Патент на изобретение №2301181
|
||||||||||||||||||||||||||
(54) СПОСОБ ОПРЕДЕЛЕНИЯ МАССЫ КОСМИЧЕСКОЙ СТАНЦИИ В ПОЛЕТЕ
(57) Реферат:
Изобретение относится к космической технике. Предлагаемый способ основан на непрерывном измерении параметров движения космической орбитальной станции. При этом в качестве параметров движения станции измеряют и параметры ее движения относительно центра масс. От станции отделяют объект известной формы и массы и на участке орбиты, на котором двигатели отключены, поддерживают ориентацию станции с помощью гиродинов. Одновременно измеряют параметры движения отделяемого объекта по орбите и параметры его вращательного движения. По измеренным параметрам вращательного движения определяют мидель отделяемого объекта. По этому миделю и измеренным параметрам движения отделяемого объекта определяют плотность атмосферы. После этого по измеренным параметрам вращательного движения орбитальной станции и угловому положению ее подвижных частей определяют площадь миделя станции. По этой площади миделя и плотности атмосферы, а также по измеренным параметрам движения станции определяют ее массу из соответствующего математического выражения. В предлагаемом способе в отличие от известного не требуется выдачи тарирующего и измерительного импульсов двигательной установкой грузового корабля, стыкуемого со станцией. Технический результат изобретения состоит в экономии рабочего тела и обеспечении безопасности эксплуатации грузового корабля.
Изобретение относится к космической технике и может быть использовано при определении массы космического аппарата, космической станции и сборки космических аппаратов в условиях орбитального полета. Известен способ-аналог определения массы космической станции в процессе изменения параметров ее орбиты [1]. В качестве космических объектов в способе рассматриваются транспортный пилотируемый корабль “Союз” и грузовой корабль “Прогресс” (ГК), входящие в состав орбитальной пилотируемой станции “Салют-6”. Способ включает в себя измерение параметров движения объектов (кажущейся скорости, относительной дальности и т.д.) при изменении параметров орбиты на участках дальнего маневрирования, стыковки и совместного полета. При этом каждый раз к объекту или их сборке прикладывается импульс тяги двигательной установки (ДУ):
где i – номер включения ДУ, ti – момент времени i-го включения,
Импульс тяги ДУ сообщает объекту импульс маневра:
где m – масса объекта;
Если не учитывать направление выдаваемого ДУ импульса, то массу сборки объектов можно определить по выражению:
где Р – модуль вектора тяги ДУ. Наиболее существенный недостаток способа-аналога заключается в неопределенности силы движителя. Принятое в способе предположение о том, что во время работы движителя характеристики его неизменны на интервале (t1; t1+ В качестве способа-прототипа к предлагаемому изобретению авторы выбрали способ определения массы сборки космических объектов в условиях космического полета [3]. Способ основан на изменении параметров движения станции и непрерывном измерении параметров положения станции на орбите и позволяет определить массу сборки космических объектов в процессе изменения параметров орбиты. Для этого измеряют параметры движения стыкуемого объекта известной массы и сборки, по этим параметрам и импульсу силы, приложенному к сборке движителем стыкуемого объекта, определяют массу сборки. По сравнению со способом-аналогом в способе-прототипе в процессе измерений уточняется фактическая тяга движителя. Действительно, в процессе измерений находят интервал времени в работе движителя, на котором величины импульса силы, определенные по измеренным параметрам движения стыкуемого объекта и по измеренным параметрам движителя, имеют наименьшее отличие. Для этого интервала времени фиксируются значения рабочих параметров движителя. После сборки для штатного изменения параметров орбиты импульс силы реализуют при работе движителя в диапазоне определенных выше рабочих параметров. Массу сборки определяют на этом же интервале по величине импульса силы, определенной по измеренным значениям рабочих параметров движителя с учетом величины наименьшего отличия импульса силы. Способ-прототип использовался для определения массы орбитального комплекса “Мир”. В качестве космических объектов принимались стыкуемый грузовой корабль “Прогресс-М” и орбитальный комплекс “Мир”. Способ-прототип также использовался для определения массы международной космической станции (МКС). В качестве космических объектов принимались стыкуемый грузовой корабль “Прогресс-М” и МКС. Основным недостатком способа-прототипа является необходимость выдачи тарирующего импульса движителем стыкуемого космического объекта на участке автономного полета этого объекта, а также необходимость выдачи импульса, изменяющего параметры орбиты сборки космических объектов. В целях тарировки при определении с помощью способа-прототипа массы МКС использовался штатный импульс, выдаваемый на вторые сутки после запуска корабля для подъема его на орбиту МКС. Для тарировки на участке автономного полета тяги именно тех двигателей грузового корабля, которыми позже осуществляется изменение параметров орбиты станции, необходимо исключить срабатывание прочих двигателей. Между тем существуют два штатных режима поддержания заданной ориентации грузового корабля во время выполнения маневра по подъему его орбиты. В первом случае двигатели, которыми выдается импульс, работают в импульсном режиме, т.е. при уходе по углам в процессе выдачи импульса, для создания моментов, компенсирующих возникающие моменты увода, включаются-отключаются соответствующие пары двигателей. Во втором случае двигатели, которыми осуществляется выдача импульса, работают в непрерывном режиме, а моменты увода корабля компенсируются включением-отключением дополнительных пар двигателей. Импульсный режим работы двигателей в первом случае и наличие дополнительных источников возмущений во втором не позволяют удовлетворительно оценить тягу двигателей, что негативно сказывается на последующей оценке массы станции. Существует третий вариант проведения маневра на автономном участке, при котором производится отключение контура ориентации грузового корабля и маневр проводится без поддержания заданной ориентации. Такой вариант маневрирования приводит, во-первых, к значительным уводам корабля по углам. Грузовой корабль теряет необходимую ориентацию. Штатно он должен находиться в состоянии закрутки на Солнце для обеспечения необходимого энергоприхода на его солнечные батареи. До восстановления необходимой ориентации напряжение в системе электропитания корабля может упасть до критического значения, что приведет к потере корабля и срыву выполнения программы полетов. В случае же удачного исхода операции потребуется проведение дополнительного корректирующего (“подчищающего”) импульса, что приводит к дополнительному расходу топлива. Таким образом, проведение тарировки тяги двигателей в двух первых случаях не позволяет получить оценку тяги двигателей с приемлемой точностью, а в третьем случае небезопасно с точки зрения эксплуатации корабля, а также связано с излишним расходом рабочего тела. Кроме того, как было установлено по результатам обработки данных на автономном участке маневрирования, значение относительной ошибки случайной погрешности в определении импульса тяги на всем интервале выдачи импульса почти на порядок выше, чем для отдельного интервала. Таким образом, подбор участков наименьшего отличия согласно способу-прототипу не позволяет оценить массу космической станции с погрешностью меньшей чем 2,3% [3]. Задачами, решаемыми предлагаемым способом, являются экономия рабочего тела и обеспечение безопасности эксплуатации грузового корабля, так как в предлагаемом техническом решении нет необходимости выдачи тарирующего и измерительного импульсов. Технический результат достигается тем, что в способе определения массы космической станции в полете, основанном на непрерывном измерении параметров движения станции, в отличие от известного, в нем в качестве параметра движения станции измеряют также параметры движения относительно центра масс, производят отделение от станции объекта известной формы и массы, на участке орбиты, на котором двигатели отключены, производят поддержание ориентации с помощью гиродинов, одновременно измеряют параметры движения отделяемого объекта по орбите и параметры его вращательного движения, по измеренным параметрам вращательного движения отделяемого объекта определяют мидель отделяемого объекта, по определенному миделю отделяемого объекта и измеренным параметрам его движения определяют плотность атмосферы, после чего по измеренным параметрам вращательного движения орбитальной станции и угловому положению ее подвижных частей определяют мидель орбитальной станции, по определенным миделю орбитальной станции и плотности атмосферы, а также измеренным параметрам движения орбитальной станции определяют ее массу согласно выражению:
где Cx – коэффициент лобового сопротивления станции, Sx – площадь поперечного сечения станции (площадь миделя),
В основе использования как способа-аналога, так и способа-прототипа лежит закон сохранения количества движения. Если к телу приложена некая сила, то количество движения этого тела изменяется пропорционально действующей на него силе. Таким образом, если постараться уточнить величину действующей на тело силы, то, используя закон сохранения количества движения, можно определить массу этого тела. В способе-прототипе предлагается метод уточнения этой силы, в данном случае тарировка силы движителя. В данном изобретении предлагается отказаться от использования активных движителей. В полете на орбитальную станцию действует сила аэродинамического сопротивления. Непрерывное воздействие силы аэродинамического сопротивления на станцию приводит к ее торможению. Используя закон сохранения количества движения, можно определить массу станции. Таким образом, в способе предлагается фактически использовать естественную силу торможения станции в атмосфере. Эта сила намного меньше силы, создаваемой работой движителя, но используемые на сегодняшний день средства измерения позволяют проводить измерения с высокой точностью, что дает нам основания на внедрение данного способа. В специальной литературе задача описания движения космического объекта разбивается на две части. Для описания движения объекта по орбите рассматривается движение центра масс этого объекта, иными словами, рассматривается движение объекта как материальной точки. Для описания углового положения объекта рассматривается его вращательное движение или, другими словами, его движение относительно центра масс. В предлагаемом способе измерение параметров вращательного движения объектов позволяет определить их мидели, или площади проекций объектов на плоскости, перпендикулярные касательным к траекториям движения этих объектов. Измерение параметров движения объектов позволяет оценить воздействие силы аэродинамического сопротивления на эти объекты и, в конечном счете, определить массу станции. Рассмотрим сущность предлагаемого способа, приняв в качестве космических объектов МКС и отделяемый спутник “Nano”. Орбитальное движение станции описывается уравнением:
где
m – масса станции,
Из негравитационных сил, действующих на станцию, будем учитывать только силу аэродинамического сопротивления, которую аппроксимируем формулой:
где b – баллистический коэффициент станции,
Элементы движения центра масс станции находятся по данным траекторных измерений. Существует выражение для оценки баллистического коэффициента:
где Сx – коэффициент лобового сопротивления станции, Sx – площадь поперечного сечения станции (площадь миделя), которая рассчитывается на основании имеющейся телеметрической информации о вращательном движении станции. Используя выражение (7), выразим массу станции через баллистический коэффициент:
Баллистический коэффициент станции согласно выражениям (5), (6) может быть представлен:
Подставив выражение (10) в (9), получим:
Для того чтобы воспользоваться выражением (11), необходимо уточнить фактическую плотность атмосферы. Для этого и требуется отделяемый космический объект, которым может являться спутник с известными массово-инерционными характеристиками. Единственное ограничение, накладываемое на спутник, заключается в необходимости контроля вращательного движения спутника. Спутник может быть либо оснащен аппаратурой, позволяющей отслеживать его движение относительно центра масс, либо быть специальным образом ориентированным без помощи силовых органов задания ориентации, что достигается, например, использованием сильного магнита. Спутник с магнитом, подобно стрелке компаса, будет постоянно ориентирован по линиям напряженности магнитного поля Земли. Так как баллистический коэффициент спутника при его известном миделе легко определяется по формуле (7), записав для спутника выражения (5) и (6) и выразив плотность атмосферы через баллистический коэффициент спутника, получим следующее выражение для определения плотности атмосферы:
где
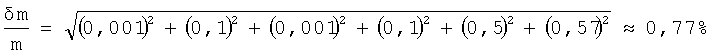
bs – баллистический коэффициент спутника. Элементы движения центра масс спутника также находятся по данным траекторных измерений. Применение описываемого способа предполагает наличие возможности отделения спутника. На борт МКС эпизодически осуществляется доставка научных, учебных, коммерческих спутников, выведение которых за борт осуществляется экипажем во время штатных выходов в космическое пространство. Отделение таких спутников может быть использовано для определения массы станции данным способом. Имеющиеся в настоящее время измерительные средства позволяют определять параметры движения центров масс космических объектов (в описываемом случае параметры движения центров масс МКС и отделяемого спутника “Nano”) с высокой степенью точностью. Могут использоваться данные как российской системы АСН (Автономная Спутниковая Навигация), так и американской системы GPS (Global Position System). Применение GPS позволяет определять радиус центра масс МКС с точностью не хуже Погрешность определения миделя объекта вызвана погрешностью определения вращательного движения объекта, другими словами, погрешностью определения фактической ориентации объекта в текущий момент времени. МКС оснащена датчиками ориентации – солнечными и звездными датчиками, а также магнитометрами, которые с учетом погрешностей, вносимых ошибками в телеметрических каналах, позволяют определять ориентацию станции с погрешностью в 20 Спутник “Nano” оснащен сильным магнитом, что позволяет ему постоянно находиться в ориентированном положении согласно линиям напряженности магнитного поля Земли. Кроме того, спутник оснащен солнечным датчиком, что позволяет определять его фактическую ориентацию в пространстве с точностью не хуже 1°. Данная ошибка приводит к ошибке определения миделя спутника Предположив, что указанные погрешности носят случайный характер, можем определить случайную погрешность определения массы станции предлагаемым способом по формуле: В выражении (13) не учитывается погрешность определения массы спутника ввиду того, что эта погрешность по сравнению с приведенными погрешностями очень мала. Таким образом, случайная погрешность определения массы МКС описанным способом составит: Современные космические станции становятся все более сложными и громоздкими. Станция “Мир” эксплуатировалась много лет, но ее масса составляла около 120 тонн. Международная космическая станция эксплуатируется всего несколько лет, а ее масса уже составляет около 180 тонн. При этом уже сейчас проектные оценки ее массы дают неопределенность порядка 2 тонн, что составляет 1,11%. Погрешность определения массы МКС предлагаемым способом значительно меньше проектной имеющейся неопределенности. Таким образом, предлагаемый способ позволит значительно уточнить массу МКС. Источники информации 1. Навигационное обесчение полета орбитального комплекса “Салют-6” -“Союз” – “Прогресс”. – М.: Наука, 1985. 2. Синярев С.Б., Добровольский М.В. Жидкостные ракетные двигатели. – М.: Оборонпром, 1957. 3. Семенов Ю.П. и др. Способ определения массы сборки космических объектов в процессе изменения параметров орбиты. RU 2098326 С1, МПК 6: В64G 1/26, 10.13.97 – прототип.
Формула изобретения
Способ определения массы космической станции в полете, основанный на непрерывном измерении параметров движения станции, отличающийся тем, что в качестве параметров движения станции измеряют также параметры ее движения относительно центра масс, производят отделение от станции объекта известной формы и массы, на участке орбиты, на котором двигатели отключены, поддерживают ориентацию станции с помощью гиродинов, одновременно измеряют параметры движения отделяемого объекта по орбите и параметры его вращательного движения, по измеренным параметрам вращательного движения отделяемого объекта определяют его мидель, а по определенному миделю и измеренным параметрам движения отделяемого объекта определяют плотность атмосферы, после чего по измеренным параметрам вращательного движения орбитальной станции и угловому положению ее подвижных частей определяют площадь миделя орбитальной станции, по определенным площади миделя и плотности атмосферы, а также по измеренным параметрам движения орбитальной станции определяют ее массу согласно выражению
где Сх – коэффициент лобового сопротивления орбитальной станции; Sx – площадь миделя орбитальной станции;
|
||||||||||||||||||||||||||


i – время работы ДУ,
– вектор тяги.
– вектор кажущейся скорости.
– значение кажущейся скорости сборки после i-го включения ДУ,
– геоцентрический радиус-вектор центра масс станции, точкой обозначено дифференцирование по времени t,
– напряженность гравитационного поля Земли,
– скорость станции относительно гринвичской системы координат,
– плотность набегающего на станцию аэродинамического потока.
– радиус-вектор центра масс станции, точкой обозначено дифференцирование по времени t,
– напряженность гравитационного поля Земли (гравитационным влиянием на станцию Луны и других тел Солнечной Системы пренебрегаем),
– главный вектор сил негравитационной природы, действующих на станцию.
– скорость станции относительно гринвичской системы координат,




– радиус-вектор центра масс спутника,
– скорость спутника относительно гринвичской системы координат,
, а вектор скорости центра масс МКС с точностью не хуже
. В случае спутника имеем аналогичные ошибки:
,
.
. Максимальная ошибка определения миделя станции, вызванная указанной погрешностью определения ориентации, не будет составлять более
.
.


– геоцентрический радиус-вектор центра масс орбитальной станции, при этом точка обозначает дифференцирование по времени t;
– напряженность гравитационного поля Земли;
– скорость станции относительно гринвичской системы координат;