Патент на изобретение №2301224
|
|||||||||||||||||||||||||||||||||||||||||||||||||||||||||||||||||||||||||||||||||||||||||||||||||||||||||||||||||
(54) ЗАКРЕПИТЕЛЬ В ЗАМАСЛИВАТЕЛЯХ ДЛЯ СТЕКЛОВОЛОКОН И АРОМАТИЧЕСКИХ ПОЛИЭФИРОВ И СПОСОБ ЕГО ПОЛУЧЕНИЯ
(57) Реферат:
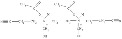
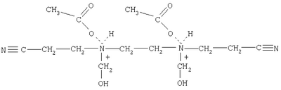
Изобретение относится к новым соединениям формулы которые используются в качестве закрепителя в замасливателях для стекловолокон и ароматических полиэфиров. Также изобретение относится к способу получения таких соединений, который заключается во взаимодействии этилендиамина с акрилонитрилом в присутствии катализатора формулы (C2H5)4NO(C2H5) или (CH3)4NO(CH3), в количестве 0,1÷0,3% мас. к амину при температуре 30-40°С, дальнейшей обработкой полученного соединения формальдегидом и далее уксусной кислотой при температуре 30-40°С, при этом мольное соотношение этилендиамин:акрилонитрил:формальдегид:уксусная кислота равно 1:2:2:2. 2 н.п. ф-лы, 2 табл.
Изобретение относится к органическому синтезу, в частности к способу получения компонента для создания композиций замасливателей, применяемых при производстве волокон различного назначения. Основное назначение – обеспечить смазку и защиту волокон и комплексных нитей от истирания, происходящего как во влажных условиях во время натягивания нитей, так и в сухих условиях при трении волокон о детали оборудования в процессе переработки комплексных нитей в готовые изделия. Замасливающее покрытие должно образовывать на волокне гибкую, эластичную пленку, стойкую к истиранию. Компоненты, входящие в состав замасливателей, должны совмещаться друг с другом с образованием устойчивой эмульсии. Количество замасливателя должно быть оптимальным, чтобы волокно не приобретало излишнюю вязкость, так как значительное увеличение вязкости ведет к частому обрыву нити в процессе ее выработки. Стеклянное волокно, вырабатываемое из стекломассы, как известно, находит самое широкое применение как в промышленности для специальных целей, так и в обиходе [Большая Советская Энциклопедия, изд. 2. с.40. 1977]. Более современные воззрения по технологии получения стеклянных волокон и тканей обобщены в работе [«Производство стеклянных волокон и тканей» под. ред. М.Д.Ходаковского. – М.: Химия, 1973]. Состав замасливателей формируется в зависимости от его назначения. Существует два типа замасливателей: текстильные замасливатели и «Прямые» замасливатели. «Прямые» замасливатели предназначены для стекловолокон, термопластичных смол и эластомеров. Компоненты замасливателя можно разделить на основные и вспомогательные. К основным компонентам относятся: пленкообразователи, жировая основа, смазки, мягчители, пластификаторы, агенты, улучшающие адгезию. К вспомогательным компонентам замасливателей относятся: эмульгаторы, закрепители, антистатики, добавки для регулирования рН, антивспениватели, фунгециды [Производство и применение замасливателей для стеклянного волокна. (Методические рекомендации). Всесоюзный научно-исследовательский институт стеклопластиков стекловолокна (ВНИИСПВ), М., 1987]. Причем необходимо отметить, что некоторые авторы работ по совершенствованию технологии получения того или иного стекловолокна стремятся получить «замасливатели», включающие в себя «закрепители», обеспечивающие высокое качество стекловолокон. Такая же задача ставится при получении ароматических полиэфиров. Наиболее близким к заявляемому по технической сущности и достигаемому результату является используемый в качестве закрепителя продукт конденсации дициандиамида с формальдегидом и уксусной кислотой, так называемый закрепитель ДЦУ-ТСТ, выпускаемый по ТУ 6-38-05800142-270-98 Тамбовским АО «Пигмент». Исходным продуктом для получения ДЦУ-ТСТ взят дициандиамид (циангуанидин) формулы HN=C(NH2)NHCN, который конденсируют с формальдегидом и уксусной кислотой. Структура получаемого соединения, а также технология получения не описываются. По физико-химическим показателям закрепитель ДЦУ-ТСТ соответствует нормативным требованиям, указанным в «Технических условиях» вышеуказанного предприятия по ТУ 6-38-05800142-270-98, см. таблицу 1.
Как видно из таблицы, ДЦУ-ТСТ применяется в виде водного раствора с концентрацией не менее 40 мас.%. Однако, несмотря на практическую значимость его в виде «Закрепителя», большим и серьезным недостатком является наличие существенного избытка уксусной кислоты и формальдегида в его составе (см. пп.6 и 7 таблицы). Этот факт резко снижает все достоинства целевого продукта, так как не обеспечивает безопасность обслуживающего персонала. Поэтому в вышеуказанном ТУ 6-38-05800142-270-98 на этот продукт внесены следующие пункты: – ДЦУ-ТСТ вызывает раздражение кожи и слизистых оболочек; – контроль за состоянием воздушной среды производственных помещений следует вести по формальдегиду по ГОСТ 12.1005-88 (ПДК 0,5 мг/м3); – производственные помещения, в которых производится работа с закрепителем, должны быть оборудованы общеобменной приточно-вытяжной вентиляцией. В местах возможного газо-паровыделения должны быть оборудованы местные отсосы с механическим побуждением; – составлен график прохождения предварительных и периодических медицинских осмотров работающих и т.д. Вышесказанное свидетельствует о низкой перспективности применения ДЦУ-ТСТ в качестве «Закрепителя» при производстве стекловолокон и крупнотоннажных производств полиэфиров на основе п-ксилола. Задачей предлагаемого изобретения является разработка более качественного закрепителя, обладающего как высокой эффективностью при обработке стекловолокон и полиэфиров, так и экологической безопасностью при их получении и способа его получения и практического применения за счет существенного снижения в их составе как уксусной кислоты, так и формальдегида. При использовании заявляемого изобретения может быть получен следующий технический результат: – применение для получения «Закрепителя» более доступных и безопасных химических веществ; – значительное уменьшение содержания в «Закрепителе» уксусной кислоты и формальдегида; – создание для обслуживающего персонала безопасных условий труда. Поставленная задача достигается тем, что в качестве закрепителя используют продукт взаимодействия акрилонитрила, этилендиамина, формальдегида и уксусной кислоты. При этом образуется соединение следующей структуры: Способ получения указанного соединения – закрепителя – заключается во взаимодействии этилендиамина с акрилонитрилом в присутствии катализатора формулы (C2H5)4NO(C2H5) или (СН3)4NO(СН3), в количестве 0,1-0,3 мас.% к амину при температуре 30÷40°С, дальнейшей обработкой полученного соединения формальдегидом и далее уксусной кислотой при температуре 30÷40°С, и мольном соотношении этилендиамин: акрилонитрил: формальдегид: уксусная кислота, равным 1:2:2:2. Способ осуществляют следующим образом. В реактор, снабженный перемешивающим устройством, обратным холодильником, рубашкой, мерником и термометром, помещают расчетное количество этилендиамина. После этого в реактор вводят раствор щелочного катализатора (C2H5)4NO(C2H5) или (СН3)4NO(СН3) в количестве, равном 0,1÷0,5 мас.%, получаемый по методике, описанной в работе [Синтез и свойства алкоксидов триэтилбензиламмония. Реакционная способность в реакциях отщепления и нуклеофильного замещения. Шаванов С.С., Толстиков Г.А., Шутенкова Т.В., Рябова Н.А., Филиппова С.А.. ЖОРХ. 1990. Т.26, вып.4]. Следует особо подчеркнуть, что конденсация этилендиамина с нитрилом акриловой кислоты протекает с более высокой селективностью в сравнении с КОН или NaOH. Далее при перемешивании и температуре в реакторе 30°С дозируют через делительную воронку расчетное количество акрилонитрила. Смесь перемешивают в течение 2-х часов после доведения температуры, равной 60÷70°С, и получают триэтилендиаминдициан следующей формулы: После этого реакционную смесь охлаждают до комнатной температуры и вводят формальдегид в виде 37%-ного водного раствора в количестве, равном двухмольному избытку к этилендиамину. Полученную реакционную массу при перемешивании и при указанной выше температуре выдерживают не менее 3 часов. При этом в результате протекания реакции взаимодействия триэтилендиаминдициана с формальдегидом образуется дициан, содержащий два третичных атома азота по реакции Далее полученный дициан при температуре 30÷40°С обрабатывают уксусной кислотой при стехиометрическом соотношении к третичным атомам азота, равным 1:1. Преимущество предлагаемого способа в сравнении с аналогом: – применение для получения «Закрепителя» доступных этилендиамина и акрилонитрила; – практически полное отсутствие свободного формальдегида и уксусной кислоты вместо 13 и 20% соответственно по аналогу. Последнее обеспечивает отсутствие раздражения кожи и слизистых оболочек обслуживающего персонала, что существенно упрощает технику безопасности производства. Необходимо отметить, что применение других полиаминов не приемлемо, т.к. получить качественный «Закрепитель» невозможно ввиду их неточной молекулярной структуры. Способ получения «Закрепителя» поясняется следующими примерами: Пример №1 В реактор, снабженный термостатирующим и перемешивающим устройством, обратным холодильником, делительной воронкой и термометром помещают 46 г этилендиамина. При температуре 30°С прибавляют 0,23 г катализатора формулы (C2H5)4NO(C2H5) – тетраэтиламмонийэтоксид. При перемешивании и при этой температуре в реактор дозируют через делительную воронку 106 г акрилонитрила и смесь перемешивают в течении 2-х часов и получают триэтилендиаминдициан по реакции После этого к реакционной массе прибавляют формальдегид, взятый в виде 37%-ного водного раствора и в мольном соотношении этилендиамин: формальдегид, равным 1:2 и при неизменной температуре реакционную смесь перемешивают еще 2 часа, получая следующее соединение: В реакционной смеси обнаружены: вода – 100 г, метанол – 6 г. К полученной реакционной массе при температуре 30÷40°С при перемешивании прибавляют через делительную воронку уксусную кислоту при мольном соотношении к этилендиамину, равном 2:1 соответственно. Далее смесь при перемешивании и при этой температуре выдерживается не менее 3 часов. При этом образуется соединение следующей структуры: Получаемое соединение является эффективным продуктом для создания безопасного в обращении «Закрепителя» стекловолокон и ароматических полиэфиров. Выход целевого продукта составляет 99 мас.%. Пример №2 В условиях примера №1 в качестве катализатора используют тетраметиламмонийметоксид (CH3)4NO(CH3). Выход целевого продукта – «Закрепителя» – составил 94÷96 мас.%. Соотношение этилендиамин: акрилонитрил: формальдегид: уксусная кислота = 1:2:2:2. Далее приготавливают стандартный замасливатель и замасливатель с использованием заявляемого Закрепителя. Состав замасливателя: 1. Состав 1. (мас.%)
1. Состав 2. (мас.%)
1. Состав 3. (мас.%)
Показатели получаемого закрепителя по примерам 1-2 приведены в таблице 2. На основании приведенных данных видно, что заявляемый закрепитель не уступает по своим показателям существующим аналогам, например, ДЦУ ТСТ, что позволяет заявить о нем, как о новом закрепителе для замасливателей.
Формула изобретения
1. Соединение формулы 2. Способ получения соединения формулы взаимодействием этилендиамина с акрилонитрилом в присутствии катализатора формулы (C2H5)4NO(C2H5) или (CH3)4NO(CH3) в количестве 0,1÷0,3 мас.% к амину при температуре 30-40°С, дальнейшей обработкой полученного соединения формальдегидом и далее уксусной кислотой при температуре 30-40°С, при этом мольное соотношение этилендиамин : акрилонитрил : формальдегид : уксусная кислота равно 1 : 2 : 2 : 2.
MM4A – Досрочное прекращение действия патента СССР или патента Российской Федерации на изобретение из-за неуплаты в установленный срок пошлины за поддержание патента в силе
Дата прекращения действия патента: 21.12.2007
Извещение опубликовано: 10.07.2009 БИ: 19/2009
|
|||||||||||||||||||||||||||||||||||||||||||||||||||||||||||||||||||||||||||||||||||||||||||||||||||||||||||||||||







=15 мин)