Патент на изобретение №2158126
|
||||||||||||||||||||||||||
(54) ЗАМЕЩЕННЫЕ АРИЛОКСИАЛКИЛДИАМИНЫ, ОБЛАДАЮЩИЕ СОСУДОСУЖИВАЮЩИМ ДЕЙСТВИЕМ
(57) Реферат: Настоящее изобретение относится к области медицины, может быть использовано при получении лекарственного средства для лечения мигрени и касается применения соединений общей формулы I для получения лекарственного средства для лечения состояний, связанных с расширением сосудов, в частности мигрени, новых соединений формулы I, способа их получения, фармацевтической композиции, содержащей указанные соединения, и способа ее получения. Изобретение позволяет получить лекарственный препарат, обладающий повышенной сосудосуживающей активностью. 4 с. и 6 з.п.ф-лы, 6 табл.
Настоящее изобретение относится к новым замещенным производным арилоксиалкилдиамина, способам их получения, фармацевтическим композициям, содержащим их, и их использованию в качестве лекарственного средства, в частности для профилактики или лечения нарушений, характеризующихся избыточным расширением сосудов, в частности мигрени. Мигрень – несмертельное заболевание, которым страдает каждый десятый человек. Основным симптомом является головная боль, другие симптомы включают рвоту и светобоязнь. В течение многих лет наиболее широко используемое лечение мигрени включало назначение эрготалкалоидов, которые давали некоторые неприятные побочные явления. Недавно в качестве нового препарата против мигрени стали применять производное триптамина, т.е. суматриптан. Неожиданно найдено, что данные новые замещенные производные арилоксиалкил диамина проявляют 5-HT1-подобную агонистическую активность и, таким образом, могут применяться в лечении нарушений, характеризующихся избыточным расширением сосудов, особенно мигрени. Arzneimittel. Forschung, 25, 1404 /1975/ раскрывает некоторые производные гуанидина и амидина, среди которых N-[2-[2-/2-метоксифенокси/этиламино] этил] гуанидин и которые обладают активностью инактивации – норадреналина. EP-0511 0,72 раскрывает производные 2-аминопиримидин-4-карбоксамида с общей формулой /A/ как антагонисты 1– адренергических рецепторов.
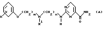
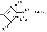
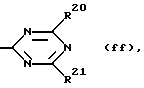
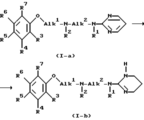
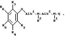
![]() Настоящее изобретение относится к соединениям, имеющим формулу ![]() их фармацевтически приемлемым солям кислотного присоединения и их стереохимически изомерным формам, в формуле R1 и R2 – каждый независимо водород или C1-6 алкил; R3-C1-6 – алкил, гидрокси, циано, галоген, C1-6 алкилокси, арилокси, арилметокси, C2-6 алкенил, C2-6 алкинил, C1-6 алкил /S=О/-, C1-6 алкилкарбонил. C1-6 алкил-S-; R4 – водород, галоген, гидрокси, C1-6 алкил или C1-6 алкилокси; или R3 и R4, взятые вместе, образуют двухвалентный радикал формулы -CH=CH-CH=CH- /a/, -/CH2/n /b/, (CH2)m-X- /c/, -X-/CH2/m /d/, – CH=CH-X- /e/, -X-CH=CH- /f/, -O-/CH2/f-Y /g/, -Y-(CH2)t-O- /h/, -/CH2/t-Z- /i/, -Z-/CH2/t /j/, в этих двухвалентных радикалах один или два атома водорода могут замещаться C1-6 алкилом, C1-6 алкилкарбонилом или C1-6-алкил-S/O/-; каждый X зависимо представляет собой -O-, -S-; -S/O/-, -S/O/2-, -C/O/-, -NR8– n – 3 или 4; каждый Y независимо представляет собой -O-, -S-, -S/O/-, -S/O/2-, -C/O/-, -NR8-; m – 2 или 3; каждый Z представляет собой -O-C/O/-; -C/O/-O-, -NH-C/O/-, -C/O/-NH-, -O-S/O/2-; t – 1 или 2; R8 – водород, C1-6 алкил, C1-6 алкилкарбонил или C1-6 алкил – S/O/-; R5 и R6 каждый независимо представляет собой водород, галоген, гидрокси, C1-6 алкил, C1-6 алкилокси, арилокси или арилметокси, R7 – водород; Alk1 – C2-5 алкандиил; Alk2 – C2-15 алкандиил; Q = радикал формулы ![]() ![]() ![]() ![]() ![]() ![]() ![]() ![]() ![]() ![]() ![]() ![]() ![]() ![]() в которой R9 – водород, циано, аминокарбонил или C1-6 алкил; R10 – водород, C1-6 алкил, C3-6 алкенил, C3-6 алкинил, C3-6 циклоалкил или арил C1-6 алкил; R11 – водород или C1-6 алкил, или R10 и R11, взятые вместе, могут образовать двухвалентный радикал формулы -/CH2/4– или -/CH2/5-, или пиперазин, который может замещаться C1-6 алкилом; R12, R13, R14, R20, R21, R22, R23, R24, R25, R26, R27, R28, R29, R36, R37 и R38 каждый независимо представляет собой водород, гидрокси, галоген, C1-6-алкил, C1-6 алкилокси, арилокси, C1-6 алкилтио, циано, амино, моно-, или ди/C1-6 алкил/амино, моно- или ди/C3-6 циклоалкил/ – амино, аминокарбонил, C1-6 алкилоксикарбониламино, C1-6 алкиламинокарбониламино, пиперидинил, пирролидинил; R15, R18 и R35 каждый независимо представляет собой водород, C1-6 алкил, C1-6-алкилкарбонил, или арил C1-6 алкил; q – 1, 2 или 3; R16 и R17– оба водород или взятые вместе с атомом углерода, к которому они присоединены, образуя C/O/; r – 1, 2 или 3; R30 и R31 – оба водород, или взятые вместе с атомом углерода, к которому они присоединены, образуют C/O/; R32 – водород, галоген или C1-6 алкил; R33 – водород, и R34 – гидрокси, или R33 и R34, взятые вместе, могут образовать двухвалентный радикал формулы /CH2/3 или /CH2/4, который может замещаться C1-6 алкилом, и арил представляет собой фенил с возможным замещением гидрокси, галогенон, C1-6 алкилом, C1-6 – алкилокси. Все соединения формулы /I/ считаются новыми, за исключением /a/N-[2-[2-/2-метоксифенокси/этиламино]этил]гуанидина; и /b/ соединений формулы /I/, в которых R3 – метокси, этокси, этокси или изопропил; R4 – водород; R5 – водород; R6 – хлор, фтор, или метил; R7 – водород; R2 – водород или метил; R1 – водород, Alk1 – 1,2 – этандиил или 1,3 – пропандиил, Alk2 – 1,2 – этандиил или 1,3-пропандиил, Q – радикал формулы /bb/, в которой R12 – водород, и R13 – 4-аминокарбонил. Некоторые из соединений формулы /I/ могут также существовать в своих таутомерных формах. Такие формы включены в объем настоящего изобретения, хотя это не указано конкретно в приведенной выше формуле. Здесь галоген определяет фтор, хлор, бром и йод; C1-6 – алкил определяет радикалы насыщенного углеводорода с прямой и разветвленной цепью, имеющие от 1 до 6 атомов углерода, такие как, например, метил, этил, пропил, бутил, пентил, гексил, а также их разветвленные изомеры; C3-6 алкенил определяет углеводородные радикалы с прямой и разветвленной цепью, содержащие одну двойную и имеющие от 3 до 6 атомов углерода, такие как, например, 2-пропенил, 3-бутенил, 2-бутенил, 2-пентенил, 3-пентенил, 3-метил-2-бутенил и прочие; и атом углерода указанного C3-6 алкенила, соединенного с атомом азота, является предпочтительно насыщенным, C2-6 алкенил определяет C3-6 алкенил и его низший гомолог, т.е. этенил; C3-6 алкенил определяет прямые и разветвленные углеводородные радикалы, содержащие одну тройную связь и имеющие от 3 до 6 атомов углерода, такие как, например, 2-пропинил, 3-бутинил, 2-бутинил, 2-пентинил, 3-пентинил, 3-гексинил и другие; и атом углерода указанного радикала C3-6 алкинил, связанного с атомом азота, является предпочтительно насыщенным; C2-6 алкинил определяет C3-6 алкинил и его низший гомолог, т.е. этинил, C3-6 циклоалкил является общим понятием для циклопропила, циклобутила, циклопентила и циклогексила; C2-5 алкандиил определяет двухвалентные радикалы насыщенного углеводорода с прямой и разветвленной цепью, имеющие от 2 до 5 атомов углерода, такие как, например, 1,2-этандиил, 1,3-пропандиил, 1,4-бутандиил, 1,5-пентандиил и так далее; C2-15 алкандиил определяет двухвалентные радикалы насыщенного углеводорода с прямой и разветвленной цепью, имеющие от 2 до 15 атомов углеводорода, такие как, например, 1,2-этандиил, 1,3-пропандиил, 1,4-бутандиил, 1,5-пентандиил, 1,6-гександиил, 1,7-гептандиил, 1,8-октандиил 1,9-нонандиил, 1,10-декандиил, 1,11-ундекандиил, 1,12-додекандиил, 1,13-тридекандиил, 1,14-тетрадекандиил, 1,15-пентадекандиил, и их разветвленные изомеры. Термин “C/O/”, означает группу карбонила. Фармацевтически приемлемые соли кислотного присоединения, упомянутые здесь, включают терапевтически активные нетоксичные формы солей кислотного присоединения, которые способны образовать соединения формулы /I/. Последние можно получить обработкой соединения I в форме основания такими приемлемыми кислотами как неорганические кислоты, например галоидводородные кислоты: хлористоводородная, бромистоводородная, серная, азотная, фосфорная и другие; или органические, например уксусная, пропановая, гликолевая, 2-оксипропионовая, пировиноградная, этандикислота, пропандикислота, бутандикислота, /Z/-2-бутандикислота, /E/-2-бутандикислота, 2-яблочная кислота, 2,3-дияблочная кислота, 2-гидрокси-1,2,3-пропантрикарбоновая, метансульфокислота, этансульфокислота, бензолсульфоксилота, 4-метилбензолсульфокислота, циклогексансульфаминовая, 2-оксибензойная, 4-амино-2-оксибензойная и прочие кислоты. И солевую форму можно преобразовать обработкой щелочами в форму свободного основания. Термин соль присоединения также включает гидраты и формы присоединения из растворителя, которые способны образовать соединения формулы /I/. Примеры таких форм представляют собой гидраты, алкоголяты и другие. Термин “стереохимически изомерные формы” здесь определяет все возможные изомерные формы, которые могут иметь соединения формулы /I/. Если не указано или не упомянуто иначе, химическое обозначение соединений означает смеси всех возможных стереохимически изомерных форм, при этом указанные смеси содержат все диастереоизомеры и энантиомеры основной молекулярной структуры. Более того, стереогенные центры могут иметь R- или S- конфигурацию. Радикалы C2-6-алкенила могут иметь E- или Z-конфигурацию. Объем изобретения включает стереохимически изомерные формы соединений формулы /I/. R1 – обычно водород или метил, лучше водород; R2 – обычно водород или метил, лучше водород; R3 – обычно C1-6 алкил, гидрокси, C1-6 алкилокси, арилметокси, лучше метил, этил, гидрокси, метокси, этокси или фенилметокси,: Ry4 – обычно водород, C1-6 алкил или C1-6 алкилокси, лучше водород или метокси; или взятые вместе R3 и R4 обычно образуют двухвалентный радикал для формы /a/, /b/, /e/, /f/, /g/ или /h/; каждый X – обычно O или S, лучше O; каждый Y – обычно O или S, лучше O; каждый Z – обычно – O-C/O/-, -C/O/-O-; R8 – обычно водород или C1-6 алкил, лучше водород или метил; R5 – обычно водород или C1-6 алкил, лучше водород или метил; R6 – обычно водород или C1-6 алкил, лучше водород или метил; Alk1 – обычно C2-3 алкандиил, лучше 1,2-этандиил, 1,2-пропандиил или 1,3-пропендиил; Alk2 – обычно C2-6 алкандиил, лучше 1,3-пропандиил или 1,4-бутандиил; Q – предпочтительно радикал формулы /aa/, /bb/, или /dd/, R9 – обычно водород, циано, аминокарбонил или метил, лучше водород или циано; R10 – обычно водород или C1-6 алкил, лучше водород, метил или этил; R11 – обычно водород или C1-6 алкил, лучше водород или метил; R12 и R13 каждый независимо водород, гидрокси, галоген или метил, лучше оба водород или R12 – водород и R13 – гидрокси; R14 – обычно водород или гидрокси, лучше водород; R15 – обычно водород или фенилметил, лучше водород; q – предпочтительно 2; R16 и R17 – оба предпочтительно водород, R18 – обычно водород или фенилметил, лучше водород, R19 – обычно водород, галоген или метил, лучше водород, или хлор, R20 и R21 каждый независимо водород, галоген или метил, лучше водород или хлор; R22 и R23 – каждый независимо водород, гидрокси, хлор или метил, лучше оба водород или R22 – водород и R23 – гидрокси; R24 и R25 – каждый независимо водород, гидрокси, галоген или метил, лучше оба водород или R24 – водород и R25 – хлор; R26 и R27-каждый независимо водород, галоген, C1-6 алкилокси, C1-6 алкилтио, амино, моно- или ди/C1-6 алкил/амино, предпочтительно R26 – водород, хлор, метилтио или амино и R27 – водород; R28 и R29 – каждый независимо водород, галоген, C1-6 алкил, лучше водород или хлор; r – предпочтительно 2; R30 и R31 – оба предпочтительно водород; R32 – обычно водород или метил, лучше водород, и арил предпочтительно представляет собой фенил Особыми соединениями формулы /I/ являются те, в которых R3 – C1-6 алкил, гидрокси, C1-6 алкилокси, арилокси, арилметокси, C2-6 алкенил, C2-6 алкинил, один из R4, R5 и R6 – водород и другие каждый независимо водород, галоген, гидрокси, C1-6 алкил, или C1-6 алкилокси, Q – радикал формулы /aa/, /bb/, /cc/, /dd/, /ee/, в которых R38 – водород, /ff/, /gg/, /hh/, /ii/, /jj/, /kk/, /ll/. Другие особые соединения формулы /I/ представляют собой те соединения, в которых R3 и R4, взятые вместе, образуют двухвалентный радикал формулы -CH= CH-CH= CH /a/, -/CH2/n /b/, -/CH2/m-X /c/, -X-/CH2/m– /d/, -CH=CH-X /e/, -X-CH= CH- /f/, -O-/CH2/2-Y- /g/, -Y-/CH2/2-O- /h/, -/CH2/t-Z- /i/, -Z-/CH2/t– /j/, в этих двухвалентных радикалах один или два атома водорода могут замещаться C1-6 алкилом, C1-6 алкилкарбонилом или C1-6, алкилсульфоксилом; и X, Y, Z, m, n и t имеют те же значения, что определены в пункте 1; Q – радикал формулы /aa/, /bb/, /cc/, /dd/, /ee/, в которых R38 – водород, /ff/, /gg/, /hh/, /ii/, /jj/, /kk/, /ll/. Интересны также соединения формулы /I/, в которых R1 и R2 – оба водород. Интересными соединениями являются те, в которых R3 и R4, взятые вместе, не образуют двухвалентный радикал и в которых R3 – C1-6 алкил, гидрокси, C1-6 алкилокси или арилметокси, особенно метил, гидрокси, метокси, этокси и фенилметокси. Другими интересными соединениями формулы /I/ являются соединения, в которых R4 – водород, C1-6 алкил или C1-6 алкилокси и R5 – водород или C1-6 алкилокси. Особые соединения представляют собой те соединения формулы /I/, в которых Q – радикал формулы /aa, /bb/, или /dd/, особенно /bb/ или /dd/. Наиболее интересными соединениями являются те, у которых Q – радикал формулы /bb/, где R9 и R10 – водород. Другой группой особо интересных соединений являются те из них, в которых Q – радикал формулы /dd/, где q – 2, R16 и R17 – водород и R18 – водород. Другими интересными соединениями являются соединения формулы /I/, в которых R3 и R4, взятые вместе, образуют двухвалентный радикал формулы /a/, /b/, /e/, /f/, /g/ или /h/; Интересны соединения, в которых Q – радикал формулы /aa/, /bb/ или /dd/, особенно /bb/ или /dd/. Наиболее интересны те соединения, в которых Q – радикал формулы /bb/, в которой R12 и R13 – водород. Другая группа наиболее интересных соединений – в которых Q – радикал формулы /dd/, где q – 2, R15 и R16 – водород и R17 – водород. Предпочтительными являются следующие соединения: [2-(2,3-диметоксифенокси)этил] 2-пиримидинил-1,3-пропандиамин;2-[2-[[3-(2-пиримидиниламино)пропил]амино]этокси]фенол; [2-(2,3-диметокси-фенокси)этил] (1,4,5,6-тетрагидро-2-пиримидинил)-1,3-пропандиамин; [2-(2-метоксифенокси)этил] (1,4,5,6-тетрагидро-2-пиримидинил)-1,8-пропандиамин; [2-(2-этоксифенокси)этил] (1,4,5,6-тетрагидро-2-пиримидинил)-1,3-пропандиамин;N-[3-/2-метоксифенокси/пропил] -N’-/1,4,5,6-тетрагидро-2-пиримидинил/ -1,3-пропандиамин; N-[2-[/2,3-дигидро-1,4-бензодиоксин-5-ил/окси] этил]-N’-2- пиримидинил-1,3-пропандиамин, N-[2-[(2,3-дигидро-1,4-бегзодиоксин-5-ил)-окси] -этил]-N’-(1,4,5,6 -тетрагидро-2-пиримидинил(1,3-пропандиамин; N-[2-[(2,3-дигидро-1,4-бензодиоксин-5-ил)окси]этил]-N’-(1,4,5,6- тетрагидро-2-пиримидинил)-1,4-бутандиамин; [2-(1-нафталинилокси)этил] – /1,4,5,6-тетрагидро-2-пиримидинил/-1,3-пропандиамин, их фармацевтически приемлемая соль кислотного присоединения или их стереохимически изомерные формы.
Соединения формулы /I/ можно обычно получить реакцией диамина формулы /II/ с реагентом формулы /III/, в котором WI– реактивная уходящая группа, такая как, например, галоген: хлор, бром; алкилокси: метокси,этокси и др.; арилокси: фенокси и др.; алкилтио: метилтио, этилтио и пр.: арилтио: бензолтио и другие.
Если не указано иначе, в формулах /II/, /III/, и всех последующих R1, R2, R3, R4, R5, R6, R7, Alk1, Alk2 и Q – те же, что определены под формулой /I/.
![]() Указанную реакцию можно проводить перемещением диамина формулы /II/ с реагентом формулы /III/ в соответствующем растворителе, таком как, например, спирт: этанол и др. ; галогенированный углеводород: трихлорметан и др; или эфир: тетрагидрофуран и др; ароматический углеводород, например, метилбензол и др. , или их смеси. Для поглощения кислоты, которая может образоваться в ходе реакции можно добавить основание, такое как карбонат щелочного металла, например карбонат натрия или калия, бикарбонат щелочного металла, например бикарбонат натрия или калия, подходящее органическое основание, например, диэтилэтанамин, пиридин и другие основания. Повышенные температуры могут ускорить реакцию. Реакцию лучше проводить при температуре кипения реакционной смеси.
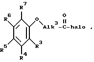
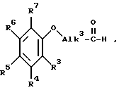
Соединения формулы /I/ можно также получить восстановительным алкилированием аминопроизводного формулы /IV/ соответствующим альдегидом формулы /V/, в которой Alk3 – C1-4 алкандиил.
![]() ![]() Эта реакция проводится перемешиванием реагентов формулы /V/ и /VI/ в соответствующем растворителе, таком как, например, спирт: этанол и др., эфир: тетрагидрофуран и др., ароматический растворитель, метилбензол и др., или их смесях. Для удаления воды, образующейся в ходе реакции, можно использовать сепаратор воды. Полученный имин затем восстанавливается реагентами реактивного гидрида, такими как боргидрид натрия или каталитическим гидрированием на соответствующем катализаторе, таком как палладированный уголь, платинированный уголь, скелетный никелевый катализатор гидрирования и другие в подходящем растворителе, например, спирте: метаноле, этаноле и др., эфире: ТГФ и др., эфире карбоновой кислоты: этилацетате, бутилацетате и др., или в карбоновой кислоте: уксусной, пропановой и других. Возможно проведение реакции при повышенных температурах и/или давлении. Промежуточный альдегид формулы /V/ можно получить восстановлением ацил-производного формулы /IV/, в которой Alk3 со значением, указанным выше. В свою очередь ацилгалогенид можно получить реакцией с галогенирующим реагентом, таким как тионил хлорид, трихлорид фосфора, трибромид фосфора, оксалилхлорид и другими. Эта реакция проводится в избытке галогенирующего реагента или в соответствующих растворителях, как, например, галогенированные углеводороды, например дихлорметан, трихлорметан и др.; ароматические углеводороды – метилбензол и др.; эфиры – ТГФ, 1,1-диоксан и др. или биполярные апротонные растворители: ДМФ, диметилацетамид и прочие. Ускорению реакции способствует перемешивание и повышенные температуры.
Восстановление ацилгалогенида формулы /IV/ можно провести каталитическим гидрированием с катализатором, таким как палладированный уголь, палладий на сульфате бария, платинированный уголь и др, в подходящих растворителях, например, эфирах: ТГФ и др.; желательно в смеси с биполярным апротонным растворителем, например, ДМФ, диметилацетамиде и прочих. Возможно добавление катализаторного ядра, такого как тиофен, хинолинсера и другие. Стадии реакции, начиная с промежуточного соединения /IV/ и кончая выходом соединений формулы /I/, можно провести в одном реакторе.
Соединения формулы /I/ можно также получить алкилированием амина формулы /VI/ промежуточным соединением формулы /VII/, в котором W2 реактивная уходящая группа, такая, как галоген: хлор, бром или йод; сульфонилокси: метансульфонилокси, метилбензолсульфонилокси и другие, в подходящих растворителях, таких, как кетоны: 2-бутанон и пр.; эфиры: ТГФ; ароматические углеводороды: метилбензол и др. ; биполярные апротонные растворители: ДМФ, диметилацетамид, диметилсульфоксид и др.
![]() Перемешивание и подогрев могут ускорить реакцию. Для поглощения кислоты, образованной в ходе реакции, возможно добавление подходящего основания, такого, как карбонат щелочного металла: карбонат натрия или калия; бикарбонат щелочного металла: бикарбонат натрия или калия и других; подходящего органического основания, например – диэтилэтанамина, пиридина и подобных им оснований.
Соединения формулы /I/ можно преобразовать друг в друга превращением функциональных групп.
Например соединения формулы /I/, где Q представляет собой фрагмент пиримидинила, который можно преобразовать в их тетрагидроаналоги в соответствии с известными процедурами каталитического гидрирования.
![]() Кроме того, соединения формулы /I/, несущие C2-6 алкинил группу или C2-6 алкенил группу, можно преобразовать в соответствующие соединения, несущие C1-6 алкил группу по известной технологии гидрирования. Соединения формулы /I/, несущие циано группу, можно преобразовать в соединения, несущие аминометиловый заместитель, согласно известной методике гидрирования. Соединения, несущие алкилокси заместитель, можно преобразовать в соединения, несущие гидрокси группу, обработкой алкилокси соединения соответствующим кислотным реагентом, например галоидводородной кислотой: бромистоводородной или трехбромистым бором и другими. Соединения, несущие арилметокси заместитель, можно преобразовать в соединения, несущие гидрокси заместитель, реакциями дебензилирования, такими как гидрогенолиз. Соединения, несущие амино заместитель, можно ацилировать или алкилировать по известным процедурам ацилирования или алкилирования.
Соединения, несущие тио-заместитель, можно окислить в соответствующие производные сульфинила.
Некоторые из промежуточных соединений, упомянутых выше, являются известными, другие представляют собой новые соединения и их можно получить, следуя известным технологиям.
Стереохимически чистые изомерные формы соединений этого изобретения можно получить известными процедурами. Диастереизомеры можно отделить способами физического разделения, такими как селективная кристаллизация и хроматография, т.е. жидкостная хроматография. Энантиомеры отделяются друг от друга селективной кристаллизацией их диастереомерных солей оптически активными кислотами. Чистые стереохимически изомерные формы можно также получить из соответствующих чистых стереохимически изомерных форм исходных материалов при условии, что реакция проходит стереоспецифически. Если нужен конкретный стереоизомер, соединение будет синтезироваться стереоспецифическими способами получения. Эти способы используют энантиомерно чистые исходные материалы. Стереохимически изомерные формы соединений формулы /I/ также охвачены изобретением.
Соединения формулы /I/, их фармацевтически приемлемые соли кислотного присоединения и стереохимически изомерные формы обладают интересными фармакологическими свойствами: они проявляют 5 HT1– подобную агонистическую активность. Соединения настоящего изобретения обладают хорошим сосудосуживающим действием. Они полезны в лечении состояний, вызванных расширением сосудов. Например они хороши в лечении состояний, характеризующихся или связанных с головной болью, связанной с сосудистыми нарушениями, в частности мигрени. Эти соединения также полезны в лечении венозной недостаточности и лечении пониженного давления.
Сосудосуживающее действие соединений формулы /I/ можно определить тестом, описанным в фармакологическим примере, в котором серотонин-подобная реакция соединений изобретения тестировалась на базилярных артериях свинок.
Учитывая их полезные фармакологические свойства, соединения можно формулировать в различные фармацевтические формы в зависимости от цели назначения. Для приготовления фармацевтических композиций этого изобретения эффективное количество конкретного соединения в форме соли кислотного или основного присоединения в качестве активного ингредиента смешиваются с фармацевтически приемлемым носителем, который может иметь множество форм в зависимости от формы назначения препарата. Эти фармацевтические композиции лучше готовить в унифицированных формах дозирования для назначения орально, ректально, подкожно или парентерально инъекций. Например в приготовлении композиций для оральных форм может использоваться обычная фармацевтическая среда, такая как вода, гликоли, масла, спирты, в случае оральных жидких препаратов, таких как суспензии, сиропы, эликсиры и растворы; или твердые носители, такие как крахмалы, сахара, каолин смазывающие, связующие вещества, агенты, способствующие разложению, и другие в случае порошков, пилюль, капсул и таблеток. Из-за легкости приема таблетки и капсулы представляют наиболее удобную единицу дозировки орального препарата, в котором используются твердые носители. Для парентеральных композиций носитель может включать стерильную воду, по меньшей мере в основной части, хотя для придания растворимости допустимо включения других ингредиентов. Инъекционные растворы могут включать физраствор, глюкозу или смесь растворов глюкозы и физраствора. Инъекционные суспензии содержат соответствующие жидкие носители, суспендирующие агенты и другие вещества. В композициях для введения через кожу носитель может содержать агент, усиливающий проникновение, и/или подходящий смачивающий агент в комбинации с небольшим количеством добавок разного характера, которые не действуют отрицательно на кожу. Эти добавки могут облегчать назначение и/или быть полезными в приготовлении нужных композиций. Эти композиции назначают разными способами, в виде трансдермальной накладки, точечного применения или как мазь. Для легкости назначения и единообразия дозировки хорошо формировать фармацевтические композиции в форме единиц дозирования. Такая форма в описании и формуле предполагает физически дискретные единицы как унифицированные дозы, при этом каждая содержит определенное количество активного ингредиента, рассчитанное на получение нужного терапевтического действия вместе с носителем. Примерами таких форм дозирования являются таблетки /включая обычные и с покрытием/, капсулы, пилюли, порошки, пастилки, инъекционные растворы или суспензии, объем в чайную, столовую ложку и другие.
Соединения используются в качестве лекарственных средств в лечении состояний, связанных с расширением сосудов, в частности при пониженном давлении, венозной недостаточности, и особенно головной боли, в частности мигрени. Предлагается также способ лечения теплокровных животных, страдающих состояниями, вызванными расширением сосудов такими как, пониженное давление, венозная недостаточность, головная боль и мигрень, назначением эффективного количества соединения формулы /I/, его фармацевтически приемлемой соли кислотного присоединения или его стереоизомерной формы. Специалисты легко определяют эффективное количество из результатов теста, представленных далее.
В общем, эффективное количество составляет от 1 мкг/кг до 1 мг/кг веса тела и, в частности, от 2 мкг/кг до 200 мкг/кг веса тела. Нужную дозу желательно применять дробно в два, три или несколько приемов через определенные интервалы в течение дня. Такие дробные дозы формируются как единицы дозировок, содержащие, например, 0,005 – 20 мг, в частности, 0,1 мг – 10 мг, активного ингредиента на единицу дозы.
Следующие примеры иллюстрируют изобретение, но не ограничивают его объем ни в каких аспектах.
Экспериментальная частьA. Получение промежуточных соединений Пример 1 a/ 2-бром-1,1-диэтоксиэтан /0,097 М/ добавляют к смеси 2,3-диметоксифенола /0,097 М/ и карбоната калия /0,097 М/ в диметилацетамиде /200 мл/. Реакционную смесь перемешивают 24 часа при 140oC. Растворитель выпаривают. Остаток разделяют между 1,1′-оксибисэтаном и раствором NaOH в воде. Органический слой отделяют, промывают насыщенным раствором NaCl, высушивают /MgSO4/, фильтруют и растворитель выпаривают с выходом 23 г /87,7%/ 1-/2,2-диэтоксиэтокси/-2,3-диметоксибензола /промеж. 1/.
b/ Хлористоводородную кислоту /2N/ /125 мл/ добавляют к раствору промежуточного соединения /1/ /0,078 М/ в 2-пропаноле /200 мл/. Реакционную смесь перемешивают 15 минут при 60oC. Органический растворитель выпаривают. Добавляют воду /300 мл/. Эта смесь экстрагируют 1,1-оксибисэтаном /3х200 мл/. Отделенный органический слой промывают насыщенным раствором NaCl, высушивают /MgSO4/, фильтруют и растворитель выпаривают с выходом 11,6 г /76%/ 2-/2,3-диметоксифенокси/ацетальдегида/ /промеж. 2/.
Аналогичным способом получены:2-[2-/фенилметокси/фенокси]ацетальдегид /промеж. 3/; [2-/метилтио/фенокси] ацетальдегид /промеж. 4/; и [2-/метилсульфинил/фенокси] ацетальдегид /пром. 5/. Пример 2 Смесь [2-/2-метоксифенокси/этил]аминпропаннитрила /0,035 М/ в метаноле /500 мл/ гидрируют со скелетными никелевым катализатором /2 г/. После поглощения водорода /2 экв./ катализатор отфильтровывают и фильтрат выпаривают с выходом 7,8 г /99,4%/ продукта. Образец /1 г/ растворяют в 2-пропаноле и превращают в соль хлористоводородной кислоты /1:2/. Соль отфильтровывают и высушивают с выходом 0,81 г /60,8%/ [2-/2-метоксифенокси/этил]-1,3-пропандиамин дигидрохлорида. Т.пл. 149,4oC /промеж. 6/.
Пример 3a) Смесь 8-метокси-1,2-бензоксатиина, 2,2-диоксида /0,020 М/ в 48% растворе бромистоводородной кислоты в воде /450 мл/ перемешивают и кипятят 2 часа. Реакционную смесь охлаждают. Полученный осадок отфильтровывают и фильтрат экстрагируют диэтиловым эфиром. Отделенный органический слой высушивают /MgSO4/, фильтруют и растворитель выпаривают с выходом 37,4 г 1,2-бензоксатиин-8-ола, 2,2-диоксида /94,4%/ /пром. 7/. b) Смесь промежуточного соединения 7 /0,13 М/, 2-бромоэтанола /0,39 М/ и карбоната калия /0,015 М/ в 2-пропаноле /50 мл/ перемешивают и подвергают кипячению всю ночь. Смесь охлаждают и полученный осадок фильтруют. Фильтрат выпаривают и остаток кристаллизуют из CH2Cl2. Осадок отфильтровывают и фильтрат выпаривают. Остаток очищают колоночной хроматографией на силикагеле /элюент: CH2Cl2/CH3OH 97,5/2,5/. Чистые фракции собирают и растворитель выпаривают с выходом 3,1 г /9,8%/ 2-/1,2-бензоксатиин-8-илокси/этанол 2,2-диоксида /промеж. 8/. c) диэтилэтанамин /10 мл/ по каплям добавляют к смеси промежуточного соединения 8 /0,089 М/ и метансульфонилхлорида /0,13 М/ в 2-пропаноне /250 мл/, все перемешивают и охлаждают на ледяной бане. Реакционную смесь перемешивают 1 час при комнатной температуре. Смесь фильтруют и фильтрат выпаривают. Остаток растворяют в CH2Cl2. Органический раствор промывают водным раствором хлористоводородной кислоты, высушивают /MgSO4/, фильтруют и растворитель выпаривают. Остаток кристаллизуют из CH2Cl2. Осадок отфильтровывают и высушивают /вакуум; 70oC/ с выходом 16,6 г /54,7%/ 2-/1,2-бензоксатиин-8-илокси/этанола, 2,2-диоксид метансульфоната /эстер/. Т. пл. 117oC /промеж. 9/.
d/ Смесь промежуточного соединения 9 /0,019 М/ в метаноле /250 мл/ гидрируют с палладированным углем в качестве катализатора /2 г/. После поглощения водорода /H2/ /1 эквив./ катализатор отфильтровывают и фильтрат выпаривают. Остаток кристаллизуют из CH3CN. Осадок отфильтровывают и сушат /вакуум, 60oC/ с выходом 3,1 г /50,6%/ 2-[/3,4-дигидро-1,2-бензоксатиин-8-ил/окси] этанол метансульфоната /эстер/ 2,2-диоксида. Т.пл. 155oC /промеж. 10/.
Пример 4a/ Смесь 2,3-дигидро-5-гидрокси-1,4-бензодиоксина /0,13 М/, 2-бромо-1,1-диэтоксиэтана /0,13 М/ и карбоната калия /0,13 М/ в диметилацетамиде /250 мл/ перемешивают всю ночь при 140oC. Растворитель выпаривают. Остаток разделяют между 1,1′-оксибисетаном и водой. Органический слой отделяют, промывают насыщенным раствором NaCl, высушивают /MgSO4/, фильтруют и растворитель выпаривают. Остаточное масло кристаллизуют из 2,2′-оксибиспропана. Остаток отфильтровывают и высушивают, выход составил 21 г /60,2%/ 5-/2,2-диэтоксиэтокси/-2,3-дигидро-1,4-бензодиоксина. Т.пл. 73,1oC /промеж. 11/.
b/ Хлористоводородную кислоту /2N/ /125 мл/ добавляют к раствору промежуточного соединения /R 97,205/ /0,078 М/ в 2-пропаноне /200 мл/. Реакционную смесь перемешивают 15 минут при 60oC. Органический растворитель выпаривают /40oC/. Добавляют воду /300 мл/. Эту смесь экстрагируют дихлорметаном. Отделенный органический слой высушивают /MgSO4/, фильтруют и растворитель выпаривают с получением 13 г /86,6%/ [/2,3-дигидро-1,4-бензодиоксин-5-ил/окси]ацетальдегида /промеж. 12/.
Таким способом получены:![]() N промеж. с. – R3, R4 12 – -O-(CH2)2-O- 13 – -(CH2)4– 14 – -O-CH=CH- 15 – -O-(CH2)3– 16 – -(CH2)3-O- 17 – -C(CH3)=C(CH3)-O- B. Получение конечных соединений Пример 5 Смесь промежуточного соединения 6 /0,03 М/, 2-хлорпиримидина /0,03 М/ и карбоната натрия /0,03 М/ в этаноле /150 мл/ перемешивают и кипятят всю ночь. Реакционную смесь фильтруют через дикалит. Фильтрат выпаривают. Остаток растворяют в ацетонитриле и эту смесь окисляют HCl/2-пропанолом. Осадок отфильтровывают. Фильтрат выпаривают и остаток перемешивают в воде. Эту смесь подщелачивают NaOH, затем экстрагируют 1,1′-оксибисэтаном. Отделенный органический слой высушивают /MgSO4/, фильтруют и растворитель выпаривают. Остаток растворяют в теплом метаноле /500 мл/ и превращают в соль этандикислоты /1: 2/ путем взаимодействия с раствором этандикислоты (8 г/ в метаноле. Соль отфильтровывают и высушивают с получением 6,8 г /56,3%/ [2-/2-метоксифенокси/этил] 2-пиримидинил-1,3-пропандиамин этандиоата /1:2/. Т.пл. 178,4oC /соед. 1/.
Пример 6 2-Пиримидинил-1,3-пропандиамин /0,042 М/ добавляют к раствору промежуточного соединения 2 /0,056 М/ в этаноле /200 мл/ и эту смесь перемешивают 30 минут при комнатной температуре. Реакционную смесь охлаждают до 0oC в бане с ледяной солью. Добавляют боргидрид натрия /0,059 М/ и реакционную смесь перемешивают 30 минут при 0oC, затем 1 час при комнатной температуре. Добавляют небольшое количество воды и растворитель выпаривают при 40oC. Остаток разделяют между дихлорметаном и водой. Органический слой отделяют, высушивают /MgSO4/, фильтруют и растворитель выпаривают. Остаточное масло /13 г/ очищают колоночной хроматографией на силикагеле /элюант: CH2Cl2/CH3OH/NH3/ 95/5/. Нужные фракции собирают и растворитель выпаривают. Остаточное масло /8 г/ растворяют в 2-пропаноле и превращают в соль этандикислоты /1:1/. Осадок отфильтровывают и кристаллизуют из метанола. Осадок отфильтровывают и высушивают с получением 6,7 г /37,8% / [2-/2,3-диметоксифенокси/этил]-N’-2-пиримидинил-1,3-пропандиамин этандиоата /1:1/. Т.пл. 200,0oC /соед. 2/.
Пример 7a/ Смесь промежуточного соединения 3 /0,117 М/ и 2-пиримидинил-1,3-пропандиамина /0,087 М/ в этаноле /500 мл/ перемешивают 45 минут при 20oC. Реакционную смесь охлаждают до 0oC /баня с ледяной солью/. Одной порцией добавляют боргидрид натрия /0,125 М/ и реакционную смесь перемешивают 2 часа. Добавляют воду и растворитель выпаривают. Остаток разделяют между 1,1-оксибисэтаном и водой. Органический слой отделяют, высушивают, фильтруют и растворитель выпаривают. Остаток очищают колонной хроматографией на силикагеле /элюент: CH2Cl2/CH3OH/NH3/ 95/5. Чистые фракции собирают и растворитель выпаривают. Остаток кристаллизуют из 2-пропанола. Осадок отфильтровывают и высушивают с получением 7,7 г /23,4%/ N-[2-[2-/фенилметокси/фенокси]этил] -N’-2-пиримидинил-1,3- пропандиамина. Т.пл. 90,1oC /соед. 3/.
b/ Смесь соединения /97232/ /0,02 М/ в метаноле /250 мл/ гидрируют с палладием на активированном угле 10% /2 г/ в качестве катализатора. После поглощения водорода /1 экв./ катализатор отфильтровывают. Фильтрат выпаривают. Остаток растворяют в этаноле и превращают в соль хлористоводородной кислоты /1:2/ HCl/2-пропанолом. Соль отфильтровывают и высушивают с получением 4,8 г /66,4%/ 2-[2-[[3-/2-пиримидиниламино/пропил]амино]этокси]фенол дигидрохлорида. Т.пл. 166,4oC /соед. 4/.
Пример 8Смесь 1-бром-3-/2-метоксифенокси/пропана /0,020 М/, N-2-пиримидинил-1,3-пропандиамина /0,020 М/ и карбоната калия /0,03 М/ в N,N-диметилацетамиде /50 мл/ перемешивают 48 часов при 70oC. Растворитель выпаривают. Остаток разделяют между дихлорметаном и водой. Органический слой отделяют, высушивают /MgSO4/, фильтруют и растворитель выпаривают. Остаточное масло очищают колонной хроматографией на силикагеле /элюент: CH2Cl2/ /CH3OH/NH3/ 95/5/. Нужные фракции собирают и растворитель выпаривают. Остаток /5 г/ растворяют в 2-пропаноне и превращают в соль этандикислоты /1:1/. Осадок отфильтровывают и кристаллизуют из метанола. Осадок отфильтровывают и высушивают с получением 3,41 г продукта. Эту фракцию не рекристаллизовывают из метанола. Остаток отфильтровывают и сушат с получением 3,3 г /40%/ N-[3-/2-метоксифенокси/пропил] -N’-2-пиримидинил-1,3-пропандиамин этандиоата /1:1/. Т.пл. 186,3oC /соед. 5/. Пример 9 Смесь соединения 2 /0,0135 М/ и дигидрата этандикислоты /0,0135 М/ в 2-метоксиэтаноле /300 мл/ гидрируют при 80oC палладием на активированном угле 10% /2 г/ в качестве катализатора в присутствии 4% раствора тиофена /2 мл/. После поглощения водорода /2 экв. / катализатор отфильтровывают и фильтрат выпаривают. Остаток кристаллизуют из метанола. Осадок отфильтровывают и высушивают с получением 2,56 г /35,7%/ N-[2-/2,3-диметоксифенокси/этил] -N’-/1,4,5,6- тетрагидро-2-пиримидинил/-1,3-пропандиамин этандиоата /1:2/. Т.пл. 181,1oC /соед. 6/. Пример 10 N-2-пиримидинил-1,3-пропандиамин /0,05 М/ добавляют к раствору промежуточного соединения 12 /0,067 М/ в этаноле /200 мл/ и эту смесь перемешивают 30 минут при комнатной температуре. Реакционную смесь охлаждают до 0oC в бане с ледяной солью. Добавляют борогидрид натрия /0,070 М/ и реакционную смесь перемешивают 30 минут при 0oC, затем 30 минут при комнатной температуре. Добавляют небольшое количество воды и растворитель выпаривают. Остаток разделяют между дихлорметаном и водой. Органический слой отделяют, высушивают /MgSO4/, фильтруют и растворитель выпаривают. Остаточное масло очищают колоночной хроматографией на силикагеле /элюент: CH2Cl2/ /CH3OH/NH3/ 95/5/. Нужные фракции собирают и растворитель выпаривают. Остаточное масло растворяют в 2-пропаноне и преобразовывают в соль этандикислоты /1:2/. Осадок отфильтровывают и кристаллизуют из метанола. Осадок отфильтровывают и сушат с получением 6 г /23,5%/ N-[2-[/2,3-дигидро-1,4-бензодиоксин-5-ил/окси]этил] -N’-2-пиримидинил-1,3-пропандиамин этандиоата /1: 1/. Т.пл. 213,2oC /соед. 7/. Пример 11 Смесь 5-/3-хлорпропокси/-2,3-дигидро-1,4-бензодиоксина /0,017 М/, N-2-пиримидинил-1,3-пропандиамина /0,026 М/ и оксида кальция /5 г/ в тетрагидрофуране /150 мл/ перемешивают всю ночь при 160oC /аппарат высокого давления/. Смесь охлаждают, фильтруют и фильтрат выпаривают. Остаток очищают колонной хроматографией на силикагеле /элюент: CH2Cl2/ /CH3OH/NH3/ 95/5/. Чистые фракции собирают и растворитель выпаривают с выходом 2,66 г N-[3-[/2,3-дигидро-1,4-бензодиоксин-5-ил/окси] пропил] – N’-2-пиримидинил-1,3-пропандиамин этандиоата /1:1/ /36,0%/. Т.пл. 200,2oC /соед. 8/. Пример 12 Соединение 7 /0,0078 М/ и дигидрат этандикислоты /0,0078 М/ растворяют в теплой смеси 2-метоксиэтанола /200 мл/ и воды /100 мл/. Этот раствор гидрируют при 80oC палладием на активированном угле /10%/ /2 г/ в присутствии 4% раствора тиофена /1 мл/. После поглощения водорода /2 экв./ катализатор отфильтровывают и фильтрат выпаривают. Остаток кристаллизуют из метанола. Осадок отфильтровывают и сушат. Эту фракцию перекристаллизовывают из воды. Осадок отфильтровывают и сушат с выходом 0,8 г продукта. Эту фракцию перекристаллизовывают из метанола/воды/ /5/1/. Осадок отфильтровывают и сушат с получением 0,5 г /13,7%/ N-[2-[/2,3-дигидро-1,4-бензодиоксин-5-ил/окси]этил] -N”-/1,4,5,6-тетрагидро-2-пиримидинил/-1,3-пропандиамин этандиоата /2:3/. Т.пл. 231,1oC /соед. 9/. Пример 13 Фенокси-1-/1-метилэтил/метилен цианамид /0,019 М/ добавляют к раствору N-[2,3-дигидро-1,4-бензодиоксин-5-ил/окси] этил]-1,4-пропандиамина /0,019 М/ в метаноле /100 мл/. Реакционную смесь перемешивают 4 дня при комнатной температуре. Растворитель выпаривают. Остаточное масло очищают колонной хроматографией на силикагеле /элюент: CH2Cl2/CH3OH 90/10/. Чистые фракции собирают и растворитель выпаривают. Остаточное масло /2,9 г/ кристаллизуют из CH3CN. Осадок отфильтровывают и сушат с выходом 2,4 г. /34,9%/ N”-циано-N-[3-[[2-[/2,3-дигидро-1,4-бензодиоксин-5-ил/окси] этил] амино] пропил]-N’-/1-метил-этил/гуанидина. Т.пл. 120,6oC /соед. 10/. Пример 14 Смесь соединения 10 /0,003 М/ в хлористоводородной кислоте в 2-пропаноле /10 мл/ и метанола /50 мл/ перемешивают и кипятят 30 минут. Растворитель выпаривают. Остаток кристаллизуют из CH3CN. Осадок отфильтровывают и сушат с выходом 0,53 г /39,1%/ N-[[[3-[[2-[/2,3-дигидро-1,4-бензодиоксин-5-ил/окси] этил] амино]пропил]амино] [1-метилен/амино метилен мочевины дигидрохлорида. Т.пл. 155,0oC /соед. 11/. Этим способом были получены (см. табл. 1 -5). C. Фармакологический пример Пример 15 Сегменты базилярных артерий от свинок /анестезированных пентобарбиталом натрия/ закреплялись в ванночках для регистрации изометрического растяжения. Препараты погружались в раствор Кребса-Ханселейта. Раствор поддерживался при температуре 37oC и продувался смесью 95% O2 – 5% CO2. Препараты растягивались до стабильного базального растяжения в 2 грамма. Препараты суживались серотонином /3 10-7 М/. Измерялась ответная реакция на добавление серотонина, и затем серотонин вымывался. Эта процедура повторялась до достижения стабильных ответных реакций. В последующем в ванночку вводилось тестуемое соединение и измерялось сужение препарата. Эта ответная реакция сужения выражалась как процентная величина ответной реакции на серототин в предшествующих измерениях.
В таблице 6 представлены наинизшие активные концентрации соединений формулы /I/.
D. Примеры на композицию“Активный ингредиент” /A.I/ в этих примерах относится к соединению формулы /I/, фармацевтически приемлемой соли кислотного присоединения или его стереохимически изомерной форме. Пример 16 Капли для орального назначения 500 г A.I растворяют в 0,5 л 2-оксипропионовой кислоты и 1,5 л полиэтиленгликоля при 60-80oC. После охлаждения до 30-40oC к смеси добавляют 35 л полиэтиленгликоля и смесь хорошо перемешивают. Затем добавляют раствор 1750 г сахарина натрия в 2,5 л очищенной воды и при перемешивании добавляют 2,5 л аромата какао и полиэтилен гликоля q.s. до объема в 50 л с получением раствора капель орального назначения, содержащих 10 мг/мл A.I. Полученным раствором заполняют нужные контейнеры. Пример 17 Раствор для орального назначения Метил-4-гидроксибензоата (9 г) и 1 г пропил-4-гидроксибензоата растворяют в 4 л кипящей очищенной воды. В 3-х литрах этого раствора растворяют вначале 10 г 2,3-дияблочной кислоты (диоксибутандионовая) и затем 20 г A.I. Последний раствор соединяют с остальной частью первого раствора, к нему добавляют 12 л 1,2,3-пропантриола и 3 л 70% раствора сорбита. 40 г сахарина натрия растворяют в 0,5 л воды и добавляют 2 мл клубничной эссенции и 2 мл эссенции крыжовника. Последний раствор соединяют с первым, добавляют воды, сколько требуется до объема в 20 л с получением раствора для орального назначения, содержащего 5 мг активного ингредиента на чайную ложку /5 мл/. Полученным раствором заполняют подходящие контейнеры. Пример 18 Капсулы 20 г Активного ингредиента (A.I), 6 г лаурилсульфата натрия, 56 г крахмала, 56 г лактозы, 0,8 г коллоидального диоксида кремния и 1,2 г стеарата магния энергично перемешивают вместе. Полученной смесью заполняют 1000 твердых желатиновых капсул с содержанием в каждой 20 мг. активного ингредиента. Пример 19 Таблетки с пленочным покрытием Приготовление основы таблетки. Смесь 100 г A.I., 570 г лактозы и 200 г крахмала хорошо перемешивают и затем увлажняют раствором 5 г натрийдодецилсульфата и 10 г поливинилпирролидона приблизительно в 200 г воды. Влажную порошковую смесь просеивают, высушивают и вновь просеивают. Затем в нее добавляют 100 г микрокристалллической целлюлозы и 15 г гидрированного растительного масла. Все тщательно перемешивают и прессуют в таблетки с получением 10.000 таблеток с содержанием в каждой 10 мг активного ингредиента. Покрытие К раствору 10 г метилцеллюлозы в 75 мл денатурированного этанола добавляют раствор 5 г этилцеллюлозы в 150 мл дихлорметана. Затем добавляют 75 мл дихлорметана и 2,5 мл 1,2,3-пропантриола. Расплавляют 10 г полиэтиленгликоля и растворяют в 75 мл дихлорметана. Последний раствор добавляют к первому и к ним добавляют 2,5 г октадеканоата магния, 5 г поливинилпирролидона и 30 мл концентрированной красящей суспензии и всю смесь гомогенизируют. Основы таблеток покрывают такой смесью в устройстве для покрытия. Пример 20 Раствор для инъекций 1,8 г Метил-4-гидроксибензоата и 0,2 г пропил-4-гидроксибензоата растворяют приблизительно в 0,5 л кипящей воды для инъекции. После охлаждения до около 50oC туда при перемешивании добавляют 4 г молочной кислоты, 0,05 г полиэтиленгликоля и 4 г A.I. Раствор охлаждают до комнатной температуры и доводят водой для инъекций q.s. до 1 л с получением раствора, содержащего 4 мг/мл A.I. Раствор стерилизуют фильтрацией /Фармакопея США XVII стр. 811/ и заполняют стерильные ампулы. Пример 21 Суппозитории 3 г A. I. растворяют в растворе 3 г 2,3-дияблочной кислоты в 25 мл полиэтиленгликоля 400. Вместе расплавляют 12 г ПАВ /SPAN/ и триглицериды /Witepsol 555 q.s. ad/ 300 г. Последнюю смесь тщательно смешивают с первым раствором. Полученную таким образом смесь выливают в формы при температуре 37-38oC с получением 100 суппозиториев с содержанием в каждом 30 мг/мл A.I. Пример 22 Раствор для инъекций 60 г A.I и 12 г бензилового спирта тщательно смешивают и добавляют кунжутное масло q. s. до 1 л с получением раствора, содержащего 60 мг/мл A.I. Раствор стерилизуют и заполняют стерильные ампулы. Формула изобретения
![]() где R3 является метокси, этокси, изопропоксигруппой; R4 является водородом; R5 является водородом; R6 является хлором, фтором или метилом; R7 является водородом; R1 является водородом; R2 является водородом или метилом; Alk1 является 1,2-этандиилом или 1,3-пропандиилом; Alk2 является 1,2-этандиилом или 1,3-пропандиилом; Q является радикалом формулы (вв), где R12 является водородом и R13 является 4-аминокарбонилом; или где R3 является метокси; R4, R5, R6, R7 является водородом; Alk1 является этандиил; R2 является водородом; Alk2 является этандиилом; R1 является водородом; Q является С(=NН)-NН, для получения лекарственного средства для лечения состояний, связанных с расширением сосудов. 2. Соединение общей формулы I’ ![]() их фармацевтически приемлемые соли кислотного присоединения и стереохимические изомерные формы, где R1 и R2 каждый независимо содержит водород или С1-6алкил; R3 – С1-6алкил, гидрокси, циано, галоген, С1-6алкилокси, арилокси, арилметокси, С2-6алкенил, С2-6алкинил, С1-6алкил -S-, С1-6алкил (S=О)-, С1-6алкилкарбонил; R4 – водород, галоген, гидрокси, С1-6алкил, или С1-6алкилокси, или R3 и R4, взятые вместе, образуют двухвалентный радикал формулы: -СН=СН-СН=СН- (а), -(СН2)n– (b), -(СН2)m-Х- (с), -Х-(СН2)m– (d), -СН=СН-Х- (е), -Х-СН=СН- (t), -О-(СН2)t-Y- (g), -Y-(СН2)t-О- (h), -(СН2)t-Z- (i), в этих двухвалентных радикалах один или два атома водорода могут замещаться С1-6алкилом; каждый Х независимо -О-, -S-, -S(О)-, -S(О)2-, -С(О)-; n = 3 или 4; каждый Y независимо -О-, -S-, -S(О)-, -S(О)2-, -С(О)-; m = 2 или 3; каждый Z -О-С(О)-, -С(О)-О-, -О-S(О)2-; t = 1 или 2; R5 и R6 каждый независимо водород, галоген, гидрокси, С1-6алкил, С1-6алкилокси, арилокси или арилметокси; R7 – водород; Alk1 – С2-5алкандиил; Alk2 – С2-15алкандиил; Q – радикал формулы ![]() в которых R9 – водород, циано, аминокарбонил или С1-6алкил; R10 – С1-6алкил, С3-6алкенил, С3-6алкинил; R11 – водород или С1-6алкил; R12, R13 каждый независимо водород, гидрокси, галоген, С1-6алкил, С1-6алкилокси, С1-6алкилтио, g = 2, R16 и R17 – оба водород; R18 – водород или С1-6алкил. 3. Соединение по п.2, в котором R3 – С1-6алкил, гидрокси, С1-6алкилокси, арилокси, арилметокси, С2-6алкенил, С2-6алкинил, один из R4, R5 и R6 – водород и другие каждый независимо – водород, галоген, гидрокси, С1-6алкил, или С1-6алкилокси, Q – радикал формулы (aa), (bb), (dd). 4. Соединение по п.2, в котором R3 и R4, взятые вместе, образуют двухвалентный радикал формулы -СН=СН-СН=СН- (а), -(СН2)n– (b), -(СН2)m-Х- (с), -Х-(СН2)m– (d), -СН=СН-Х- (е), -Х-СН=СН- (t), -О-(СН2)t-Y- (g), -Y-(СН2)t-О- (h), -(СН2)tZ- (i) в этих двухвалентных радикалах один или два атома водорода могут замещаться С1-6алкилом; Х, Y, Z, m, n – те же, что определены в п.2, в двухвалентных радикалах формулы (g) и (h) t = 2, Q – радикал формулы (aa), (bb), (dd). 5. Соединение по п.2, в котором R1 и R2 – водород. 6. Соединение по п.2, в котором соединение представляет собой N-[2-(2,3-диметоксифенокси)этил]-N’-2-пиримидинил-1,3-пропандиамин; 2-[2-[[3-(2-пиримидиниламино)пропил]амино]этокси]фенол; N-[2-(2,3-диметоксифенокси)] -N’-(1,4,5,6-тетрагидро-2-пиримидинил)-1,3-пропандиамин; N-[2-(2-диметоксифенокси)этил] -N’-(1,4,5,6-тетрагидро-2-пиримидинил)-1,3-пропандиамин; N-[2-(2-этоксифенокси)этил] -N’-(1,4,5,6-тетрагидро-2-пиримидинил)-1,3-пропандиамин; N-[3-(2-метоксифенокси)пропил] -N’-(1,4,5,6-тетрагидро-2-пиримидинил)-1,3-пропандиамин; N-2-[(2,3-дигидро-1,4-бензодиоксин-5-ил)окси] этил]-N’-2-[(2,3-дигидро-1,4-бензодиоксин-5-ил)окси]-этил]-N’-2-пиримидинил-1,3-пропандиамин; N-[2-[(2,3-дигидро-1,4-бензодиоксин-5-ил)-окси] этил] -N’-(1,4,5,6-тетрагидро-2-пиримидинил)-1,3-пропандиамин; N-[2-[(2,3-дигидро-1,4-бензодиоксин-5-ил)окси] этил] -N’-(1,4,5,6-тетрагидро-2-пиримидинил)-1,4-бутандиамин; N-[2-(1-нафталинокси)этил] -N’-(1,4,5,6-тетрагидро-2-пиримидинил)-1,3-пропандиамин, их фармацевтически приемлемую соль кислотного присоединения или их стереохимически изомерные формы. 7. Фармацевтическая композиция, содержащая фармацевтически приемлемый носитель и в качестве активного ингредиента терапевтически эффективное количество соединения по п.2. 8. Способ получения композиции по п.7, отличающийся тем, что терапевтически активное количество соединения по п.2 тщательно смешивают с фармацевтически приемлемым носителем. 9. Соединение по п.2 для использования в качестве лекарственного средства. 10. Способ получения соединения общей формулы I’ по п.2, отличающийся тем, что проводят восстановление производного ацила формулы IV ![]() в которой R3, R4, R5, R6 и R7 – те же, что определены в п.2; Alk3 – С1-4алкандиил, и полученный альдегид формулы V ![]() взаимодействует с промежуточным соединением формулы VI ![]() в которой R1 и R2 – то же, что и в п.2, при этом соединения формулы I’ при желании преобразовывают друг в друга реакцией преобразования функциональных групп и при желании преобразовывают соединение формулы I’ в терапевтически активную нетоксичную соль кислотного присоединения, или, наоборот, преобразовывают щелочами соль кислотного присоединения в форму свободного основания, и/или получают их стереохимически изомерные формы. РИСУНКИ
|
||||||||||||||||||||||||||

1– адренергических рецепторов.
















[2-(2,3-диметоксифенокси)этил]
2-пиримидинил-1,3-пропандиамин;
[2-(2,3-диметокси-фенокси)этил]
(1,4,5,6-тетрагидро-2-пиримидинил)-1,3-пропандиамин;
[2-(2-метоксифенокси)этил]
(1,4,5,6-тетрагидро-2-пиримидинил)-1,8-пропандиамин;
[2-(2-этоксифенокси)этил]
(1,4,5,6-тетрагидро-2-пиримидинил)-1,3-пропандиамин;
[2-(1-нафталинилокси)этил] –
/1,4,5,6-тетрагидро-2-пиримидинил/-1,3-пропандиамин, их фармацевтически приемлемая соль кислотного присоединения или их стереохимически изомерные формы.
Соединения формулы /I/ можно обычно получить реакцией диамина формулы /II/ с реагентом формулы /III/, в котором WI– реактивная уходящая группа, такая как, например, галоген: хлор, бром; алкилокси: метокси,этокси и др.; арилокси: фенокси и др.; алкилтио: метилтио, этилтио и пр.: арилтио: бензолтио и другие.
Если не указано иначе, в формулах /II/, /III/, и всех последующих R1, R2, R3, R4, R5, R6, R7, Alk1, Alk2 и Q – те же, что определены под формулой /I/.

диэтилэтанамин, пиридин и другие основания. Повышенные температуры могут ускорить реакцию. Реакцию лучше проводить при температуре кипения реакционной смеси.
Соединения формулы /I/ можно также получить восстановительным
алкилированием аминопроизводного формулы /IV/ соответствующим альдегидом формулы /V/, в которой Alk3 – C1-4 алкандиил.


ДМФ,
диметилацетамид и прочие. Ускорению реакции способствует перемешивание и повышенные температуры.
Восстановление ацилгалогенида формулы /IV/ можно провести каталитическим гидрированием с катализатором, таким как палладированный уголь, палладий на сульфате бария, платинированный уголь и др, в подходящих растворителях, например, эфирах: ТГФ и др.; желательно в смеси с биполярным апротонным растворителем, например,
ДМФ,
диметилацетамиде и прочих. Возможно добавление катализаторного ядра, такого как тиофен, хинолинсера и другие. Стадии реакции, начиная с промежуточного соединения /IV/ и кончая выходом соединений формулы /I/, можно провести в одном реакторе.
Соединения формулы /I/ можно также получить
алкилированием амина формулы /VI/ промежуточным соединением формулы /VII/, в котором W2 реактивная уходящая группа, такая, как галоген: хлор, бром или йод; сульфонилокси: метансульфонилокси, метилбензолсульфонилокси и другие, в подходящих растворителях, таких, как кетоны: 2-бутанон и пр.; эфиры: ТГФ; ароматические углеводороды: метилбензол и др. ; биполярные апротонные растворители:
ДМФ,
диметилацетамид, диметилсульфоксид и др.

– диэтилэтанамина, пиридина и подобных им оснований.
Соединения формулы /I/ можно преобразовать друг в друга превращением функциональных групп.
Например соединения формулы /I/, где Q представляет собой фрагмент пиримидинила, который можно преобразовать в их тетрагидроаналоги в соответствии с известными процедурами каталитического гидрирования.

ацилировать или
алкилировать по известным процедурам
ацилирования или
алкилирования.
Соединения, несущие тио-заместитель, можно окислить в соответствующие производные сульфинила.
Некоторые из промежуточных соединений, упомянутых выше, являются известными, другие представляют собой новые соединения и их можно получить, следуя известным технологиям.
Стереохимически чистые изомерные формы соединений этого изобретения можно получить известными процедурами. Диастереизомеры можно отделить способами физического разделения, такими как селективная кристаллизация и хроматография, т.е. жидкостная хроматография. Энантиомеры отделяются друг от друга селективной кристаллизацией их диастереомерных солей оптически активными кислотами. Чистые стереохимически изомерные формы можно также получить из соответствующих чистых стереохимически изомерных форм исходных материалов при условии, что реакция проходит стереоспецифически. Если нужен конкретный стереоизомер, соединение будет синтезироваться стереоспецифическими способами получения. Эти способы используют энантиомерно чистые исходные материалы. Стереохимически изомерные формы соединений формулы /I/ также охвачены изобретением.
Соединения формулы /I/, их фармацевтически приемлемые соли кислотного присоединения и стереохимически изомерные формы обладают интересными фармакологическими свойствами: они проявляют 5 HT1– подобную агонистическую активность. Соединения настоящего изобретения обладают хорошим сосудосуживающим действием. Они полезны в лечении состояний, вызванных расширением сосудов. Например они хороши в лечении состояний, характеризующихся или связанных с головной болью, связанной с сосудистыми нарушениями, в частности мигрени. Эти соединения также полезны в лечении венозной недостаточности и лечении пониженного давления.
Сосудосуживающее действие соединений формулы /I/ можно определить тестом, описанным в фармакологическим примере, в котором серотонин-подобная реакция соединений изобретения тестировалась на базилярных артериях свинок.
Учитывая их полезные фармакологические свойства, соединения можно формулировать в различные фармацевтические формы в зависимости от цели назначения. Для приготовления фармацевтических композиций этого изобретения эффективное количество конкретного соединения в форме соли кислотного или основного присоединения в качестве активного ингредиента смешиваются с фармацевтически приемлемым носителем, который может иметь множество форм в зависимости от формы назначения препарата. Эти фармацевтические композиции лучше готовить в унифицированных формах дозирования для назначения орально, ректально, подкожно или парентерально инъекций. Например в приготовлении композиций для оральных форм может использоваться обычная фармацевтическая среда, такая как вода, гликоли, масла, спирты, в случае оральных жидких препаратов, таких как суспензии, сиропы, эликсиры и растворы; или твердые носители, такие как крахмалы, сахара, каолин смазывающие, связующие вещества, агенты, способствующие разложению, и другие в случае порошков, пилюль, капсул и таблеток. Из-за легкости приема таблетки и капсулы представляют наиболее удобную единицу дозировки орального препарата, в котором используются твердые носители. Для парентеральных композиций носитель может включать стерильную воду, по меньшей мере в основной части, хотя для придания растворимости допустимо включения других ингредиентов. Инъекционные растворы могут включать физраствор, глюкозу или смесь растворов глюкозы и физраствора. Инъекционные суспензии содержат соответствующие жидкие носители, суспендирующие агенты и другие вещества. В композициях для введения через кожу носитель может содержать агент, усиливающий проникновение, и/или подходящий смачивающий агент в комбинации с небольшим количеством добавок разного характера, которые не действуют отрицательно на кожу. Эти добавки могут облегчать назначение и/или быть полезными в приготовлении нужных композиций. Эти композиции назначают разными способами, в виде трансдермальной накладки, точечного применения или как мазь. Для легкости назначения и единообразия дозировки хорошо формировать фармацевтические композиции в форме единиц дозирования. Такая форма в описании и формуле предполагает физически дискретные единицы как унифицированные дозы, при этом каждая содержит определенное количество активного ингредиента, рассчитанное на получение нужного терапевтического действия вместе с носителем. Примерами таких форм дозирования являются таблетки /включая обычные и с покрытием/, капсулы, пилюли, порошки, пастилки, инъекционные растворы или суспензии, объем в чайную, столовую ложку и другие.
Соединения используются в качестве лекарственных средств в лечении состояний, связанных с расширением сосудов, в частности при пониженном давлении, венозной недостаточности, и особенно головной боли, в частности мигрени. Предлагается также способ лечения теплокровных животных, страдающих состояниями, вызванными расширением сосудов такими как, пониженное давление, венозная недостаточность, головная боль и мигрень, назначением эффективного количества соединения формулы /I/, его фармацевтически приемлемой соли кислотного присоединения или его стереоизомерной формы. Специалисты легко определяют эффективное количество из результатов теста, представленных далее.
В общем, эффективное количество составляет от 1 мкг/кг до 1 мг/кг веса тела и, в частности, от 2 мкг/кг до 200 мкг/кг веса тела. Нужную дозу желательно применять дробно в два, три или несколько приемов через определенные интервалы в течение дня. Такие дробные дозы формируются как единицы дозировок, содержащие, например, 0,005 – 20 мг, в частности, 0,1 мг – 10 мг, активного ингредиента на единицу дозы.
Следующие примеры иллюстрируют изобретение, но не ограничивают его объем ни в каких аспектах.
Экспериментальная часть
диметилацетамиде /200 мл/. Реакционную смесь перемешивают 24 часа при 140oC. Растворитель выпаривают. Остаток разделяют между 1,1′-оксибисэтаном и раствором NaOH в воде. Органический слой отделяют, промывают насыщенным раствором NaCl, высушивают /MgSO4/, фильтруют и растворитель выпаривают с выходом 23 г /87,7%/ 1-/2,2-диэтоксиэтокси/-2,3-диметоксибензола /промеж. 1/.
b/ Хлористоводородную кислоту /2N/ /125 мл/ добавляют к раствору промежуточного соединения /1/ /0,078 М/ в 2-пропаноле /200 мл/. Реакционную смесь перемешивают 15 минут при 60oC. Органический растворитель выпаривают. Добавляют воду /300 мл/. Эта смесь экстрагируют 1,1-оксибисэтаном /3х200 мл/. Отделенный органический слой промывают насыщенным раствором NaCl, высушивают /MgSO4/, фильтруют и растворитель выпаривают с выходом 11,6 г /76%/ 2-/2,3-диметоксифенокси/ацетальдегида/ /промеж. 2/.
Аналогичным способом получены:
[2-/2-метоксифенокси/этил]аминпропаннитрила /0,035 М/ в метаноле /500 мл/ гидрируют со скелетными никелевым катализатором /2 г/. После поглощения водорода /2 экв./ катализатор отфильтровывают и фильтрат выпаривают с выходом 7,8 г /99,4%/ продукта. Образец /1 г/ растворяют в 2-пропаноле и превращают в соль хлористоводородной кислоты /1:2/. Соль отфильтровывают и высушивают с выходом 0,81 г /60,8%/
[2-/2-метоксифенокси/этил]-1,3-пропандиамин дигидрохлорида. Т.пл. 149,4oC /промеж. 6/.
Пример 3
диэтилэтанамин /10 мл/ по каплям добавляют к смеси промежуточного соединения 8 /0,089 М/ и метансульфонилхлорида /0,13 М/ в 2-пропаноне /250 мл/, все перемешивают и охлаждают на ледяной бане. Реакционную смесь перемешивают 1 час при комнатной температуре. Смесь фильтруют и фильтрат выпаривают. Остаток растворяют в CH2Cl2. Органический раствор промывают водным раствором хлористоводородной кислоты, высушивают /MgSO4/, фильтруют и растворитель выпаривают. Остаток кристаллизуют из CH2Cl2. Осадок отфильтровывают и высушивают /вакуум; 70oC/ с выходом 16,6 г /54,7%/ 2-/1,2-бензоксатиин-8-илокси/этанола, 2,2-диоксид метансульфоната /эстер/. Т. пл. 117oC /промеж. 9/.
d/ Смесь промежуточного соединения 9 /0,019 М/ в метаноле /250 мл/ гидрируют с палладированным углем в качестве катализатора /2 г/. После поглощения водорода /H2/ /1 эквив./ катализатор отфильтровывают и фильтрат выпаривают. Остаток кристаллизуют из CH3CN. Осадок отфильтровывают и сушат /вакуум, 60oC/ с выходом 3,1 г /50,6%/ 2-[/3,4-дигидро-1,2-бензоксатиин-8-ил/окси] этанол метансульфоната /эстер/ 2,2-диоксида. Т.пл. 155oC /промеж. 10/.
Пример 4
диметилацетамиде /250 мл/ перемешивают всю ночь при 140oC. Растворитель выпаривают. Остаток разделяют между 1,1′-оксибисетаном и водой. Органический слой отделяют, промывают насыщенным раствором NaCl, высушивают /MgSO4/, фильтруют и растворитель выпаривают. Остаточное масло кристаллизуют из 2,2′-оксибиспропана. Остаток отфильтровывают и высушивают, выход составил 21 г /60,2%/ 5-/2,2-диэтоксиэтокси/-2,3-дигидро-1,4-бензодиоксина. Т.пл. 73,1oC /промеж. 11/.
b/ Хлористоводородную кислоту /2N/ /125 мл/ добавляют к раствору промежуточного соединения /R 97,205/ /0,078 М/ в 2-пропаноне /200 мл/. Реакционную смесь перемешивают 15 минут при 60oC. Органический растворитель выпаривают /40oC/. Добавляют воду /300 мл/. Эту смесь экстрагируют дихлорметаном. Отделенный органический слой высушивают /MgSO4/, фильтруют и растворитель выпаривают с получением 13 г /86,6%/ [/2,3-дигидро-1,4-бензодиоксин-5-ил/окси]ацетальдегида /промеж. 12/.
Таким способом получены:
[2-/2-метоксифенокси/этил]
2-пиримидинил-1,3-пропандиамин этандиоата /1:2/. Т.пл. 178,4oC /соед. 1/.
Пример 6
2-Пиримидинил-1,3-пропандиамин /0,042 М/ добавляют к раствору промежуточного соединения 2 /0,056 М/ в этаноле /200 мл/ и эту смесь перемешивают 30 минут при комнатной температуре. Реакционную смесь охлаждают до 0oC в бане с ледяной солью. Добавляют боргидрид натрия /0,059 М/ и реакционную смесь перемешивают 30 минут при 0oC, затем 1 час при комнатной температуре. Добавляют небольшое количество воды и растворитель выпаривают при 40oC. Остаток разделяют между дихлорметаном и водой. Органический слой отделяют, высушивают /MgSO4/, фильтруют и растворитель выпаривают. Остаточное масло /13 г/ очищают колоночной хроматографией на силикагеле /элюант: CH2Cl2/CH3OH/NH3/ 95/5/. Нужные фракции собирают и растворитель выпаривают. Остаточное масло /8 г/ растворяют в 2-пропаноле и превращают в соль этандикислоты /1:1/. Осадок отфильтровывают и кристаллизуют из метанола. Осадок отфильтровывают и высушивают с получением 6,7 г /37,8% /
[2-/2,3-диметоксифенокси/этил]-N’-2-пиримидинил-1,3-пропандиамин этандиоата /1:1/. Т.пл. 200,0oC /соед. 2/.
Пример 7
2-пиримидинил-1,3-пропандиамина /0,087 М/ в этаноле /500 мл/ перемешивают 45 минут при 20oC. Реакционную смесь охлаждают до 0oC /баня с ледяной солью/. Одной порцией добавляют боргидрид натрия /0,125 М/ и реакционную смесь перемешивают 2 часа. Добавляют воду и растворитель выпаривают. Остаток разделяют между 1,1-оксибисэтаном и водой. Органический слой отделяют, высушивают, фильтруют и растворитель выпаривают. Остаток очищают колонной хроматографией на силикагеле /элюент: CH2Cl2/CH3OH/NH3/ 95/5. Чистые фракции собирают и растворитель выпаривают. Остаток кристаллизуют из 2-пропанола. Осадок отфильтровывают и высушивают с получением 7,7 г /23,4%/ N-[2-[2-/фенилметокси/фенокси]этил] -N’-2-пиримидинил-1,3- пропандиамина. Т.пл. 90,1oC /соед. 3/.
b/ Смесь соединения /97232/ /0,02 М/ в метаноле /250 мл/ гидрируют с палладием на активированном угле 10% /2 г/ в качестве катализатора. После поглощения водорода /1 экв./ катализатор отфильтровывают. Фильтрат выпаривают. Остаток растворяют в этаноле и превращают в соль хлористоводородной кислоты /1:2/ HCl/2-пропанолом. Соль отфильтровывают и высушивают с получением 4,8 г /66,4%/ 2-[2-[[3-/2-пиримидиниламино/пропил]амино]этокси]фенол дигидрохлорида. Т.пл. 166,4oC /соед. 4/.
Пример 8
10-7 М/. Измерялась ответная реакция на добавление серотонина, и затем серотонин вымывался. Эта процедура повторялась до достижения стабильных ответных реакций. В последующем в ванночку вводилось тестуемое соединение и измерялось сужение препарата. Эта ответная реакция сужения выражалась как процентная величина ответной реакции на серототин в предшествующих измерениях.
В таблице 6 представлены наинизшие активные концентрации соединений формулы /I/.
D. Примеры на композицию




