями являются соединения, реакционноспособные по отношению к изоцианату, потому что они взаимодействуют с полиизоцианатом с образованием полимочевинной и/или полиуретановой фазы. Представителями данного класса добавок являются обладающие низким эквивалентным весом спирты, амины, аминолы, полиамины, полиолы или их смеси. Указанные реакционные добавки взаимодействуют с изоцианатом (комплексдиссоциирующим агентом), и, таким образом, количество изоцианата должно быть увеличено для компенсирования указанных добавок. Фаза полимочевина/полиуретан может улучшить свойства конечного продукта. Обычно данная фаза может увеличить температуру стеклования образованного полимерного клея. Свойства конечной отвержденной композиции могут регулироваться выбором полиизоцианата и соединения, реакционноспособного по отношению к изоцианату.
Другие возможные добавки включают нереакционные красители, наполнители, растворители и т.д. Растворители должны выбираться так, чтобы иметь точки кипения ниже температуры термического разложения органоборан-аминного комплекса. Использование избытка нереакционного разбавителя может отрицательно влиять на некоторые свойства полимеризованной композиции, такие как предел прочности, термостойкость и удлинение.
Различные необязательные добавки используются в количестве, которое не оказывает значительного отрицательного воздействия на полимеризационный процесс или желаемые свойства композиций, полученных с ними.
Полимеризующиеся композиции согласно изобретению могут быть использованы в широком ряде способов, включая использование в качестве герметиков, покрытий, грунтовок для модификации поверхности полимеров и в качестве литьевых смол. Они также могут быть использованы в качестве матричных смол в сочетании с матами из стеклянных и металлических волокон, таких как в операциях литьевого прессования смол. Они могут быть, кроме того, использованы в качестве герметиков и заливочных компаундов, таких как в изготовлении электрических компонентов и печатных плат. Вполне ожидаемо, они обеспечивают полимеризующиеся клеевые композиции, которые могут склеивать различные мириады подложек, включая полимеры, древесину, керамики, бетон, стекло и загрунтованные металлы. Другим желательным родственным применением является их использование в обеспечении адгезии лакокрасочных покрытий к подложкам с низкой поверхностной энергией, таким как полиэтилен, полипропилен, полиэтилентерефталат и политетрафторэтилен и их сополимеры. В данном варианте композиция может быть нанесена на поверхность подложки с модификацией поверхности для улучшения адгезии конечного покрытия к поверхности подложки или введена в само покрытие.
Композиции изобретения могут быть использованы в нанесении покрытий. В таких применениях композиция может дополнительно содержать носитель, такой как растворитель. Покрытие может дополнительно содержать добавки, хорошо известные специалистам в данной области техники для использования покрытий, такие как пигменты для окраски покрытий, ингибиторы и УФ-стабилизаторы. Композиции также могут наноситься в качестве порошковых покрытий и могут содержать добавки, хорошо известные специалистам в данной области техники для использования в порошковых покрытиях.
Композиции изобретения также могут быть использованы для модификации поверхности полимерной формованной детали, экструдированной пленки или профильного предмета. Композиции изобретения также могут быть использованы для изменения функциональности полимерной частицы поверхностной прививкой полимерных цепей на немодифицированную пластиковую подложку.
Полимеризующиеся композиции изобретения, в частности, используются для склеивания пластиков или полимерных подложек с низкой поверхностной энергией, которые исторически были очень трудными для склеивания без использования сложной технологии подготовки поверхности, загрунтовывания и т.д. Под подложками с низкой поверхностной энергией понимаются материалы, которые имеют поверхностную энергию 45 мДж/м2 или менее, более предпочтительно 40 мДж/м2 или менее и наиболее предпочтительно 35 мДж/м2 или менее. Включенными среди таких материалов являются полиэтилен, полипропилен, акрилонитрил-бутадиен-стирол, полиамиды, синдиотактический полистирол, олефинсодержащие блок-сополимеры и фторированные полимеры, такие как политетрафторэтилен (тефлон), который имеет поверхностную энергию менее 20 мДж/м2. (Термин “поверхностная энергия” другими часто используется синонимично с термином “критическое натяжение смачивания”). Другие полимеры отчасти с более высокой поверхностной энергией, которые могут склеиваться композициями изобретения, включают поликарбонат, полиметилметакрилат и поливинилхлорид.
Полимеризующиеся композиции изобретения могут быть легко использованы в качестве двухкомпонентного клея. Компоненты полимеризующихся композиций смешиваются, как это обычно делается при работе с такими материалами. Комплексдиссоциирующий агент обычно вводят в данную смесь с тем, чтобы отделить его от органоборан-аминного комплекса, с созданием, таким образом, одного компонента двухкомпонентной композиции. Органоборан-аминный комплекс системы инициатора полимеризации обеспечивает второй компонент композиции и вводится в первый компонент незадолго перед тем, как желательно использовать композицию. Комплекс может быть введен в первый компонент непосредственно или может быть предварительно растворен в подходящем носителе, таком как реакционный разбавитель или мономер, т.е. метилметакрилатный или ММА/ПММА вязкий раствор, или в нереакционный разбавитель, такой как растворитель, непосредственно перед введением в первый компонент.
Желательно хранить комплексы отдельно от мономеров, олигомеров или полимеров, чтобы ингибировать преждевременную полимеризацию мономеров, олигомеров или полимеров. Комплексы данного изобретения имеют значительно улучшенную стабильность в присутствии мономеров и при отсутствии агента разрушения комплекса и, таким образом, могут храниться с полимеризующимися компонентами композиции.
Для двухкомпонентного клея, такого как двухкомпонентные клеи изобретения, для того, чтобы наиболее легко использоваться в коммерческих и промышленных условиях, объемное соотношение, при котором смешиваются два компонента, должно быть подходящим целым числом. Это облегчает применение клея с традиционными коммерчески доступными раздаточными устройствами. Такие раздаточные устройства показаны в патентах США №№ 4538920 и 5082147 и являются доступными от фирмы Conprotec, Inc. (Salem New Jersey) под торговой маркой MIXPAC. Обычно указанные раздаточные устройства используют пару трубчатых сосудов, расположенных последовательно с каждой трубкой, предназначенной для получения одного из двух компонентов клея. Два поршня, по одному для каждой трубки, одновременно двигаются вперед (например, вручную или с помощью запускаемого вручную храпового механизма) с выгрузкой содержимого трубок в общую полую удлиненную смесительную камеру, которая может также содержать стационарную мешалку для облегчения смешения двух компонентов. Смешанный клей выдавливают из смесительной камеры на подложку. Как только трубки опустошаются, они могут быть заменены свежими трубками, и процесс нанесения продолжается.
Соотношение, при котором смешиваются два компонента клея, регулируется диаметром трубок. (Каждый поршень имеет размер, чтобы входить в трубку фиксированного диаметра, и поршни продвигаются в трубках с одинаковой скоростью). Одно раздаточное устройство часто предназначено для использования с рядом различных двухкомпонентных клеев, и плунжеры имеют размер для подачи двухкомпонентного клея при подходящем соотношении смеси. Наиболее распространенными соотношениями смеси являются 1:1, 2:1, 4:1 и 10:1, но предпочтительно менее 10:1.
Компонент клея или полимеризующейся композиции изобретения, который содержит органоборан-аминный комплекс, предпочтительно имеет термостойкость при или выше комнатной температуры. Термостойкость, как использовано здесь, означает, что органоборан-аминный комплекс не диссоциирует и не инициирует полимеризацию соединений с олефиновой ненасыщенностью, присутствующих в композиции. Термостойкость может быть измерена определением температуры, при которой вязкость композиции начинает возрастать. Предпочтительно температура, при которой вязкость увеличивается, составляет выше 40°C, более предпочтительно выше 60°C и наиболее предпочтительно выше 80°C. Увеличение вязкости указывает на то, что органоборан-аминный комплекс диссоциирует, и инициируется полимеризация. В варианте, в котором композицию используют в качество клея, клей предпочтительно показывает прочность на сдвиг соединения внахлест 100 фунт/кв.дюйм (689 кПа) или более, более предпочтительно 250 фунт/кв.дюйм (1724 кПа) или более и более предпочтительно 400 фунт/кв.дюйм (2758 кПа) или более, в соответствии со следующей методикой испытаний.
Клеевые компоненты смешивают и наносят на одну или обе подложки (1 дюйм х4 дюйма х 1/8 дюйма (25,4 мм х 101,6 мм х 3,2 мм) полипропиленовые образцы). Толщину клеевого шарика можно регулировать добавлением нескольких мас.% стеклянных шариков диаметром 0,005-0,030 дюйм (0,13-0,76 мм). Образцы сопрягают с обеспечением нахлеста подложек 0,5-1,0 кв.дюйм (161-645 мм2) в конфигурации для испытаний на сдвиг при соединении внахлест. Образцы выдерживают вместе с помощью металлической струбцины с обеспечением постоянного усилия и облегчения удаления воздушных пузырей из клея в процессе отверждения. Склеенные образцы обычно отверждают в течение не менее 24 ч перед установкой в установку для испытаний на растяжение (Инстрон), оборудованную термошкафом. Образцы испытывают при скоростях подвижного зажима 0,05 дюйм/мин (0,13 мм/мин) и 0,5 дюйм/мин (12,7 мм/мин) при комнатной температуре и 110°C соответственно. Максимальную нагрузку (фунты) при разрушении фиксируют и максимальное напряжение (фунт/кв.дюйм) рассчитывают делением данной нагрузки на площадь нахлеста (кв.дюймы).
Предпочтительно смешанные двухкомпонентные композиции изобретения имеют подходящую вязкость, обеспечивающую нанесение без капания. Предпочтительно вязкости двух отдельных компонентов должны быть одного порядка по значению. Предпочтительно смешанные композиции имеют вязкость 100 спз (0,1 Па·с) или более, более предпочтительно 1000 спз (1,0 Па·с) или более и наиболее предпочтительно 5000 спз (5,0 Па·с) или более. Предпочтительно смешанные композиции имеют вязкость 150000 спз (150 Па·с) или менее, более предпочтительно 100000 спз (100 Па·с) или менее и наиболее предпочтительно 50000 спз (50 Па·с) или менее.
Упаковка добавок в пластиковую подложку может влиять на адгезию композиции изобретения к такой подложке. Установлено, что некоторые добавки являются несовместимыми с активными компонентами композиции данного изобретения. Специалист в данной области техники может легко определить те добавки, которые влияют на адгезию при проведении исследований адгезии образца на подложке. Распространенными добавками, которые отрицательно влияют на адгезию, являются Ирганокс 1076, ингибитор, доступный от фирмы Ciba Specialty Chemical Corporation, и иодид калия. Распространенные добавки, которые незначительно влияют на адгезию, включают ингибитор Иргафос 168, ингибитор Тинувин 328, ингибитор Тинувин 770, ингибитор Ирганокс 1010, доступные от фирмы Ciba Specialty Chemical Corporation, и стеарат кальция.
Отдельные варианты
Следующие примеры включены только для иллюстративных целей и не предназначены для ограничения объема формулы изобретения. Если не указано иное, все части и процентные содержания даны по массе.
Получение клеевых композиций
Двухкомпонентные клеи получают, как описано ниже. Один компонент (отвердитель) включает органоборан-аминный комплекс, смешанный с реакционными разбавителями или нереакционными разбавителями. “Реакционный разбавитель” означает материал или соединение, которые взаимодействуют с некоторым компонентом смолы, либо акрилатом (в процессе полимеризации), инициатором, либо с тем и другим. Нереакционные разбавители не взаимодействуют с компонентами смолы, такими как стеклянные сферы или низкокипящие растворители. Низкокипящие растворители определены как растворители, которые кипят при температуре ниже температуры диссоциации органоборан-аминного комплекса, т.е. температуры, при которой комплекс разделяется. Количество разбавителя устанавливают регулированием вязкости и/или объемных соотношений (с получением заданного объемного соотношения компонента отвердителя и компонента смолы). Другим компонентом (смолой) является акриловая смола с инициатором, например акриловой кислотой или более предпочтительно изоцианатом, таким как изофорондиизоцианат, который диссоциирует органоборан-аминный комплекс при взаимодействии с амином, когда смешивается с отвердителем. Акриловой смолой является смесь метилметакрилата (ММА) и полиметилметакрилата (ПММА, молекулярная масса 350000 атомных единиц массы), исключая, как отмечено далее. ММА и ПММА перемешивают или вращают до утра для смешения ПММА с ММА. Смола содержит 80/20 мас.% ММА/ПММА с введенным количеством комплексдиссоциирующего агента (изоцианата), как показано колонкой IPDI (изофорондиизоцианат, если не указано иное). Полученная акриловая смола плюс инициатор предпочтительно имеют вязкость 1000-50000 сантипуаз (спз) (1,0-50 Па·с). Вышеуказанная методика обеспечивает предпочтительный вариант рецептуры, где неполимеризующиеся частицы вводят в компонент отвердителя двухкомпонентного клея. Данная рецептура дает очень длительный срок годности при хранении (более 5 недель при 50°C).
Клей может быть смешан в желаемом соотношении в воздухе, в камере или с помощью опрессованного пистолета. Клей наносят на образцы в виде лент шириной 1 дюйм (25,4 мм) с нахлестом 1/2 дюйм (12,7 мм) и определяют адгезионную прочность, как описано ранее. Полипропилен используют для низкотемпературных испытаний, и смеси синдиотактический полистирол (сПС)/найлон или е-покрытые металлические листы используют для высокотемпературных испытаний. Высокотемпературные испытания осуществляли на устройстве для испытаний Instron, как описано выше. Образцы лент термостатируют при желаемой температуре в термошкафу установки Инстрон в течение не менее 5 мин до начала испытания.
Полимеризующиеся композиции изобретения, содержащие органоборан-аминный комплекс, получают и испытывают, как описано здесь.
Следующие аббревиатуры использованы в таблицах.
Am обозначает обычно амины, как определено, которые образуют комплекс с бораном.
РВМА обозначает полибутилметакрилат.
Н обозначает отвердитель.
R обозначает смолу.
МОРА обозначает метоксипропиламин.
MeCl2 обозначает метиленхлорид.
Dytek A обозначает 2-метил-1,5-диаминпентан, поставляемый фирмой Dupont Co.
HMDI обозначает гексаметилендиизоцианат.
TDI обозначает 2,4-толуолдиизоцианат.
Р-94 обозначает полимерный дифенилметандиизоцианат (MDI) марки PAPI-94 (торговая марка фирмы The Dow Chemical Company) с 2,4 средними эквивалентами NCO/моль.
Р-27 обозначает полимерный дифенилметандиизоцианат (MDI) марки PAPI-27 (торговая марка фирмы The Dow Chemical Company) с 2,7 средними эквивалентами NCO/моль.
UnRd обозначает нереакционный разбавитель.
DMAPA обозначает диметиламинопропиламин.
ТВВ обозначает три-н-бутилборан.
РММА обозначает полиметилметакрилат.
IPDA обозначает цис- или транс-изофорондиамин.
VS5500 обозначает полые стеклянные сферы производства фирмы 3M Corporation.
Cabosil представляет торговую марку частиц коллоидной двуокиси кремния фирмы The Cabot Corporation.
APSi обозначает аминопропилсиланизированный силикагель.
N2PPO 300 (или N2-300) обозначает О-(2-аминопропил-O’-(2-метоксиэтил)полипропиленгликоль) (300 экв.мас.).
IPDI обозначает изофорондиизоцианат.
Polycap 300 обозначает поликапролактонтриол с молекулярной массой 300.
N2PPO 115 обозначает полипропиленгликоль-бис-(2-аминопропилэфир) с эквивалентным весом 115 а.м.е. (атомных массовых единиц).
N2PPO 450 обозначает полипропиленгликоль-бис-(2-аминопропилэфир) с эквивалентным весом 450 а.м.е.
N2PPO 1000 обозначает полипропиленгликоль-бис-(2-аминопропилэфир) с эквивалентным весом 1000 а.м.е.
DEA обозначает диэтаноламин.
Е400 обозначает этиленоксидсодержащий диол, имеющий молекулярную массу 400.
Т-9 обозначает содержащий двухвалентное олово октаноат олова – катализатор полимеризации уретана, доступный от фирмы Air Products Corporation.
N2-C9 обозначает диаминононан.
RD обозначает реакционный разбавитель.
*PAPI является торговой маркой The Dow Chemical Company.
В примерах 1-71 отвердитель получают смешением реакционного разбавителя (RD), амина (Am) плюс органоборан (ТВВ) в качестве органоборан-аминного комплекса и стеклянных сфер VS5500 в массовых соотношениях, как описано ниже, обычно используют суммарно 5 г указанных компонентов. В примерах 72-91 отвердитель получают смешением органоборан-аминного комплекса, реакционного разбавителя, нереакционного разбавителя, амина и VS5500 в навесках, определенных ниже. В примерах 87-91 отвердитель получают смешением стеклянных сфер VS5500, органоборана (ТВВ), нереакционного разбавителя (UnRD), реакционного разбавителя (RD) и амина (Am) в навесках, определенных ниже. Все рецептуры, использованные в указанных примерах, имеют соотношение смеси смола : отвердитель 4:1 по объему, кроме примеров 72-86, в которых соотношения смеси отвердитель : смола являются такими, как определено в таблице 3, и С-2, в котором составляет 25:1. Клей наносят на полипропиленовые подложки или е-покрытый металл, или другую высокотемпературную подложку, как описано выше. Также в таблицах приведены значения количества органоборана в отвердителе в мас.% (мас.% ТВВ/Н), отношение азотных атомов амина к атомам бора (отношение N/B), отношение азота амина плюс другие эквиваленты активного водорода к изоцианатным реакционным группам (отношение N/NCO), мас.% мочевины, как определено по массе всего амина плюс изоцианат, приведенной к общей массе клея. Сдвиг соединений внахлест определяют на установке для испытаний на растяжение, как описано выше. В таблицах результаты на сдвиг соединений внахлест со знаком > означают, что разрушение подложки имеет место до разрушения клея.
Примеры 1-53
В примерах 1-53 все отвердители получают с общей массой рецептуры 5,0 г. В примерах 1-4, 20 мас.% полимерного разбавителя из сополимера полиметилметакрилат-полибутилметакрилат, имеющего молекулярную массу 75000 а.м.е., смешивают с реакционным разбавителем. Во всех примерах 1-19 и 22-53 процентное соотношение ТВВ:Н составляет 10 (ТВВ составляет 10 мас.% отвердителя). В примерах 20 и 21 используемым органобораном является триэтилборан. Количество присутствующего триэтилборана составляет 0,27 г, и процентное соотношение ТЕВ:Н равно 5,4. В примерах 37-41 изоцианатом является HMDI. В примере 38 изоцианатом является толуолдиизоцианат. В примерах 39 и 42 изоцианатом является полимерный MDI, доступный от фирмы The Dow Chemical Company под торговой маркой и обозначением PAPI94. В примерах 40 и 43 изоцианатом является полимерный MDI, доступный от фирмы The Dow Chemical Company под торговой маркой и обозначением PAPI27. В примерах 44-47 реакционный разбавитель дан как массовое соотношение компонентов, представленное значениями в круглых скобках. В примерах 48, 49 и 51 амином, использованным в качестве реакционного разбавителя, является твердый полипропиленоксид с аминным окончанием (молекулярная масса 1000), растворенный в жидком амине при массовом соотношении 1:1. В примере 50 объемные соотношения твердого N2-PPO и жидкого Dytek A в реакционном разбавителе составляют 75 и 25% соответственно. В примерах 52 и 53 реакционными разбавителями являются смесь приведенного амина и диаминнонана при массовом соотношении 1:1. В примерах, где количество VS5500 в реакционном разбавителе не дано специально как соотношение (примеры 25, 29, 49 и 51), количество стекла составляет 40 мас.% от общей массы отвердителя. Плотность смолы в таблице 1 составляет 1.
В таблице 1 показана эффективность различных классов аминов и аминных смесей со спиртами и нереакционными разбавителями. Также в таблице 1 приведены примеры, использующие различные изоцианаты в качестве комплексдиссоциирующего агента. Основными классами, показанными здесь, являются полимерные загущенные амины, высокофункциональные амины и аминолы, олигомерные диамины, смеси твердых и жидких аминов и смеси аминов и спиртов и диолов. Среди аминов находятся структурные разновидности, включающие моноамины, диамины, разветвленные диамины, алифатические циклические амины, алканоламины, диамины с первичными и более высокого порядка аминами и полиэфирамины. Результаты в таблице 1 показывают, что описанными композициями достигается превосходная адгезия к пластиковым подложкам.



Примеры 54-71
Примеры 54-73 осуществляют с различными количествами органоборанового ТВВ (трибутилборан) катализатора в рецептуре отвердителя и с различными соотношениями N/B. В данных примерах мольное соотношение органоборан : амин составляет 1:0,5 моль для комплекса триэтилборан Dytek A : амин и 1:1,4 для других комплексов. Во всех примерах 54-77 и С1 реакционный разбавитель содержит 40 мас.% VS5500. Органобораном, использованным в примерах 57, 62 и 68-71, является триэтилборан (ТЕВ).
| Таблица 2 |
| При-мер |
ТВВ мас.% |
Реакци-онный разбави-тель (RD) |
RD мас.% |
Amine (Am) |
Am масс. |
% TBB/Н |
N/B |
% IPDI |
N/NCO |
% мо- чевины |
Прочность на сдвиг клеевого соединения внахлест при комнатной температуре (фунт/кв.дюйм) |
Прочность на сдвиг клеевого соедине- ния внах- лест при комнатной темпера- туре (кПа) |
Прочность на сдвиг клеевого соедине- ния внах- лест при 125°С (фунт/кв.) дюйм) (е-покрытие) |
Проч-ность на сдвиг клеево-го сое- динения внах-лест при 125°С (кПа) |
| 54 |
0,26 |
IPDA |
4,40 |
IPDA |
0,34 |
1,0 |
22,5 |
14 |
0,77 |
22,2 |
209 |
(1441) |
800 |
(5516) |
| 55 |
0,52 |
IPDA |
3,80 |
IPDA |
0,68 |
2,1 |
10,2 |
12,5 |
0,78 |
20,6 |
39 |
(269) |
650 |
(4482) |
| 56 |
0,778 |
IPDA |
3,20 |
IPDA |
1,02 |
3,1 |
6,1 |
11 |
0,79 |
18,9 |
>613 |
(>4226) |
1900 |
(13100) |
| 57 |
0,42 |
IPDA |
3,56 |
IPDA |
1,02 |
1,7 |
13,1 |
13 |
0,78 |
21,4 |
>654 |
(>4509) |
1350 |
(9308) |
| 58 |
1,035 |
IPDA |
2,61 |
IPDA |
1,36 |
4,1 |
4,1 |
10 |
0,77 |
17,7 |
388 |
(2675) |
1400 |
(9653) |
| 59 |
0,26 |
MOPA |
4,56 |
MOPA |
0,18 |
1,0 |
21,5 |
13 |
0,79 |
21,3 |
284 |
(1958) |
400 |
(2758) |
| 60 |
0,52 |
MOPA |
4,12 |
MOPA |
0,36 |
2,1 |
9,7 |
11,5 |
0,81 |
19,5 |
>488 |
(>3664) |
350 |
(2413) |
| 61 |
0,778 |
MOPA |
3,69 |
MOPA |
0,53 |
3,1 |
5,8 |
10,5 |
0,79 |
18,2 |
>810 |
(>5584) |
1000 |
(6894) |
| 62 |
0,42 |
MOPA |
4,05 |
MOPA |
0,53 |
1,7 |
12,6 |
12 |
0,80 |
20,3 |
>886 |
(>6108) |
630 |
(4344) |
| 63 |
1,035 |
MOPA |
3,26 |
MOPA |
0,71 |
4,1 |
3,9 |
9 |
0,82 |
16,5 |
>531 |
(>3661) |
250 |
(3103) |
| 64 |
0,26 |
Dytek A |
4,51 |
Dytek A |
0,23 |
1,0 |
33,0 |
20 |
0,79 |
27,4 |
202 |
(1393) |
450 |
(3103) |
| 65 |
0,52 |
Dytek A |
4,02 |
Dytek A |
0,46 |
2,1 |
15,0 |
17,5 |
0,81 |
24,8 |
234 |
(1613) |
600 |
(4136) |
| 66 |
0,778 |
Dytek A |
3,53 |
Dytek A |
0,69 |
3,1 |
9,0 |
16 |
0,80 |
23,1 |
391 |
(2696) |
600 |
(4137) |
| Продолжение таблицы 2 |
| 67 |
1,035 |
Dytek A |
3,04 |
Dytek A |
0,92 |
4,1 |
6,0 |
14 |
0,81 |
20,9 |
350 |
(2413) |
440 |
(3034) |
| 68 |
0,14 |
Dytek A |
4,78 |
Dytek A |
0,08 |
0,6 |
34,5 |
20 |
0,82 |
27,6 |
31 |
(214) |
550 |
(3792) |
| 69 |
0,28 |
Dytek A |
4,55 |
Dytek A |
0,17 |
1,1 |
30,5 |
19,5 |
0,80 |
26,9 |
303 |
(2089) |
400 |
(2758) |
| 70 |
0,418 |
Dytek A |
4,33 |
Dytek A |
0,25 |
1,7 |
19,4 |
18,5 |
0,80 |
25,8 |
>551 |
(>3799) |
575 |
(>3964) |
| 71 |
0,558 |
Dytek A |
4,11 |
Dytek A |
0,33 |
2,2 |
13,7 |
17,5 |
0,80 |
24,7 |
>543 |
(>3744) |
650 |
(4482) |
| C-11 |
0,778 |
IPDA |
3,20 |
IPDA |
1,02 |
4,69 |
6,1 |
72 |
80 |
0 |
Размягчение |
— |
30 |
(207) |
| С-21 |
0,88 |
O |
O |
MOPA |
0,59 |
3,85 |
1,36 |
42 |
— |
0 |
>578 |
(>3985) |
280 |
(1930) |
ПРИМЕРЫ 1 Сравнительный пример. 2 Агент разрушения комплекса – акриловая кислота. |
Все клеи изобретения имеют хорошую прочность при комнатной и высокой температуре. Сравнительный пример С-1 с высоким соотношением N/B настоящего изобретения, но с использованием акриловой кислоты (АА) вместо изоцианата в качестве инициатора, дает плохую адгезию при всех температурах. Второй сравнительный пример С-2, использующий низкое соотношение N/B, соотношение смеси 25:1 и акриловую кислоту в качестве инициатора, дает хороший клей при комнатной температуре, но плохой клей при повышенной температуре по сравнению с предметом настоящего изобретения. Во втором сравнительном примере комплекс получают при добавлении 1,36 моль МОРА к 1 моль ТВВ. 4 мас.% данного комплекса добавляют к смоле, состоящей из 80 ч. ММА и 20 ч. ПММА (Mw = 350000) с 4 мас.% добавленной акриловой кислоты. Смесь наносят на полипропиленовые или е-покрытые металлические подложки для испытаний при комнатной температуре или 125°C соответственно. Обеспечивают отверждение клея в течение 3 дней перед испытанием.
Примеры 72-86
Несколько клеевых композиций получают, как описано выше. В примерах 72-77 реакционный разбавитель и амин оба являются изофорондиамином. В примерах 78-82 реакционным разбавителем и амином является МОРА, а нереакционным разбавителем является метиленхлорид. В примерах 83-86 амином и реакционным разбавителем является Dytek A. Испытание на сдвиг клеевых соединений внахлест проводят на пластинах, выполненных из смеси найлона-6 и синдиотактического полистирола (СПС) при 125 и 150°C. Для испытаний на сдвиг клеевых соединений внахлест в примерах 72-77 при 150°C и в примерах 78-82 при 125°C пластины содержат 30% СПС в найлоне-6. В примерах 72-77 и 83-86 при испытаниях при 125°C используют пластины, содержащие 15% СПС в найлоне-6.
Примеры 72-86 показывают различные аминсодержащие отвердители и влияние изменения соотношения N/B на высокотемпературную прочность при сдвиге клеевых соединений внахлест. В каждом ряде серий постоянным является количество органоборана в клее (непостоянным в отвердителе), количество наполнителя (VS5500) на 1 г жидкости в отвердителе и отношение N/NCO. Уникальным в указанных примерах является соотношение смеси (R/H, смола/отвердитель), которое варьируется в 2 из серий. Смола описана ранее. На фиг.1 показано увеличение прочности на сдвиг клеевых соединений внахлест как функция увеличения соотношения N/B. Клеи с низким соотношением N/B также имеют хорошую прочность благодаря использованию растворителя и/или стеклянных сфер VS5500 в качестве теплорегулирующих добавок.
| |
Таблица 3 |
| Пример |
ТВВ мас.% |
VS5500 мас.% |
UnRD мас.% |
RD мас.% |
Am мас.% |
% ТВВ in H |
R/H3 |
N/B |
% IPDI |
N/NCO |
% моче- вины |
Прочность на сдвиг клеевых со- единений внахлест при 125°С, фунт/кв.дюйм (кПа) |
Прочность на сдвиг клеевых соединений внахлест при 150°С, фунт/кв.дюйм (кПа) |
| 72 |
1,08 |
7,41 |
|
9,48 |
0,55 |
5,82 |
5,40 |
19,89 |
15,00 |
0,87 |
21,12 |
|
546(3765) |
| 73 |
1,04 |
5,56 |
|
6,76 |
0,53 |
7,46 |
7,20 |
15,06 |
11,00 |
0,87 |
16,07 |
1190(8204) |
|
| 74 |
1,00 |
3,77 |
|
4,15 |
0,51 |
10,56 |
10,60 |
10,02 |
7,00 |
0,87 |
10,66 |
1084(7474) |
483(3330) |
| 75 |
0,96 |
2,13 |
|
1,74 |
0,49 |
18,02 |
18,80 |
4,98 |
3,30 |
0,88 |
5,25 |
966/6660) |
|
| 76 |
0,94 |
1,36 |
|
0,61 |
0,48 |
27,76 |
29,50 |
2,48 |
1,60 |
0,89 |
2,60 |
|
350(2413) |
| 77 |
0,93 |
0,93 |
|
0,00 |
0,48 |
40,04 |
43,00 |
1,07 |
0,70 |
0,86 |
1,14 |
817(5633) |
381(2627) |
| 78 |
1,14 |
10,00 |
2,00 |
11,25 |
0,61 |
4,55 |
4,00 |
21,33 |
17,50 |
0,85 |
23,49 |
338(2330) |
|
| 79 |
1,14 |
10,00 |
5,00 |
8,25 |
0,61 |
4,55 |
4,00 |
15,93 |
13,00 |
0,85 |
17,49 |
267(1841) |
|
| 80 |
1,14 |
10,00 |
8,00 |
5,25 |
0,61 |
4,55 |
4,00 |
10,54 |
8,60 |
0,85 |
11,57 |
248(1710) |
|
| 81 |
1,14 |
10,00 |
11,00 |
2,25 |
0,61 |
4,55 |
4,00 |
5,15 |
4,20 |
0,85 |
5,65 |
233(1606) |
|
| 82 |
1,14 |
10,00 |
13,25 |
0,00 |
0,61 |
4,55 |
4,00 |
1,10 |
0,90 |
0,85 |
1,21 |
172(1186) |
|
| 83 |
2,06 |
5,71 |
|
5,79 |
0,72 |
14,40 |
7,00 |
9,93 |
14,50 |
0,86 |
18,39 |
882(6081) |
|
| 84 |
1,95 |
3,39 |
|
2,45 |
0,68 |
23,04 |
11,80 |
5,03 |
7,00 |
0,86 |
9,34 |
843(5812) |
|
| 85 |
1,90 |
2,29 |
|
0,86 |
0,67 |
33,30 |
17,50 |
2,51 |
3,40 |
0,86 |
4,66 |
745(5137) |
|
| 86 |
1,88 |
1,70 |
|
0,00 |
0,66 |
44,10 |
23,50 |
1,13 |
1,50 |
0,86 |
2,09 |
712(4909) |
|
| 3 Объемное соотношение. |
Примеры 87-91
Клеевые рецептуры получают с использованием компонента смолы ММА-ПММА, как описано ранее, и компонента отвердителя, как описано в таблице 4, где нереакционным разбавителем является метилметакрилат, реакционным разбавителем является изофорондиамин, компонент отвердителя содержит 6,0 г рецептуры стеклянных шариков VS5500 (пример 91 использует 4,5 г VS5500 в отвердителе и 1,5 г VS5500 в смоле), масса амина составляет 1,2 г, объемное соотношение смола : отвердитель составляет 4,0:1,0 и отношение аминный эквивалент : изоцианатный эквивалент равно 0,8.
На фиг.2 показана скорость отверждения ряда клеев при различных соотношениях N/B. Кривые являются кубическими подгонками к данным времени, так чтобы наблюдать графически время, при котором клеи отверждаются с заданной прочностью 50 фунт/кв.дюйм (время когезии). Для указанных клеев времена когезии составляют 39, 38, 25,6, 26,3, 27,7 мин для соотношений N/B 1,1, 3,4, 6,1, 9,9 соответственно. Время когезии даже для низких соотношений N/B является хорошим благодаря выбору комплексдиссоциирующего агента, компонентов акриловой смолы и теплорегулирующих компонентов.
| Таблица 4 |
| Пример |
TBB мас.% |
UnRD мас.% |
RD мас.% |
% TBB in H |
N/B |
%IPDI |
% мо- чевины |
Время когезии (мин) |
| 87 |
2,3 |
5,5 |
0,0 |
15,6 |
1,1 |
2,0 |
2,8 |
39 |
| 88 |
2,3 |
3,4 |
2,1 |
15,6 |
3,0 |
5,4 |
7,6 |
38 |
| 89 |
2,3 |
2,3 |
3,2 |
15,6 |
4,0 |
7,3 |
10,2 |
25,6 |
| 90 |
2,3 |
0,0 |
5,5 |
15,6 |
6,1 |
11,0 |
15,4 |
26,3 |
| 91 |
2,4 |
0,0 |
9,9 |
13,3 |
9,9 |
18,0 |
24,7 |
27,7 |
Формула изобретения
1. Двухкомпонентная композиция, используемая для инициирования отверждения одного или более полимеризующихся мономеров, которые отверждаются при воздействии свободных радикалов, состоящая из одного компонента органоборан-аминного комплекса и второго компонента – изоцианата, который способен разрушать органоборан-аминный комплекс, где эквивалентное отношение азотных атомов амина к атомам бора составляет более чем от 4,0:1 до 20,0:1,0.
2. Двухкомпонентная композиция для использования в качестве герметиков, покрытий, грунтовок для модификации поверхности полимеров и в качестве литьевых смол, содержащая
компонент 1 – а) органоборан-аминный комплекс, в котором отношение азотных атомов амина к атомам бора составляет более чем от 4,0:1 до 20,0:1,0, и
компонент 2 – b) один или более мономеров, олигомеров или полимеров, имеющих олефиновую ненасыщенность, которые способны полимеризоваться свободнорадикальной полимеризацией, и
с) эффективное количество изоцианата, который вызывает диссоциацию комплекса, освобождая боран для инициирования полимеризации одного или более мономеров, олигомеров или полимеров, имеющих олефиновую ненасыщенность,
в которой соединение, которое вызывает диссоциацию комплекса, содержится отдельно от комплекса до тех пор, пока инициирование полимеризации не является желательным.
3. Композиция по п.2, дополнительно содержащая загуститель, представляющий собой высокомолекулярный полиметилметакрилат, который может быть введен в количестве 10-60% по отношению к общей массе композиции.
4. Композиция по п.2, дополнительно содержащая эластомерные модификаторы, выбранные из группы, состоящей из хлорированных или хлорсульфированных полиэтиленов, блок-сополимеров стирола и сопряженных диенов, привитых сополимерных смол в количестве 5-35% по отношению к общей массе композиции.
5. Композиция по п.2, дополнительно содержащая теплорегулирующий материал, выбранный из группы, состоящей из летучих жидкостей, которые испаряются в процессе реакции в результате поглощения тепла, выделившегося в процессе реакции, керамических частиц, стеклянных шариков, фторполимерных порошков и полых сфер.
6. Композиция по п.2, дополнительно содержащая сшивающий агент, выбранный из группы, состоящей из диакрилатов, соединений как с акрилатной, так и с изоцианатной функциональностью, перекисей, используемый в количестве 0,2-10% по отношению к общей массе композиции.
7. Композиция по п.2, дополнительно содержащая ингибиторы, такие, как затрудненные фенолы, в количестве 10-10000 ч./млн. по отношению к массе полимеризующихся мономеров.
8. Композиция по п.2, дополнительно содержащая катализатор реакции соединения, реакционноспособного по отношению к изоцианату, с изоцианатсодержащим соединением.
9. Композиция по п.2 дополнительно содержащая реакционный или нереакционный разбавитель.
10. Композиция по п.2, дополнительно содержащая нереакционные красители, наполнители, растворители.
11. Способ полимеризации, включающий контактирование компонентов полимеризующейся композиции по п.2 в таких условиях, когда один или более мономеров, олигомеров или полимеров подвергаются полимеризации.
12. Способ по п.11, который дополнительно содержит стадию нагревания композиции до повышенной температуры в таких условиях, что амин и изоцианат могут дополнительно взаимодействовать.
13. Способ склеивания двух или более подложек вместе, который содержит
а. контактирование компонентов композиции по п.2 вместе в таких условиях, что инициируется полимеризация;
b. контактирование клеевой композиции с двумя или более подложками;
c. размещение двух или более подложек так, что клеевая композиция расположена между двумя или более подложками, где они контактируют друг с другом, и
d. отверждение клея с тем, чтобы склеить две или более подложек вместе.
14. Способ склеивания двух или более подложек по п.13, который дополнительно содержит нагревание клеевой композиции до такой температуры, чтобы амин и изоцианат взаимодействовали дополнительно.
15. Способ модификации поверхности полимера с низкой поверхностной энергией путем контактирования композиции по п.2 с, по меньшей мере, частью поверхности полимера с низкой поверхностной энергией и диссоциации комплекса, в результате чего идет инициирование полимеризации мономера, олигомеров, полимеров или их смеси, так что образованный полимер находится на поверхности полимера с низкой поверхностной энергией.
16. Способ покрытия композиции подложки, который включает контактирование композиции, содержащей
компонент 1 – а) органоборан-аминный комплекс, в котором отношение азотных атомов амина к атомам бора составляет более чем от 4,0:1 до 20,0:1,0, и
компонент 2 – b) один или более мономеров, олигомеров или полимеров, имеющих олефиновую ненасыщенность, которые способны полимеризоваться свободнорадикальной полимеризацией,
и нагревание покрытия до температуры от 30 до 120°С с инициированием отверждения покрытия.
17. Способ покрытия подложки, который включает контактирование компонентов композиции по п.2, контактирование контактировавшей композиции с одной или более поверхностями подложки и отверждение композиции покрытия.
18. Композиция покрытия, которая содержит композицию по п.2.
19. Ламинат, содержащий, по меньшей мере, две подложки, имеющий расположенную между подложками и соединенную с каждой подложкой композицию по п.2.
20. Двухкомпонентная полимеризующаяся композиция для использования в качестве герметиков, покрытий, грунтовок для модификации поверхности полимеров и в качестве литьевых смол, содержащая
компонент 1 – а) органоборан-аминный комплекс и
компонент 2 – b) один или более мономеров, олигомеров или полимеров, имеющих олефиновую ненасыщенность, которые способны полимеризоваться свободнорадикальной полимеризацией, и
c) эффективное количество соединения, которое вызывает диссоциацию комплекса, за счет чего освобождается боран для инициирования полимеризации одного или более мономеров, олигомеров или полимеров, имеющих олефиновую ненасыщенность, в которой соединение, которое вызывает диссоциацию комплекса, содержится отдельно от комплекса до тех пор, пока инициирование полимеризации не является желательным, и
d) материал, который регулирует тепло реакции полимеризации, так что поддерживается адгезия к подложке, причем материал может быть расположен либо в компоненте 1, либо в компоненте 2, либо в обоих компонентах,
где эквивалентное отношение азотных атомов амина к атомам бора составляет более чем от 4,0:1 до 20,0:1,0.
21. Композиция по п.20, дополнительно содержащая необязательные добавки по пп.3, 4, 6-10.
РИСУНКИ
|
|