|
|
(21), (22) Заявка: 2003136829/04, 08.05.2002
(24) Дата начала отсчета срока действия патента:
08.05.2002
(30) Конвенционный приоритет:
21.05.2001 DE 10124578.5
(43) Дата публикации заявки: 27.05.2005
(46) Опубликовано: 20.06.2007
(56) Список документов, цитированных в отчете о поиске:
WO 9746530 А1, 11.12.1997. WO 9910328 A1, 04.03.1999. JP 11292849 А, 26.10.1999. WO 9532188 A1, 30.11.1995. WO 9718196 A1, 22.05.1997. EP 177710, 16.04.1986. RU 2042667 C1, 27.08.1995. RU 2055836 C1, 10.03.1996.
(85) Дата перевода заявки PCT на национальную фазу:
22.12.2003
(86) Заявка PCT:
EP 02/05046 (08.05.2002)
(87) Публикация PCT:
WO 02/094792 (28.11.2002)
Адрес для переписки:
103064, Москва, ул. Казакова,16, НИИР Канцелярия “Патентные поверенные Квашнин, Сапельников и партнеры”, В.П.Квашнину
|
(72) Автор(ы):
ШВАРЦ Ханс-Георг (DE), МЮЛЛЕР Клаус-Хельмут (DE), ХЕРРМАНН Штефан (DE), ХОЙШЕН Доротее (DE), КАТЕР Кристиан (DE), ЛЕР Штефан (DE), ШАЛЛЬНЕР Отто (DE), ДРЕВЕС Марк Вильхельм (DE), ДАМЕН Петер (DE), ФОЙХТ Дитер (DE), ПОНТЦЕН Рольф (DE)
(73) Патентообладатель(и):
Байер КропСайенс АГ (DE)
|
(54) ЗАМЕЩЕННЫЕ БЕНЗОИЛПИРАЗОЛЫ И ГЕРБИЦИДНОЕ СРЕДСТВО НА ИХ ОСНОВЕ
(57) Реферат:
Описываются замещенные бензоилпиразолы общей формулы (I)

в которой Q – О, R1 – алкил с 1-6 атомами углерода, R2 – водород, R3, R4 независимо друг от друга означают водород, галоген, алкил с 1-4 атомами углерода, замещенный галогеном, R5 – водород, алкил с 1-6 атомами углерода, Y – водород, Z – алкоксиамино с 1-6 атомами углерода, алкиламино с 1-6 атомами углерода, замещенный алкокси с 1-4 атомами углерода, N-алкил-алкоксиамино с 1-4 атомами углерода, фенил, замещенный галогеном, моноциклический гетероциклил, гетероциклиламино, группа-N=(гетероциклил) из ряда фурила, тетрагидрофурилметиламино пирролидинила, пирролидиниламино, 2-оксо-1,3-диазациклопентила, изоксазолила, дигидроизоксазолила (изоксазолинила), тетрагидроизоксазолила (изоксазолидинила), тетрагидро-(2Н)-1,2-оксазин-2-ила, дигидротиазолила (тиазолинила), оксадиазолиламино, тиадиазолиламино, пиперидинила, пиперидиниламино, 2-оксо-1,3-диазациклогексила, морфолинила, морфолиниламина, соответственно, при необходимости замещенный алкилом с 1-4 атомами углерода, галогеналкилом с 1-4 атомами углерода, циклоалкилом с 3-6 атомами углерода, включая их все возможные таутомерные формы и возможные соли. Также описывается гербицидное средство на основе указанных соединений. Технический результат – соединения обладают гербицидной активностью. 2 н. и 2 з.п. ф-лы, 5 табл.
Изобретение относится к новым азотсодержащим гетероциклическим соединениям, обладающим биологической активностью, более конкретно к замещенным бензоилпиразолам и гербицидному средству на их основе.
Уже известно, что определенные замещенные бензоилпиразолы, такие как соединения N-[2,6-дихлор-3-[(5-гидрокси-1-метил-1Н-пиразол-4-ил)-карбонил]-фенил]-ацетамид, сложный метиловый эфир [2,6-дихлор-3-[(5-гидрокси-1-метил-1Н-пиразол-4-ил)-карбонил]-фенил]-карбаминовой кислоты, N -[2,6-дихлор-3-[(5-гидрокси-1-метил-1Н-пиразол-4-ил)-карбонил]-фенил]-N,Н-диэтил-мочевина, сложный метиловый эфир [2-хлор-3-[(5-гидрокси-1-метил-1Н-пиразол-4-ил)-карбонил]-6-метил-сульфонил-фенил]-карбаминовой кислоты, N -[2-хлор-3-[(5-гидрокси-1-метил-1Н-пиразол-4-ил)-карбонил]-6-метилсульфонил-фенил]-N,N-диэтил-мочевина, N-[3-[(1-этил-5-гидрокси-1Н-пиразол-4-ил)-карбонил]-2-метил-6-метилсульфонил-фенил]-ацетамид, N-[3-[(5-гидрокси-1-метил-1Н-пиразол-4-ил)-карбонил]-2-метил-6-метилсульфонил-фенил]-пропанамид, N-[3-[(5-гидрокси-1-метил-1Н-пиразол-4-ил)-карбонил]-2-метил-6-метилсульфонил-фенил]-ацетамид, N -[2-хлор-3-[(1-этил-5-гидрокси-1Н-пиразол-4-ил)-карбонил]-6-метилсульфонил-фенил]-N,N-диэтил-мочевина, N-[3-[(5-гидрокси-1-метил-1Н-пиразол-4-ил)-карбонил]-2-метил-6-метилсульфонил-фенил]-формамид, сложный метиловый эфир [3-[(5-гидрокси-1-метил-1Н-пиразол-4-ил)-карбонил]-2-метил-6-метилсульфонил-фенил]-карбаминовой кислоты, N-[2-хлор-3-[(1-этил-5-гидрокси-1Н-пиразол-4-ил)-карбонил]-6-метилсульфонил- фенил]-ацетамид, N-[2-хлор-3-[(5-гидрокси-1-метил-1Н-пиразол-4-ил)-карбонил]-6-метилсульфонил-фенил]-ацетамид, N-[3-[(5-гидрокси-1-метил-1Н-пиразол-4-ил)-карбонил]-2-метил-6-метилсульфонил-фенил]-2,2,2-три-фторацетамид, N-[3-[(1-этил-5-гидрокси-1Н-пиразол-4-ил)-карбонил]-2-метил-6-метилсульфонил-фенил]-2,2,2-трифтор-ацетамид, N-[3-[(5-гидрокси-1-метил-1Н-пиразол-4-ил)-карбонил]-2-метил-6-метилсульфонил-фенил]-N-метил-формамид, сложный метиловый эфир N-[2-хлор-3-[(5-гидрокси-1-метил-1Н-пиразол-4-ил)-карбонил]-6-метилсульфонил-фенил]-N-метил-карбаминовой кислоты, N-[2-хлор-3-[(5-гидрокси-1-метил-1Н-пиразол-4-ил)-карбонил]-6-метилсульфонил-фенил]-N,N -диэтил-N-метил-мочевина и сложный метиловый эфир N-[2,6-дихлор-3-[(5-гидрокси-1-метил-1Н-пиразол-4-ил)-карбонил]-фенил]-N-метил-карбаминовой кислоты (смотри японскую заявку на патент JP-A-11292849 в Chem. Abstracts 131:286507), обладают гербицидными свойствами (также смотри европейскую заявку на патент ЕР-А-352543, патент США US-A-5846907, международные заявки на патент WO-A-96/26206, WO-A-97/41105, WO-A-97/41116, WO-A-97/41117, WO-A-97/41118, WO-A-97/46530, WO-A-98/28981, W0-A-98/31681, WO-A-98/31682, WO-A-99/07697, WO-A-99/10328, W0-A-00/58306).
Задачей изобретения является расширение ассортимента замещенных бензоилпиразолов, обладающих высокой гербицидной активностью без проявления фитотоксичности.
Поставленная задача решается предлагаемыми замещенными бензоил-пиразолами общей формулы (I),

в которой.
Q – О (кислород),
R1 – алкил с 1-6 атомами углерода,
R2 – водород,
R3, R4 независимо друг от друга означают водород, галоген, алкил с 1-4 атомами углерода, замещенный галогеном,
R5 – водород, алкил с 1-6 атомами углерода,
Y – водород,
Z означает алкоксиламино с 1-6 атомами углерода,
замещенный алкокси с 1-4 атомами углерода алкиламино с 1-6 атомами углерода; N-алкил-алкоксиамино с 1-4 атомами углерода, циклоалкиламино с 3-6 атомами углерода, фенил, замещенный галогеном, моноциклический гетероциклил, гетероциклиламино, -N=(гетероциклил) из ряда фурила, тетрагидрофурилметиламино, пирролидинила, пирролидиниламино, 2-оксо-1,3-диазациклопентила, изоксазолила, дигидроизоксазолила (изоксазолинила), тетрагидризоксазолила (изоксазолидинила), тетрагидро-(2Н)-1,2-оксазин-2-ила, дигидротиазолила (тиазолинила), оксадиазолиламино, тиадиазолиламино, пиперидинила, пиперидиниламино, 2-оксо-1,3-диазациклогексила, морфолинила, мор-фолиниламино, соответственно, при необходимости замещенный алкилом с 1-4 атомами углерода, галогеналкилом с 1-4 атомами углерода, циклоалкилом с 3-6 атомами углерода,
включая их все возможные таутомерные формы и возможные соли.
Предпочтительными замещенными бензоилпиразолами формулы (I) являются соединения, у которых
R1 – метил, этил, н- или изо-пропил,
R2 – водород,
R3, R4 независимо друг от друга означают водород, фтор, хлор, бром, дифторметил, трифторметил, дихлорметил, трихлорметил,
R5 – водород, метил, этил, н- или изо-пропил, н- или изо-бутил,
Y – водород,
Z – метоксиамино, этоксиамино, н- или изо-пропоксиамино, N-метилметоксиамино, фенил, замещенный фтором, хлором, бромом, моноциклический гетероциклил, гетероциклиламино, группу -N=(гетероциклил) из ряда фурила, тетрагидрофурилметиламино, пирролидиниламино, 2-оксо-1,3-диаза-циклопентила, изоксазолила, дигидроизоксазолила (изоксазолинила), тетрагидроизоксазолила (изоксазолидинила), дигидротиазолила (тиазолинила), оксадиазолиламино,тиадиазолиламино, пиперидинила, пиперадиниламино, 2-оксо-1,3-диаза-циклогексила, морфолинила, морфолинил-амино, соответственно, при необходимости, замещенный метилом, этилом, н- или изо-пропилом, н-, изо-, втор- или трет-бутилом.
Более предпочтительными замещенными бензоилпиразолами формулы (I) являются соединения, у которых
Q – О (кислород),
R1 – метил, этил, н- или изо-пропил,
R2 – водород,
R3, R4 независимо друг от друга означают водород, фтор, хлор, бром, метил, этил, дифторметил, трифторметил, дихлорметил, трихлорметил,
R5 – водород, метил, этил, н- или изо-пропил,
Y – водород,
Z – метоксиамино, этоксиамино, н- или изо-пропоксиамино, N-метилметоксиамино, фенил, замещенный фтором, хлором, бромом, моноциклический гетероциклил, гетероциклиламино, группу-N=(гетероциклил) из ряда фурила, тетрагидрофурилметиламино, 2-оксо-1,3-диаза-циклопентила, изоксазолила, дигидроизоксазолила (изоксазолинила), тетрагидроизоксазолила (изоксазолидинила), дигидротиазолила (тиазолинила), пиперидинила, пиперидиниламино, 2-оксо-1,3-диаза-циклогексила, морфолинила, морфолиниламино, соответственно, при необходимости, замещенный метилом, этилом, н- или изо-пропилом, н-, изо-, втор- или трет-бутилом.
Замещенные бензоилпиразолы формулы (I) относятся к категории малотоксичных веществ.
Новые замещенные бензоилпиразолы общей формулы (I) можно получать за счет того, что
(а) пиразолы общей формулы (II)

в которой
R1, R2 и Y имеют указаные выше значения,
подвергают взаимодействию с замещенными бензойными кислотами общей формулы (III),

в которой
Q, R3, R4, R5 и Z имеют указаные выше значения,
– или с их реакционноспособными производными, такими как, например, соответствующие галогениды кислот, ангидриды кислот, цианиды кислот или сложные эфиры,
при необходимости, в присутствии дегидратирующего агента, при необходимости, в присутствии одной или нескольких вспомогательных добавок и, при необходимости, в присутствии одного или нескольких разбавителей, или
(b) замещенные бензоилпиразолы общей формулы (Ia)

в которой
Q, R1, R2, R3, R4, R5 и Z имеют указаные выше значения,
подвергают взаимодействию с соединениями общей формулы (IV)

в которой
Y имеет указаные выше значения, исключая водород, и
X означает галоген,
– или, при необходимости, с соответствующими ангидридами кислот, изоцианатами или изотиоцианатами,
при необходимости, в присутствии одной или нескольких вспомогательных добавок и, при необходимости, в присутствии одного или нескольких разбавителей,
и, при необходимости, полученные согласно а) или б) соединения формулы (I) в рамках определений заместителей подвергают электрофильным или нуклеофильным реакциям замещения или реакциям окисления или восстановления известными приемами или соединения формулы (I) обычным способом переводят в соли.
Новые замещенные бензоилпиразолы общей формулы (I) могут быть принципиально получены так же, как показано на следующей схеме:
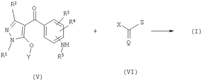
(с) взаимодействием аминобензоилпиразолов общей формулы (V) с соединениями галоген(тио)карбонила общей формулы (VI) или, при необходимости, с соответствующими изо(тио)цианатами (причем Q, R1, R2, R3, R4, R5, Y и Z имеют указаные выше значения, X означает галоген):

(d) взаимодействием изо(тио)цианатобензоилпиразолов общей формулы (VII) с нуклеофильными соединениями общей формулы (VIII) (причем Q, R1, R2, R3, R4, Y и Z имеют указаные выше значения):

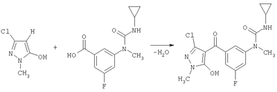
Если использовать, например, 3-хлор-5-гидрокси-1-метил-пиразол и 3-[(ци-лопропиламинокарбонил)-(метиламино)]-5-фтор-бензойной кислоты в качестве исходных веществ, то проведение реакции согласно способу (а) можно описать следующей формульной схемой:
Если использовать, например, 2-метокси-этилового эфира N-[3-хлор-4-[(1-этил-5-гидрокси-1Н-пиразол-4-ил)-карбонил]-фенил]-N-этил-карбаминовой кислоты и хлорида бензоила в качестве исходных веществ, то проведение реакции согласно способу (b) можно описать следующей формульной схемой:

Исходные соединения общей формулы (II) известны и/или могут быть получены известными методами (смотри европейскую заявку на патент ЕР-А-240 001).
Исходные соединения общей формулы (III) известны и/или могут быть получены известными методами (смотри заявку на патент Японии JP-A-112 92 849 и примеры получения).
Замещенные бензойные кислоты общей формулы (III) получают, если сложные эфиры бензойных кислот общей формулы (IIIa),

в которой
Q, R3, R4, R5 и Z имеют указаные выше значения и
R означает алкил, в частности метил или этил,
подвергают взаимодействию с водой, при необходимости, в присутствии вспомогательного агента, такого как, например, гидроксид натрия, и, при необходимости, в присутствии разбавителя, такого как, например, тетра-гидрофуран, при температурах между 0°С и 100°С (смотри примеры получения).
Необходимые в качестве предпродуктов сложные эфиры бензойных кислот общей формулы (IIIa) известны и/или могут быть получены известными способами (смотри заявку на патент Японии JP-A-112 92 849 и примеры получения).
Сложные эфиры бензойных кислот общей формулы (IIIa) получают, если
( ) сложные эфиры аминобензойных кислот общей формулы (IX)

в которой
Q, R3, R4, R5 и Z имеют указанные выше значения и
R означает алкил, в частности метил или этил, подвергают взаимодействию с соединениями галоген(тио)карбонила общей формулы (VI)

в которой
Q и Z имеют указанные выше значения и
X означает галоген, в частности фтор, хлор или бром,
– или, при необходимости, с соответствующими изо(тио)цианатами,
при необходимости, в присутствии акцептора кислоты, такого как, например, карбонат калия или триэтиламин, и, при необходимости, в присутствии разбавителя, такого как, например метилизобутилкетон или ацетонитрил, при температурах между 0°С и 100°С (смотри примеры получения),
или если ( ) сложные эфиры изо(тио)цианатобензойных кислот общей формулы (X)

в которой
Q, R3 и R4 имеют указанные выше значения и
R означает алкил, в частности метил или этил,
подвергают взаимодействию с нуклеофильными соединениями общей формулы (VIII)

в которой
Z имеет указанные выше значения,
при необходимости, в присутствии вспомогательного вещества, такого как, например, триэтиламин, и, при необходимости, в присутствии разбавителя, такого как, например, ацетонитрил или толуол, при температурах между 10°С и 120°С (смотри примеры получения).
Исходные соединения общей формулы (IV) являются известными химикатами для синтеза.
Исходные соединения общей формулы (VI) являются известными органическими соединениями. Исходные соединения общей формулы (V) могут быть получены известным способом.
Исходные соединения общей формулы (VIII) являются известными химикатами для синтеза. Исходные соединения общей формулы (VII) могут быть получены известным способом.
Исходные соединения общей формулы (X) могут быть получены известным способом.
Способ (а) для получения новых замещенных бензоилпиразолов общей формулы (I), при необходимости, проводят предпочтительно с использованием дегидратирующего агента. Причем возможно использование обычных химикатов, подходящих для превращения с водой.
Подходящими дегидратирующими агентами являются, например, дициклогексилкарбодиимид, ангидрид пропанфосфоновой кислоты и карбонил-бис-имидазол.
Особенно подходящим дегидратирующим агентом является дициклогексилкарбодиимид и ангидрид пропанфосфоновой кислоты.
Способ (а) получения новых замещенных бензоилпиразолов общей формулы (I), при необходимости, проводят с использованием вспомогательной добавки.
Подходящими вспомогательными добавками являются, например, цианид натрия, цианид калия, ацетонциангидрин, 2-циано-2-(триметилсилилокси)-пропан и триметилсилилцианид.
Особенно подходящей вспомогательной добавкой является триметилсилилцианид.
Способы (а) и (b) проводят предпочтительно с использованием одной или нескольких реакционных вспомогательных добавок. В качестве реакционной вспомогательной добавки для предложенных согласно изобретению способов (а) и (b) в общем используют обычные неорганические или органические основания или кислотные акцепторы. К ним относятся предпочтительно ацетаты щелочных или щелочноземельных металлов, амиды щелочных или щелочноземельных металлов, карбонаты щелочных или щелочноземельных металлов, гидрокарбонаты щелочных или щелочноземельных металлов, гидриды щелочных или щелочноземельных металлов, гидроксиды щелочных или щелочноземельных металлов или алканоляты щелочных или щелочноземельных металлов, такие как, например, ацетат натрия, калия или кальция, амид лития, натрия, калия или кальция, карбонат натрия, калия или кальция, гидрокарбонат натрия, калия или кальция, гидрид лития, натрия, калия или кальция, гидроксид лития, натрия, калия или кальция, метанолат натрия или калия, этанолат натрия или калия, н-или изо-пропанолат натрия или кальция, н-, -изо-, -втор- или -трет-бутанолат натрия или кальция; кроме того, также основные органические соединения азота, например, такие как триметиламин, триэтиламин, три-пропиламин, трибутиламин, этил-диизопропиламин, N,N-диметил-цикло-гексиламин, дициклогексиламин, этил-дициклогексиламин, N,N-диметил-анилин, N,N-диметил-бензиламин, пиридин, 2-метил-пиридин, 3-метил-пиридин, 4-метил-пиридин, 2,4-диметил-пиридин, 2,6-диметил-пиридин, 3,4-диметил-пиридин и 3,5-диметил-пиридин, 5-этил-2-метил-пиридин, 4-диметиламино-пиридин, N-метил-пиперидин, N-этил-пиперидин, N-метил-морфолин, N-этил-морфолин, 1,4-диазабицикло[2,2,2]-октан (DABCO), 1,5-диазабицикло[4,3,0]-нон-5-ен (DBN), или 1,8-диазабицикло[5,4,0]-ундек-7-ен (DBU).
В качестве вспомогательных добавок для способов (а) и (b) также используют межфазные катализаторы. Такими катализаторами, например, являются:
бромид тетрабутиламмония, хлорид тетрабутиламмония, хлорид тетра-октиламмония, гидросульфат тетрабутиламмония, хлорид метил-триоктил-аммония, хлорид гексадецил-триметиламмония, бромид гексадецил-три-метиламмония, хлорид бензил-триметиламмония, хлорид бензил-триэтил-аммония, гидроксид бензил-триметиламмония, гидроксид бензил-триэтил-аммония, хлорид бензил-трибутиламмония, бромид бензил-трибутиламмония, бромид тетрабутилфосфония, хлорид тетрабутилфосфония, бромид трибутил-гексадецилфосфония, хлорид бутил-трифенилфосфония, бромид этил-триоктилфосфония, бромид тетрафенилфосфония.
Способы получения соединений общей формулы (I) предпочтительно проводят в среде одного или нескольких разбавителей. Кроме воды в качестве разбавителей используют прежде всего инертные органические растворители. К ним относятся, в частности, алифатические, ациклические или ароматические, при необходимости, галогенированные углеводороды, например, такие как бензин, бензол, толуол, ксилол, хлорбензол, дихлорбензол, петролейный эфир, гексан, циклогексан, дихлорметан, хлороформ, тетрахлорметан; простые эфиры, такие как диэтиловый эфир, диизопропиловый эфир, диоксан, тетрагидрофуран или этиленгликольдиметиловый эфир или этиленгликольдиэтиловый эфир; кетоны, такие как ацетон, бутанон или метил-изобутил-кетон; нитрилы, например ацетонитрил, пропионитрил или бутиронитрил; амиды, такие как N,N-диметилформамид, N,N-диметилацетамид, N-метил-форманилид, N-метил-пирролидон или триамид гексаметилфосфорной кислоты; сложные эфиры, такие как метиловый эфир уксусной кислоты или этиловый эфир уксусной кислоты; сульфоксиды, такие как диметилсульфоксид; спирты, такие как метанол, этанол, н- или изо-пропанол, простой этиленгликольмонометиловый эфир, простой этиленгликольмоноэтиловый эфир, простой диэтиленгликольмонометиловый эфир, простой диэтиленгликольмоноэтиловый эфир, их смеси с водой или чистая вода.
При проведении способов (а) и (b) реакционная температура может варьироваться в широких пределах. Как правило, работают при температурах между 0°С и 150°С, предпочтительно между 10°С и 120°С.
Способы (а) и (b) проводят обычно при нормальном давлении. Однако также возможно проведение способов при повышенном или пониженном давлении (обычно между 0,1 бар и 10 бар).
При проведении способов (а) и (b) исходные вещества обычно используют в приблизительно эквимолярных количествах. Однако также возможно использование одного из компонентов в большем избытке. Превращение обычно проводят в подходящем разбавителе в присутствии вспомогательной добавки и реакционную смесь перемешивают обычно в течение нескольких часов при необходимой температуре. Превращение проводят обычными методами (смотри примеры получения).
Замещенные бензоилпиразолы формулы (I) могут быть использованы в качестве дефолиантов, десикантов, агентов подавления роста трав и, в частности, в качестве агентов для уничтожения сорняков. Под сорняками понимают все растения, которые вырастают в тех местах, где они являются нежелательными. Тотальное или селективное гербицидное действие замещенных бензоилпиразолов формулы (I) обычно зависит от их нормы расхода. Они могут быть использованы, например, для борьбы со следующими растениями.
Двудольные сорняки видов: Abutilon (абутилон), Amaranthus (амарант), Ambrosia (амброзия), Anoda, Anthemis (пупавка), Aphanes, Atriplex (лебеда), Bellis (маргаритка), Bidens (череда), Capsella (пастушья сумка), Carduus (чертополох), Cassia (кассия), Centaurea (василек), Chenopodium (марь), Cirsium (бодяк), Convolvulus (вьюнок), Datura (дурман), Desmodium, Emex, Erysimum (желтушник), Euphorbia (молочай), Galeopsis, Galinsoga (галинзога), Galium (подмаренник), Hibiscus (гибискус), Ipomoea (ипомея), Kochia (кохия), Lamium (яснотка), Lepidium (клоповник), Lindernia, Matricaria (матрикария), Mentha (мята), Mercurialis (пролесник), Mullugo, Myosolis (незабудка), Paraver (мак), Pharbilis, Plantago (подорожник), Polygonum (горец), Portulaca (портулак), Ranunculus (лютик), Raphanus (редька), Rorippa, Rotala, Rumex (щавель), Salsola (солянка), Senecio (крестовник), Sesbania (сесбания), Sida (сида), Sinapis (горчица), Solanum (паслен), Sonchus (осот), Spenoclea, Stellaria (звездчатка), Taraxacum (одуванчик), Thlaspi, Trifolium (клевер), Urtica (крапива), Veronica (вероника), Viola (фиалка), Xanthium (дурнишник).
Двудольные культурные растения видов: Arachis (арахис), Beta (свекла), Brassica (капуста), Cucumis (огурец), Cucurbita (тыква), Helianyhus (подсолнечник), Daucus (морковь), Glycine (соя), Gossypium (хлопчатник), Ipomoea (ипомея), Lactuca (латук), Linum (лен), Lycopersicon (томат), Nicotiana (табак), Phaseolus (фасоль), Pisum (горох), Solanum (паслен), Vicia (вика).
Однодольные сорняки видов: Aegilops (эгилопс), Agropyron (житняк), Agrostis (полевица), Alopecurus (лисохвост), Apera, Avena (овес), Brachiaria, Bromus (костер), Cenchrus, Commelina (коммелина), Cynodon (свинорой), Cyperus (сыть), Dactyloctenium, Digitaria (росичка), Echinochloa (ежовник), Eleocharis (болотница), Eleusine (элевсина), Eragrostis (полевичка), Eriochloa, Festuca (овсяница), Fimbristylis, Heteranthera, Imperata, Ischaemum, Leptochloa, Lolium (плевел), Monochoria, Panicum (просо), Paspalum (гречка), Phalaris (канареечник), Phleum (тимофеевка), Роа (мятлик), Rottboellia, Sagittaria (стрелолист), Scirpus (камыш), Setaria (щетинник), Sorghum (сорго).
Однодольные культурные растения видов: Allium (лук), Ananas (ананас), Asparagus (спаржа), Avena (овес), Hordeum (ячмень), Oryza (рис), Panicum (просо), Saccharum (сахарный тростник), Secale (рожь), Sorghum (сорго), Triticale (тритикале), Triticum (пшеница), Zea (кукуруза).
Применение замещенных бензоилпиразолов фомулы (I), предложенные согласно изобретению активные вещества никоим образом не ограничиваются данными видами, а также равным образом распространяются на другие растения.
Предложенные согласно изобретению активные вещества в зависимости от концентрации являются подходящими для полного уничтожения сорняков, например, на промышленном оборудовании и рельсовых путях и на дорогах и площадях с ростом или без роста деревьев. Также возможно применение предложенных согласно изобретению активных веществ для борьбы с сорняками в многолетних культурах, например, при посадке древесных, декоративных, плодовых, винных, цитрусовых, ореховых, банановых, кофейных, чайных, каучуковых, масло-пальмовых, какао, фруктово-ягодных и хмелевых культур, на декоративных газонах и спортивных площадках и на пастбищах, а также для селективной борьбы с сорняками в однолетних культурах.
Предложенные согласно изобретению активные вещества демонстрируют сильную гербицидную активность и широкий спектр действия при обработке почвы и зеленых частей растений над поверхностью земли. Они являются также особенно подходящими для селективной борьбы с однодольными и двудольными сорняками в однодольных и двудольных культурах, при обработке как перед всходом, так и после всхода растений.
Предложенные согласно изобретению активные вещества в определенной концентрации или норме расхода также могут быть использованы для борьбы с вредными животными и грибковыми или бактериальными заболеваниями растений. Данные активные вещества, при необходимости, также могут быть использованы в качестве промежуточных или полупродуктов для синтеза других активных веществ.
Согласно изобретению могут быть обработаны все растения и части растений. Причем под растениями понимают все растения и популяции растений, такие как желательные и не желательные дикорастущие или культурные растения (включая, культурные растения естественного происхождения). Культурными растениями могут являться растения, получение которых возможно условными методами разведения и оптимизации или биотехнологическими и генотехнологическими методами или комбинациями таких методов, включая трансгенные растения и сорта растений, защищенные или не защищенные охранными документами. Под частями растений понимают все поверхностные и подземные части и органы растений, такие как побеги, листья, цветки и корни, причем в качестве примеров приводят листья, иглы, стебли, стволы, цветы, плодовые тела, плоды и семена, а также корни, клубни и корневища. Частями растений также является растениеводческая продукция, а также вегетативные и генеративные материалы размножения, например черенки, клубни, корневища, горизонтальные отводки и семена.
Предложенную согласно изобретению обработку растений и частей растений активными веществами проводят непосредственно или воздействием на их окружающую среду, среду обитания или закрытое хранилище обычными методами обработки, например окунанием, опрыскиванием, испарением, распылением, рассеиванием, намазыванием, а при обработке материалов размножения, в частности при обработке семян, также однослойным или многослойным окутыванием.
Активные вещества можно переводить в обычные препаративные формы, такие как растворы, эмульсии, смачивающиеся порошки, суспензии, порошки, опыляющие агенты, пасты, растворимые порошки, грануляты, концентраты эмульсии и суспензии, природные и синтетические вещества, пропитанные активным веществом, а также микрокапсулированные в полимерных капсулах формы.
Такие препаративные формы получают известным способом, например смешиванием активных веществ с разбавителями, например жидкими растворителями, и/или твердыми носителями, при необходимости, с использованием поверхностно-активных веществ, например эмульгаторов, и/или диспергаторов, и/или пенообразователей.
Если в качестве разбавителя используют воду, то в качестве вспомогательных растворителей также можно использовать, например, органические растворители. В качестве жидких растворителей используют ароматические соединения, например, такие как ксилол, толуол или алкилнафталин, хлорированные ароматические соединения и хлорированные алифатические углеводороды, такие как хлорбензол, хлорэтилен или метиленхлорид, алифатические углеводороды, такие как циклогексан или парафины, например нефтяные фракции, минеральные и растительные масла, спирты, такие как бутанол или гликоль, а также их простые и сложные эфиры, кетоны, такие как ацетон, метилэтилкетон, метилизобутилкетон или циклогексанон, сильно полярные растворители, такие как диметилформамид и диметилсульфоксид, а также вода.
В качестве твердых носителей используют, например, соли аммония и природные пылевидные кремнеземы, такие как каолины, глинозем, тальк, мел, кварц, аттапульгит, монтмориллонит или диатомовая земля, и синтетические пылевидные кремнеземы, такие как высокодисперсная кремневая кислота, оксид алюминия и силикаты; в качестве носителей для гранулятов используют, например, дробленные и фракционированные природные горные породы, такие как кальцит, мрамор, пемза, сепиолит, доломит, а также искусственные грануляты из неорганических и органических порошкообразных веществ, а также грануляты из органических материалов, например, таких как древесные опилки, скорлупа кокосовых орехов, кукурузные початки и стебли табака; в качестве эмульгатора и/или пенообразователя используют, например, неионогенные и анионные эмульгаторы, такие как сложные эфиры полиоксиэтилированных жирных кислот, простые эфиры полиоксиэтилированных жирных спиртов, например простой алкиларилполигликолевый эфир, алкилсульфонат, алкилсульфат, арилсульфонат, а также гидролизаты белков; в качестве диспергаторов используют, например, отработанный лигнин-сульфатный щелок и метил-целлюлозу.
Препаративные формы могут содержать связывающие агенты, как карбоксиметилцеллюлоза, порошкообразные, зернистые и латексообразные натуральные и синтетические полимеры, как гуммиарабик, поливиниловый спирт, поливинилацетат, а также природные фосфолипиды, например кефалин и лецитин, и синтетические фосфолипиды. Другими добавками могут быть минеральные и растительные масла.
Возможно использование красителей, таких как неорганические пигменты, например оксид железа, оксид титана, берлинская лазурь, и органические красители, например ализариновые красители, азокрасители и металлфталоцианиновые красители, и микроэлементы в качестве питательных веществ, как соли железа, марганца, бора, меди, кобальта, молибдена и цинка.
Препаративные формы содержат в общем между 0,1 и 95 мас.%, предпочтительно между 0,5 и 90 мас.%, активного вещества.
Предложенные согласно изобретению активные вещества могут быть использованы для борьбы с сорняками как таковые или в своих препаративных формах также в смеси с известными гербицидами и/или веществами, которые улучшают совместимость с культурными растениями (защитные вещества), причем возможно использование готовых препаративных форм или смесей в резервуаре. Также возможны смеси с агентами для борьбы с сорняками, которые содержат один или несколько известных гербицидов и защитных веществ.
Для смешивания используют известные гербициды, например ацетохлор, ацифторфен(-натрий), аклонифен, алахлор, аллоксидим(-натрий), аметрин, амикарбазон, амидохлор, амидосульфурон, анилофос, асулам, атразин, азафенидин, азимсульфурон, бефлюбутамид, беназолин(-этил), бенфурезат, бенсульфурон(-метил), бентазон, бензфендизон, бензобициклон, бензофенап, бензоилпроп(-этил), биалафос, бифенокс, биспирибак(-натрий), бромобутид, бромофеноксим, бромоксинил, бутахлор, бутафенацил (-аллил), бутроксидим, бутилат, кафенстрол, калоксидим, карбетамид, карфентразон (-этил), хлометоксифен, хлорамбен, хлоридазон, хлоримурон(-этил), хлорнитрофен, хлорсульфурон, хлортолурон, кинидон(-этил), кинметилин, киносульфурон, клефоксидим, клетодим, клодинафоп(-пропаргил), кломазон, кломепроп, клопиралид, клопирасульфурон(-метил), клорансулам(-метил), кумилурон, цианазин, цибутрин, циклоат, циклосульфамурон, циклоксидим, цигалофоп(-бутил), 2,4-D, 2,4-DB, десмедифам, диаллат, дикамба, дихлофоп (-Р), диклофоп(-метил), диклосулам, диэтатил(-этил), дифензокуат, дифлюфеникам, дифлюфензопир, димефурон, димепиперат, диметахлор, диметаметрин, диметенамид, димексифлам, динитрамин, дифенамид, дикуат, дитиопир, диурон, димрон, эпопродан, ЕРТС, эспрокарб, эталфлюралин, этаметсульфурон(-метил), этофумезат, этоксифен, этоксисульфурон, этобензанид, феноксапроп(-Р-этил), фентразамид, флампроп(-изопропил, -изопропил-L, -метил), флазасульфурон, флорасулам, флюазифоп(-Р-бутил), флюазолат, флюкарбазон (-натрий), флюфенацет, флюметсулам, флюмиклорак(-пентил), флюмиоксазин, флюмипропин, флюметсулам, флюометурон, фторхлоридон, фторгликофен(-этил), флюпоксам, флюпропацил, флюрпирсульфурон(-метил, -натрий), флюренол(-бутил), флюридон, флюроксипир(-бутоксипропил, -мептил), флюрпримидол, флюртамон, флютиацет(-метил), флютиамид, фомезафен, форамсульфурон, глюфозинаты(-аммоний), глифозат(-изопропиламмоний), галосафен, галоксифоп(-этоксиэтил, -Р-метил), гексазинон, имазаметабенц(-метил), имазаметапир, имазамокс, имазапик, имазапир, имазакуин, имазетапир, имазосульсурон, йодосульфурон(-метил, -натрий), йоксинил, изопропалин, изопротурон, изоурон, изоксабен, изоксахлортол, изоксафлютол, изоксапирифоп, лактофен, ленацил, линурон, МСРА, мекопроп, мефенацет, мезотрион, метамитрон, метазахлор, метабензтиазурон, метобензурон, метобромурон, (альфа-)метолахлор, метосулам, метоксурон, метрибуцин, метсульфурон(-метил), молинат, монолинурон, напроанилид, напропамид, небурон, никосульфурон, норфлюразон, орбенкарб, оризалин, оксадиаргил, оксадиазон, оксасульфурон, оксацикломефон, оксифторфен, паракуат, пеларгоновая кислота, пендиметалин, пендралин, пентоксазон, фенмедифам, писолинафен, пиперофос, претилахлор, примисульфурон(-метил), профлюазол, прометрин, пропахлор, пропанил, пропакуизафоп, пропизохлор, пропоксикарбазон(-натрий), пропизамид, просульфокарб, просульфурон, пирафлюфен(-этил), пиразогил, пиразолат, пиразосульфурон(-этил), пиразоксифен, пирибензоксим, пирибутикарб, пиридат, пиридатол, пирифталид, пириминобак(-метил), пиритиобак(-натрий), куинхлорак, куинмерак, куинокламин, куизалофоп(-Р-этил, -Р-тефурил), римсульфурон, сетоксидим, симазин, симетрин, сулкотрион, сульфентразон, сульфометурон-(метил), сульфозат, сульфосульфурон, тебутам, тебутиурон, тепралоксидим, тербутилазин, тербутрин, тенилхлор, тиафлюамид, тиазопир, тидиазимин, тифенсульфурон(-метил), тиобенкарб, тиокарбазил, тралкоксидим, триаллат, триасульфурон, трибенурон(-метил), триклопир, тридифан, трифлюралин, трифлоксисульфурон, трифлюсульфурон(-метил), тритосульфурон.
Кроме того, для смешивания также применяют защитные вещества, например
AD-67, BAS-145138 беноксакор, клокуиноцет (-мексил), циометринил, 2,4-D, DKA-24, дихлормид, димрон, фенклорим, фенхлоразол (-этил), флюразол, флюксофеним, фурилазол, изоксадифен (-этил), МСРА, мекопроп (-Р), мефенпир (-диэтил), MG-191, оксабетринил, PPG-1292, R-29148.
Также возможно смешивание с другими активными веществами, такими как фунгициды, инсектициды, акарициды, нематициды, защитные вещества от поклева птицами, питательные вещества и агенты для улучшения структуры почвы.
Активные вещества могут применяться как таковые, в виде своих препаративных форм или приготовленных из них посредством следующего разбавления форм, например, таких как готовые к использованию растворы, суспензии, эмульсии, порошки, пасты и грануляты. Введение активных веществ проводят обычным способом, например путем полива, опрыскивания, распыления, рассыпания.
Предложенные согласно изобретению активные вещества можно вводить как перед всходом, так и после всхода растений. Также активные вещества можно вводить в почву перед посевом.
Используемая норма расхода активного вещества может колебаться в широких пределах. Она в основном зависит от вида желаемого эффекта. Норма расхода, в общем, находится между 1 г и 10 кг активного вещества на гектар земельной площади, предпочтительно между 5 г и 5 кг на га.
Как было уже указано выше, согласно изобретению можно обрабатывать все растения или их части. В предпочтительном варианте осуществления обрабатывают виды и сорта растений, а также их части, выращенные или полученные условными биологическими методами разведения, такими как скрещивание или слияние протопластов. В следующем предпочтительном варианте осуществления обрабатывают трансгенные растения и сорта растений, полученные генотехнологическими методами, при необходимости, в комбинации с условными методами (генетически модифицированные организмы) и их части. Понятие «части» или «части растений» или «органы растений» объяснено выше.
Особенно предпочтительно обрабатывают согласно изобретению растения, соответственно, принятых в торговле или используемых сортов. Под сортами растений понимают растения с определенными свойствами (признаками), которые получают условным разведением, мутагенезом или рекомбинантными методиками ДНК. Это могут быть сорта, биотипы и генотипы.
Благодаря предложенной согласно изобретению обработке в зависимости от видов и сортов растений, их месторасположения и условий роста (почвы, климата, вегетативных периодов, питания) возможны также неожиданные (синергетические) эффекты. Таким образом, возможно снижение норм расхода, и/или расширение спектра действия, и/или усиления действия используемых согласно изобретению веществ и агентов (также в комбинации с другими агрохимическими активными веществами), улучшение роста культурных растений, повышение толерантности культурных растений относительно высоких или низких температур, повышение толерантности культурных растений относительно засухи или содержания солей в воде или почве, повышение интенсивности цветения, облегчение сбора урожая, ускорение созревания, высокий фактический урожай, высокое качество и/или высокая питательность собранного урожая, высокая стойкость при хранении и/или обрабатываемость собранного урожая, которые превышают первоначально ожидаемый эффект.
К предпочтительно согласно изобретению обрабатываемым трансгенным (полученным генотехническими методами) растениям или сортам растений относятся все растения, полученные генотехнологической модификацией генетического материала, которая способствует особенно предпочтительным ценным свойствам (признаками) таких растений. Такими свойствами являются, например, улучшенный рост растений, повышенная толерантность относительно высоких или низких температур, повышенная толерантность относительно засухи или содержания солей в воде или почве, повышенная интенсивность цветения, облегченный сбор урожая, ускоренное созревание, высокий фактический урожай, высокое качество и/или высокая питательность собранного урожая, высокая стойкость при хранении и/или обрабатываемость собранного урожая. Следующими и особенно предпочтительными примерами таких свойств являются высокая защита от животных и микробиологических вредителей, таких как насекомые, клещи, фитопатогенные грибки, бактерии и/или вирусы, а также высокая толерантность растений относительно определенных гербицидных активных веществ. Трансгенными растениями являются, например, важные культурные растения, такие как зерновые культуры (пшеница, рис), кукуруза, соя, картофель, хлопок, рапс, а также овощные культуры (вместе с фруктами, яблоками, груши, цитрусовыми культурами и виноградом), причем особенно предпочтительно выделяют кукурузу, сою, картофель, хлопок и рапс. В качестве свойств (признаков) особенно предпочтительными являются высокая защита растений от насекомых благодаря возникшим в растениях токсинам, в частности таким, которые образуются в растениях (в дальнейшем «Bt растения») с помощью генетического материала из Bacillus thuringiensis (например, генов CryIA(a), CryIA(b), CryIA(c), CryIIA, CryIIIA, CryIIIB2, Cry9c, Cry2Ab, Сгу3Вb и CryIF, а также их комбинаций). В качестве свойств (признаков) особенно выделяются высокая защита растений от грибков, бактерий и вирусов благодаря системно приобретенной стойкости (SAR), системину, фитоалексину, элициторам, а также генам резистентности и соответствующим экспериментальным протеинам и токсинам. Кроме того, в качестве свойств (признаков) особенно выделяются высокая толерантность растений относительно определенных гербицидных активных веществ, например имидазолина, сульфонилмочевин, глифозата или фосфинотрицина (например, «ПАТ-ген»). Гены, обладающие, соответственно, необходимыми свойствами (признаками), также могут существовать в трансгенных растениях в комбинациях друг с другом. «Bt растениями» являются, например, сорта кукурузы, хлопка, сои и картофеля, которые продаются под торговыми названиями YIELD GARD® (например, кукуруза, хлопок, соя), KnockOut® (например, кукуруза), StarLink® (например, кукуруза), Bollgard® (хлопок), Nucotn® (хлопок) и NewLeaf® (картофель). Растениями, толерантными к гербицидам, являются, например, сорта кукурузы, хлопка и сои, которые продаются под торговыми названиями Roundup Ready® (толерантны к глифозату, например кукуруза, хлопок, соя), Liberty Link® (толерантны к фосфинотрицину, например рапс), IMI® (толерантны к имидазолину) и STS® (толерантны к сульфонилмочевинам, например кукуруза). Растениями, стойкими к гербицидам (условно выращенные на основе толерантности к гербицидам), также являются, например, сорта, продаваемые под торговым названием Clearfield® (например, кукуруза). Естественно, вышесказанное также имеет значение для сортов растений с такими или в будущем разработанными генетическими свойствами (признаками), которые будут в будущем выращиваться или поступать в будущем на рынок.
Согласно изобретению указанные растения особенно предпочтительно могут быть обработаны соединениями общей формулы (I) или предложенными согласно изобретению смесями активного вещества, причем дополнительно к хорошему уничтожению сорняков имеет место синергический эффект в трансгенных растениях или сортах растений. Вышеуказанные области предпочтительных значений активных веществ или смесей также используются для обработки таких растений. Особенно выделяется обработка растений специально указанными в данном тексте соединениями или смесями.
Получение и использование предложенных согласно изобретению активных веществ поясняются следующими примерами.
Получение соединений Формулы (I)
Пример 1

Смесь из 2,80 г (8,43 ммоль) 2,4-дихлор-3-[[(3-метил-2-оксо-1-имидазолидинил)-карбонил]-амино]-бензойной кислоты, 0,945 г (8,43 ммоль) 1-этил-5-гидрокси-пиразола, 2,10 г (10,1 ммоль) дициклогексилкарбодиимида и 30 мл ацетонитрила перемешивают в течение 18 часов при комнатной температуре (около 20°С) и затем фильтруют. Фильтрат смешивают с 0,335 г (3,37 ммоль) триметилсилилцианида и 1,70 г (16,9 ммоль) триэтиламина, смесь перемешивают в течение 18 часов при комнатной температуре и затем концентрируют при пониженном давлении. Остаток перемешивают с 10%-ным водным раствором карбоната натрия и затем взбалтывают с простым диэтиловым эфиром. После отделения (и удаления) органической фазы водный раствор подкисляют концентрированной соляной кислотой и выпавший при этом кристаллический продукт изолируют вытяжкой.
Получают 1,60 г (32,5% от теоретического) 1N-[2,6-дихлор-3-[(1-этил-5-гидрокси-1Н-пиразол-4-ил)-карбонил]-фенил]-3-метил-2-оксо-1-имидазолидинкарбоксамида.
logP (рН 2,3): 1,58.
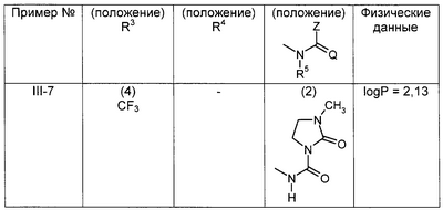
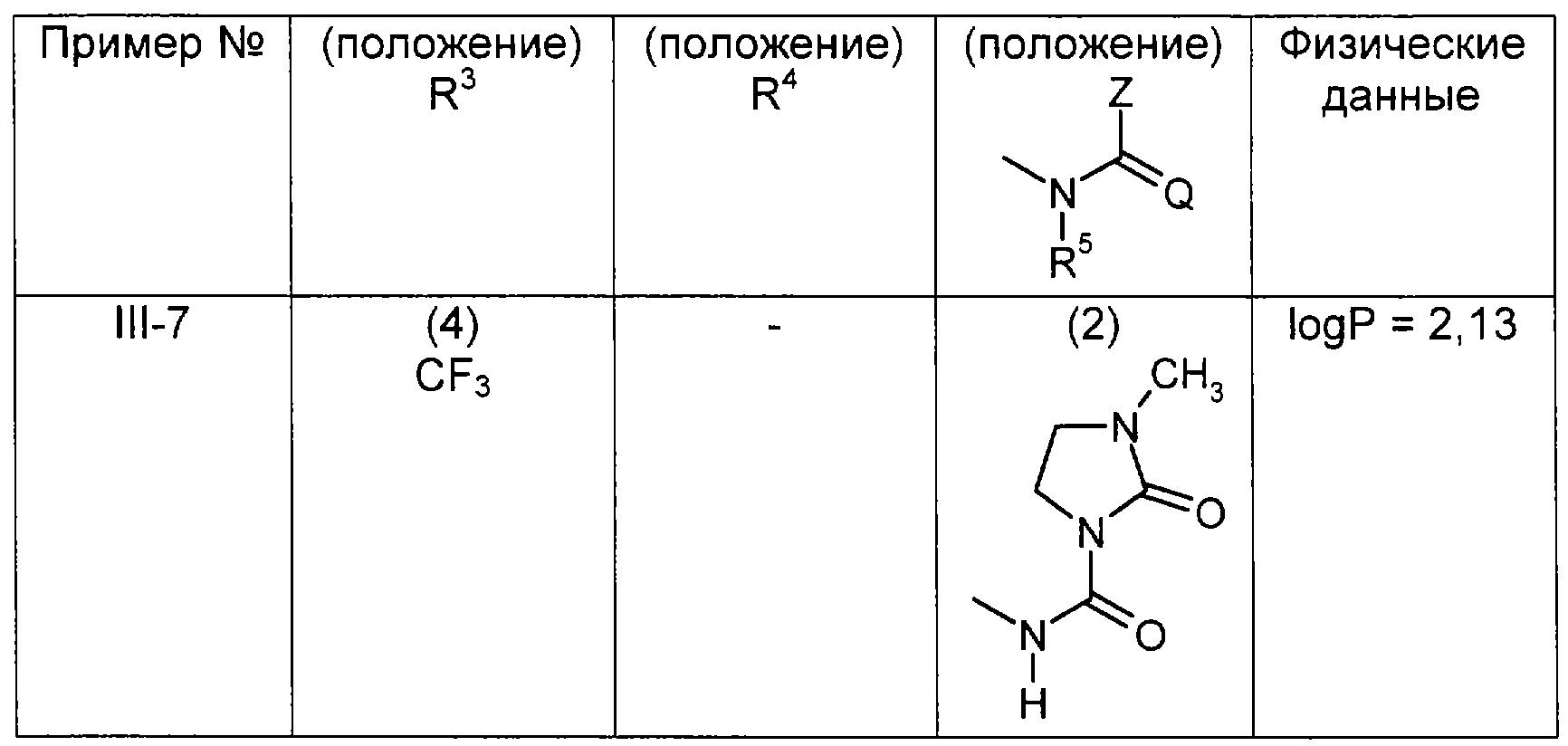
Аналогично примеру 1, а также в соответствии с вышеприведенным общим описанием способа а) также возможно получение, например, приведенных в нижеследующей таблице 1 соединений общей формулы (I-1), (I-2) или (I-3).



     
Определение значений logP, указанных в таблице 1, проводят согласно EEC-Directive 78/831 Annex V.A8 при использовании ВЭЖХ (высокоэффективной жидкостной хроматографии) на колонке с обращением фаз (С 18). Температура: 43°С. Растворители: 0,1% водного раствора фосфорной кислоты, ацетонитрил; линейный градиент от 10% до 90% ацетонитрила.
Эталонирование проводят с использованием неразветвленных алкан-2-онов (с 3-16 атомами углерода), у которых значения logP являются известными (определение значений logP проводят с помощью времени удержания посредством линейной интерполяции между двумя последовательными алканонами).
Получение исходных соединений формулы (III):
Пример (III-1)

Смесь из 11,3 g (32,9 ммоль) сложного метилового эфира 2,4-дихлор-3-[[(3-метил-2-оксо-1-имидазолидинил)-карбонил]-амино]-бензойной кислоты, 50 мл воды, 50 мл тетрагидрофурана и 1,3 г гидроксида натрия перемешивают в течение 18 часов при комнатной температуре (около 20°С) и затем концентрируют при пониженном давлении до около половины объема. Затем смесь взбалтывают с простым диэтиловым эфиром, органическую фазу отделяют (и удаляют) и водную фазу подкисляют концентрированной соляной кислотой. Выпавший при этом кристаллический продукт изолируют вытяжкой.
Получают 9,1 г (81,5% от теоретического) 2,4-дихлор-3-[[(3-метил-2-оксо-1-имидазолидинил)-карбонил]-амино]-бензойной кислоты.
logP (рН 2,3): 1,35.
Аналогично примеру (III-1) также возможно получение, например, приведенных в нижеследующей таблице 2 соединений общей формулы (III)

 
Получение исходных соединений формулы (IIIa):
Пример (IIIa-1)

Смесь из 12,3 г (50 ммоль) сложного метилового эфира 2,4-дихлор-3-изоцианато-бензойной кислоты, 5,0 г (50 ммоль) 1-метил-2-оксо-имидазолидина, несколько капель триэтиламина и 100 мл ацетонитрила перемешивают в течение 18 часов при комнатной температуре (около 20°С) и затем концентрируют при пониженном давлении. Затем остаток дигурируют простым диэтиловым эфиром и кристаллический продукт изолируют вытяжкой.
Получают 11,4 г (60% от теоретического) сложного метилового эфира 2,4-дихлор-3-[[(3-метил-2-оксо-1-имидазолидинил)-карбонил]-амино]-бензойной кислоты.
logP (pH 2,3): 1,94.
Аналогично примеру (IIIa-1) также возможно получение, например, приведенных в нижеследующей таблице 3 соединений общей формулы (IIIa).

 
Биологические примеры
Пример А
Исследование перед всходом растений
Растворитель: 5 мас.% ацетона
Эмульгатор: 1 мас.% простого алкиларилполигликолевого эфира
Для получения необходимой готовой формы активного вещества 1 мас.% активного вещества, указанного в таблице 4, смешивают с указанным количеством растворителя, добавляют указанное количество эмульгатора и концентрат разбавляют водой до желаемой концентрации.
Семена исследуемых растений высеивают в обычную почву. Через 24 часа почву опрыскивают готовой формой активного вещества таким образом, чтобы желаемое количество активного вещества приходилось на единицу площади. Концентрацию активного вещества в рабочем растворе определяют таким образом, чтобы желаемое количество активного вещества находилось в 1000 литрах воды на гектар.
Через три недели проводят анализ степени повреждения растений в % повреждения по сравнению с развитием необработанных контрольных растений. Обозначают:
0% = результат отсутствует (необработанные контрольные образцы)
100% = полное уничтожение сорняков
Результаты исследований сведены в таблице 4.
| Таблица 4 |
| |
Гербицидное действие в % относительно |
|
| Исследуемое соединение примера № |
Норма расхода исследуемого соединения, г/гектар |
ABUTH1) |
AMARE2) |
CHEAL3) |
DATST4) |
GALAP9) |
SOLNI6) |
STEME7) |
VIOAR8) |
Повреждение пшеницы в % |
| 1 |
125 |
100 |
– |
100 |
100 |
– |
– |
100 |
100 |
0 |
| 2 |
125 |
100 |
– |
100 |
– |
– |
100 |
– |
– |
0 |
| 3 |
250 |
100 |
100 |
– |
– |
100 |
100 |
100 |
– |
0 |
| 4 |
500 |
100 |
100 |
– |
– |
– |
– |
– |
– |
0 |
| 5 |
125 |
100 |
– |
100 |
100 |
– |
– |
– |
– |
0 |
| 6 |
250 |
100 |
100 |
100 |
100 |
– |
100 |
100 |
– |
0 |
| 1) ABUTH Abutilon theophrasti |
| 2) CHEAL Chenopodium album |
| 3) SOLNI Solanum nigrum |
| 4) VIOAR Viola arvensis |
| 5) AMARE Amaranthus retroflexus |
| 6) DATST Datura stramonium |
| 7) GALAP Galium aparine |
| 8) STEME Stellaria media |
Пример Б
Исследование после всхода растений:
растворитель: 5 мас.% ацетона
эмульгатор: 1 мас.% простого алкиларилполигликолевого эфира
Для получения необходимой готовой формы активного вещества 1 мас.% активного вещества, указанного в таблице 5, смешивают с указанным количеством растворителя, добавляют указанное количество эмульгатора и концентрат разбавляют водой до желаемой концентрации.
Исследуемые растения высотой 5-15 см опрыскивают готовой формой активного вещества таким образом, чтобы желаемое количество активного вещества приходилось на единицу площади. Концентрацию рабочего раствора определяют таким образом, чтобы желаемое количество активного вещества находилось в 1000 литрах воды на гектар.
Через три недели проводят анализ степени повреждения растений в % повреждения по сравнению с развитием необработанных контрольных растений. Обозначают:
0% = результат отсутствует (необработанные контрольные образцы)
100% = полное уничтожение сорняков
Результаты исследований сведены в таблице 5.
| Таблица 5 |
| |
Гербицидное действие в % относительно |
|
| Исследуемое соединение примера № |
Норма расхода исследуемого соединения, г/гектар |
ABUTH1) |
AMARE2) |
CHEAL3) |
DATST4) |
ECHCG9) |
SOLNI6) |
STEME7) |
VIOAR8) |
Повреждение пшеницы в % |
| 1 |
250 |
95 |
– |
95 |
95 |
– |
– |
95 |
95 |
0 |
| 2 |
125 |
– |
– |
100 |
100 |
– |
100 |
– |
100 |
0 |
| 3 |
250 |
– |
– |
– |
95 |
95 |
95 |
95 |
– |
0 |
| 4 |
125 |
– |
95 |
95 |
95 |
– |
95 |
95 |
– |
0 |
| 1)-8) см. примечания к таблице 4 |
| 9) Echinochloa grus galli |
Если при довсходовой или послевсходовой обработке растений использовать гербицидное средство, содержащее в качестве активного вещества соединения примеров 6-62, то достигаются результаты, аналогичные с результатами, приведенными в таблицах 4, 5.
Примеры конкретных гербицидных средств
Мелкодисперсный порошок (пылеобразное средство)
Мелкодисперсный порошок получают смешением 10 вес. частей соединения общей формулы (I) с 90 вес. частями талька в качестве инертного вещества с последующим измельчением в молотковой мельнице.
Диспергируемый порошок
Легко диспергируемый в воде, увлажняемый порошок получают таким образом, что смешивают 25 весовых частей соединения общей формулы (I), 64 весовые части каолин-содержащего кварца в качестве инертного вещества, 10 весовых частей калиевой соли лигнин-сульфокислоты и 1 вес. часть натриевой соли олеоилметилтауриновой кислоты в качестве смачивателя и диспергирующего средства и размалывают в стержневой мельнице.
Диспергируемый концентрат
Легко диспергируемый в воде концентрат получают таким образом, что смешивают 20 весовых частей соединения общей формулы (I), 6 вес. частей алкилфенолполигликолевого эфира (®Triton X 207), 3 вес. части изотридеканолполигликолевого эфира (8 ЕО) и 71 вес. часть парафинового минерального масла (область кипения, например, приблизительно от 255 до 277°С) и размалывают в шаровой мельнице до степени измельчения менее 5 микрон.
Эмульгируемый концентрат
Эмульгируемый концентрат получают путем смешения 15 вес. частей соединения общей формулы (I) с 75 вес. частями циклогексанона в качестве растворителя и 10 вес. частями оксиэтилированного нонилфенола в качестве эмульгатора.
Диспергируемый в воде гранулят
Диспергируемый в воде гранулят получают таким образом, что смешивают
75 вес. частей соединения общей формулы (I),
10 вес. частей кальциевой соли лигнинсульфокислоты,
5 вес. частей натрий-лаурилсульфата,
3 вес. частей поливинилового спирта и
7 вес. частей каолина
на стержневой мельнице, и полученный порошок гранулируют в вихревом слое с помощью распыления с водой в качестве гранулирующей жидкости.
Формула изобретения
1. Замещенные бензоилпиразолы общей формулы (I)

в которой Q означает О (кислород),
R1 означает алкил с 1-6 атомами углерода,
R2 означает водород,
R3, R4 независимо друг от друга означают водород, галоген; алкил с 1-4 атомами углерода, замещенный галогеном,
R5 означает водород; алкил с 1-6 атомами углерода,
Y означает водород;
Z означает алкоксиламино с 1-6 атомами углерода; замещенный алкокси с 1-4 атомами углерода алкиламино с 1-6 атомами углерода; N-алкил-алкоксиамино с 1-4 атомами углерода; циклоалкиламино с 3-6 атомами углерода; фенил, замещенный галогеном; моноциклический гетероциклил, гетероциклиламино, -N=(гетероциклил) из ряда фурила, тетрагидрофурилметиламино, пирролидинила, пирролидиниламино, 2-оксо-1,3-диазациклопентила, изоксазолила, дигидроизоксазолила (изоксазолинила), тетрагидроизоксазолила (изоксазолидинила), тетрагидро-(2Н)-1,2-оксазин-2-ила, дигидротиазолила (тиазолинила), оксадиазолиламино, тиадиазолиламино, пиперидинила, пиперидиниламино, 2-оксо-1,3-диазациклогексила, морфолинила, морфолиниламино, соответственно при необходимости замещенный алкилом с 1-4 атомами углерода, галогеналкилом с 1-4 атомами углерода, циклоалкилом с 3-6 атомами углерода, включая их все возможные таутомерные формы и возможные соли.
2. Замещенные бензоилпиразолы формулы (I) по п.1, в которой
R1 – метил, этил, н- или изо-пропил,
R2 – водород,
R3, R4 независимо друг от друга означают водород, фтор, хлор, бром, дифторметил, трифторметил, дихлорметил, трихлорметил,
R5 – водород, метил, этил, н- или изопропил, н- или изобутил,
Y – водород,
Z – метоксиамино, этоксиамино, н- или изопропоксиамино, N-метилметоксиамино, фенил, замещенный фтором, хлором, бромом, моноциклическии гетероциклил, гетероциклиламино, группу -N=(гетероциклил) из ряда фурила, тетрагидрофурилметиламино, пирролидиниламино, 2-оксо-1,3-диазациклопентила, изоксазолила, дигидроизоксазолила (изоксазолинила), тетрагидроизоксазолила (изоксазолидинила), дигидротиазолила (тиазолинила), оксадиазолиламино, тиадиазолиламино, пиперидинила, пиперидиниламино, 2-оксо-1,3-диазациклогексила, морфолинила, морфолиниламино, соответственно при необходимости замещенный метилом, этилом, н- или изопропилом, н-, изо-, втор- или трет-бутилом.
3. Замещенные бензоилпиразолы формулы (I) по п.1, в которой
Q – О (кислород),
R1 – метил, этил, н- или изопропил,
R2 – водород,
R3, R4 независимо друг от друга означают водород, фтор, хлор, бром, метил, этил, дифторметил, трифторметил, дихлорметил, трихлорметил,
R5 – водород, метил, этил, н- или изопропил,
Y – водород,
Z – метоксиамино, этоксиамино, н- или изопропоксиамино, N-метилметоксиамино, фенил, замещенный фтором, хлором, бромом, моноциклический гетероциклил, гетероциклиламино, группу -N=(гетероциклил) из ряда фурила, тетрагидрофурилметиламино, 2-оксо-1,3-диазациклопентила, изоксазолила, дигидроизоксазолила (изоксазолинила), тетрагидроизоксазолила (изоксазолидинила), дигидротиазолила (тиазолинила), пиперидинила, пиперидиниламино, 2-оксо-1,3-диаза-циклогексила, морфолинила, морфолиниламино, соответственно при необходимости замещенный метилом, этилом, н- или изопропилом, н-, изо-, втор- или трет-бутилом.
4. Гербицидное средство, отличающееся тем, что содержит соединение по одному из пп.1-3 и обычные добавки.
MM4A – Досрочное прекращение действия патента СССР или патента Российской Федерации на изобретение из-за неуплаты в установленный срок пошлины за поддержание патента в силе
Дата прекращения действия патента: 09.05.2009
Извещение опубликовано: 20.07.2010 БИ: 20/2010
|
|