Патент на изобретение №2158127
|
||||||||||||||||||||||||||
(54) СПОСОБЫ ИНГИБИРОВАНИЯ ТИРОЗИНКИНАЗЫ РЕЦЕПТОРА ЭПИДЕРМАЛЬНОГО ФАКТОРА РОСТА, АЗОТСОДЕРЖАЩИЕ ТРИЦИКЛИЧЕСКИЕ СОЕДИНЕНИЯ, ФАРМАЦЕВТИЧЕСКАЯ КОМПОЗИЦИЯ, ПРЕДНАЗНАЧЕННАЯ ДЛЯ ВВЕДЕНИЯ ИНГИБИТОРА ТИРОЗИНКИНАЗЫ РЕЦЕПТОРА ЭПИДЕРМАЛЬНОГО ФАКТОРА РОСТА, НАПРИМЕР, ERB-B2, ERB-B3 ИЛИ ERB-B4, И ПРОТИВОЗАЧАТОЧНАЯ КОМПОЗИЦИЯ
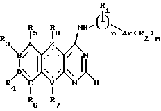
(57) Реферат: Изобретение относится к медицине и касается способа ингибирования тирозинкиназы рецептора эпидермального фактора роста, например, Erb-b2, Erb-b3 или Erb-b4, путем введения млекопитающему, нуждающемуся в этом, эффективного количества азотсодержащего гетероциклического соединения, который заключается в том, что в качестве азотсодержащего гетероциклического соединения используют соединение формулы I, где R1-R9 имеют указанные в формуле изобретения значения, или его фармацевтически приемлемую соль, или гидрат, содержащую их фармацевтическую композицию и противозачаточную композицию на их основе. Изобретение позволяет расширить ассортимент ингибиторов тирозинкиназы рецептора эпидермального фактора роста. I. 6 с. и 78 з.п.ф-лы, 3 табл., 9 ил.
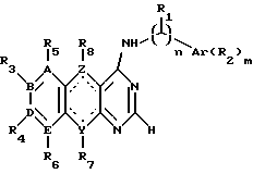
Изобретение относится к новым азотсодержащим гетероциклическим соединениям, которые ингибируют рецептор эпидермального фактора роста, более конкретно к способам ингибирования тирозинкиназы рецептора эпидермального фактора роста, азотсодержащим трициклическим соединениям, фармацевтической композиции, предназначенной для введения ингибитора тирозинкиназы рецептора эпидермального фактора роста, например, Erb-b2, Erb-b3 или Erb-b4, и противозачаточной композиции. Известны бис-моно- и бициклические ариловые и гетероариловые соединения, которые можно применять для ингибирования тирозинкиназы рецептора эпидермального фактора роста и/или рецептора фактора роста тромбоцитов (см. заявку WO 92/20642, C 07 C 43/21, A 61 K 31/44, 31/50, 31/495, 26.11.1992 г.). Задачей изобретения является расширение ассортимента азотсодержащих гетероциклических соединений, которые можно применять для ингибирования тирозинкиназы рецептора эпидермального фактора роста, например, Erb-b2, Erb-b3 или Erb-b4. Поставленная задача решается нижеописанными объектами. Первым объектом изобретения является способ ингибирования тирозинкиназы рецептора эпидермального фактора роста, например, Erb-b2, Erb-b3 или Erb-b4, путем введения млекопитающему, нуждающемуся в этом, эффективного количества азотсодержащего гетероциклического соединения, который заключается в том, что в качестве азотсодержащего гетероциклического соединения используют соединение формулы ![]() где радикалы Y и Z каждый означает углерод или азот или же один из них означает азот, а другой углерод, при этом циклическая структура представляет собой линейно конденсированный 6,6 (5 или 6) трицикл или один из радикалов Y и Z означает азот, кислород или серу, а другой из них представляет собой связь между двумя ароматическими кольцами, при этом циклическая структура представляет собой конденсированный 6,5 (5 или 6) трицикл: радикалы A, B, D и E каждый может означать углерод или один или два из этих радикалов могут означать азот, а остальные радикалы представляют собой углерод, или любые два из смежных радикалов A-E представляют собой гетероатом из пары, включающей азот, кислород или серу, с образованием 5-членного конденсированного цикла, при этом один из двух оставшихся радикалов представляет собой углерод, а другой может означать или углерод, или азот, при условии, что A и B, взятые вместе, D и E, взятые отдельно, все три радикала означают атомы азота; R1 означает водород или низший алкил; n – 0, 1 или 2, причем если n означает 2, то R1, независимо друг от друга, означают водород или низший алкил с 1-4 атомами углерода на связывающем атоме углерода, причем в любое соединение включаются оба возможных стереоцентра R и S; R2 означает низший алкил с 1-4 атомами углерода, низший алкоксил с 1-4 атомами углерода, нитрогруппу, галоген, аминогруппу, m означает 0 – 3, Ar означает фенил, радикалы R3, R4, R5 и R6 независимо друг от друга означают водород, низший алкил с 1-4 атомами углерода, низший алкоксил с 1-4 атомами углерода; R7 и R8 независимо друг от друга могут означать единственную пару электронов, водород или низший алкил с 1-4 атомами углерода; при этом низшая алкильная группа в любом из заместителей R3 – R8 может быть замещена, по меньшей мере, одним или более остатком из группы, включающей аминогруппу, низшую диалкиламиногруппу, при этом, если один из радикалов R1, R2, R3 или R4 содержит хиральные центры или же значение радикала R1 приводит к образованию хиральных центров на связывающих атомах, то соединение вышеуказанной формулы может находиться в виде индивидуальных стереоизомеров или рацемата и/или смесей диастереомеров, или его фармацевтически приемлемую соль или гидрат. Предпочтительные признаки предлагаемого способа включены в подпункты 2 – 80 формулы изобретения. Вторым объектом изобретения являются сами азотсодержащие трициклические соединения вышеприведенной формулы и их фармацевтически приемлемые соли или гидраты. В первую группу предпочтительных азотсодержащих трициклических соединений формулы (I) входят соединения, у которых радикалы A – E означают углерод, Y и Z, каждый, имеет значение, отличное от углерода, и, по крайней мере, один из радикалов R3 – R6 имеет значение, отличное от водорода, или радикалы A – E означают углерод, и один из радикалов Y и Z имеет значение, отличное от азота, замещенного водородом, а другой – связь. Во вторую группу предпочтительных трициклических соединений формулы (I) входят соединения, выбранные из группы, включающей 4-(3-броманилино)пирроло[4,5-g]хиназолин; 4-(3-броманилино)-тиазоло[4,5-g]хиназолин; 4-(3-броманилино)оксазоло[4,5-g]хиназолин; 4-(3-броманилино)имидазоло[4,5-g]хиназолин; 4-(3-бромани-лино)триазоло[4,5-g]хиназолин; 4-(3-броманилино)-6-N-метилимидазоло-[4,5-g]хиназолин; 4-(3-бpoмaнилинo)-8-N-мeтилимидaзoлo[4,5-g]xинaзoлин; 4-(3-броманилино)пиразоло[2,3-g]хиназолин; 4-(3-броманилино)имидазоло-[4,5-h]хиназолин; 4-(3-броманилино)-бензотиено[3,2-d]пиримидин; 4-(3-броманилино)-8-нитробензотиено[3,2-d]пиримидин; 8-амино-4-(3-броманилино)бензотиено[3,2-d]пиримидин; 4-(3-броманилино)-8-метоксибензо-тиено[3,2-d]пиримидин; 4-(3-броманилино)тиазоло[4’5′:4,5]тиено[3,2-d]пиримидин. Третьим объектом изобретения является фармацевтическая композиция, предназначенная для введения ингибитора тирозинкиназы рецептора эпидермального фактора роста, например Eгb-b2, Eгb-b3 или Eгb-b4, которая помимо фармацевтически приемлемого эксципиента, разбавителя или носителя содержит терапевтически эффективное количество соединения вышеприведенной формулы (I) или его фармацевтически приемлемой соли или гидрата. Четвертым объектом изобретения является способ ингибирования тирозинкиназы рецептора эпидермального фактора роста, например, Erb-b2, Erb-b3 или Erb-b4, при лечении раковых заболеваний, псориаза, панкреатита или почечных заболеваний путем введения млекопитающему, нуждающемуся в этом, эффективного количества азотсодержащего гетероциклического соединения вышеприведенной формулы или его фармацевтически приемлемой соли или гидрата. Пятым объектом изобретения является способ ингибирования тиразинкиназы рецептора эпидермального фактора роста, например, Erb-b2, Erb-b3 или Erb-b4, для предотвращения имплантации бластоцитата путем введения млекопитающему, нуждающемуся в этом, эффективного количества азотсодержащего гетероциклического соединения вышеприведенной формулы или его фармацевтически приемлемой соли или гидрата. Шестым объектом изобретения является противозачаточная композиция, которая помимо фармацевтически приемлемого эксципиента, разбавителя или носителя содержит эффективное количество соединения вышеприведенной формулы (I) или его фармацевтически приемлемой соли или гидрата. Азотсодержащие трициклические соединения вышеприведенной формулы можно получать известными способами, описанными в нижепредставленных примерах, в которых названия целевых продуктов соответствуют следующей номенклатуре и нумерации: ![]() ![]() Номенклатура Все трициклы, содержащие бензольное кольцо, непосредственно конденсированное к пиримидиновому кольцу, названы производными хиназолина. Все другие трициклы названы производными пиримидина или конденсированными к бициклическому ядру, такому как индол или бензотиофен, или к двум отдельным моноциклическим гетероциклам, таким как пиридотиофен. В этих случаях первое кольцо всегда является периферическим к пиримидиновому кольцу. Номера конденсированных циклов Для хинозолиновых производных хиназолиновое ядро обозначается буквами против часовой стрелки от связи N1-C2, (a), три возможных положения конденсации колец обозначаются f, g и h. C-кольцо пронумеровано 1-5/6 от его гетероатома с самой высокой атомной массой; нумерация конденсированного кольца считается от номера мостикового головного атома, который первым встречается при движении против часовой стрелки хиназолинового буквенного обозначения. Для системы с тремя конденсированными гетероароматическими циклами пиримидиновое кольцо (A) всегда выбирается в качестве ключевой системы и является d-конденсированным к B-кольцу буквенного обозначения в направлении по часовой стрелке. Центральное B-кольцо пронумеровано 1-5/6, начиная с гетероатома, и двигаясь сначала по B/C кольцевому соединению, а затем по B/A кольцевому соединению. Оно может быть пронумеровано или по часовой стрелке, когда гетероатом находится внизу, или против часовой стрелки, когда гетероатом находится вверху (как показано выше), и нумерация конденсированного цикла определяется нумерацией головного мостикового атома, который встречается первым при движении по часовой стрелке пиримидинового буквенного обозначения. C-кольцо пронумеровано 1′-5’/6′ от самого верхнего гетероатома в направлении к самому нижнему из гетероатомов, если он имеется, а если не имеется других гетероатомов, в направлении, которое дает самую короткую нумерацию кольцевого соединения. Первая цифра C-конденсированного кольца является номером головного мостикового атома, который имеет самое низкое значение в нумерационной системе B-кольца. В первой группе круглых скобок приведены цифры C-кольца B/C мостиковых атомов, затем, после двоеточия, даны цифровые обозначения для B-кольца для тех же самых атомов. Вторая группа круглых скобок содержит цифровые обозначения B-кольца для A/B мостиковых атомов, затем, после черты, разделяющей связь, в буквенной системе A-кольца. Так, приведенный выше пример иллюстрирует (5′,4′:2,3)(5,6-d) трициклическую систему. Нумерация заместителей Во всех примерах нумерация идет от нижнего азота пиримидинового кольца как 1, а затем все немостиковые атомы учитываются последовательно в направлении против часовой стрелки от этой точки, как показано выше для 6,6,6-системы с подчеркнутыми номерами. Пример 1 4-(3-Броманилино)бензо[g]хиназолин-гидрохлорид. 3H-Бензо[g]хиназол-4-он. Перемешивают 3-амино-2-нафтойную кислоту (3,75 г, 20 ммолей) в формамиде при нагревании в атмосфере азота при 135oC в течение 30 минут и при 175oC в течение 2 часов. Реакционную смесь выливают в интенсивно перемешиваемый разбавленный раствор гидроксида натрия (0,2 М, 50 мл), содержащий лед, отделяют твердый продукт фильтрованием в вакууме, промывают водой (2 раза по 25 мл) и сушат в вакуумной печи при 60oC, получая бензо[g]-3H-хиназол-4-он (3,49 г, 89%) в виде твердого продукта цвета светлого хаки. 1H-ЯМР (диметилсульфоксид) : 12,08 (1H, шир. с); 8,84 (1H, с); 8,24 (1 H, с); 8,21 (1H, д, J = 7 Гц): 8,09 (1H, с); 7,62 (2H, выделяется д. из пентета, Jd = 1,3 Гц, Jp = 6,7 Гц).
4-Хлорбензо[g]хиназолинСуспензию бензо[g]-3H-хиназол-4-она (3,49 г, 18 ммолей) в 40 мл хлороксида фосфора кипятят с обратным холодильником в атмосфере азота в течение 3 часов. Удаляют летучие компоненты при пониженном давлении и остаток распределяют между хлороформом (200 мл) и разбавленным водным раствором динатрийгидрофосфата (1 М, 50 мл). Органическую фазу фильтруют через слой силикагеля (50 г) и элюируют затем этот слой 20% этилацетата в хлороформе (500 мл). Объединенные элюенты концентрируют при пониженном давлении и получают 1,20 г (31%) 4-хлорбензо[g]хиназолина в виде оранжево-желтого твердого продукта. 1H-ЯМР (диметилсульфоксид) : 9,04 (1H, с): 8,91 (1H, с); 8,65 (1H, с); 8,20-8,09 (2H, м); 7,75-7,60 (2H, м).
4-(3-Броманилино)бензо[g]хиназолин-гидрохлорид4-Хлорбензо[g] хиназолин (214 мг, 1,0 ммоль), 3-броманилин (213 мг, 1,25 ммоля) и триэтиламин (202 мг, 2,0 ммоля) в 5 мл метоксиэтанола при перемешивании нагревают в атмосфере азота при 95oC в течение 6 часов. Удаляют летучие компоненты при пониженном давлении и оставшийся твердый продукт тщательно растирают с метанолом. Твердый продукт перекристаллизовывают при 0oC из смеси этанола с разбавленной соляной кислотой (смесь 1:4; 0,05 М кислота, 50 мл); после фильтрации на целите получают 4-(3-броманилино)бензо[g] хиназолин-гидрохлорид (71 мг, 18%) в виде желто-зеленого твердого продукта. 1H-ЯМР (диметилсульфоксид) : 14,0 (1H, шир. с); 9,65 (1H, с); 9,01 (1H, с); 8,47 (1H, с); 8,29 (1H, д, J = 8,4 Гц); 8,24 (1H, д, J = 8,4 Гц); 8,18 (1H, ел. шир. с); 7,9-7,82 (2H, м); 7,78 (1H, т, J = 7,5 Гц); 7,58 (1H, д, J = 8 Гц); 7,51 (1H, т, J = 8 Гц).
![]() Пример 2 4-[(R)-1-Фенилэтиламино]бензо[g]хиназолин-гидрохлорид 4-Хлорбензо[g]хиназолин (107 мг, 0,5 ммоля), (R)-1-фенилэтиламин (72 мг, 0,6 ммоля) и триэтиламин (202 мг, 2,0 ммоля) при перемешивании в 2 мл метоксиэтанола нагревают в атмосфере азота при 100oC в течение 90 минут. Охлажденную реакционную смесь разбавляют 10 мл хлороформа и встряхивают с разбавленной соляной кислотой (0,2 М, 15 мл). Собирают тяжелый желтый осадок фильтрованием на воронке Бюхнера, промывают 5 мл воды и сушат в вакууме при 60oC, получая 4-((R)-1-фенилэтиламино)бензо[g]хиназолин-гидрохлорид-гидрат (122 мг, 64%) в виде желтого твердого продукта. 1H-ЯМР (диметилсульфоксид) : 14,75 (1H, шир. с); 10,85 (1H, д, J = 8,0 Гц); 9,61 (1H, с); 8,90 (1H, с); 8,36 (1H, с); 8,18 (1H, д, J = 8,2 Гц); 7,82 (1H, т, J = 7,6 Гц); 7,74 (1H, т, J = 7,4 Гц); 7,56 (2H, д, J = 7,5 Гц); 7,39 (2H, т, J = 7,6 Гц); 7,30 (1H, т, J = 7,4 Гц); 5,92 (1H, пентет, J = 7,2 Гц); 1,76 (3H, д, J = 7,2 Гц).
Пример 34-(3-Броманилино)пирроло[3,2-g]хиназолин N-(5-[E-2-диметиламноэтенил] -2,4-динитробензоил)-N’, N’- диметилформамидин К раствору 5-метил-2,4-динитробензамида (Blatt A.H., J.Org. Chem. 1960, 25, 2030) (2,25 г, 10 ммолей) в 10 мл диметилформамида прибавляют трет.бутокси-бис-(диметиламино)метан (6,2 мл, 30 мл). Реакционную смесь перемешивают при 55oC в течение 2 часов. Растворитель выпаривают при пониженном давлении и остаток суспендируют в воде. Осадок отфильтровывают и промывают водой и этиловым спиртом; получают N-(5-[E-2-диметиламноэтенил]-2,4- динитробензоил)-N’,N’-диметилформамидин; 2,76 г (84%). 1H-ЯМР (диметилсульфоксид) : 8,55 (1H, с); 8,47 (1H, с); 8,04 (1H, д, J = 13,0 Гц); 7,76 (1H, с); 5,95 (1H, д, J = 13,0 Гц); 3,21 (3H, с); 3,00 (9H, м).
4-Оксо-3H-пирролохиназолин.
Смесь N-(5-[E-2-диметиламноэтенил] -2,4-динитробензоил)-N’,N’- диметилформамидина (600 мг, 1,79 ммоля) и никеля Ренея (200 мг) в смеси тетрагидрофуран-метанол (25: 25 мл) гидрируют во вращающемся автоклаве при 1500 фунт/дюйм2 (= 105,5 кг/см2) при комнатной температуре в течение 22 часов. Отфильтровывают катализатор и концентрируют фильтрат в вакууме. Сырой продукт растирают в изопропаноле и фильтруют. Твердый продукт затем промывают изопропанолом и диэтиловым спиртом и сушат в вакуумной печи при 40oC, получая 4-оксо-3H-пирролохиназолин (190 мг, 58%) в виде светло-красного твердого продукта.
1H-ЯМР (диметилсульфоксид) : 11,8 (1H, шир. с); 11,6 (1H, шир. с); 8,43 (1H, с); 7,95 (1 H, д, J =3,1 Гц); 7,73 (1H, д, J = 3,4 Гц); 7,55 (1H, с); 6,58 (1H, д, J = 3,4 Гц).
4-(3-Броманилино)пирроло[3,2-g]хиназолин4-Оксо-3H-пирролохиназолин (100 мг, 0,54 ммоля) в 5 мл хлороксида фосфора кипятят с обратным холодильником в атмосфере азота в течение 20 часов. Полученный в результате темно-красный раствор охлаждают до комнатной температуры и экстрагируют этилацетатом (2 раза по 20 мл). Органический слой сушат над сульфатом натрия и концентрируют, получая 30 мг твердого красного продукта. Без дополнительной очистки его суспендируют в 2 мл изопропанола, содержащего м-броманилин (0,1 мг, 0,8 ммоля). Реакционную смесь затем кипятят с обратным холодильником в течение 1 часа. Полученный в результате светло-желтый осадок отфильтровывают и промывают водой и эфиром; получают 4-(3-броманилино)пирроло[3,2-g]хиназолин (15 мг, 8%). 1H-ЯМР (диметилсульфоксид) : 11,7 (1H, шир. с); 10,5 (1H, шир. с); 8,89 (1H, шир. с); 8,73 (1H, шир. с); 8,16 (1H, с); 7,80 (3H, м); 7,35 (2H, с); 6,77 (1H, с).
Пример 44-(3-Броманилино)тиазоло[5,4-g]хиназолин 5,5′-Дитио-бис-(4-амино-2-нитробензамид) Раствор гидросульфида натрия в водном метаноле (полученный по Фогелю, согласно “Элементарной Практической Органической Химии”, часть 1), прибавляют по каплям при перемешивании к раствору 5- хлор-2,4-динитробензамида (5,00 г, 0,020 ммоля) в смеси тетрагидрофуран/метанол (1:1, 200 мл) до тех пор, пока не будет далее наблюдаться реакция (ТСХ-анализ). Затем раствор разбавляют водой и промывают метиленхлоридом. Водную часть подкисляют концентрированной соляной кислотой, экстрагируют этилацетатом и обрабатывают экстракт, получая маслянистый твердый продукт, который интенсивно перемешивают с метанолом в течение 3 часов. Образовавшийся осадок отфильтровывают, получают 5,5′-дитио-бис-(4-амино-2-нитробензамид) (3,11 г; 64%) в виде каштанового порошка. 1H-ЯМР (диметилсульфоксид) : 8,88 (1H, шир. с); 8,33 (1H, шир. с); 7,99 (1H, с); 7,94 (1H, с); 3,6 – 3,3 (2H, шир. с).
5-Нитробензотиазол-6-карбоксамид.
Прибавляют при интенсивном перемешивании боргидрид натрия (0,50 г, 0,013 ммоля) к суспензии 5,5′-дитио-био-(4-амино-2-нитробензамида) (3,00 г 7,13 ммоля) в 60 мл метанола. Через 10 минут раствор подкисляют концентрированной соляной кислотой, экстрагируют этилацетатом и быстро обрабатывают; получают 4-амино-5-меркапто-2-нитробензамид в виде нестабильного твердого продукта, который используют сразу. Сырое вещество растворяют в 50 мл муравьиной кислоты, нагревают при умеренном кипячении с обратным холодильником в течение 2 часов, затем концентрируют досуха. Остаток тщательно растирают с метанолом/этилацетатом (1:19) и непрореагировавший дисульфид (1,41 г) удаляют фильтрованием. Фильтрат концентрируют и хроматографируют на силикагеле. Элюирование этилацетатом/петролейным эфиром (4:1) дает головную фракцию, тогда как этилацетат дает 5-нитробензотиазол-6-карбоксамид (1,31 г, 41%) в виде желтого порошка.
1H-ЯМР (диметилсульфоксид) : 9,70 (1H, с); 8,71 (1H, с); 8,52 (1H, с); 8,25 (1H, шир. с); 7,78 (1H, шир. с).
Тиазоло[5,4-g]хиназол-4(3H)-он.
Раствор 5-нитробензотиазол-6-карбоксамида (0,30 г, 1,34 ммоля) в смеси метанол/этилацетат (1: 1, 25 мл) гидрируют на 5%-м палладии-на-угле при 60 фунт/дюйм2 (= 4,219 кг/см2) в течение 1 часа: получают 5-аминобензотиазол-6-карбоксамид. Его сразу растворяют в 30 мл триэтилортоформиата и смесь нагревают при умеренном кипячении с обратным холодильником в течение 18 часов. Прибавляют равный объем петролейного эфира к холодному раствору, осаждая тиазоло[5,4- g] хиназол-4(3H)-он (0,17 г, 57%) в виде каштанового цвета порошка.
1H-ЯМР (диметилсульфоксид) : 12,30 (1H, шир. с); 9,67 (1H, с); 9,00 (1H, с); 8,31 (1H, с); 8,14 (1H, с).
4-(3-Броманилино)тиазоло[5,4-g]хиназолин.
Суспензию тиазоло[5,4-g] хиназол-4(3H)-она (0,25 г, 1,23 ммоля) в 20 мл хлороксида фосфора кипятят с обратным холодильником в течение 3 часов, затем концентрируют досуха. Остаток распределяют между насыщенным водным раствором бикарбоната натрия и этилацетатом, органическую часть обрабатывают, получают 4-хлортиазоло[4,5- g]хиназолин (0,21 г, 0,95 ммоля) в виде желтого твердого продукта, который сразу используют. Сырой продукт и 3-броманилин (0,21 мл, 1,90 ммоля) кипятят с обратным холодильником в течение 45 минут в смеси тетрагидрофуран/изопропанол (1: 1, 20 мл), содержащей следы концентрированной соляной кислоты, затем концентрируют досуха. После тщательного растирания с этилацетатом остаток распределяют между насыщенным водным раствором бикарбоната натрия и этилацетатом, обрабатывают органическую часть и получают 4-(3-броманилино)тиазоло [5,4-g]хиназолин (0,19 г, 49%).
1H-ЯМР (диметилсульфоксид) : 10,05 (1H, шир. с); 9,74 (1H, с); 9,38 (1H, с); 8,71 (1H, с); 8,48 (1H, с); 8,31 (1H, шир. с); 7,96 (1H, д, J = 7,7 Гц); 7,39 (1H, т, J = 7,7 Гц); 7,33 (1H, д, J =7,7 Гц).
Пример 54-(3-Броманилино)оксазоло[5,4-g]хиназолин 2,4-Динитро-5-гидроксибензамид. Раствор 5-хлор-2,4-динитробензамида (5,50 г, 0,022 ммоля) в смеси п-диоксан/метанол (1: 1, 20 мл) и 20 мл 6н водного раствора гидроксида калия перемешивают при комнатной температуре в течение 2 часов. После подкисления концентрированной соляной кислотой смесь разбавляют водой и экстрагируют этилацетатом. Обработка дает 2,4-динитро-5-гидроксибензамид (4,91 г, 98%) в виде желтых кубиков. 1H-ЯМР (диметилсульфоксид) : 8,64 (1H, с); 8,16 (1H, шир. с); 7,81 (1H, шир. с); 7,13 (1H,с); 5,80 (1H, шир. с).
4-Оксо-3H-оксазоло[5,4-g]хиназолин.
Раствор 2,4-динитро-5-гидроксибензамида (4,00 г, 0,018 ммоля) в 50 мл смеси метанола/этилацетата (1:1) гидрируют на 5%-м палладии-на-угле при 60 фунт/дюйм2 (= 4,219 кг/см2) в течение 3 часов: получают 2,4-диамино-5-гидроксибензамид, который сразу используют. Прибавляют 50 мл муравьиной кислоты и раствор кипятят с обратным холодильником в течение 48 часов, затем отгоняют летучие продукты при пониженном давлении. Остаток тщательно растирают с этилацетатом; получают сырой 4-оксо-3H-оксазоло[5,4-g] хиназолин (3,27 г, 97%) в виде каштанового порошка, который тотчас используют.
4-Хлороксазоло[5,4-g]хиназолин.
Суспензию 4-оксо-3H-оксазоло[5,4-g]хиназолина (0,98 г, 5,24 ммоля) в 30 мл хлороксида фосфора кипятят с обратным холодильником при интенсивном перемешивании в течение 18 часов, затем концентрируют при пониженном давлении досуха. Остаток распределяют между этилацетатом и насыщенным водным раствором бикарбоната натрия, обрабатывают органическую часть, получают 4-хлороксазоло[5,4-g] хиназолин (0,24 г, 22%) в виде желтого твердого продукта, который сразу используют.
4-(3-Броманилино)оксазоло[5.4-g]хиназолин.
Смесь 4-хлороксазоло[5,4-g]хиназолина (0,24 г, 1,16 ммоля) и 3-бром- анилина (0,25 мл, 2,33 ммоля) в смеси тетрагидрофуран/изопропанол (1:1, 40 мл) содержащей следы концентрированной соляной кислоты, кипятят с обратным холодильником в течение 15 минут, затем концентрируют досуха при пониженном давлении. Остаток распределяют между насыщенным водным раствором бикарбоната натрия и этилацетатом. После обработки органической части получают 4-(3-броманилино)оксазоло[5,4-g] хиназолин (0,18 г, 33%) в виде желтого порошка, т. пл. (метанол) 232oC (с разложением).
Пример 64-(3-Броманилино)имидазоло[4.5-g]хиназолин Смесь 4-метилтио-6H-имидазо[4,5-g] хиназолина (0,5 г, 1,6 ммоля) (Leonard, N.J., Morrice A.G., Sprecker MA, J. Org. Chem. 1975, 40, 356-363), 3-броманилина (0,35 г, 2,0 ммоля) и солянокислого 3-броманилина (0,4 г, 1,9 ммоля) в 200 мл изопропанола кипятят с обратным холодильником в течение 1 часа, получают осадок 4-(3-броманилино)-6H-имидазо[4,5-g]хиназолин- гидрохлорида (0,63 г, 72%). 1H-ЯМР (диметилсульфоксид) : 9,93 (1H, шир. с); 9,01 (1H, с); 8,66 (2H, с); 8,39 (1H, с); 8,04 (2H, м); 7,39 (1H, т, J = 7,9 Гц); 7,31 (1H, шир. д, J = 8,0 Гц).
Пример 74-(3-Броманилино)триазоло[4,5-g]хиназолин-гидрохлорид 4-Оксо-3H-триазоло[4,5-g]хиназолин. Раствор 6,7-диамино-4-оксо-3H-хиназолина (91 г, 5,7 ммоля) (Leonard, N. J. , Morrice A.G., Sprecker M.A, J. Org. Chem. 1975, 40, 356-363) в 250 мл 0,1 М соляной кислоты охлаждают ниже 10oC и прибавляют раствор нитрита натрия (0,41 г, 6 ммоля) в 10 мл воды в течение 2 минут. Через 15 минут раствор нейтрализуют 0,1 М раствором гидроксида калия и получают осадок 4-оксо-3H- триазоло[4,5-g]хиназолина (1,01 г, 94%). 1H-ЯМР (диметилсульфоксид) : 12,22 (2H, м); 8,76 (1H, с); 8,12 (1H, с); 8,07 (1H,с).
4-Тионо-3H-триазоло[4,5-g]хиназолин.
Смесь 4-оксо-3H-триазоло[4,5-g] хиназолина (0,56 г, 3 ммоля) и пятисернистого фосфора (1,3 г, 6 ммолей) в 20 мл пиридина кипятят с обратным холодильником в течение 2 часов и отгоняют растворитель при пониженном давлении. Остаток обрабатывают 30 мл кипящей воды, получают желтый твердый продукт, который отфильтровывают и растворяют в 0,1 М растворе гидроксида калия. После фильтрования для удаления нерастворимых продуктов прозрачный желтый раствор нейтрализуют разбавленной соляной кислотой; получают 4-тионо-3H-триазоло[4,5-g]хиназолин (0,26 г, 43%).
1H-ЯМР (диметилсульфоксид) : 9,20 (1H, с); 8,15 (1H, с); 8,14 (1H, с).
4-Метилтиотриазоло[4,5-g]хиназолин.
Раствор 4-тионо-3H-триазоло[4,5-g]хиназолина (0,203 г, 1 ммоль) и гидроксида калия (0,15 г, 2,7 ммоля) в 15 мл 50%-го водного метанола обрабатывают метилиодидом (65 мкл, 1,0 ммоль) и перемешивают смесь при комнатной температуре в течение ночи. Удаляют метанол в вакууме и нейтрализуют раствор разбавленной соляной кислотой: получают сырой 4- метилтиотриазоло[4,5-g]хиназолин (0,12 г, 55%).
1H-ЯМР (диметилсульфоксид) : 8,96 (1H, с); 8,79 (1H, с); 8,40 (1H, с); 2,74 (3H, с).
4-(3-Броманилино)-триазоло[4,5-g]хиназолин-гидрохлорид.
Смесь метилтиотриазоло[4,5-g] хиназолина (0,30 г, 1,38 ммоля), 3-броманилина (2,1 ммоля) и 3-броманилин-гидрохлорида (2,1 ммоля) в 400 мл изопропанола кипятят с обратным холодильником в течение 6 часов, концентрируют раствор, получают 4-(3-броманилино)- триазоло[4,5-g]хиназолин-гидрохлорид (0,33 г, 63%).
1H-ЯМР (диметилсульфоксид) : 12,01 (1H, шир. с); 9,86 (1H, с); 9,02 (1H, с); 8,63 (1H, с); 8,39 (1H, с); 8,13 (1H, дд, J = 1,9; 1,5 Гц); 7,85 (1H, ддд, J = 7,7; 1,9; 1,5 Гц); 7,56 (1H, ддд, J = 8,0; 1,7; 1,5 Гц); 7,41 (1H, т, J = 7,8 Гц).
Пример 84-(3-Броманилино)-8-N-метилимидазоло[4,5-g]хиназолин 8-N-Метил-3H-имидазо[4,5-g]хиназолин-4-тион. Смесь 8-N-метил-3H-имидазо[4,5-g] хиназолин-4-она (2,32 г, 11,1 ммоля) (Lee C.H., Gilchrist J.H., Skibo E.B., J. Org. Chem., 1986, 51, 4784-4792) и пятисернистого фосфора (3,96 г, 17,8 ммоля) в 25 мл пиридина кипятят с обратным холодильником в течение 16 часов. Пиридин удаляют в вакууме, остаток обрабатывают 50 мл кипящей воды. Осадок отфильтровывают, промывают водой и растворяют в 0,1 М растворе гидроксида калия. После фильтрования для удаления нерастворимых продуктов подкисляют прозрачный желтый раствор уксусной кислотой, получают 8-N-метил-3H-имидазо[4,5-g] хиназолин- 4-тион (2,12 г, 88%). 1H-ЯМР (диметилсульфоксид) : 8,91 (1H, с); 8,53 (1H, с); 8,12 (1H, с); 7,91 (1H,с).
8-N-Метил-4-метилтиоимидазо[4,5-g]хиназолин.
Прибавляют метилиодид (0,61 мл, 9,5 ммоля) к раствору 8-N-метил-3H- имидазо[4,5-g] хиназолин-4-тиона (1,87 г, 8,65 ммоля) и гидроксида калия (0,58 г, 10 ммолей) в 100 мл 50%-го водного метанола, полученную смесь перемешивают при комнатной температуре в течение 30 минут. Отфильтровывают выпавший в осадок продукт, сушат, получают 8-N-метил-4-метилтиоимидазо[4,5-g]хиназолин (1,89 г, 82%).
1H-ЯМР (диметилсульфоксид) : 8,96 (1H, с); 8,64 (1H, с); 8,39 (1H, с); 8,16 (1H, с); 3,98 (3H, с); 2,74 (3H, с).
4-(3-Броманилино)-8-N-метилимидазоло[4,5-g]хиназолин.
Смесь 8-N-метилтиоимидазо[4,5-g] хиназолина (1,50 г, 6,5 ммоля), 3-броманилина (1,7 г, 10 ммолей) и 3-броманилин-гидрохлорида (2,1 г, 10 ммолей) в 400 мл изопропанола кипятят с обратным холодильником в течение 4 часов, получают осадок гидрохлорида, который обрабатывают водным аммиаком; получают 4-(3-броманилино)-8-H- метилимидазо[4,5-g]хиназолин (1,22 г, 52%).
1H-ЯМР (диметилсульфоксид) 9,86 (1H, с); 9,02 (1H, с); 8,63 (1H, с); 8,54 (1H, с); 8,37 (1H, с); 8,01 (2H, м); 7,36 (1H, т, J = 8,0 Гц); 7,28 (1H, шир. д); 3,96 (3H, с).
Пример 94-(3-Броманилино)-6-N-метилимидазоло[4,5-g]хиназолин 2,4-Динитро-5-метиламинобензамид. Раствор 5-хлор-2,4-динитробензамида (6,14 г, 25 ммолей) (Goldstein H., Stamm R., Helv. Chim. Acta, 1952, 35, 1330-1333) и 20 мл 40%-го водного метиламина в 80 мл этанола нагревают в герметическом сосуде, выдерживающем давление, при 100oC в течение 2 часов. После охлаждения разбавляют водой, получают 2,4-динитро-5-метиламинобензамид (5,89 г, 98%). 1H-ЯМР (диметилсульфоксид) : 8,88 (1H, к, J = 4,9 Гц); 8,76 (1H, с); 8,07 (1H, шир. с); 7,77 (1H, шир. с); 6,98 (1H, с); 3,07 (3H, д, J = 5,0 Гц).
6-N-Метил-3H-имидазо[4,5-g]хиназолин-4-он.
Суспензию 2,4-динитро-5-метиламинобензамида (4,80 г, 20 ммолей) в этаноле и муравьиной кислоте (2,5 мл, 66 ммолей) гидрируют на 5%-м палладии-на-угле и удаляют растворитель при пониженном давлении. Полученную в результате сырую соль растворяют в 100 мл муравьиной кислоты и смесь кипятят с обратным холодильником в течение 2 часов. Муравьиную кислоту удаляют при пониженном давлении, остаток растворяют в минимальном объеме 0,1 М соляной кислоты. После осветления активированным углем и фильтрования через целит водный раствор нейтрализуют разбавленным водным аммиаком и оставляют на ночь; получают 6-N-метил-3H-имидазо[4,5-g]хиназолин-4-он (2,99 г, 75%).
1H-ЯМР (диметилсульфоксид) : 11,91 (12H, шир. с); 8,50 (1H, с); 8,33 (1H, с); 8,00 (1H, с); 7,89 (1H, с); 3,95 (3H, с).
6-N-Метил-3H-имидазо[4,5-g]хиназолин-4-тион.
Смесь 6-N-метил-3H-имидазо[4,5-g]хиназолин-4-она (2,50 г, 12,5 ммоля) и пятисернистого фосфора (5,55 г, 25 ммолей) в 30 мл пиридина кипятят с обратным холодильником в течение 16 часов, удаляют пиридин при пониженном давлении. Остаток обрабатывают 50 мл кипящей воды, полученный в результате желтый осадок отфильтровывают и растворяют в 0,1 М растворе гидроксида калия. После фильтрования для удаления нерастворимых продуктов раствор нейтрализуют хлоридом аммония, получают 6-N-метил-3H-имидазо[4,5-g]хиназолин-4-тион (1,58 г, 59%).
1H-ЯМР (диметилсульфоксид) : 13,65 (1H, шир. с); 8,76 (1H, с); 8,61 (1H, с); 8,11 (1H, с); 7,98 (1H, с); 3,99 (3H, с).
6-N-Метил-4-метилтиоимидазо[4,5-g]хиназолин.
Раствор 6-N-метил-3H-имидазо[4,5-g]хиназолин-4-тиона (1,08 мг, 5 ммолей) и гидроксида калия (0,40 г, 7 ммолей) в 100 мл 50%-го водного метанола обрабатывают метилиодидом (0,33 мл, 5,3 ммоля), полученную в результате смесь перемешивают 1 час при комнатной температуре. Метанол затем удаляют при пониженном давлении и оставшийся водный раствор оставляют на ночь при 5oC; получают кристаллы 6-N-метил-4-метил-тиоимидазо[4,5- g] хиназолина (0,62 г, 54%).
1H-ЯМР (диметилсульфоксид) : 8,93 (1H, с); 8,67 (1H, с); 8,22 (1H, с); 8,21 (1H, с); 4,01 (3H, с); 2,74 (3H, с).
4-(3-Броманилино)-6-N-метилимидазо[4,5-g]хиназолин-гидрохлорид.
Смесь 6-N-метил-4-метилтиоимидазо[4,5-g] хиназолина (0,3 г, 1,3 ммоля), 3-броманилина (0,34 г, 1,95 ммоля) и 3- броманилин-гидрохлорида (0,41 г, 195 ммоля) в 400 мл изопропанола кипятят с обратным холодильником в течение 6 часов. После охлаждения твердый осадок отфильтровывают и перекристаллизовывают из этанола, получают 4-(3-броманилино)-6-N-метилимидазо[4,5- g]хиназолин-гидрохлорид (0,43 г, 85%).
1H-ЯМР (диметилсульфоксид) : 11,66 (1H, шир. с); 9,43 (1H, с); 8,96 (1H, с); 8,80 (1H, с); 8,19 (1H, с); 8,16 (1H, шир. с); 7,89 (1 H, шир. д, J = 7,1 Гц); 7,54-7,43 (2H, м); 4,05 (3H, м).
Пример 104-(3-Броманилино)пиризино[2,3-g]хиназолин 7-Ацетамидо-6-нитро-3H-хиназолин-4-он. Раствор 7-амино-6-нитро-3H-хиназолин-4-она (5,90 г, 28,6 ммоля) (Leonard N.J., Morrice A.G., Sprecker M.A., J. Org. Chem., 1975, 40, 356-363) в смеси из 300 мл ледяной уксусной кислоты и 100 мл уксусного ангидрида кипятят с обратным холодильником в течение 6 часов и прибавляют 100 мл воды. Затем концентрируют раствор до малого объема, получая 7-ацетамидо-6-нитро-3H-хиназолин-4-он (5,37 г, 76%). 1H-ЯМР (диметилсульфоксид) : 10,51 (1H, шир. с); 8,57 (1H, с); 8,24 (1H, с); 7,97 (1H, с); 2,15 (3H, с).
7-Ацетамидо-4-(3-броманилино)-6-нитрохиназолин.
Раствор 7-ацетамидо-6-нитро-3H-хиназолин-4-она (5,00 г, 20 ммолей) в 250 мл хлороксида фосфора кипятят с обратным холодильником в течение 2 часов, удаляют избыток хлороксида фосфора в вакууме, остаток растворяют в метиленхлориде, промывают водным раствором карбоната натрия. Путем обработки получают сырое 4-хлорпроизводное, которое непосредственно вводят в реакцию с 3-броманилином в изопропаноле, как описано выше, и превращают полученный в результате гидрохлорид в свободное основание путем обработки водным аммиаком; получают 7-ацетамидо-4-(3-броманилино)-6-нитрохиназолин (3,60 г, 45%).
1H-ЯМР (диметилсульфоксид) : 10,56 (1H, с); 10,29 (1H, с); 9,34 (1H, с); 8,70 (1H, с); 8,19 (1H, шир. с); 7,97 (1H, с); 7,88 (1H, д, J = 6,0 Гц); 7,43-7,35 (2H, м); 2,13 (3H, с).
7-Амино-4-(3-броманилино)-6-нитрохиназолин.
Раствор 7-ацетамидо-4-(3-броманилино)-6-нитрохиназолина (1,50 г, 3,73 ммоля) и 2 г гидроксида калия в 190 мл метанола и 10 мл воды кипятят с обратным холодильником в течение 30 минут, уменьшают объем растворителя, получая 7-амино-4-(3-броманилино)-6-нитрохиназолин (1,17 г, 87%).
1H-ЯМР (диметилсульфоксид) : 10,17 (1H, шир. с); 9,43 (1H, с); 8,43 (1H, с); 8,15 (1H, м); 7,86 (1H, д, J = 7,1 Гц); 7,42 (2H, шир. с); 7,40 – 7,31 (2H, м); 7,12 (1H, с).
4-(3-Броманилино)-6,7-диаминохиназолин.
При восстановлении железным порошком 7-амино-4-(3-броманилино)-6-нитрохиназолина (0,5 г, 1,4 ммоля) в 65%-м водном этаноле, содержащем достаточное количество водной соляной кислоты, чтобы обеспечить растворимость, получают 4-(3-броманилино)-6,7-диаминохиназолин (0,30 г, 65%).
1H-ЯМР (диметилсульфоксид) : 9,14 (1H, с); 8,27 (1H, с); 8,23 (1H, шир. с); 7,85 (1H, д, J = 8,0 Гц); 7,32-7,14 (2H, м); 7,29 (1H, с); 6,79 (1H, с); 5,73 (2H, шир. с); 5,13 (2H, шир. с).
4-(3-Броманилино)пиразино[2,3-g]хиназолин.
Смесь 4-(3-броманилино)-6,7-диаминохиназолина (90 мг, 0,27 ммоля) и 1,4-диоксан-2,3-диола (0,2 г, 1,6 ммоля) (Venuti М.C., Synthesis, 1982, 61-63) в 20 мл метанола перемешивают в течение ночи при комнатной температуре; получают осадок 4-(3-броманилино)пиразино [2,3-g]хиназолина (80 мг, 83%).
1H-ЯМР (диметилсульфоксид) : 10,45 (1H, шир. с); 9,52 (1H, с); 9,09 (1H, д, J = 1,6 Гц); 9,06 (1H, д, J = 1,6 Гц); 8,71 (1H, с); 8,44 (1H, с); 8,32 (1H, шир. с); 7,99 (1H, м); 7,45-7,34 (2H, м).
![]() Пример 11 4-(3-Броманилино)имидазоло[4,5-h]хиназолин-гидрохлорид 6-Метилтиоимидазо[4,5-h]хиназолин. Раствор 3H-имидазо[4,5-h]хиназолин-4-тиона (0,41 г, 2 ммоля) (Morrice A. G. , Sprecker М. A., Leonard NJ., J. Org. Chem., 1975, 40, 363-366) и гидроксида калия (0,15 г, 27 ммолей) в 50 мл 50%-го водного метанола обрабатывают 0,13 мл метилиодида и перемешивают смесь при комнатной температуре в течение 3 часов, получают осадок 4-метилтиоимидазо[4,5-h]хиназолина (0,35 г, 80%). 1H-ЯМР (диметилсульфоксид) : 13,80 (1H, шир. с); 9,09 (1H, с); 8,49 (1 H, с); 7,98 (1H, д, J = 8,8 Гц); 7,85 (1H, д, J = 8,8 Гц); 2,72 (3H, с).
4-(3-Броманилино)имидазоло[4,5-h]хиназолин.
Смесь 4-метилтиоимидазо[4,5-h] хиназолина (0,216 г, 1 ммоль), 3-броманилина (0,25 г, 1,5 ммоля) и 3-броманилин-гидрохлорида (0,31 г, 1,5 ммоля) в 50 мл N-метилпирролидона нагревают при 120oC в течение 2 часов. Отгоняют растворитель в вакууме и растирают остаток с этанолом; получают твердый продукт, который перекристаллизовывают из метанола и получают 4-(3-броманилино)имидазо[4,5-b]хиназолин-гидрохлорид (0,23 г, 61%).
1H-ЯМР (диметилсульфоксид) : 11,11 (1H, шир. с); 8,93 (2H, с); 8,66 (1H, д, J = 9,0 Гц); 8,11 (1H, шир. с); 8,07 (1H, д, J = 9,0 Гц); 7,83 (1H, шир. д, J = 6,8 Гц); 7,50- 7,40 (2H, м).
Пример 124-(3-Броманилино)имидазоло[4,5-f]хиназолин 4-Метилтиоимидазо[4,5-f]хиназолин. Раствор 3H-имидазо[4,5-f] хиназолин-4-тиона (1,01 г, 5 ммолей) (Morrice A. G. , Ssprecker М. A. , Leonard NJ., J. Org. Chem., 1975, 40, 363-366) и гидроксида калия (0,36 г, 6,5 ммолей) в 50 мл 50%-го водного метанола обрабатывают метилиодидом (0,34 мл) и перемешивают смесь в течение ночи при комнатной температуре. Метанол удаляют в вакууме, получают осадок 4-метилтиоимидазо[4,5- f]хиназолина (0,61 г, 57%). 1H-ЯМР (диметилсульфоксид) : 13,23 (1H, м); 9,05 (1H, с); 8,60 (1H, с); 8,24 (1H, д, J = 8,7 Гц); 7,81 (1H, д, J = 8,9 Гц); 2,71 (3H, с).
4-(3-Броманилино)имидазо[4,5-f]хиназолин.
Раствор 4-метилтиоимидазо[4,5-f] хиназолина (0,43 г, 2 моля), 3-броманилина (0,5 г, 3 ммоля) и 3-броманилин-гидрохлорида (0,63 г, 3 ммоля) кипятят с обратным холодильником в течение 16 часов. Осадок гидрохлоридной соли превращают непосредственно в свободное основание с помощью водного аммиака, перекристаллизовывают из этанола, получают 4-(3-броманилино)имидазо[4,5-f] хиназолин (0,52 г, 77%).
1H-ЯМР (диметилсульфоксид) : 11,53 (1H, шир. с); 8,79 (1H, с); 8,68 (1H, с); 8,53 (1H, дд, J = 1,8; 1,9 Гц); 8,15 (1H, д, J = 8,8 Гц); 7,81 (1H, щир. д, J = 8,6 Гц); 7,71 (1H, д, J = 8,9 Гц); 7,41 (1H, т, J = 8,0 Гц); 7,32 (1H, шир. д, J = 7,8 Гц).
Пример 134-Бензиламинобензотиено[3,2-d]пиримидин 4-Хлорбензотиено[3,2-d] пиримидин (111 мг, 0,5 ммоля) (см. следующий эксперимент) и бензиламин (114 мг, 1,0 ммоль) в 5 мл изопропанола при перемешивании кипятят с обратным холодильником в атмосфере азота в течение 26 часов. Смеси дают остыть и отфильтровывают осадок на воронке Бюхнера, промывают изопропанолом и водой, сушат в печи и получают 4-бензиламинобензотиено[3,2-с1]пиримидин (100 мг, 68%) в виде белого порошка. 1H-ЯМР (диметилсульфоксид) : 8,60 (1H, с); 8,51 (1H, т, J = 5,9 Гц); 8,31 (1H, ддд, J = 0,7; 1,4; 8,0 Гц); 8,17 (1H, ддд, J = 0,7; 1,8; 8,1 Гц); 7,68 (1H, ддд, J = 1,2; 7,0; 8,1 Гц); 7,59 (1H, ддд, J = 1,0; 7,0; 8,1 Гц); 7,36 (2H, д, J = 7,4 Гц); 7,33 (2H, т, J = 7,3 Гц); 7,24 (1H, т, J = 7,2 Гц); 4,79 (2H, д, J = 6,0 Гц).
Пример 144-([R]-1-Фенилэтиламино)бензотиено[3,2-с1]пиримидин Этил-3-аминобензотиофен-2-карбоксилат. 2-Фторбензонитрил (0,61 г, 5 ммолей), этилтиогликолят (0,60 г, 5 ммолей) и триэтиламин (1,52 г, 15 ммолей) перемешивают в 5 мл диметилсульфоксида при 100oC в атмосфере азота в течение 3 часов. Реакционную смесь выливают в 50 мл воды со льдом и отфильтровывают твердый продукт, промывают водой, сушат на воздухе, получают этил- 3-аминобензотиофен-2-карбоксилат (0,78 г, 70%) в виде зеленовато- коричневого твердого продукта. 1H-ЯМР (диметилсульфоксид) : 8,14 (1H, д, J = 7,7 Гц); 7,88 (1H, д, J = 8,1 Гц); 7,50 (1H, дт, Jд = 1,2 Гц; Jт = 7,5 Гц); 7,39 (1H, дт, Jд = 1,2 Гц; Jт = 7,6 Гц); 7,17 (2H, шир. с); 4,26 (2H, к, J = 7,1 Гц); 1,29 (3H, т, J = 7,1 Гц).
Бензотиено[3,2-d]-3H-пиримид-4-он.
Этил-3-аминобензотиофен-2-карбоксилат (764 мг, 3,45 ммоля) в 2 мл формамида в атмосфере азота нагревают при 140oC в течение 2 часов и при 180oC в течение 20 часов. Раствору дают остыть до 25oC и разбавляют шлам 5 мл этанола. Отфильтровывают твердый продукт, промывают этанолом (2 раза по 5 мл), сушат на воздухе, получают бензотиено[3,2-d]-3H-пиримид-4-он (0,55 г, 79%) в виде темно-коричневого кристаллического твердого продукта.
1H-ЯМР (диметилсульфоксид) : 12,85 (1H, шир. с); 8,35 (1H, с); 8,16 (1 H, д, J = 7,3 Гц); 7,67 (1H, дт, Jд = 1,6 Гц; Jт = 7,5 Гц); 7,59 (1H, дт, Jд = 1,2 Гц; Jт = 7,5 Гц).
4-Хлорбензотиено[3,2-d]пиримидин.
Прибавляют по каплям 0,27 г (3,5 ммоля) диметилформамида к раствору оксалилхлорида (0,44 г, 3,5 ммоля) в 10 мл 1,2-дихлорэтана, перемешивают в атмосфере азота при 25oC. После прекращения интенсивного выделения газа прибавляют бензотиено[3,2-d] -3H-пиримид-4-он (337 мг, 1,53 ммоля) и кипятят реакционную смесь с обратным холодильником. Через 20 минут реакционной смеси дают остыть и затем ее “гасят” насыщенным раствором бикарбоната натрия в воде (20 мл). Разделяют фазы и экстрагируют водную фазу хлороформом (3 раза по 10 мл). Объединенные органические фазы промывают водой (2 раза по 10 мл), рассолом (10 мл) и сушат над сульфатом натрия. Удаляют растворитель при пониженном давлении, получают 4-хлорбензотиено [3,2-d]пиримидин (249 мг, 74%) в виде светло-коричневого твердого продукта.
1H-ЯМР (диметилсульфоксид) : 9,09 (1H, с); 8,53 (1H, дд, J = 1,8; 7,6 Гц); 7,95 (1H, д, J = 7,8 Гц); 7,73 (1H, дт, Jд = 1,4 Гц; Jт = 7,7 Гц); 7,62 (1H, дт, Jд = 1,2 Гц; Jт = 7,5 Гц).
4-([R]-1-Фенилэтиламино)бензотиено[3,2-d]пиримидин.
4-Хлорбензотиено[3,2-d] пиримидин (110,1 мг, 0,5 ммоля), [R]-1-фенил-этиламин (74 мг, 0,6 ммоля) и триэтиламин (111 мг, 1,1 ммоля) перемешивают в 2 мл пропанола и кипятят с обратным холодильником в атмосфере азота в течение 9 часов. Смеси дают остыть, а затем очищают препаративной ТСХ на диоксиде кремния, элюируют один раз 2% метанола в хлороформе. Перекристаллизовывают твердый желтый продукт из этанола при 0oC, получают 4-([R]-фенилэтиламино) бензотиено[3,2-d]пиримидин (75 мг, 49%) в виде светло-желтых кубических кристаллов.
1H-ЯМР (диметилсульфоксид) : 8,53 (1H, с); 8,30 (1H, д, J = 7,2 Гц); 8,15 (1H, J д, J = 8,2 Гц); 7,68 (1H, дт, Jд = 1,2 Гц; Jт = 7,5 Гц); 7,58 (1H, дт, Jд = 1 Гц; Jт = 7,5 Гц); 7,44 (1H, дд, J = 1,8 Гц); 7,31 (2H, т, J = 7,7 Гц); 7,21 (1H, тт, J = 1; 7,7 Гц); 5,58 (1H, к, J = 7 Гц); 1,58 (3H, д, J = 7 Гц).
Пример 154-(3-Броманилино)бензотиено[3,2-d]пиримидин 4-Хлорбензотиено[3,2-d] пиримидин (110,1 мг, 0,5 ммоля) (см. предшествующий пример), 3-броманилин (107,2 мг, 0,62 ммоля) и триэтиламин (102,8 мг, 1,0 ммоль) в 2 мл этоксиэтанола при перемешивании нагревают при 110oC в атмосфере азота в течение 18 часов. Удаляют растворитель при пониженном давлении и очищают темный маслянистый остаток препаративной тонкослойной хроматографией, элюируя один раз 2% метанола в хлороформе. Основную полосу с Rf = 40 экстрагируют, получая 147 мг желтоватого твердого продукта, который перекристаллизовывают из 20 мл этанола с получением 4-(3-броманилино)бензотиено[3,2-d] пиримидина (70 мг, 39%) в виде светло-бежевых блестящих пластинок. 1H-ЯМР (дейтерохлороформ) : 8,88 (1H, с); 8,49 (1H, дд, J= 1,7; 7,1 Гц); 7,96 (1H, т, J = 1,9 Гц); 7,89 (1H, дд, J = 1,6; 7,0 Гц); 7,65 (1H, дт, Jд = 1,5 Гц; Jт = 7 Гц); 7,60 (1H, дд, J = 1,5; 7,5 Гц); 7,57 (1H, дт, Jд = 1,5 Гц; Jт = 7 Гц); 7,34 (1H, дт, Jд = 8,0; Jт = 1,7 Гц); 7,28 (1H, т, J = 7,8 Гц); 6,90 (1H, шир. с).
Пример 164-(3-Броманилино)-8-нитробензо[b]тиено[3,2-d]пиримидин 2-Фтор-5-нитробензонитрил Смесь 70%-й азотной кислоты и концентрированной серной кислоты (1:1, 30 мл) прибавляют по каплям в течение 30 минут к раствору 2-фторбензонитрила (12,11 г, 0,10 моля) в 50 мл концентрированной серной кислоты, перемешивают в атмосфере азота при 0oC. После дополнительных 3 часов при 0oC выливают желтый раствор на 400 г льда и собирают твердый продукт фильтрованием на воронке Бюхнера, промывают водой (4 раза по 50 мл) и сушат в вакууме, получают 2-фтор-5-нитробензонитрил (15,43 г, 93%) в виде твердого светло-желтого кристаллического продукта. 1H-ЯМР (дейтерохлороформ) : 8,56 (1H, дд, J= 2,8; 5,5 Гц); 8,51 (1H, ддд, J = 2,8; 4,4; 9,1 Гц); 7,44 (1H, дд, J = 7,8; 9,0 Гц).
Этил-3-амино-5-нитробензотиофен-2-карбоксилат.
2-Фтор-5-нитробензонитрил (1,664 г, 10 ммолей) и триэтиламин (3,06 г, 30 ммолей) перемешивают в 5 мл диметилсульфоксида при 100oC в атмосфере азота в течение 1 часа. Темно-красно-оранжевую реакционную смесь выливают в 50 мл воды со льдом и отфильтровывают твердый продукт, промывают водой и сушат в вакуумной печи при 60oC, получая этил-3-амино-5-нитробензотиофен-2-карбоксилат(2,675 г, 100%) в виде ярко-оранжевого твердого продукта. 1H-ЯМР (диметилсульфоксид) : 9,23 (1H, д, J = 2,3 Гц); 8,28 (1H, дд, J = 2,3; 8,9 Гц); 8,10 (1H, д, J = 9,0 Гц); 7,45 (2H, шир. с); 4,29 (2H, к, J = 7,1 Гц); 1,30 (3H, т, J = 7,1 Гц).
8-Нитробензо[b]тиено[3,2-d]-3H-пирмиид-4-он.
Этил-3-амино-5-бензотиофен-2-карбоксилат (2,66 г, 10 ммолей) нагревают в 10 мл формамида в атмосфере азота при 190oC в течение 4 часов, и через 2 часа продукт осаждается. Раствору дают остыть до 25oC, отфильтровывают твердый продукт, промывают этанолом (2 раза по 5 мл) и сушат в вакуумной печи при 60oC, получая 8- нитробензо[b]тиено[3,2-d]-3H-пиримид-4-он (1,91 г, 77%) в виде кристаллического оранжево-коричневого твердого продукта.
1H-ЯМР (диметилсульфоксид) : 13,00 (1H, шир. с); 8,85 (1H, с); 8,45 (3H, с).
4-хлор-8-нитробензо[b]тиено[3,2-d]-3H-пиримидинПрибавляют по каплям диметилформамид (0,75 г, 10 ммолей) к раствору оксалилхлорида (1,27 г, 10 ммолей) в 25 мл 1,2-дихлорэтана при перемешивании в атмосфере азота при 25oC. По окончании интенсивного выделения газа прибавляют 8-нитробензо[b] тиено[3,2- d]-3H-пиримид-4-он (1,236 г, 5 ммолей) и кипятят реакционную смесь с обратным холодильником. Через 40 минут горячую реакционную смесь фильтруют через целит и затем вещество перекристаллизовывают при 0oC, получая 4-хлор-8-нитробензотиено[3,2-d]пиримидин (759 мг, 57%) в виде светло-коричневого твердого продукта. 1H-ЯМР (диметилсульфоксид) : 9,24 (1H, с); 8,99 (1H, д, J = 2,0 Гц); 8,57 и 8,53 (1H, 1H, АВк от д, JAB = 9,0 Гц; Jд= 1,0 Гц).
4-(3-Броманилино)-8-нитробензо[b]тиено[3,2-d]пиримидин.
4-Хлор-8-нитробензо[b] тиено[3,2-d]пиримидин (266 мг, 1,0 ммоль), 3-броманилин (187,4 мг, 1,1 ммоля) и триэтиламин (200 мг, 2,0 ммоля) в 4 мл пропанола-1 при перемешивании нагревают в атмосфере азота в течение 48 часов; образуется плотная желтая паста. Смесь охлаждают до 0oC, отфильтровывают твердый продукт на воронке Бюхнера и сушат на воздухе, получая 4-(3-броманилино)-8- нитробензо[b]тиено[3,2-d]пиримидин (275 мг, 69%) в виде ярко-желтого твердого продукта.
1H-ЯМР (диметилсульфоксид) : 10,12 (1H, шир. с); 9,03 (1H, с); 8,88 (1H, д, J = 1,8 Гц); 8,54 и 8,52 (1H, 1H, АВк от д, JAB = 7,5 Гц; Jд = 0, 1,8 Гц); 8,18 (1H, д, J = 1,7 Гц); 7,83 (1H, дд, J = 1,5; 7,7 Гц); 7,37 и 7,34 (1H, 1H, ABк от д, JAB = 7,7 Гц; Jд = 7,7; 1,5 Гц).
Пример 178-Амино-4-(3-броманилино)бензо[b]тиено[3,2-d]пиримидин 4-(3-Броманилино)бензо[b] тиено[3,2-d]пиримидин (97 мг, 0,24 ммоля) (см. предыдущий эксперимент) в 75 мл тетрагидрофурана гидрируют при 52 фунт/дюйм2 (= 3,656 кг/см2) в течение 3 часов в присутствии 5 мг никеля Ренея. Реакционную смесь фильтруют и концентрируют фильтрат до малого объема при пониженном давлении, остаток очищают препаративной тонкослойной хроматографией на диоксиде кремния, элюируя 5% метанола в хлороформе. Полосу Rf = 0,28 экстрагируют, получают 8-амино-4-(3-броманилино)бензо[b]тиено [3,2-d]пиримидин (47,2 мг, 53 %) в виде желтого твердого продукта. 1H-ЯМР (диметилсульфоксид) : 9,66 (1H, шир. с); 8,72 (1H, с); 8,18 (1H, т, J = 1,9 Гц); 7.84 (1H, ддд, J = 1,2; 2,0; 8,1 Гц); 7,78 (1H, д, J = 8,5 Гц); 7,50 (1H, д, J = 2,2 Гц); 7,33 (1H, т, J = 8,1 Гц); 7,27 (1H, ддд, J = 1,2; 1,8; 8,0 Гц); 7,02 (1H, дд, J = 2,3; 8,5 Гц); 5,47 (2H, шир. с).
![]() Пример 18 4-(3-Броманилино)-9-метоксибензо[b]тиено[3,2-d]пиримидин- гидрохлорид 2-Фтор-6-метоксибензальдоксим. Прибавляют по каплям солянокислый гидроксиламин (334 мг, 4,76 ммоля) к раствору бикарбоната натрия (395 мг, 4,7 ммоля) в 10 мл воды при комнатной температуре. К этому раствору прибавляют по каплям смесь 2-фтор-6-метоксибензальдегида (полученного из 3-фторанизола, как описано в Tetrahedron Lett. , 1992, 33, 7499) (725 мг, 4,7 ммоля) и 10 мл этанола. Полученную смесь перемешивают в течение 2 часов при комнатной температуре. Отфильтровывают осадок и сушат в вакуумной печи примерно при 50oC в течение ночи, получают 2-фтор-6-метоксибензальдоксим (720 мг, 89%). 1H-ЯМР (диметилсульфоксид) : 11,44 (1H, с); 8,16 (1H, с); 7,40 (1H, м); 6,85-6,95 (2H, м); 3,84 (3H, с).
2-Фтор-6-метоксибензонитрил.
Раствор 2-фтор-6-метоксибензальдоксима (714 мг, 4,2 ммоля) в 3,6 мл уксусного ангидрида кипятят с обратным холодильником в течение 4 часов. Реакционную смесь охлаждают до комнатной температуры и отгоняют летучие продукты; получают бежевый твердый продукт, который сушат при 50oC в вакуумной печи, получая 2-фтор-6-метоксибензонитрил (635 мг, 84%).
1H-ЯМР (диметилсульфоксид) : 7,8-7,7 (1H, м); 7,14-7,07 (2H, м); 3,95 (3H, с).
Метил-3-амино-4-метоксибензотиофен-2-карбоксилат.
Прибавляют по каплям метилтиогликолят (0,18 мл, 1,9 ммоля) к суспензии гидрида натрия (60%-я масляная суспензия, 176 мг, 4,4 ммоля) в 5 мл диметилсульфоксида, перемешивают в атмосфере азота при 25oC. По окончании выделения газов прибавляют в одну порцию 2-фтор-6-метоксибензонитрил (266 мг, 1,76 ммоля) в 5 мл диметилсульфоксида. Через 3 часа реакционную смесь выливают в смесь воды со льдом и отфильтровывают бежевый осадок, промывают его и сушат на воздухе; получают метил-3-амино-4-метоксибензотиофен-2-карбоксилат (345 мг, 83%).
1H-ЯМР (диметилсульфоксид) : 7,44-7,37 (2H, м); 7,00 (2H, шир. с); 6,90 (1H, д, J = 7,7 Гц); 3,95 (3H, с); 3,76 (3H, с).
9-Метокси-4-оксо-3H-бензотиено[3,2-с1]пиримидин.
Смесь метил-3-амино-4-метоксибензотиофен-2-карбоксилата (202 мг, 0,85 моля) и 2 мл формамида нагревают при 135oC в течение 1 часа и повышают температуру до 190oC. Через 8 часов реакционную смесь охлаждают до комнатной температуры. При охлаждении образуется черный твердый продукт, который отфильтровывают. Осадок сушат на воздухе, получают 9-метокси-4-оксо-3H-бензотиено[3,2-d]пиримидин (45 мг, 22,5%).
1H-ЯМР (диметилсульфоксид) : 12,0 (1H, шир. с); 8,31 (1H, с); 7,70 – 7,55 (2H, 21 м); 7,10 (1H, д, J = 7,7 Гц); 3,97 (3H, с).
4-Хлор-9-метоксибензотиено[3,2-d]пиримидин.
Прибавляют по каплям диметилформамид (0,125 мл, 1,7 ммоля) к раствору оксалилхлорида (0,15 мл, 1,68 ммоля) в 4,5 мл 1,2-дихлорэтана при комнатной температуре. После окончания выделения газов прибавляют 9-метокси-4-оксо-3H-бензотиено[3,2-d] пиримидин (73,2 мг, 0,32 ммоля). Полученную смесь кипятят с обратным холодильником в течение 4 часов. После охлаждения реакционной смеси до комнатной температуры отфильтровывают черную смолу. Фильтрат упаривают досуха и затем смешивают с водой. Образуется желтый твердый продукт, который собирают фильтрованием. Твердый продукт промывают водой и сушат на воздухе, получая 4-хлор-9-метоксибензотиено[3,2-d]пиримидин (53 мг, 66%).
1H-ЯМР (диметилсульфоксид) : 9,17 (1H, с); 7,82-7,78 (2H, м); 7,3-7,2 (1H, м); 4,06 (3H, с).
4-(3-Броманилино)-9-метоксибензо[b]тиено[3,2-d]пиримидин- гидрохлоридСмесь 4-хлор-9-метоксибензотиено[3,2-d] пиримидина (53 мг, 0,21 моля), 2-метоксиэтанола (3 мл) и м-броманилина (0,03 мл, 0,28 ммоля) нагревают при 80oC в течение 1 часа. Реакционную смесь охлаждают до комнатной температуры, получая желтый твердый осадок. Твердый осадок отфильтровывают и сушат в вакуумной печи при 50oC в течение ночи с получением 4-(3-броманилино)-9-метоксибензо[b]тиено [3,2-d]пиримидин-гидрохлорида (60 мг, 68%). 1H-ЯМР (диметилсульфоксид) : 11,14 (1H, шир. с); 8,95 (1H, с); 8,07 (1H, д, J = 1,7 Гц); 7,87 (1H, д, J = 8,2 Гц); 7,80 (1 H, д, J = 8,2 Гц); 7,76 (1H, д, J = 7,5 Гц); 7,49 (1H, д, J = 8,2 Гц); 7,44 (1H, т, J = 8,0 Гц); 7,25 (1H, д, J = 8,0 Гц); 4,10 (3H, с).
Пример 194-(3-Броманилино)тиазоло[4′,5′:4,5]тиено[3,2-d]пиримидин Смесь 5-хлортиазоло[4′, 5′:4,5]тиено[3,2-d]пиримидина (полученного, как описано Athmani and lddon, Tetrahedron, 48, 7689, 1992) (66 мг, 0,29 ммоля), 3-броманилина (0,033 мл, 0,3 ммоля) и 2-метоксиэтанола (3 мл) нагревают при 95oC в течение 2,5 часов, затем охлаждают до комнатной температуры. Реакционную смесь прибавляют к воде и отфильтровывают осадок на воронке Бюхнера и очищают его препаративно тонкослойной хроматографией на диоксиде кремния (2% метанола в хлороформе). Экстрагируют основную полосу с помощью 20% метанола в хлороформе. После удаления растворителя при пониженном давлении получают 4-(3-броманилино)тиазоло[4′,5′:4,5]тиено [3,2-d]пиримидин (25 мг, 23%). 1H-ЯМР (диметилсульфоксид) : 9,98 (1H, с); 9,67 (1H, с); 8,75 (1H, с); 8,17 (1H, с); 7,82 (1H, д, J = 7,8 Гц); 7,38-7,31 (2H, м).
![]() Пример 20 4-(3-Хлоранилино)пиридо[3′,2′:4,5]тиено[3,2-d]пиримидин Этил-3-аминопиридо[3,2-d]тиофен-2-карбоксилат. Раствор 2-хлорцианопиридина (0,14 г, 1,0 ммоля) в 2 мл диметилсульфоксида прибавляют по каплям к смеси этилтиогликолята (0,12 мл, 1,1 ммоля), гидрида натрия (0,06 г, 1,5 ммоля) и 1 мл диметилсульфоксида при перемешивании в атмосфере азота при 25oC. Через 3 часа реакционную смесь обрабатывают, выливая ее в воду со льдом при перемешивании. Светло-желтый твердый осадок отфильтровывают на воронке Бюхнера и сушат в вакуумной печи, получая этил-3-аминопиридо[3,2-d]тиофен-2-карбоксилат (197 мг, 89%). 1H-ЯМР (диметилсульфоксид) : 8,68 (1H, дд, J = 4,6; 1,6 Гц); 8,54 (1H, дд, J = 8,2; 1,6 Гц); 7,46 (1H, дд, J = 8,2; 4,5 Гц); 7,31 (2H, шир. с.); 4,3 (2H, к, J = 7,1 Гц); 1,29 (3H, т, J=7,1 Гц).
3H-Пиридо[3′,2′:4,5]тиено[3,2-d]пиримид-4-он.
Смесь этил-3-аминопиридо[3,2-d] тиофен-2-карбоксилата (0,92 г, 4,14 ммоля) и 10 мл формамида нагревают при 135oC в течение 1 часа, а затем 4 часа при 190oC. Реакционную смесь охлаждают до 25oC, образуется осадок. Твердый продукт отфильтровывают в вакууме и промывают водой, сушат в вакуумной печи при 60oC и получают 3H-пиридо[3′,2′:4,5]тиено[3,2-d]пиримид-4-он (0,61 г, 72,6%) в виде желто-коричневых игл.
1H-ЯМР (диметилсульфоксид) : 13,0 (1H, шир. с); 8,86 (1H, дд, J = 4,6; 1,6 Гц); 8,63 (1H, дд, J = 8,0; 1,6 Гц); 8,4 (1H, с); 7,68 (1H, дд, J = 8,1; 4,6).
4-Хлорпиридо[3′,2′:4,5]тиено[3,2-d]пиримидин.
К раствору оксалилхлорида (1,3 мл, 15 ммоля) в 75 мл 1,2-дихлорэтана прибавляют по каплям диметилформамид (1,1 мл, 15 ммолей) и перемешивают в атмосфере азота при 25oC. После прекращения выделения газов к смеси прибавляют 3H- пиридо[3′,2′:4,5]тиено[3,2-d]пиримид-4-он (0,61 г, 3,0 ммоля) и нагревают при 85oC. Через 2 часа реакционную смесь охлаждают до 25oC и экстрагируют хлороформом. Объединенные экстракты промывают водой, рассолом и сушат над сульфатом магния. Растворитель удаляют в вакууме, получают 4-хлорпиридо[3′,2′:4,5]тиено[3,2-d]пиримидин (0,64 г, 96%) в виде желтого твердого продукта.
1H-ЯМР (диметилсульфоксид) : 9,3 (1H, шир. с); 9,0 (1H, д, J = 1,7 Гц); 8,9 (1H, дд, J = 7,3; 0,8 Гц); 7,8 (1H, дд, J = 4,7; 0,8 Гц).
4-(3-Хлоранилино)пиридо[3′,2′:4,5]тиено[3,2-d]пиримидин.
Смесь 4-хлорпиридо[3′, 2′:4,5]тиено[3,2-d]пиримидина (0,12 г, 0,54 ммоля), 3-хлоранилина (0,06 мл, 0,5 ммоля) и 5 мл 2-этоксиэтанола нагревают в атмосфере азота при 135oC в течение 3 часов. При охлаждении выпадет твердый осадок. Его отфильтровывают, промывают ацетоном и сушат в вакуумной печи при 80oC; получают 4- (3-хлоранилино)пиридо[3′,2′:4,5]тиено[3,2-d]пиримидин (46 мг, 27%).
1H-ЯМР (диметилсульфоксид) : 9,97 (1H, с); 8,88 (1H, дд, J = 4,6; 1,7 Гц); 8,85 (1H, с); 8,72 (1H, дд, J = 8,0; 1,7 Гц); 8,08 (2H, т, J = 2,0 Гц); 7,79 (1H, ддд, J = 8,3; 2,0; 0,8 Гц); 7,69 (1H, дд, J = 8,0; 4,6 Гц); 7,43 (1H, т, J = 8,0 Гц); 7,19 (1H, ддд, J = 8,0; 2,0; 0,8 Гц).
Пример 214-(3-Броманилино)пиридо[3′, 2′: 4,5] тиено[3,2-d]пиримидина (72 мг, 0,32 ммоля) (см. предыдущий эксперимент), 3-броманилина (0,04 мл, 0,37 ммоля) и 5 мл 2-этоксиэтанола нагревают в атмосфере азота при перемешивании при 135oC в течение 3 часов. При охлаждении выпадает твердый осадок. Его отфильтровывают, промывают ацетоном и сушат в вакуумной печи при 80oC; получают 4-(3- броманилино)пиридо[3′,2′:4,5]тиено[3,2-d]пиримидин (45 мг, 39,4%). 1H-ЯМР (диметилсульфоксид) : 9,96 (1H, с); 8,88 (1H, дд, J = 4,6; 1,7 Гц); 8,85 (1H, с); 8,72 (1H, дд, J = 8,0; 1,7 Гц); 8,20 (1H, т, J = 2,0 Гц); 7,84 (1H, ддд, J = 8,0; 2,0; 1,3 Гц); 7,69 (1H, дд, J = 8,0; 4,7 Гц); 7,39-7,31 (2H, м).
Пример 224-Анилиноиндоло[3,2-d]пиримидин Раствор 4-хлориндоло[3,2-d] пиримидин-гидрохлорида (240 мг, 1,0 ммоль) (Monge A. , Palop J. , A., Goni Т., Martinez-Crespo F., Recalde 1., J.Het Chem., 1986, 23, 647-9) и анилина (0,273 мл, 3 ммоля) в 1 мл этанола кипятят с обратным холодильником в течение 3 часов, причем реакционная смесь превращается в плотную суспензию. После охлаждения до 25oC и разбавления 4 мл этанола смесь фильтруют и сырой продукт промывают 15 мл воды и 15 мл этанола; получают 274 мг каштанового твердого продукта, который перекристаллизовывают из смеси диметилформамид/вода и получают чистый 4-анилиноиндоло[3,2-d]пиримидин-гидрохлорид (82 мг, 27%). 1H-ЯМР (диметилсульфоксид) : 12,79 (1H, шир. с); 11,04 (1H, шир. с); 8,94 (1H, с); 8,27 (1H, д, J = 8,2 Гц); 7,96 (2H, д, J = 7,5 Гц); 7,85 (1H, д, J = 8,4 Гц); 7,71 (1H, т, J = 7,7 Гц); 7,49 (2H, т, J= 8,0 Гц); 7,41 (1H, т, J = 7,6 Гц); 7,24 (1H, т, J = 7,4 Гц).
Пример 234-Бензиламиноиндоло[3,2-d]пиримидин 4-Хлориндоло[3,2-d] пиримидин-гидрохлорид (240 мг, 1,0 ммоль) и 1 мл бензиламина перемешивают в атмосфере сухого азота при 150oC в течение 6 часов, затем концентрируют при пониженном давлении, получают маслянистый мягкий продукт, который растворяют в 20 мл этилацетата и промывают насыщенным раствором бикарбоната натрия (20 мл), водой (3 раза по 15 мл) и рассолом (20 мл). Раствор сушат над сульфатом магния и удаляют растворитель при пониженном давлении. При растирании осадка с дихлорметаном получают 4-бензиламиноиндоло[3,2-d]пиримидин (190 мг, 69%). 1H-ЯМР (дейтерохлороформ) : 10,58 (1H, шир. с); 8,60 (1H, с); 8,08 (1H, д, J = 8,0 Гц); 7,47 – 7,14 (8H, м); 4,82 (2H, д, J = 5,6 Гц); 2,41 (1H, шир. с).
Пример 244-([R]-1-Фенилэтиламино)индоло[3,2-d]пиримидин-гидрохлорид 4-Хлориндоло[3,2-d] пиримидин-гидрохлорид (240 мг, 1 ммоль) и [R]-(+)-метилбензиламин (1 мл) перемешивают в атмосфере сухого азота при 150oC в течение 5 часов, затем концентрируют при пониженном давлении до получения масла. Это масло растворяют в 20 мл этилацетата и перемешивают 16 часов. Образовавшийся осадок отфильтровывают, промывают этилацетатом и сушат при 90oC в вакууме; получают 4-([R]-1-фенилэтиламино)индоло[3,2-d]пиримидин- гидрохлорид (37 мг, 11%). 1H-ЯМР (диметилсульфоксид) : 10 (1H, с); 9,14 (1H, шир. с); 8,64 (1H, с); 8,16 (1H, д, J= 8,0 Гц); 7,74 (1H, д, J = 8,5 Гц); 7,63 – 7,59 (1H, м); 7,50 (2H, д, J = 7,2 Гц); 7,38 – 7,24 (4H, м); 5,59 (1H, п, J = 7,0 Гц); 1,64 (3H, д, J = 7,0 Гц).
Пример 254-(3-Броманилино)индоло[3,2-d]пиримидин-гидрохлорид 4-Хлориндоло[3,2-d] пиримидин-гидрохлорид (240 мг, 1 ммоль) и 3-броманилин (0,33 мл, 3 ммоля) в 3 мл этанола кипятят с обратным холодильником в атмосфере азота в течение 2 часов. Фильтруют и промывают собранный твердый продукт этанолом, затем перекристаллизовывают из диметилформамида и получают 4-(3- броманилино)индоло[3,2-d]пиримидин-гидрохлорид (288 мг, 77%). 1H-ЯМР (диметилсульфоксид) : 12,73 (1H, с); 11,42 (1H, с); 9,02 (1H, с); 8,41 (1H, с); 8,28 (1H, д, J = 7,9 Гц); 7,95 – 7,92 (1H, м); 7,84 – 7,82 (1H, д, J = 8,6 Гц); 7,74 – 7,69 (1H, м); 7,40 -7,47 (3H, м).
![]() Пример 26 4-(3-Броманилино)-5-N-метилиндоло[3,2-d]пиримидин-гидрохлорид Раствор 4-хлор-5-N-метилиндоло[3,2-d] пиримидина (Кадушкин А.В., Нестерова И.Н., Головко Т.В., Николаева И.С., Пушкина Т.В., Фомина А.Н., Соколова А. С., Чернов В.А., Граник В.Г., Хим.-Фарм. Журн., 1990, 24, 18-22) (218 мг, 1 ммоль) и 3-броманилина (0,33 мл, 3 ммоля) в 7 мл изопропанола, содержащего 0,5% газообразного хлористого водорода, кипятят с обратным холодильником в течение 3 часов, охлаждают до 25oC и фильтруют, промывают твердый остаток изопропанолом и сушат, получают 4-(3-броманилино)-5-N- метилиндоло[3,2-d] пиримидин-гидрохлорид (379 мг, 97%) в виде блестящего желтого твердого продукта. 1H-ЯМР (диметилсульфоксид) : 9,80 (1H, с); 8,33 (1H, с); 8,34 (1H, д, J = 8,0 Гц); 7,95 – 7,90 (2H, м); 7,79 – 7,68 (3H, м); 7,45 – 7,41 (3H, м); 4,27 (3H, с).
Пример 274-Анилиноиндоло[2,3-d]пиримидин 4-Хлориндоло[3,2-d] пиримидин-гидрохлорид (Р. Г. Глушков и др., Хим.-Фарм. Журн. , 1967, 1(9), 25-32) (240 мг, 1 ммоль) и анилин (0,27 мл, 3 ммоля) в 1 мл этанола кипятят с обратным холодильником в течение 6 часов. Отгоняют растворитель при пониженном давлении и растирают остаток с этилацетатом, получают каштановый порошок, который отфильтровывают и промывают холодным этанолом. При перекристаллизации из ацетона/петролейного эфира получают 4-анилиноиндоло[2,3-d]пиримидин (49 мг, 19%). 1H-ЯМР (диметилсульфоксид) 12,10 (1H, с); 8,84 (1H, с); 8,43 (1H, с); 8,37 (1H, д, J = 8,0 Гц); 7,74 (2H, д, J = 7,7 Гц); 7,52 – 7,08 (6H, м).
Пример 284-(3-Броманилино)индоло[2,3-d]пиримидин-гидрохлорид 4-Хлориндоло[2,3-d] пиримидин-гидрохлорид (240 мг, 1 ммоль) и 3-броманилин (0,33 мл, 3 ммоля) в 3 мл этанола кипятят с обратным холодильником в течение 2 часов. Отфильтровывают твердый продукт, промывают этанолом и сушат, получают 4-(3-броманилино)индоло[2,3- d]пиримидин-гидрохлорид (248 мг, 73%). 1H-ЯМР (диметилсульфоксид) : 12,24 (1H, с); 9,02 (1H, с); 8,51 (1H, с); 8,42 (1H, д, J = 7,7 Гц); 8,08 (1H, т, J = 1,9 Гц); 7,82 (1H, д, J = 8,0 Гц); 7,53 (1H, д, J = 7,9 Гц); 7,46 (1H, дт, Jд = 1,0 Гц; Jт = 7,6 Гц); 7,36 – 7,27 (3H, м).
![]() Пример 29 4-(3-Броманилино)-9-N-метилиндоло[2,3-d]пиримидин 4-Хлор-9-N-метилиндоло[2,3-d] пиримидин (Портнов Ю.Н., Булага С.Н., Забодняя В.Г., Смирнов Л.Д., Хим. гетероцикл. соед. 1991, 3, 400-2) (220 мг, 1 ммоль) и 3-броманилин (0,33 мл, 3 ммоля) в 7 мл изопропанола, содержащего 0,5% (по массе) газообразного хлористого водорода, кипятят с обратным холодильником 6 часов. После удаления растворителя при пониженном давлении остаток суспендируют в 50 мл хлороформа и промывают 25 мл 1%-го водного раствора гидроксида натрия и 2 раза по 20 мл водой, сушат над сульфатом магния и концентрируют при пониженном давлении. При хроматографии на колонке с диоксидом кремния хлороформом получают продукт в виде светло-каштановой пены, которая медленно кристаллизуется при стоянии при 25oC. После перекристаллизации из 30 мл диизопропилового эфира получают 4-(3-броманилино)-9-N- метилиндоло[2,3-d] пиримидин (220 мг, 65%) в виде хлопьевидного белого твердого вещества. 1H-ЯМР (дейтерохлороформ) : 8,68 (1H, с); 8,01 (1H, с); 7,75 – 7,18 (8H, м); 3,96 (3H, с).
![]() Пример 30 4-(3-Броманилино)-9-N-(2-N, N-диэтиламиноэтил)пиримидо[3,2-d] – индол-бис-гидрохлорид 4-Хлор-9-N-[2-(N,N-диэтиламино)этил]индоло[2,3-d]пиримидин. Суспензию 4-хлориндоло[2,3-d] пиримидин-гидрохлорида (407 мг, 2 ммоля), 2-N,N-диэтиламиноэтилхлорид-гидрохлорида (413 мг, 2,4 ммоля), безводного карбоната цезия (1,95 г, 6 ммолей) и 1,5 г молекулярных сит в 6 мл ацетона кипятят с обратным холодильником в атмосфере азота в течение 1,5 часов. Смесь фильтруют через целит, промывают осадок на фильтре 4 раза по 10 мл ацетоном, затем концентрируют фильтрат при пониженном давлении, получают вязкое янтарного цвета масло, которое растворяют в 20 мл метиленхлорида, промывают 2 раза по 25 мл водой и сушат над сульфатом магния, затем удаляют растворитель в вакууме. Сырой продукт хроматографируют на диоксиде кремния, элюируя 4% метанола в хлороформе; получают 4-хлор-9-N-[2-(N,N-диэтиламино)этил]индоло[2,3- d]пиримидин (495 мг, 82%) в виде светло-желтого масла. 1H-ЯМР (диметилсульфоксид) : 8,79 (1H, с); 8,41 (1H, д, J = 8,0 Гц); 7,66 – 7,58 (2H, м); 7,46 – 7,42 (1H, м); 4,57 (2H, т, J = 6,8 Гц); 2,90 (2H, т, J =7,1 Гц); 2,63 (4H, д, J = 7,0 Гц); 0,99 (6H, т, J = 7,0 Гц).
4-(3-Броманилино)-9-N-(2-N, N-диэтиламиноэтил)пиримидо[2,3- d] индол-бис-гидрохлорид.
Суспензию 4-хлор-9-N-[2-(N, N-диэтиламино)этил]индоло[2,3-d] пиримидина (240 мг, 1 ммоль) и 3-броманилина (0,33 мл, 3 ммоля) в 7 мл изопропанола, который содержит 0,5% газообразного хлористого водорода, кипятят с обратным холодильником в течение 6 часов, затем концентрируют до получения вязкого коричневого масла, которое растворяют в 75 мл хлороформа и промывают 50 мл 1%-го водного раствора гидроксида натрия, 50 мл воды и сушат над сульфатом натрия. Удаляют растворитель при пониженном давлении, остаток хроматографируют на диоксиде кремния, элюируют 2% метанола в хлороформе, получают свободное основание продукта в виде светло-желтого масла (411 мг, 93%). Свободное основание растворяют в подогретом этаноле (5 мл) и обрабатывают 2 мл этанола, который насыщен газообразным хлористым водородом; получают 4-(3-броманилино)-9-N-(2-N, N-диэтиламиноэтил)индоло[2,3- d] пиримидин-бис-гидрохлорид.
1H-ЯМР (диметилсульфоксид) : 10,64 (1H, шир. с); 9,17 (1H, с); 8,60 (1H, с); 8,52 (1H, д, J = 8,0 Гц); 8,07 (1H, с); 7,93 (1H, д); 7,80 (1H, д, J = 7,7 Гц); 7,58 (1H, т, J = 7,7 Гц); 7,41 (1H, т, J = 7,2 Гц); 7,37 – 7,39 (2H, м); 3,51 (2H, дд, J = 12,8; 6,5 Гц); 3,31 – 3,28 (4H, м); 1,25 (6H, т, J = 7,2 Гц).
Пример 314-(3-Броманилино)-6-метоксииндоло[2,3-d]пиримидин Этиловый эфир циано-(5-метокси-2-нитрофенил)-уксусной кислоты. К охлажденному на льду раствору этилциано ацетата (10,9 мл, 102,4 ммоля) в 170 мл безводного тетрагидрофурана в атмосфере азота прибавляют трет.-бутоксид калия (12,07 г, 107,5 ммоля). Образовавшуюся белую суспензию перемешивают 15 минут, затем обрабатывают 3-фтор-4-нитроанизолом (Halfpenny P.R., Horwell D.C., Hughes J., Hunter J. C., Rees D.C., J. Med. Chem. (1990), 33, 286-91) (8,86 г, 512 ммоля). Суспензию кипятят с обратным холодильником в течение 1,5 часов. Раствор выливают в воду и водную смесь подкисляют до pH 2 концентрированной соляной кислотой. Смесь три раза экстрагируют эфиром, затем объединенные органические фазы сушат над сульфатом магния и концентрируют до получения масла, которое выдерживают при 0,3 мм рт.ст. в течение 2 дней. Масло растворяют в метиленхлориде и очищают флэш-хроматографией на силикагеле, элюируя метиленхлоридом. Объединяют фракции продукта и концентрируют, получая этиловый эфир циано-(5-метокси-2-нитрофенил)-уксусной кислоты (14,5 г) в виде светло-желтого масла, которое имеет примерно 93-95% чистоты. 1H-ЯМР (дейтерохлороформ) : 8,29 (1H, д, J = 9,2 Гц); 7,22 (1H, д, J = 2,7 Гц); 7,04 (1H, дд, J = 9,2; 2,7 Гц); 5,69 (1H, с); 4,31 (2H, к, J = 7,0 Гц); 1,34 (3H, т, J = 7,2 Гц).
Этиловый эфир 2-амино-5-метокси-1H-индол-3-карбоновой кислоты.
Раствор этилового эфира циано-(5-метокси-2-нитрофенил)- уксусной кислоты (13,2 г, 46,3 ммоля, 93-95% чистоты) в 185 мл ледяной уксусной кислоты обрабатывают цинковым порошком (12,1 г, 185 ммолей), внося его весь за один раз. Смесь нагревают при 55oC в течение 45 минут, затем обрабатывают еще цинком (4 г). После дополнительного нагревания в течение 105 минут коричневую смесь фильтруют через слой силикагеля согласно флэш-хроматографии. Слой промывают хорошо уксусной кислотой и концентрируют фильтрат до получения остатка, который распределяют между метиленхлоридом и водой. Органическую фазу промывают 5%-ным водным раствором бикарбоната натрия и концентрируют до получения остатка, который по данным тонкослойной хроматографии на силикагеле представляет собой смесь 1:1 продуктов (элюент:метиленхлорид:этилацетат = 3: 1). Остаток очищают флэш-хроматографией, элюируя последовательно в соотношениях 100:0, 95:5 и 90:10 смесями метиленхлорида с этилацетатом. Объединяют фракции, содержащие чистый продукт с более высоким Rf, и концентрируют их до твердого продукта, который обрабатывают ультразвуком в трет.-бутилметиловом эфире. Твердые продукты отфильтровывают; получают 2,07 г чистого этилового эфира 2-амино-5-метокси-1H-индол-3-карбоновой кислоты в виде не совсем белого твердого вещества.
Дополнительная хроматография объединенных маточного раствора и фракций с примесями дает 120 мг дополнительного продукта. Суммарный выход составляет 2,19 г (20%).
1H-ЯМР (диметилсульфоксид) : 10,44 (1H, шир. с, обменен с D2O); 7,11 (1 H, д, J = 2,2 Гц); 6,98 (1H, д, J = 8,4 Гц); 6,61 (2H, шир. с, обменен с D2O); 6,48 (1H, дд, J = 8,4; 2,7 Гц); 4,20 (2H, к, J = 7,0 Гц); 3,71 (3H, с); 1,32 (3H, т, J = 7,2 Гц).
6-Метокси-3H-индоло[2,3-d]пиримидин-4-он.
Раствор этилового эфира 2-амино-5-метокси-1H-индол-3-карбоновой кислоты (2,15 г, 9,2 ммоля), метоксида натрия (0,5 г, 9,3 ммоля) и 200 мл формамида нагревают в атмосфере азота при 220oC в течение 1,5 часов. Раствор охлаждают до комнатной температуры, выдерживают 2,5 дня и фильтруют. Растворитель удаляют путем отгонки в трубке с шаровым расширением при 95oC (0,8 мм рт.ст. ). Твердый остаток промывают водой, затем нагревают в 35 мл кипящего N,N-диметилформамида. Горячую суспензию фильтруют через слой силикагеля согласно флэш-хроматографии. Охлажденный фильтрат концентрируют в вакууме до получения твердого продукта, который обрабатывают ультразвуком примерно в 30 мл метанола. Отфильтровывают твердый продукт, промывают метанолом и сушат; получают 6-метокси-3H-индоло[2,3-d] пиримидин-4-он (1,71 г, 72%), который имеет чистоту примерно 83%.
1H-ЯМР (диметилсульфоксид) : 12,16 (1H, шир. с, обменен с D2O); 12,04 (1H, шир. с. обменен с D2O); 8,08 (1H, д, J = 3,4 Гц, обменен в с D2O); 7,46 (1H, д, J = 1,9 Гц); 7,37 (1H, д, J = 8,7 Гц); 6,95 (1H, дд, J = 8,8 Гц; 2,5 Гц); 3,81 (3H, с).
4-Хлор-6-метоксииндоло[2,3-d]пиримидин.
Суспензию 6-метокси-3H-индоло[2,3-d]пиримидин-4-она (800 мг, 3,08 ммоля, 83% чистоты) и 7 мл хлороксида фосфора нагревают при 90oC в течение 6 часов. Суспензию концентрируют до получения твердого продукта, который вакуумируют при 1 мм рт.ст. в течение 1 часа. Твердые продукты охлаждают в бане с температурой -78oC, затем обрабатывают по каплям холодной водой. Баню удаляют и дают оттаять замороженному твердому продукту. Отфильтровывают твердый продукт, тщательно промывают холодной водой и сушат; получают 4-хлор-6-метоксииндоло[2,3-d]пиримидин (733 мг, 81%), который имеет чистоту 80%.
1H-ЯМР (диметилсульфоксид) : 12,64 (1H, шир. с, обмененный с D2O); 8,74 (1H, с); 7,74 (1H, д, J = 2,4 Гц); 7,57 (1H, д, J = 8,9 Гц); 7,28 (1H, дд, J = 8,9; 2,4 Гц); 3,88 (3H, с).
4-(3-Броманилино)-6-метоксииндоло[2,3-d]пиримидин.
Смесь из 4-хлор-6-метоксииндоло[2,3-d] пиримидина (107 мг, 0,37 ммоля, 80% чистоты), 3-броманилина (0,15 мл, 1,4 ммоля), N,N-диметилацетамида (1 мл) и 1 капли 8,5 М раствора хлороводорода в изопропаноле нагревают в атмосфере азота при 120oC в течение 5 часов. Раствор концентрируют в вакууме до получения маслянистого твердого продукта, который растирают в 5%-м водном растворе бикарбоната натрия. Отфильтровывают твердые продукты, затем последовательно промывают их водой и этилацетатом. Твердые продукты нагревают в малом объеме N,N-диметилфторамида и отфильтровывают. Фильтрат очищают тонкослойной хроматографией на силикагеле, элюируя смесью в соотношении 3:2 метиленхлорида с этилацетатом. Полосу продукта собирают и подвергают обработке ультразвуком в этилацетате. Смесь фильтруют и концентрируют фильтрат до твердого продукта, который обрабатывают ультразвуком в метаноле. Собирают твердые продукты, промывают их метанолом и сушат; получают чистый 4-(3-броманилино)- 6-метоксииндоло[2,3-d]пиримидин (39 мг, 28%) в виде гидрата с 0,7 эквивалента воды.
1H-ЯМР (диметилсульфоксид) : 11,99 (1H, шир. с, обмененный с D2O); 8,97 (1H, шир. с, обмененный с D2O); 8,44 (1H, с); 8,02 (1H, с); 7,91 (1H, д, J = 2,4 Гц); 7,76 (1H, д, J = 8,0 Гц); 7,42 (1H, д, J = 8,7 Гц); 7,36 – 7,24 (2H, м); 7,08 (1H, дд, J = 8,7; 2,2 Гц); 3,87 (3H, с).
Пример 322-Амино-4-(3-броманилино)пиримидо[2,3-d]индол Этиловый эфир 2-гуанидиноиндол-3-карбоновой кислоты. Суспензию этилового эфира 2-аминоиндол-3-карбоновой кислоты (2,04 г, 10,0 ммолей), цианамида (534 мг, 12,7 ммоля) и 1 мл концентрированной соляной кислоты в 91 мл диоксана кипятят с обратным холодильником в течение 48 часов. После охлаждения реакционной смеси до 25oC ее фильтруют и твердый продукт тщательно промывают сухим диэтиловым эфиром, а затем сушат на воздухе, получая гидрохлорид этилового эфира 2-гуанидиноиндол-3- карбоновой кислоты (1,08 г, 38%) в виде беловатого твердого продукта, т. пл. выше 250oC. 2-Амино-4-оксо-3H-индоло[2,3-d]пиримидин. Смесь гидрохлорида этилового эфира 2-гуанидиноиндол-3-карбоновой кислоты (1,00 г, 3,5 ммоля) и 1,5 г гидроксида натрия в 50 мл воды осторожно кипятят с обратным холодильником в течение 6 часов, затем добавляют достаточное количество 5%-й соляной кислоты, чтобы установить pH 1, и фильтруют полученную в результате смесь через целит, промывая слой целита водой. Фильтрат экстрагируют 3 раза по 25 мл этилацетатом, затем подщелачивают твердым карбонатом натрия. Медленно образуется коричневый осадок, который отфильтровывают, промывают водой и сушат в вакууме; получают 2-амино-4-оксо-3H-индоло[2,3- d] пиримидин (561 мг, 78%) в виде светло-каштановых кристаллов, т. пл. выше 275oC. 2-Амино-4-хлориндоло[2,3-d]пиримидин-гидрохлорид. Суспензию 2-амино-4-оксо-3H-индоло[2,3-d]пиримидина (490 мг, 2,5 ммоля) и фосфорилхлорида (7 мл, 75 ммолей) в 13 мл диоксана кипятят с обратным холодильником в течение 4 часов, затем концентрируют в вакууме. Остаток растворяют в этаноле, фильтруют и промывают твердые продукты смесью в соотношении 10: 1 этанола с этилацетатом; получают 170 мг (27%) 2-амино-4-хлориндоло[2,3-d] пиримидин-гидрохлорида в виде серого твердого продукта, т. пл. выше 250oC. 2-Амино-4-(3-броманилино)индоло[2,3-d]пиримидин. Смесь 2-амино-4-хлориндоло[2,3-d] пиримидин-гидрохлорида (123 мг, 0,6 ммоля) и 3-броманилина (0,3 мл, 2,8 ммоля) в 6 мл изопропанола кипятят с обратным холодильником в течение 4 часов, фильтруют через целит и концентрируют в вакууме. Остаток распределяют между 25 мл этилацетата и 25 мл воды. Водную фазу экстрагируют дополнительно 2 раза по 20 мл этилацетатом, затем промывают объединенные экстракты 25 мл 1%-го водного раствора гидроксида натрия, 2 раза по 40 мл водой, 40 мл рассола и сушат над сульфатом натрия. Раствор выпаривают досуха при пониженном давлении; получают 105 мг сырого продукта в виде каштанового порошка. Твердый продукт растворяют в минимальном количестве метанола, фильтруют и дополнительно очищают препаративной хроматографией на пластине (диоксид кремния; 1:1 = этилацетат:метиленхлорид, Rf = 0,40). После экстракции продукта из силикагеля этилацетатом уменьшают объем подогретого раствора до минимума и фильтруют его через целит, удаляют растворитель при пониженном давлении. Полученный таким образом маслянистый твердый продукт растворяют в минимальном количестве изопропанола и оставляют кристаллизоваться при 3oC в течение 18 часов. Отфильтровывают кристаллы, промывают небольшим количеством холодного изопропанола и сушат в вакууме; получают 2-амино-4-(3- броманилино)индоло[2,3-d]пиримидин (34 мг, 17%). 1H-ЯМР (диметилсульфоксид) : 11,44; 8,57 (1H, шир. с); 8,11 (1H, д, J = 8,0 Гц); 8,01 (1H, с); 7,94 (1H, д, J = 8,2 Гц); 7,34 – 7,12 (5H, м); 6,41 (2H, шир. с).
Пример 334-(3-Броманилино)-9N-(2-N, N-диэтиламиноэтил)-6-метоксииндоло [2,3-d] пиримидин-бис-гидрохлорид 4-Хлор-6-метокси-9H-(2-N,N-диэтиламиноэтил)индоло[2,3-d]пиримидин. Суспензию 4-хлор-3-метоксииндоло[2,3-d] пиримидина (773 мг, 2,5 ммоля, 80% чистоты), 2-диэтиламиноэтилхлорид- гидрохлорида (82 мг, 3,4 ммоля), безводного карбоната цезия (2,3 г, 7,1 ммоля), молекулярных сит 4A? (2,1 г) и 12 мл смеси 2:1 ацетона с N,N-диметилформамидом кипятят с обратным холодильником в атмосфере азота в течение 16,5 часов. Смесь фильтруют через целит и тщательно промывают фильтр ацетоном. Фильтрат концентрируют в вакууме до вязкого масла, которое распределяют между метиленхлоридом и водой. Органическую фазу сушат над сульфатом магния и концентрируют до масла, которое очищают флэш-хроматографией на силикагеле, элюируя сначала метиленхлоридом, затем смесью метиленхлорид:метанол (98:2). Объединяют фракции продукта и концентрируют в вакууме; получают 4-хлор-6-метокси-9H-(2-N,N- диэтиламиноэтил)индоло[2,3-d]пиримидин (667 мг, 80%) в виде желтого масла. 1H-ЯМР (дейтерохлороформ) : 8,75 (1H, с); 7,87 (1H, д, J = 2,4 Гц); 7,47 (1H, д, J = 8,9 Гц); 7,25 (1H, дд, J = 8,9; 2,4 Гц); 4,50 (2H, т, J = 7,2 Гц); 3,69 (3H, с); 2,86 (2H, т, J = 7,1 Гц); 2,59 (4H, к, J = 7,1 Гц); 0,96 (6H, т, J = 7,1 Гц).
4-(3-Броманилино)-6-метокси-9H-(2-N,N-диэтиламиноэтил)индоло [2,3-d]пиримидин-бис-гидрохлорид.
Раствор 4-хлор-6-метокси-9H-(2-N,N-диэтиламиноэтил)индоло [2,3-d]-пиримидина (660 мг, 1,98 ммоля), 3-броманилина (0,52 мл, 4,8 ммоля), 0,25 мл 8,5 М раствора хлороводорода в изопропаноле и 4 мл N,N-диметилацетамида нагревают при 120oC в атмосфере азота в течение 2 часов. Раствор концентрируют в вакууме и распределяют остаток между метиленхлоридом и 1%-м водным раствором гидроксида натрия. Метиленхлоридную фазу промывают водой, сушат над сульфатом магния и концентрируют до получения масла, которое очищают флэш- хроматографией на силикагеле, элюируя сначала этилацетатом, затем смесью этилацетат:метанол:триэтиламин (95:5:1). Фракции продукта объединяют и концентрируют, получая масло, которое оставляют на ночь при комнатной температуре. Полутвердый продукт обрабатывают избытком 8,5 М раствора хлороводорода в изопропаноле. После выдерживания в течение нескольких часов при комнатной температуре отфильтровывают твердый продукт, промывают изопропанолом, сушат, получают 4-(3-броманилино)-6-метокси-9H-(2-N, N-диэтиламиноэтил)индоло [2,3-d] пиримидин в виде соли с 2,1 эквивалентами хлористого водорода, сольватированной 0,9 эквивалента воды.
1H-ЯМР (диметилсульфоксид) : 10,55 (1H, шир. с, обмененный с D2O); 9,28 (1H, шир. с. обмененный с D2O); 8,55 (1H, с); 8,02 (1H, с); 8,02 (1H, д, J = 2,2 Гц); 7,99 (1H, с); 7,84 (1H, д, J = 8,7 Гц); 7,74 (1H, д, J = 7,2 Гц); 7,39 – 7,32 (2H, м); 7,21 (1H, дд, J = 8,9; 2,2 Гц); 5,30 (3H, мир. с, обмененный с D2O); 4,85 (2H, т, J = 7,2 Гц); 3,90 (3H, с); 3,48 (2H, дд, J = 12,2; 6,4 Гц); 3,35 – 3,21 (4H, м); 1,23 (6H, т, J = 7,2 Гц).
Пример 344-(3-Броманилино)бензофурано[3,2-d]пиримидин Метил-2-(2-цианофенокси)этаноат. Прибавляют по каплям метилбромацетат (1,95 мл, 20 ммолей) к раствору 2-цианофенола (2,38 г, 20 ммолей) и карбоната калия (2,78 г, 20,1 ммоля) в 100 мл ацетона при перемешивании в атмосфере азота при 25oC. Через 24 часа твердый продукт отфильтровывают и концентрируют фильтрат в вакууме, остаток сушат в вакуумной печи; получают метил-2-(2-цианофенокси)этаноат (3,82 г, 100%) в виде бежевого твердого продукта. 1H-ЯМР (диметилсульфоксид) : 7,76 (1H, дд, J = 7,6; 1,7 Гц); 7,64 (1H, дт, Jд = О 1,6 Гц; Jт = 8,0 Гц); 7,20 – 7,10 (2H, м); 5,04 (2H, шир. с); 3,70 (3H, с).
Метил-3-аминобензо[b]фуран-2-карбоксилат.
Раствор метил-2-(2-цианофенокси)этаноата (3,82 г, 20 ммолей) в 40 мл диметилсульфоксида прибавляют по каплям к суспензии гидрида натрия (0,84 г, 21 ммоль) и 10 мл диметилсульфоксида, перемешивают в атмосфере азота при 25oC. Через 10 минут смесь выливают в ледяную воду и экстрагируют эфиром. Объединенные экстракты промывают водой, рассолом и сушат над сульфатом магния. После удаления растворителя при пониженном давлении получают метил-3-аминобензо[b]фуран-2-карбоксилат (2,15 г, 56%) в виде желтого твердого продукта.
1H-ЯМР (диметилсульфоксид) : 7,95 (1H, д, J = 7,7 Гц); 7,48 (2H, д, J = 3,4 Гц); 7,29 – 7,22 (1H, м); 6,40 (2H, шир. с); 3,80 (3H, с).
3H-Бензофурано[3,2-d]пиримид-4-он.
Раствор 3-аминобензо[b]фуран-2-карбоксилата (0,28 г, 1,36 ммоля) в 5 мл формамида нагревают при 135oC в течение 4 часов, затем повышают температуру до 170oC. Через 4 часа реакционную смесь охлаждают до 25oC и осаждается темно-красный твердый продукт. Его отфильтровывают в вакууме и сушат на воздухе; получают 3H-бензофурано[3,2-d]пиримид-4-он (118 мг, 46,6%).
1H-ЯМР (диметилсульфоксид) : 13,0 (1H, шир. с); 8,25 (1H, с); 8,05 (1 H, д, J = 8,1 Гц); 7,84 (1H, д, J = 8,3 Гц); 7,68 (1H, т, J = 7,7 Гц); 7,51 (1H, т, J = 7,7 Гц).
4-Хлорбензофурано[3,2-d]пиримидин.
Прибавляют по каплям диметилформамид (0,23 мл, 3,1 ммоля) к раствору оксалилхлорида (0,28 мл, 3,1 ммоля) в 15 мл 1,2-дихлорэтана при 25oC. После прекращения выделения газа прибавляют 3H-бензофурано[3,2-d]пиримид-4-он (113 мг, 0,61 ммоля). Полученную в результате смесь кипятят с обратным холодильником в течение 1 часа. После охлаждения реакционной смеси до 25oC прибавляют воду и полученную смесь экстрагируют хлороформом. Объединенные экстракты промывают водой, насыщенным рассолом и сушат над сульфатом магния. Удаляют растворитель при пониженном давлении; получают 4-хлорбензофурано[3,2-d]пиримидин (116 мг, 93%) в виде желтого твердого продукта.
1H-ЯМР (диметилсульфоксид) : 9,08 (1H, с); 8,30 (1H, д, J = 8,1 Гц); 8,02 (1H, д, J = 8,5 Гц); 7,90 (1H, дт, Jд = 1,3 Гц; Jт = 7,1 Гц); 7,64 (1H, дт, Jд = 1,0 Гц; Jт = 7,8 Гц).
4-(Броманилино)бензофурано[3,2-d]пиримидин.
Смесь 4-хлорбензофурано[3,2-d]пиримидина (116 мг, 0,57 ммоля) и 3-броманилина (0,07 мл, 0,6 ммоля) нагревают при 135oC в атмосфере азота при перемешивании в 2-этоксиэтаноле в течение 3 часов. При охлаждении выпадает осадок, твердый продукт собирают и перекристаллизовывают из этанола; получают 4-(3-броманилино) бензофурано[3,2-d]пиримидин (15,7 мг, 8%).
1H-ЯМР (диметилсульфоксид) : 10,35 (1H, с); 8,73 (1H, с); 8,34 (1H, т, J = 1,9 Гц); 8,17 (1H, ддд, J = 7,2; 1,2; 0,7 Гц); 7,93 (1H, ддд, J = 8,2; 2,2; 1,0 Гц); 7,88 (1H, д, J = 8,4 Гц); 7,77 (1H, дт, Jд = 1,4 Гц; Jт = 7,2 Гц); 7,56 (1H, дт, Jд = 0,8 Гц; Jт= 8,0 Гц); 7,34 (1H, т, J = 8,0 Гц); 7,27 (1H, ддд, J = 8,0; 2,0; 1,0 Гц).
Фармацевтические композиции согласно изобретению могут выпускаться в виде разнообразных дозировочных форм для орального или парентерального применения. Дозировочные формы в качестве активных компонентов содержат вышеуказанный ингибитор.
Для получения фармацевтических композиций используют инертные, фармацевтически приемлемые носители, которые могут быть либо твердыми, либо жидкими. Твердая форма препаратов включает порошки, таблетки, диспергируемые гранулы, капсулы, облатки и суппозитории. Твердый носитель может представлять собой одно или более веществ, которые также могут действовать как разбавители, вкусовые вещества, солюбилизаторы, придающие скользкость таблеткам, агенты, суспендирующие агенты, связующие или дезинтеграторы таблеток; твердый носитель также может быть инкапсулирующим материалом. В порошках носитель представляет собой тонко измельченное твердое вещество, которое смешано с тонко измельченными активными соединениями. В таблетках активные соединения смешаны с носителем, обладающим необходимыми связывающими свойствами, в соответствующих пропорциях, и спрессованы в виде желательной формы и размера. Предпочтительно порошки и таблетки содержат от 5% или 10% до примерно 70% активных ингредиентов. Подходящими твердыми носителями являются карбонат магния, стеарат магния, тальк, сахар, лактоза, пектин, декстрин, крахмал, желатина, трагакант, метилцеллюлоза, натриевая соль карбоксиметилцеллюлозы, низкоплавкие воски, масло какао и т.п. Термин “препарат” означает совокупность активных соединений с инкапсулирующими материалами в качестве носителя, обеспечивающими образование капсулы, в которой активные компоненты (с другими носителями или без них) окружены носителем, находясь таким образом в ассоциации с ним. То же самое относится к облаткам. Таблетки, порошки, облатки и капсулы могут быть использованы как твердые дозировочные формы, пригодные для орального введения.
Жидкая форма препаратов включает растворы, суспензии и эмульсии. В качестве примера можно указать водные растворы или растворы на основе воды с пропиленгликолем для парентеральной инъекции. Жидкие препараты могут также находиться в виде раствора в водном растворе полиэтиленгликоля. Водные растворы, пригодные для орального применения, можно приготовлять путем растворения активного компонента в воде с добавлением подходящих красителей, вкусовых веществ, стабилизаторов и, если желательно, загущающих агентов. Водные суспензии, пригодные для орального применения, могут быть получены путем диспергирования тонко измельченных активных компонентов в воде вместе с вязким материалом, например природными или синтетическими смолами, камедью, метилцеллюлозой, натриевой солью карбоксиметилцеллюлозы и другими хорошо известными суспендирующими агентами.
Предпочтительно, фармацевтический препарат представляет собой форму единичной дозы. В такой форме препарат может быть разделен на единичные дозы, содержащие соответствующие количества ингибитора или других противораковых соединений, индивидуально или в сочетании, например в смеси. Форма единичной дозы может находиться в упаковке, причем упаковка содержит отдельные количества препарата, например таблетки, капсулы и порошки, упакованные во флаконы или ампулы. Форма единичной дозы также может быть капсулой, облаткой или таблеткой или она может представлять собой соответствующее количество любых из них в упаковке. Кроме того, форма единичной дозы может быть разделенной формой, содержащей в одной части ингибитор, а в другой части – другие противораковые вещества, такой, как, например, разделенная капсула, разделенная упаковка или двухкамерная ампула, флакон и т.п.
Количество ингибитора в единичных дозах препарата можно изменять или регулировать примерно от 0,01 мг/кг до 100,0 мг/кг, предпочтительно от 0,03 мг/кг до менее чем 1,0 мг /кг массы тела.
Фармацевтические композиции предпочтительно приготовляют так, что их можно вводить парентерально или орально. Растворы активных соединений в виде свободных оснований и свободных кислот или фармацевтически приемлемых солей могут быть приготовлены в воде, смешанной с подходящим поверхостно-активным агентом, таким как гидроксипропилцеллюлоза. Дисперсии также могут быть приготовлены в глицерине, жидких полиэтиленгликолях и их смесях или в маслах. При обычных условиях хранения и использования эти препараты содержат консервант для предотвращения роста микроорганизмов.
Фармацевтические формы, пригодные для инъекций, включают стерильные водные растворы или дисперсии и стерильные порошки для приготовления стерильных растворов или дисперсий для инъекций в момент употребления. Во всех случаях форма должна быть стерильной и должна быть жидкой до такой степени, чтобы она могла легко проходить через шприц. Она должна быть стабильной в условиях производства и хранения и должна быть предохранена от вредного воздействия микроорганизмов, таких как бактерии и грибы. Носитель может представлять собой растворитель или диспергирующую среду, содержащую, например, воду, этанол, многоатомный спирт (например, глицерин, пропиленгликоль, жидкий полиэтиленгликоль и т.п.), их соответствующие смеси и растительные масла. Соответствующую текучесть можно поддерживать, например, путем использования покрытия, такого как лецитин, путем соблюдения требуемого размера частиц в случае дисперсии и путем использования поверхостно- активных агентов. Предотвращение действия микроорганизмов можно осуществлять с помощью различных антибактериальных и противогрибковых агентов, например, как парагены, хлорбутанол, фенол, сорбиновая кислота, тимеросаль и т.п. Во многих случаях предпочтительно включать изотонические агенты, например сахара или хлорид натрия. Пролонгированная абсорбация композиций для инъекций обеспечивается агентами, замедляющими абсорбацию, например желатиной.
Стерильные растворы для инъекций готовят путем введения активных соединений в требующемся количестве в соответствующий растворитель с различными другими ингредиентами, перечисленными выше, по потребности, с последующей стерилизацией путем фильтрования. Обычно дисперсии готовят путем введения различных стерилизованных активных ингредиентов в стерильный эксципиент, который содержит основную диспергирующую среду и необходимые другие ингредиенты, выбираемые из перечисленных выше. В случае стерильных порошков для приготовления стерильных растворов для инъекций предпочтительными способами получения являются вакуумная сушка и сушка вымораживанием, которые обеспечивают получение порошка активных ингредиентов плюс дополнительный требуемый ингредиент из их предварительно стерильно профильтрованного раствора. Используемое здесь понятие “фармацевтически приемлемый носитель” включает любой и все растворители, дисперсионные среды, покрытия, антибактериальные и противогрибковые агенты, изотонические и замедляющие абсорбацию агенты, и т.п. Применение таких сред и агентов для фармацевтически активных веществ хорошо известно специалистам в данной области техники. За исключением случаев несовместимости сред или агентов с активным ингредиентом, является возможным применение любых обычных сред или агентов в терапевтических композициях. Дополнительные активные ингредиенты также могут быть включены в композиции.
Особенно предпочтительно приготовлять парентеральные композиции в форме единичной дозы для облегчения введения и однородности дозирования. Термин “форма единичной дозы”, используемый здесь, относится к физически дискретным единицам, пригодным в качестве единичных доз для подвергаемых лечению млекопитающих; каждая единица содержит заранее определенное количество активных материалов, рассчитанное для достижения желаемого терапевтического эффекта, в сочетании с требующимся фармацевтическим носителем. Состав новых форм единичных доз согласно изобретению обусловлен и непосредственно зависит от (а) индивидуальных характеристик активных веществ и конкретно ожидаемого терапевтического эффекта, и (б) от ограничения, свойственного технологии смешивания таких активных веществ, для лечения пациентов, страдающих вышеуказанными заболеваниями.
Основные активные ингредиенты смешивают для удобного и эффективного введения в эффективных количествах с фармацевтически пригодным носителем в форме единичной дозы, как описано выше. Форма единичной дозы для парентерального введения может, например, содержать основное активное соединение, например ингибитор, в количествах примерно от 0,5 до примерно 100 мг, предпочтительно в пределах 0,1 – 50 мг. Суточные дозы для парентерального введения млекопитающим находятся в пределах от 0,01 мг/кг до 10 мг/кг массы тела. Предпочтительная суточная доза составляет 0,1-1 мг/кг.
Для оральных доз суточное количество может находиться в пределах от 0,01 мг активного соединения/кг массы тела млекопитающего до 100 мг/кг, предпочтительно 0,1 -10 мг/кг массы тела.
Вышеописанный ингибитор может образовывать хорошо известные фармацевтически приемлемые соли, такие как соли щелочных металлов и другие обычные основные соли или соли присоединения кислот, и т.п. Указания на основные вещества, следовательно, означают включение этих общеизвестных солей, практически эквивалентных родственному соединению и его гидратам.
Активные соединения, описанные здесь, далее, способны образовывать фармацевтически приемлемые соли присоединения как кислот, так и/или соли присоединения оснований. Все эти формы входят в рамки настоящего изобретения.
Фармацевтически приемлемые соли присоединения кислот активных соединений включают соли, производимые от нетоксичных неорганических кислот, таких как соляная кислота, азотная кислота, фосфорная кислота, серная кислота, бромоводородная кислота, иодоводородная кислота, фтороводородная кислота, фосфоновая кислота и т.п., а также соли, производимые от нетоксичных органических кислот, таких как алифатические моно- и дикарбоновые кислоты, фенилзамещенные алкановые кислоты, гидроксиалкановые кислоты, алкандиоловые кислоты, ароматические кислоты, алифатические и ароматические сульфоновые кислоты, и т. п. Такие соли, следовательно, включают сульфат, пиросульфат, бисульфат, сульфит, бисульфит, нитрат, бромид, иодид, ацетат, трифтор ацетат, пропионат, каприлат, изобутират, оксалат, малонат, сукцинат, соль пробковой кислоты, себацинат, фумарат, малеат, соль миндальной кислоты, бензоат, хлорбензоат, метилбензоат, динитробензоат, фталат, бензолсульфонат, толуолсульфонат, фенилацетат, цитрат, лактат, тартрат, метансульфонат и т.п. Также пригодными являются соли аминокислот, такие как аргинат и т.п. и глюконат, галактуронат (см. , например, Berge S.M. и др., “Pharmaceutical Salts” Journal of Pharmaceutical Science, 66, с. 1-19, 1977).
Соли присоединения кислот вышеуказанных основных соединений получают путем контактирования формы свободного основания с достаточным количеством желательной кислоты, получая соль обычным образом. Предпочтительно активное соединение можно превращать в кислую соль путем обработки раствором желательной кислоты так, чтобы результирующее значение pH было ниже 4. Раствор можно пропускать через колонку с C18-фазой, чтобы абсорбировать соединение, промывать обильным количеством воды, элюировать соединение полярным органическим растворителем, таким, как, например, метанол, ацетонитрил, и т.п., и выделять путем концентрирования при пониженном давлении с последующей лиофилизацией. Форма свободного основания может быть регенерирована путем введения солевой формы в контакт с основанием и выделения свободного основания обычным образом. Формы свободных оснований отчасти отличаются от их соответствующих солевых форм некоторыми физическими свойствами, такими как растворимость в полярных растворителях, однако в других отношениях, для целей настоящего изобретения, соли эквивалентны соответствующим им свободным основаниям.
Фармацевтически приемлемые соли присоединения оснований представляют собой соли металлов или аминов, таких как щелочные и щелочноземельные металлы и органические амины. Примерами металлов, используемых в качестве катионов, являются натрий, калий, магний, кальций и т.п. Примерами пригодных аминов являются N,N- дибензилэтилендиамин, этилендиамин, N-метилглюкамин и прокаин (см. , например, Berge S.M. и др., “Pharmaceutical Salts”, Journal of Pharmaceutical Science, 66, с. 1-19, 1977).
Основные соли присоединения вышеуказанных кислых соединений получают путем введения в контакт свободной кислотной формы с достаточным количеством желательного основания с получением соли обычным образом. Предпочтительно, активное соединение может быть превращено в основную соль путем обработки водным раствором желательного основания так, чтобы результирующее значение pH было выше 9. Раствор можно пропускать через колонку с Cis-фазой, чтобы абсорбировать соединение, промывать обильным количеством воды, элюировать соединение полярным органическим растворителем, таким, как, например, метанол, ацетонитрил и т.п., и выделять путем концентрирования при пониженном давлении с последующей лиофилизацией. Свободная кислотная форма может быть регенерирована путем контактирования солевой формы с кислотой и выделения свободной кислоты обычным образом. Свободные кислотные формы отчасти отличаются от их соответствующей солевой формы некоторыми физическими свойствами, такими как растворимость в полярных растворителях, однако в других отношениях, для целей настоящего изобретения, соли являются эквивалентными соответствующим им свободным кислотам.
Некоторые из соединений настоящего изобретения могут существовать в несольватированных формах, а также в сольватированных формах, включая гидратированные формы. Обычно сольватированные формы, включая гидратированные формы, являются эквивалентными несольватированным формам и, следовательно, входят в рамки настоящего изобретения.
Некоторые из соединений настоящего изобретения содержат один или несколько хиральных центров, и такой центр может существовать в R(D)- или S(L)-конфигурации. Настоящее изобретение включает все энантиомерные и эпимерные формы, а также их соответствующие смеси.
Для иллюстрации предлагаемых композиций приводятся следующие примеры препаративных форм.
Пример 35Таблетки следующего состава: 60 мг активного вещества, например целевого продукта примера 1, 45 мг крахмала, 35 мг микрокристаллической целлюлозы, 4 мг поливинилпирролидона в виде 10%-ного раствора в воде, 4,5 мг натриевой соли карбоксиметилового крахмала, 0,5 мг стеарата магния, 1,0 мг талька приготовляют следующим образом. Активное вещество, крахмал и целлюлозу пропускают через сито с размером отверстий 45 меш, после чего тщательно перемешивают. Получаемый порошок смешивают с раствором поливинилпирролидона и получаемую смесь пропускают через сито с размером отверстий 14 меш. Получаемые гранулы сушат при 50 – 60oC, после чего пропускают через сито с размером отверстий 18 меш и смешивают со смесью натриевой соли карбоксиметилового крахмала, стеарата, магния и талька, предварительно пропущенной через сито с размером отверстий 60 меш. Получаемую смесь перерабатывают в таблетки весом 150 мг. Пример 36 Парентеральный препарат состава: 100 мг активного вещества, например целевого продукта примера 17, 250 мл 0,9%-ного водного хлористого натрия приготовляют путем интенсивного перемешивания. pH препарата: 7,0. Пример 37 Инъекционный раствор состава 20,0 г активного вещества, например целевого продукта примера 28, 700 мл пропиленгликоля, 200 мл воды для инъекций смешивают, стерилизуют, наполняют в ампулы емкостью 50 мл, которые герметично закрывают в атмосфере азота. Как уже указывалось выше, соединения согласно изобретению являются мощными и селективными ингибиторами рецептора эпидермального фактора роста (далее: рецептор EGF), например, Erb-b2, Erb-b3 или Erb-b4, и являются полезными для лечения пролиферативных заболеваний у млекопитающих. Эти ингибиторы предотвращают митогенез в клетках, где митогенез стимулируется одним или несколькими членами этого семейства киназ. Это могут быть нормальные клетки, в которых желательно предотвратить митогенез, например, клетки, трансформированные сверхэкспрессией или мутацией этого семейства киназ, например, при плохом прогнозе рака груди, когда сверхэкспрессия рецептора EGF, ERB-b2 и ERB-b3 или мутация ERB-b2 в онкопротеин NEU является основным фактором клеточной трансформации. Поскольку предлагаемые соединения в основном не являются сильно цитотоксическими и не проявляют мощные свойства ингибирования роста, поэтому, благодаря их высокой специфичности по отношению к ингибированию рецептора EGF киназ, они будут иметь более ровный профиль токсичности, чем большинство противораковых и противопролиферативных лекарственных средств. Способ их действия, отличный от действия обычных противораковых лекарств, может разрешить их применение при множественной лекарственной терапии, когда ожидается синергизм с пригодными лекарствами. Было показано, что соединения согласно изобретению являются очень мощными обратимыми ингибиторами тирозинкиназы рецептора EGF за счет связывания с высоким сродством со связывающим аденозинтрифосфат (АТФ) участком киназы. Эти соединения проявляют концентрации 50%-ного торможения (далее: KT50), изменяющиеся от 10 микромоль до 5 пикомоль, в отношении тирозинкиназной активности фермента, исходя из исследования фосфорилирования пептида, происходящего из участка фосфорилирования протеина PLCgamma1, известного субстрата фосфорилирования рецептора EGF. Биологическая активность подтверждается следующими опытами. Опыт A Очистка тирозинкиназы рецептора эпидермального фактора роста Тирозинкиназу рецептора человеческого EGF изолируют из клеток A431 человеческой эпидермальной карциномы, которые сверхэкспрессируют рецептор EGF, по обычным методикам. Клетки выращивают во вращающихся колбах в питательной среде из 50% среды Дельбукко, модифицированной Иглом, и 50% питательной среды HAM F-12 (Гибко), содержащей 10% фетальной телячьей сыворотки. Примерно 109 клеток лизируют в двух объемах буфера, содержащего 20 мМ (4N-[2-гидроксиэтил] пиперазин- 1-ил)-этансульфоновой кислоты (Гепес), pH 7,4, 5 мМ этиленгликоль-бис- [2-аминоэтиловый простой эфир]-N,N,N’,N’-тетрауксусной кислоты (ЭГТК), 1% Тритона X-100, 10% глицерина, 0,1 мМ ортованадата натрия, 5 мМ фторида натрия, 4 мМ пирофосфата, 4 мМ бензамида, 1 мМ дитиотреитола, 80 мкг/мл апротинина, 40 мкг/мл лейпептина и 1 мМ фенилметилсульфонилфторида. После центрифугирования при 25000 g в течение 10 минут супернатант (надосадочную жидкость) уравновешивают в течение 2-х часов при 4oC с 10 мл сефарозы агглютинина зародышей пшеницы, которая была предварительно уравновешена с 50 мМ Гепес, 10% глицерина, 0,1% Тритона X-100 и 150 мМ хлорида натрия, pH 7,5 (уравновешивающий буфер). Загрязняющие протеины вымывают из смолы с помощью 1 М раствора хлорида натрия в уравновешивающем буфере и фермент элюируют с помощью 0,5 М раствора N-ацетил-1-D-глюкозамина в уравновешивающем буфере, затем 1 мМ раствором мочевины. Фермент элюируют с помощью раствора 0,1 мг/мл EGF. Рецептор, по-видимому, гомогенный по оценке на полиакриламидных электрофоретических гелях, окрашенных Кумасси-голубым. Определение величин KT50: анализы ферментов для определения KT50 проводят в общем объеме 0,1 мл, содержащем 25 мМ Гепес, pH 7,4, 5 мМ хлорида магния, 2 мМ хлорида марганца, 50 мкМ ванадата натрия, 5-10 нг тирозинкиназы рецептора EGP, 200 мМ пептида в качестве субстрата, (Ac-Lys-His-Lys-Lys-Leu-Ala-Glu-Gly-Ser- Ala-Tyr472-Glu-Glu-Val-NH2), происходящего от аминокислоты (было показано, что Tyr472 является одним из четырех тирозинов в PLC (фосфолипаза C)-гамма-1, который фосфорилируется тирозинкиназой рецептора EGF [Wahl M. I. , Nishibe S., Kim J.W., Rhee S.G., Carpenter G., J. Biol. Chem. (1990), 265, 3944-3948], и пептиды, происходящие из последовательности фермента, окружающего этот участок, являются отличными субстратами для фермента), 10 мкМ АТФ, содержащих 1 мкКю [32P]АТФ, и инкубируют в течение 10 минут при комнатной температуре. Реакцию заканчивают добавлением 2 мл 75 мМ фосфорной кислоты и пропускают через фильтровальный диск из фосфоцелюлозы диаметром 2,5 см для связывания пептида. Фильтр промывают пять раз 75 мМ фосфорной кислотой и помещают в пробирку вместе с 5 мл сцинтиллирующей жидкости (Реди-гель, Бекман). Результаты опыта сведены в таблице 1. Опыт Б Клетки Фибробласты мыши Swiss 3Т3, клетки A431 человеческой эпидермальной карциномы и MCF-7 [клетки карциномы человеческой молочной железы из Мичиганского ракового фонда], SK-BR-3 [клетки карциномы человеческой молочной железы], MDA-MB-231- и MDA-MB-468- [клетки карциномы человеческой молочной железы] клетки карциномы груди были получены из Коллекции культур американского типа, Роквилл, Мериленд, и поддерживались в виде монослоев в dMEM [среде Дельбукко, модифицированной Иглом] [F12, 50:50 (Гибко)BRL], содержащей 10% фетальной бычьей сыворотки. Для получения кондиционированной среды MDA-MB-231-клетки выращивают до слияния во вращающихся колбах емкостью 850 см3 и заменяют среду на 50 мл среды, не содержащей сыворотки. Через 3 дня кондиционированную среду удаляют, замораживают аликвотными порциями и используют как источник герегулина для стимуляции Erb-b2, Erb-b3, Erb-b4. Антитела Моноклональные антитела, выведенные к фосфотирозину, были получены из Upstate Biotechnology Inc., Lake Placid, NY. Антитела анти-ЕGF-рецептор были получены из Oncogen Science, Uniondale, NY. Иммуноосаждение и Вестерн-блоттинг Клетки выращивают до 100% слияния в чашках Петри диаметром 100 мм (Корнинг). После обработки клеток в течение 5 минут с помощью или EGF [эпидермальный фактор роста] , PDGF, или bFGF [основной фактор роста фибробластов] [20 нг/мл] или 1 мл кондиционированной среды от клеток MDA-MB-231, среду удаляют и монослой соскабливают в 1 мл охлажденного льдом лизирующего буфера [50 мМ Гепес, pH 7,5, 150 мМ хлорида натрия, 10% глицерина, 1% Тритона X-100, 1 мМ ЭДТК (этилендиаминтетрауксусная кислота), 1 мМ ЭГТК, 10 мМ пирофосфата натрия, 30 мМ п-нитрофенилфосфата, 1 мМ ортованадата, 50 мМ фторида натрия, 1 мМ фенилметилсульфонилфторида, 10 мкг/мл апротинина и 10 мкг/мл лейпептина] . Лизат переносят в микроцентрифужную пробирку [маленькая центрифуга, у которой имеются пластиковые центрифужные пробирки емкостью 1 – 2 мл], помещают на 15 минут на лед и 5 минут центрифугируют при 10000 g. Супернатант переносят в чистую микроцентрифужную пробирку и добавляют к этим образцам 5 мкг антитела. Пробирки центрифугируют в течение 2 часов при 4oC, после чего прибавляют 25 мкл протеин-A- сефарозы и продолжают центрифугирование еще по крайней мере 2 часа. Протеин-A-сефарозу промывают 5 раз с помощью раствора, содержащего 50 мМ Гепес, pH 7,5, 150 мМ хлорида натрия, 10% глицерина и 0,2% азида натрия. Осадки ресуспендируют в 30 мкл буфера Леммли (Laemmli, Nature, т. 727, стр. 680 – 685, 1970), нагревают при 100oC в течение 5 минут и центрифугируют для получения супернатанта. Полный клеточный экстракт получают при соскабливании клеток, выросших на стенках пластин с шестью ячейками, в 0,2 мл кипящего буфера Laemmli. Экстракт переносят в микроцентрифужную пробирку и в течение 5 минут нагревают при 100oC. Весь супернатант от иммуноосаждения или 35 мкл цельного клеточного экстракта наносят на полиакриламидный гель (4 – 20%) и проводят электрофорез по методу Леммли (Laemmli, 1970). Протеины в геле электрофоретически переносят на нитроцеллюлозу и мембрану промывают один раз раствором, содержащим 10 мМ Трис-буфера, pH 7,2, 150 мМ хлорида натрия, 0,01% Азида (буфер, называемый далее ТНА) и блокируют в течение ночи в ТНА, содержащем 5% бычьего сывороточного альбумина и 1% яичного альбумина (блокирующий буфер). Мембрану подвергают блоттингу в течение 2 часов с первичным антителом [1 мкг/мл в блокирующем буфере] , а затем промывают последовательно 2 раза в ТНА, ТНА, содержащего 0,05% Твин-20 и 0,05% Нонидет П-40 [коммерчески доступный детергент], и ТНА. Затем мембраны инкубируют в течение 2 часов в блокирующем буфере, содержащем 0,1 мкКю/мл [125I]-протеина-A, и снова промывают, как указано выше. После сушки блотов их вносят в кассету с пленкой и экспонируют рентгеновскую пленку X-AR в течение 1-7 дней. Протеин A является бактериальным протеином, который специфически связывает некоторые IgG подтипы, и полезен при связывании и выделении комплексов антитело-антиген. Анализ ингибирования роста Клетки (2 104) высевают в пластины с 24 ячейками (1,7х1,6 см, плоское дно) в 2 мл среды с добавками или без них различных концентраций лекарства. Пластины инкубируют 3 дня при 37oC во влажной атмосфере, содержащей 5% углекислого газа в воздухе. Рост клеток определяют подсчетом клеток с помощью электронного счетчика клеток Култер Модель AM [Култер Электронике, Инк.].
Данные по ингибированию вызванного EGF аутофосфорилирования в клетках A431 эпидермальной карциномы и аутофосфорилирования, вызванного кондиционированной средой, в клетках опухоли груди SKBR-3 сведены в таблице 2.
Результаты данного опыта представлены на фиг. 1 – 8.
Показанные на фиг. 1 – 8 гели демонстрируют эффективность соединений настоящего изобретения при блокировании некоторых EGF- стимулированных митогенных сигнальных превращений в целых клетках. Числа слева от гелей указывают положения стандартов молекулярной массы в килоДальтонах. Полоска меченого контроля показывает степень экспрессии относящегося к росту сигнала в отсутствие EGF стимуляции, тогда как полоска меченого EGF [или PDGF или b-FGF] показывает величину стимулированного фактором роста сигнала. Другие полоски показывают влияние установленных количеств названного лекарства на стимулированную фактором роста активность, измерение которой показывает, что соединения настоящего изобретения обладают мощным действием на целые клетки, согласованным с их способностью ингибировать тирозинкиназную активность рецептора EGF.
Опыт BАнтипролиферативные свойства ингибиторов тирозинкиназы Данный опыт проводят указанным выше образом. Определяют концентрацию соединений примеров 6, 17 в нм, обеспечивающую 50%-ное торможение. Результаты опыта сведены в таблице 3. BIO4-1-1 = NIH-3T3 фибропласты, зараженные neu-онкогеном, Stern, и др., Science, 234, стр. 321 – 324 (1987); SK-BR-3 = Человеческая карцинома груди, сверхэкспрессирующая ErbB-2 и ErbB-3; MDA-468 = Человеческая карцинома груди, сверхэкспрессирующая EGF рецептор. Опыт Г Клоногенный анализ на мягком агаре Монослои клеток MDA-MB163 человеческой карциономы груди выдерживают с соединением примера 6 и 17 соответственно в течение 1 – 3 дней, затем отмывают от лекарства подогретой, не содержащей сыворотки средой. Клетки трипсинизируют и высеивают 10000 клеток/мл в DMEM/F12-среду, содержащую 10% фетальной телячьей сыворотки и 0,4% агарозы, в чашках Петри диаметром 35 мм и инкубируют при 37oC во влажной атмосфере, содержащей 5% диоксида углерода в воздухе. Через 3 недели подсчитывают колонии, используя анализатор изображения для количественной оценки. Результаты данного опыта представлены на фиг. 9. Формула изобретения
![]() где радикалы Y и Z каждый означает углерод или азот или же один из них означает азот, а другой углерод, при этом циклическая структура представляет собой линейно конденсированный 6,6 (5 или 6) трицикл или один из радикалов Y и Z означает азот, кислород или серу, а другой из них представляет собой связь между двумя ароматическими кольцами, при этом циклическая структура представляет собой конденсированный 6,5 (5 или 6) трицикл; радикалы A, B, D и E каждый может означать углерод или один или два из этих радикалов могут означать азот, а остальные радикалы представляют собой углерод или любые два из смежных радикалов A-E представляют собой гетероатом из группы, включающей азот, кислород или серу, с образованием 5-членного конденсированного цикла, при этом один из двух оставшихся радикалов представляет собой углерод, а другой может означать или углерод или азот, при условии, что A и B, взятые вместе, D и E, взятые отдельно, все три радикала означают атомы азота; R1 означает водород или низший алкил; n = 0, 1 или 2, причем если n означает 2, то R1, независимо друг от друга, означают водород или низший алкил с 1-4 атомами углерода на связывающем атоме углерода, причем в любое соединение включаются оба возможных стереоцентра R и S; R2 означает низший алкил с 1-4 атомами углерода, низший алкоксил с 1-4 атомами углерода, нитрогруппу, галоген, аминогруппу; m означает 0-3; Ar означает фенил; радикалы R3, R4, R5 и R6 независимо друг от друга означают водород, низший алкил с 1-4 атомами углерода, низший алкоксил с 1-4 атомами углерода; R7 и R8 независимо друг от друга могут означать единственную пару электронов, водород или низший алкил с 1-4 атомами углерода, при этом низшая алкильная группа в любом из заместителей R3-R8 может быть замещена, по меньшей мере, одним или более остатком из группы, включающей аминогруппу, низшую диалкиламиногруппу, при этом, если один из радикалов R1, R2, R3 или R4 содержит хиральные центры или же значение радикала R1 приводит к образованию хиральных центров на связывающих атомах, то соединение вышеуказанной формулы может находиться в виде индивидуальных стереоизомеров или рацемата и/или смесей диастереомеров, или его фармацевтически приемлемую соль или гидрат. 2. Способ по п.1, отличающийся тем, что используют соединение, где n означает 0, радикалы A-E и Y и Z означают углерод, Ar – фенил, а R5-R8 – водород. 3. Способ по п.2, отличающийся тем, что используют соединение, которое имеет следующую циклическую структуру: ![]() 4. Способ по п.1, отличающийся тем, что используют соединение, в котором n означает 0 или 1, одна из пар радикалов A и B или D и E, взятых вместе, означают кислород, а каждый радикал другой пары означает углерод, радикал Y и Z – углерод, радикал Ar – фенил, а радикалы R5-R8 означают водород или R5 и R6 означают водород и R7 и R8 означают единственную пару электронов. 5. Способ по п.4, отличающийся тем, что используют соединение, которое имеет следующую циклическую структуру: ![]() 6. Способ по п.1, отличающийся тем, что используют соединение, в котором n означает 0 или 1, одна из пар радикалов A и B или D и E, взятых вместе, означают серу, а каждый радикал другой пары означает углерод, радикалы Y и Z – углерод, радикал Ar – фенил, а радикалы R5-R8 означают водород. 7. Способ по п.1, отличающийся тем, что используют соединение, в котором n означает 0 или 1, одна из пар радикалов A и B или D и E, взятых вместе, означают азот, а каждый радикал другой пары означает углерод, радикалы Y и Z – углерод, радикал Ar – фенил, а радикалы R5-R8 означают водород или же низший алкил, если радикал связан с азотом. 8. Способ по п.7, отличающийся тем, что используют соединение, которое имеет следующую циклическую структуру: ![]() 9. Способ по п.1, отличающийся тем, что используют соединение, в котором n означает 0 или 1, радикалы A и B вместе означают кислород, а радикал E – азот или радикалы D и E вместе означают кислород и радикал A – азот, радикалы Y и Z – углерод, радикал Ar – фенил, а радикалы R5-R8 означают водород или R5 и R6 означают водород и R7 и R8 означают единственную пару электронов. 10. Способ по п.1, отличающийся тем, что используют соединение, в котором n означает 0 или 1, радикалы A и B вместе означают серу, а радикал E – азот или радикалы D и E вместе означают серу и радикал A – азот, радикалы Y и Z – углерод, Ar – фенил, а радикалы R5-R8 означают водород или R5 и R6 означают водород и R7 и R8 означают единственную пару электронов. 11. Способ по п.10, отличающийся тем, что используют соединение, которое имеет следующую циклическую структуру: ![]() 12. Способ по п.1, отличающийся тем, что используют соединение, в котором n означает 0 или 1, радикалы A и B вместе означают азот, радикал E означает азот, радикалы Y и Z, каждый, означают углерод, радикал Ar – фенил, радикалы R5-R8 означают водород или же низший алкил, если радикал связан с азотом, или R5-R6 имеет указанное значение и R7 и R8 означают единственную пару электронов. 13. Способ по п.1, отличающийся тем, что используют соединение, в котором n означает 0 или 1, радикалы A и B вместе означают кислород, а радикал D – азот или радикалы D и E вместе означают кислород и радикал B означает азот, радикалы Y и Z – углерод, радикал Ar – фенил, радикалы R5-R8 означают водород или же низший алкил или R5 и R6 имеет указанное значение и R7 и R8 означают единственную пару электронов. 14. Способ по п.1, отличающийся тем, что используют соединение, в котором n означает 0 или 1, радикалы A и B вместе означают серу, а радикал D – азот или радикалы D и E вместе означают серу, а радикал B означает азот, радикалы Y и Z – углерод, радикал Ar – фенил, радикалы R5-R8 означают водород или же низший алкил или R5 и R6 имеет указанное значение и R7 и R8 означают единственную пару электронов. 15. Способ по п.1, отличающийся тем, что используют соединение, в котором n означает 0 или 1, радикалы A и B вместе и радикал D означают азот или радикалы D и E вместе и радикал B означают азот, радикалы Y и Z – углерод, радикал Ar – фенил, радикалы R5-R8 означают водород, низший алкил или R5 и R6 имеют указанное значение и R7 и R8 означают единственную пару электронов. 16. Способ по п.15, отличающийся тем, что используют соединение, которое имеет следующую циклическую структуру: ![]() 17. Способ по п.1, отличающийся тем, что используют соединение, в котором n означает 0, радикалы A и B вместе означают азот, радикалы D и E, взятые по отдельности, означают азот, радикалы Y и Z – углерод, радикал Ar – фенил, а радикалы R5-R8 означают водород или же низший алкил, если радикал связан с азотом, или R5 и R6 имеют указанное значение и R7 и R8 означают единственную пару электронов. 18. Способ по п.1, отличающийся тем, что используют соединение, в котором n означает 0 или 1, один из радикалов A, B, D или E означает азот, а остальные три радикала означают углерод, радикалы Y и Z – углерод, радикал Ar – фенил, радикалы R5-R8 означают водород или R5 и R6 означают водород и R7 и R8 означают единственную пару электронов. 19. Способ по п.1, отличающийся тем, что используют соединение, в котором n означает 0, любые два из радикалов A, B, D и E означают азот, а остальные два радикала означают углерод, радикалы Y и Z – углерод, радикал Ar – фенил, радикалы R5-R8 означают водород или R5 и R6 означают водород и R7 и R8 означают пару электронов. 20. Способ по п.1, отличающийся тем, что используют соединение, в котором n означает 0, радикалы A-E означают углерод, один из радикалов Y и Z означает углерод, а другой – азот, радикал Ar – фенил, радикалы R5-R8 означают водород или R5 и R6 означают водород и R7 и R8 означают единственную пару электронов. 21. Способ по п.20, отличающийся тем, что используют соединение, которое имеет следующую циклическую структуру: ![]() 22. Способ по п.1, отличающийся тем, что используют соединение, в котором n означает 0 или 1, одна из пар радикалов A и B или D и E, взятых вместе, означает кислород, а каждый радикал другой пары означает углерод, один из радикалов Y и Z – углерод, а другой – азот, радикал Ar – фенил, радикалы R5-R8 означают водород или R5 и R6 означают водород и R7 и R8 означают единственную пару электронов. 23. Способ по п.22, отличающийся тем, что используют соединение, которое имеет следующую циклическую структуру: ![]() 24. Способ по п.1, отличающийся тем, что используют соединение, в котором n означает 0 или 1, одна из пар радикалов A и B или D и E, взятых вместе, означает серу, а каждый радикал другой пары означает углерод, один из радикалов Y и Z – углерод, а другой – азот, радикал Ar – фенил, радикалы R5-R8 означают водород или R5 и R6 означают водород и R7 и R8 означают единственную пару электронов. 25. Способ по п.1, отличающийся тем, что используют соединение, в котором n означает 0 или 1, одна из пар радикалов A и B или D и E, взятых вместе, означают азот, а каждый радикал другой пары означает углерод, один из радикалов Y и Z – углерод, а другой – азот, радикал Ar – фенил, радикалы R5-R8 означают водород или же низший алкил, если радикал связан с азотом пиррольного кольца, или же R5 и R6 имеют указанное значение и R7 и R8 означают единственную пару электронов. 26. Способ по п.1, отличающийся тем, что используют соединение, в котором n означает 0 или 1, радикалы A и B вместе означают кислород, а радикал E – азот или радикалы D и E вместе означают кислород, а радикал A означает азот, один из радикалов Y и Z – углерод, а другой – азот, радикал Ar – фенил, радикалы R5-R8 означают водород или R5 и R6 означают водород и R7 и R8 означают единственную пару электронов. 27. Способ по п.26, отличающийся тем, что используют соединение, которое имеет следующую циклическую структуру: ![]() 28. Способ по п.1, отличающийся тем, что используют соединение, в котором n означает 0 или 1, радикалы A и B вместе означают серу, а радикал E – азот или радикалы D и E вместе означают серу и радикал A означает азот, один из радикалов Y и Z означает углерод, а другой – азот, радикал Ar – фенил, радикалы R5-R8 означают водород или R5 и R6 означают водород и R7 и R8 означают единственную пару электронов. 29. Способ по п.1, отличающийся тем, что используют соединение, в котором n означает 0 или 1, радикалы A и B вместе означают азот, радикал E – азот, один из радикалов Y и Z означает углерод, а другой – азот, Ar – фенил, радикалы R5-R8 означают водород или же низший алкил, если радикал связан с азотом, или же R5 и R6 имеют указанное значение и R7 и R8 означают единственную пару электронов. 30. Способ по п.1, отличающийся тем, что используют соединение, в котором n означает 0 или 1, радикалы A и B вместе означают кислород, а радикал D – азот или радикалы D и E вместе означают кислород и радикал B – азот, один из радикалов Y и Z означает углерод, а другой – азот, Ar – фенил, радикалы R5-R8 означают водород, низший алкил, или R5 и R6 имеют указанное значение и R7 и R8 означают единственную пару электронов. 31. Способ по п.1, отличающийся тем, что используют соединение, в котором n означает 0 или 1, радикалы A и B вместе означают серу, а радикал D – азот или радикалы D и E вместе означают серу, а радикал B означает азот, один из радикалов Y и Z означает углерод, а другой – азот, Ar – фенил, радикалы R5-R8 означают водород, низший алкил или R5 и R6 имеют указанное значение и R7 и R8 означают единственную пару электронов. 32. Способ по п.1, отличающийся тем, что используют соединение, в котором n означает 0 или 1, радикалы A и B вместе означают азот, а радикал D – азот или радикалы D и E вместе означают азот и радикал B – азот, один из радикалов Y и Z означает углерод, а другой – азот, радикал Ar – фенил, радикалы R5-R8 означают водород, низший алкил или R5 и R6 имеют указанное значение и R7 и R8 означают единственную пару электронов. 33. Способ по п.1, отличающийся тем, что используют соединение, в котором n означает 0 или 1, один из радикалов A, B, D или E означает азот, а остальные три радикала означают углерод, один из радикалов Y и Z – углерод, а другой – азот, радикал Ar – фенил, радикалы R5-R8 означают водород или R5 и R6 означают водород и R7 и R8 означают единственную пару электронов. 34. Способ по п.33, отличающийся тем, что используют соединение, которое имеет следующую циклическую структуру: ![]() 35. Способ по п.1, отличающийся тем, что используют соединение, в котором n означает 0, любые два радикала из A, B, D или E означают азот, а остальные два радикала означают углерод, один из радикалов Y и Z означает углерод, а другой – азот, радикал Ar – фенил, радикалы R5-R8 означают водород или R5 и R6 означают водород и R7 и R8 означают единственную пару электронов. 36. Способ по п.1, отличающийся тем, что используют соединение, в котором n означает 0, радикалы A-E означают углерод, радикалы Y и Z – азот, Ar – фенил, радикалы R5-R8 означают водород или R5 и R6 означают водород и R7 и R8 означают единственную пару электронов. 37. Способ по п.36, отличающийся тем, что используют соединение, которое имеет следующую циклическую структуру: ![]() 38. Способ по п.1, отличающийся тем, что используют соединение, в котором n означает 0 или 1, радикалы A-E означают углерод, один из радикалов Y и Z – серу, Ar – фенил, радикалы R5-R8 означают водород или R5 и R6 означают водород и R7 и R8 означают единственную пару электронов. 39. Способ по п.38, отличающийся тем, что используют соединение, которое имеет следующую циклическую структуру: ![]() 40. Способ по п.1, отличающийся тем, что используют соединение, в котором n означает 0 или 1, одна из пар радикалов A и B или D и E, взятых вместе, означает кислород, а каждый радикал другой пары означает углерод, один из радикалов Y и Z означает серу, радикал Ar – фенил, радикалы R5-R8 означают водород или R5 и R6 означают водород и R7 и R8 означают единственную пару электронов. 41. Способ по п.1, отличающийся тем, что используют соединение, в котором n означает 0 или 1, одна из пар радикалов A и B или D и E, взятых вместе, означает серу, а каждый радикал другой пары означает углерод, один из радикалов Y и Z означает серу, радикал Ar – фенил, радикалы R5-R8 означают водород или R5 и R6 означают водород и R7 и R8 означают единственную пару электронов. 42. Способ по п.1, отличающийся тем, что используют соединение, в котором n означает 0 или 1, одна из пар радикалов A и B или D и E, взятых вместе, означают азот, а каждый радикал другой пары означает углерод, один из радикалов Y и Z означает серу, радикал Ar – фенил, радикалы R5-R8 означают водород или низший алкил, если радикал связан с азотом или R5 и R6 имеют указанное значение и R7 и R8 означают единственную пару электронов. 43. Способ по п.1, отличающийся тем, что используют соединение, в котором n означает 0 или 1, радикалы A и B вместе означают кислород, а радикал E – азот, или радикалы D и E вместе означают кислород и радикал A означает азот, один из радикалов Y и Z означает серу, радикал Ar – фенил, радикалы R5-R8 означают водород или R5 и R6 означают водород и R7 и R8 означают единственную пару электронов. 44. Способ по п.1, отличающийся тем, что используют соединение, в котором n означает 0 или 1, радикалы A и B вместе означают серу, а радикал E – азот или радикалы D и E вместе означают серу, а радикал A означает азот, один из радикалов Y и Z означает серу, радикал Ar – фенил, радикалы R5-R8 означают водород или R5 и R6 означают водород и R7 и R8 означают единственную пару электронов. 45. Способ по п.44, отличающийся тем, что используют соединение, которое имеет следующую циклическую структуру ![]() 46. Способ по п.1, отличающийся тем, что используют соединение, в котором n означает 0 или 1, радикалы A и B вместе означают азот, радикал E – азот, один из радикалов Y и Z означает серу, радикал Ar – фенил, радикалы R5-R8 означают водород или низший алкил, если радикал связан с азотом, или же R5 и R6 имеют указанное значение и R7 и R8 означают единственную пару электронов. 47. Способ по п.1, отличающийся тем, что используют соединение, в котором n означает 0 или 1, радикалы A и B вместе означают кислород, а радикал D – азот или радикалы D и E вместе означают кислород, а радикал B означает азот, один из радикалов Y и Z означает серу, Ar – фенил, радикалы R5-R8 означают водород, низший алкил или же R5 и R6 имеют указанное значение и R7 и R8 означают единственную пару электронов. 48. Способ по п.1, отличающийся тем, что используют соединение, в котором n означает 0 или 1, радикалы A и B вместе означают серу, а радикал D – азот или радикалы D и E вместе означают серу, а радикал B означает азот, один из радикалов Y и Z означает серу, радикал Ar – фенил, радикалы R5-R8 означают водород, низший алкил или же R5 и R6 имеют указанное значение и R7 и R8 означают единственную пару электронов. 49. Способ по п.1, отличающийся тем, что используют соединение, в котором n означает 0 или 1, радикалы A и B вместе означают азот, а радикал D – азот или радикалы D и E вместе означают азот, а радикал B означает азот, один из радикалов Y и Z означает серу, радикал Ar – фенил, радикалы R5-R8 означают водород, низший алкил или же R5 и R6 имеют указанное значение и R7 и R8 означают единственную пару электронов. 50. Способ по п.1, отличающийся тем, что используют соединение, в котором n означает 0 или 1, один из радикалов A, B, D или E означают азот, а остальные три радикала означают углерод, один из радикалов Y и Z означает серу, радикал Ar – фенил, радикалы R5-R8 означают водород или R5 и R6 означают водород и R7 и R8 означают единственную пару электронов. 51. Способ по п.1, отличающийся тем, что используют соединение, в котором n означает 0 или 1, радикалы A-E означают углерод, один из радикалов Y и Z – азот, радикал Ar – фенил, радикалы R5-R8 означают водород или же низший алкил, если радикал связан с азотом. 52. Способ по п.1, отличающийся тем, что используют соединение, в котором n означает 0 или 1, одна из пар радикалов A и B или D и E, взятых вместе, означает кислород, а каждый радикал другой пары означает углерод, один из радикалов Y и Z означает азот, Ar означает фенил, радикалы R5-R8 означают водород или низший алкил, если радикал связан с азотом, или же R5-R6 означают водород и R7-R8 означают единственную пару электронов. 53. Способ по п.1, отличающийся тем, что используют соединение, в котором n означает 0 или 1, одна из пар радикалов A и B или D и E, взятых вместе, означает серу, а каждый радикал другой пары означает углерод, один из радикалов Y и Z означает азот, Ar означает фенил, радикалы R5-R8 означают водород или низший алкил, если радикал связан с азотом, или же R5 и R6 имеют указанное значение и R7 и R8 означают единственную пару электронов. 54. Способ по п.1, отличающийся тем, что используют соединение, в котором n означает 0 или 1, одна из пар радикалов A и B или D и E, взятых вместе, означает азот, а каждый радикал другой пары означает углерод, один из радикалов Y и Z означает азот, Ar означает фенил, радикалы R5-R8 означают водород или же низший алкил, если радикал связан с азотом. 55. Способ по п.1, отличающийся тем, что используют соединение, в котором n означает 0 или 1, радикалы A и B вместе означают кислород, а радикал E – азот или радикалы D и E вместе означают кислород, а радикал A – азот, один из радикалов Y и Z означает азот, Ar означает фенил, радикалы R5-R8 означают водород или низший алкил, если радикал связан с азотом, или же R5 и R6 имеют указанное значение и R7 и R8 означают единственную пару электронов. 56. Способ по п.55, отличающийся тем, что используют соединение, которое имеет следующую циклическую структуру ![]() 57. Способ по п.1, отличающийся тем, что используют соединение, в котором n означает 0 или 1, радикалы A и B вместе означают серу, а радикал E – азот или радикалы D и E вместе означают серу, а радикал A – азот, один из радикалов Y и Z означает азот, Ar означает фенил, радикалы R5-R8 означают водород или низший алкил, если радикал связан с азотом, или же R5 и R6 имеют указанное значение и R7 и R8 означают единственную пару электронов. 58. Способ по п.1, отличающийся тем, что используют соединение, в котором n означает 0, радикалы A и B вместе означают азот, радикал E – азот, один из радикалов Y и Z означает азот, Ar означает фенил, радикалы R5-R8 означают водород или низший алкил, если радикал связан с азотом, или же R5 и R6 имеют указанное значение и R7 и R8 означают единственную пару электронов. 59. Способ по п.1, отличающийся тем, что используют соединение, в котором n означает 0 или 1, радикалы A и B вместе означают кислород, а радикал D означает азот или радикалы D и E вместе означают кислород, а радикал B – азот, один из радикалов Y и Z означает азот, Ar означает фенил, радикалы R5-R8 означают водород, низший алкил или же R5 и R6 имеют указанное значение и R7 и R8 означают единственную пару электронов. 60. Способ по п.1, отличающийся тем, что используют соединение, в котором n означает 0 или 1, радикалы A и B вместе означают серу, а радикал D означает азот или радикалы D и E вместе означают серу, а радикал B – азот, один из радикалов Y и Z означает азот, Ar означает фенил, радикалы R5-R8 означают водород, низший алкил или же R5-R6 означают водород и R7-R8 означают единственную пару электронов. 61. Способ по п.1, отличающийся тем, что используют соединение, в котором n означает 0 или 1, радикалы A и B вместе означают азот и радикал D означает азот или радикалы D и E вместе означают азот и радикал B – азот, один из радикалов Y и Z означает азот, Ar означает фенил, радикалы R5-R8 означают водород, низший алкил или же R5 и R6 имеют указанное значение и R7 и R8 означают единственную пару электронов. 62. Способ по п.1, отличающийся тем, что используют соединение, в котором n означает 0 или 1, один из радикалов A, B, D или E означает азот, а остальные три радикала означают углерод, один из радикалов Y и Z означает азот, Ar означает фенил, радикалы R5-R8 означают водород или R5-R6 означают водород и R7-R8 означают единственную пару электронов. 63. Способ по п.1, отличающийся тем, что используют соединение, в котором n означает 0 или 1, радикалы A-E означают углерод, один из радикалов Y и Z – кислород, Ar означает фенил, радикалы R5-R8 означают водород или R5-R6 означает водород и R7-R8 означают единственную пару электронов. 64. Способ по п.63, отличающийся тем, что используют соединение, которое имеет следующую циклическую структуру ![]() 65. Способ по п.1, отличающийся тем, что используют соединение, в котором n означает 0 или 1, одна из пар радикалов A и B или D и E, взятых вместе, означает кислород, а каждый радикал другой пары означает углерод, один из радикалов Y и Z означает кислород, Ar означает фенил, радикалы R5-R8 означают водород или R5-R6 означают водород и R7-R8 означают единственную пару электронов. 66. Способ по п.1, отличающийся тем, что используют соединение, в котором n означает 0 или 1, одна из пар радикалов A и B или D и E, взятых вместе, означает серу, а каждый радикал другой пары означает углерод, один из радикалов Y и Z означает кислород, Ar означает фенил, радикалы R5-R8 означают водород или R5-R6 означают водород и R7-R8 означают единственную пару электронов. 67. Способ по п.1, отличающийся тем, что используют соединение, в котором n означает 0 или 1, одна из пар радикалов A и B или D и E, взятых вместе, означает азот, а каждый радикал другой пары означает углерод, один из радикалов Y и Z означает кислород, Ar означает фенил, радикалы R5-R8 означают водород или низший алкил, если радикал связан с азотом, или же R5 и R6 имеют указанное значение и R7 и R8 означают единственную пару электронов. 68. Способ по п.1, отличающийся тем, что используют соединение, в котором n означает 0 или 1, радикалы A и B вместе означают кислород и радикал E – азот или радикалы D и E вместе означают кислород и радикал A – азот, один из радикалов Y и Z означает кислород, Ar означает фенил, радикалы R5-R8 означают водород или же R5-R6 означают водород и R7-R8 означают единственную пару электронов. 69. Способ по п.1, отличающийся тем, что используют соединение, в котором n означает 0 или 1, радикалы A и B вместе означают серу и радикал E – азот или радикалы D и E вместе означают серу, а радикал A – азот, один из радикалов Y и Z означает кислород, Ar означает фенил, радикалы R5-R8 означают водород или же R5-R6 означают водород и R7-R8 означают единственную пару электронов. 70. Способ по п.69, отличающийся тем, что используют соединение, которое имеет следующую циклическую структуру ![]() 71. Способ по п.1, отличающийся тем, что используют соединение, в котором n означает 0, радикалы A и B вместе означают азот, радикал E – азот, один из радикалов Y и Z означает кислород, Ar означает фенил, радикалы R5-R8 означают водород или низший алкил, если радикал связан с азотом, или же R5 и R6 имеют указанное значение и R7 и R8 означают единственную пару электронов. 72. Способ по п.1, отличающийся тем, что используют соединение, в котором n означает 0 или 1, радикалы A и B вместе означают кислород, а радикал D означает азот или радикалы D и E вместе означают кислород, а радикал B – азот, один из радикалов Y и Z означает кислород, Ar означает фенил, радикалы R5-R8 означают водород низший алкил или же R5 и R6 имеют указанное значение и R7 и R8 означают единственную пару электронов. 73. Способ по п.1, отличающийся тем, что используют соединение, в котором n означает 0 или 1, радикалы A и B вместе означают серу, а радикал D означает азот или радикалы D и E вместе означают серу, а радикал B – азот, один из радикалов Y и Z означает кислород, Ar означает фенил, радикалы R5-R8 означают водород низший алкил или же R5 и R6 имеют указанное значение и R7 и R8 означают единственную пару электронов. 74. Способ по п.1, отличающийся тем, что используют соединение, в котором n означает 0 или 1, радикалы A и B вместе означают азот, а радикал D означает азот или радикалы D и E вместе означают азот и радикал B – азот, один из радикалов Y и Z означает кислород, Ar означает фенил, радикалы R5-R8 означают водород низший алкил или же R5 и R6 имеют указанное значение и R7 и R8 означают единственную пару электронов. 75. Способ по п.1, отличающийся тем, что используют соединение, в котором n означает 0 или 1, один из радикалов A, B, D и E означает азот, а остальные три радикала означают углерод, один из радикалов Y и Z означает кислород, Ar означает фенил, радикалы R5-R8 означают водород или R5-R6 означают водород и R7-R8 означают единственную пару электронов. 76. Способ по п.1, отличающийся тем, что используют соединение, в котором любой из радикалов R1, R2, R3 или R4 содержит хиральные центры или же, если значение радикала R1 приводит к образованию хиральных центров на связывающих атомах, то соединение вышеуказанной формулы может находиться в виде отдельных стереоизомеров или рацемата и/или смесей диастереоизомеров. 77. Способ по п. 1, отличающийся тем, что используют соединение, выбранное из группы, включающей 4-(3-броманилино)бензо[g]хиназолин; 4-9([R]-1-фенилэтиламино)бензо[g] хиназолин; 4-(3-броманилино)пирроло[3,2-g]хиназолин; 4-(3-броманилино)тиазоло[4,5-g]хиназолин; 4-(3-броманилино)оксазоло[4,5-g] хиназолин; 4-(3-броманилино)имидазоло[4,5-g] хиназолин; 4-(3-броманилино)триазоло[4,5-g] хиназолин; 4-(3-броманилино)-6-N-метил-имидазоло[4,5-g]хиназолин; 4-(3-броманилино)-8-N-метилимидазоло[4,5-g]хиназолин; 4-(3-броманилино)пиразоло[2,3-g]хиназолин; 4-(3-броманилино)имидазоло[4,5-h] хиназолин; 4-(3-броманилино)-бензотиено[3,2-d]пиримидин; 4-(3-броманилино)-8-нитробензотиено[3,2-d] пиримидин; 8-амино-4-(3-броманилино)-бензотиено[3,2-d] пиримидин; 4-(3-броманилино)8-метоксибензотиено[3,2-d] пиримидин; 4-(3-броманилино)тиазоло[4’5′;4,5]тиено-[3,2-d]пиримидин; 4-(3-броманилино)индоло[3,2-d]пиримидин; 4-(3-броманилино)индоло[2,3-d] пиримидин. 78. Азотсодержащие трициклические соединения общей формулы I ![]() где радикалы Y и Z каждый означает углерод или азот или же один из них означает азот, а другой углерод, при этом циклическая структура представляет собой линейно конденсированный 6,6 (5 или 6) трицикл или один из радикалов Y и Z означает азот, кислород или серу, а другой из них представляет собой связь между двумя ароматическими кольцами, при этом циклическая структура представляет собой конденсированный 6,5 (5 или 6) трицикл: радикалы A, B, D и E каждый может означать углерод или один или два из этих радикалов могут означать азот, а остальные радикалы представляют собой углерод или любые два из смежных радикалов A-E представляют собой гетероатом из группы, включающей азот, кислород или серу, с образованием 5-членного конденсированного цикла, при этом один из двух оставшихся радикалов представляет собой углерод, а другой может означать или углерод, или азот, при условии, что A и B, взятые вместе, D и E, взятые отдельно, все три радикала означают атомы азота; R1 означает водород или низший алкил; n = 0, 1 или 2, причем если n означает 2, то R1, независимо друг от друга, означает водород или низший алкил с 1-4 атомами углерода на связывающем атоме углерода, причем в любое соединение включаются оба возможных стереоцентра R и S; R2 означает низший алкил с 1-4 атомами углерода, низший алкоксил с 1-4 атомами углерода, нитрогруппу, галоген, аминогруппу; m означает 0-3; Ar означает фенил; радикалы R3, R4, R5 и R6 независимо друг от друга означают водород, низший алкил с 1-4 атомами углерода, низший алкоксил с 1-4 атомами углерода; R7 и R8, независимо друг от друга могут означать единственную пару электронов, водород или низший алкил с 1-4 атомами углерода, при этом низшая алкильная группа в любом из заместителей R3-R8 может быть замещена, по меньшей мере, одним или более остатком из группы, включающей аминогруппу, низшую диалкиламиногруппу, при этом если один из радикалов R1, R2, R3 или R4 содержит хиральные центры или же значение радикала R1 приводит к образованию хиральных центров на связывающих атомах, то соединение вышеуказанной формулы может находиться в виде индивидуальных стереоизомеров или рацемата и/или смесей диастереомеров, или их фармацевтически приемлемые соли или гидраты. 79. Азотсодержащие трициклические соединения по п.78, у которых радикалы A-E означают углерод, Y и Z каждый имеет значение, отличное от углерода, и по крайней мере, один из радикалов R3-R6 имеет значение, отличное от водорода, или радикалы A-E означают углерод и один из радикалов Y и Z имеет значение, отличное от азота, замещенного водородом, а другой – связью. 80. Азотсодержащие трициклические соединения по п.78, выбранные из группы, включающей 4-(3-броманилино)пирроло[4,5-g] хиназолин; 4-(3-броманилино)-тиазоло[4,5-g] хиназолин; 4-(3-броманилино)оксазоло[4,5-g]хиназолин; 4-(3-броманилино)имидазоло[4,5-g] хиназолин; 4-(3-броманилино)триазоло[4,5-g] хиназолин; 4-(3-броманилино)-6-N-метидимидазоло-[4,5-g]хиназолин; 4-(3-броманилино)-8-N-метилимидазоло[4,5-g]хиназолин; 4-(3-броманилино)пиразоло[2,3-g] хиназолин; 4-(3-броманилино)имидазоло[4,5-h] хиназолин; 4-(3-броманилино)-бензотиено[3,2-d] пиримидин; 4-(3-броманилино)-8-нитробензотиено[2,3-d] пиримидин; 8-амино-4-(3-броманилино)бензотиено[3,2-d]пиримидин; 4-(3-броманилино)-8-метоксибензотиено[3,2-d]пиримидин; 4-(3-броманилино)тиазоло[4′,5′;4,5]тиено[3,2-d]пиримидин. 81. Фармацевтическая композиция, предназначенная для введения ингибитора тирозинкиназы рецептора эпидермального фактора роста, например, Erb-b2, Erb-b3 или Erb-b4, содержащая активное вещество на основе производных азотсодержащих гетероциклических соединений и фармацевтически приемлемый эксципиент, разбавитель или носитель, отличающаяся тем, что в качестве активного вещества содержит терапевтически эффективное количество соединения формулы ![]() где радикалы Y и Z каждый означает углерод или азот или же один из них означает азот, а другой углерод, при этом циклическая структура представляет собой линейно конденсированный 6,6 (5 или 6) трицикл или один из радикалов Y и Z означает азот, кислород или серу, а другой из них представляет собой связь между двумя ароматическими кольцами, при этом циклическая структура представляет собой конденсированный 6,5 (5 или 6) трицикл; радикалы A, B, D и E каждый может означать углерод или один или два из этих радикалов могут означать азот, а остальные радикалы представляют собой углерод или любые два из смежных радикалов A-E представляют собой гетероатом из группы, включающей азот, кислород или серу, с образованием 5-членного конденсированного цикла, при этом один из двух оставшихся радикалов представляет собой углерод, а другой может означать или углерод или азот, при условии, что A и B, взятые вместе, D и E, взятые отдельно, все три радикала означают атомы азота; R1 означает водород или низший алкил; n = 0, 1 или 2, причем если n означает 2, то R1 независимо друг от друга означает водород или низший алкил с 1-4 атомами углерода на связывающем атоме углерода, причем в любое соединение включаются оба возможных стереоцентра R и S; R2 означает низший алкил с 1-4 атомами углерода, низший алкоксил с 1-4 атомами углерода, нитрогруппу, галоген, аминогруппу; m означает 0-3, Ar означает фенил; радикалы R3, R4, R5 и R6 независимо друг от друга означают водород, низший алкил с 1-4 атомами углерода, низший алкоксил с 1-4 атомами углерода; R7 и R8 независимо друг от друга могут означать единственную пару электронов, водород или низший алкил с 1-4 атомами углерода; при этом низшая алкильная группа в любом из заместителей R3-R8 может быть замещена, по меньшей мере, одним или более остатком из группы, включающей аминогруппу, низшую диалкиламиногруппу, при этом если один из радикалов R1, R2, R3 или R4 содержит хиральные центры или же значение радикала R1 приводит к образованию хиральных центров на связывающих атомах, то соединение вышеуказанной формулы может находиться в виде индивидуальных стереоизомеров или рацемата и/или смесей диастереомеров, или его фармацевтически приемлемой соли или гидрата. 82. Способ ингибирования тирозинкиназы рецептора эпидермального фактора роста, например, Erb-b2, Erb-b3 или Erb-b4, при лечении раковых заболеваний, псориаза, панкреатита или почечных заболеваний путем введения млекопитающему, нуждающемуся в этом, эффективного количества азотсодержащего гетероциклического соединения, отличающийся тем, что в качестве азотсодержащего гетероциклического соединения используют соединение формулы ![]() где радикалы Y и Z каждый означает углерод или азот или же один из них означает азот, а другой углерод, при этом циклическая структура представляет собой линейно конденсированный 6,6 (5 или 6) трицикл или один из радикалов Y и Z означает азот, кислород или серу, а другой из них представляет собой связь между двумя ароматическими кольцами, при этом циклическая структура представляет собой конденсированный 6,5 (5 или 6) трицикл; радикалы A, B, D и E каждый может означать углерод или один или два из этих радикалов могут означать азот, а остальные радикалы представляют собой углерод или любые два из смежных радикалов A-E представляют собой гетероатом из группы, включающей азот, кислород или серу, с образованием 5-членного конденсированного цикла, при этом один из двух оставшихся радикалов представляет собой углерод, а другой может означать или углерод или азот, при условии, что A и B, взятые вместе, D и E, взятые отдельно, все три радикала означают атомы азота; R1 означает водород или низший алкил; n = 0, 1 или 2, причем если n означает 2, то R1 независимо друг от друга означает водород или низший алкил с 1-4 атомами углерода на связывающем атоме углерода, причем в любое соединение включаются оба возможных стереоцентра R и S; R2 означает низший алкил с 1-4 атомами углерода, низший алкоксил с 1-4 атомами углерода, нитрогруппу, галоген, аминогруппу; m означает 0-3; Ar означает фенил; радикалы R3, R4, R5 и R6 независимо друг от друга означают водород, низший алкил с 1-4 атомами углерода, низший алкоксил с 1-4 атомами углерода; R7 и R8, независимо друг от друга могут означать единственную пару электронов, водород или низший алкил с 1-4 атомами углерода, при этом низшая алкильная группа в любом из заместителей R3-R8 может быть замещена, по меньшей мере, одним или более остатком из группы, включающей аминогруппу, низшую диалкиламиногруппу, при этом если один из радикалов R1, R2, R3 или R4 содержит хиральные центры или же значение радикала R1 приводит к образованию хиральных центров на связывающих атомах, то соединение вышеуказанной формулы может находиться в виде индивидуальных стереоизомеров или рацемата и/или смесей диастереомеров, или его фармацевтически приемлемую соль или гидрат. 83. Способ ингибирования тирозинкиназы рецептора эпидермального фактора роста, например, Erb-b2, Erb-b3 или Erb-b4, для предотвращения имплантации бластоцитата путем введения млекопитающему, нуждающемуся в этом, эффективного количества азотсодержащего гетероциклического соединения, отличающийся тем, что в качестве азотсодержащего гетероциклического соединения используют соединение формулы ![]() где радикалы Y и Z каждый означает углерод или азот или же один из них означает азот, а другой углерод, при этом циклическая структура представляет собой линейно конденсированный 6,6 (5 или 6) трицикл или один из радикалов Y и Z означает азот, кислород или серу, а другой из них представляет собой связь между двумя ароматическими кольцами, при этом циклическая структура представляет собой конденсированный 6,5 (5 или 6) трицикл; радикалы A, B, D и E каждый может означать углерод или один или два из этих радикалов могут означать азот, а остальные радикалы представляют собой углерод или любые два из смежных радикалов A-E представляют собой гетероатом из пары, включающей азот, кислород или серу, с образованием 5-членного конденсированного цикла, при этом один из двух оставшихся радикалов представляет углерод, а другой может означать или углерод или азот, при условии, что A и B, взятые вместе, D и E, взятые отдельно, все три радикала означают атомы азота; R1 означает водород или низший алкил; n = 0, 1 или 2, причем если n означает 2, то R1 независимо друг от друга означает водород или низший алкил с 1-4 атомами углерода на связывающем атоме углерода, причем в любое соединение включаются оба возможных стереоцентра R и S; R2 означает низший алкил с 1-4 атомами углерода, низший алкоксил с 1-4 атомами углерода, нитрогруппу, галоген, аминогруппу; m означает 0-3; Ar означает фенил; радикалы R3, R4, R5 и R6 независимо друг от друга означают водород, низший алкил с 1-4 атомами углерода, низший алкоксил с 1-4 атомами углерода; R7 и R8, независимо друг от друга могут означать единственную пару электронов, водород или низший алкил с 1-4 атомами углерода, при этом низшая алкильная группа в любом из заместителей R3-R8 может быть замещена, по меньшей мере, одним или более остатком из группы, включающей аминогруппу, низшую диалкиламиногруппу, при этом если один из радикалов R1, R2, R3 или R4 содержит хиральные центры или же значение радикала R1 приводит к образованию хиральных центров на связывающих атомах, то соединение вышеуказанной формулы может находиться в виде индивидуальных стереоизомеров или рацемата и/или смесей диастереомеров, или его фармацевтически приемлемую соль или гидрат. 84. Противозачаточная композиция, содержащая активное вещество на основе производных азотсодержащих гетероциклических соединений и фармацевтически приемлемый эксципиент, разбавитель или носитель, отличающаяся тем, что в качестве активного вещества содержит терапевтически эффективное количество соединения формулы ![]() где радикалы Y и Z каждый означает углерод или азот или же один из них означает азот, а другой – углерод, при этом циклическая структура представляет собой линейно конденсированный 6,6 (5 или 6) трицикл или один из радикалов Y и Z означает азот, кислород или серу, а другой из них представляет собой связь между двумя ароматическими кольцами, при этом циклическая структура представляет собой конденсированный 6,5 (5 или 6) трицикл; радикалы A, B, D и E каждый может означать углерод или один или два из этих радикалов могут означать азот, а остальные радикалы представляют собой углерод или любые два из смежных радикалов A-E представляет собой гетероатом из группы, включающей азот, кислород или серу, с образованием 5-членного конденсированного цикла, при этом один из двух оставшихся радикалов представляет собой углерод, а другой может означать или углерод или азот, при условии, что A и B, взятые вместе, D и E, взятые отдельно, все три радикала означают атомы азота; R1 означает водород или низший алкил; n = 0, 1 или 2, причем если n означает 2, то R1 независимо друг от друга означает водород или низший алкил с 1-4 атомами углерода на связывающем атоме углерода, причем в любое соединение включаются оба возможных стереоцентра R и S; R2 означает низший алкил с 1-4 атомами углерода, низший алкоксил с 1-4 атомами углерода, нитрогруппу, галоген, аминогруппу; m означает 0-3; Ar означает фенил; радикалы R3, R4, R5 и R6 независимо друг от друга означают водород, низший алкил с 1-4 атомами углерода, низший алкоксил с 1-4 атомами углерода; R7 и R8, независимо друг от друга могут означать единственную пару электронов, водород или низший алкил с 1-4 атомами углерода, при этом низшая алкильная группа в любом из заместителей R3-R8 может быть замещена, по меньшей мере, одним или более остатком из группы, включающей аминогруппу, низшую диалкиламиногруппу, при этом если один из радикалов R1, R2, R3 или R4 содержит хиральные центры или же значение радикала R1 приводит к образованию хиральных центров на связывающих атомах, то соединение вышеуказанной формулы может находиться в виде индивидуальных стереоизомеров или рацемата и/или смесей диастереомеров, или его фармацевтически приемлемой соли или гидрата. РИСУНКИ
MM4A Досрочное прекращение действия патента Российской Федерации на изобретение из-за неуплаты в установленный срок пошлины за поддержание патента в силе
Дата прекращения действия патента: 24.01.2003
Извещение опубликовано: 20.11.2004 БИ: 32/2004
|
||||||||||||||||||||||||||

I. 6 с. и 78 з.п.ф-лы, 3 табл., 9 ил.



: 12,08 (1H, шир. с); 8,84 (1H, с); 8,24 (1 H, с); 8,21 (1H, д, J = 7 Гц): 8,09 (1H, с); 7,62 (2H, выделяется д. из пентета, Jd = 1,3 Гц, Jp = 6,7 Гц).
4-Хлорбензо[g]хиназолин
9,86 (1H, с); 9,02 (1H, с); 8,63 (1H, с); 8,54 (1H, с); 8,37 (1H, с); 8,01 (2H, м); 7,36 (1H, т, J = 8,0 Гц); 7,28 (1H, шир. д); 3,96 (3H, с).
Пример 9



12,10 (1H, с); 8,84 (1H, с); 8,43 (1H, с); 8,37 (1H, д, J = 8,0 Гц); 7,74 (2H, д, J = 7,7 Гц); 7,52 – 7,08 (6H, м).
Пример 28

104) высевают в пластины с 24 ячейками (1,7х1,6 см, плоское дно) в 2 мл среды с добавками или без них различных концентраций лекарства. Пластины инкубируют 3 дня при 37oC во влажной атмосфере, содержащей 5% углекислого газа в воздухе. Рост клеток определяют подсчетом клеток с помощью электронного счетчика клеток Култер Модель AM [Култер Электронике, Инк.].
Данные по ингибированию вызванного EGF аутофосфорилирования в клетках A431 эпидермальной карциномы и аутофосфорилирования, вызванного кондиционированной средой, в клетках опухоли груди SKBR-3 сведены в таблице 2.
Результаты данного опыта представлены на фиг. 1 – 8.
Показанные на фиг. 1 – 8 гели демонстрируют эффективность соединений настоящего изобретения при блокировании некоторых EGF- стимулированных митогенных сигнальных превращений в целых клетках. Числа слева от гелей указывают положения стандартов молекулярной массы в килоДальтонах. Полоска меченого контроля показывает степень экспрессии относящегося к росту сигнала в отсутствие EGF стимуляции, тогда как полоска меченого EGF [или PDGF или b-FGF] показывает величину стимулированного фактором роста сигнала. Другие полоски показывают влияние установленных количеств названного лекарства на стимулированную фактором роста активность, измерение которой показывает, что соединения настоящего изобретения обладают мощным действием на целые клетки, согласованным с их способностью ингибировать тирозинкиназную активность рецептора EGF.
Опыт B



















